Автоматизована система керування технологічним процесом виготовлення карамелі з фруктовою начинкою
Автоматизована система керування
технологічним процесом виготовлення карамелі з фруктовою начинкою
РЕФЕРАТ
Об'єктом автоматизації було вибрано лінію виробництва карамелі з
фруктовою начинкою.
Завданням проекту є автоматизація керування існуючого технологічного
процесу виготовленню карамелі з фруктовою начинкою. Для цього було здійснено
аналіз технологічного процесу як об’єкта керування. Вибрано і обґрунтовано
функціональну схему автоматизованої системи керування та технічні засоби
автоматизації. Розроблено алгоритм функціонування технологічної лінії, і
написано програмне забезпечення для функціонування контролерів.
В результаті введення автоматизації досягнутий:
Економічний ефект - який полягає в покращенні якості продукції та
збільшення її кількості (автоматичне регулювання і керування складними
параметрами, точне підтримання яких у ручному режимі не можливе), зниження
браку, збільшення продуктивності. Зменшення операційно-технічного складу
працівників підприємства, що суттєво впливає на економічний ефект.
Організаційний ефект - котрий обумовлений скороченням ручної праці, що
призвело до поліпшення технологічної дисципліни, а також зниження травматизму
за рахунок мінімального втручання персоналу в роботу лінії.
Проект складається з пояснювальної записки, обсягом 110 сторінок
друкованого тексту, і графічної частини, об’ємом в 10 аркушів формату А1.
Загальна кількість літературних джерел - 16.
ВСТУП
При сучасному етапі інтеграції комп’ютерних технологій в соціум,
автоматизація технологічних процесів є невід’ємною складовою організації
успішного виробництва. Автоматизація на виробництві розвивається від створення
локальних систем автоматичного регулювання окремих операцій до створення
автоматизованих систем керування технологічними процесами і виробництвом
загалом, зокрема створення систем організаційного керування, до яких входять
автоматизовані системи керування підприємством, галузеві автоматизовані системи
керування і спеціалізовані автоматизовані системи керування функціональних
органів управління господарством.
Вона дає змогу збільшувати виробничу потужність відповідно до кон’юнктури
на ринку. Вирішити проблему нестачі кваліфікованого персоналу, для
обслуговування лінії. Знизити сумарне енергоспоживання в цеху, шляхом контролю
за часом роботи агрегатів, і усунення простою увімкнутих машин без
необхідності. Через чітке дотримання параметрів виготовлення, строге дозування
кожного компоненту, досягається покращення якості продукції, і знижується
кількість браку. Також автоматизація дозволяє мінімізувати необхідність
перебування працівників на виробничій лінії, що дає можливість запобігати
можливому травматизму.
Метою реалізації даного дипломного проекту є модернізація системи
керування технологічною лінією виробництва карамелі з фруктовою начинкою на
базі ТОВ ТД “Луцьккондитер”. Впроваджені нововведення повинні забезпечити
точність отримуваних даних про технологічні параметри, і чіткість прийнятих
рішень для їх регулювання. Завдяки вчасному надходженню даних про відхилення і
коливання технологічних параметрів, відносно допустимих меж, має зрости
надійність функціонування технологічного обладнання.
Підсумком впровадженої модернізації повинно стати забезпечення стабільної
якості виготовлення карамелі з фруктовою начинкою.
. ТЕХНІЧНА ХАРАКТЕРИСТИКА ОБ'ЄКТА
1.1. Характер продукції і
сировини
Карамель - кондитерський виріб або інгредієнт такого виробу, одержуваний
нагріванням цукру або уварюванням цукрового розчину з крохмальною патокою чи
інвертним сиропом до карамельної маси вологістю 1,5-4%.
Рис. 1.1 Рідка карамель
Патока - це густий, тягучий солодкий продукт, одержуваний оцукрюванням
(гідролізом) крохмалю (головним чином картопляного і маїсового) розведеного
кислотами з наступним фільтруванням і уварювання сиропу. Патока містить 78-82%
сухих речовин. Сухі речовини патоки складаються з продуктів різного ступеня
гідролізу крохмалю: декстринів, мальтози, глюкози. Патока містить деяку
кількість мінеральних речовин. Вона також містить деяку кількість азотистих речовин
і речовин, що включають фосфор, які потрапляють в патоку з крохмалю.
Патока має здатність підвищувати розчинність сахарози - затримувати її
кристалізацію, що обумовлює широке її застосування в харчовій промисловості з
метою надання сиропу більшої в'язкості, тривалості та стійкості зберігання, а
також для поліпшення смакових якостей.
Карамельна
маса являється аморфною, до її складу крім вище зазначених компонентів патоки
входять: сахароза, фруктоза і інші олігосахариди - продукти неповного гідролізу
крохмалю. Карамельна маса поступово переходить з рідкого в напівтвердий
пластичний стан, а потім в твердий аморфний або кристалічний стан залежно від
температури. При температурах вище 100°С карамель є гомогенною,
багатокомпонентною в'язкою рідиною. Карамельну масу можна розглядати як сплав
різнорідних речовин, в якому розрізнено розподілені молекули води. Молекули
сахарози, глюкози, мальтози і інших речовин, що входять до складу карамелі,
представляють компактну упаковку частинок, зв'язаних силами молекулярної взаємодії.
Ці сили достатньо великі, про що можна судити по високій в'язкості карамельної
маси (110
при 115 °С).
Асортимент
карамелі з фруктовою-ягідною начинкою дуже різноманітний і формується за
рахунок різновидів начинок, зовнішнього оформлення, різних смакових відтінків
тощо.
Рис.
1.2 Карамель з фруктовою начинкою та ароматом лимону
Карамель
з начинкою складається з оболонки, виготовленої з карамельної маси і самої
начинки. Фруктова начинка представляє собою продукт, що отримується в
результаті уварювання натертої плодової м’якоті, молочної кислоти з
цукром-піском і патокою, а також різноманітними фруктово-ягідними
напівфабрикатами. Основними факторами які визначають консистенцію начинки є
вологість і вміст пектину фруктових заготовок.
Наприклад,
для карамелі “Яблуко” витрачається, кг/т: цукру-піску - 561,2, патоки - 287,6,
пюре яблучного - 500 і кислоти молочної - 20. Вологість начинки становить(16 +
3, -2) %.
1.2. Стадії технологічного
процесу
Технологічний процес виготовлення карамелі з начинкою складається з
наступних стадій:
– підготовка сировини;
– приготування карамельного сиропу;
– уварювання карамельної маси;
– обробка карамельної маси
(охолодження, введення барвників і смакових речовин, проминка, витягування на
тягнучій машині, отримання карамельного батона і його калібрування);
– приготування начинки;
– формування карамелі;
– охолодження карамелі;
– фасування і упаковка карамелі.
Для уварювання в якості основного устаткування застосовуються варильні
котли, обладнані паровою сорочкою. Крім того, сироп можна готувати в дисуторах.
Серед інших найпоширенішим є спосіб приготування сиропу з розчиненням
цукру в патоці, цей спосіб прогресивний, однак слід враховувати, що кількість води,
яка міститься в патоці є недостатньою для розчинення всього, передбаченого
рецептурою, цукру, якщо процес вести при атмосферному тиску. У дисуторах
дозують підігріту до 40-50 ° С передбачену рецептурою кількість патоки і гарячу
воду в кількості, що відповідає приблизно 10% маси цукру. Замість цукру можна
використовувати нейтралізований інвертний сироп. Потім вводять цукор і
розчиняють його при включеному барботері. Після розчинення цукру барботер
відключають і сироп уварюють до зазначеної вище масової частки сухих речовин
(84-86%). Перевагами цього способу є значне зниження загальної тривалості
процесу, економія пари і підвищення продуктивності праці і устаткування.
Карамельну масу готують в універсальних варильних вакуум-апаратах. Апарат
складається з двох котлів, розташованих один над іншим. У верхній казан
завантажують рецептурну суміш сировини або карамельний сироп і включають
обігрів і мішалку. Підігріваюча пара повинна мати тиск 500-600 кПа. Рецептурну
суміш перемішують протягом 4-8 хв і після закінчення розчинення цукру вимикають
мішалку. Масу уварюють до температури 138-140 ° С, що відповідає вологості 5-6%
. Як тільки температура маси досягне необхідного значення, автоматично
включається клапан для вивантаження маси в нижній котел і включається вакуум-насос.
Попередньо перед випуском маси з верхнього котла нижній котел нагрівають
гарячою водою, воду зливають, а котел насухо витирають і змащують. Кипіння маси
і подальше випаровування води з неї продовжують в нижньому котлі. У процесі
само-випаровування вологи під вакуумом температура маси і її вологість
знижуються. Після закінчення варіння готову карамельну масу виливають з
апарату, перекидаючи нижній котел. Загальна тривалість варіння карамельної маси
становить 20-30 хв.
Процес отримання фруктової начинки включає підготовку фруктової частини
сировини, дозування і змішування компонентів (пюре, цукор, патока) і
уварювання. Підготовлена в змішувачі рецептурна суміш, в яку
входять цукрово-патоковий сироп і фруктове пюре надходить в варильний апарат. Уварена
начинка зливається в темперуючу машину. Відтемперована начинка подається на
ділянку формувань карамелі. Зайва начинка повертається в темперуючу машину.
Карамельну масу охолоджують як в безперервному потоці на охолоджуючих
машинах, так і періодичним способом окремими порціями на охолоджуючих столах.
При періодичному способі карамельну масу виливають на охолоджуючий стіл
безпосередньо з варильною апаратури або переносять в спеціальних бачках
порціями по 20-25 кг. Паралельно охолодженню в карамельну масу на столах
вводять фарбу, есенції та кристалічну кислоту. Тривалість охолодження 1-2 хв.
На охолоджуючих столах в масу можна вводити зворотні відходи карамелі, що не
містять начинки. Ці відходи вносять в карамельну масу відразу після виливання
її на стіл. При цьому вони швидко розплавляються в гарячій карамельній масі.
Кількість введених відходів не повинне перевищувати 10%.
Призначенням розминки карамельної маси є рівномірний розподіл у ній
кислоти, есенції, фарби, повне рівномірний розподіл введених відходів. При
розминці, здійснюваній вручну, масу складають так, щоб нижні остиглі шари її
потрапляли всередину. Після цього масу проминають і подають на формування. При
напівмеханізованому способі виробництва розминки здійснюють на проминальній
машині періодичної дії.
Основними частинами цієї машини є обертовий на вертикальній осі стіл, над яким
обертається зубчастий розминальний ролик і поміщений перекидач у формі лемеша.
Стіл, ролик і перекидач охолоджуються водою. Після розминки температура
карамельної маси знижується до 75-80 ° С.
Для отримання карамелі з непрозорою оболонкою карамельну масу після
фарбування, ароматизації обробляють на витягувальній машині. Після такої
обробки вона набуває шовковистий блиск і крихкість, що є наслідком проникнення
в масу повітря. При цьому маса втрачає прозорість, а щільність її значно
зменшується. Одночасно в масі рівномірно розподіляються введені добавки і
зворотні відходи.
Щоб з безформної пластичної маси отримати калібрований джгут певного
перетину, спочатку готують карамельний батон конічної форми, а потім з вершини
конуса витягають карамельний джгут. Для отримання карамельного батона у формі
конуса з начинкою або без неї використовують валкові машини. Для вироблення
карамелі з начинкою, які закачуються насосом, на корпусі машини змонтований
наповнювач начинки. Він служить для дозованої подачі начинки всередину
карамельного батона. Для отримання з карамельного батона карамельного джгута
певного перетину використовують калібруючу машину.
Метою формувань карамелі є отримання окремих виробів певної форми. Для
формування карамелі з фруктовою начинкою найбільше поширення одержали ланцюгові
(ріжучі і штампуючі машини).
Відформована карамель швидко охолоджують до температури близько 35 ° С.
Карамель у вигляді ланцюжка відформованих виробів, пов'язаних пластичними
перемичками, охолоджують на вузьких транспортерах, швидкість яких однакова зі
швидкістю руху формуючих ланцюгів, тобто швидкість транспортера повинна
збігатися зі швидкістю формуючих ланцюгів. Якщо швидкість стрічки перевищує
швидкість ланцюгів, то карамельна ланцюжок витягується і карамель деформується.
Якщо ж швидкість стрічки недостатня, то карамельна ланцюжок лягатиме змійкою і
навіть петлями і злипатиметься. Транспортер виготовляють з прогумованого
полотна шириною до 100 мм. На транспортері карамельний ланцюжок зверху і з
боків обдувається повітрям, що нагнітається вентилятором. Карамель відформована
у вигляді окремих виробів, або розділена на окремі карамельки з ланцюжка після
охолодження на вузькому транспортері, охолоджують на спеціальних пристроях:
широких транспортерах різного виду, часто багатоярусних, і в пристроях
закритого типу (шафах).
Загортання здійснюють на загорткових машинах. В залежності від методу
затиску і замикання кінців етикетки розрізняють кілька видів загортання.
Найбільш поширеним видом є закладення кінців етикетки закручуванням - «в
закрутку». Рідше використовують обгортку із закладенням етикетки при основі
складками і перекручуванням вільного кінця - «саше».
.3. Характеристика комплексів
устаткування
На лінії по виготовленню карамелі з фруктовою начинкою присутні два
змієвикові варильні котли (рис. 1.3). В одному готується фруктова начинка, а в
іншому проходить варіння карамельного сиропу.
Варильна колонка з паровідділювачем (змієвиковий варильний апарат)
призначена для безперервного безвакуумного уварювання речовини, до потрібної
щільності при одночасному видаленні з них водяної пари.
Варильна колонка являє собою металеву циліндричний посудину, усередині
якої встановлений змійовик з мідних трубок, виготовлений з міді марки М2-3. У
нижній частині колони до змійовика під'єднаний трубопровід з насосом, у верхній
паровідділювач. В котлі є штуцер для входу пара, а на кришці з боку робочого
місця змонтований манометр, запобіжний клапан і кран спуску повітря. Внизу
днища є штуцер для виходу конденсату. Паровідділювач складається з обичайки з
верхнім і нижнім еліптичним днищами, виготовлених зі сталі нержавіючої марки
12Х18Н10Т.
Рис. 1.3 Котел змієвиковий варильний
Робота змієвикового котла полягає в наступному: яблучна (фруктова) маса
по трубопроводах через продуктовий насос надходить у нагрівальну частина -
змійовик. У змійовику маса уварюється і надходить у паровідділювач, де пар
відокремлюється від уварюється маси і відводиться в атмосферу.
Уварювання карамельного сиропу відбувається в змієвиковому
вакуум-апараті. (рис. 1.4). Змієвиковий вакуум-апарат призначений для
безперервного уварювання кондитерських мас. Апарат складається з трьох частин:
нагрівальної, випарної і сепараторної. Нагрівальна і випарна частини з'єднані
між собою трубопроводом. Пастку встановлюють на трубопроводі, яка з'єднує
випарну камеру з конденсатором змішування і вакуум-насосом. Нагрівальна частина
являє собою циліндричний сталевий корпус, з привареним до нього штампованим
сталевим днищем, і знімною кришкою. Усередині корпусу змонтований мідний
змійовик з двома рядами витків, з'єднаних між собою послідовник. Рецептурна
суміш безперервно подається насосом в змійовик варильної колони, де відбувається
уварювання. Зварена маса з змійовика потрапляє в паровідділювач, де
відбувається відділення сокового пару. Колона оснащена аварійним і запобіжним
клапани, на впуск пари.
Рис. 1.4 Змієвиковий вакуум-апарат
Після уварювання карамельна маса надходить в охолоджувальну машину (рис.
1.5). Машина охолоджуюча НОМ-2 безперервної дії, з дозаторами, призначена для
охолодження карамельної маси, а також насичення барвниками, есенцією і
кислотою. Машина застосовується в кондитерській промисловості і встановлюється
в потокової лінії виробництва карамелі.
Рис. 1.5 Машина охолоджувальна НОМ-2
Після охолодженні і проминання карамель надходить до
карамелеобкатувальної машини Б4-ШМП-1 (рис. 1.6). Вона призначена для
формування батона з карамельної маси з начинкою і без неї. Застосовується на
підприємствах кондитерської промисловості в складі поточно-механізованої лінії
для виробництва карамелі, автономно при виготовленні льодяникової карамелі, в комплекті
з начиняльних машиною Б4-ШМН-1 при виготовленні карамелі з начинкою.
Рис. 1.6 Карамелеобкатувальна машина Б4-ШМП
Поряд з карамелеобкатувальною машиною знаходиться карамеленачинювальна
Б4-ШМН-1 (рис. 1.7), яка призначена для подачі начинки в продуктопровід
карамелеобкатувальну машини. Застосовується на підприємствах кондитерської
промисловості в складі поточно-механізованої лінії для виробництва карамелі і
працює спільно з карамелеобкатувальною машиною.
Готовий карамельний ланцюжок надходить до штампувальної машини Ж7-ШМК-1
(рис. 1.8), що призначена для штампування карамелі різних форм і розмірів.
Застосовується на підприємствах кондитерської промисловості.
Машина має привід з безступінчастим регулюванням швидкості, функціями
плавного пуску, зупинки і захисту від перевантажень. Для зручності
переналагодження комплектується двома формами головками, а для поліпшення
якості зовнішнього вигляду готової продукції - пристроєм для остаточного
калібрування карамельного джгута. Оснащена відкидними кожухами для захисту
персоналу.
Рис. 1.7 Карамеленачинювальна машина Б4-ШМН-1
Привід машини працює від електродвигуна через варіатор, пару шестерень,
змонтованих усередині станини, ланцюгові передачі конічних шестерень, і
приводять у рух два бічних ланцюга. Натиск на штампики бічними ланцюгами і
натяг останніх виробляються важільним механізмом, змонтованим на станині
машини. Зазор між гребінцями містків верхнього і нижнього формуючих пристроїв
регулюється ексцентриками з механізмом фіксації за допомогою верхніх і нижніх
полозків. Натяг верхнього формувального пристрою здійснюється храповим
механізмом, розташованим на двох стійках, а нижнього - пересуванням передньої
стійки.
Рис. 1.8. Штампувальна машина Ж7-ШМК-1
.4. Опис технологічного
процесу виготовлення карамелі з фруктовою начинкою
Принципова технологічна схема виробництва карамелі з фруктовою начинкою
зображена на рисунку 1.3. Виробничий процес розпочинається із підготовки
сировини та напівфабрикатів до виробництва . Цукор-пісок з мішків через сітку з
розміром отворів не більше 5 см завантажується в приймальну воронку просіювача
17. Після очищення від сторонніх домішок, ковшовим елеватором 18, цукор пісок
потрапляє в бункер проміжний 19, звідки далі дозується на стрічковий конвеєр і
через шнек 20 надходить в змішувач безперервної дії 21 для розчинення.
В той же змішувач за допомогою об'ємних дозаторів 22-24, відповідно до
рецептури дозується вода, патока, інвертний сироп і змішуються. Після
змішування одержана суміш надходить на уварювання в змієвиковий котел 25.
