Особенности изменения адаптационного потенциала личности от первого ко второму курсу у учащихся вузов

  • Вид работы:
    Другое
  • Предмет:
    Психология
  • Язык:
    Русский
    ,
    Формат файла:
    MS Word
    450,37 Кб
  • Опубликовано:
    2013-08-20
Вы можете узнать стоимость помощи в написании студенческой работы.
Помощь в написании работы, которую точно примут!

Особенности изменения адаптационного потенциала личности от первого ко второму курсу у учащихся вузов













Особенности изменения адаптационного потенциала личности от первого ко второму курсу у учащихся вузов


А. А. Сидорова

Проблема адаптации является одной из самых трудных и наиболее глобальных сложнейших задач современной психологии. Адаптация - это постоянный процесс приспособления к условиям физической и социальной среды, затрагивающий все уровни функционирования человеческого организма и психики.

Обучение в вузе в определенной степени сопряжено с проблемой адаптации. Выпускник школы, поступив в вуз, оказывается в новых для себя условиях, что запускает адаптационные процессы в организме и личности. Соответственно от того, насколько успешно будет протекать процесс адаптации, будет зависеть и успешность его обучения и становления как будущего специалиста.

Особенно остро стоит эта проблема относительно первых курсов, когда изменяется сам стереотип отношения к учебной среде, когда выпускник школы адаптируется к новым для него условиям. На данном этапе проблемы адаптации студента вызывают не только социальные трудности, но и трудности связанные с учебной деятельностью [9].

Таким образом, адаптация в первые два года играет большую роль в становлении субъекта как будущего специалиста, выявив особенности адаптационных механизмов на этом этапе, можно скорректировать возможные проблемы, тем самым, повысив уровень адаптационного потенциала личности.

Ещё в древности философы задумывались над тем, что обеспечивает гармоничное существование человека. Взгляды на проблему адаптации изменялись исходя из общих философских воззрений. И до сих пор существуют различные точки зрения на проблему адаптации.

Так А.Б. Георгиевский даёт следующее определение: "Адаптация есть особая форма отражения системами воздействия внешней и внутренней среды, заключающаяся в тенденции к установлению с ними динамического равновесия" [4, с. 27].

А.А. Реан в своих работах указывает на то, что "адаптация - это процесс и результат внутренних изменений, внешнего активного приспособления и самоизменения индивида к новым условиям существования "[7, с. 5].

Степанова С.И. считает, что адаптация лежит в основе качественной стабильности целостного и в то же время противоречивого жизненного процесса [8].

Различные психологические школы рассматривают адаптацию исходя из своих основных принципов, которые зачастую очень рознятся. Так, например, психологи-когнитивисты считают, что проблема адаптации обеспечивается развитием от простейших двигательных координаций до абстрактно-логических рассуждений, а в рамках поведенческого подхода адаптация рассматривается в рамках поведения, где условно поведенческий акт равен адаптационному [6, 7].

На данный момент в психологии принято рассматривать адаптацию в четырёх аспектах [5]: как процесс, как результат, как цель организма и как его свойство. Необходимо отметить, что существенным моментом адаптации в отношении человека является многомерность, разноплановость её носителя. Исходя из положения об иерархическом понимании человека, его психики, можно выделить три уровня адаптации: физиологический, психологический и социальный, при этом говорят о физиологической, психической и социальной адаптации, а иногда к этому добавляют психофизиологическую и социально-психологическую адаптацию [5].

Таким образом, адаптация - это постоянный процесс приспособления к условиям физической и социальной среды, затрагивающий все уровни функционирования человеческого организма и психики.

