Анализ точечных диаграмм и статистическая обработка результатов серии измерений с многократными наблюдениями
Курсовая работа
по дисциплине «Метрологические и
технические измерения в системах контроля и учета энергопотребления»
Тема
Анализ точечных диаграмм и
статистическая обработка результатов серии измерений с многократными
наблюдениями
Выполнил:
Селявко П.В.
ВВЕДЕНИЕ
Одним из основополагающих понятий метрологии является понятие погрешности
измерений.
Погрешностью измерения называют отклонение измеренного значения
физической величины от её истинного значения.
Погрешность измерений, в общем случае, может быть вызвана следующими
причинами:
1. Несовершенством принципа действия и недостаточным качеством
элементов используемого средства измерения.
2. Несовершенством метода измерений и влиянием используемого
средства измерения на саму измеряемую величину, зависящим от способа
использования данного средства измерения.
. Субъективными ошибками экспериментатора.
Так как истинное значение измеряемой величины никогда неизвестно (в
противном случае отпадает необходимость в проведении измерений), то численное
значение погрешности измерений может быть найдено только приближенно. Наиболее
близким к истинному значению измеряемой величины является значение, которое
может быть получено при использовании эталонных средств измерений (средств
измерений наивысшей точности). Это значение условились называть действительным
значением измеряемой величины. Действительное значение также является неточным,
однако, из-за малой погрешности эталонных средств измерений, погрешностью
определения действительного значения пренебрегают.
1.
CТАТИСТИЧЕСКОЙ ОБРАБОТКА РЕЗУЛЬТАТОВ ИЗМЕРЕНИЙ С
МНОГОКРАТНЫМИ НАБЛЮДЕНИЯМИ
точечный диаграмма статистический эквидистанта
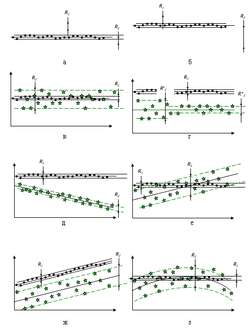
Точечную диаграмму строят в координатах "результат измерения
(наблюдение при измерении) X - номер измерения n". При построении диаграммы из технических соображений
по оси ординат обычно предпочитают откладывать не единичные результаты
измерений, а их отклонения от некоторого условного значения. Масштаб желательно
выбрать таким, чтобы размах R результатов измерений можно было оценить двумя
значащими цифрами.
Идеальная точечная диаграмма должна состоять из точек, располагающихся на
одинаковой высоте, которая соответствует истинному значению измеряемой
физической величины Q (рис. 1).
Тенденция изменения результатов может быть вызвана только наличием
систематической переменной погрешности определенного вида, следовательно,
появляется возможность ее качественного описания, дополненного некоторыми
числовыми оценками.
Тенденции изменения результатов на точечных диаграммах, представленных на
рис. 2 (а - наклон, б - мода, в - гармонические изменения аппроксимирующей
линии), свидетельствуют о наличии переменных систематических погрешностей.
Характер таких погрешностей в первом приближении можно оценить по виду
наблюдаемой тенденции изменения результатов, для оформления которой используют
аппроксимирующие линии. Аппроксимацию, как правило, осуществляют простейшими
линиями: прямой, участком дуги окружности или параболы, для периодических
изменений - синусоидой (косинусоидой).
Отклонения результатов от аппроксимирующей линии могут рассматриваться
как случайные составляющие погрешности измерения. Если отклонения результатов
от аппроксимирующей линии полагают случайными, их оценивают размахом,
предельными значениями или средними квадратическими отклонениями (в последнем
случае необходима статистическая обработка отклонений).