Уварений сироп через фільтр стаканчастий 26 кожні 1,5-2 хв.
вивантажується за допомогою і подається в змієвиковий збірник-охолоджувач 27, а
далі насосом лопатевим перекачується в збірник проміжний 28.
При виробництві карамельного сиропу співвідношення цукру і патоки за
уніфікованою рецептурою становить 1:0,5. Залежно від прийнятих технологічних
схем і використовуваного обладнання допускається змінювати співвідношення цукру
і патоки, передбачене уніфікованою рецептурою. При повній забезпеченості
підприємства патокою рекомендується збільшувати витрату останньої до 70% (по
відношенню до цукру). За відсутності необхідної кількості патоки використовується
інвертний сироп.
Карамельний сироп не повинен містити кристалів цукру, повинен бути
стабільним по вологості та масовій частці редукуючих речовин. Інверсія сахарози
в процесі приготування сиропу повинна бути мінімальною.
Типовий спосіб приготування карамельного сиропу передбачає безперервне
розчинення цукру у водно-паточному розчині під тиском в сироповарочних
агрегатах. Сироповарочні агрегати складаються, як правило, з двох самостійних
частин: рецептурної станції та обладнання для одержання карамельного сиропу. До
складу рецептурної станції входять приймальні збірники для патоки, води і
інвертного сиропу, а також дозуючі насоси (22-24). Одна станція може
обслуговувати кілька сироповарочних агрегатів.
Карамельний сироп уварюють до карамельної маси в основному в
вакуум-апаратах безперервної дії продуктивністю 500 і 1000 кг / год зі
змієвиковим варильним апаратом 30 і виносною вакуум-камерою 31. Карамельний
сироп подається насосом в змієвиковий вакуум-варильний апарат 30 з виносною
вакуум камерою 31. Тиск пари, що гріє при уварюванні 0,3-0,6 МПа. Температура
карамельної маси при вивантаженні з вакуум-апарата від 112 до 130 ° С.
Уварена карамельна маса надходить у прийомну лійку машини охолоджувальної
32, і виходить з неї у вигляді безперервної стрічки певної товщини і ширини.
При виготовленні карамельної маси із співвідношенням цукру і патоки 100:50
рекомендована товщина шару не більше 6 мм, при зниженні кількості патоки - 2
мм. Рецептурні добавки (кислота, барвники, ароматизатори та інші) подаються
безперервно діючими об'ємними дозаторами 33 на стрічку карамельної маси, яка за
допомогою проминальних пристроїв безперервної дії 34 утворюють джгут. У процесі
витягування маси змінюється її колір, зменшується щільність. Маса набуває
шовковистий зовнішній вигляд і крихкість. Тривалість обробки маси 1-1,5 хв.
Після тягнучої машини карамельна маса при температурі, 75-80 ° С
безперервно по стрічковому конвейєрі надходить в обкатувальну машину 36 з
наповнювачем начинкою 35. У карамельний батон, що формується, подається фруктова
начинка. Трубка наповнювача прогрівається перед початком роботи самою начинкою,
температура якої спочатку повинна бути на 5-7 ° С вище робочої.
Рис.1.3 Принципова технологічна схема виробництва карамелі з фруктовою
начинкою
Для приготування начинок допускається використовувати яблучне пюре, яке
надходить на виробництво у діжках або без тари. Пюре з діжки 1 насосом
перекачується в танк-збірники універсальний з мішалкою 2. З них перекачується
насосом у шпарильник 3 і через ємність проміжну 4 подається в збірник 5. У міру
необхідності перед направленням на виробництво пюре розтирається в протиральній
машині 6 і надходить в збірник 7. У змішувачі 10 безпосередньо готується
фруктова суміш для начинки.
Цукровий сироп і патока дозуються об'ємними дозаторами 8 і 9. Фруктова
суміш подається насосом-дозатором на уварювання у котел змієвиковий варильний
11 з паровідділювачем 12. Начинки уварюють до вологості 14 - 19%.
Уварена фруктова маса надходить у ємність проміжну 13, а далі при
температурі 80 - 85 ° С - в машину темперуючу 16. Смакові додавання (кислота та
есенція) для начинки також дозуються в машину темперуючу 16 дозаторами
об'ємними 14 і 15.
Для формування карамельного батона начинка надходить в обкатувальну
машину 35 з наповнювача начинки 36. З обкатувальної машини карамельний джгут
подається у витягувальну (калібрувальну) машину 37, а далі - в штампувальну 38.
Карамельна ланцюжок із з'єднаних перемичками карамельок відводиться
вузьким конвеєром 39, при цьому охолоджуючись до 60-65 ° С, і надходить на
живильний вібролоток 40. Вібролотком карамель подається в шафу охолоджувальну
41, де охолоджується до температури не вище 35 ° С. Для цієї мети
застосовується трьохярусний конвеєр, протягом 1,5 хв.
Охолоджену карамель відвідний вібролоток 42 подає на конвеєр розподільний
43, далі - на машини для загортання 44.
Організація керування даним технологічним процесом
пов'язана з необхідністю одержання інформації про хід ТП і визначення
оптимального режиму функціонування об'єкта, з реалізацією знайдених оптимальних
керуючих впливів.
Розглянута АСУТП є багатофункціональною системою.
Характерними інформаційними функціями АСУТП, результатом виконання яких є
надання верхньому рівню керування інформації про хід керованого процесу, є наступні:
- контроль поточних значень основних параметрів процесу;
- перевірка відповідності параметрів
процесу припустимим значенням та інформування персоналу про виникнення
невідповідності;
- вимір параметрів;
- обчислення деяких параметрів або
комплексних показників, що не піддаються безпосередньому виміру.
Для забезпечення оперативності керування ТП приготування карамелі з
фруктовою начинкою й адекватності математичної моделі керування якістю система
керування повинна базуватися на принципах одержання статичних і динамічних
характеристик безпосередньо на об'єкті в процесі керування .
В розроблених рецептурах існує великий розкид
температур уварювання та застигання. Великий діапазон у температурах плавлення
та застигання карамельних мас обумовлює нестабільність роботи механізованих
потокових ліній і значне зниження їхньої продуктивності. Зміна перерахованих
вище параметрів при керуванні технологічним процесом веде до зміни якості
готового продукту.
Проведений вище аналіз технологічного процесу показує, що, виходячи з
умов функціонування кондитерського підприємства та технології виробництва
карамелі з фруктовою начинкою, необхідно розробити вдосконалену автоматизовану
систему керування технологічним процесом виготовлення карамельних мас, що
використовує новітні засоби та методи керування, які дозволять одержувати
продукцію заданої якості і забезпечувати безперебійну роботу технологічного
устаткування та кондитерського підприємства в цілому.
.5. Параметри технологічного
процесу
Для досягнення найкращої якості готової продукції під час процесу
виробництва необхідно дотримуватись параметрів технологічного процесу які
наведенні в табл. 1.1.
Таблиця 1.1 Параметри технологічного процесу
|
№ п/п
|
Параметр, що контролюється
|
Одиницівим.
|
Значення
|
Відхилення
|
|
1
|
Температура цукрового
сиропу і патоки
|
°С
|
45
|
|
|
2
|
Температура інвертного
сиропу, патоки і води
|
°С
|
50
|
|
|
3
|
Тривалість змішування
компонентів для фруктової начинки
|
хв.
|
4
|
|
|
4
|
Тривалість змішування
компонентів для карамельного сиропу
|
хв.
|
8
|
|
|
5
|
Температура уварювання
фруктової начинки
|
°С
|
110
|
|
|
6
|
Температура уварювання
карамельного сиропу
|
°С
|
112
|
|
|
7
|
Температура уварювання
карамельної маси
|
°С
|
130
|
|
|
8
|
Температура фруктової
начинки у темперуючій машині
|
°С
|
66
|
|
|
9
|
Температура карамельної
маси на виході з проминальної машини
|
°С
|
77
|
|
|
10
|
Температура карамелі на
виході з охолоджувального конвеєра
|
°С
|
62
|
|
|
11
|
Температура карамелі на
виході з охолоджувальної шафи
|
°С
|
35
|
|
1.6 . Вимоги до системи автоматизації
Можливість автоматизації кондитерського виробництва дозволяє значно
знизити собівартість і скоротити кількість зайнятого персоналу. Якщо ще кілька
років тому назад попит на устаткування з підвищеним ступенем автоматизації
складав менш половини від усіх промислових ліній, що встановлювалися, і
розробки комп'ютерного і програмного забезпечення були на рівні досвідчених
зразків, то в даний час бурхливий розвиток інформатики гарантує максимальну
надійність комп'ютерних систем. До систем автоматизації керування виготовленням
карамелі з фруктовою начинкою висуваються наступні вимоги:
– автоматичне
керування всім процесом;
– автоматичне
керування електродвигунами й іншими пристроями;
– підтримка
інтерактивного режиму при відображенні аварійних сигналів і допомога при пошуку
несправності за допомогою зручного графічного інтерфейсу і пояснень;
– відображення
на екрані дисплея графіків зміни різних параметрів у режимі реального часу і
запис у пам'ять всіх змін у часі для наступного аналізу;
– керування
програмами техобслуговування на різні терміни;
2.
АНАЛІЗ ТЕХНОЛОГІЧНОГО ПРОЦЕСУ ЯК ОБ'ЄКТА КЕРУВАНННЯ
Виготовлення якісної продукції залежить від ряду чинників. Зокрема, як
уже було зазначено раніше, головним є точне дозування усіх компонентів і
змішування їх при заданій температурі. В даному випадку вимагається дотримання
усіх цих норм, а також інших технологічних параметрів, як на етапі приготування
фруктової начинки так і карамельної маси. Тому раціонально буде відобразити
схему параметрів для кожного з них окремо. Також потрібно пам’ятати, що чітке
навіть дотримання усіх стадій процесу не може гарантувати якісного продукту,
оскільки важливим чинником є якість сировини, що впливає на смакові властивості
цукерок.
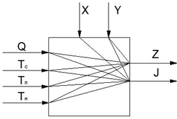
Рис. 2.1 Схема параметрів приготування фруктової начинки
Вхідні
параметри: Q - кількість інгредієнтів;
-
температура цукрового сиропу;
-
температура патоки;
- температура уварювання фруктової начинки; Вихідні
параметри: Z - однорідність фруктової начинки; J - органолептичні властивості;
Збурюючі фактори: X
- якість сировини; Y - зношення сіток, лопатей у
протиральній машині
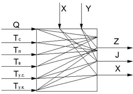
Рис.
2.2 Схема параметрів уварювання карамельної маси
Вхідні
параметри: Q - кількість інгредієнтів;
-
температура інвертного сиропу;
-
температура патоки;
- температура води;
-
температура уварювання карамельного сиропу;
-
температура уварювання карамельної маси; Вихідні параметри: Z - однорідність
карамелі; J - органолептичні властивості; X - рівень зворотної кристалізації
цукру; Збурюючі фактори: X
- якість сировини; Y - засмічення сітки просіювача
3.
ОбҐрунтування вибору функціональної
схеми
Для проведення автоматизації лінії вибрано давачі та виконавчі механізми,
які задовольняють вимоги безпеки, та відповідають необхідним умовам
функціонування. Аналогові датчики температури, витрати, рівня і розрідження,
які розміщені на протяжності лінії, виробляють уніфіковані сигнали 4-20мА, які
далі надходять на контролери. Завдяки цьому забезпечується висока точність і
надійність роботи обладнання. Виконавчі механізми теж керуються уніфікованими
сигналами контролерів.
Для автоматичного регулювання і контролю підібрані мікропроцесорні
пристрої серії ADAM4000 фірми-виробника Advantech. Вони відзначаються
достатньою надійністю, великою точністю, малим споживанням електроенергії та
досить гнучким налаштуванням, відповідно до поставлених задач. Контролери
ADAM4000 в порівнянні з іншими контролерами аналогічного типу є дешевшими і
легкими у програмуванні, але водночас мають вбудований інтерфейс RS-485 з
підтримкою технології ModBus, що дозволяє здійснювати керування технологічним
процесом зі SCADA-системи.
Відповідно до функціональної схеми підібрано контролери так, щоб було
якомога менше незадіяних входів чи виходів, виключаючи цим самим додаткові
капіталовкладення.
Пюре починає перекачуватися з діжки 1 в збірник 2, за це відповідає
датчик рівня 1-1, який відслідковує рівень пюре в ньому. При падінні рівня
нижче допустимого, посилається сигнал на запуск мотора 1-4, який приводить в
дію насос, для перекачки необхідної кількості пюре до танка-збірника 2,
одночасно спрацьовує мотор 1-6, який включає змішувач в цьому збірнику. Якщо
датчик рівня 2-1 зафіксує нестачу пюре в змішувачі 5, спрацьовує мотор 2-4,
який запускає насос для перекачки в нього пюре, та мотор 2-6, який включає сам
змішувач . При цьому спрацьовує мотор 2-10, який безпосередньо приводить в дію
шнек шпарильника, для транспортування пюре по ньому. В цей же час подається
сигнал на відкриття вентиля 2-8, який подає пару для обробки пюре, і на запуск
мотора 2-12, що забезпечує роботу насоса для перекачки пюре в шпарильник із
танка-збірника 2. Датчик рівня 3-1 відслідковує рівень протертого пюре у
змішувачі 7, якщо він опуститься нижче заданого запускається мотор 3-4, для
включення насоса, який перекачує пюре до нього, і мотор 3-6 для початку його
змішування. Мотор 3-8 включає протиральну машину 6, а мотор 3-10 забезпечує
роботу насоса, який перекачує пюре до неї, з змішувача 5.
У змішувач 10 надходять, уже раніше протерте, пюре, цукровий сироп і
патока - компоненти для фруктової суміші. Коли датчик рівня 8-1 зафіксує
наявність фруктової маси нижчу за задану, в проміжній ємності 13, включається
мотор 8-8, який приводить в дію змішувач 10. Запускається мотор 4-4, який
приводить в дію насос, що перекачує протерте пюре. Його кількість фіксується
датчиком витрати 4-1. Водночас до змішувача 10 надходить патока і цукровий
сироп, їх дозування забезпечують датчики витрати 6-1 та 7-1. Задана температура
патоки і води підтримується завдяки датчику температури 5-1. Відповідно до його
показів визначається керуючий сигнал на відкриття вентиля 5-4, який регулює
подачу пари для підігріву. Готова фруктова суміш перекачується у
змієвиково-варильний котел 11, в якому температура підтримується на заданому
рівні шляхом подачі пари. Задану температуру відслідковує датчик температури
26-1, відповідно до чиїх показів визначається ступінь відкриття вентиля 26-4.
Мотор 8-4 приводить в дію насос, який перекачує уварену фруктову масу із
змієвиково-варильного котла 11 до проміжної ємності 13.
За належним рівнем фруктової начинки, в темперуючій машині 16, слідкує
датчик рівні 11-1. При його зниженні подається сигнал на мотор 11-4, який
відповідно приводить в дію насос, що перекачує уварену фруктову масу до
темперуючої машини 16. Одночасно включається мотор 11-6, який запускає змішувач
фруктової начинки. Дозування кислоти та есенції здійснюється засобами датчиків
витрати 9-1 і 10-1. Температуру в темперуючій машині 16 відслідковує датчик
температури 12-1, відповідно до показів якого змінюється подача пари засобами
вентиля 12-4.
Цукор пісок проходить через просіювач 17, і за допомогою ковшового
елеватора 18 засипається в бункер проміжний 19. Рівень цукру в бункері
проміжному 19 визначається датчиком рівня 13-1. В залежності від його показів
подаються керуючі сигнали на мотори 13-4 і 13-6, які запускають просіювач 17 та
ковшовий елеватор 18. Включаються мотори 19-10 і 19-12, які запускають шнек 20
та змішувач 21, коли датчик рівня 19-1 зафіксує відсутність потрібного рівня
увареного сиропу, у проміжному збірнику 28. Цукор пісок дозується в необхідній
кількості на стрічковий конвейєр, далі через шнек 20 надходить в змішувач 21.
Дозування цукру підтримується за допомогою датчика витрати 14-1. Одночасно в
змішувач 21 дозуються інертний сироп патока і вода. Витрата яких також
контролюється датчиками витрати 16-1, 17-1 та 18-1 відповідно. За вірною
температурою цих компонентів слідкує датчик температури 15-1. Базуючись на його
показах, подається сигнал на вентиль 15-4, який контролює подачу пари, для
обігріву. Далі включається мотор 19-8, який запускає насос, що перекачує готову
суміш у змієвий котел 25, на уварювання. Температура уварювання контролюється
подачею пари через вентиль 20-4, сигнал на який подається відповідно до показів
датчика температури 20-1. Уварений сироп перекачується насосом, який приводить
в дію мотор 19-6, через фільтр стаканчастий 26, в змієвиковий збірник-охолоджувач
27. Звідки насосом, який запустив мотор 19-4, перекачується в проміжний збірник
28.
Мотор 23-6 запускає насос, який перекачує уварений сироп до
варильного-апарату 30, з виносною вакуум камерою 31. Понижений тиск забезпечує
насос розрідження 29, який включається мотором 21-4, і що працює відповідно до
показів вакуометра 21-1. Значення температури, в вакуум-варильному апараті,
визначається датчиком температури 22-1, і в залежності від нього проводиться
зміна стану вентиля 22-4. Мотор 23-10 запускає машину охолоджувальну 32, в
приймальну лійку якої надходить уварена карамельна маса. Водночас на карамельну
стрічку подаються рецептурні добавки дозаторами 33. Охолоджена карамельна маса
надходить на проминальний пристрій безперервної дії 34, який приводиться в дію
мотором 23-12. Обкатувальна машина 36 запускається мотором 23-14, а рівень
начинки у наповнювачі 35, контролюється датчиком рівня 23-1, і при необхідності
доповнюється насосом, якого приводить в дію мотор 23-4. Готовий джгут надходить
в калібрувальну машину 37, яка працює завдяки мотору 23-16, і далі у
штампувальну 38, яку запускає мотор 23-18.
Готовий ланцюжок карамелі, з перемичками, конвеєром 39, що працює від
мотора 23-20, надходить до живильного вібролотка 40. Паралельно охолоджуючись,
завдяки циркулюючому над ним холодоагенту. Температуру відслідковує датчик
температури 24-1, за значеннями якого працює вентиль 24-4. Після вібролотка
карамель надходить до охолоджувальної шафи 41, яка працює завдяки мотору 23-24,
а температура в ній контролюється датчиком температури 25-1 та вентилем 25-4.
Охолоджену карамель відвідний вібролоток 42, що приводиться в дію мотором
23-26, подає на конвеєр розподільний 43, і далі на машини для загортання 44,
які працюють від мотора 23-28.
4.
ОБҐРУНТУВАННЯ ВИБОРУ ТЗА
4.1. Вибір датчиків
4.1.1. Датчик температури
Для вимірювання температури у змішувачах компонентів, котлах і
охолоджувальних шафах використаємо термопару К типу ТСМУ 0104 (рис.4.1).
