|
|
1 - Осевое направление поршня (ОНП); 2 - Радиальное направление
поршня (РНП); 3 - Вертикальное направление крейцкопфа (КРЦ); 4 - Клапан 5 -
Вертикальное направление штока (Шток) 6 - Осевое направление ползуна
|
Рисунок 1.3 - Схема расположения
вибродатчиков на цилиндре ПК
Широчайшие возможности стационарных
систем мониторинга состояния оборудования КОМПАКС [12], с помощью которых контролировалось
состояние и ПК, по сбору и обработке измеренных данных, а также анализ
ремонтной и эксплуатационной документации на поршневые компрессора позволили
накопить достаточный объем информации для подготовки нормативно-методической
базы, обеспечивающей мониторинг технического состояния ПК [15, 16].
Разработанные на основе полученной
информации модели и закономерности формирования и развития виброакустических и
других процессов, сопровождающих и характеризующих работу ПК, позволили
осуществить их нормирование для определения условных границ, разделяющих
состояния ПК [8].
Приняты три основные условных
границы и градации рекомендаций, определяющие конкретные действия персонала
[26]:
ü ДОПУСТИМО (Д)
- допускается длительная практически без ограничений эксплуатация компрессора;
ü ТРЕБУЕТ ПРИНЯТИЯ
МЕР (ТПМ) - техническое состояние компрессора требует принятия мер по
предотвращению ухудшения его состояния, поэтому необходимо принять все меры по
улучшению состояния компрессора, путем выполнения указаний экспертной системы
поддержки принятия решений;
ü НЕДОПУСТИМО (НДП)
- техническое состояние компрессора не допускает его дальнейшую эксплуатацию и
необходимо либо остановить компрессор и начать его ремонт, либо оперативно
выполнить действия по кардинальному улучшению его состояния.
В основе методики нормирования
вибропараметров машин [1] лежит экспериментально установленный факт, что при
нормальном функционировании ПК параметры вибрации различных машин лежат ниже
некоторых значений, которые можно использовать в качестве границ.
В качестве примера на рисунках 1.4 -
1.6 приведены типовые временные реализации сигналов, которые отражают три
условных состояния коренных подшипников поршневых компрессоров.
В соответствии [19]
с ГОСТ 20911-89 видами технического состояния объекта (ТСО) являются:
ü ИСПРАВНОЕ
- это СО при котором он соответствует всем требованиям нормативно-технической
документации (НТД) или конструкторской документации (КД).
Рисунок 1.4 - Вибросигнал с
исправного компрессора
Рисунок 1.5 - Вибросигнал с узла
компрессора, требующего принятия мер
Рисунок 1.6 - Вибросигнал с узла
компрессора, дальнейшая эксплуатация которого опасна
ü НЕИСПРАВНОЕ
- это СО при котором он не соответствует хотя бы одному из требований НТД или
КД.
ü РАБОТОСПОСОБНОЕ
- это СО при котором значения всех параметров, характеризующих способность
выполнять заданные функции, соответствуют требованиям НТД и КД, т.е. выходные
параметры и характеристики которого для всех возможных режимов его эксплуатации
полностью соответствуют ТУ. При этом в отдельных элементах агрегата могут быть
неисправности, не влияющие на ее выходные параметры.
ü НЕРАБОТОСПОСОБНОЕ
- это СО при котором значение хотя бы одного параметра характеризующего
способность выполнять заданные функции не соответствует НТ и КД. Для сложных
объектов возможно деление на частично-неработоспособное СО.
ü ПРЕДЕЛЬНОЕ
- это СО при котором его дальнейшая, либо восстановление его работоспособного
состояния не возможно или не целесообразно.
В реальном
производстве использование таких категорий неприемлемо, так как возникают
неувязки при решении вопросов об остановке или продолжении эксплуатации
объектов. Это происходит по тем причинам, что данные СО имеют тонкую
отличительную грань, и в производстве такие состояния часто пересекаются
(рисунок 1.7). Поэтому в производстве при эксплуатации оборудования используют
более четкие понятия СО, такие как Д, ТПМ и НДП.
Совместимость таких
СО показана на рисунке 1.7.
Учитывая возвратно-поступательный
характер движения основных узлов машин, для выделения диагностических признаков
используется временная селекция сигналов, полезность и эффективность которой
подтверждена на практике. Для выделения сигнала в определенные моменты времени
по углу поворота вала используют датчик угла поворота вала. Сигнал, с которого обычно
приходит в момент нахождения одного из поршней в верхней или нижней мертвой
точке.
Рисунок 1.7 - Изменения и переход ТС
Одним из авторов [11, 13] еще в 1972
г. на основе методов диагностики дефектов компрессора по циклограмме его работы
со стохастическим усреднением результатов в различных частотных полосах
разработаны принципы диагностирования машин циклического действия, защищенные
рядом авторских свидетельств и патентов. Был создан и внедрен комплекс аппаратуры
ПАРК-1 [9], который использовался на станции обкатки и испытаний компрессоров
ДХ2-1010 в серийном производстве, обеспечивающем выпуск до одного миллиона
компрессоров в год. Комплекс обеспечивал диагностирование таких
производственных дефектов компрессоров, как повышенный вылет поршня, дефекты
всасывающего и нагнетательного клапанов, эксцентриситет ротора и др.
Анализ значений измеренных
параметров физических величин по углу поворота вала, т.е. частотно-временная
селекция сигналов, позволяет увеличить точность постановки диагноза.
Разработанные нормы и предельные значения физических величин, в частности, для
вибропараметров, надежно определяют состояние машины [12]. Эти нормы также
имеют градации Д, ТПМ и НДП. Частотно-временная селекция
сигналов и синхронная обработка существенно помогают обнаружить фундаментальные
причины отказов и неисправностей.
Одним из важнейших положений
нормативно-методической базы мониторинга ПК является сохранение измеряемых
данных в виде трендов параметров или диагностических признаков. Опыт
показывает, что наиболее оптимальным с точки зрения контроля изменения
состояния являются тренды в масштабах времени 12 часов, 4 суток, 40 суток, 1
год и 9 лет. При этом необходимо проводить анализ скорости изменения трендов,
абсолютные значения которых должны быть нормированы для различных параметров
сигналов и диагностических признаков, и выдавать соответствующие предписания
персоналу [1].
Определение текущего состояния
объекта мониторинга является главной задачей теории и практики распознавания
образов. В настоящее время в качестве основы для создания базы образов,
соответствующих конкретным техническим состояниям поршневой машины, выступает
практический опыт диагностирования неисправностей поршневых машин [15, 16, 17].
Предпосылками для разработки методов
и методик диагностирования является достаточно большой опыт постановки
диагнозов для ротационного оборудования. Один из методов, реализующих данных
подход, - синхронная гребенчатая фильтрация во временной и частотных областях
[13]. В частности, использование спектральной матрицы позволяет практически со
100 процентной вероятностью определять дефекты и неисправности клапанов
поршневых компрессоров [1, 14].