Следует помнить, что точечная диаграмма фактически не является графиком
результатов измерений, поскольку по оси абсцисс не откладывают аргумент
какой-либо функции. Любая тенденция изменения результатов свидетельствует
только об изменении во времени аргументов, вызывающих переменные
систематические погрешности измерений, причем сам аргумент по точечной
диаграмме выявить невозможно. Проведение аппроксимирующей линии и оценка
тенденции и отклонений от нее осуществляются на основе предположения
(допущения) о равномерном изменении аргумента от измерения к измерению, что
накладывает определенные ограничения на методику проведения серии многократных
измерений одной и той же физической величины. К таким ограничениям относятся
неизменность МВИ и измеряемой физической величины, постоянство условий в
широком смысле, включая не только поддержание влияющих величин в нормальной или
рабочей области значений, но и психофизиологическое состояние оператора. Серия
должна состоять из наблюдений через примерно одинаковые промежутки времени без
перерывов и не может продолжаться до явного утомления оператора, замена которого
может привести к получению второй серии.
Многократные измерения одной и той же физической величины с
использованием одной методики выполнения измерений позволяют численно оценить
сходимость измерений внутри серии. Высокая сходимость результатов отражается на
диаграмме отсутствием тенденций изменения результатов и малыми случайными
отклонениями от среднего значения. В качестве первичной оценки погрешности
измерений в серии может быть использован такой параметр, как размах результатов
многократных измерений
R’ = Xmax - Xmin.
Геометрическое представление размаха R′ результатов измерений на
точечной диаграмме можно получить, проведя через самую верхнюю и самую нижнюю
точки прямые, параллельные оси абсцисс.
Размах R' включает в себя как рассеяние результатов из-за случайной
составляющей погрешности измерений, так и переменную систематическую
составляющую погрешности, вызывающую закономерное изменение результатов во
времени. Следует различать размахи "неисправленных" R' и
"исправленных" R результатов измерений. "Исправленными"
принято называть результаты после исключения из них систематических
погрешностей.
"Частичное исправление" результатов измерений с использованием
точечной диаграммы можно осуществить наложением на экспериментальные точки
аппроксимирующей линии и переходом к оценке случайных составляющих погрешности
по отклонениям результатов от построенной тенденции их изменения.
Аппроксимирующую линию в этом случае считают отражением систематического
изменения результатов, а отклонения от построенной тенденции ("текущего
среднего значения") рассматривают как случайные составляющие каждого из
наблюдений. Числовые оценки отклонений определяют по точечной диаграмме с
учетом ее масштаба. Предложенный прием позволяет наглядно разделить
систематические и случайные составляющие погрешности измерений.
Для оценки размаха "исправленных" результатов измерений R,
который определяет рассеяние результатов только из-за наличия случайной
составляющей погрешности, исключают влияние переменной систематической
составляющей погрешности. Размах R (рис. 4) определяют как расстояние между
двумя линиями, проведенными эквидистантно аппроксимирующей линии через две
наиболее удаленные от нее точки (с учетом масштаба точечной диаграммы).
Описанное "исправление" результатов измерений названо
частичным, поскольку неизвестное (и потому отсутствующее на диаграмме) истинное
значение измеряемой величины искусственно заменяется некоторым текущим средним
значением, которое воспроизводится на диаграмме аппроксимирующей линией,
учитывающей влияние переменной части систематической погрешности. Анализ
точечной диаграммы результатов многократных измерений физической величины с
помощью одной методики выполнения измерений не дает возможности получить
информацию о значении постоянной систематической погрешности.
Анализ результатов измерений каждой отдельной серии начинают с оценки
наличия тенденции изменения результатов измерений. На диаграмму наносят
аппроксимирующую линию, причем для аппроксимации выбирают по возможности прямые
(отсутствие тенденции изменения результатов или линейно прогрессирующее
изменение результатов) или простейшие кривые линии (прогрессирующее изменение с
затуханием, модальное или периодическое изменение результатов).
Примерами очевидных тенденций можно считать точечные диаграммы на рис. 2.
На рис.2 а просматривается тенденция увеличения результатов, которую проще
всего аппроксимировать прямой линией. Такая тенденция свидетельствует о наличии
в результатах прогрессирующей систематической погрешности линейного характера.
Тенденция на рис. 2 б - переменная, сначала результаты увеличиваются, затем
после достижения максимума уменьшаются, что позволяет предложить аппроксимацию
дугой окружности или участком синусоиды. Немонотонное изменение результатов
может свидетельствовать о наличии периодической систематической составляющей,
однако для уверенного заключения об этом экспериментальных данных явно
недостаточно. Зато на рис. 2 в очевидно просматривается периодическая
тенденция, которую можно аппроксимировать косинусоидой в 3/4 периода.