Рис. 4.1. Термопара ТСМУ 0104
Таблиця 4.1 Технічні характеристики термопари ТСМУ 0104
|
№ п/п.
|
Назва параметра
|
Значення
|
|
1
|
Похибка вимірювання
|
0,25%
|
|
3
|
Діапазон вимірювання
температур
|
0…+150°С
|
|
4
|
Робоча температура
навколишнього середовища
|
від -25° до +80°С
|
|
6
|
Напруга живлення
|
від 12 до 36 В (при
номінальному значені 24±0,48В )
|
|
7
|
Споживана потужність
|
5,8 Вт
|
|
7
|
Час установки робочого
режиму
|
не більше 15 хвилин
|
|
8
|
Вихідний сигнал
(аналоговий)
|
4-20мА
|
Даний термоперетворювач призначений для перетворення значення температури
різних, середовищ, в уніфікований струмовий вихідний сигнал 4-20мА.
Термоперетворювачі можуть використовуватись в теплоенергетиці, хімічній,
харчовій та інших галузях промисловості.
Одною з конструктивних особливостей даного приладу є те що в склад
термоперетворювача ТСМУ 0104 входить компенсатор температури "холодного
спаю", а також має вмонтований в клемну головку первинного перетворювача
вимірювальний перетворювач (ІП-0104).
Ресурс напрацювання до відмови становить 15000 годин.
4.1.2 Датчик рівня
Для отримання інформації про наповнення ємностей проміжних, а також рівня
у змішувачах будемо використовувати рівнемір УЛМ-31А2 (рис. 4.2.).
Рис. 4.2 Рівнемір УЛМ-31А2
Рівнемір УЛМ-31А2 створений як максимально простий і недорогий
універсальний засіб вимірювання рівня, що підходить для використання на
технологічних резервуарах з різними рідкими і сипучими, в тому числі і з
агресивними, продуктами.
Радарний рівнемір УЛМ-31А2 призначений для високоточного безконтактного
вимірювання рівня рідких продуктів і сипучих матеріалів в резервуарах. Рівнемір
УЛМ-31А2 застосовується для вимірювання рідких продуктів таких як нафта,
бензин, дизельне пальне, мазут, кислота, луг, бітум, пиво, масло,
спирт(харчовий), метанол, вода і т.д., і вимірювання рівня різних сипучих
матеріалів.
Таблиця 4.2 Технічні характеристики рівнеміра УЛМ-31А2
|
№ п/п.
|
Назва параметра
|
Значення
|
|
1
|
Максимальна абсолютна
похибка
|
±10мм
|
|
2
|
Ширина вимірювального
променя
|
22°
|
|
3
|
Діапазон вимірювання рівня
|
0,1÷5м
|
|
4
|
Робоча температура
навколишнього середовища
|
від -40° до +50°С
|
|
5
|
Температура контрольованого
продукту
|
необмежена
|
|
6
|
Напруга живлення
|
24В постійного струму
|
|
7
|
Споживана потужність
|
6,6 Вт
|
|
8
|
Аналоговий вихід
|
4-20мА
|
Рівнемір УЛМ-11 оптимізований для побудови систем комерційного обліку і
для вирішення задач по вимірюванню рівня, які потребують максимально можливої
точності і чутливості.
Точність вимірювання і конструктивні особливості дозволяють, на основі
даних приладів, легко і швидко будувати розгалуження системи вимірювання рівня
для резервуарних парків будь якої конфігурації і будь-якої степені складності,
а також легко інтегрувати рівнеміри УЛМ-31А2 в уже існуючі вимірювальні
комплекси.
Універсальність рівнеміра УЛМ-31А2 обумовлена використанням для
вимірювання рівня продукту максимально можливою, на сьогоднішній день частотою
електромагнітного сигналу. Вона складає 94ГГц.
Застосування такої частоти дозволяє досягти унікальних характеристик. При
зовнішньому діаметрі антени датчика рівня рівнеміра УЛМ-11 всього 90 мм, ширина
вимірювального промення складає 22°, максимальна абсолютна похибка ±10мм не
залежить від температури навколишнього середовища, а найкраща інструментальна
похибка досягає ±0,05мм.
Робоча температура навколишнього середовища у місці встановлення датчика
рівня знаходиться в межах від -40° до +50°С, при цьому ніяких додаткових
утеплювачів не потрібно. Нормальне функціонування рівнеміра при досить низьких
температурах забезпечується внутрішньою, автономною системою підігріву, яка
підтримує необхідну робочу температуру всередині датчика рівня.
В датчиках рівня рівнеміра УЛМ-31А2 застосований захисний принцип
розміщення антени - антена повністю знаходиться всередині корпуса датчика та
ізольована від зовнішнього середовища фторопластовою лінзою спеціальної
випуклої форми. Форма лінзи сприяє стіканню вологи з її поверхні, а температура
на зовнішній поверхні захисної лінзи завжди вища температури навколишнього
середовища (роса завжди випадає на більш холодних поверхнях). Такий комплекс
мір гарантує не випадання роси на антені і відсутність забруднень які можуть
вплинути на точність і стабільність вимірювання рівня.
4.1.3 Витратомір
Для контролю витрати патоки, води, інвертного сиропу та цукрового сиропів
використовуємо ультразвуковий витратомір для різноманітних середовищ ВЗЛЕТ
УРСВ-510Ц (рис. 4.3.).
Рис. 4.3. Витратомір ВЗЛЕТ УРСВ-510Ц
Прилад загальнопромислового призначення з широким діапазоном
контрольованих середовищ, призначений для технологічних і комерційних вимірів,
контролю та обліку об'ємної витрати, кількості рідини і насиченої водяної пари,
повітря і газу.
Таблиця 4.3 Технічні характеристики витратоміра ВЗЛЕТ УРСВ-510Ц
|
№ п/п.
|
Назва параметра
|
Значення
|
|
1
|
Похибка вимірювання
|
0,75%
|
|
2
|
Діапазон вимірювання
витрати (л/хв)
|
0,4-4
|
|
3
|
Діаметр трубопроводу
|
10-50 мм
|
|
4
|
Діапазон робочого тиску
(МПа)
|
0-1,2
|
|
5
|
Максимальний тиск (МПа)
|
1,5
|
|
6
|
Робоча температура
навколишнього середовища
|
від 0° до +90°С
|
|
7
|
Напруга живлення
|
від 12 до 24 В (при
номінальному значені 18±0,48В )
|
|
8
|
Споживана потужність
|
7,3 Вт
|
|
9
|
Стійкість до вібрації
|
|
|
10
|
Вихідний сигнал
(аналоговий)
|
4-20мА
|
У пристроях даного типу використовується властивість звукових хвиль
змінювати швидкість свого поширення в рухомому середовищі. Якщо встановити
джерело (A) і приймач (B) ультразвуку зі зміщенням, то про швидкість потоку
можна судити по зміні швидкості поширення звукової хвилі вздовж відрізка AB.
Для вимірювання витрати не потрібно порушення цілісності трубопроводу,
витратомір не вносить додаткового гідравлічного опору і є справді енергозберігаючим
засобом вимірювання. Прилад випускається у варіантах: стаціонарному та
портативному для аудиту витрат, що включає візуальний контроль за гідравлікою в
трубі. Надчутливі датчики витратоміра дозволяють вимірювати витрати в
трубопроводах з відкладеннями, і в трубопроводах гумованих зсередини.
Для контролю витрати цукру-піску використаємо витратомір сипучих речовин
SolidFlow фірми SWR engineering (рис. 4.4.).
Рис. 4.4. Витратомір SolidFlow
Витратомір SolidFlow - прилад, спеціально розроблений для вимірювання
витрати сипучих речовин, що транспортуються по металевих трубопроводах. Прилад
використовує у своїй роботі останні досягнення мікрохвильових технологій і
використовується тільки в металевих трубопроводах.
Таблиця 4.4 Технічні характеристики витратоміра SolidFlow
|
№ п/п.
|
Назва параметра
|
Значення
|
|
1
|
Похибка вимірювання
|
± 2 ... 5%
|
|
2
|
Діапазон вимірювання
витрати (л/хв)
|
0,4-4
|
|
3
|
Діаметр трубопроводу
|
20-40 мм
|
|
4
|
Категорія захисту
|
IP65; ATEX: кат. 2 G и 1/2
D
|
|
5
|
Сигнал перевищення
порогового значення
|
Реле, макс. 250 VAC, 1A
|
|
6
|
Робоча температура
навколишнього середовища
|
-20...+80 °C
|
|
7
|
Напруга живлення
|
від 12 до 24 В
|
|
8
|
Споживана потужність
|
20 Вт
|
|
9
|
Стійкість до вібрації
|
|
|
10
|
Вихідний сигнал
(аналоговий)
|
4-20мА
|
Вимірювальне поле утворюється при спеціальній взаємодії мікрохвиль зі
стінками трубопроводу. Електромагнітна енергія розсіюється частками матеріалу і
приймається сенсором. Потім цей сигнал обробляється за частотою і амплітудою.
Сенсор працює в режимі лічильника, який підраховує кількість рухомих частинок в
одиницю часу.
4.1.4 Вакуометр
Вимірювання розрідженості (вакууму) у вакуум камері будемо проводити
використовуючи перетворювач тиску САПФИР-22(М)-ДВ (рис.4.5). Перетворювачі
САПФИР-22(М)-ДВ призначені для перетворення вукуууметричного тиску рідких та
газоподібних середовищ в уніфікований струмовий сигнал, в тому числі в умовах
АЕС.
Дані перетворювачі призначені для роботи в системах автоматичного
контролю, регулювання і управління технологічними процесами і забезпечують
безперервне перетворення вимірюваного параметра.
Рис. 4.5. Перетворювач тиску САПФИР-22(М)-ДВ
Таблиця 4.5
Технічні характеристики перетворювача тиску САПФИР-22(М)-ДВ
|
№ п/п.
|
Назва параметра
|
Значення
|
Похибка вимірювання
|
0,25%
|
|
2
|
Вихідні сигнали
|
0…5; 4…20мА
|
|
3
|
Живлення: 0 … 5мА 4 … 20 мА
|
15 … 42 В 36 В
|
|
4
|
Виконання по
вибухозахищеності
|
1ExsdllBT4/H2 1ExdllBT4/H2
|
|
5
|
Відносна вологість повітря
при температурі 35°С
|
95 %
|
|
6
|
Ступінь захисту
|
ІР54
|
|
7
|
Вібростійкість
|
L3
|
|
8
|
Вихідний сигнал
(аналоговий)
|
4-20мА
|
4.2. Вибір виконавчих механізмів
і регулюючих органів
4.2.1. Вибір насосів
Для транспортування рідких сиропів у проміжні збірники, а також подальше
перекачування до змішувачів по трубопроводах використовуються лопатеві насоси
серії Grundfos UPA 15-90 (рис. 4.6.).
Рис. 4.6 Насос серії Grundfos UPA 15-90
15-90 представляє собою компактний насос у чавунному корпусі з внутрішнім
антикорозійним покриттям. Електродвигун з «мокрим» ротором відокремлений від
статора захисною гільзою з неіржавіючої сталі. За допомогою перемикача на
клемної коробки насоса задається потрібний режим роботи.
Таблиця 4.6 Технічні характеристики насоса Grundfos UPA 15-90
|
№ п/п.
|
Назва параметра
|
Значення
|
|
1
|
Подача до
|
|
|
2
|
Напір до
|
12 м
|
|
3
|
Температура речовини
|
від
|
|
4
|
Максимальний тиск (МПа)
|
1,5
|
|
5
|
Робоча температура
навколишнього середовища
|
від 0° до +90°С
|
|
6
|
Робочий тиск
|
10 бар
|
|
7
|
Споживана потужність
|
1,1 кВт
|
Особливості:
– Довговічні керамічні підшипники;
– Нержавіюча гільза без додаткових
ущільнень;
– Низький рівень споживаної
електроенергії;
– Низький рівень шуму;
– Широкий робочий діапазон.
Для перекачування кашеподібної фруктової суміші високої в’язкості
використовуються гвинтові насоси виробника Bellin. Гвинтовий насос, гідравлічна
машина, робочим органом якої є гвинт: служить для подачі рідини, у тому числі з
підвищеною в'язкістю. Він є різновидом роторних насосів, називається також
черв'ячним. У корпусі є ведучий і один або два ведені гвинти. При обертанні
гвинтів місця їх зачеплення переміщаються уздовж осі - замкнутий між витками
об'єм рідини витісняється. Рідині передається головним чином потенційна
енергія, завдяки чому в ній значно зростає тиск.
Одним з таких насосів є насос Bellin типу LT (рис. 4.7).
«Ексцентрикові гвинтові насоси» - це насоси, двома основними частинами
яких є «ротор»(гвинт з круглою різьбою), який не симетрично відносно центру
обертається всередині нерухомої гумової частини, «статора» (вулканізована гума
в сталевому циліндрі), - переміщуючи рідину по різноманітних порожнинах вздовж
осі насосу.
Рис. 4.7 Насос Bellin типу LT
В ексцентрикових гвинтових насосів Bellin є багато переваг над іншими
типами насосів, що дозволяє використовувати їх в широкому діапазоні:
низька швидкість і відповідно більш тривалий термін використання (200-500
об./хв. в порівнянні з 1400-2800 об/хв відцентрових насосів)
може застосовуватись для перекачування абразивних та в’язких речовин
рівномірний потік з мінімальною пульсацією та деформацією
висока міцність на старання
мінімальне техобслуговування
малошумний
пропускна здатність до 260 м3/год
тиск до 30 бар
пряма залежність пропускної здатності від швидкості дає можливість
використовувати насоси Bellin для дозування.
4.2.2 Вибір клапанів
Для регулювання витрати подрібнених цукру-піску, патоки, води та
інвертного сиропу встановлюємо регулюючі електромагнітні клапани Burkert тип
2712(рис. 4.8.).
Рис. 4.8 Регулюючий електромагнітний клапан Burkert тип 2712
Регулюючий клапан 2712 створений у першу чергу для тих застосувань, де
важлива точність регулювання. 2712 складається з нержавіючого клапана та
регулюючого пневматичного приводу.
Електромагнітні вентилі в системі автоматичного регулювання являються
релейними органами для дистанційного керування і регулювання. Клапани
встановлюються на трубопроводах і залежно від виконання (нормально-закриті або
нормально відкриті) відкривають або перекривають потік робочого середовища при
вступі на котушку клапана напруги живлення.
На трубопроводі електромагнітні клапани Burkert можуть встановлюватися в
будь-якому положенні (рух робочого середовища повинен збігатися із зазначеною
на корпусі стрілкою). Найбільш поширений варіант установки - котушкою догори.
Електромагнітні клапани Burkert - це прості і надійні механізми, невибагливі в
роботі.
автоматизація
фруктовий сировина карамель
Таблиця 4.7 Технічні характеристики регулюючого електропневматичного
клапан Burkert типу 2712
|
№ п/п.
|
Назва параметра
|
Значення
|
|
1
|
Діаметер трубопроводів
|
8-100мм
|
|
2
|
Тиск в трубопроводах
|
0-11 бар
|
|
3
|
Температура регульованого
середовища
|
-10…+180°С
|
|
4
|
Матеріал корпусу
|
Кована латунь
|
|
5
|
Клас захисту
|
IP44
|
|
6
|
Приєднання
|
Фланцеве DIN EN1092-1
DIN2634 R Різьбове, зварне ISO4200 DIN 11850
|
Кожен клапан може мати змінні сідла з пониженням від 3 до 5 діаметрів.
параболічне сідло дозволяє забезпечувати надійну регулюючу характеристику.
Ущільнення клапана може бути в 2 варіантах: з тефлону для більш щільного
закриття та нержавіючої сталі. На клапана може бути встановлений позиціонер
1067/8635 або 8630, що дозволяє йому працювати у якості регулятора положення
(простий варіант) або регулятора процесу з (ПІД-регулюванням) для регулювання
тиску, витрати, температури і т.д.
4.2.3 Вибір вентилів
Для регулювання подачі пари до дозаторів і змішувачів, та фреону до
охолоджуючих шаф встановлюємо регулюючі електромагнітні вентилі DFCM- RVA10
(рис. 4.9.).
Рис. 4.9 Регулюючий електромагнітний вентиль DFCM- RVA10
Таблиця 4.8 Технічні характеристики регулюючого електромагнітного клапан
DFCM- RVA10
|
№ п/п.
|
Назва параметра
|
Значення
|
|
1
|
Напруга живлення
|
30 В
|
|
2
|
Діаметер трубопроводів
|
10-50мм
|
|
3
|
Тиск в трубопроводах
|
0-16 бар
|
|
4
|
Температура регульованого
середовища
|
-10…+94°С
|
|
5
|
Час закриття
|
4-5 с
|
|
6
|
Час відкриття
|
9-11 с
|
Електромагнітні вентилі застосовується на трубопроводах для води,
повітря, пари в якості запірного пристрою з дистанційним електричним
керуванням. Серія RVA10 включає вентильні приводи з помірним значенням зусилля
і аналоговим сигналом управління 0-10 або 2-10 В постійного струму. Вентиль
електромагнітний DFCM- RVA10 складається з: корпусу, запірного пристрою,
золотника, фільтрувальної шайби, мембрани, тарілки, електромагнітного приводу,
якоря, ручного дублера. Щоб зняти головку вентиля, немає необхідності
відкривати захисну конструкцію систему, що значно спрощує його експлуатацію.
Клапанні приводи з аналоговим сигналом управління мають автоматичне
підстроювання довжини ходу, і оснащені зовнішньої рукояткою для встановлення
клапана в центральну позицію вручну.
4.2.4 Вибір реле
Оскільки електроклапани і мотори неможливо безпосередньо на пряму
підключити до контролерного модуля, оскільки він може вийти з ладу,
використаємо реле TR4N (рис. 4.10).
Рис. 4.10 Реле TR4N
Таблиця 4.9 Технічні характеристики реле TR4N
|
№ п/п
|
Назва параметра
|
Значення
|
|
1
|
Кількість і тип контактів
|
2NO
|
|
2
|
Максимальна наруга
контактів
|
AC/DC 400V/400V
|
|
3
|
Мінімальна комутована
напруга
|
10V
|
|
4
|
Номінальний струм
навантаження
|
AC1 25A/380V AC AC3
15A/380V AC
|
|
5
|
Мінімальний комутований
струм
|
10mA
|
|
6
|
Максимальний комутований
струм
|
40A
|
|
7
|
Довготривале струмове
навантаження контакту
|
7
|
|
8
|
Максимальна комутована
потужність
|
AC1 9500 VA AC3 5700 VA
|
|
9
|
Мінімальна комутована
потужність
|
1 W
|
|
10
|
Опір контакту
|
 100 Ом
|
|
|
|
|
.3. Вибір контролерів
Після вибору датчиків і виконавчих механізмів можна підрахувати кількість
сигналів відповідних типів, які потрібно зчитувати та формувати. В якості пристроїв
для управління сигналами оберемо контролери ADAM 4000 серії.