Выделение огибающей вибросигнала с
датчиков, установленных в различных точках компрессора, позволяет наглядно
представлять процессы, происходящие в компрессоре. Особенно эффективно
огибающая вибросигнала работает при ее синхронизации с угловым положением
коленчатого вала [1, 9, 16]. Для выделения огибающей используются специально
разработанные алгоритмы, позволяющие получать сигнал, несущий максимально
возможную информацию о состоянии узлов и деталей компрессора.
Таким образом, обобщение опыта НПЦ
«ДИНАМИКА» по мониторингу состояния поршневых компрессоров в нефтехимическом
комплексе с помощью стационарных систем КОМПАКС позволяет разработать
нормативно-методическую базу для обеспечения мониторинга состояния поршневых
компрессоров и получить важнейший источник сокращения издержек производства в
виде ресурсосберегающей эксплуатации оборудования на основе непрерывного
мониторинга его технического состояния в реальном времени. Это позволяет
предотвращать неожиданные неисправности оборудования и остановки производства,
непрерывно, в автоматическом режиме получать и использовать объективную
информацию о техническом состоянии оборудования, контролировать и
корректировать действия персонала в реальном времени путем интегрирования
информации систем в единой диагностической сети Compacs-Net с единой базой данных
параметров мониторинга на неразрывно примыкающих друг к другу интервалах
времени, в течение которых состояние оборудования существенно не изменяется.
Все это обеспечивает мониторинг технического состояния оборудования и перевод
его на эксплуатацию по фактическому техническому состоянию.
Разработанные и успешно внедренные
НПЦ «ДИНАМИКА» на десятках предприятий системы мониторинга технического
оборудования КОМПАКС позволяют целенаправленно и надежно контролировать
состояние оборудования, в том числе поршневые компрессора. Ближайшей задачей
является принятие и утверждение на уровне Федеральных и отраслевых органов
основных положений нормативно-методической базы, разработанной НПЦ «ДИНАМИКА»,
в качестве основы для обеспечения мониторинга технического состояния машинного
оборудования, включая поршневые компрессора.
2. Разработка методики и
алгоритма обработки данных
2.1 Обработка ВА
сигналов с помощью программного обеспечения MatLab
Текст программы по обработке
сигналов, полученных с различных ПК, представлен в приложении А. Алгоритм
обработки сигналов и расчета спектральных инвариант представлен на рисунках
(2.1) и (2.2).
Первый этап обработки сигналов -
считывание сигнала из SGF-файла. Сигнал, считанный из SGF-файла с помощью
программы MatLab, приведен на рисунке 2.3.
Данный тип файлов состоит из двух
частей - описание сигнала и считанные данные. Первая часть файла «описание»
находится между открывающим и закрывающим данный раздел тегами <CAPTION> и </CAPTION> соответственно. А
вторая часть - между тегами <DATA> и </DATA>.
В разделе описания содержатся поля,
в которых после знака двоеточие указываются различные параметры сигнала,
например:
кодировка (ENCODE: DOS),
агрегат (PLANT: «Омский НПЗ»),
индекс (INDEX: 1КН2),
единицы измерения сигнала (UNITS: м/с2),
размер (SIZE: 16402),
частота дискретизации (FREQ: 20480), и т.д.
Второй раздел содержит
закодированные считанные данные виброускорения, которые были получены с
различных узлов поршневых компрессоров.
Находим шаг частоты
дискретизации
по
формуле:
, (2.1)
где
-
частота дискретизации, N
- количество считываний сигнала.
Далее для осуществления
фильтрации сигнала используем полосовой фильтр - выполняем следующие
преобразования:
преобразование Фурье
(БПФ), после чего получаем спектр сигнала.
фильтруем (обнуляем)
частоты за пределами нужного нам диапазона 4000 - 7000 Гц. Это высокочастотная
зона и здесь отсутствуют гармоники от неуравновешенности и другие
«механические», а есть только шумовая составляющая, которая модулирована сигналами
от различных дефектов.
выполняем обратное
преобразование Фурье (ОБПФ), после чего получаем фильтрованный сигнал.
Для построения спектра
огибающей ВА сигнала выполняем очередное БПФ. Так как после данного
преобразования получаем комплексные числа, то вычисляем модуль по формуле 2.2 и
получаем спектр огибающей сигнала, затем отбираем значения амплитуд первых пяти
гармоник на оборотной частоте равной 6,25 Гц (рис. 2.6).
, (2.2)
где Re(S), Im(S) - соответственно действительная и
мнимая части сигнала.
Записываем выбранные
амплитуды гармоник в файл для дальнейших расчетов в программе MS Excel.
Полученные значения виброускорения и спектральных инвариант
,
,
,
рассчитанных соответственно по формулам (2.3), (2.4), (2.5), сводим в таблицу
Б.1 (приложение Б).
, (2.3)
, (2.4)
, (2.5)
где А1, А2,
А3, А4, А5 - амплитуды 1ой,
2ой, 3ой, 4ой, 5ой гармоник в
спектре огибающей.
2.2 Методика определения
пороговых уровней диагностического параметра
Общая методика нахождения пороговых
уровней представлена на рисунках (2.7) и (2.8).
Описание методики
нахождения порогов приведем на примере расчетов для коэффициента
с
датчиков на клапанах.
Рассчитаем значения
порогов для клапанов для коэффициента K1.
2.2.1 Построение и
разделение общей гистограммы
Группирование результатов наблюдений
по интервалам предусматривает: определение размаха изменений параметра х; выбор
количества интервалов и их величины; подсчет для каждого i-го интервала [xi - xi+1] частоты ni или относительной частоты (частотности vi) попадания
варианты в интервал. В результате формируется представление ЭД в виде
интервального или статистического ряда.
Графически
статистический ряд отображают в виде гистограммы. Часто гистограмму
представляют как фигуру, состоящую из прямоугольников, основаниями которых
служат интервалы длиною h,
а высоты равны соответствующей частотности. Однако такой подход неточен. Высоту
i-го прямоугольника zi
следует выбрать равной
.
Такую гистограмму можно интерпретировать как графическое представление
эмпирической функции плотности распределения Fn(x), в ней суммарная площадь всех прямоугольников составит единицу
[28].
Для того чтобы построить общую
гистограмму определяем оптимальное число интервалов группирования ЭД (рисунок
2.7 блок 1, 2) по формуле Уильямса (2.6) [24]:
K ≤ 4 [0,75 (n-1)2]0,2, (2.6)
где K - количество интервалов (карманов),
n -
количество значений в выборке.
К ≤ 4 [0,75 (2754-1)2]0,2
≈ 90.
В данном случае для удобства
вычислений и для наглядности гистограммы будем использовать К = 60.
Длины интервалов удобно выбирать
одинаковыми и равными величине:
, (2.7)
где xmax - максимальное и xmin
- минимальное значение параметра.