Как правило, аппроксимация простейшими линиями оказывается достаточно
эффективной, но не исключаются и возможные уточнения, например использование
параболы или экспоненты для описания участка прогрессирующих данных или наложение
синусоиды на наклонную прямую линию. Однако при этом следует иметь в виду, что
стремление к высокой точности в подборе аппроксимирующей линии не имеет смысла,
поскольку не гарантирована строгость соответствия точечной диаграммы
допущениям, положенным в основу ее построения. Кроме того, при исследовании
малых величин (погрешностей измерений) незначительные отклонения в их
моделировании являются величинами второго порядка малости и не оказывают
значимого влияния на результаты числовых оценок.
После проведения аппроксимирующей линии визуально оценивают экстремальные
отклонения от этой линии. Если не наблюдается резко выпадающих из общей
тенденции отклонений (результатов с грубыми погрешностями), то через самые
удаленные от нее точки (максимальные отклонения в "плюс" и в
"минус") проводят эквидистанты аппроксимирующей линии. Расстояние
между ними вдоль оси ординат в масштабе точечной диаграммы равно размаху
отклонений R, и рассматривается как
характеристика случайной составляющей погрешности анализируемой серии.
При наличии одной или нескольких точек, явно выпадающих из общей
тенденции, делается отрицательное заключение об их принадлежности исследуемому
массиву результатов измерений. Результаты, соответствующие этим точкам,
оценивают как содержащие грубые погрешности и цензурируют, полагая, что они
получены ошибочно. Результаты подозрительные на наличие промахов, но вызывающие
сомнения, оставляют для последующего статистического отбраковывания, которое
выходит за пределы анализа точечных диаграмм.
Проведенные на точечной диаграмме аппроксимирующая линия и эквидистанты
позволяют количественно оценить не только размахи отклонений R' и R (общий размах результатов измерений и размах частично
исправленных результатов измерений), но и другие параметры и характеристики
точечной диаграммы, включая изменение (приращение а) прогрессирующей
составляющей в серии результатов, амплитуду А или удвоенную амплитуду 2А
периодической составляющей, а также ее ориентировочный период Т в числах
(номерах) наблюдений.
Точечная диаграмма в определенных случаях позволяет высказать некоторые
суждения не только о сходимости результатов в серии, но и о правильности
измерений, поскольку устойчивая тенденция изменения результатов измерений
свидетельствует о наличии в них переменной систематической погрешности. Анализ
точечных диаграмм позволяет делать логически обоснованные предположения об
изменении условий измерений в самом широком понимании этого термина.
Ниже приведены точечные диаграммы (рис. 5), на основании которых проведен
анализ результатов измерений каждой из проведенных серий и примеры
гипотетических высказываний о возможных причинах характерных особенностей
результатов в сериях.
Особенностью точечной диаграммы на рис.5 б является очевидное наличие
двух участков 1 и 2, каждый из которых не имеет явно выраженной тенденции
изменения результатов. Промежуточные результаты с резкой (почти скачкообразной)
прогрессирующей тенденцией свидетельствуют о незамеченном изменении условий
измерений в серии в широком смысле этого термина. Причиной такого изменения
результатов могут быть изменения одной из влияющих величин, смещение настройки
средства измерений, "привыкание" оператора к новому для него средству
измерений, изменение объекта из-за воздействия средства измерений. В случае
скачкообразного изменения результатов (если представить себе отсутствие на
точечной диаграмме промежуточной наклонной зоны точечной диаграммы между
участками 1 и 2) можно высказать несколько предположений: перерыв в работе, за
время которого изменились условия измерений (одна или несколько влияющих
величин); мгновенное изменение настройки прибора; смена оператора. В качестве
еще одной гипотезы можно рассмотреть возможную "подмену" измеряемой
физической величины, то есть фактический переход от одной из номинально одинаковых
физических величин к другой, например из-за незамеченного изменения
контрольного сечения (контрольной точки).