На виході зі всіх датчиків витрати, рівня та температури формується
аналоговий сигнал в діапазонні 4-20mA. Для збору інформації із цих датчиків
обираємо універсальний 8-ми канальний модуль аналогового вводу ADAM-4017(рис.
4.11).
Рис. 4.11 8-ми канальний модуль аналогового вводу ADAM-4017
Таблиця 4.10 Технічні характеристики модуля ADAM-4017
|
№ п/п
|
Назва параметра
|
Значення
|
|
|
1
|
Кількість аналогових входів
|
8
|
|
|
2
|
Уніфіковані сигнали
|
±20mA,
4÷20mA
|
|
|
3
|
Вхідна напруга
|
±150 mV, ±500 mV, ±1 V, ±5
V, ±10 V
|
|
|
4
|
Точність
|
±0,1% або вище
|
|
|
5
|
Гальванічна ізоляція
|
3000VDC
|
|
|
6
|
Кількість виборок
|
10 вибор./сек
|
|
7
|
Напруга живлення
|
+10…+30 В
|
|
8
|
Споживана потужність
|
1,3 Вт
|
|
9
|
Температура
|
|
Для формування вихідних дискретних сигналів, які подаються на виконавчі
механізми, використаємо 12-ти канальний модуль дискретного виводу ADAM-4056S
(рис. 4.12).
Рис. 4.12 12-ти канальний модуль дискретного виводу ADAM-4056S
Таблиця 4.11 Технічні характеристики модуля ADAM-4056S
|
№ п/п
|
Назва параметра
|
Значення
|
|
1
|
Кількість дискретних
виходів
|
12
|
|
2
|
Гальванічна ізоляція
|
5000 В
|
|
3
|
Напруга живлення
|
+10…+30 В
|
|
4
|
Споживана потужність
|
0,2 Вт
|
|
5
|
Температура
|
|
Для формування аналогових вихідних сигналів які будуть поступати на
вентилі регулювання подачі пари і фреону, а також на насос розрідження обираємо
модуль ADAM-4024 (рис. 4.13).
Рис. 4.13 4-ох канальний модуль аналогового виводу ADAM-4024
Таблиця 4.12 Технічні характеристики модуля ADAM-4024
|
№ п/п
|
Назва параметра
|
Значення
|
|
1
|
Кількість аналогових
виходів
|
4
|
|
2
|
Кількість дискретних входів
|
4
|
|
3
|
Вхідна напруга
|
±15 mV, ±50 mV, ±100 mV, ±500
mV
|
|
4
|
Вхідний струм
|
±20 mA
|
|
5
|
Вихідний струм
|
30 mA
|
|
6
|
Вихідна напруга
|
0~10В
|
|
7
|
Ізоляція
|
3000 VDC
|
|
8
|
Напруга живлення
|
+10…+30 В
|
|
9
|
Споживана потужність
|
2,3 Вт
|
Для передачі даних на головний комп’ютер використаємо модуль перетворення
інтерфейсів RS-232 в RS-422/485 ADAM-4520 (рис. 4.14).
Рис. 4.14 Модуль перетворення інтерфейсів RS-232 в RS-422/485 ADAM-4520
Таблиця 4.13 Технічні характеристики модуля ADAM-4520
|
№ п/п
|
Назва параметра
|
Значення
|
|
1
|
Швидкість передачі даних
|
до 115,2 кБіт/сек
|
|
2
|
Інтерфейс
|
RS-232(СОМ)
|
|
3
|
Напруга живлення
|
+10…+30В
|
|
4
|
Споживана потужність
|
1,2Вт
|
|
5
|
Гальванічна ізоляція
|
3000 VDC
|
.
РОЗРАХУНОК АВТОМАТИЧНОЇ СИСТЕМИ РЕГУЛЮВАННЯ
5.1 Визначення передаточних функцій
Для
здійснення аналізу автоматичного регулювання (САР), оберемо систему підтримання
температури в змішувальній машині з фруктовою начинкою, на заданому рівні.
Температура в місильній машині, за рахунок зміни подачі пари, повинна
підтримуватися в межах
. Проаналізувавши змішувальну машину, як об’єкт
керування, бачимо, що температура в ній напряму залежить від витрати пари.
Отже, отримуємо замкнену систему, на вході якої маємо задану температуру, а на
виході - одержане значення цієї температури. Віднявши від заданого значення
температури отримуване на виході, маємо значення розузгодження, на основі якого
регулятор виробляє рішення про збільшення чи зменшення значення сигналу
керування, що подається на виконавчий механізм. В нашому випадку виконавчим
механізмом слугує регулюючий вентиль подачі пари, задаючим сигналом для котрого
є рівень напруги від регулятора, прямо пропорційний сигналу розузгодження в
межах регулювання.
Коли
значення поточної температури виходить за межі заданого, завдяки отриманому
сигналу розузгодження, виробляється додаткова напруга на регулюючому вентилі,
яка змушує його збільшувати або зменшувати площу поперечного перерізу впускного
каналу. Відповідно при сталому тиску напірної магістралі, на виході виконавчого
механізму отримується певний рівень витрати пари. Цей рівень є задаючим для
об’єкту керування, і в залежності від нього на виході отримується скориговане
значення температури. Розглянутий контур регулювання дозволяє компенсувати
відхилення поточної температури від заданої, внаслідок коливань тиску пари, або
ж її температури, в напірній магістралі.
На
основі викладеного вище, зобразимо структурну схему розглянутої САР (рис.5.1).
Рис.
5.1 Структурна схема САР температури в змішувачі фруктової начинки.
Тут
- задана температура в змішувачі;
- температура розузгодження;
-
керуючий сигнал;
- отримана витрата пари;
- отримане значення температури в змішувачі;
- передаточна функція регулюючого органу;
- передаточна функція вентиля;
- передаточна функція змішувача за парою.
Елементи
САР мають наступні рівняння динаміки:
-
регулятор;
-
регулюючий вентиль;
-
змішувач.
Фізичний
сенс змінних, що входять в рівняння, відображений вище в описі схеми САР
наступний: параметри
- постійні часу, а
-
передаточні коефіцієнти відповідних елементів. Їх значення записані в таблиці
5.1.
Таблиця
5.1 Значення параметрів для розрахунку САР
|
Назва параметру
|
Позначення параметру
|
Значення параметру
|
|
Коефіцієнт перетворення
розузгодження температури в сигнал керування
|
0,029 В/ºС
|
|
|
Коефіцієнт залежності площі
поперечного перерізу вентиля відповідно від сигналу керування
|
2,6∙10-2 м2/В
|
|
|
Стала часу реакції площі
поперечного перерізу вентиля відповідно до сигналу керування
|
0,032 c
|
|
|
Коефіцієнт залежності
кількості пари від ступеня відкриття вентиля
|
8 м/с
|
|
|
Стала часу реакції
кількості пари на ступень відкриття вентиля
|
0,9c
|
|
|
Стала часу реакції
температури в змішувачі з начинкою на зміну кількості пари
|
28с
|
|
|
Коефіцієнт залежності
температури в змішувачі з начинкою від зміни кількості пари
|
3,3∙102 ºС∙с/м3
|
|
Розрахуємо передаточні функції для кожної ланки.
Об'єктом регулювання - є змішувач. При цьому в усталеному режимі
температура в ньому є прямо пропорційною витраті пари. Динамічні властивості
елемента описуються таким рівнянням:
Провівши
заміну
і в результаті відношення зображення, по Лапласу,
вихідного сигналу до зображення, по Лапласу, вхідного сигналу отримаємо
передаточну функцію змішувача фруктової начинки:
Керуючим елементом виступає - вентиль. Вхідним параметром для вентиля є
рівень отриманого сигналу, вихідним - кількість пари. Вентиль, як елемент схеми
для розрахунку САР, описується рівняннями вигляду:
де
- кількість пари через витратний канал, S - площа
поперечного перерізу витратного каналу. Провівши заміну
і в результаті відношення зображення, по Лапласу,
вихідного сигналу до зображення, по Лапласу, вхідного сигналу отримаємо
передаточну функцію змішувача фруктової начинки:
Органом управління - є регулятор. Подавальний сигнал на клапан є прямо
пропорційним величині розузгодження. Елемент описується наступним динамічним
рівнянням:
В
результаті відношення зображення по Лапласу вихідного сигналу до зображення по
Лапласу вхідного сигналу, отримаємо передаточну функцію:
Визначивши
передаточні функції усіх елементів можна знайти розімкнену передаточну функцію
САР температури в змішувачі начинки. При послідовному з'єднанні ланок
результуюча передаточна функція
визначається
як добуток передаточних функцій
ланок:
Передаточна функція замкненої системи для структурної схеми із зворотнім
зв’язком записується у вигляді:
де
- передаточна функція ланки зворотного зв’язку, яка у
нашому випадку рівна одиниці. Тоді передаточна функція замкненої АСР:
Для запису характеристичного рівняння прирівняємо знаменник передаточної
функції замкнутої системи до нуля:
5.2 Визначення стійкості системи згідно критерію
Гурвіца
Алгебраїчні
критерії дозволяють оцінювати стійкість за коефіцієнтами характеристичного
рівняння замкнутої системи. Одним з таких методів є критерій Гурвіца. Згідно з
цим критерієм, умови стійкості формулюються таким чином: всі корені
характеристичного рівняння 
матимуть
від'ємні дійсні частини (або будуть дійсними від'ємними), якщо при додатному
знаку всіх коефіцієнтів
будуть додатними головний визначник Гурвіца 
і його
діагональні мінори
Характеристичне
рівняння для даної САР має вигляд:
Оскільки
всі коефіцієнти відповідного характеристичного рівняння додатні 
, то
необхідно перевірити чи додатні головний визначник і його діагональні мінори
.
Матриця
Гурвіца для рівняння виду
записується у вигляді:
Головний
визначник Гурвіца буде мати вигляд:
Тоді діагональні мінори Гурвіца записуються у вигляді:

5.3 Визначення стійкості системи згідно критерію
Найквіста
Метод визначення стійкості автоматичних систем регулювання (АСР) за
Найквістом є одним з частотних методів. Він дозволяє визначити стійкість
замкненої системи за амплітудно-фазовою характеристикою (АФХ) розімкненої
системи, і формулюється наступним чином - для того, щоб АСР, стійка в
розімкненому стані, була стійкою і в замкненому стані, необхідно і достатньо,
щоб АФХ розімкненої системи при зміні від 0 до ∞ не охоплювала точку з
координатами (-1; j0).
Характеристичне рівняння для розімкненої АСР має вигляд:
Через
заміну
приведемо передатну функцію розімкненої системи до
вигляду
.
Проведемо
заміну
, та згрупуємо елементи дійсної та уявної частин:
Якщо
, то згідно схеми типових перетворень дійсну і уявну
частини визначаємо як:
В
нашому випадку отримаємо наступне:
Для
побудови АФХ розімкненої системи перетворимо передаточну функцію до вигляду
, скориставшись формулами визначення АЧХ
і ФЧХ
:
Підставивши
значення всіх параметрів АСР та змінюючи ω від 0 до
отримуємо АФХ розімкненої системи (рис.5.2).
Рис.5.2
Амплітудно-фазова характеристика САР
З
рисунка 5.2 видно, що АФХ розімкненої системи не охоплює точку (-1; j0). Звідси
робимо висновок, що розімкнена система є стійкою.
5.4 Визначення стійкості системи згідно критерію
Михайлова
Критерій
Михайлова формулюється наступним чином: для стійкої САР необхідно і достатньо,
щоб радіус-вектор годографа Михайлова при зміні частоти від 0 до 
, почавши
обертання з точки, яка лежить на дійсній осі праворуч від нуля, обертаючись
проти годинникової стрілки і ніде не перетворюючись в нуль, пройшов послідовно
n квадрантів комплексної площини, де n - порядок характеристичного рівняння.
Виділимо
характеристичне рівняння САР, і прирівняємо знаменник передаточної функції
замкнутої системи до нуля:
Проведемо
заміну

де
, та зведемо дійсні і уявні частини рівняння, до
наступного вигляду:
Позначивши
дійсну частину характеристичного рівняння через 
, а уявну
через 
, та
змінюючи 
від 0 до

, будуємо
годограф Михайлова на комплексній площині (рис.5.3).
Рис.
5.3 Годограф Михайлова
Годограф
Михайлова на кінцях кривої має:
З
побудованого годографа Михайлова можемо підтвердити висновок про те, що АСР є
стійкою, оскільки радіус-вектор годографа Михайлова, починаючи з дійсної осі,
проходить через 3 квадранти, при порядку характеристичного рівняння рівному
трьом. При подальшому збільшення
радіус-вектор
прямує до ∞.
5.5 Побудова логарифмічних характеристик
Для побудови логарифмічної амплітудно-частотної характеристики (ЛАХ) та
логарифмічної фазо-частотної характеристики (ЛФХ) запишемо ще раз передаточну
функцію розімкненої системи:
Проведемо
заміну
:
Запишемо
значення модуля
:
Згідно
умови
запишемо ЛАХ:

Визначимо
частоти зрізу ЛАХ:
Згідно наведених міркувань будуємо ЛАХ в логарифмічній
системі координат (рис. 5.4.)
Рис. 5.4 Логарифмічна амплітудно-частотна характеристика САР
Логарифмічна фазочастотна характеристика є сумою ЛФХ
окремих складових. Тобто для побудови сумарної ЛФХ достатньо окремо побудувати
ЛФХ окремих ланок і потім їх просумувати.
Розіб’ємо передаточну функцію розімкненої системи на окремі прості
складові:
Із наведеної вище нерівності складемо систему рівнянь
для визначення ЛФХ:
Змінюючи
від 0 до ∞ будуємо часткові ЛФХ в логарифмічній
системі координат. Провівши алгебраїчне сумування окремих ЛФХ, отримуємо
загальну ЛФХ розімкненої системи (рис.5.5).
Рис. 5.5 Логарифмічна фазо-частотна характеристика САР
Оскільки
при тому значенні ω
(ω=∞), при якому ЛФХ досягає
значення
, ЛАХ має від’ємне значення, то ми можемо ще раз
підтвердити висновок п.5.2, п.5.3 та п.5.4 про те, що розглядувана АСР є
стійкою.
.
ОБҐРУНТУВАННЯ ВИБОРУ І ОПИС ПРИНЦИПОВИХ СХЕМ АВТОМАТИЗАЦІЇ
6.1. Опис принципової електричної схеми
підключення датчиків та пускових пристроїв до контролерів
Модулі і давачі підключені до загального блоку живлення DR-200-24 від
фірми Mean Well на +24В постійного струму, що живиться від мережі 88…132В або
176…264В змінного струму. Контролери з’єднані між собою паралельно, що
забезпечує сталу напругу живлення . Комутація модулів проходить по інтерфейсу
RS485. Модуль перетворення інтерфейсів RS-232 в RS-422/485 ADAM-4520
використовуємо для передачі даних між головним комп’ютером та іншими модулями.
Дані між модулем ADAM-4520 та іншими контролерами передається по двох лініях
DATA+ та DATA-. За його ж допомогою здійснюється програмування.
Для збору інформації з датчиків температури, витрати, рівня та
розрідження використовуємо 8-ми канальні модулі аналогового вводу ADAM-4017.
Оскільки в схемі є всього 26 датчиків, що на виході формують аналоговий сигнал
у 4-20мА то використаємо чотири модулі ADAM-4017. Дані датчики підключаються по
двох провідній схемі на входи даних модулів. На перший модуль ADAM-4017
підключаємо датчик температури TT 5-1, на вхід Vin0, датчик витрати FT 4-1, на
вхід Vin1, датчики рівня LT 3-1, LT 2-1 та LT 1-1, на входи Vin2, Vin3 та Vin4.
Датчики витрати FT 6-1 і FT 7-1 підключаємо до входів Vin5 і Vin6. На вхід Vin7
підключаємо датчик температури TT 26-1.
До другого модуля ADAM-4017 підключаємо датчик температури TT 12-1 на
вхід Vin0, датчик витрати FT 10-1 на вхід Vin1, датчик витрати FT 9-1 та датчик
рівня LT 11-1 на входи Vin2 та Vin3 відповідно. На вхід Vin4 підключаємо датчик
рівня LT 8-1.
До третього модуля ADAM-4017 підключаємо датчик витрати FT 17-1 на вхід
Vin0, датчик витрати FT 16-1 на вхід Vin1, датчик температури TT 15-1 та датчик
витрати FT 14-1 на входи Vin2 та Vin3 відповідно. На вхід Vin4 - Vin5
підключаємо відповідно датчики рівня LT 13-1 і датчик витрати FT 18-1. І на
останні два входи Vin6, Vin7 третього модуля ADAM-4017, підключаємо датчик
температури TT 20-1 і датчики рівня LT 19-1.
До четвертого модуля ADAM-4017 підключаємо решту датчиків, а саме датчикb
температури TT 25-1 на вхід Vin0 і датчик TT 24-1 на вхід Vin1. Датчик рівня LT
23-1 та датчик розрідження PR 21-1 підєднуємо на входи Vin2 та Vin3 відповідно.
На вхід Vin4 підключаємо датчик температури TT 22-2.
Для формування вихідних аналогових сигналів, якими керуватиметься подача
пару і холодоаненту будемо використовувати три модуль аналогового виводу
ADAM-4024. На перший модуль ADAM-4024 підключаємо вентилі NS 15-3, NS 12-3, NS
5-3, NS 9-3 на аналогові виходи з Vout0 по Vout3 відповідно. На другий модуль
ADAM-4024 підключаємо вентилі NS 25-3, NS 24-3, NS 20-3, NS 22-3 на аналогові
виходи з Vout0 по Vout3. До третього модуля ADAM-4024, на вхід Vout3,
підключаємо пускач насосу розрідження NS 21-3.
Для формування керуючих дискретних сигналів, які подаються на пускові
механізми електроклапанів та двигунів, що приводять в дію насоси і мотори
змішувачів, відкривають клапани, використовуємо чотири модулі дискретного
виводу ADAM-4056S. На перший модуль ADAM-4056S підключаємо пускачі NS 3-9, NS
2-5, NS 2-3, NS 2-7, NS 2-9, NS 2-11, NS 1-5, NS 1-3, NS 3-7, NS 3-3, NS 3-5 та
NS 4-3 на дискретні виходи з DO 0 по DO 11 відповідно.
До другого модуля ADAM-4056S підключаємо пускачі NS 9-3, NS 11-5, NS
11-3, NS 8-3, NS 8-5, NS 8-7, NS 7-3, NS 6-3, NS 10-3, NS 13-5, NS 13-3 та NS
14-3 на дискретні виходи з DO 0 по DO 11 відповідно.
До третього модуля ADAM-4056S підключаємо пускачі NS 19-3, NS 19-5, NS
16-7, NS 18-3, NS 17-3, NS 16-3, NS 19-9, NS 19-11, NS 23-5, NS 23-7, NS 23-9
та NS 23-11 на дискретні виходи з DO 0 по DO 11 відповідно.