Обратимся к проблемам адаптации студентов в первые два года обучения. В рамках данной проблематики будут рассмотрены результаты психодиагностических исследований, проведённых на базе ВМедА, ВИВВМВД и ЛГУ им. А.С. Пушкина (факультет психологии). Исследование было проведено методом поперечных срезов. Стоит отметить, что адаптацию к учебной среде вуза можно рассматривать в совершенно разных аспектах. С одной стороны, приспособление к изменению учебных программ обеспечивается достаточным интеллектуальным уровнем, развитием необходимых для освоения данных программ способностей [3]. С другой стороны, адаптация к новому коллективу, нормам обеспечивается за счёт определённых личностных особенностей [1, 2]. Степень же адаптированности к среде вуза, зачастую обуславливается и возможностью принять данную среду, соответствующей мотивацией на получение данной специальности.

Именно этими особенностями был обусловлен выбор методик: МЛО "Адаптивность", КР-3-85, "Социально-психологическая комфортность среды". Рассмотрим результаты, полученные в ходе психодиагностического обследования, студентов ЛГУ им А.С. Пушкина факультета психологии.

В ходе сравнения результатов психодиагностического исследования у студентов 1 и 2 курсов были выявлены достоверные различия по показателям, характеризующим уровень развития психических познавательных процессов (р<0,001) (табл. 1). Области достоверности различий между значениями показателей, характеризующих уровень развития психических познавательных

процессов студентов 1-2 курсов ЛГУ

им. А.С. Пушкина

Шкалы

х1±т1 (1 курс)

х2±т2 (2 курс)

1-критерий

"Аналогии"

16,47± 0,62

21,86± 0,83

-5,211***

"Числовые ряды"

12,54± 0,62

15,59± 0,61

-3,958**

"Зрительная память"

14,63± 0,76

22,93± 0,65

-9,281***

"Образное мышление"

14,06± 1,55

19,09± 1,01

-4,316***

"Арифметический счет"

8,04±0,50

14,63±0,65

-8,003***

"Вербальная (словесная) память"

16,97±0,70

24,68±0,72

-7,647***

"Установление закономерностей"

23,43±0,64

26,23±0,50

-3,446***

ОИР

106,14±2,66

145,00±3,06

-9,582***


Как видно из результатов, представленных в табл. 1, показатели, характеризующие способности устанавливать логические отношения между понятиями, устанавливать закономерности, лежащие в основе построения числовых рядов, функции кратковременной вербальной, невербальной памяти, внимания и в целом общий интеллектуальный уровень, количественно увеличиваются от первого ко второму курсу. Возможно, это вызвано активным развитием психических познавательных процессов в ходе адаптации, либо задействованием резервов так же для приспособления к среде.

В ходе психодиагностического обследования были выявлены достоверные различия по показателю, характеризующему коммуникативные способности у студентов 1-2 курсов (р<0,05) (табл. 2).

Рассмотрим результаты, полученные в ходе психодиагностического обследования курсантов ВМедА им. С.М. Кирова.

Как видно из результатов, представленных в табл. 2, показатель, характеризующий коммуникативные способности, количественно выше у студентов второго курса, но данная шкала является обратной, соответственно, качественно данный показатель выше у студентов первого курса. Данные показатели можно объяснить тем, что обследование проводилось в самом начале обучения (начало сентября), таким образом, быть может, у студентов активировались коммуникативные процессы с целью приспособления к социальной среде. Студенты второго курса в сентябре пришли в знакомое для них окружение, и подобная активация коммуникативных процессов не являлась для них необходимой. Области достоверности различий между значениями показателей, характеризующих коммуникативный потенциал студентов 1-2 курсов ЛГУ им. А.С. Пушкина

 Шкалы

Х1±т1 (1 курс)

х2±т2 (2 курс)

1критерий

"Коммуникативный потенциал"

11,34± 0,44

13,16± 0,65

-2,322*

В ходе психодиагностического обследования были выявлены достоверные различия по показателям, характеризующим способности устанавливать логические отношения между понятиями, (р<0,01), к преобразованию цифровой информации (р<0,05), функции мышления, памяти, внимания (р<0,01) (табл. 3).