Точечная диаграмма на рис.5 а имеет явно выраженную тенденцию монотонного
убывания значений, что свидетельствует о наличии в серии прогрессирующей
погрешности (тенденция изменения отражена аппроксимирующей прямой). Результат nj цензурируется как результат с грубой
погрешностью - он явно выпадает из общей тенденции, несмотря на то, что его
значение близко к значениям в начале серии. Возможные причины появления этого
результата - ошибка оператора (промах при манипулировании или при отсчитывании)
либо сбой в работе прибора.
Точечная диаграмма на рис. 5в имеет явно выраженную тенденцию
немонотонного изменения значений, что может свидетельствовать о наличии в серии
периодической (циклической) погрешности. Возможные тенденции изменения
результатов отражены двумя аппроксимирующими линиями - сплошной и штриховой, из
которых видно, что предполагаемые тенденции примерно вдвое различаются по
периоду и амплитудам. Поскольку для достоверных заключений о наличии
периодической погрешности, ее амплитуде и предполагаемом периоде наличной
информации недостаточно, по возможности следует продолжить серию измерений, при
невозможности - высказать предположения, четко оговаривая принятые допущения.
На рис. 5г показана точечная диаграмма с явно выраженной тенденцией
монотонного изменения значений, которую можно попытаться аппроксимировать либо
наклонной прямой (сплошная линия), либо участком дуги (штриховая линия). В
последнем случае можно высказать предположение о том, что увеличение
результатов в серии прекратилось, и следующие далее наблюдения будут содержать
только постоянную систематическую составляющую погрешности измерений.
При выполнении нескольких серий многократных измерений одной и той же
физической величины с использованием разных методик выполнения измерений весьма
эффективно их сопоставление с помощью точечных диаграмм, построенных в одном
масштабе. Анализ каждой из серий измерений включает оценку размахов Ri и оценку
тенденций изменения результатов измерений отдельно по каждой серии.
Сравнительный анализ результатов нескольких серий измерений одной и той
же физической величины позволяет оценить сходимость и воспроизводимость
измерений, а в случае неравноточных МВИ можно получить также предварительную
оценку систематических постоянных погрешностей для заведомо менее точной серии,
сравнивая ее с более точной «опорной» серией.
Сходимость измерений в каждой из серий и между двумя сериями
характеризуется систематическими расхождениями и отклонениями от
аппроксимирующих линий (размахами и расхождениями текущих средних), причем
возможную сходимость оценивают по "исправленным" размахам после
исключения влияния тенденции изменения результатов (если она обнаружена).
Воспроизводимость двух серий измерений определяют по значениям размахов и
расхождению средних значений при практическом отсутствии тенденции изменения
результатов, поскольку переменные систематические погрешности обязательно
приведут к низкой сходимости и воспроизводимости результатов.
О правильности измерений можно судить по значениям размахов Ri и по
числовым характеристикам тенденций изменения результатов. Можно ожидать высокой
правильности только в той серии, в которой минимальны размахи и практически
отсутствуют тенденции изменения результатов.
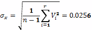
Все характеристики особенно хорошо видны на точечной диаграмме с двумя
сериями измерений, оформленными в одном масштабе. Примеры таких точечных
диаграмм с элементами анализа приведены на рис. 6 а - з.
Приведем примеры краткого сравнительного анализа двойных диаграмм,
представленных на рис. 6. На диаграммах и в тексте использованы уже
встречавшиеся обозначения "исправленных" размахов (R), средних значений серии наблюдений
(X) и истинного значения измеряемой
физической величины (Q).
Значения "неисправленных" размахов, средние значения каждой из серий
и истинные значения измеряемой физической величины на точечных диаграммах не
показаны, чтобы не загромождать рисунок. Подробный анализ каждой из диаграмм не
проводится, поскольку примеры такого анализа были представлены ранее.
На диаграмме 6 а представлены две серии без переменных систематических
погрешностей (отсутствуют тенденции изменения результатов), которые можно
считать практически равнорассеянными, (поскольку R1 ≈ R2), но неравноточными (поскольку Х1
≠ Х2). Неравенство средних значений свидетельствуют о том, что
либо одна, либо обе имеют постоянные систематические составляющие, значимые по
сравнению со случайными (Х1 - Х2 > R1 ≈ R2).