Рассчитываем частотность (рисунок
2.7 блок 3) - количество значений, попавших в каждый интервал. В расчете в
программе excel частотность рассчитываем с помощью условия - если в ряде данных [x1; xn] встречается значение от a до b, в данную ячейку
прибавляется единица:
E29 = ABS (СЧЁТЕСЛИ
($A$4:$A$2754; «<=» &D29) - СЧЁТЕСЛИ ($A$4:$A$2754; «<=» &D28)),
где E29 = 0, - ячейка, содержащая
полученное значение частотности от всего ряда данных для первого интервала; $A$4 и $A$2754 - ячейки, содержащие
соответственно первое x1 и последнее xn значения всего
ряда данных (коэффициентов); D29 и D28 - ячейки, содержащие значения соответственно верхней a и нижней b границ для первого
интервала.
Растягиваем формулу для остальных 60
карманов и получаем значения частотности для каждого интервала.
Далее рассчитываем накопление ряда
(рисунок 2.7 блок 4). Для этого первому значению накопления в ячейке H29 для первого интервала
приравниваем первое значению частотности E29. Последующие значения накопления
рассчитываем так же как для второго интервала - предыдущее значение накопления
прибавить к последующему значению частотности:
H30 = (H29+E30) = 0+1 = 1,
где H29 - ячейка, содержащая значение
накопления для первого интервала; E30 - ячейка, содержащая значение частотности для второго
интервала.
Растягиваем ячейку второго интервала
на все 60 интервалов и получаем значения накоплений для всех карманов.
Далее рассчитываем процентный ряд
(рисунок 2.7 блок 5). Для этого каждую ячейку со значением накопления,
соответствующую определенному интервалу, делим на общее количество значений
коэффициентов n:
I29 = H29/$F$23 = 0/2754 = 0,
I29 - ячейка, содержащая полученное значение процентов для первого
интервала; $F$23 - ячейка, содержащая общее количество значений коэффициентов n (значком $ перед буквой
и цифрой обозначается const соответственно для столбца и строки).
По рассчитанным данным строим общую
гистограмму (рисунок 2.7 блок 6), по оси X откладываем xi (карманы), по оси Y частотность и проценты (рисунок
2.9).
Рисунок 2.9 -
Гистограмма распределения
с
датчиков на клапанах для всего набора данных
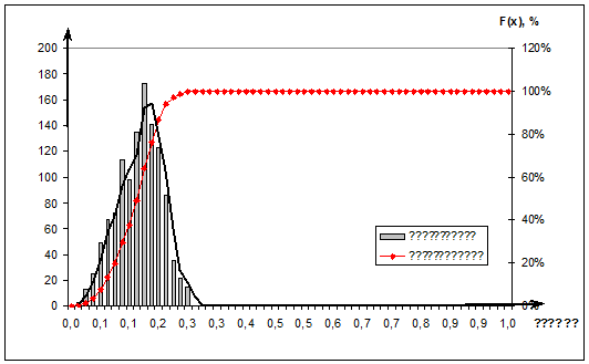
Из рисунка 2.9 видно,
что на гистограмме три явных максимума гистограммы, они соответствуют трем
состояниям ПК (Д, ТПМ, НДП). Для того, что бы определить более точно границы
перехода ПК от одного состояния в другое, рассмотрим каждую область отдельно.
Для этого устанавливаем визуальные границы между состояниями и записываем их в
ячейки (рисунок 2.7 блок 7). После чего в соответствии с установленными
границами делим ряд частотности на три интервала то, что выходит за пределы
границ, приравниваем к нулю. Получаем три столбца частотности, соответствующие
трем отдельным областям Д, ТПМ, НДП.
2.2.2 Построение
эмпирической функции распределения
Эмпирической функцией
распределения называется функция Fn(x), равная относительной частоте (доле) таких значений xi, что xi
x,
i=1,…, n,
Fn(x) =
Pn(X<x) = nx/n, (2.8)
где nx - число вариант,
меньших x. Fn(x) называют также статистической или выборочной функцией
распределения (2.9) [25].
, (2.9)
где ni - число совпадающих значений xi, и скачок в точке xi равен ni /n.
При n
эмпирическая функция распределения стремится к теоретической, Fn(xi)
F(x).
Для состояния
«Допустимо» (Д) определим эмпирическую функцию распределения (рисунок 2.8 блок
8) по формуле (2.9) [25].
Fn(x1)
=
.
В программе excel расчет эмпирической функции распределения выглядит как:
O29
= СУММ (L$29:L29)/ СУММ (L$29:L$89),
где O29 = Fn(x1) - ячейка, содержащая значение эмпирической функции распределения
для первого кармана; L$29
- ячейка, содержащая значение частотности n1
для состояния Д; L29 - ячейка, содержащая
значение частотности ni
для состояния Д; L$89 - ячейка, содержащая
значение n (последнее
значение частотности для состояния Д).
Для состояний ТПМ и НДП
рассчитываем аналогично, но используя ряды частотностей для соответствующих
состояний. Все полученные значения Fn(xi) записываем
в таблицу В.1.
После разделения общей
гистограммы на области и нахождения эмпирической функции распределения для
каждого отдельного состояния построим три гистограммы (рисунок 2.8 блок 9),
откладывая по оси Y ряды частотности и
процентного ряда (эмпирическую функцию распределения) для каждого состояния
свои.
Деление на
перечисленные выше три области используют, потому что с такими состояниями
объекта проще работать и анализировать полученные результаты, так как данные
состояния следуют строго одно за другим. Со стандартными терминами работать
намного сложнее: объект может быть исправным, но неработоспособным, или
работоспособным, но неисправным при этом не находиться в предельном состоянии и
т.д.
3. Расчет параметров
диагностических признаков
По методике расчета, представленной
в разделе 2, рассчитаем пороговые значения коэффициентов K3 и K3-5 для клапанов и K1, K3 и K3-5 цилиндропоршневой группы (ЦПГ).
3.1 Расчет порогов для
клапанов
Рассчитываем значения
порогов для клапанов для коэффициента K3.
По формуле (2.6) определяем
оптимальное количество интервалов:
К ≤ 4 [0,75 (324-1)2]0,2
≈ 40.
Рисунок 3.1 - Гистограмма
распределения K3 с датчиков на клапанах для всего набора данных
Рисунок 3.2 - Гистограмма
распределения K3 сигналов с датчиков на
клапанах, для состояния «Допустимо»
Рисунок 3.3 - Гистограмма
распределения K3 сигналов с датчиков на
клапанах, для состояния «Требует принятия мер»
Рисунок 3.4 - Гистограмма
распределения K3 сигналов с датчиков на
клапанах, для состояния «Недопустимо»
Для состояния Д построим
вариационный ряд и для него определим эмпирическую функцию распределения по
формуле (2.9):
Fn(x1)
=
.
Аналогичным образом
вычисляем для для всех остальных значений и записываем полученные значения в
таблицу В.2.
Для аппроксимации по
формулам (2.10), (2.11) находим координаты Xi,
Yi:
;
.
Аналогичным образом вычисляем
остальные координаты и заносим в таблицу В.2.
По найденным координатам
для состояния Д строим график и аппроксимируем его линейной функцией вида 
. Кривые приведены на
рисунке 3.5.