адаптация студент психический познавательный

Таблица 3 Области достоверности различий между значениями показателей, характеризующих уровень развития психических познавательных процессов курсантов 1-2 курсов ВМедА им. С.М. Кирова

Шкалы

х2±т2 (2 курс)

1-критерий

"Аналогии"

18,73+0,66

21,45±0,67

-2,885**

"Арифметический счёт"

16,29±0,73

18,75±0,68

-2,479*

"Установление закономерностей"

26,02± 0,23

27,47± 0,37

-3,372**


Как видно из табл. 3, показатели, характеризующие уровень развития психических познавательных процессов, также несколько выше у курсантов второго курса, что вполне возможно обусловлено требованиями среды к развитию интеллектуальных способностей.

В ходе психодиагностического исследования были выявлены достоверные различия по показателям, характеризующим степень ориентированности на соблюдение общепринятых норм и личностный адаптационный потенциал (р<0,05) (табл. 4).Области достоверности различий между значениями показателей, характеризующими адаптационный потенциал личности курсантов 1-2 курсов ВМедА им. С.М. Кирова

Шкалы

Х1±т1 (1 курс)

х2±т2 (2 курс)

1-критерий

"Моральная нормативность"

5,62 ± 0,32

6,70 ± 0,40

-2,091*

"Личностный адаптационный потенциал"

22,41 ± 1,19

26,83 ± 1,62

-2,191*


Как видно из табл. 4, показатели, характеризующие адаптационный потенциал личности, количественно увеличиваются ко второму курсу, так как эти шкалы обратные, эти данные свидетельствуют о качественном снижении показателей ко второму курсу. Это может свидетельствовать либо о необходимости активации личностного адаптационного потенциала на первом курсе для приспособления к социальной среде, тогда ко второму курсу, при достижении какого-то оптимума, показатели могут снижаться. Другое объяснение может крыться в том, что в связи с радикальным изменением среды при поступлении в вуз, к тому же военный, в ходе адаптации ко второму курсу может произойти истощение, разочарование, что приводит к качественному снижению показателей.

Также в ходе анализа данных были выявлены достоверные различия по показателю, характеризующему удовлетворённость потребности в безопасности у курсантов первого и второго курсов (р<0,001) (табл. 5).

Как видно из результатов, представленных выше, удовлетворённость потребности в безопасности несколько снижается ко второму курсу. Вполне возможно, это связано с тем, что у студента на первом курсе есть определённые ожидания, которые, зачастую, оказываются ложными, что снижает чувство безопасности. Также подобные результаты могут быть вызваны особенностями среды, учебно-воспитательной деятельности.

Таблица 5 Области достоверности различий между значениями показателей, характеризующих удовлетворённость потребности в безопасности курсантов 1-2 курсов ВМедА им. С.М. Кирова

Шкалы

Х1±т1 (1 курс)

х2±т2 (2 курс)

1-критерий

"Удовлетворенность потребности в безопасности "

74,38± 1,49

60,43±0,81

8,207***


Рассмотрим результаты, полученные в ходе психодиагностического обследования, курсантов ВИВВМВД.

В ходе психодиагностического обследования были выявлены достоверные различия по показателям, характеризующим функции вербальной и невербальной памяти (р<0,05), логического мышления, внимания (р<0,001) (табл. 6).

Таблица 6 Области достоверности различий между значениями показателей, характеризующих уровень развития психических познавательных процессов курсантов 1-2 курсов ВИВВМВД

Шкалы

хі±ті (1 курс)

х2±т2 (2 курс)

1-критерий

"Зрительная память"

14,07+ 0,71

16,51+0,99

-1,994

"Вербальная память"

13,95+0,73

16,51 +1,00

-2,062

"Установление закономерностей"

19,63 +1,08

24,51 + 0,76

-3,689


Как видно из табл. 6, показатели, характеризующие уровень развития психических познавательных процессов, также несколько выше у курсантов второго курса, что вполне возможно, обуславливается требованиями среды вуза к развитию интеллектуальных способностей для более успешной адаптации.