Серии без переменных систематических погрешностей, представленные на
диаграмме 6 б, неравнорассеянные (поскольку R1 ≠ R2) и неравноточные (кроме того, что R1 ≠ R2, еще и Х1
≠ Х2), причем либо в одной, либо в обеих сериях присутствуют
постоянные систематические погрешности (если, например Х1 ≈ Q, то Х2 ≠ Q, поскольку Х1 ≠ Х2).
На диаграмме 6 в показаны серии без переменных систематических
погрешностей неравноточные и неравнорассеянные (R1 ≠ R2), причем обе имеют практически
одинаковые (значимые или пренебрежимо малые) постоянные систематические
составляющие (поскольку Х1 ≈ Х2).
На диаграмме 6 г представлены две серии без переменных систематических
погрешностей, неравнорассеянные (поскольку R1 ≠ R2) и неравноточные (Х1 ≠
Х2), причем более грубая серия имеет два характерных участка с
различающимися размахами (R'2
≠ R"2). Одна из серий,
либо обе имеют значимые постоянные систематические составляющие.
Первая серия на диаграмме 6 д не имеет переменных систематических
погрешностей, у второй - явно выраженная прогрессирующая тенденция изменения
результатов (значения монотонно убывают, что свидетельствует о наличии в серии
прогрессирующей систематической составляющей). Серии неравноточные (R'1 ≠ R'2), но можно графически
или аналитически привести их к практически равнорассеянным (поскольку R1 ≈ R2), для чего
необходимо исключить из рассмотрения переменную систематическую составляющую
второй серии.
На диаграмме 6 е представлены две серии очевидно неравноточные и
неравнорассеянные. Первая серия не имеет переменных систематических
погрешностей, у второй явно выраженная прогрессирующая тенденция изменения
результатов (значения монотонно возрастают, что свидетельствует о наличии
прогрессирующей систематической составляющей).
Две явно неравноточные и неравнорассеянные серии на диаграмме 6 ж имеют
примерно одинаковые прогрессирующие тенденции изменения результатов
(единообразные монотонно возрастающие значения свидетельствуют о наличии
практически одинаковых прогрессирующих систематических составляющих).
На последней диаграмме 6 з представлены две явно неравноточные и
неравнорассеянные серии, одна из которых имеет немонотонную тенденцию изменения
результатов (вначале возрастающие, а затем убывающие значения свидетельствуют о
наличии систематической составляющей, предположительно циклического характера).
Для достоверных заключений о наличии во второй серии периодической погрешности,
ее амплитуде и предполагаемом периоде наличной информации недостаточно.
Статистическая обработка исправленных результатов прямых измерений
Подготовка массива результатов измерений к статистической обработке
заключается в "исправлении результатов измерений". Задача-максимум
состоит в исключении из результатов измерений всех систематических
составляющих, задача минимум - в исключении переменных систематических
составляющих. Следует признать, что любое исключение погрешностей не бывает
абсолютным; в результатах могут содержаться невыявленные систематические
составляющие, а также всегда остаются неисключенные остатки систематических
погрешностей. Методы выявления и оценки систематических погрешностей, в том
числе и методы оценки неисключенных остатков систематических погрешностей,
рассмотрены в соответствующем модуле.
Рис. 6. Примеры "двойных" точечных диаграмм. Точками
представлена "опорная" диаграмма, полученная при использовании более
точной МВИ 1, звездочками - диаграмма, полученная при использовании менее
точной МВИ 2.
Формы представления результатов измерений
Общая форма представления результата измерения включает:
точечную оценку результата измерения;
характеристики погрешности результата измерения (или их статистические
оценки);
указание условий измерений, для которых действительны приведенные оценки
результата и погрешностей. Условия указываются непосредственно или путем ссылки
на документ, удостоверяющий приведенные характеристики погрешностей.
В качестве точечной оценки результата измерения принимают среднее
арифметическое значение результатов рассматриваемой серии измерений.