Рисунок 3.5 -
Модифицированная эмпирическая и регрессионная модели функции распределения,
-
величина достоверности аппроксимации
Из уравнения
находим
коэффициенты β1
и β0,
необходимые для расчета теоретической функции распределения. По графику видно,
что y = 1,7947x+3,2592
при значении R2=
0,99%. Следовательно, коэффициенты β1
и β0
соответственно равны 1,7947 и 3,2592. С учетом коэффициентов α=
β1 =
1,7947; β=
=0,1638;
=0,025
получаем значения функции распределения по закону Вейбула-Гнеденко (2.12):
.
Для остальных значений Xi значения
функции распределения находим таким же образом и заносим в таблицу В.2.
По полученным данным
строим график эмпирической и теоретической функции распределения (рисунок 3.6).
Рисунок 3.6 - График
теоретической и эмпирической функции распределения для области «Допустимо»
Определяем меру Линдера R2 по формуле (2.13):
.
Как видим R2 = 100%, это говорит о совпадении распределения диагностического
признака - коэффициента K3 с выбранным законом
распределения (Вейбула-Гнеденко).
Пороговое значение диагностического
признака при вероятности 0,95 для состояния Д с клапанов составило:
Для состояний «Требует принятия мер»
(ТПМ) и «Недопустимо» (НДП) рассчитываем значения порогов аналогично.
Рассчитанные значения также заносим в таблицу В.2. По полученным значениям
строим графики.
Для состояния ТПМ получаем:
Рисунок 3.7 -
Модифицированная эмпирическая и регрессионная модели функции распределения,
-
величина достоверности аппроксимации.
Рисунок 3.8 - График
теоретической и эмпирической функции распределения для области ТПМ
Определяем меру Линдера R2 по формуле (2.13):
.
Пороговое значение диагностического
признака при вероятности 0,95 для состояния ТПМ составило:
Для состояния НДП получаем:
Рисунок 3.9 -
Модифицированная эмпирическая и регрессионная модели функции распределения,
-
величина достоверности аппроксимации.
Определяем меру Линдера R2 по формуле (2.13):
.
Пороговое значение диагностического
признака при вероятности 0,95 для состояния НДП составило:
Рисунок 3.10 - График теоретической
и эмпирической функции распределения для области НДП
Рассчитываем значения
порогов для клапанов для коэффициента K3-5.
По формуле (2.6) определяем
оптимальное количество интервалов: К ≤ 4 [0,75 (7118-1)2]0,2
≈ 130. В данном случае для удобства вычислений и для наглядности
гистограммы будем использовать К = 60.
Рисунок 3.11 - Гистограмма
распределения K3-5 с датчиков на клапанах для всего набора данных
Рисунок 3.12 - Гистограмма
распределения K3-5 сигналов с
датчиков на клапанах, для состояния «Допустимо»
Рисунок 3.13 - Гистограмма
распределения K3-5 сигналов с
датчиков на клапанах, для состояния «Требует принятия мер»
Рисунок 3.14 - Гистограмма
распределения K3-5 сигналов с
датчиков на клапанах, для состояния «Недопустимо»
Для состояния Д построим
вариационный ряд и для него определим эмпирическую функцию распределения по
формуле (2.9):
Fn(x1)
=
.
Аналогичным образом
вычисляем для всех остальных значений и записываем полученные значения в
таблицу В.3.
Для аппроксимации по
формулам (2.10), (2.11) находим координаты Xi,
Yi:
;
.
Аналогичным образом вычисляем
остальные координаты и заносим в таблицу В.3.
По найденным координатам
для состояния Д строим график и аппроксимируем его линейной функцией вида 
. Кривые приведены на
рисунке 3.15.
Рисунок 3.15 -
Модифицированная эмпирическая и регрессионная модели функции распределения,
-
величина достоверности аппроксимации
Из уравнения
находим
коэффициенты β1
и β0,
необходимые для расчета теоретической функции распределения. По графику
(рисунок 3.15) видно, что y
= 2,7605x+5,0414
при значении R2=
0,99%. Следовательно, коэффициенты β1
и β0
соответственно равны 2,7605 и 5,0414. С учетом коэффициентов α=
β1=
2,7605; β=
=
0,1638;
=
0,017 получаем значения функции распределения по закону Вейбула-Гнеденко
(2.12):
.
Для остальных значений Xi значения
функции распределения находим таким же образом и заносим в таблицу В.3.
По полученным данным
строим график эмпирической и теоретической функции распределения (рисунок
3.16).
Рисунок 3.16 - График
теоретической и эмпирической функции распределения для области «Допустимо»
Определяем меру Линдера R2 по формуле (2.13):
.
Как видим R2 = 100%, это говорит о совпадении распределения диагностического
признака - коэффициента K3-5 с выбранным
законом распределения (Вейбула-Гнеденко).
Пороговое значение диагностического
признака при вероятности 0,95 для состояния Д с клапанов составило:
Для состояний «Требует принятия мер»
(ТПМ) и «Недопустимо» (НДП) рассчитываем значения порогов аналогично.
Рассчитанные значения также заносим в таблицу В.3. По полученным значениям
строим графики.
Для состояния ТПМ получаем:
Рисунок 3.17 -
Модифицированная эмпирическая и регрессионная модели функции распределения,
-
величина достоверности аппроксимации
Рисунок 3.18 - График
теоретической и эмпирической функции распределения для области ТПМ
Определяем меру Линдера R2 по формуле (2.13):
.
Пороговое значение диагностического
признака при вероятности 0,95 для состояния ТПМ составило:
Для состояния НДП получаем:
Рисунок 3.19 - Модифицированная
эмпирическая и регрессионная модели функции распределения,
-
величина достоверности аппроксимации
Определяем меру Линдера R2 по формуле (2.13):
.
Рисунок 3.20 - График теоретической
и эмпирической функции распределения для области НДП
Пороговое значение диагностического
признака при вероятности 0,95 для состояния НДП составило:
3.2 Расчет порогов для
цилиндропоршневой группы
Полученные с ЦПГ
значения виброускорения и рассчитанные значения спектральных инвариант
,
,
соответственно
по формулам (2.3), (2.4), (2.5) приведены в таблице Б.2 (приложение Б).
Рассчитываем значения
порогов для ЦПГ для коэффициента K1.
По формуле (2.6) определяем
оптимальное количество интервалов:
К ≤ 4 [0,75 (2341-1)2]0,2
≈ 84.
В данном случае для удобства
вычислений и для наглядности гистограммы будем использовать К = 60.
Рисунок 3.21 - Гистограмма
распределения K1 с датчиков на ЦПГ для всего набора данных
Рисунок 3.22 - Гистограмма
распределения K1 сигналов с датчиков на
ЦПГ, для состояния «Допустимо»
Рисунок 3.23 - Гистограмма
распределения K1 сигналов с датчиков на
ЦПГ, для состояния «Требует принятия мер»
Рисунок 3.24 - Гистограмма
распределения K1 сигналов с датчиков на
ЦПГ, для состояния «Недопустимо»
Для состояния Д построим
вариационный ряд и для него определим эмпирическую функцию распределения по
формуле (2.9):
Fn(x1)
=
.