До четвертого модуля ADAM-4056S підключаємо пускачі NS 23-25, NS 23-23,
NS 23-21, NS 23-19, NS 23-17, NS 23-15, NS 23-13, NS 23-3 та NS 23-27 на
дискретні виходи з DO 0 по DO 11 відповідно.
6.2 Розрахунок та вибір блоку живлення
Для живлення контролерів і деяких давачів потрібен БЖ постійного струму,
розрахуємо який блок живлення буде задовольняти ці вимоги. Потужність яку
споживають чотири модулі ADAM 4017 рівна 5,2Вт. Робота чотирьох контролерів
ADAM 4056S, кожен з яких споживає по 0,2Вт електроенергії, вимагає потужності в
0,4 Вт. Три модулі ADAM 4024, які споживають енергії у 2,3 Вт кожен, в сумі
будуть давати навантаження на блок живлення у 6,9 Вт. Один модуль ADAM 4520
споживає енергії рівну 1,2 Вт.
Просумувавши вище наведені значення споживаної енергії контролерами,
отримаємо потужність, яку повинно забезпечувати джерело живлення на 24 В для їх
роботи.
Маючи
ці дані можна порахувати навантаження по струму:
Також
живлення потребують датчики рівня, витрати і термопари, вакуометр до уваги не
беремо, оскільки у нього активне живлення. Навантаження, яке будуть створювати
вісім датчиків температури рівне 46,4Вт, вісім рівнемірів потребують 53,6Вт,
сім витратомірів ВЗЛЕТ споживають електроенергії на потужність 51,1Вт.
Витратоміру SolidFlow необхідно 20Вт.
Обчисливши
планове значення споживаної енергії давачами, отримаємо необхідну потужність, і
можемо обчислити навантаження по струму.
Додавши
до значення струму, що споживають контролери (
),
значення струму, який споживають датчики (
), і
просумувавши їх потужності отримаємо параметрі необхідного блоку живлення:
По
отриманих розрахункових даних обираємо блок живлення Mean Well DR-200-24 (рис.
6.1).
Рис.
6.1 Джерело живлення Mean Well DR-200-24
Таблиця 6.1 Технічні характеристики джерела живлення Mean Well DR-200-24
|
№ п/п
|
Назва параметра
|
Значення
|
|
1
|
Діапазон напруги живлення
|
88…132; 176…264 В
|
|
2
|
Робоча температура
|
-10…60°C
|
|
3
|
Потужність
|
200 W
|
|
4
|
Вихідна напруга
|
24 V
|
|
5
|
Вихідний струм
|
0…7,5 A
|
|
6
|
ККД
|
86 %
|
|
7
|
Час виключення
|
36 мс
|
|
8
|
Допустима вологість
|
30…85 %
|
|
9
|
Тип підключення
|
1-но фазне
|
|
10
|
Монтаж
|
на DIN рейку
|
Модель Mean Well DR-120-24 це економічні джерела живленя, які
відзначаються високою якістю і надійністю. Завдяки своїм малим габаритним
розмірам та різноманітністю кріплення ці прилади займають набагато менше місця
на панелі управління. Мінімальний строк служби 8 років, захист від підвищеної
напруги, перевантаження по струму і короткому замиканню - це все забезпечує
максимальну надійність моделі DR-120-24.
.
ПРОГРАМНЕ ЗАБЕЗПЕЧЕННЯ СИСТЕМИ УПРАВЛІННЯ
Програми для роботи контролерів будемо писати середовищі розробки
AdamView.
Для зчитування інформації з аналогових датчиків використовуємо блок
аналогового вводу АI. Алгоритм дій описуємо в блоці SCR на Basic Script.
Виконавчими механізмами і регулюючими органами керуємо за допомогою блоку
дискретного виводу DO, та блоку аналогового виводу АО.
Програма підтримання рівня пюре в збірнику 2.
До аналогового входу АІ0 підключаємо датчик рівня LЕ 1-1, далі описуємо
програму в блоці BasicScript:
SCR1()LЕ11=GetTag("TASK1", "АI0")LЕ11<=LЕ11min
then0,11,1
else
outputi 0,01,0ifSub
Виходи блоку SCR1 0 та 1 з’єднуємо з дискретними блоками DО0 та DО1, які
посилають сигнали на пускачі NS 1-3, NS 1-5.
Програма підтримання рівня прошпареного пюре в збірнику 5.
До аналогового входу АІ1 підключаємо датчик рівня LЕ 2-1, далі описуємо
програму в блоці BasicScript:
Sub SCR2()LЕ21=GetTag("TASK1", "АI1")LЕ21<=LЕ21min
then0,11,12,13,14,10,01,02,03,04,0ifSub
Виходи блоку SCR2 0, 1, 2, 3 та 4 з’єднуємо з дискретними блоками DО0,
DО1, DО2, DО03 та DО4, які посилають сигнали на пускачі NS 2-3, NS 2-5, NS 2-7,
NS 2-9, NS 2-11.
Програма підтримання рівня протертого пюре в збірнику 7. До аналогового
входу АІ2 підключаємо датчик рівня LЕ 3-1, далі описуємо програму в блоці
BasicScript:
SCR3()LЕ31=GetTag("TASK1", "АI2")LE31<=LE31min
then0,11,12,13,10,01,02,03,0ifSub
Виходи блоку SCR3 0, 1, 2 та 3 з’єднуємо з дискретними блоками DО0, DО1,
DО2 та DО3, які посилають сигнали на пускачі NS 3-3, NS 3-5, NS 3-7, NS 3-9.
Програма підтримування заданої температури в бункері з цукровим сиропок і
патокою. До аналогового входу АІ3 підключаємо датчик температури TЕ 5-1, і
описуємо програму в блоці BasicScript:
SCR4()TЕ51= GetTag("TASK1",
"АI3")=TE51TE51<=TE51def then
x=x+abs(TE51def-TE51)=x-abs(TE51def-TE51)if
outputf 0,xSub
Вихід блоку SCR3 0 з’єднуємо з аналоговим блоком АО0, який посилає
сигнали на пускач NS 5-3 вентиля, що регулює подачу пару. Аналогічно
записується програма для підтримування заданої температури в бункерах з
інвертним сиропом, патокою, водою. Для підтримки необхідної температури в
охолоджувальній шафі і над конвеєром, програма записується з тою відмінністю,
що при температурі вищій за задану, обрахована різниця температур додається.
Програма змішування компонентів фруктової начинки, і їх подальшого уварювання.
До аналогового входу АІ4 підключаємо датчик рівня LЕ 8-1, а до аналогового
входу АІ5, датчик температури TЕ 26-1. До аналогових входів АІ6,AI7,AI8
підключаємо датчики витрати FЕ 4-1, FЕ 6-1, FЕ 7-1, і описуємо програму в блоці
BasicScript:
SCR5()LЕ81= GetTag("TASK1",
"АI4")TE261=GetTag("TASK1",
"АI5")FE41=GetTag("TASK1",
"АI6")FE61=GetTag("TASK1",
"АI7")FE71=GetTag("TASK1",
"АI8"):LE81<=LE81min then0,11,12,1M1if:FE41>=FE41def
then0,0FE61>=FE61def then1,0FE71>=FE71def
then2,0M2ifM2ifM2if3,1(250)3,04,15,1=TE261:LE81>=LE81max
then4,05,0TE261<=TE261def then
x=x+abs(TE261def-TE261)6,x=x-abs(TE261def-TE261)6,xif
goto M3ifSub
Виходи блоку SCR5 0, 1, 2, 3, 4 та 5 з’єднуємо з дискретними блоками DО0,
DО1, DО2, DО3, DО4 та DО5, які посилають сигнали на пускачі NS 4-3, NS 6-3, NS
7-3, NS 8-7, NS 8-5, NS 8-3. Вихід блоку SCR5 6 з’єднуємо з аналоговим блоком
АО0, який посилає сигнали на пускач вентиля NS 26-3, що регулює подачу пару.
Програма отримання готової фруктової начинки, і підтримки її необхідної
температури. До аналогового входу АІ9 підключаємо датчик рівня LЕ 11-1, а до
аналогового входу АІ10, датчик температури TЕ 12-1. До аналогових входів
АІ11,AI12 підключаємо датчики витрати FЕ 9-1, FЕ 10-1, і описуємо програму в
блоці BasicScript:
SCR6()LЕ111= GetTag("TASK1", "АI9")TE121=GetTag("TASK1",
"АI10")FE91=GetTag("TASK1",
"АI11")FE101=GetTag("TASK1", "АI12")0,1=TE121
M1:
if TE121<=TE121def then
x=x+abs(TE121def-TE121)=x-abs(TE121def-TE121)if
outputf 1,xLE111<=LE111min then2,13,14,1M1if:LE111>=LE111def
then2,0FE91>=FE91def then3,0FE101>=FE101def then4,0TE121<=TE121def
then
x=x+abs(TE121def-TE121)1,x=x-abs(TE121def-TE121)1,xif
elseM2ifM2ifM2ifSub
Виходи блоку SCR6 0, 2, 3 та 4 з’єднуємо з дискретними блоками DО0, DО1,
DО2, та DО3, які посилають сигнали на пускачі NS 11-5, NS 11-3, NS 9-3, NS
10-3. Вихід блоку SCR5 1 з’єднуємо з аналоговим блоком АО0, який посилає
сигнали на пускач вентиля NS 12-3, що регулює подачу пару.
Програма просіювання цукру-піску. До аналогового входу АІ13 підключаємо
датчик рівня LЕ 13-1, і описуємо програму в блоці BasicScript:
SCR7()LЕ131=GetTag("TASK1", "АI13")LЕ131<=LЕ131min
then0,11,1
else
outputi 0,01,0ifSub
Виходи блоку SCR7 0 та 1 з’єднуємо з дискретними блоками DО0 та DО1, які
посилають сигнали на пускачі NS 13-3, NS 13-5.
Програма приготування карамельного сиропу. До аналогових входів АІ14,
АІ15, АІ16, АІ17 підключаємо датчики витрати FЕ 14-1, FЕ 16-1, FЕ 17-1, FЕ
18-1, а до аналогового входу АІ8 та АІ9, датчик температури і рівня TЕ 20-1 і
LЕ 19-1, і описуємо програму в блоці BasicScript:
SCR8()FЕ141= GetTag("TASK1",
"АI14")FE161=GetTag("TASK1",
"АI15")FE171=GetTag("TASK1",
"АI16")FE181=GetTag("TASK1",
"АI17")TE201=GetTag("TASK1", "АI18")LE191=GetTag("TASK1",
"АI19"):LE191<=LE191min then0,11,12,13,14,1M1if:FE141>=FE141def
then0,01,0FE161>=FE161def then2,0FE171>=FE171def
then3,0FE181>=FE181def
then4,0M2ifM2ifM2ifM2if5,1(480)5,06,17,18,1=TE201:LE191>=LE191max
then6,07,08,0TE201<=TE201def then
x=x+abs(TE201def-TE201)9,x=x-abs(TE51def-TE51)9,xif
goto M3ifSub
Виходи блоку SCR8 0, 1, 2, 3, 4, 5, 6, 7 та 8 з’єднуємо з дискретними
блоками DО0, DО1, DО2, DО3, DО4 DО5, DО6, DО7 та DО8, які посилають сигнали на
пускачі NS 14-3, NS 19-11, NS 16-3, NS 17-3, NS 18-3, NS 19-9, NS 19-7, NS
19-5, NS 19-3. Вихід блоку SCR8 9 з’єднуємо з аналоговим блоком АО0, який
посилає сигнали на пускач вентиля NS 15-3, що регулює подачу пару.
Програма приготування карамелі з фруктовою начинкою. До аналогових входів
АІ20, АІ21 та AI22 підключаємо датчики рівня LЕ 11-1, LЕ 19-1 і LЕ 23-1. Датчик
розрідження PI 21-1 підключаємо до аналогового входу AI23, а датчик температури
TЕ 22-1 до аналогового входу АІ24, описуємо програму в блоці BasicScript:
SCR9()LЕ111= GetTag("TASK1",
"АI20")LE191=GetTag("TASK1",
"АI21")LE231=GetTag("TASK1",
"АI22")PI211=GetTag("TASK1", "АI23")TE221=GetTag("TASK1",
"АI24"):LE191>=LE191def and LE111>=LE111def
then0,11,12,13,1TE221<=TE221def then
x=x+abs(TE221def-TE221)4,x
if PI211<= PI211def then
x=x+abs(PI211def- PI211)5,x
else
x=x+abs(PI211def- PI211)5,x
end if
x=x-abs(TE221def- TE221)4,x
end if0,11,12,13,1M1if:LE231<=LE231min
then6,17,08,09,010,011,012,013,014,0M2
else
outputi 6,07,18,19,110,111,112,113,114,1ifSub
Виходи блоку SCR9 0, 1, 2 та 3 з’єднуємо з дискретними блоками DО0, DО1,
DО2 та DО3, які посилають сигнали на пускачі NS 23-5, NS 23-7, NS 23-9, NS
23-11. Виходи 4 і 5 з’єднуємо з аналоговими блоками АО0 і АО1, перший посилає
сигнали на пускач вентиля NS 22-3, що регулює подачу пару, а другий на пускач
насосу розрідження NS 21-3. Виходи блоку SCR9 6, 7, 8, 9, 10, 11, 12, 13 та 14
з’єднуємо з дискретними блоками DО4, DО5, DО6, DО7, DО8, DО9, DО10, DО11 та
DО12, які посилають сигнали на пускачі NS 23-3, NS 23-13, NS 23-15, NS 23-17,
NS 23-19, NS 23-21, NS 23-23, NS 23-25, NS 23-27.
8.
МОНТАЖ ТА НАЛАГОДЖЕННЯ ЗАСОБІВ АВТОМАТИЗАЦІЇ
Основним призначення щитів є централізація засобів контролю та
регулювання, які використовуються при роботі технологічної лінії. Одночасно
вони служать конструкцією для встановлення приладів, засобів автоматизації,
впорядкованого підведення проводок. При проектуванні і встановленні щитів
потрібно керуватися ОСТ 36.13-76 "Щити і пульти систем автоматизації
технологічних процесів". Центральний пункт керування, де будуть розміщені
оперативні щити, пульти, дисплеї системи контролю, щити регуляторів
розташовується у спеціальній, відокремленій частині виробничого приміщення. В
нашому випадку, для організації пункту керування, будемо використовувати ЩПК,
він являє собою панель з каркасом, яка встановлюється на уніфікованих монтажних
конструкціях, з розміщеною всередині апаратурою на поворотній або стаціонарній
панелі. Конструкція панельного щита, його розміри і компонування устаткування в
ньому показані в графічній частині дипломного проекту.
Щит встановлюється на бетонній основі. Щит монтується на загальній рамі,
виконаній з швелера завтовшки 150 мм, яку після перевірки її горизонтальності
приварюють до металевого перекриття. Простір під щитом, в межах висоти рами,
використовують для підведення і розводки кабелів і труб. На раму щита кладеться
настил із сталевого листа завтовшки не менше 4 мм, покритий гумовою доріжкою.
Спочатку щит вирівнюють по виску і рівню, потім закріплюють.
Відповідно
до вимог ДСТУ, щити повинні мати заземлюючий стиск, який дозволяє приєднання
занулюючого чи заземлюючого проводу. Металевий щит, на якому знаходитимуться
електричні прилади і апарати, приєднують з допомогою додаткового заземлення до
мережі заземлення автоматизованого об'єкту, або до металоконструкцій будівель.
Металеві елементи щитових конструкцій повинні бути надійно з’єднанні з
заземлювачем. Значення опору між заземлюючим затиском і елементами щита,
включаючи деталі для монтажу апаратів і проводок, не повинно перевищувати 0,1
Ом. У якості заземлюючих провідників використовують мідні провідники перетином
1
(сталеві заземлюючі провідників приєднують зваркою, а
при неможливості її застосування - за допомогою болтових з'єднань).
Після
установки і заземлення щита проводять його підключення до зовнішніх сполучних
проводок (електричною і трубною), ізолюючи кінці кабелю і проводів. Потім
електричні проводки підключають до збірки комутаційних затискачів, а трубні -
до збірки трубчастих з'єднувачів. Зовнішні проводки вводять в щит знизу, проте
при необхідності для щитів допускається бічне або верхнє введення. Кабелі, дроти
і труби, що вводяться закріплюють біля щита на відстані не більше 1 м. Введення
знизу виконуються через отвори в перекриттях. Їх розташовують на відстані
близько 150 мм від стінки щита з апаратурою, до якої підводять зовнішні
проводки. Кабелі, металеві і пластмасові труби (окрім захисних), вводять знизу
через захисні гільзи, які розміщуються в отворі перекриття. Захисні труби
вводять в щит без захисних гільз. При введенні зверху або збоку щита
використовують сальники. Групове введення здійснюється через люк, що
вирізується в стінці щита. Всі кабельні проводки, що проходять поблизу
технологічного обладнання і трубопроводів, повинні прокладатися з такими
розрахунками, щоб температура оточуючого повітря не перевищувала задані межі
для кожного конкретного типу кабелю.
Прилади
і апаратуру розміщують на фасадних сторонах щитових конструкцій, дотримуючи
певні ергономічні принципи. Частіше всього зліва направо по ходу технологічного
процесу, з використанням мнемосхем. На передній кришці щита встановлюються
вторинні показуючі прилади та світлодіодні індикатори, які показують
найголовніші параметри і стан обладнання на лінії. Вони мають бути розміщені на
рівні очей оператора. Прилади, які контролюють побічні параметри, а також
регулятори встановлюють нижче або вище, в залежності від компонування щита.
Усередині
щитів розміщуються неоперативна допоміжна апаратура і збірки роз'ємних
з'єднувачів для електричних трубних проводок. При цьому пневмоапаратуру
розміщують під електроапаратурою, а при значному тепловиділенні останньої її
розташовують у верхній частині конструкції.
9.
ОХОРОНА ПРАЦІ ТА БЕЗПЕКА В НАДЗВИЧАЙНИХ СИТУАЦІЯХ
9.1. Аналіз умов праці на наявність шкідливих і
небезпечних чинників
В процесі праці організм людини сприймає комплекс чинників, що можуть
позитивно або негативно впливати на стан її здоров’я та рівень працездатності.
Залежно від інтенсивності та часу дії ці чинники можуть бути небезпечними або
шкідливими, водночас їх чіткого розмежування немає.
Організм людини може пристосуватися до виробничих умов лише тоді, коли
шкідливі або небезпечні чинники не досить активні, і їх рівень знаходиться в
межах гранично допустимих нормативних значень. Якщо ж шкідливі і небезпечні
чинники виробничого середовища досить активні, тоді організм людини не в змозі
до них пристосуватися, і його нормальне функціонування порушується, а стан
здоров’я погіршується, внаслідок чого виникають виробничі травми або професійні
захворювання. [8; c16]
Відповідно до державного стандарту шкідливі і небезпечні чинники, за дією
та природою впливу, поділяються на чотири класи: фізичні, хімічні, біологічні й
психофізіологічні. На автоматизованій лінії виготовлення карамелі з фруктовою
начинкою присутня сукупність шкідливих і небезпечних факторів, які належать до
фізичного, психофізіологічного і хімічного класів. Далі наведено їх перелік, із
зазначеними можливими наслідками впливу на організм людини.
