Исследование влияния особенностей личности на формирование созависимости социального работника
Содержание
Введение
. Теоретические аспекты рассмотрения проблемы влияния
особенностей личности на созависимость социальных работников
.1 Понятие созависимости как формы профессиональной
деформации личности
.2 Психологические особенности личности социальных
работников
.3 Исследования созависимости у социальных работников
. Исследование, направленное на изучение взаимосвязи
личностных особенностей и созависимости у социальных работников
.1 Организация исследования
.2 Описательные характеристики исследования
.3 Описательные характеристики методик
.3.1 Проверка личных качеств на созависимость Уайнхолда Б.,
Уайнхолда Д
.3.2 Методика определения уровня интеллекта В.Н. Бузина
.3.3 Шкала депрессии А.Т. Бека
.3.4 Шкала тревоги Ч. Д. Спилбергера
.3.5 Тест выявления социального интеллекта Дж. Гилфорда
. Результаты изучения взаимосвязи созависимых моделей
поведения и личностных особенностей социальных работников
.1 Качественный и количественный анализ
.2 Корреляционный анализ
Выводы
Заключение
Список литературы
Приложения
Введение
Перемены в экономической и социальной сферах, потрясшие Россию в
последнее десятилетие, наряду с переходом к рыночной экономике, привели к
резкому усилению бедности и снижению уровня жизни, то есть отход России от
плановой экономики привел к кардинальным переменам в жизни российского
общества, существенное снижение уровня жизни значительной части населения,
реальной заработной платы, рост безработицы, появление массовой бедности.
Актуальность данной работы заключается в необходимости обращать внимание
на состояние социальной работы в современной России, так как в стране не самая
благополучная социально-демографическая ситуация. Проблема социальной помощи в
нашей стране на современном этапе распадается на несколько видов. Происходит
старение нации на фоне падения рождаемости, количество лиц пенсионного возраста
увеличивается, не все они могут самостоятельно себя обслуживать, поэтому
проблема социальной помощи для них актуальна. В связи с социально-экономической
ситуацией в стране за последние годы увеличилось количество социальных сирот,
т.е. детей, оставшихся по тем или иных причинам без обеспечения родителей. Для
этой категории населения оказание социальной помощи также является достаточно
актуальной задачей.
Профессиональная деятельность социального работника, независимо от
разновидности исполняемой работы, относится к группе профессий с повышенной
моральной ответственностью за здоровье и жизнь отдельных людей, групп населения
и общества в целом. Постоянные стрессовые ситуации, в которые попадает
социальный работник в процессе сложного социального взаимодействия с клиентом,
постоянное проникновение в суть социальных проблем клиента, личная
незащищенность и другие морально-психологические факторы оказывают негативное
воздействие на здоровье социального работника.
Социальным работникам, по роду своей деятельности вовлеченным в
длительное напряженное общение с другими людьми в системе "человек -
человек", порой свойственны профессиональные деформации личности, в том
числе и созависимость.
Созависимость представляет собой результат искажения профессиональных и
личностных качеств социального работника под влиянием ряда отрицательных
факторов деятельности и окружающей среды.
Целью работы является исследование влияния особенностей личности на
формирование созависимости социального работника.
Для достижения цели были поставлены следующие задачи: изучить литературу
по исследуемой теме, провести экспериментальное изучение особенностей личности
и выявить наличие или отсутствие у работников созависимости, проанализировать
влияние особенностей личности на формирование созависимости социальных
работников.
Объектом исследования выступили социальные работники Санкт-Петербургского
государственного учреждения «Центр социальной помощи семьям с детьми
Калининского района Санкт-Петербурга». Предметом исследования стали особенности
личности социальных работников, такие как: уровень интеллекта, наличие
признаков депрессии, уровень тревожности, уровень социального интеллекта и
степень созависимых моделей поведения.
В ходе изучения феномена «созависимость» нами была выдвинута гипотеза:
чем выше уровень интеллекта и социального интеллекта, тем ниже степень
созависимых моделей поведения; чем выше уровень депрессии и тревожности, тем
выше степень созависимых моделей поведения и наоборот.
В данной работе были использованы следующие методы: анализ литературы,
имеющейся по интересующей тематике, методы сбора информации (тестирование),
методы интерпретации (качественный и количественный анализ), а также
корреляционный анализ с использование коэффициента r-Пирсона.