Аналогичным образом
вычисляем для для всех остальных значений и записываем полученные значения в
таблицу В.4.
Для аппроксимации по
формулам (2.10), (2.11) находим координаты Xi,
Yi:
;
.
Аналогичным образом вычисляем
остальные координаты и заносим в таблицу В.4.
По найденным координатам
для состояния Д строим график и аппроксимируем его линейной функцией вида 
. Кривые приведены на
рисунке 3.25.
Рисунок 3.25 -
Модифицированная эмпирическая и регрессионная модели функции распределения,
-
величина достоверности аппроксимации.
Из уравнения
находим
коэффициенты β1
и β0,
необходимые для расчета теоретической функции распределения. По графику
(рисунок 3.25) видно, что y = 6,0901x+8,6563
при значении R2=
0,99%. Следовательно, коэффициенты β1
и β0
соответственно равны 6,0901 и 6,6563. С учетом коэффициентов α=
β1=
6,0901; β=
=
0,2455;
=
0,017 получаем значения функции распределения по закону Вейбула-Гнеденко
(2.12):
.
Для остальных значений Xi значения
функции распределения находим таким же образом и заносим в таблицу В.4.
По полученным данным
строим график эмпирической и теоретической функции распределения (рисунок
3.26).
Рисунок 3.26 - График
теоретической и эмпирической функции распределения для области «Допустимо»
Определяем меру Линдера R2 по формуле (2.13):
.
Как видим R2 = 100%, это говорит о совпадении распределения диагностического
признака - коэффициента K1 с выбранным законом
распределения (Вейбула-Гнеденко).
4. Безопасность
жизнедеятельности
4.1 Защита в чрезвычайной
ситуации
4.1.1 Действия персонала
на НПЦ «Динамика» при угрозе и возникновении ЧС природного и техногенного
характера
НПЦ «Динамика» расположено в
помещениях офисного типа. Деятельность организации - оборудование для
автоматизации промышленных предприятий, экспертиза промышленной безопасности.
К чрезвычайным ситуациям (ЧС)
природного характера относятся явления, связанные с проявлением стихийных сил
природы, - землетрясения, наводнения, извержения вулканов, оползни, сели,
ураганы, смерчи, бури, природные пожары и др.
Техногенные ЧС - это ситуации,
которые возникают в результате производственных аварий и катастроф на объектах,
транспортных магистралях; пожаров, взрывов на объектах; загрязнения местности и
атмосферы сильнодействующими ядовитыми веществами (СДЯВ), отравляющими
веществами (ОВ), биологически (бактериологически) опасными и радиоактивными
веществами [31].
Так как данное предприятие не
относится к опасным производственным объектам, СДЯВ на предприятии не
используются, не имеется биологически опасных и радиоктивных веществ, не
производятся и не являются результатом деятельности, то на данном предприятии
рассматривается ЧС техногенного характера - пожары на предприятии.
ЧС природного и техногенного
характера могут возникнуть внезапно или после различного по продолжительности
периода угрозы возникновения. Исходя из этого, период угрозы возникновения ЧС
должен быть в максимальной мере использован для предотвращения ЧС или
уменьшения возможного ущерба.
1. Порядок оповещения
администрации и персонала об угрозе возникновения ЧС:
- оповещение руководителей персонала
отделения о ЧС на занимаемой учреждением территории производится по
разработанной схеме оповещения;
оповещение администрации и персонала
учреждения о ЧС в нерабочее (ночное) время производится по телефону
(сотрудником-сторожем, осуществляющим дежурство);
в первую очередь оповещается
администрация учреждения, а затем, в зависимости от обстановки, остальной
персонал;
в рабочее время сотрудники
учреждения оповещаются голосовым способом и по телефону;
при приеме районного
предупредительного сигнала «Внимание всем» (вой сирен) все радиоточки,
телевизоры и радиоприемники учреждения перевести в режим приема речевых
сообщений, передаваемых главным управлением по делам ГО и ЧС города (области,
края и т.д.).
2. О мерах по сохранению
материальных ценностей в период угрозы и возникновения ЧС:
- все сотрудники учреждения должны
принимать меры по сохранению материальных ценностей при угрозе или
возникновении ЧС;
в период проведения мероприятий по
защите от ЧС или ликвидации их последствий должны приниматься меры по
предотвращению или уменьшению возможного материального ущерба учреждению, по
охране имущества и оборудования.
4.1.2 Безопасность
персонала при ЧС на НПЦ «Динамика»
Помещения размещены в одно-,
двухэтажном здании, второй степени огнестойкости. Здание находится в районе
выезда 2 ПЧ 6 ОГПС МЧС России Омской области. Здание оборудовано внутренним
противопожарным водопроводом, автоматической пожарной сигнализацией и системой
оповещения людей на случай пожара. Имеется подвальное и чердачное помещения в
зданиях, деревянные конструкции чердачного помещения обработаны огнезащитным
составом. Имеются огнетушители, дополнительные выходы из здания, которые
необоходимы при возникновении различных чрезвычайных ситуаций. Также на
предприятии есть ответственный по пожарной безопасности и дополнительно на
каждом этаже закреплен работник, ответственный за пожарную безопасность, в
случае возникновения пожара.
Таблица 4.1. Действия персонала НПЦ
«Динамика» при возникновении пожара
|
Действия
|
Порядок и последовательность
действий
|
|
Сообщение о пожаре
|
Сообщить по тел. 01 в центральную диспетчерскую города или по
тел. 21-63-70 в районную пожарную охрану, указав место горения, адрес,
фамилию и должность сообщавшего. Сообщить о пожаре по ретрансляционной сети.
Включить систему оповещения.
|
|
Эвакуация людей
|
Открыть основные и запасные двери. Эвакуировать персонал из
здания.
|
|
Тушение пожара
|
Отключить вспомогательные электроустановки. Локализовать очаг
горения. Тушить первичными средствами пожаротушения.
|
|
Эвакуация материальных ценностей
|
Ценности и дорогостоящие оборудование эвакуируется через
запасные выходы, складируется и ставится под охрану Зам. Директора.
|
|
Встреча пожарного подразделения
|
Встретить пожарное подразделение у главного входа со стороны
фасада здания. Доложить обстановку о местах возгорания, наличии людей в
здании, принятых мерах пожаротушения. Указать места установки пожарных
автомобилей и пожарный водоем: W=700
м3 со стороны пересечения улиц Рабиновича и Чернышевского.
|
Чтобы снизить риск возникновения
пожара, необходимо соблюдать меры пожарной безопасности, которые включают в
себя первичные меры пожарной безопасности и профилактические действия по
предупреждению пожаров [33].