Рухомі машини та механізми представлені на всій протяжності лінії -
шнеками, конвеєрами, змішувачами, просіювачем, віброкотком; машинами - протиральною,
проминальною, карамелеобкатувальною, джгутовитягувальною, штампувальною,
фасувальною. При необачному поводженні вони можуть бути джерелом травматизму.
Незахищені рухомі елементи виробничого обладнання містять - вібролоток,
конвеєр, проминальна, карамелеобкатувальна і фасувальна машини. Недостатня
уважність при роботі з якими також може завершитися травмою.
Мотори, які приводять в дію змішувачі та інше електричне обладнання на
лінії, мають підвищений рівень напруги в електричних ланцюгах. Порушення ізоляції
може призвести до того, що нормально не струмопровідні металеві елементи
обладнання опиняться під напругою. Це може викликати місцеві ураження організму
людини електричним струмом (опіки, механічні пошкодження тощо) або електричний
удар.
Робота вібролотка характерна підвищеним рівнем шуму і вібрації. Тривале
перебування поряд з ним може сприяти зниженню гостроти слуху, порушенню
функціонального стану серцево-судинної і нервової систем.
В зоні роботи просіювача цукру наявна підвищена запиленість та загазованість
повітря робочої зони. Пил потрапляючи в легені, на слизові оболонки, шкіру може
викликати алергічні захворювання органів зору та дихання, шкірних покривів і
т.д.
На
всьому проміжку виготовлення карамелі з фруктовою начинкою проводиться контроль
температури проміжної продукції. Відповідно наявні поверхні і обладнання з
підвищеною або зниженою температурою, а саме - котли, шпарильник, змішувач,
темперувальні шафи. Зокрема температура в вакуум-варильному апараті може сягати
понад
. Тому тоді як понижена температура може спричиняти
судинні захворювання, особливо пальців рук, то навіть короткочасний контакт з
поверхнями, температура якої перевищує
, може
викликати опік незахищених частин тіла.
Також
зрозуміло, що біля вище згаданого обладнання формуються ділянки підвищеної та
зниженої температура повітря. В зонах з підвищеною температурою у працівників
може порушуватися обмін речовин, а перебування в зоні пониженої температури
може спровокувати гострі, чи в разі тривалого знаходження, хронічні
захворювання. [7]
Одними
з компонентів у процесі приготування начинки є ароматизатори, кислота та
есенція. Вони відносяться до подразнюючих факторів. При надмірному контакті з
есенцією чи ароматизатором можливе подразнення верхніх дихальних шляхів,
запалення слизових оболонок очей, отруєння організму та інші захворювання. При
попаданні кислоти на шкіру утворюються дерматити і опіки.
Оператор
лінії може піддаватися монотонному фактору, внаслідок одноманітності
виконуваних дій. Це призводить до підвищення стомлюваності, зниження уваги, і,
як наслідок, до можливості травмування працівника.
В
наш час важливою справою є охорона навколишнього середовища, раціональне
використання та відтворення її ресурсів для підтримання екологічної рівноваги.
Тому головною умовою є раціональне використання природних ресурсів, підвищення
ефективності інженерно-технічних умов промислових підприємств, що сприяє
економії природних ресурсів та охорони навколишнього середовища. Велике
екологічне значення мають охоронні заходи із забезпечення чистої води.
Водопостачання
кондитерської фабрики здійснюється з міського водопроводу за прямоточною
системою, тобто вода на виробництво надходить з водопроводу, і потім, вже
відпрацьованою, скидається у каналізацію. На кондитерській фабриці вода
використовується на теплову обробку сировини, напівфабрикатів, готової
продукції та елементів технологічного обладнання. Вода також витрачається на
миття технологічного обладнання, на потреби котельного устаткування і на
господарсько-питні потреби.
Для
лінії з виготовлення фруктової карамелі є характерним забруднення стічних вод
підприємств, обумовлене наявністю залишків сировини, за гігієнічним критерієм
вони належать до мало небезпечних, у випадку скиду їх до водоймища. Поряд з цим
виробничі стічні води забруднені мікроорганізмами, що накопичуються на
обладнанні, стінах, підлозі приміщень. Більшу загрозу несуть фекально-побутові
стічні води підприємства, які можуть бути джерелом патогенних мікроорганізмів,
що поширюються через воду.
Специфічними
забруднюючими викидами кондитерського виробництва є пил основної сировини -
борошна, а також додаткової сировини, такої як цукор, солод, крохмаль, інші
пилоподібні добавки. Нарівні із забрудненням атмосфери і водного середовища
внаслідок виробничої діяльності також можуть забруднюватися ґрунти. Це
відбувається через накопичення промислового сміття, твердих і рідких відходів
на території фабрики. Якщо такі відходи зберігаються надворі, то внаслідок їх
тривалого перебування на одному місці або дії дощу, забруднюючі речовини в їх
складі можуть просочуватися в ґрунт.
9.2. Розроблення організаційних
та інженерних рішень, спрямованих на покращення умов безпеки праці
9.2.1 Організаційні рішення для покращення умов
безпеки праці
Запорукою функціонування будь-якого підприємства є злагоджена робота усіх
його підрозділів, але навіть це не принесе успіху, якщо внаслідок залишених
поза увагою шкідливих і небезпечних факторів, наявних на виробництві, буде
присутній травматизм і можливість виникнення неконтрольованих надзвичайних
ситуацій. Тому забезпечення охорони праці є невід’ємною складовою організації
роботи усіх підприємств. Основним завданням охорони праці є проведення заходів,
які спрямовані мінімізувати вплив шкідливих і небезпечних чинників на
працівників і усталений режим роботи підприємства.
Відповідно до вимог, викладених у НПАОП 0.00-4.12-05 "Типове
положення про порядок проведення навчання і перевірки знань з питань охорони
праці", працівники під час прийняття на роботу і в процесі роботи повинні
проходити за рахунок роботодавця інструктаж, навчання з питань охорони праці, з
надання першої медичної допомоги потерпілим від нещасних випадків і правил
поведінки у разі виникнення аварії. Кожний працівник повинен виконувати тільки
ту роботу, яка відповідає його професії та кваліфікаційній характеристиці. До
роботи не допускаються працівники, у тому числі посадові особи, які не пройшли
навчання, інструктаж і перевірку знань з охорони праці. [9; c40]
Ґрунтуючись на ГОСТ 12.2.003-91. ССБТ. "Оборудование
производственное. Общие требования безопасности", з метою усунення
травматизму від рухомих машин та механізмів передбачаємо комплекс таких
заходів. Усі рухомі, обертові та такі, що виступають, частини устаткування,
допоміжних механізмів, якщо вони становлять джерело небезпеки для людей,
повинні бути надійно огороджені або розташовані таким чином, щоб виключалась
можливість травмування обслуговуючого персоналу. Огородження приводних,
натяжних та відхильних барабанів стрічкових конвеєрів повинні перекривати з
торців барабани та ділянки стрічки, що набігає на барабан. При виникненні
аварії на лінії, приводи конвеєрів повинні блокуватися до її усунення, і видачі
дозволу з місця включення. У конструкції резервуарів повинні бути передбачені
блокувальні пристрої, що забезпечують вимикання розташованих усередині
резервуарів механізмів (мішалки, змійовики, скребки, вивантажувальні шнеки
тощо) при відкриванні накривок люків (лазів) та виключають можливість їх
включення при відкритих лядах. Конусні шківи формувальних машин зверху потрібно
обладнати напівкруглими огороджувальними щитами. Карамелеобкатувальна машина з
боку привода повинна закриватись суцільними щитками наглухо, а з протилежного
боку - відкидними огородженнями. Джгутовитягальну машину необхідно обладнати
відкидним огородженням, зблокованим з електроприводом, а її ролики закритим
огородженнями з прозорого ударостійкого матеріалу. Ланцюги штампувальної машини
повинні бути зверху та з боків закриті огородженнями, зблокованими з
електроприводами машин. Для безпечного обслуговування і ремонту обладнання на
лінії, ширина проходів повинна бути не менша 0,7 м. Для роботи з
великогабаритним обладнанням потрібно облаштовувати майданчики на підвищенні.
Майданчик має бути більший 0,7 метрів шириною, і оточений поруччям висотою 1 м.
[10; с86]
Згідно з ГОСТ 12.1.003-83. ССБТ. "Шум. Общие требования
безопасности" потрібно вживати заходів для нормування шуму. Зменшення
розповсюдження шуму досягається методами звукопоглинання і звукоізоляції.
Фундамент шумного обладнання потрібно ізолювати від несучих конструкцій і
технологічних комунікацій. Приводи можна ізолювати кожухами. При зборці
обладнання треба використовувати шумопоглинаючі пристрої і покриття, не
вібруючі комунікації. Також можна безпосередньо ізолювати джерела шуму за
допомогою загороджень (перегородок, перекриттів, екранів), які відбивають
звукову енергію. [10; 263]
Захисні засоби для унеможливлення вражень працівників електричним струмом
потрібно розробляти відповідно до ДНАОП 0.00-1.21-84. "Правила технічної
експлуатації електроустановок споживачів і правила техніки безпеки при
експлуатації електроустановок споживачів". Для захисту працівників від
ураження електричним струмом, при пошкодженні ізоляції, потрібно заземлити усі
нормально не струмопровідні металеві поверхні електроустановок, до яких має
доступ персонал при усталеному режимі роботи. Для заземлення електроустановок у
першу чергу повинні бути використані природні заземлювачі. Якщо при цьому опір
заземлюючих пристроїв або напруга дотику має допустимі значення, а також
забезпечуються нормовані значення напруги на заземлюючому пристрої. Заземлюючий
пристрій, який використовується для заземлення електроустановок одного або
різних призначень і напруг, повинен задовольняти усім вимогам, що ставляться до
заземлення цих електроустановок: захисту людей від ураження електричним струмом
при пошкодженні ізоляції, умовам режимів роботи мереж, захисту
електроустаткування від перенапруги. Електроустановки до 1 кВ змінного струму
можуть бути з глухо заземленою або з ізольованою нейтраллю, електроустановки
постійного струму - із глухо заземленою або ізольованою середньою точкою, а
електроустановки з однофазним джерелом струму - з одним глухо заземленим або з
обома ізольованими виводами. Опір заземлюючого пристрою, що використовується
для заземлення електроустаткування, повинен бути не більший 4 Ом.
Базуючись на ГОСТ 12.1.005-88 ССБТ "Общие санитарно-гигиенические
требования к воздуху рабочей зоны" передбачаються заходи для організації
припливно-витяжної вентиляції повітря. Припливне повітря слід направляти так,
щоб повітря не надходило через зони із великим забрудненням - в зони з меншим
забрудненням, та не порушувало роботу місцевих відсмоктувачів. Видалення
повітря із приміщення системами вентиляції слід передбачати із зон, в яких
повітря найбільш забруднене. При виділенні пилу і аерозолів, видалення повітря
системами загальнообмінної вентиляції необхідно передбачати із нижньої зони.
Згідно
з СНиП 41-03-2003 "Тепловая изоляция оборудования и трубопроводов"
розробляються заходи для ізоляції теплового випромінюванні. Теплова ізоляція є
ефективним і найекономічнішим засобом, не тільки для зменшення інтенсивності
інфрачервоного випромінювання, від нагрітих поверхонь і загальної тепловіддачі,
але і для запобігання опіків при дотику до цих поверхонь. Також завдяки
ізоляції вдається зменшити витрату пального для підігріву теплоагенту.
Застосування горючих теплоізоляційних матеріалів не допускається. Згідно СН,
для трубопроводів з температурою теплоносія понад
, температура на поверхнях теплоізоляційних
конструкцій трубопроводів, арматури і обладнання не повинна перевищувати
. Для локалізації теплового випромінювання від
варильних котлів слід використовувати відбивні чи поглинальні екрани. Завіси
можна виконувати з дрібних металевих ланцюгів, що знижують променистий потік на
60...70%, чи з водяної плівки, яка пропускає видимі промені, але поглинає до
90% теплових випромінювань. У приміщеннях з явними надлишками теплоти потрібно
застосовувати повітряні оазиси та душі, для створення сприятливих умов праці на
окремих робочих місцях. [9; c204] Працюючий персонал потрібно забезпечувати
індивідуальними засобами захисту працівників від дії підвищеної температури та
теплового випромінювання. А саме: спецодягом, виготовленим із стійкого
тепловому випромінюванню, міцного, м'якого та повітропроникного матеріалу.
Залежно від вимог захисту, костюм виконується із сукна, брезенту, синтетичного
волокна хімічно оброблених з металевим покриттям тканин. Голову від перегріву
та опіків можна захистити капелюхом з повстини, фетру або грубошерстого сукна.
Костюм доповнює спеціальне стійке до підвищеної температури та опромінення
взуття і рукавиці. До захисту працівників від перегріву та переохолодження
істотне значення має організація раціонального режиму праці та відпочинку.
Відповідно
до НПАОП 15.0-3.01-07 "Норми безплатної видачі спеціального одягу,
спеціального взуття та інших засобів індивідуального захисту для працівників
кондитерського, хлібопекарного та макаронного виробництва" передбачається
комплекс заходів для працівників. При роботах, пов’язаних з виділенням
органічного та мікробного пилу, необхідно застосовувати респіратори. Для
захисту органів дихання людини при роботі з кислотами, есенціями чи
ароматизаторами потрібно використовувати протигази шлангові ПШ-1 та ПШ-2. Перед
роботою з розфасування хімічних речовин шкіра рук повинна бути змащена
спеціальними захисними мазями або пастами. [9; c126]
Щоб
мінімізувати ступень забрудненості стічних вод, миття зупиненого обладнання,
підлоги, стін необхідно проводити своєчасно, не допускаючи розкладу органічних
сполук, що обумовлюють розвиток та накопичення у місцях забруднення
різноманітних мікроорганізмів. З метою запобігання розвитку патогенних
організмів необхідна систематична дезінфекція побутових приміщень, санітарних
вузлів підприємства. Для ловлення пилу на бункерах, де зберігається сировини,
встановлюються тканинні фільтри. З метою запобігання забруднення ґрунтів, в
умовах кондитерських, фабрик необхідно своєчасно ретельно збирати, вивозити і
знешкоджувати рідкі та тверді відходи виробничої діяльності підприємства:
змащувальний матеріал, промислове сміття тощо.
9.2.2 Розрахунок товщини теплоізоляції
Оскільки
при виробництві карамелі з фруктовою начинкою теплоагентом слугує пара,
потрібно, засобами теплоізоляції, забезпечити захист обслуговуючого персоналу
від можливих опіків, і знизити теплові втрати на теплопроводах. Згідно СН, для
трубопроводів з температурою теплоносія понад
,
температура на поверхнях теплоізоляційних конструкцій трубопроводів, арматури і
обладнання не повинна перевищувати
.
Вихідні
дані:
1. Ізоляційний матеріал - мінвата покрита алюмінієвою обичайкою.
2. Коефіцієнт
теплопровідності ізоляції -
.
. Діаметр
трубопроводу теплоносія -
. Діаметр
трубопроводу холодоагенту -
. Температура
довколишнього середовища -
.
. Температура
теплоносія -
. Поверхнева
температура ізоляції -
. Температура
холодоагенту -
. Температура
на поверхні холодопроводу -
Розрахунок
необхідної товщини шару теплоізоляції. [5; c73]
. Визначаємо
коефіцієнт тепловіддачі на поверхні за наступною формулою:
. Щоб
знайти значення функції
проведемо розрахунок за формулою
За
таблицею значень функції
[5, дот. 19] знаходимо
.
. Тепер
можна безпосередньо знайти товщину теплоізоляції за формулою
Отже,
для забезпечення температури на поверхні теплопроводу до
, потрібно покрити його двадцятитрьохміліметровим
шаром мінвати.
На
лінії виготовлення фруктової карамелі, спільно з теплопроводами пролягають і
холодопроводи, які транспортують фреон до темперувальних шаф. Відомо, що для
трубопроводів, розміщених в закритих приміщеннях, і транспортуючих речовин з
температурою нижчою від температури оточуючого середовища, є характерною
проблема утворення конденсату. Тепле повітря, стикаючись з холодною поверхнею
трубопроводу, температура котрого менша температури точки роси, конденсується,
внаслідок чого на поверхні трубопроводу з’являються краплі води, паморозь. Для
усунення цього недоліку застосовується теплоізоляція, що дозволяє підняти
температуру ізольованого обладнання вище точки роси. [6; c26]
Розрахуємо,
який шар теплоізоляції необхідно використати.
1. Спочатку розрахуємо коефіцієнт конвективної теплопередачі в
закритому приміщенні:
2. Тепер знайдемо саму товщину теплоізоляції:
Отже,
для забезпечення належного підведення теплоносія і холодоагенту до відповідного
обладнання, дотримуючись СН, на лінії виробництва карамелі з фруктовою
начинкою, трубопроводи необхідно покрити шаром мінвати. Трубопроводи по яким транспортується
пара потрібно обгорнути двадцятитрьохміліметровим шаром мінвати, а трубопроводи
з фреоном сорокатрьохміліметровим.
9.3. Безпека життєдіяльності в
надзвичайних ситуаціях
В процесі виготовлення карамелі з фруктовою начинкою найбільш вірогідною
причиною виникнення НС є пожежа. Для запобігання їй потрібно проаналізувати
можливі джерела пожежної небезпеки, фактори які можуть сприяти їм. Розробити
систему організаційних і технічних протипожежних заходів. Скласти план дій на
випадок пожежі.
На протяжності всієї лінії присутнє електричне обладнання. Струм і
наслідки його дії при відповідних умовах перетворюються в потужне джерело
запалювання горючого середовища. Статистика показує, що найчастіше це може
спричиняти: невідповідність експлуатованого електрообладнання умовам
навколишнього середовища, механічні причини, а саме - несправність і
пошкодження електрообладнання, великі струмові перевантаження
електрообладнання, апаратури і електропроводів, виникнення великих температур,
електричної дуги і іскор в результаті короткого замикання, іскри при розрядах
статичної електрики, а також розрядах блискавки.
Фактором, що створює потенційну небезпеку є наявність запиленого повітря,
при просіювання цукру, яке є легкозаймистим, і може спалахнути від відкритого вогню
неподалік.
У той же час на виробництві можливі такі основні причини загорянь і
пожеж:
– порушення правил пожежної безпеки при поводженні з відкритими
джерелами вогню (електрогазозварювальні роботи, застосування паяльних ламп і
факелів для розігріву і т.д.);
– куріння у заборонених місцях;
– несправність електрообладнання, електромереж та електроапаратури;
– порушення правил експлуатації обладнання і технологічних
процесів;
– виникнення зарядів статичної електрики;
– відсутність надійних пристроїв блискавкозахисту;
– відсутність або несправність заземлення.