1. Теоретические аспекты рассмотрения проблемы влияния особенностей
личности на созависимость социальных работников.
.1 Понятие созависимости как формы профессиональной деформации личности
личность созависимость
социальный работник
В психологии, существующие в структуре личности человека предпосылки к
образованию какого-то вида зависимости, т.е. к стремлению заместить свою
духовную неполноту посредством химических веществ, материальных объектов,
психических процессов или человеческих отношений, называются термином
"созависимость".
Созависимость - это особое состояние, которое характеризуется
озабоченность и повышенной зависимостью (эмоциональной, социальной, и иногда
физической) от человека (или предмета). По существу, эта зависимость от другого
человека становится болезненной и влияет на все другие отношения созависимого
[5, 23].
Профессиональная
деформация - когнитивное искажение
<#"653621.files/image001.gif">
Рис 1. Общая схема развития психологической территории ребенка
Если в этом возрасте родители не считаются с психологическими границами
ребенка или, наоборот, совершенно лишают его всякой психологической опеки, то
впоследствии ребенок, либо не умеет считаться с чужими интересами и защищать
свои; постоянно вторгается в чужую сферу и получает болезненный отпор; имеет
трудности самоидентификации; развивается стремление создавать зависимые
отношения; либо наращивает мощные негибкие границы, стремится к самоизоляции,
переживает страх неудачи, страх конкуренции, страх успеха; за счет этого
нарушаются социальные связи; затруднены сотрудничество и способность к
командному взаимодействию.
Старший детский возраст (6-11 лет). Психологическая территория
расширяется, границы приобретают четкие очертания, возрастает стремление к
самостоятельности, появляются свои «тайны», интересы. Увеличивается желание
взаимодействовать со сверстниками, подражать им. При благоприятных
обстоятельствах забота родителей и их опека воспринимается вполне терпимо. Но
если родители негибки, то актуализируется первая борьба за психологическую
территорию. Агрессивность и жестокость родителей влечет за собой потерю доверия
и внутреннее отстранение ребенка.
Ранний подростковый возраст (11-13 лет). Начало периода
самоидентификации. Социальное окружение постепенно вытесняет авторитет родителей.
Происходит переоценка ценностей. Если родители продолжают претендовать на всю
психологическую территорию своего ребенка, то начинается острая борьба «за
свободу». Основная трудность: противоречие между желанием свободы и
независимости и полной зависимостью от родителей в материальном плане и в плане
возможностей для разрешения серьезных проблем. Основная слабость: свобода
подростком принимается отдельно от ответственности. Ответственность отдается
родителям.
Подростковый возраст (13-16 лет). Тенденции предыдущего этапа
усиливаются. Родители постепенно сдают позиции и отступают с территории
подростка. Но зависимость от родителей остается: сохраняются материальная
зависимость, сознательное использование возможностей родителей, зависимость от
моделей поведения и системы ценностей родительской семьи.
Юность (17-19 лет). Если к этому периоду не определены разумные границы,
борьба достигает своего апогея. Обособление продолжается. Обычно в конце этого
периода родители сдают свои психологические позиции, даже если продолжают
поддерживать ребенка материально.
Молодость. В здоровых отношениях устанавливается партнерство суверенных
территорий, которые свободны в своем развитии и могут оказывать взаимную помощь
и поддержку, но в пределах, не препятствующих осуществлению потребностей
каждого. Если на предыдущих этапах развитие личности подавлялось, этот уровень
развития личности не наступает [7].
.2 Психологические особенности личности социальных работников
С апреля 1991 года в России появилась новая профессия - социальный
работник, деятельность которого обращена на всю систему жизнеобеспечения
человека, жизненную ситуацию людей, ее целостности, а не только в острых
бедственных ситуациях как проявление заботы, милосердия, сопереживания.
В это же время произошла в нашей стране институциализация социальной
работы, когда профессия, аналогичная зарубежной профессии «социальный
работник», получив название «специалист по социальной работе» была внесена в
государственный реестр. С этого момента развитие системы предоставления
различных видов социальной помощи, оказания социальных услуг населению стало
носить целенаправленный характер, а обязательства государства в этой сфере были
позднее всенародно одобрены и официально закреплены в Конституции 1993 года:
Российская Федерация была определена как социальной государство. Свое
дальнейшее развитие эта тенденция получила в принятии ряда Федеральных законов,
множества иных законодательных и административных актов.[8, 26, 35].