Также в ходе анализа данных были выявлены достоверные различия по показателю, характеризующему личностный адаптационный потенциал, у курсантов первого и второго курсов (р<0,05) (табл. 7).

Таблица 7 Области достоверности различий между значениями показателей, характеризующих адаптационный потенциал личности курсантов1-2 курсов ВИВВМВД

Шкалы

х1±т1 (1 курс)

х2±т2 (2 курс)

1-критерий

"Личностный адаптационный потенциал"

34,93+1,79

40,60+2,13

-2,039*

Также в ходе психодиагностического обследования были выявлены достоверные различия по показателям, характеризующим идентичность индивида со средой, профессиональную направленность, мотивацию на обучение, самооценку индивида, удовлетворённость потребности в безопасности (р<0,05) (табл. 8).

Таблица 8 Области достоверности различий между значениями показателей, характеризующих социально-психологическую комфортность среды

для курсантов 1

-2 курсов ВИВВМВД


Шкалы

х1±т1 (1 курс)

х2±т2 (2 курс)

1-критерий

"Идентичность со средой"

66,56±1,45

54,84±1,22

6,170***

"Мотивация"

51,79± 0,94

45,91 ±0,89

4,533***

"Самооценка"

62,60±2,46

52,93±1,24

3,511***

"Профессиональная направленность"

29,47±0,58

26,56±0,50

3,806***

"Удовлетворенность потребности в безопасности "

40,53±1,58

52,26±0,65

-6,860***


Как видно из результатов, представленных в табл. 8, показатели, характеризующие идентичность со средой, мотивацию к обучению в данном заведении, самооценку, профессиональную направленность, снижаются ко второму курсу. Показатель, характеризующий степень удовлетворённости в безопасности количественно увеличивается ко второму курсу. Подобные результаты, скорее всего, вызваны особенностями среды, которые и вызывают подобную динамику данных характеристик.

Сравним закономерности изменения адаптационных характеристик от первого ко второму курсу у учащихся разных вузов.

По результатам представленным на рис. 1 видно, что в независимости от вуза показатель, характеризующий общий интеллектуальный уровень развития количественно увеличивается от первого ко второму курсу. Таким образом, можно предположить, что это количественное увеличение параметра предусмотрено закономерностями приспособления к среде вуза. Вполне возможно, что адаптация к новой учебной среде предполагает активацию психических познавательных процессов. Но стоит отметить, что наиболее значимо повышение общего интеллектуального уровня в рамках анализа показателей, полученных при психодиагностическом обследовании, студентов ЛГУ им. А.С. Пушкина. Вполне возможно это обуславливается внешними факторами. Так в рамках данного вуза проводятся мероприятия для повышения успешности адаптации к среде, что и могло сказаться на результатах.

Рис. 1. Особенности изменения показателя ОИР у учащихся разных вузов

Рассмотрим более подробно особенности изменения показателей, характеризующих уровень развития психических познавательных процессов, учащихся разных курсов.

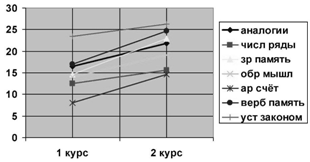
Так согласно результатам, представленным на рис. 2, показатели, характеризующие способности устанавливать логические отношения между понятиями, устанавливать закономерности, лежащие в основе построения числовых рядов, функции кратковременной вербальной, невербальной памяти, внимания, количественно увеличиваются от первого ко второму курсу у студентов факультета психологии ЛГУ.