Для запобігання цьому слід дотримуватися ряду вимог.
Система запобігання пожежам - це комплекс організаційних і технічних
засобів, спрямованих на виключення можливості виникнення пожежі, на запобігання
утворенню горючого і вибухонебезпечного середовища шляхом регламентації вмісту
горючих газів, парів та пилу у повітрі, а також виключення можливості
виникнення джерел запалювання або вибуху. Потрібно забезпечити пожежну безпеку
технологічних процесів, обладнання, електроустаткування, систем вентиляції,
зберігання сировини та інших матеріалів. [9; с374]
З обслуговуючим персоналом підприємств повинні бути вивчені
характеристики пожежної небезпеки речовин та матеріалів, що застосовуються або
виробляються (отримуються), та характеристики пожежонебезпечного технологічного
устаткування, яке застосовується на підприємстві. Застосовувати у виробничих
процесах і зберігати речовини та матеріали з невивченими параметрами щодо
пожежної і вибухової небезпеки не дозволяється.
Не дозволяється виконувати виробничі операції на устаткуванні, установках
та верстатах з несправностями, які можуть викликати загоряння та пожежу, а
також при відключенні контрольно-вимірювальних приладів, за допомогою яких
визначаються встановлені режими температури, тиску, інші технологічні
параметри. Гарячі поверхні трубопроводів та устаткування в приміщеннях, в яких
вони викликають небезпеку займання матеріалів або вибуху газів, парів рідин або
пилу, повинні ізолюватися негорючими матеріалами для зниження температури
поверхні до безпечної величини. На підприємстві забороняється куріння на всій
території. Для цього повинні бути вивішені відповідні сповіщення.
Необхідно дотримуватися режиму роботи обладнання і установок відповідно
паспортним даним і технологічному регламенту. Застосовувати обладнання та
установок відповідно до категорій приміщень за вибухопожежонебезпекою.
Оснащувати обладнання, установки і споруди контрольно-вимірювальною апаратурою
та іншими автоматичними пристроями, які виключають можливість появи небезпечної
ситуації або сигналізують про небезпеку. Забезпечити надійну герметизацію
обладнання, установок апаратури резервуарів і трубопроводів. Оснащувати
обладнання пристроями для запобігання накопиченню зарядів статичної електрики. Дотримуватися
терміну своєчасного змащування відповідними мастилами, що відповідають
технічній характеристиці обладнання, для запобігання підвищенню температури
підшипників (не вище 60 °С). Встановлювати на обладнанні граничних норм
завантаження, швидкості переробки, транспортування і оснащення його
автоматичним контролем цих параметрів, пристроями сигналізації і зупинки при
перенавантаженнях. Виконувати правила безпеки при зупинці обладнання на огляд і
ремонт. Включити проведення вогневих робіт із одночасним розбиранням обладнання
і трубопроводів. Дотримуватися своєчасного проведення оглядів, профілактичного
випробування і планово-попереджувального ремонту.
Щоб запобігти виникненню пожежі від струмів короткого замикання і
перевантаження електроустановок, потрібно застосовувати захисні пристрої, такі
як плавкі запобіжники: автоматичні вимикачі, теплові реле та ін. Правильний
підбір захисних пристроїв забезпечує мінімальний час їх спрацювання і таким
чином підвищує пожежну безпеку електроустановок. Категорично забороняється
застосування нестандартних елементів захисних пристроїв. Важливим заходом
пожежної безпеки є відповідний вибір типів і виконання електроприладів,
електродвигунів та іншого електрообладнання із урахуванням умов навколишнього
середовища та їх експлуатації. Запобіганню пожежній небезпеці сприяє виконання
таких організаційних і профілактичних заходів: наявність принципових, робочих і
оперативних схем електромереж, систем захисту, блокування автоматики, мереж
заземлення, попереджувальних плакатів і написів, контроль, профілактичний
ремонт і випробування електрообладнання, протипожежний інструктаж, навчання і
атестація персоналу. [9; c382]
Якщо все ж таки уникнути пожежі не вдалося, потрібно забезпечити комплекс
засобів для сповіщення про її виникнення, і подальшого гасіння. Для виявлення
пожежі, повідомлення про місце її виникнення і виклик пожежного підрозділу
необхідно застосовувати автоматичні пожежні сигналізації (АПС) і пожежний
зв'язок. Пожежні сповіщувачі повинні бути розміщені по всьому виробничому
периметру.
Для первинного гасіння пожежі виробництво повинно бути забезпечене
первинними засобами пожежогасіння: вогнегасниками, ящиками з піском, бочками з
водою, покривалами з негорючого теплоізоляційного полотна, грубововняної
тканини, повсті, пожежними відрами, совковими лопатами, пожежним інструментом
(гаками, ломами, сокирами тощо), які використовуються для локалізації і
ліквідації пожеж у їх початковій стадії розвитку. Для розміщення первинних
засобів пожежогасіння у виробничих, складських, допоміжних приміщеннях,
будівлях, спорудах, а також на території підприємства, слід встановлюватися
спеціальні пожежні щити (стенди). На пожежних щитах (стендах) повинні
розміщуватися ті первинні засоби гасіння пожежі, які можуть застосовуватися в
даному приміщенні, споруді, установці. Пожежні щити (стенди) та засоби
пожежогасіння мають бути пофарбовані у відповідні кольори за чинним державним
стандартом. Вогнегасники слід встановлювати у легкодоступних та помітних місцях
(коридорах, біля входів або виходів з приміщень тощо), а також у
пожежонебезпечних місцях, де найбільш вірогідна поява осередків пожежі. При
цьому необхідно забезпечити їх захист від попадання прямих сонячних променів і
безпосередньої (без загороджувальних щитків) дії опалювальних та нагрівальних
приладів. Також повинні бути облаштовані, і підтримуватися в справному стані
внутрішньо пожежні крани з пожежними дулами і рукавами.
Для забезпечення організованого руху під час евакуації та попередження
паніки мають бути розроблені плани евакуації з будівель та місць з масовим
перебуванням людей. План евакуації вивішується на видному місці, а його
положення повинні систематично відпрацьовуватись на практиці
Евакуація людей із будівель та споруд здійснюється через евакуаційні
виходи. Шляхом евакуації повинен бути безпечний для руху людей шлях, який веде
до евакуаційного виходу. Евакуаційні шляхи і виходи повинні утримуватися
вільними, нічим не захаращуватися і в разі виникнення надзвичайної ситуації
забезпечувати безпеку під час евакуації всіх людей, які перебувають у
приміщеннях будівель та споруд. Кількість та розміри евакуаційних виходів з
будівель і приміщень, їхні конструктивні й планувальні рішення, умови
освітленості, забезпечення не задимленості, протяжність шляхів евакуації, їх
облицювання повинні відповідати протипожежним вимогам будівельних норм. У разі
розміщення технологічного, експозиційного та іншого обладнання в приміщеннях
повинні бути забезпечені евакуаційні проходи до сходових кліток та інших шляхів
евакуації відповідно до будівельних норм. [11; 422]
Двері на шляхах евакуації повинні відчинятися в напрямку виходу з
будівель (приміщень). Допускається влаштування дверей з відчиненням усередину
приміщення в разі одночасного перебування в ньому не більше 15 чоловік, а також
у санвузлах, з балконів, лоджій, площадок зовнішніх евакуаційних сходів (за
винятком дверей, що ведуть у повітряну зону незадимленої сходової клітки). При
наявності людей у приміщенні двері евакуаційних виходів можуть замикатися лише
на внутрішні запори, які легко відмикаються. Килими, килимові доріжки й інші
покриття підлоги у приміщеннях з масовим перебуванням людей повинні надійно
кріпитися до підлоги і бути малонебезпечними щодо токсичності продуктів
горіння, а також мати помірну димоутворюючу здатність.
Сходові марші і площадки повинні мати справні огорожі з поручнями, котрі
не повинні зменшувати встановлену будівельними нормами ширину сходових маршів і
площадок. Сходові клітки, внутрішні відкриті та зовнішні сходи, коридори,
проходи та інші шляхи евакуації мають бути забезпечені евакуаційним освітленням
відповідно до вимог будівельних норм та правил улаштування електроустановок.
Світильники евакуаційного освітлення повинні вмикатися з настанням сутінків у
разі перебування в будівлі людей.
Шляхи евакуації, що не мають природного освітлення, повинні постійно
освітлюватися електричним світлом (у разі наявності людей). У виробничих
приміщеннях без природного освітлення за наявності більше 50 працюючих (або
якщо площа перевищує 150 м ) евакуаційні виходи повинні бути позначені
світловими покажчиками з написом "Вихід" білого кольору на зеленому
фоні, підключеними до джерела живлення евакуаційного (аварійного) освітлення,
або такими, що переключаються на нього автоматично в разі зникнення живлення на
їх основних джерелах живлення.
.
РОЗРАХУНОК ЕКОНОМІЧНОЇ ЕФЕКТИВНОСТІ АВТОМАТИЗАЦІЇ
10.1 Розрахунок капітальних витрат на
автоматизацію
Розробка автоматизованого комплексу для виготовлення карамелі з фруктовою
начинкою направлена на досягнення наступних результатів:
– прискорення процесу виготовлення продукції;
– зменшення затрат трудових ресурсів;
– полегшення роботи і створення безпечних умов праці;
– зменшення собівартості продукції, а отже досягнення позитивного
економічного ефекту.
У порівняні з існуючою технологічною лінією виробництва карамелі з
фруктовою начинкою, автоматизована лінія набуває більш складного технічного
характеру та забезпечує:
– за допомогою датчиків, виконавчих механізмів та регулюючих органів
проводити контроль та регулювання параметрів кожного етапу процесів
(температури, рівня, витрати);
– за допомогою мікроконтроллерів та розробленого для них
програмного забезпечення проводити автоматичний контроль та керування усією
системою.
Щоб обґрунтувати правильність введення в дію розробленої автоматизованої
системи, в даному розділі будуть здійснені розрахунки, які покажуть, які будуть
витрати підприємства після впровадження комплексу. Для початку слід дати
характеристику економічних витрат, пов'язаних з автоматизацією.
Капітальні витрати - витрати, спрямовані на відтворення основних засобів
виробничого призначення, на створення нових, реконструкцію і розвиток наявних
основних засобів, включаючи об'єкти соціальної сфери. Це витрати на придбання
довгострокових активів, які функціонують протягом тривалого періоду.
Капітальні затрати включають в себе: вартість засобів автоматизації,
вартість монтажу, налагодження і транспортні витрати. Вартість придбаних
апаратів та приладів визначаємо за діючими прейскурантами, заводськими даними і
заносимо в таблицю 10.1
Таблиця 10.1 Розрахунок вартості засобів автоматизації (ЗА)
|
№ з/п
|
Назва приладу
|
Тип
|
Кіль-кість
|
Вартість одиниці, грн.
|
Загальа вартість, грн.
|
|
1.
|
Термопара
|
ТСМУ 0104
|
8
|
386
|
3088
|
|
2.
|
Датчик витрати
|
ВЗЛЕТ УРСВ-510Ц
|
7
|
8100
|
56700
|
|
3.
|
Датчик витрати
|
SolidFlow
|
1
|
7720
|
7720
|
|
4.
|
Датчик рівня
|
УЛМ-31А2
|
8
|
4600
|
36800
|
|
5.
|
Датчик розрідження
|
САПФИР-22(М)-ДВ
|
1
|
840
|
840
|
|
6.
|
Реле
|
RG25
|
45
|
52
|
2340
|
|
7.
|
Електромагнітний клапан
|
Burkert 2712
|
8
|
1134
|
9072
|
|
8.
|
Електричний вентиль
|
DFCM- RVA10
|
8
|
860
|
6880
|
|
9.
|
Мікроконтролер
|
ADAM 4017
|
4
|
1340
|
5360
|
|
10.
|
Мікроконтролер
|
ADAM 4024
|
3
|
1920
|
5760
|
|
11.
|
Мікроконтролер
|
ADAM 4056S
|
4
|
890
|
2670
|
|
12.
|
ADAM 4520
|
1
|
1400
|
1400
|
|
13.
|
Блок живлення
|
Chinfa DRA 18-24
|
1
|
684
|
684
|
|
Всього:
|
139314
|
Вартість приладів і засобів автоматики згідно з таблицею 10.1.
Транспортно-заготівельні
витрати - це витрати на оплату транспортним компаніям за транспортування
приладів, комісійні, вантажно-розвантажувальні роботи пов’язані з доставкою
обладнання на підприємство, тимчасове зберігання на складах. Транспортуватися
можуть окремі прилади, укрупнені вузли та цілі блоки (модулі). Вартість
заготівельних робіт обчислюється в залежності від сумарної вартості
контрольно-вимірювальних і регулюючих приладів і становить звичайно 4%.
Вартість транспортно-заготівельних робіт становить:
Далі
розраховується вартість монтажних робіт.
Вартість
монтажних робіт складає 35% сумарної вартості приладів апаратури та
розраховується за цією формулою:
Розрахуємо
витрати на налагоджувальні роботи. Це витрати на заробітну плату робітникам,що
виконують роботи щодо наладки і перевірці всіх приладів. Вартість таких робіт
складає 20% від апаратури і становить:
Також
розрахуємо інші витрати. Це різні відносно дрібні витрати які важко врахувати.
Такі витрати становлять 15% вартості контрольно-вимірювальних і регулюючих
приладів, витрат на монтажні та налагоджувальні роботи.
Обчислимо
інші витрати:
Загальна
сума капітальних вкладень - це сума всіх затрат підприємства на автоматизацію
певного виробничого процесу, тобто сумарна вартість приладів, апаратури,
монтажних матеріалів, транспортно-заготівельних витрат та витрат на монтажні і
налагоджувальні роботи.
Отже
загальна вартість приладів, витрати на монтаж і налагодження нової системи
автоматизації становитиме 253906,7 грн.
10.2 Розрахунок трудових затрат після автоматизації
Число основних робітників та їх кваліфікації
визначають по кількості робочих місць, встановлених після впровадження
автоматизації, кваліфікації роботи, яка використовується на кожному робочому
місці. Баланс робочого часу складають для роботи в умовах річного виробництва (таблиця
10.2)
Таблиця 10.2 Баланс робочого часу одного робітника
|
№ з/п
|
Показники
|
Значення
|
|
1
|
Календарний фонд часу,
днів.
|
365
|
|
2
|
Святкові дні.
|
10
|
|
3
|
Вихідні дні.
|
110
|
|
4
|
Номінальний фодн робочого
часу, днів.
|
245
|
|
5
|
Невиходи на роботу, днів.
|
8
|
|
5.1
|
– чергова відпустка.
|
2
|
|
5.2
|
– декретна відпустка.
|
4
|
|
5.3
|
– через хворобу.
|
1
|
|
5.4
|
– відпустка на навчання,
тощо.
|
1
|
|
6
|
Середня тривалість робочого
дня, год.
|
8
|
|
7
|
Ефективний час роботи,
днів.
|
237
|
|
8
|
Ефективний час роботи, год.
|
1896
|
Розрахунок річного фонду заробітної плати працівників.
Нормативи для розрахунків кількості допоміжних робітників і їх розряду по
кожній професії необхідно вибрати на певному заводі. Планування чисельності
ІТП визначають згідно штатного розкладу, який складається відповідно до
норм обслуговування, що діють в промисловості.
Кількість робітників на лінії та їхня основна з/п бралася згідно даних
нашого підприємства. Додаткова заробітна плата розробників
розраховується як 10 % від їх
основної заробітної плати.
Нарахування на заробітну плату розробників Нзп розраховуються як 36,76%
.. 49,7% від суми основної та додаткової заробітної плати розробників.
Враховуючи, що в нашому випадку клас професійного ризику виробництва
відноситься до 21 класу (виробництво карамелі з начинкою), то ми беремо 37,18
%. Річний фонд з/п обчислюємо як суму основної з/п, додаткової з/п та
нарахування помноживши все це на 12 місяців. Обчислимо заробітну плату всіх
розробників за період проекту і дані занесемо до таблиці 10.3.
Обчислюємо річний фонд заробітної плати:
– оператор:
– різноробочий:
– слюсар:
– електрик:
Обчислюємо річний фонд усіх працівників до проведення автоматизації на
лінії виробництва, просумувавши їхні з/п за рік:
Таблиця 10.3 Річний фонд заробітної плати до проведення автоматизації
|
Категорії працівників
|
К-сть
|
Розмір заробітної плати
|
Річний фонд, грн.
|
Нарахування грн.
|
|
|
Основна
|
Додаткова
|
|
|
|
Оператор
|
3
|
2260
|
226
|
89496
|
33274,61
|
|
Різноробочий
|
5
|
1950
|
195
|
128700
|
47850,66
|
|
Слюсар
|
2
|
2270
|
227
|
59928
|
22281,23
|
|
Електрик
|
1
|
3100
|
310
|
40920
|
15214,06
|
|
|
Разом
|
11
|
9580
|
958
|
319044
|
118620,6
|
|
Після проведення автоматизації:
Обчислимо заробітну плату всіх розробників за період проекту і дані
занесемо до таблиці 10.4.
Обчислюємо річний фонд заробітної плати:
– оператор:
– різноробочий:
– слюсар:
– електрик:
Обчислюємо річний фонд усіх працівників після проведення автоматизації на
лінії виробництва, просумувавши їхні з/п за рік:
Таблиця 10.4
Річний фонд заробітної плати після проведення автоматизації
|
Категорії працівників
|
К-сть
|
Розмір заробітної плати
|
Річний фонд, грн.
|
Нарахування грн.
|
|
|
Основна
|
Додаткова
|
|
|
|
Оператор
|
2
|
2260
|
226
|
59664
|
22183,07
|
|
Різноробочий
|
2
|
1950
|
195
|
51480
|
19140,26
|
|
Слюсар
|
2
|
2270
|
227
|
59928
|
22281,23
|
|
Електрик
|
1
|
3100
|
310
|
40920
|
15214,05
|
|
Разом
|
7
|
9580
|
958
|
211992
|
78818,62
|
Оскільки після впровадження системи автоматизації буде звільнено чотирьох
працівників то річна економія заробітної плати буде становити:
10.3 Розрахунок затрат на електроенергію
Оскільки автоматизована система керування і контролю
технологічним процесом виробництва карамелі з фруктовою начинкою в процесі
роботи потребує значної кількості електроенергії, то доцільно буде розрахувати
затрати на електроенергію.
Для початку необхідно визначити споживчу потужність
усієї системи.
Просумувавши потужність всіх елементів системи
отримаємо потужність системи, яка рівна
Річні затрати на електроенергію рахуємо таким чином:
де
- потужність виробничої системи, кВт;
- річний час роботи обладнання, год;
- вартість 1 кВт
год, грн.