На предприятии НПЦ «Динамика»
выполняются следующие первичные меры пожарной безопасности:
· производится
очистка всей территории от горючего мусора;
· при строительстве
используются негорючие материалы;
· вокруг территории
предприятия созданы огнестойкие преграды;
· установлены щиты с
противопожарным инвентарем, ящики с песком, обеспечен свободный подъезд к
пожарным гидрантам;
· установлены
автоматические средства извещения и тушения пожаров;
· установлены ворота
и двери открывающиеся наружу;
· содержатся в полной
исправности электропроводка, оборудование, осуществляются периодические их
проверки;
Также на предприятии проводятся
профилактические действия по предупреждению пожаров:
· организация
обучения сотрудников мерам противопожарной безопасности;
· соблюдение
сотрудниками организации противопожарного режима;
· разработка
администрацией организации инструкций по мерам пожарной безопасности и
проведение противопожарных инструктажей с рабочими и служащими;
· разработка и
вывешивание на видных местах планов эвакуации;
· периодическое
проведение тренировок по тушению возгорания и эвакуации людей.
4.1.3 Пожаробезопасное
поведение персонала
По статистике более 70% пожаров
происходит в результате безответственного отношения отдельных граждан к
правилам пожарной безопасности, незнания основ пожаробезопасного поведения и
неумения предвидеть последствия такого разрушающего бедствия, как пожар.
Поэтому руководители организаций обязаны не только принимать меры по
обеспечению пожаробезопасности объектов, но и вести противопожарную пропаганду,
а также организовывать противопожарную подготовку работников, не допускать к
работе сотрудников, не прошедших противопожарный инструктаж [33].
Для предупреждения пожаров на
персонал предприятия НПЦ «Динамика» возложены и выполняются следующие
требования, описанные в инструкции по пожарной безопасности для работников
данного предприятия:
· соблюдать
требования пожарной безопасности и противопожарный режим;
· соблюдать меры
предосторожности при проведении работ с легковоспламеняющимися и горючими
жидкостями и другими пожароопасными веществами, материалами и оборудованием;
· знать места
расположения первичных средств пожаротушения и уметь ими пользоваться;
· немедленно сообщать
своему непосредственному руководителю об обнаруженных нарушениях
противопожарного режима или правил пожарной безопасности;
· выполнять в
установленный срок предписания должностных лиц по устранению нарушений
требований пожарной безопасности.
4.2 Охрана труда
4.2.1 Влияние освещения
на условия труда
В рассматриваемом помещении младшего
научного сотрудника по обработке данных предусмотрено естественное боковое
освещение, представленное двумя оконными проемами. Для искусственного освещения
используются люминесцентные лампы, потолок в помещении белого цвета, на стенах
светлые обои, пол коричневый.
Рациональное освещение помещений и
рабочих мест - один из важнейших элементов благоприятных условий труда. При
правильном освещении повышается производительность труда, улучшаются условия
безопасности, снижается утомляемость. При недостаточном освещении рабочий плохо
видит окружающие предметы и плохо ориентируется в производственной обстановке.
Успешное выполнение рабочих операций требует от него дополнительных усилий и
большого зрительного напряжения. Неправильное и недостаточное освещение может
привести к созданию опасных ситуаций. Наилучшие условия для полного зрительного
восприятия создает солнечный свет.
Недостаток естественного света
возникает вследствие недостаточной площади световых проемов, их загрязненности;
неправильно спланированного освещения - вуалирующие отражения, неблагоприятное
распределение яркости в поле зрения, прямая и отражённая от экрана блескость; а
также нерациональное расположение рабочего стола относительно источников
естественного света.
Освещение производственных помещений
характеризуется количественными и качественными показателями, нормы которых
также должны соблюдаться при планировке рабочих помещений для оптимальной
работы трудящегося.
4.2.2 Количественные
показатели освещения рабочих мест
Поскольку к зрительному анализатору
человека предъявляется все большие требования в процессе его трудовой
деятельности, ему необходимо обеспечить такие условия, которые уменьшили бы
напряжение и утомление зрения. Так, благоприятное действие на функции глаза
оказывает рациональное как с физиологической, так и с художественной точки
зрения цветовое оформление или окраска производственных помещений и рабочих
мест.
Основная цель применения цвета
заключается в повышении производительности труда и повышения эстетической
удовлетворенности человека. Цвет не только окружает, но и постоянно
воздействует на человека. Влияние его сильно сказывается на его
трудоспособности.
Установлено, что красные, оранжевые,
желтые цвета («теплые тона») действуют на человека возбуждающе: расширяют
зрачки, учащают пульс и в конечном итоге вызывают общее утомление.
Наоборот, синие, голубые, зеленые
цвета («холодные тона») успокаивают и уменьшают зрительную утомляемость.
При работе, требующей постоянной
сосредоточенности или однообразных действий, предпочтительнее оттенки холодных
цветов - зеленого, сине-зеленого, так как взгляд на эти цвета вызывает чувство
облегчения.
При работе, периодически требующей
интенсивности умственной или физической нагрузки, рекомендуются оттенки теплых
цветов, которые вызывают активность.
Основными светотехническими
показателями являются:
. Световой поток, F - соответствующая энергетическому
потоку излучения световая величина, то есть мощность излучения, воспринимаемая
нормальным человеческим глазом. Единица измерения - люмен (лм).
Большую роль играет рациональное
направление световых потоков. Равномерность освещения рабочих поверхностей и
помещения в целом достигается таким размещением светильников, при котором на
рабочих поверхностях должны отсутствовать резкие тени, так как они создают
неравномерное распределение яркости, искажают форму и размеры объектов и
вызывают утомление зрения. Однако нежелательно и полностью рассеянное,
бестеневое освещение, так как при этом плохо различаются рельефные поверхности.
. Сила света - световой поток dF, распространяющийся
внутри телесного угла dΩ:
, (4.1)
Единица измерения - кандела (кд).
. Яркость L - отношение силы света dI, излучаемого в
рассматриваемом направлении, к площади освещенной поверхности dS:
, (4.2)
где
-
угол между нормалью к элементу поверхности dS
и направлением, для которого рассчитывается яркость. Единица измерения -
кандела на квадратный метр (кд/м2).
Яркость рассматриваемого
помещения L = 476 кд/м2.
Яркость освещения
рабочей поверхности и окружающего пространства должна распределяться по
возможности равномерно, так как при переходе взгляда с ярко освещенной
поверхности на слабо освещенную и наоборот глаз должен адаптироваться, что
вызывает его утомление. Равномерному распределению яркости способствует светлая
окраска потолка, стен, оборудования.
. Освещенность E - отношение светового потока dF,
падающего на элемент поверхности, к площади этого элемента dS:
. (4.3)
Единица измерения - люкс (лк).
Увеличение освещенности рабочей
поверхности до определенного предела повышает остроту зрения, т.е. способность
глаз раздельно воспринимать две точки, расположенные на некотором расстоянии
одна от другой [32].
5. Расчет
конструкторской разработки
В условиях современного
высокоразвитого промышленного производства очевидной становится перспектива
снижения затрат на системы мониторинга и диагностики за счет создания
специализированного программного обеспечения для резкого повышения
производительности экспертов и, по возможности, отказа от них в типовых
диагностических ситуациях, удельный вес которых превышает девяносто процентов.
Именно с этими целями ведутся
активные работы по созданию математического и программного обеспечения,
заменяющего эксперта в задачах интерпретации результатов, получаемых системами
мониторинга.