Характеристики погрешности измерений можно указывать в единицах
измеряемой величины (абсолютные погрешности) или в относительных единицах
(относительные погрешности).
среднее квадратическое отклонение погрешности;
среднее квадратическое отклонение случайной погрешности;
среднее квадратическое отклонение систематической погрешности;
нижняя граница интервала погрешности измерений;
верхняя граница интервала погрешности измерений;
нижняя граница интервала систематической погрешности измерений;
верхняя граница интервала систематической погрешности измерений;
вероятность попадания погрешности в указанный интервал;
Рекомендуемое значение вероятности Р = 0,95.
Возможные характеристики погрешностей включают аппроксимации функции
плотностей распределения вероятностей или статистические описания этих
распределений.
Функцию плотностей распределения вероятностей погрешности измерений
считают соответствующей усеченному нормальному распределению, если есть
основания полагать, что реальное распределение симметрично, одномодально,
отлично от нуля на конечном интервале значений аргумента, и другая информация о
плотности распределения отсутствует.
Если есть основания полагать, что реальное распределение погрешностей
отлично от нормального, следует принимать какую-либо другую аппроксимацию
функции плотностей распределения вероятностей. В таком случае принятая
аппроксимация функции указывается в описании результата измерений, например:
"трап." (при трапециевидном распределении) или "равн." (при
равновероятном).
В состав условий измерений могут входить: диапазон значений измеряемой
величины, частотные спектры измеряемой величины или диапазон скоростей ее
изменений; диапазоны значений всех величин, существенно влияющих на погрешность
измерений, а также, при необходимости, и другие факторы.
Требования к оформлению результата измерений:
наименьшие разряды должны быть одинаковы у точечной оценки результата и у
характеристик погрешностей;
характеристики погрешностей (или их статистические оценки) выражают
числом, содержащим не более двух значащих цифр, при этом для статистических
оценок цифра второго разряда округляется в большую сторону, если последующая
цифра неуказываемого младшего разряда больше нуля;
допускается характеристики погрешностей (или их статистические оценки)
выражать числом, содержащим одну значащую цифру, при этом для статистических
оценок второй разряд (неуказываемый младший) округляется в большую сторону при
округлении цифры младшего разряда равной или больше 5 и в меньшую сторону при
цифре меньше 5.
Примеры форм представления результатов:
(8,334 ± 0,012) г; Р = 0,95.
,014 мм. Характеристики погрешностей и условия измерений по РД 50-98-86,
вариант 7к.
(32,010…32,018) мм Р = 0,95. Измерение индикатором ИЧ кл. точности 0 на
стандартной стойке с настройкой по концевым мерам 3 кл. точности. Измерительное
перемещение не более 0,1 мм; температурный режим измерений ± 2 оС.
,6360 мм; Дн= - 0,0012 мм, Дв= + 0,0018 мм, Р =
0,95.
,75 м3/с; у (Д)
= 0,11 м3/с, у (Дс)
= 0,18 м3/с, равн. Условия измерений: температура среды 20 оС,
кинематическая вязкость измеряемого объекта 1,5·10 -6 м2/с.
2. АНАЛИЗ ТОЧЕЧНЫХ ДИАГРАММ
Дана точечная диаграмма результатов многократных измерений(рис.1),
представляющая 2 серии измерений одной физической величины, полученных с
помощью разных методик выполнения измерения.
Рис.1.Точечная диаграмма
Проведём анализ первой серии измерений
Первая серия измерений не имеет тенденций изменения результатов. Поэтому
такая тенденция свидетельствует о том, что в серии нет переменных,
систематических погрешностей.
Для серии 1 можно определить размах «исправленных»
результатов измерений R, который определяет рассеяние результатов только из-за
наличия случайной составляющей погрешности. Размах R, определяется как расстояние
между двумя линиями, проведенный эквидистантно аппроксимирующей линии, через
две наиболее удаленные от нее точки.
Проведём анализ второй серии измерений
Вторая серия измерений имеет тенденцию переменной с модой.
В серии нет переменных, систематических погрешностей.Тенденция изменения
результатов свидетельствует о наличии переменных систематических погрешностей.