До проведення автоматизації:
= 146 кВт; t=1896 год;
=0,7797 грн. (тариф на електроенергію на 2013р. для підприємств
потужністю до 750 кВт).
Тоді:
Після проведення автоматизації:
= 148 кВт; t=1896 год;
=0,7797 грн.
Тоді:
Витрати на електроенергію, яка використовується на освітлення,
обчислюються за формулою:
де Феф. - ефективний фонд часу роботи лампи в годинах;
- вартість 1 кВт/год. в грн.;
Росн. - сумарна потужність, яка іде на освітлення в кВт/год.
Феф =1896/2=948 (лампи приблизно працюють
робочого дня),
=0, 7797 грн.,
До проведення автоматизації:
Росн.=6,3 кВт.
Після проведення автоматизації:
Росн.=6 кВт.
Тоді:
Тепер визначаємо загальні витрати на електроенергію:
Отже, річні затрати на електроенергію складають:
До автоматизації -
Після автоматизації -
Так як після проведення автоматизації збільшиться
споживання електроенергії засобами автоматизації, то і відповідно збільшаться
річні затрати на електроенергію з 217416,53 грн. до 223224,98 грн.
10.4 Калькуляція продукції
Калькуляція - це розрахунок собівартості одиниці продукції, виконаних
робіт та послуг.
Для початку необхідно визначити плановий випуск упаковок кількості
продукції за один рік за формулою:
де
- плановий випуск продукції за одну
робочу зміну, кг;
- маса коробки продукції, кг;
- кількість робочих днів в році;
- кількість змін в один робочий день.
Отже:
Отже за один рік роботи планова кількість випуску продукції становить
95772 коробок.
Тепер потрібно визначити планову собівартість річного обсягу випуску
продукції. В собівартість включаємо всі витрати, починаючи від виробництва і до
реалізації готової продукції.
Таблиця 10.5 Планова калькуляція собівартості випуску продукції
|
№ з/п
|
Статті калькуляції
|
Спосіб розрахунку
|
Сума затрат, грн.
|
|
|
|
До автоматизації
|
Після автоматизації
|
|
1
|
Сировина, матеріали та
комплектуючі вироби
|
Згідно калькуляції
собівартості та цін взятих на заводі
|
1619799
|
1665481
|
|
2
|
Витрати на електроенергію
|
|
217416,53
|
223224,98
|
|
3
|
Основна з/п основних
робітників
|
|
290040
|
192720
|
|
4
|
Додаткова з/п основних
робітників
|
10-12 % від основної з/п
|
29004
|
19272
|
|
5
|
Нарахування на з/п
|
37,18 % від суми р.3 та р.
4
|
118620,6
|
78818,62
|
|
6
|
Витрати на утримання і
експлуатацію устаткування
|
45 % від ФЗП
|
143569,8
|
95396,4
|
|
7
|
Загальновиробничі витрати
|
табл. 11
|
435060
|
289080
|
|
8
|
Втрати внаслідок технічного
неминучого браку
|
5 - 10 % від основної З/П
|
34804,8
|
1541,76
|
|
9
|
Інші виробничі витрати
|
10 - 15 % від основної з/п
|
36144
|
2312,64
|
|
10
|
Виробнича собівартість
|
ВС = р.1+р.2+р.3 +
р.4+р.5+р.6 +р. 7+р.8+р.9
|
2924458,7
|
2567847,4
|
|
11
|
Адміністративні витрати
|
50 - 200% від основної
заробітної плати робітників
|
348048
|
231264
|
|
12
|
Витрати на підготовку та
освоєння нового виробництва
|
30 - 50% від основної з/п
|
101514
|
67452
|
|
13
|
Позавиробничі витрати на
збут
|
5 - 10 від ВС
|
233844,7
|
205245,9
|
|
14
|
Повна собівартість
|
ПС = р. 10 +р.11+ р.12+р.13
|
3607865,4
|
3071809,3
|
З таблиці видно, що після впровадження автоматизації собівартість
виготовлення продукції знизилась.
Таблиця 10.6 Розрахунок планової собівартості роботи системи
|
№ з/п
|
Стаття калькуляції
|
Спосіб розрахунку
|
Сума, грн.
|
|
1
|
Капітальні затрати
|
Згідно розрахунків
|
253906,7
|
|
2
|
Фонд заробітної плати (ФЗП)
|
Згідно розрахунків
|
211992
|
|
3
|
Нарахування на з/п
|
Згідно розрахунку
|
78818,62
|
|
4
|
Затрати на електроенергію
|
Згідно розрахунків
|
223224,98
|
|
5
|
Витрати на утримання та
експлуатацію обладнання
|
45 % від ФЗП
|
95396,4
|
|
6
|
Загальногосподарські
витрати
|
65 % від ФЗП
|
137794,8
|
|
7
|
Загальна планова
собівартість
|
Сума всіх попередніх рядків
|
1001133,5
|
|
|
|
|
|
Просумувавши всі статті калькуляції, була отримана сума в розмірі
1001133,5 грн. Саме стільки коштів потрібно для безперебійного функціонування
автоматизованої лінії по виробництву карамелі з фруктовою начинкою.
10.5 Оцінка економічної ефективності автоматизації
Розрахунок економічного ефекту (
) від проведення модернізованого або
нового технологічного процесу, дільниці, цеху можна здійснити за формулою:
де: S1 - виробнича собівартість одиниці продукції при застосуванні
існуючого технологічного процесу, грн./кор.;- виробнича собівартість одиниці
продукції після модернізації або при застосуванні нового технологічного
процесу, грн./ кор.;- обсяг виробництва продукції за рік після модернізації або
впровадження нового технологічного процесу (дільниці, цеху), кор.

(згідно
даних підприємства).
(згідно даних підприємства).
Економічний
ефект від автоматизації можна також обчислити так:
де
- річна економія за рахунок різних джерел (зменшення
витрат на оплату праці);
- капітальні затрати на автоматизацію.
- нормативний
коефіцієнт
економічної ефективності (
=0,15).

Умовно-річна
економія рівна економічному ефекту:
Розрахунковий
коефіцієнт ефективності капітальних вкладень на проведення автоматизації:

де
К - розмір додаткових капітальних вкладень.

де
Ер - розрахунковий коефіцієнт ефективності капітальних вкладень.
У
нашому випадку термін окупності Т0 для обчислювальної техніки буде меншим за Т0
< 1…3 років, то модернізація або впровадження нового технологічного процесу,
проектування нової виробничої дільниці або цеху буде економічно доцільним.
Приріст
прибутку знайдемо так:
Де:
П- приріст прибутку від впровадження нової технології;
Цн - оптові ціни одиниці продукції в умовах реалізації нової технології; Sн -
собівартість одиниці продукції в умовах нової технології; Цб - оптові ціни
одиниці продукції в умовах заміненої технології; Sб -собівартість одиниці
продукції в умовах заміненої технології; Опр - прогнозований обсяг виробництва
продукції шт.

(згідно
даних підприємства);
(згідно даних підприємства);

(згідно
даних підприємства).
Зведений
сумарний ефект від впровадження нової технології:
де:
- зведений сумарний ефект від впровадження нової
технології;
- нормативний коефіцієнт економічної ефективності (
=0,15);
- обсяг
капіталовкладень, необхідний для фінансування придбання засобів автоматизації.
Зростання
продуктивності праці внаслідок автоматизації розрахуємо за наступною формулою:
де
r - число основних робітників до впровадження автоматизації системи; 
- число
робітників, яких необхідно скоротити після проведення автоматизації.
Оскільки
до впровадження автоматизації наше виробництво вважалося механізованим і
потребувало значної кількості робітників на лінії, то при впровадженні
автоматизації їх кількість ми можемо суттєво скоротити.
Зміна
обладнання дозволяє знизити собівартість продукції:
Усі
одержані від проведення розрахунків дані зводимо до табл. 10.7.
Таблиця
10.7 Основні техніко-економічні результати автоматизації
|
№ з/п
|
Показник
|
Одиниці виміру
|
До автоматизації
|
Після автоматизації
|
|
1
|
Річний виробіток продукції
|
шт.
|
95772
|
98200
|
|
2
|
Чисельність працюючих
|
чол.
|
11
|
7
|
|
3
|
Капітальні затрати
|
грн.
|
_____
|
253906,7
|
|
4
|
Фонд заробітної плати
|
грн.
|
319044
|
211992
|
|
5
|
Нарахування на з/п
|
грн.
|
118620,6
|
78818,62
|
|
6
|
Затрати на електроенергію
|
грн.
|
217416,53
|
223224,98
|
|
7
|
Річний економічний ефект
|
грн.
|
_____
|
176770
|
|
8
|
Розрахунковий коефіцієнт
ефективності капітальних вкладень
|
грн.
|
_____
|
0,7
|
|
9
|
Термін окупності
|
років
|
_____
|
1,43
|
|
10
|
Приріст прибутку
|
грн.
|
_____
|
69718
|
|
11
|
Зведений сумарний ефект від
впровадження нової технології
|
грн.
|
_____
|
155879,9
|
|
12
|
Ріст продуктивності праці
|
%
|
_____
|
57,4
|
|
13
|
Зниження собівартості
|
%
|
_____
|
5,8
|
В результаті автоматизації виробництва карамелі з фруктовою начинкою було
впроваджено засоби автоматизації, які дозволять значно підвищити виробництво та
покращити економічну ефективність автоматизації технологічного процесу за
рахунок зменшення витрат сировини, матеріалів, збільшення продуктивності праці,
зменшення числа обслуговуючого персоналу, покращення його умов праці та техніки
безпеки.
В результаті звільнено 4 робітника і досягнуто економії по фонду
заробітної плати на суму 107052 грн. Визначений економічний ефект становить
176770 грн. Провівши розрахунки витрат на розробку засобу автоматизації, можна
зробити висновки, що даний проект доцільно впроваджувати за умови його успішної
реалізації. Оскільки розрахунковий коефіцієнт ефективності капітальних вкладень
становить 0,7, а термін окупності знаходиться в межах норми - 1,43 років
(нормативний становить для обчислювальної техніки менше 1…3 років). Отже, дане
проектне рішення доцільно впроваджувати (лінію потрібно модернізувати,
наростити виробничі потужності, скоротити обслуговуючий персонал).
ВИСНОВКИ
Під час виконання даного дипломного проекту був розглянутий технологічний
процес виробництва карамелі з фруктовою начинкою. Визначено стан сировини, якою
забезпечується підприємств і вимоги до готової продукції. З’ясовано параметри
технологічного процесу, які потребують строгого контролю, для отримання
карамелі належної якості. Оцінене наявне матеріально-технічне забезпечення, і
визначається його стан. На основі усіх цих даних було розроблено вимоги до
системи автоматизації.
Проаналізувавши технологічну лінію, в ролі засобів автоматизації, було
вибрано контролери серії ADAM4000. Було складено алгоритм функціонування
технологічної лінії і, в середовищі ADAMView, розроблено програмне забезпечення
для функціонування контролерів. Досліджено стійкість системи автоматичного регулювання,
на прикладі структурної схеми підтримування температури в змішувачі з начинкою.
В спеціальній частині проекту було організоване оптимальне місце розташування
щитових конструкцій з приладами і засобами автоматизації.
Проаналізовано умови праці, небезпечні і шкідливі фактори на
підприємстві, які можуть спонукати виробничий травматизм, професійні
захворювання чи нещасні випадки. Розробляються заходи на зниження цих шкідливих
та небезпечних факторів, і попередження їх наслідків. Також розглянуті питання,
які стосуються екологічної безпеки навколишнього середовища.
Проведено розрахунок економічної доцільності автоматизації. Оцінено
економічну ефективність автоматизації, з огляду на те як швидко окупляться
витрати, шляхом отримання збільшеного прибутку від нарощення виробничих
потужностей.
Список використаних джерел
1. Технология
производства сахарных кондитерских изделий / Cкобельская З.Г., Горячева Г.Н. -
М.: ИРПО, 2002г. - 416 с
.
Теоретические основы пищевых технологий. Справочник для специалистов / Панфилов
В. А. - М.: Колос, 2009г. - 608 с
. Теорія
автоматичного керування : Підручник . - 2-ге вид., перероб. і доп. / Попович
М.Г., Ковальчук О.В. - К.:Либідь, 2007. - 656с.
. Современные
датчики / Дж.Фрайден. - М.:Техносфера, 2005. - 592с.
5. Теплоизоляция трубопроводов теплосетей / Копко В.М. - Минск:
Технопринт, 2002. - 160 с.
. Проектирование тепловой изоляции трубопроводов / Дегтярева Е. О. -
стаття з журналу Промышленный электрообогрев и электроотопление, №4, 2011.
7.
Классификация основных опасных и вредных производственных факторов стаття на
сайті www.dvkuot.ru.
. Охорона
праці / В.М. Москальова. - Рівне: НУВГП, 2009. - 399.
. Основи
охорони праці / Купчик М.П., Гандзюк М.П. та ін., - К.: Основа, 2000. - 416 с.
. Охрана
труда на предприятиях пищевой промышленности / Никитин В.С., Бурашников Ю.М. -
М.: Агропромиздат, 1991. - 350с.
. Охорона
праці в галузі: Загальні вимоги / Зеркалов Д.В. - К.: «Основа». 2011. - 551 с.
. Організація
виробництва: Навч. Посібник. / Васильков В. Г. - К.: КНЕУ, 2003. - 524 с.
.
Проектирование систем автоматизации технологических процес сов / Клюев А.С. -
М., Энергия, 1980, с.512.
ДОДАТКИ
Додаток 1
Специфікація засобів автоматизації
Таблиця 1. Специфікація засобів автоматизації
|
№
|
Номер позиції на ФСА
|
Місце розташування
|
Назва, технічна
характеристика
|
Кількість
|
|
1
|
5-1, 7-1, 9-1,12-1, 15-1,
20-1, 22-1, 24-1, 25-1
|
по місцю
|
Датчик температури ТСМУ
0104 Діапазон вимір. температур - 50…4000С. Вихідний сигнал: 0…10В і 4…20мА
Напруга живлення постійного струму 12…27В.
|
8
|
|
2
|
21-1
|
по місцю
|
Датчик розрідження
САПФИР-22(М)-ДВ Вихідний сигнал - 4...20 мА Робоча температура експлуатації -
0...70 Клас точності в діапазонах: 0...10% - 6, 11...89% - 2; 90...100% - 4
|
1
|
|
3
|
4-1, 6-1, 7-1, 9-1, 10-1,
16-1, 17-1, 18-1
|
по місцю
|
Датчик витрати ВЗЛЕТ
УРСВ-510Ц аналоговий 0-5 мА або 4-20 мА; цифровий (інтерфейс RS-485); живленя
напругою 220В, частотою 50/60 Гц±2%
|
8
|
|
4
|
14-1
|
по місцю
|
Датчик витрати SolidFlow
аналоговий 0-5 мА або 4-20 мА; цифровий (інтерфейс RS-485); живленя напругою
220В, частотою 50/60 Гц±2%
|
1
|
|
5
|
1-1, 2-1, 3-1, 8-1, 11-1,
13-1, 19-1, 23-1
|
по місцю
|
Датчик рівня УЛМ-31А2
аналоговий 0-5 мА або 4-20 мА; цифровий (інтерфейс RS-485); живленя напругою
220В, частотою 50/60 Гц±2%
|
8
|
|
6
|
1-3, 1-11, 2-7, 2-5, 1-5,
2-9, 2-3, 3-9, 3-7, 3-5, 3-3, 4-3, 6-3, 8-7, 8-3, 11-5, 7-3, 8-5, 11-3, 9-3,
10-3, 13-3, 13-5, 14-3, 19-11, 16-3, 18-3, 19-5, 19-9, 17-3, 19-7, 19-3,
23-5, 23-9, 23-7, 23-11, 23-3, 23-15, 23-19, 23-23, 23-13, 23-17, 23-21,
23-25, 23-27, 21-3, 12-3, 15-3, 24-3, 25-3, 22-3, 20-3, 5-3, 9-3
|
на щиті
|
Реле К03С-22 конструкція: 2
замикаючих + 2 розмикаючих контакти; номінальна напруга: 230..690 В;
номінальний струм: 1...6 А; частота: 50/60 Гц;
|
45
|
|
7
|
|
на щиті
|
ADAM4520 Модуль
перетворення інтерфейсів RS232 в RS485
|
1
|
|
8
|
|
на щиті
|
ADAM4017 8-ми канальний
модуль аналогово вводу з можливістю підключення термопар
|
4
|
|
9
|
|
на щиті
|
ADAM4024 4-х канальні
модулі аналогового виводу
|
3
|
|
10
|
|
на щиті
|
ADAM4056S 12-канальний
модуль дискретного виводу
|
4
|
|
11
|
|
на щиті
|
Блок живлення Mean Well
DR-200-24 Вихідна напруга|напруження|: +24 В постійного струму;|току|
Вихідний струм|тік|: 7.5 А макс|. ; Вхідна напруга|напруження|: 85...132 В
або 170...264 В змінного струму|току| ; Вхідний струм|тік|: 1,4 А (макс|.) ;
Частота мережі|сіті|: 47...63 Гц ; Діапазон робочих температур: 0...50°C.
|
1
|
|
|
|
|
|
|
|
Додаток 2
Устаткування на функціональній схемі
Таблиця 2. Устаткування на функціональній схемі
|
№
|
Найменування
|
Кіль-кість
|
|
1
|
Діжка
|
1
|
|
2, 5, 7
|
Збірник з мішалкою
|
3
|
|
3
|
Шпарильник
|
1
|
|
4, 13, 28
|
Ємність проміжна
|
3
|
|
6
|
Протиральна машина
|
1
|
|
8, 9, 14, 15, 22, 23, 24,
33
|
Об’ємний дозатор
|
8
|
|
10, 21
|
Змішувач
|
2
|
|
11, 25
|
Котел змієвиковий варильний
|
2
|
|
12
|
Паровідділювач
|
1
|
|
16
|
Машина темперуюча
|
1
|
|
17
|
Просіювач
|
1
|
|
18
|
Норія
|
1
|
|
19
|
Бункер проміжний
|
1
|
|
20
|
Шнек
|
1
|
|
26
|
Фільтр стаканчастий
|
1
|
|
27
|
Змієвиковий охолоджувач
|
1
|
|
29
|
Насос розрідження
|
1
|
|
30
|
Змієвиковий варильний
апарат
|
1
|
|
31
|
Виносна вакуум-камера
|
1
|
|
32
|
Машина охолоджувальна
|
1
|
|
34
|
Машина проминальна
|
1
|
|
35
|
Машина начинювальна
|
1
|
|
36
|
Машина обкатувальна
|
1
|
|
37
|
Машина калібрувальна
|
1
|
|
38
|
Машина штампувальна
|
1
|
|
39
|
Конвеєр
|
1
|
|
40, 42
|
Вібролоток
|
2
|
|
41
|
Охолоджувальна шафа
|
1
|
|
43
|
Конвеєр розподільний
|
1
|
|
44
|
Машина загортальна
|
1
|