Социальная работа - это сложный процесс, требующий прочных знаний в
области теории управления, экономики, психологии, социологии, педагогики,
медицины, правоведения и т.д. Ее эффективность во многом зависит от самого
социального работника, его умений, опыта, личностных особенностей и качеств.[6,
17].
Личность
- понятие, выработанное для отображения социальной природы человека
<#"653621.files/image002.gif">
Рис. 2 «Драматический треугольник» С. Карпмана или «Треугольник власти»
Решение чужих проблем дает возможность реализации невротических
потребностей в любви, власти, контроле и доминировании одновременно.
Удовлетворяя эти потребности, «спасатели» не замечают, что при этом лишают
других людей веры в свои силы, грубо попирают их психологические границы,
навязывают им свою систему ценностей и таким образом делают их зависимыми.
«Спасателям» нужны несчастные и беспомощные, им нужны жертвы, потому что без
них будет невозможно осуществить свою потребность во власти, контроле и в
подтверждении своей значимости. А для этого наилучшим образом подходит партнер,
зависимый от алкоголя или наркотиков.
«Спасатель» - это человек, наполняющий свою жизнь, свою значимость за
счет эгоистического использования беспомощности других, но при этом верящий,
что живет только для них, что он альтруист. И это его возвышает. «Спасатель» -
всегда над спасаемым: он сильнее, мудрее, проворнее.
Вторая роль в треугольнике - это «Жертва». Та самая, которую надо
«спасать». Жертва беспомощна, несчастна, а также безответственна и лишена
желания стать успешной, а потому, сколько ее не спасай, она все равно находит
возможность оставаться несчастной. Ведь стать успешной - это значит активно
действовать для разрешения своих проблем, взять на себя ответственность за свои
ошибки.
«Спасатель» после бесплодных попыток «образумить безответственного
опекаемого» сам начинает чувствовать себя жертвой, а «подопечного» воспринимает
как источник наказания и неприятностей, то есть как преследователя. Его
раздражение нарастает, и когда гнев, наконец, находит свой выход, «спасатель»,
обернувшийся жертвой, начинает тайно или явно мстить спасаемому: он говорит ему
обидные слова, унижает, подвергает другим карательным воздействиям.
На этом витке отношений теперь уже «спасатель» превращается в
«преследователя». Это - третья роль в треугольнике. Наказанный спасаемый
становится еще более несчастным, чем прежде, и всячески «сигнализирует» об этом
«спасателю». «Спасатель» же, насытившись праведным гневом, вновь готов
вернуться к исходной роли.
Сдвиг ролей в треугольнике сопровождается изменением эмоций, причем
довольно интенсивных. Время пребывания созависимого человека в одной роли может
длиться от нескольких секунд до нескольких лет; за один день можно двадцать раз
побывать то в роли спасателя, то в роли преследователя, то в роли жертвы.
Перебегая из одного ролевого угла в другой, «спасатель» всегда находится
над спасаемым, даже в тот период, когда чувствует себя жертвой. «Спасатель»
всегда наполнен гневом и бессознательным стремлением к разрушению. Он не хочет
позволить спасаемому стать по-настоящему успешным и лишить себя тем самым
власти над ним, потеряв вместе с ней и смысл своего существования.
Таким образом, «Спасатель»: помогает, когда его не просят; чувствует
вину, когда не может помочь; дает жертве шанс на неудачу; берет на себя всю
ответственность за жертву или большую ее часть; смягчает последствия ее
безответственности; делает работу за жертву.
«Преследователь»: критикует; обвиняет; поступает неоправданно жестоко;
использует психологические защиты вместо искренности, так как всегда ожидает
нападения.
«Жертва»: излучает состояние «бедный я бедный»; все время чего-то
стыдится; чувствует себя беспомощной в решении своих проблем; всегда кем-то или
чем-то подавлена; нуждается в спасателе, который будет защищать и служить.[15,
16].
По мнению Москаленко В.Д., созависимые любят заботиться о других и часто
выбирают профессии медсестры, воспитательницы, психолога, учителя, социальных
работников. Забота о других перехлестывает разумные и нормальные рамки.
Соответствующее поведение вытекает из убежденности созависимых в том, что
именно они ответственны за чувства, мысли, действия других, за их выбор,
желания и нужды, за их благополучие или недостаток благополучия и даже за саму
судьбу. Созависимые берут на себя ответственность за других, при этом
совершенно безответственны в отношении собственного благополучия (плохо
питаются, плохо спят, не посещают врача, не удовлетворяют собственных
потребностей).