Рис. 2. Особенности изменения показателей, характеризующих уровень развития познавательных психических процессов, у студентов ЛГУ

Рис. 3. Особенности изменения показателей, характеризующих уровень развития познавательных психических процессов, у курсантов ВМедА

Согласно результатам, представленным на рис. 3, показатели, характеризующие уровень развития психических познавательных процессов, не значительно, но увеличиваются от первого ко второму курсу у курсантов ВМедА. Исключение составляют показатели, характеризующие способности оперировать математическими данными, функции вербальной и невербальной кратковременной памяти, которые пусть и не значительно, но всё-таки количественно снизились. То есть можно предположить, что в ходе адаптации ряд способностей, к которым среда, по-видимому, не предъявляет требований, могут несколько снижаться. Что кажется, весьма закономерным, так как данные способности тренируемы.

Если обратить внимание на результаты, представленные на рис. 4, то видно, что у курсантов ВИВВМВД показатели, характеризующие уровень развития психических познавательных процессов, увеличиваются от первого ко второму курсу. Исключение составляет показатель, характеризующий способность оперирования математическим материалом.

Рис. 4. Особенности изменения показателей, характеризующих уровень развития познавательных психических процессов, у курсантов ВИВВМВД

Таким образом, исходя из результатов, полученных при сравнении показателей, характеризующих уровень развития психических познавательных процессов, у учащихся различных вузов, можно предполагать, что в целом общий уровень интеллектуального развития увеличивается в ходе адаптации к учебной среде от первого ко второму курсу, что, возможно, может являться общей тенденцией. Но, по-видимому, уровень развития не востребованных в данной среде способностей может снижаться. То есть в общем, можно говорить, как и об общих принципах приспособления когнитивных структур, так и особенностях вносимых в данный процесс учебной средой.

Рассмотрим особенности изменения показателя, характеризующего личностный адаптационный потенциал, от первого ко второму курсу в различных вузах (рис. 5).

Рис. 5. Особенности изменения показателя ЛАП у учащихся разных вузов

Как видно из рис. 5, хотя и незначительно показатель, характеризующий адаптационный потенциал личности, количественно увеличивается, а качественно уменьшается (так как шкала обратная) по результатам, полученным в ходе обследования всех трёх здесь представленных вузов. Это может говорить об истощении личностных ресурсов в ходе адаптации, либо данный показатель увеличивается в ходе адаптации как защитный механизм, тогда можно предположить, что при снижении травмирующего фактора показатели, характеризующие эти механизмы будут снижаться, экономя личностные ресурсы.

Рассмотрим особенности изменения показателей, характеризующих моральную нормативность, коммуникативные способности и поведенческую регуляцию, от первого ко второму курсу, у учащихся различных вузов. Для большей наглядности результаты будут представлены в сырых значениях, стоит отметить ещё раз, что эти шкалы обратные.

В ходе анализа результатов было выявлено, что показатели, характеризующие уровень развития моральной нормативности, коммуникативных способностей, поведенческой регуляции, качественно, хотя и не значительно, у студентов ЛГУ снижается ко второму курсу (рис. 6).

Рис. 6. Особенности изменения показателей, характеризующих уровень развития поведенческой регуляции, коммуникативных способностей и моральной нормативности, у студентов ЛГУ

При рассмотрении результатов, представленных на рис. 7, также видно, что показатели, характеризующие уровень развития моральной нормативности, коммуникативных способностей, поведенческой регуляции, качественно, хотя и не значительно, снижается ко второму курсу у курсантов ВМедА.

