АСР соотношения топливо-воздух на установке сушки стальковша

  • Вид работы:
    Курсовая работа (т)
  • Предмет:
    Другое
  • Язык:
    Русский
    ,
    Формат файла:
    MS Word
    165,45 Кб
  • Опубликовано:
    2013-11-28
Вы можете узнать стоимость помощи в написании студенческой работы.
Помощь в написании работы, которую точно примут!

АСР соотношения топливо-воздух на установке сушки стальковша

Министерство образования и науки, молодежи и спорта Украины

Донбасский государственный технический университет

Кафедра АУТП










КУРСОВОЙ ПРОЭКТ

по курсу: «Автоматизация непрерывных технологических процессов»

на тему: «АСР соотношения топливо-воздух на установке сушки стальковша»










Алчевск, 2013

Содержание

Введение

. Характеристика объекта управления

. Общие сведения об АСР соотношения топливо-воздух

3. Разработка математической модели объекта регулирования

4. Выбор закона регулирования и критерия оптимальности

.1 Выбор закона регулирования

.2 Выбор критерия оптимальности

. Расчет параметров настройки регулятора

. Анализ качества функционирования АСР

Заключение

Перечень ссылок

Введение

Автоматизация производственных процессов - одно из наиболее важных направлений технического процесса. В результате автоматизации интенсифицируются производственные процессы, повышается производительность труда, достигается стабильно высокое качество продукции, а также возможность выполнения трудноосуществимых операций.

Функции управления автоматизированным производством выполняет машина - автоматическое управляющее устройство. Роль человека в автоматизированном производственном процессе ограничивается операциями испытаний, наладки и включения автоматической системы в работу и периодическим надзором за ее функционированием.

Эффективность внедрения свойств автоматизации в значительной мере зависит от качества настройки автоматических регуляторов. В настоящее время теорией автоматического регулирования разработан ряд прикладных инженерных методов наладки автоматизированных систем.

Автоматическое управление процессом сушки стальковша осуществляется с целью точного соблюдения температурного режима в соответствии с технологической инструкцией. Это позволяет плавно изменять расход топлива в зависимости от температуры в ковше, что позволяет эффективно использовать энергоносители и получить хорошее качество футеровки.

1. Характеристика объекта управления

Комплекс оборудования МНЛЗ предназначен для получения непрерывно-литых сортовой заготовок из низкоуглеродистых, углеродных, низколегированных, легированных, конструкционных и специальных марок сталей. Работа МНЛЗ осуществляется в едином технологическом комплексе конвертер (ковш-печь) МНЛЗ.

Установка для нагрева и сушки ковшей используется в сталеплавильных цехах для подготовки ковшей перед разливкой стали. Установка может быть использована для поддержания температуры в ковшах с основной футеровкой в период между переливами и разливки плавок. В состав установки входят:

стенды стационарные под стальковши емкостью 300т.;

футерованные крышки с горелками ГД-30;

дымососы ДН-12, 5;

вентиляторы В-Ц6-28-5 для подачи воздуха для горения газа.

Крышка предназначена для накрытия ковша сверху в процессе сушки. Она представляет собой твердую конструкцию из литой стали. На крышке установлен патрубок с фланцами для отвода дымовых газов и отверстия для установки горелки и термопары для замера температуры ковша.

Для обеспечения температурного графика сушки ковша горелки фирмы "Krom Schroder" обеспечены возможностью расхода топлива в широких пределах Регулирование разряжения под крышкой осуществляется направляющим аппаратом дымососа. В дымопровод отсасывается атмосферный воздух, сначала для снижения температуры дымовых газов перед рекуператором до 800 ° С, а затем для защиты дымососов от перегрева до 200 ° С.

С целю защиты рекуператора и дымососов от перегрева осуществляется регулирование температуры и разряжения перед ними путем остановки клапанов воздуха на разбавление продуктов сгорания.

Ковш считается подсушенным если нагрев кожуха достигает 80-100 ° С. Признаком окончания сушки футеровки ковша является прекращение выделения пара.

Использование предлагаемого устройства даст значительный экономический эффект за счет повышения качества стали благодаря обеспечению конструкцией устройства высокотемпературного нагрева ковшей. Сушка ковшей со специальной футеровкой осуществляется по специальным графикам в зависимости от проведенных объемов работ в ковшах.