По мнению Шэрон Вегшейдер-Круз , созависимость - это специфическое
состояние, которое характеризуется сильной поглощенностью и озабоченностью, а
также крайней зависимостью (эмоциональной, социальной, а иногда и физической)
от человека или предмета. В конечном счете, такая зависимость от другого
человека становится патологическим состоянием, влияющим на созависимого во всех
взаимоотношениях. Для такого состояния созависимости характерно:
) заблуждение, отрицание, самообман;
) компульсивные действия (неосознанное иррациональное поведение, о
котором человек может сожалеть, но все же действует, как бы движимый невидимой
внутренней силой);
) замороженные чувства;
) низкая самооценка;
) нарушения здоровья, связанные со стрессом.[31, 32].
По определению Мелоди Пити, одного из самых известных специалистов по
созависимости, "созависимый - это человек, который позволил, чтобы
поведение другого человека повлияло на него, и полностью поглощен тем, что
контролирует действия этого человека. Проблема не в другом человеке, а в нас
самих, в том, что мы позволили, чтобы поведение другого человека влияло на нас,
и тоже пытаемся повлиять на другого человека». Поэтому все созависимые люди
обладают похожими внутрипсихическими симптомами, такими как контроль, давление,
навязчивые состояния и мысли, низкая самооценка, ненависть к себе, чувство
вины, подавляемый гнев, неконтролируемая агрессия, навязчивая помощь,
сосредоточенность на других, игнорирование своих потребностей, проблемы
общения, замкнутость, плаксивость, апатия, проблемы в интимной жизни,
депрессивное поведение, суицидальные мысли, психосоматические нарушения.[38].
2. Исследование, направленное на изучение влияния личностных особенностей
на формирование созависимости у социальных работников.
.1 Организация исследования
. Обоснование актуальности темы, определение целей, задач исследования,
объекта и предмета исследования.
. Разработка теоретической части исследования: выявление степени
разработанности рассматриваемого вопроса, изучение источников по проблеме.
. Формулировка гипотезы исследования.
. Выбор и подготовка методик для сбора информации; подготовка стимульного
материала и бланков ответов.
. Подготовка объекта исследования.
. Сбор первичных данных.
. Обработка полученных данных.
. Анализ и интерпретация полученных результатов.
. Формулирование выводов.
.2 Описательные характеристики исследования
Исследование по выявлению влияния личностных особенностей на формирование
созависимости проводилось в период с сентября по ноябрь. Объектом данного
исследования явились 40 социальных работников с примерно одинаковым опытом
работы и возрастным критерием.
Исследование проходило в стационарном отделении Санкт-Петербургского
государственного учреждения «Центр социальной помощи семье и детям Калининского
района Санкт-Петербурга».
С данной выборкой была организована встреча, выделено специализированное
помещение. Испытуемым были даны подробные инструкции прохождения исследования,
гарантии конфиденциальности, разъяснены цели и задачи проведения исследования.
После данной процедуры испытуемым были предъявлены бланки со стимульным
материалом и бланки ответов. Время прохождения тестирования было ограничено
согласно инструкциям методик.
.3 Описательные характеристики методик
.3.1 Тест: «Проверка личных качеств на созависимость» Уайнхолд Б.,
Уайнхолд Д.
Тест «Проверка личных качеств», разработанный Берри Уайнхолдом, Дженей
Уайнхолдом может помочь определить степень созависимых моделей поведения в
жизни.
Испытуемым предлагается 20 утверждений, которые нужно оценить по шкале от
1до 4 баллов, где:
балл - «никогда»;
балла - «иногда»;
балла - «часто»;
балла - «почти всегда».
Испытуемым следует отвечать, не думая слишком долго над каждым
утверждением. Временные рамки не обозначены.
Обработка результатов производится с помощью ключа:
-29 - очень мало созависимых моделей поведения.
-39 - средняя степень созависимых моделей
-59 - высокая степень созависимых моделей
-80 - очень высокая степень созависимых моделей.
2.3.2 Методика "Краткий отборочный тест" определения уровня
интеллекта (В.Н. Бузин, Э.Ф. Вандерлик)
Эта методика предназначена для измерения интеллектуальных способностей.
Высокий показатель по данному тесту говорит о возможной успешности в любой
профессии творческого класса.