Рис. 7. Особенности изменения показателей, характеризующих уровень развития поведенческой регуляции, коммуникативных способностей и моральной нормативности, у курсантов ВМедА

Схожее изменение данных показателей происходит и у курсантов ВИВВМВД (рис. 8)

Рис. 8. Особенности изменения показателей, характеризующих уровень развития поведенческой регуляции, коммуникативных способностей и моральной нормативности, у курсантов ВИВВМВД

Таким образом, можно предполагать, что показатели, характеризующие личностный адаптационный потенциал, нервнопсихическую устойчивость, коммуникативные способности, степень социализации не значительно, статистически не достоверно, снижаются от первого ко второму курсу. Подобное снижение при анализе результатов, полученных при обследовании на базе различных вузов, может указывать на определённую закономерность, продиктованную общим переходом индивида от школьной учебной среды в учебную среду вуза. Подобное снижение, как уже было указано выше, можно объяснить как истощением ресурсов личности, так и выходом на оптимальный уровень их функционирования. Тогда более высокие показатели на первом курсе могут объясняться активным преодолением стресс-факторов, которое подразумевает увеличение показателей функционирования как физиологических, так и психологических систем.

Рассмотрим особенности изменения показателей, характеризирующих степень адаптированности к среде у учащихся различных вузов от первого ко второму курсу (рис. 9).

Рис. 9. Особенности изменения показателя социально-психологической комфортности среды у учащихся разных вузов

Как видно из рис. 5 показатель, характеризующий уровень социально-психологической комфортности среды для индивида, в основном снижается от первого ко второму курсу. Данная характеристика указывает на степень адаптированности к среде, таким образом, можно предположить, что на втором курсе личность ещё приспосабливается, не достигнув достаточной адаптированности. Более высокие результаты на первом курсе могут свидетельствовать о том, что, попав в вуз, учащийся уже имеет какие-то ожидания, он идентифицирует себя с этой средой, вполне возможно в первый год обучения он сталкивается с какими-то препятствиями, несоответствием своих ожиданий действительности, что и приводит к снижению показателя ко второму курсу. Но стоит отметить, что снижение показателя в рамках исследования ЛГУ фактически незаметно, это может указывать на то, что среда как внешний фактор может помогать развитию адаптированности учащихся.

В ходе анализа результатов было выявлено, что показатели, характеризующие степень развития идентичности со средой, профессиональной направленности, мотивации, самооценки и степень удовлетворённости потребности в безопасности, у учащихся ЛГУ им. А.С. Пушкина фактически не изменяются от первого ко второму курсу (рис. 10). Если учесть, что фактически все показатели находятся в диапазоне выше 5 стена, можно предположить, что данная особенность является вполне благоприятной.

Рис. 10. Особенности изменения показателей, характеризующих уровень развития идентичности со средой, мотивации на обучение в данном вузе, профессиональной направленности, самооценки и удовлетворённости потребности в безопасности, у студентов ЛГУ

Рассмотрим показатели, характеризующие степень развития идентичности со средой, профессиональной направленности, мотивации, самооценки и степень удовлетворённости потребности в безопасности, у курсантов ВИВВМВД от первого ко второму курсу (рис. 11).Как видно из рис. 11, показатели, характеризующие степень адаптированности к среде, у курсантов ВИВВМВД уменьшаются от первого ко второму курсу, кроме показателя, характеризующего удовлетворённости потребности в безопасности, хотя в данном случае показатель увеличивается, по сути, от 1 ко 2 стену, также оставаясь низким.

Рис. 11. Особенности изменения показателей, характеризующих уровень развития идентичности со средой, мотивации на обучение в данном вузе, профессиональной направленности, самооценки и удовлетворённости потребности в безопасности, у курсантов ВИВВМВД

Рассмотрим показатели, характеризующие степень развития идентичности со средой, профессиональной направленности, мотивации, самооценки и степень удовлетворённости потребности в безопасности, у курсантов ВМедА от первого ко второму курсу (рис. 12).

Рис. 12. Особенности изменения показателей, характеризующих уровень развития идентичности со средой, мотивации на обучение в данном вузе, профессиональной направленности, самооценки и удовлетворённости потребности в безопасности, у курсантов ВМедА

Как видно из рис. 12, наглядные изменения происходят по показателям, характеризующим идентичность со средой и удовлетворён - ность потребности в безопасности, при чём стоит отметить, что показатель идентичности со средой снижается от 5 до 3 стенов, а удовлетворённость потребности в безопасности - от 7 до 4 стенов. Можно предположить, что это происходит в связи с разочарованием в ожиданиях, со сменой режима труда и отдыха, увеличением физических нагрузок.