автоматический регулятор топливо

2. Общие сведения об АСР соотношения топливо-воздух

Задача управления процессом сушки стальковша в установке сушки стальковша заключаются в выборе и поддержании режима работы, который обеспечит получение высушенной огнеупорной кладки, качество которой выйдет с минимально возможной удельной потерей топлива в условиях переменной производительности агрегата.

Процесс сушки ведется автоматически по графику, при этом система управления, сравнивая фактическую температуру в стальковше с температурой заданной в графике, изменяет расход газа путем воздействия на заслонку исполнительного механизма подачи газа.

Принцип автоматического регулирования основан на поддержании заданной температуры в ковше путем воздействия на исполнительный механизм регулирующей газовой заслонки. Импульсом для автоматического регулирования является температура в рабочем пространстве ковша, измеренная стационарной термопарой смонтированной под крышкой установки.

Температура в камере сгорания практически линейно изменяется при изменении расхода топлива.

По каналу температура сгорания − коэффициент расхода воздуха зависимость экстремальна. Аналогичный характер имеет и зависимость температуры от давления в камере сгорания. Давление в печи линейно зависит от мощности двигателя дымососа, а уровень определяется расходом топлива.

Динамические свойства определяются только по кривой разгона. Все они имеют типичный вид объектов с самовыравнивания, и время регулирования  при регулировании температуры составляет сотни секунд, при регулировании давления - десятки секунд, при регулирования соотношения − единицы секунд.

3. Разработка математической модели объекта

При разработке систем автоматического регулирования разного уровня сложности нужно знать точную математическую модель динамических свойств объекта. Она необходима как для синтеза АСР, так и для исследования реакций объекта на разные воздействия.

Математическую модель можно построить двумя способами: аналитическим и экспериментальным. Аналитический способ применяется для построения математических моделей простых объектов, когда есть явная зависимость между всеми входными и выходными величинами.

Получить аналитическое описание теплоэнергетических объектов, как правило, не удается, поэтому прибегают к экспериментальному определению математических моделей управления.

При экспериментальном исследовании возможные два пути:

- проведение активного эксперимента. Активный эксперимент проводят на действующем объекте или системе, в определенной степени нарушая процесс нормального функционирования. В этом случае на вход объекта подается некоторое идентифицирующее воздействие. Потом совместно обрабатываются входные и выходные переменные и получают математическую модель объекта в виде передаточной функции.

-    пассивный метод. В случае использования пассивных экспериментов математическая модель объекта определяется по результатам естественного изменения входных и выходных величин в процессе нормального функционирования системы без каких-либо вмешательств в режим ее работы.

На практике чаще всего используются активные методы проведения эксперимента. В этом случае на вход объекта подают ступенчатое воздействие X  (в данном случае единичное) и снимают временную зависимость выходной величины h(t) от входного ступенчатого воздействия - кривую разгона. Затем, обработав результаты эксперимента, строят математическую модель объекта регулирования в виде передаточной функции.

На рисунке 3.1 представлена экспериментальная характеристика объекта.

Рисунок 3.1 - Экспериментальная характеристика объекта

По переходной функции временной характеристики можно сказать, что переходная функция объекта обладает самовыравниванием и некоторым запаздыванием и имеет вид переходной функции апериодического звена n - го порядка. Поэтому в качестве структуры математической модели объекта можно выбрать передаточную функцию следующего вида:

.(3.1)

Из рисунка 3.1 определяем: Т = 1.05 с, τ = 0.3 с, k = 1, n принимаем  равным 4.

Для проверки адекватности модели и объекта необходимо построить переходную функцию модели и проверить ее совпадение с переходной функцией объекта. Для этого проводим моделирование полученной системы во временной области при той же форме входного воздействия при которой сымалась экспериментальная функция объекта и нулевых начальных условиях (Х = 0).

Для идентификации объекта во временной области воспользуемся программой в MathCad. Получив с помощью программы переходную характеристику модели объекта, проводится проверка адекватности модели и объекта. Критерием адекватности модели и объекта является совпадение экспериментальной переходной характеристики объекта с полученной переходной характеристикой модели в трех точках: в начале координат, в точке перегиба и в установившемся режиме, а также совпадение первой производной переходной функции объекта и аппроксимирующей кривой в точке перегиба [1].

Если переходная функция модели не совпадает с переходной функцией объекта, осуществляется корректировка Т и τ в ту или иную сторону и снова осуществляется проверка адекватности.