Инструкция по заполнению методики В.Н. Бузина: Тест, который вам будет
предложен сейчас, содержит 50 вопросов. Ответьте на столько вопросов, на
сколько сможете, не тратьте много времени на один вопрос. Все вопросы задавайте
сейчас. Во время выполнения теста на ваши вопросы отвечать не будут. После
команды переверните страницу и начинайте работать. Через 15 минут, по команде,
сразу же прекратите выполнение заданий, переверните страницу и отложите ручку.
Обработка результатов и интерпретация.
Таблица 1. Правильные ответы к тесту
|
1) 3
|
11) 3
|
21) 3, 5
|
31) 1600
|
41) 3
|
|
2) 3
|
12) 270
|
22) 31
|
32) 1, 2, 4
|
42) 14
|
|
3) 2
|
13) 4
|
23) 2
|
33) 18
|
43) 1
|
|
4) 1
|
14) 3
|
24) 1
|
34) 3
|
44) 800
|
|
5) 3
|
15) 5
|
25) 1500
|
35) 1
|
45) 1/10
|
|
6) 2
|
16) 4
|
26) 1
|
36) 1
|
46) 280
|
|
7) 4
|
17) 4
|
27) 1
|
37) 480
|
47) 4, 5
|
|
8) 1
|
18) 4
|
28) 1
|
38) 1
|
48) 1
|
|
9) 5
|
19) 3
|
29) 2, 13
|
39) 20
|
49) 3
|
|
10) 3
|
20) 3
|
30) 3, 5
|
40) 1600
|
50) 3
|
В таблице даны правильные ответы на все задания. За каждое совпадение
ответа испытуемого с правильным ответом начисляйте один балл. Подсчитайте сумму
правильных ответов. Чем выше вы получили оценку по этому тесту, тем выше на
сегодняшний день уровень интеллектуального развития, тем лучше ваши способности
к дальнейшему обучению и познавательной деятельности.
Если полученная оценка составляет 24 балла и более, то уровень
интеллектуальных способностей испытуемого позволяет хоть сейчас приступить к
освоению широкого круга профессий. Кроме того, уровень интеллектуального
развития достаточен для того, чтобы испытуемый мог рассчитывать на довольно
высокую успешность выполнения деятельности в любой профессии творческого
класса.
Менее 16 баллов низкая оценка. Низкий результат может быть недостаточно
надежным вследствие возможных ошибок в соблюдении условий тестирования и
понимании инструкции. Поэтому невысокий результат тестирования по данному тесту
ни в коей мере не может быть признаком психологической профессиональной
непригодности к какой бы то ни было специальности. Только тестирование с
помощью других методов, может дать и достоверную информацию о психологических
противопоказаниях к тем или иным профессиям. Или недостаточно высокая оценка по
данному тесту говорит о том, что испытуемый будет испытывать определенные
затруднения в процессе профессионального обучения и дальнейшей практической
деятельности в сфере профессий творческого класса.
.3.3 Шкала депрессии А.Т. Бека
Шкала депрессии Бека (Beck Depression Inventory) предложена А. Т. Беком в
1961 г. и разработана на основе клинических наблюдений авторов, позволивших
выявить ограниченный набор наиболее релевантных и значимых симптомов депрессии
и наиболее часто предъявляемых пациентами жалоб. После соотнесения этого списка
параметров с клиническими описаниями депрессии, содержащимися в соответствующей
литературе, был разработан опросник, включающий в себя 21 категорию симптомов и
жалоб. Каждая категория состоит из 4-5 утверждений, соответствующих специфическим
проявлениям/симптомам депрессии. Эти утверждения ранжированы по мере увеличения
удельного вклада симптома в общую степень тяжести депрессии.
Показатель по каждой категории рассчитывается следующим образом: каждый
пункт шкалы оценивается от 0 до 3 в соответствии с нарастанием тяжести
симптома. Суммарный балл составляет от 0 до 62 и снижается в соответствии с
улучшением состояния.
Результаты теста интерпретируются следующим образом:
-9 - отсутствие депрессивных симптомов
-15- легкая депрессия (субдепрессия)
-19 - умеренная депрессия
-29 - выраженная депрессия (средней тяжести)
-63 - тяжелая депрессия
Также в методике выделяются две субшкалы:
· когнитивно-аффективная субшкала (C-A)
· субшкала соматических проявлений депрессии (S-P)
2.3.4 Шкала тревоги Ч. Д. Спилбергера
Данный тест является информативным способом самооценки уровня тревожности
в данный момент (реактивная или ситуативная тревожность как состояние) и
личностной тревожности (как устойчивая характеристика человека). Разработан Ч.