Таким образом, показатели, характеризующие степень адаптированности к среде в зависимости от вуза имеют различные особенности изменения. Это, в принципе, кажется закономерным, потому что степень адаптированности к среде тесно связана с самой средой, с теми критериями, которые она выдвигает как требования, в зависимости от жёсткости, не пластичности этих требований может быть затруднена адаптация, скорее всего, и у лиц с высоким адаптационным потенциалом личности.

Таким образом, по результатам выполнения данной работы, можно предположить существование некоторых закономерностей развития адаптационного потенциала личности у учащихся от первого ко второму курсу. Так показатель, характеризующий общий интеллектуальный уровень увеличивается от первого ко второму кур - су, что может указывать на активацию психических познавательных процессов в связи с высокими требованиями учебной среды. А показатели, характеризующие личностный адаптационный потенциал и уровень социально-психологической комфортности среды, снижаются ко второму курсу, что может быть связано с некоторым истощением ресурсов, разочарованием в связи с несовпадением ожидаемого и действительного образа учебной среды. Но стоит отметить, что показатели, входящие в интегральный показатель социально-психологической комфортности среды совершенно по- разному изменяются в рамках разных вузов, что указывает на безусловное влияние среды на особенности адаптации личности. Также интересно, что изменение показателя, характеризующего общий интеллектуальный уровень развития, более заметно увеличился у студентов факультета психологии ЛГУ им. Пушкина. Наиболее сглажено изменение показателя, характеризующего социально психологическую среду, также у этих студентов. Стоит отметить, что именно в рамках факультета психологии ЛГУ им. А.С. Пушкина существует психологическое сопровождение студентов, также это гражданский вуз, в отличии от двух других, соответственно переход от жизни до вуза и после более сглажен, нет повышения физических нагрузок, регламентации внеучебного времени. То есть можно предположить, что, делая среду более благоприятной, более гибкой, осуществляя психологическое сопровождение, можно облегчить процесс адаптации к среде вуза. Причём можно повысить адаптационный потенциал личности.

Таким образом, безусловно, существуют некоторые закономерности в изменении адаптационного потенциала личности от первого ко второму курсу, но внешнее воздействие также оказывает весомое влияние на развитие этих качеств.

Список литературы

1.      Богданов В.А. Системологическое моделирование личности в социальной психологии. - Л.: Изд-во ЛГУ, 1987.

2.      Братусь Б. С. К проблеме человека в психологии // Вопросы психологии, 1997. №5.

3.      Бурлачук Л.Ф. Психодиагностика личности. - Киев: Здоровья, 1989.

4.      Георгиевский А.Б. Эволюция адаптации (историко-методологическое исследование). - Л.: Наука, 1989.

5.      Маклаков А. Г. Общая психология. - СПб.: Питер, 2001.

6.      Пиаже Ж. Психология интеллекта. - СПб.: Питер, 2004.

7.      Реан А. А., Кудашев А. Р., Баранов А. А. Психология адаптации личности: Учебно-научное издание. - СПб.: Медицинская пресса, 2002.

8.      Степанова С. И. Биоритмологические аспекты проблемы адаптации. - М.: Наука, 1986.

9.      Телятникова Г. Б. Динамика развития личностного адаптационного потенциала у студентов I и III курсов медицинского училища с разным уровнем академической успеваемости // Вестник ЛГУ им. А.С. Пушкина, 2007, №1 (3).

Похожие работы на - Особенности изменения адаптационного потенциала личности от первого ко второму курсу у учащихся вузов

 

Не нашли материал для своей работы?
Поможем написать уникальную работу
Без плагиата!
Без нейросетей!