Переходим к оценке обнаруженных погрешностей. В качестве первичной оценки
погрешности измерений в серии может быть использован такой параметр, как размах
результатов многократных измерений.
R=Xmax-Xmin.
Геометрическое представление неисправленного размаха
R’ результатов измерений для серии 2 на точечной диаграмме получим, проведя
через самую верхнюю и самую нижнюю точки прямые, параллельные оси абсцисс.
Фактическая сходимость измерений во 2й серии хуже, т.к. исходный размах R'2 результатов наблюдений
больше, чем исходный размах первой серии. Причиной плохой сходимости во второй
серии является наличие переменной, систематической погрешности. Сходимость во
второй серии результатов можно улучшить, если исключить переменную
систематическую погрешность. Тогда возможная, достижимая сходимость в 2х сериях
результатов будет характеризоваться только размахом случайной погрешности
первой серии, которую можно обозначить, как расстояние между линиями
эквидистантно аппроксимирующей линии и проходящей параллельно ей. Учитывая то,
что размахи случайных погрешностей в обеих сериях различны, то можно сделать
вывод, что эти серии не сопоставимы по возможной, достижимой сходимости.
Операция, исключающая переменные систематические погрешности из отдельных
результатов измерений называется исправлением, а сами результаты -
исправленными. Поэтому достижимая сходимость оценивается по размаху
исправленных результатов измерений. Сравнительный анализ двух серий измерений
При оценке воспроизводимости сопоставляется аппроксимирующие линии и
размахи случайных погрешностей. Аппроксимирующие линии в обеих сериях не
совпадают между собой и размахи случайных погрешностей различаются. Как
следствие - плохая воспроизводимость результатов в сериях.
Обе серии измерений:
не имеют грубых погрешностей;
серии неравноточные, поскольку R’1
R’2;
серии неравнорассеянные, поскольку R1
R2 .
3. СТАТИСТИЧЕСКАЯ ОБРАБОТКА РЕЗУЛЬТАТОВ СЕРИИ ИЗМЕРЕНИЙ С
МНОГОКРАТНЫМИ НАБЛЮДЕНИЯМИ
Задан массив результата измерений:
.99150.01150.00950.04250.05550.00850.01849.97150.02150.01850.01650.016
50.01650.00850.00950.04850.01849.98850.00550.00950.03950.06649.97750.050
50.02649.99850.01450.02450.02650.00750.05450.07950.04150.03150.03350.034
50.03650.07550.05050.05650.05150.05750.05950.05450.06150.04850.04750.048
50.05050.05250.06950.05550.08750.06850.05850.04350.05950.06050.10050.027
50.18350.08150.07950.075
По заданному массиву результатов измерений одной и той же ФВ построим
точечную диаграмму, где по оси абсцисс откладывается номер измерения, а по оси
ординат откладывается значение измерения. В результате получится:
Рис.5.Точечная диаграмма до цензурирования
Диаграмма имеет явно выраженную тенденцию монотонного возрастания
значений. Определим числовые характеристики:
Xmax=50.183
Xmin=49.971 Xcp=50.04
R’= Xmax - Xmin=0.212R=
0.18
Результаты с явно выраженной погрешностью подлежат цензурированью. После
цензурирования диаграмма примет вид:
Рис.6.Точечная диаграмма после цензурирования
Определим числовые характеристикипосле ценцурирования:
Xmax=50.1
Xmin=49.988 Xcp=50.04
R’= Xmax - Xmin=0.112R=
0.085
Рассмотрим порядок статистической обработки исправленных результатов
прямых равнорассеянных измерений одной и той же физической величины.
. Расчет среднего значения (получение точечной оценки результата
измерения):=50.04
. Расчет отклонений
Vi = Xср - Xi .
При «частичном исправлении» результатов наблюдений с использованием
точечных диаграмм под Xср понимают «текущее среднее», определяемое
по аппроксимирующей линии.
В таком случае за отклонение Vi принимают отклонение каждого из наблюдений от
аппроксимирующей линии в масштабе точечной диаграммы.
a. Проверка правильности расчетов значений отклонений и среднего
арифметического:
. Расчет статистической оценки среднеквадратичного отклонения от
результатов измерения:
4. Проверка гипотезы о сходимости эмпирического и теоретического
распределений по критериям согласия.