В данном случае изменяем Т и τ до значений: Т = 0.16 c, τ = 0.03 с. Переходная функция может быть аппроксимирована следующей передаточной функцией (3.2).

 (3.2)

На рисунке 3.2 представлены аппроксимирующая и экспериментальная характеристики объекта.

1 - экспериментальная; 2 - аппроксимирующая

Рисунок 3.2 - Переходные функции объекта регулирования

Так как экспериментальная и аппроксимирующая характеристики практически совпадают, то аппроксимация проведена верно. Следовательно, передаточная функция 3.2 достаточно точно описывает свойства объекта регулирования.

4. Выбор закона регулирования и критерия оптимальности

.1 Выбор закона регулирования

Одним из основных требований, предъявляемых к промышленным системам, является поддержание равенства Y=Xзад в условиях действия внешних возмущающих воздействий.

Поскольку большинство возмущающих воздействий неконтролируемые, то большинство промышленных систем управления реализованы по принципу отклонения, т.е. ведется постоянное наблюдение за отклонением выходной координаты от заданного значения.

При разработке структуры системы управления, при выборе закона регулирования ставится требование, чтобы отсутствовала статическая ошибка в замкнутой системе управления, т.е. отсутствие разницы между выходной координатой и заданием в установившемся режиме. Из-за возникновения опасности потери устойчивости регулирования при изменении динамических свойств объекта управления в процессе работы, то в качестве критерия оптимальности выдвигается требование, чтобы система регулирования обладала заданным запасом устойчивости. Также требуется минимизация динамической ошибки.

Отсутствие статической ошибки достигается путем введения в прямой канал системы управления астатизма, хотя бы первого порядка. Поэтому в промышленных системах для управления объектами без самовыравнивания, используют  П-регулятор, для управления объектами с самовыравниванием используют  ПИ-регулятор.

Как видно из рисунка 3.1 объект регулирования, является объектом с самовыравниванием. Поэтому для отсутствия статической ошибки используем ПИ закон регулирования.

.2 Выбор критерия оптимальности

Для того чтобы замкнутая динамическая система с обратной связью не потеряла устойчивость необходимо при правильном выборе алгоритма функционирования регулятора выбрать для него оптимальные параметры настройки. При определении оптимальных параметров настройки из условия минимума среднеквадратичной ошибки такое явление не наблюдается, однако интенсивность затухания колебаний переходных процессов в такой системе недостаточна для того, чтобы систему использовать на производстве.

Поэтому в критерий оптимального функционирования системы регулирования приходится обычно вводить дополнительные ограничения, с помощью которых можно целенаправленно влиять на возникающие в ней переходные процессы.

Используем минимаксный критерий оптимальности, т.е. параметры настройки регулятора могут считаться оптимальными, если среднеквадратичная ошибка регулирования достигает минимального значения при дополнительном условии, что показатель колебательности системы не превышает заданной величины М < M доп.

5. Расчет параметров настройки регулятора

Для расчета параметров настройки регулятора воспользуемся методом вспомогательной функции.

В качестве вспомогательной функции принято аналитическое выражение отношения kр / Ти, для поиска оптимальных параметров настройки ПИ-регулятора требуется найти экстремум отношения kр / Ти как функции частотных характеристик и заданного показателя колебательности.

Первый положительный максимум этой функции обеспечивает минимум среднеквадратичной ошибки при заданном показателе колебательности и является точкой оптимума параметров настройки регулятора.

Для системы с ПИ-регулятора вспомогательная функция имеет вид:

 (5.1)

Величину kр можно вычислить по формуле:

(5.2)

Для расчета оптимальных параметров настройки ПИ-регулятора воспользуемся стандартной программой ITER632.

В таблице 5.1 представлены оптимальные параметры настройки регулятора для показателя колебательности М = 1.3.

Таблица 5.1 - Параметры настройки регулятора

Показатель колебательности, М

Коэффициент усиления, kр

Постоянная времени, Ти, с

1.3

0.85

0.37


Результаты расчета частотных характеристик автоматизированой системы регулирования приведены в таблице 5.2.