Для определения
трудовых затрат на проектирование устройства (прибора, стенда) необходимо
разбить работу на этапы, определить трудоемкость и назначить исполнителей.
Разработка
конструкторской документации делится на несколько этапов:
техническое задание
(техническое предложение);
эскизный проект;
технический проект;
рабочая
документация.
Поправочные
коэффициенты К1, К2, К3, К4 примем равными единице так как - фактический формат
документации соответствует указанной, тип производства единичный, для
выполненных чертежей масштаб не учитывается и в разработке не используются
аппликации и оригиналы для графических и текстовых документов [36].
Определим затраты труда по отдельным
видам работ и конкретным исполнителям для каждого этапа проектирования,
количество конструкторской документации для каждого этапа проектирования
(документация приведена в формате А4), коэффициенты приведения, нормы времени и
квалификацию исполнителей.
Данные по трудоемкости
проектирования приведены в таблице 5.1.
Таблица 5.1. Трудоемкость по стадиям
разработки
|
Наименование работы
|
Единица объема
|
Норма времени, ч
|
Объем работы, шт.
|
Трудоемкость, ч
|
|
Техническое предложение
|
|
Пояснительная записка к техническому предложению
|
Лист формата А4
|
4,8
|
10
|
48
|
|
Подбор и изучение литературы
|
|
|
|
100
|
|
Итого
|
|
|
|
148
|
|
Эскизный проект
|
|
Обработка сигналов
|
Лист формата А4
|
1,06
|
4
|
4,24
|
|
Расчет карманов
|
|
1,06
|
6
|
6,36
|
|
Построение гистограмм
|
|
1,06
|
6
|
6,36
|
|
Нахождение порогов
|
|
1,06
|
6
|
6,36
|
|
Разработка раздела «БЖД»
|
|
4,1
|
7
|
28,7
|
|
Определение трудоемкости
|
|
4,1
|
4
|
16,4
|
|
Составление пояснительной записки
|
|
4,1
|
65
|
266,5
|
|
Итого
|
|
|
|
281,62
|
|
Технический проект
|
|
Чертеж общего вида
|
Лист формата А1
|
32,1
|
1
|
32,1
|
|
Прочие чертежи
|
Лист формата А1
|
32,1
|
5
|
160,5
|
|
Итого
|
|
|
|
192,6
|
|
Рабочая конструкторская документация
|
|
Чертеж компрессора
|
Лист формата А4
|
0,62
|
1
|
0,62
|
|
Перечень элементов
|
Строка
|
0,12
|
40
|
4,8
|
|
Итого
|
|
|
|
5,42
|
Расчет общей трудоемкости по стадиям
выполнения конструкторской работы производится по формуле:
, (5.1)
где Tоб - общая трудоемкость конструкторской работы; Tc - затраты времени
на соответствующую стадию выполнения конструкторской работы; Tc1, Tc2, Tc3, Tc4 - затраты времени на
разработку технического предложения, эскизного проекта, технического проекта,
рабочей документации [36].
В таблице 5.2. приведена общая
трудоемкость конструкторской разработки.
Таблица 5.2. - Общая трудоемкость
разработки
|
Наименование раздела
|
Трудоемкость, чел./час
|
|
Техническое предложение
|
148
|
|
Эскизный проект
|
281,62
|
|
Технический проект
|
192,6
|
|
Разработка конструкторской документации
|
5,42
|
|
Итого
|
627,64
|
В проекте была определена общая
трудоемкость конструкторской разработки, она составила около 627 нормо-часов.
Определить стоимость конструкторской разработки можно, исходя из стоимости
одного нормо-часа на конкретном предприятии.
Заключение
В результате выполненной дипломной
работы разработана методика определения порогов вибропараметров, согласно
которой произведена обработка трендов виброакустических сигналов,
соответствующих различным техническим состояниям узлов поршневых компрессоров.
На основе обработки базы данных трендов виброакустических сигналов, снятых с
датчиков на клапанах, цилиндропоршневой группы установлены нормативные значения
диагностических признаков.
В процессе решения этой задачи была
произведена аппроксимация эмпирических функций распределения для клапанов и
цилиндропоршневой группы. Для каждого узла произведен расчет и вычислены
границы «допустимо», «требует принятия мер» и «недопустимо». Достоверность
аппроксимации для полученных функций распределения составляет не менее 98%.
Полученные нормативные значения
(таблица 6.1) применимы ко всем видам ПК при расположении датчиков в
соответствующих местах, их можно рекомендовать к практическому использованию
при диагностировании технического состояния узлов поршневых компрессоров.
Таблица 6.1. Полученные нормативные
величины диагностических признаков узлов поршневых компрессоров
|
Состояния
|
Узлы поршневого компрессора
|
|
Клапаны
|
Цилиндропоршневая группа
|
|
K1
|
K3
|
K3-5
|
K1
|
K3
|
K3-5
|
|
Д
|
0.294
|
0.299
|
0.244
|
0.294
|
0.308
|
0.271
|
|
ТПМ
|
0.608
|
0.568
|
0.591
|
0.644
|
0.576
|
0.536
|
|
НДП
|
0.923
|
0.825
|
0.916
|
0.924
|
0.853
|
0.885
|
поршневой компрессор неисправность
вибросигнал
Библиографический
список
1. Костюков В.Н. Мониторинг безопасности производства. - М.:
Машиностроение, 2002. - 224 с.
2. Костюков В.Н., Бойченко С.Н., Костюков А.В.
Автоматизированные системы управления безопасной ресурсосберегающей
эксплуатацией оборудования нефтеперерабатывающих и нефтехимических производств
/ Под ред. В.Н. Костюкова. - М.: Машиностроение, 1999. - 163 с.
. Стандарт ассоциации «Ростехэкспертиза», ассоциации
нефтехимиков и нефтепереработчиков и НПС РИСКОМ «Системы мониторинга агрегатов
опасных производственных объектов» общие технические требования. Серия 03/
Колл. авт. - М.: Химическая техника, 2005. - 42 с., согласованный Федеральной
службой по экологическому, технологическому и атомному надзору РФ письмом
№11-16/219 от 1 февраля 2005 года.
. Петрова М.А. Применение распределения Вейбулла-Гнеденко
при анализе течения этнопологического конфликта. // Социология: 4М. 2003 г.
№16, с. 114-123.
. ПБ 03-582-03 Правила устройства и безопасной эксплуатации
компрессорных установок с поршневыми компрессорами, работающими на
взрывоопасных и вредных газах. Утверждены Постановлением Госгортехнадзора
России от 05.06.2003 №61.
. Костюков В.Н., Бойчеко С.Н., Костюков А.В.
Автоматизированные системы управления безопасной ресурсосберегающей
эксплуатацией оборудования нефтеперерабатывающих и нефтехимических производств
/ Под ред. В.Н. Костюкова. - М.: Машиностроение, 1999. - 163 с.
. Мониторинг технического состояния поршневых компрессоров
// Дуросов В.М., Костюков В.Н., Науменко А.П., Пидсадний А.С. Компрессорная
техника и пневматика. 2004 г. №6, с. 6-12.