Построим полигон и гистограмму отклонений результатов от аппроксимирующей
линии.
Количество интервалов:
Длина интервалов: ∆V=(Vmax-Vmin)/k=0.016
Для
того чтобы принять или опровергнуть выдвинутую гипотезу о законе распределения
необходимо произвести статистическую проверку согласия опытного распределение с
теоретическими с использованием специального критерия согласия или критерия
правдоподобия. Согласно ГОСТ 8.207-76 при числе результатов более 50
рекомендуется использовать для такой проверки критерия Пирсона 
.
|
№
|
середина интервала Viср
|
Частота mi
|
Отклонение от среднего Viср- Нормированное отклонение от среднего ti=(Viср- )/SxПлотность Нормированного распределения P(ti)
|
|
|
|
1
|
-0,052
|
2
|
-0,04800
|
-1,8736
|
-0,06943
|
|
2
|
-0,036
|
6
|
-0,03200
|
-1,2491
|
-0,18265
|
|
3
|
-0,02
|
13
|
-0,01600
|
-0,6245
|
-0,32918
|
|
4
|
-0,004
|
13
|
0,00000
|
0,0000
|
0,39894
|
|
5
|
0,012
|
8
|
0,01600
|
0,6245
|
0,32918
|
|
6
|
0,028
|
15
|
0,03200
|
1,2491
|
0,18265
|
|
7
|
0,044
|
3
|
0,04800
|
1,8736
|
0,06943
|
|
Плотность в серединах интервалов P(Vi)=P(ti)/Sx
|
Теоретическая частота nPi=n ∆VP(Vi)
|
Отклонение  Норма расхождения
|
|
|
-2,710117993
|
-2,601713274
|
-0,139161708
|
11,27778
|
|
-7,129526883
|
-6,844345808
|
-0,104161868
|
|
|
-12,84915225
|
-12,33518616
|
-0,035830625
|
|
|
15,57215141
|
14,94926535
|
0,254168705
|
|
|
12,84915225
|
12,33518616
|
1,523595901
|
|
|
7,129526883
|
6,844345808
|
|
|
2,710117993
|
2,601713274
|
0,060972252
|
|
|
|
|
|
|
|
|
|
|
. Статистическая проверка наличия результатов с грубыми погрешностями
Процедура отбраковывания экстремальных отклонений при нормальном
распределении погрешностей, например по критерию 3у
|Vextr| > 3у = 0,0768
Ни один результат не попадает в данный диапазон.
. Расчет оценки среднего квадратическогоотклонения результата измерения:

= 0.033
ЗАКЛЮЧЕНИЕ
точечная диаграмма статистический измерение
В данной курсовой работе определили для каждой серии измерений наличие и
характер (тенденцию) изменения результатов, провели аппроксимирующие линии.
Результаты с явно выраженными грубыми погрешностями цензурировали, и оценили
все возможные числовые характеристики погрешностей измерений.
По заданному массиву результатов многократных измерений одной и той же
физической величины, построили точечные диаграммы результатов измерений в
порядке их получения. Определили наличие и характер изменения результатов.
Провели аппроксимирующие линии и эквидистанты через наиболее удаленные точки.
Результаты с явно выраженными грубыми погрешностями цензурировали, после чего
оценивали числовые характеристики результатов измерений и оценки погрешностей
измерений.
Выполнили статистическую обработку результатов измерений и отклонений
результатов измерений от приписанной аппроксимации.
ЛИТЕРАТУРА
1.
Кузнецов В.А,
Ялунина Г.В. Метрология (теоретические, прикладные и законодательные основы):
Учеб пособие. - М.: ИПК Издательство стандартов, 1998. - 336 с.
2.
Сергеев А.Г.,
Крохин В.В. Метрология: Учебное пособие для вузов. - М.:Логос, 2000.
3.
Бурдун Г.Д.,
Марков Б.Н. Основы метрологии. Издательство стандартов. М. 1985