Д. Спилбергером и адаптирован Ю.Л.Ханиным.
Реактивная тревожность характеризуется напряжением, беспокойством,
нервозностью. Очень высокая реактивная тревожность вызывает нарушения внимания,
иногда тонкой координации. Личностная тревожность характеризует устойчивую
склонность воспринимать большой круг ситуаций как угрожающие, реагировать на
такие ситуации состоянием тревоги. Очень высокая личностная тревожность прямо
коррелирует с наличием невротического конфликта, с эмоциональными и
невротическими срывами и психосоматическими заболеваниями.
Инструкция: На каждое из высказываний необходимо дать один из четырех
вариантов ответа:
балла - почти никогда;
балла - иногда;
балла - часто;
балл - почти всегда.
Ситуативная (или реактивная) тревожность измеряется набором из 20
суждений (10 из них характеризуют наличие эмоций напряженности, беспокойства,
озабоченности, а 10 - отсутствие тревожности).
Оценка состояния тревожности производится следующим образом: к сумме
баллов по вопросам № 3, 4, 6, 7, 9, 12, 13, 14, 17, 18 прибавляется цифра 50, а
затем из полученного числа вычитается сумма баллов по вопросам № 1, 2, 5, 8,
10, 11, 15, 16, 19, 20.
Таблица 2. Ключ
|
СТ
|
Ответы
|
ЛТ
|
Ответы
|
|
№№
|
Никогда
|
Почти всегда
|
Почти никогда
|
Часто
|
№№
|
Никогда
|
Почти всегда
|
Почти никогда
|
Часто
|
|
СТ
|
ЛТ
|
|
1
|
4
|
1
|
3
|
2
|
21
|
4
|
3
|
2
|
1
|
|
2
|
4
|
1
|
3
|
2
|
22
|
1
|
2
|
3
|
4
|
|
3
|
1
|
4
|
2
|
3
|
23
|
1
|
2
|
3
|
4
|
|
4
|
1
|
4
|
2
|
3
|
24
|
1
|
2
|
3
|
4
|
|
5
|
4
|
1
|
3
|
2
|
25
|
1
|
2
|
3
|
4
|
|
6
|
1
|
4
|
2
|
3
|
26
|
4
|
3
|
2
|
1
|
|
7
|
1
|
4
|
2
|
3
|
27
|
4
|
3
|
2
|
1
|
|
8
|
4
|
1
|
3
|
2
|
28
|
. 1
|
2
|
3
|
4
|
|
9
|
1
|
4
|
2
|
3
|
29
|
1
|
2
|
3
|
4
|
|
10
|
4
|
1
|
3
|
2
|
30
|
4
|
3
|
2
|
1
|
|
11
|
4
|
1
|
3
|
2
|
31
|
1
|
2
|
3
|
4
|
|
12
|
1
|
4
|
2
|
3
|
32
|
1
|
2
|
3
|
4
|
|
13
|
1
|
4
|
2
|
3
|
33
|
1
|
2
|
3
|
4
|
|
14
|
1
|
4
|
2
|
3
|
34
|
1
|
2
|
3
|
4
|
|
15
|
4
|
1
|
3
|
2
|
35
|
1
|
2
|
3
|
4
|
|
16
|
4
|
1
|
3
|
36
|
4
|
3
|
2
|
1
|
|
17
|
1
|
4
|
2
|
3
|
37
|
1
|
2
|
3
|
4
|
|
18
|
1
|
4
|
2
|
3
|
38
|
1
|
2
|
3
|
4
|
|
19
|
4
|
1
|
3
|
2
|
39
|
4
|
3
|
2
|
1
|
|
20
|
4
|
1
|
3
|
2
|
40
|
1
|
2
|
3
|
4
|
При анализе результатов самооценки надо иметь в виду, что общий итоговый
показатель по каждой из подшкал может находиться в диапазоне от 20 до 80
баллов. При этом чем выше итоговый показатель, тем выше уровень тревожности
(ситуативной или личностной).