8. Костюков В.Н. Нормирование параметров вибрации при
диагностике поршневых компрессоров // Потребители-производители компрессоров и
компрессорного оборудования: Тр. VII междунар. симпозиума. - С-Пб: Изд-во СПбТГУ. 2001. - С. 90-93.
9. Костюков В.Н., Бойченко С.Н., Костюков А.В.
Автоматизированные системы управления безопасной ресурсосберегающей
эксплуатацией оборудования нефтеперерабатывающих и нефтехимических производств
/ Под ред. В.Н. Костюкова. - М.: Машиностроение, 1999. - 163 с.
10. Костюков В.Н., Науменко А.П. Система мониторинга
технического состояния поршневых компрессоров нефтеперерабатывающих производств
// Нефтепереработка и нефтехимия. Научно-технические достижения и передовой
опыт. 2006. №10, с. 38-48.
11. А.с. 783621 СССР, МКИ G 01 M 15/00. Устройство для диагностики
циклических механизмов / В.Н. Костюков, С.А. Морозов и Г.Я. Зименс // Опубл.
30.11.80, Бюл. №44.
. Система автоматического мониторинга состояния поршневых и
центробежных компрессоров КОМПАКС» / Дуросов В.М., Коренякин А.Ф., Костюков
В.Н., Науменко А.П., Пидсадний А.С., Сагиров В.Х., Стариков В.А.
Потребители-производители компрессоров и компрессорного оборудования 2004: Тр.
Х междунар. симпозиума. - С-Пб: Изд-во СПбТГУ. 2004. - С. 154-164.
. Пат. 1280961 РФ, МКИ F 04 B 51/00, G01M13/02. Способ виброакустической
диагностики машин периодического действия и устройство для его осуществления /
В.Н. Костюков // Открытия. Изобретения. 1986. №48.
. Костюков В.Н., Науменко А.П. Вибродиагностика поршневых
компрессоров // Компрессорная техника и пневматика. 2002. №3, с. 30-31.
. Костюков В.Н., Науменко А.П. Опыт вибродиагностики
поршневых машин // Двигатель-97: Материалы МНТК. - М.: Изд-во МГТУ. 1997. - 73
с.
. Костюков В.Н., Науменко А.П. Виброакустическая
диагностика поршневых машин крейцкопфного типа // Материалы III МНТК «Динамика
систем, механизмов и машин». - Омск: 1999. - 207 с.
. Костюков В.Н., Науменко А.П. Безразборная диагностика
состояния поршневых машин // Неразрушающий контроль и диагностика: Тез. докл.
15 росс. науч.-техн. конф. Том 1. - М.: РОНКТД. 1999 г. - 296 с.
. Науменко А.П. Отчет «Анализ параметров огибающей
виброускорения», 2005 г. 67c. 1. Справочная книга по светотехнике / Под ред. Ю.Б. Айзенберга.
- М.: Энергоатомиздат. 1983. - 471 с.
. ГОСТ 20911-89 Техническая диагностика. Термины и
определения. - М.: ФГУП «Стандартинформ». 2005 г. - 9 с.
. ИСО 10816/6: 2000 Вибрация. Оценка состояния машин по
результатам измерения вибрации на невращающихся частях. Часть 6. Машины
возратно-поступательного действия номинальной мощность свыше 100 кВт. - М.: ИПК
Изд-во стандартов. 2007. - 20 с.
. Автоматизированные системы управления безопасной
ресурсосберегающей эксплуатацией оборудования нефтеперерабатывающих и
нефтехимических производств. B.H. Костюков. С.Н. Бойченко. А.В. Костюков: Под ред. В.Н. Костюкова.
- М.: Машиностроение. 1999. - 163 с.
. Генкин М.Д., Соколова А.Г. Виброакустическая диагностика
машин и механизмов. - М.: Машиностроение. 1987. - 288 с.
23. Костюков В.Н., Науменко А.П. Нормативно-методическое
обеспечение мониторинга технического состояния поршневых компрессоров //
Контроль. Диагностика. 2005. №11, с. 20-23.
24. ИСО 10816/2: 2001 Вибрация. Оценка состояния машин по
результатам измерения вибрации на невращающихся частях. Часть 2. Крупные
стационарные паровые турбины и генераторы мощность свыше 50 МВт и номинальной
скоростью 1500, 1800, 3000 и 3600 об/мин. - М.: ИПК Изд-во стандартов. 1999. -
16 с.
25. ИСО 10816/5: 2000 Вибрация. Оценка состояния машин по
результатам измерения вибрации на невращающихся частях. Часть 5. Агрегаты на
гидроэлектростанциях и насосных станциях. - М.: ИПК Изд-во стандартов. 2005. -
37 с.
26. Костюков В.Н. Науменко А.П. Состояние и перспективы
развития современных методов и средств мониторинга состояния и диагностики
поршневых компрессоров: Тр. Ш междунар. симпозиума. - С-Пб: Изд-во СПбТГУ.
1997. - 29 с.
. ГОСТ ИСО 7919/3-2002 Вибрация. Контроль состояния машин
по результатам измерения вибрации на вращающих валах. Промышленные машины и
комплексы. - М.: ФГУП «Стандартинформ». 2007. - 5 с.
. Костюков В.Н. Науменко А.П. Мониторинг состояния
поршневых компрессоров Ц Потребители-производители компрессоров и
компрессорного оборудования: Тр. Ш междунар. симпозиума. - С-Пб: Изд-во СПбТГУ,
1997. - С. 254-256.
. Ястребова Н.А. и другие. Техническая диагностика и ремонт
компрессоров. - М.: ЦНИИТ Эхимнефтемаш. 1991. - Ч. 2. 60 с.
30. Костюков В.Н., Бойченко С.Н., Науменко А.П. Способ
вибродиагностики технического состояния поршневых машин по спектральным
инвариантам: пат. 2 337 341 Рос. Федерация. 2007113529/28; заявл. 11.04.2007; опубл.
27.10.2008, Бюл. №30. 18 с.
31. Безопастность жизнедеятельности. / Под ред. профессора Э.А.
Арустамова. Изд. 10-е, перераб. и доп. - М.: Издательство-торговая корпорация
«Дашков и Кº». 2006. - 474 с.
32. Охрана труда и производственная безопасность / А.А.
Раздорожный. - М.: Издательство «Экзамен». 2006. - 510 с.
. Пожарная безопасность зданий. Ответственность
руководителя, минимизация рисков. / Под ред. Е.Г. Цветкова. Издательство Форум
Медиа. 2008-2010 г.
. Производственное освещение. / методические указания к
практическим занятиям и л. р. по курсу «Безопасность жизнедеятельности» / Н.В.
Горшенина, Л.Г. Стишенко. - Омск: 2001 г.
. СНиП 23.05-95. Естественное и искусственное освещение:
Строительные нормы и правила. - М.: 1996 г.
. Типовые нормы времени на разработку конструкторской
документации. / Под ред. М.Ю. Чинякова. Изд. 2-е, перераб. и доп. - М.:
Экономика. 1991. - 43 с.