Таблица 5.2 - Результаты расчета частотных характеристик АСР

ω, рад/с

Арс (ω)

φрс(ω)

Азс.(ω)

φзс (ω)

0.06

38.10

-90.94

1.00

-1.50

0.66

3.48

-100.46

1.01

-16.56

1.27

1.84

-110.76

1.04

-32.02

1.87

1.25

-122.03

1.12

-49.29

2.48

0.94

-134.01

1.23

-71.02

3.08

0.73

-146.20

1.29

-99.92

3.69

0.58

-158.35

1.14

-133.29

4.29

0.46

0.85

-161.64

4.9

0.37

-181.17

0.59

-181.87

5.50

0.30

-191.55

0.42

-196.45

6.11

0.24

-201.18

0.31

-207.69


6. Анализ качества функционирования АСР

Для определения качественных показателей системы регулирования используются прямые и косвенные показатели качества.

Косвенные показатели качества, такие как показатель колебательности, запас устойчивости по модулю и по фазе оцениваются по частотным характеристикам системы.

АЧХ замкнутой системы приведена на рисунке 6.1, построенная по данным таблицы 5.1.

Рисунок 6.1 - АЧХ замкнутой системы

Для определения запасов устойчивости по модулю и по фазе, воспользуемся рисунком 6.2, на котором представлены КЧХ разомкнутой системы.

 

Рисунок 6.2 - КЧХ разомкнутой системы

Замкнутая АСР устойчива, так как КЧХ разомкнутой системы не охватывает точку (-1; j0) и не проходит через нее. Величины запаса по модулю и по фазе могут быть выражены следующим образом:

запас устойчивости по модулю Н = 0.63;

запас по фазе φ = 50°.

Анализ косвенных показателей качества показывает, что они отвечают требуемым нормам.

Для анализа прямых показателей качества, таких как время регулирования, величина перерегулирования и статическая ошибка, необходимо построить переходные процессы по каналу задания и по каналу возмущения.

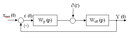
Структурная схема АСР для исследования представлена на рисунке 6.3.

Рисунок 6.3 - Структурная схема системы управления

,

.

Моделирование работы автоматической системы регулирования выполнено на ЭВМ с помощью программы “PIR” . Результаты расчета переходных процессов по каналу задания и по каналу возмущения представлены на рисунках 6.4, 6.5 соответственно.

Рисунок 6.4 - Переходный процесс по заданию

По рисунку 6.4 определяем прямые показатели качества переходного процесса по каналу задания:

время регулирования tp=2.25 c;

- статическая ошибка =0;

максимальное динамическое отклонение у1=0.20.

Рисунок 6.5 - Переходный процесс по возмущению

Определим по рисунку 6.5 прямые показатели качества переходного процесса по каналу возмущению:

время регулирования tp=2.12 c;

статическая ошибка ξ=0;

-максимальное динамическое отклонение у1=0.56.

Полученные показатели качества можно считать удовлетворительными.

Заключение

В данном курсовом проекте был произведен синтез АСР давления на колошнике доменной печи. На основании экспериментальной переходной функции была выбрана модель объекта в виде передаточной функции:

.

Выбран и обоснован ПИ-закон управления объектом. На основании минимаксного показателя оптимальности настройки рассчитаны оптимальные значения параметров настройки регулятора (kр = 0.85 и Ти = 0.37 с).

Анализируя косвенные показатели качества (запас по модулю  Н = 0.63, по фазе φ = 50°) можно сделать вывод, что система устойчива и обладает требуемым запасом устойчивости.

Определены прямые показатели качества функционирования системы: время регулирования составило tp = 2.25 c; максимальное динамическое отклонение δ = 0.20, статическая ошибка ε = 0, величина перерегулирования σ = 20%.

Перечень ссылок

1. Проектирование систем контроля и автоматического регулирования металлургических процессов. Г.М. Глинков, В.А. Маковский, С.Л. Лотман, М.Р. Шапировский. - М.: Металлургия, 1986. - 352с.

. Автоматизация управления металлургическими производствами. В.Ю. Каганов, О.М. Блинов, А.М. Беленький. - М.: Металлургия, 1976. - 416с.

. В.Я. Ротач. Расчет динамики промышленных автоматических систем регулирования. М.: Энергия, 1973. - 440с.

. Е.П. Стефании. Основы расчета настройки регуляторов теплоэнергетических процессов. - М.: Энергия, 1972. - 376с.

Похожие работы на - АСР соотношения топливо-воздух на установке сушки стальковша

 

Не нашли материал для своей работы?
Поможем написать уникальную работу
Без плагиата!
Без нейросетей!