При интерпретации показателей можно использовать следующие оценки тревожности:
итоговый показатель меньше 30 баллов указывает на наличие низкого уровня
состояния тревожности, 30 - 50 баллов - среднего, от 51 до 70 баллов -
высокого, а свыше 70 баллов - сверхвысокого уровня тревожности.
.3.5 Тест «
Социальный интеллект» Дж. Гилфорда
Методика включает четыре субтеста, из них три составлены на невербальном
стимульном материале и один - на вербальном. Субтесты диагностируют четыре
способности в структуре социального интеллекта: познание классов, систем,
преобразований и результатов поведения. Два субтеста имеют в своей факторной
структуре также второстепенные веса, касающиеся способности понимать элементы и
отношения поведения. Методика рассчитана на весь возрастной диапазон, начиная с
9 лет.
Стимульный материал представляет собой набор из четырех тестовых
тетрадей. Каждый субтест содержит от 12 до 15 заданий. Время проведения
субтестов ограничено.
Краткое описание субтестов:
Субтест № 1. «Истории с завершением». В субтесте используются сцены с персонажем
комиксов Барни и его близкими (женой, сыном, друзьями). Каждая история
основывается на первой картинке, изображающей действия персонажей в
определенной ситуации. Испытуемый должен найти среди трех других картинок ту,
которая показывает, что должно произойти после ситуации, изображенной на первой
картинке, учитывая чувства и намерения действующих лиц. Субтест измеряет фактор
познания результатов поведения, то есть способность предвидеть последствия
поведения персонажей в определенной ситуации, предсказать то, что произойдет в
дальнейшем.
Субтест № 2. «Группы экспрессии». Стимульный материал субтеста составляют
картинки, изображающие невербальную экспрессию: мимику, позы, жесты. Три
картинки, расположенные слева, всегда выражают одинаковые чувства, мысли,
состояния человека. Испытуемый должен среди четырех картинок, расположенных
справа, найти ту, которая выражает такие же мысли, чувства, состояния человека,
что и картинки слева. Субтест измеряет фактор познания классов поведения, а
именно способность к логическому обобщению, выделению общих существенных
признаков в различных невербальных реакциях человека.
Субтест № 3. «Вербальная экспрессия». В каждом задании субтеста
предъявляется фраза, которую один человек говорит другому в определенной
ситуации. Испытуемый должен среди других трех заданных ситуаций общения найти
ту, в которой данная фраза приобретет другое значение, будет произнесена с
другим намерением. Субтест измеряет фактор познания преобразований поведения,
то есть способность понимать изменение значения сходных вербальных реакций
человека в зависимости от контекста вызвавшей их ситуации.
Субтест № 4. «Истории с дополнением». В данном субтесте появляются
персонажи комикса «Фердинанд», включенные в семейные, деловые и дружеские
контакты. Каждая история состоит из четырех картинок, причем одна из них всегда
пропущена. Испытуемый должен понять логику развития, сюжет истории и среди
четырех других картинок, предлагаемых для ответа, найти пропущенную. Субтест
измеряет фактор познания систем поведения, а именно способность понимать логику
развития ситуаций взаимодействия и значение поведения людей в этих ситуациях.
Время, отведенное на каждый субтест, ограничено и составляет:
6 минут (1 субтест - "Истории с завершением");
минут (2 субтест - "Группы экспрессии");
минут (3 субтест - "Вербальная экспрессия");
минут (4 субтест - "Истории с дополнениями").
Общее время тестирования, включая инструкцию, составляет 30-35 минут.
Для обработки результатов используются бланк ответов, ключ к обработке и
нормативные таблицы для определения стандартных значений.
Бланки ответов обрабатываются с помощью специальных ключей. Результаты
подсчитываются по каждому субтесту в отдельности и по всему тесту в целом.
Результаты по отдельным субтестам отражают уровень развития одной (или
нескольких) способностей фактора познания поведения. Результат по тесту в целом
называется композитной оценкой и отражает общий уровень развития социального
интеллекта.
Суммы "сырых баллов" за каждый субтест, подсчитанные с помощью
"ключей", записываются в первую строку итоговой таблицы на бланке
ответов. За каждый правильный ответ испытуемому начисляется один балл.
"Сырые баллы" переводятся в стандартные с помощью нормативных таблиц
и записываются во вторую строку итоговой таблицы.
Таблица 3. Ключ по субтестам
|
№
|
Субтест 1
|
Субтест 2
|
Субтест 3
|
Субтест 4
|
|
1
|
2
|
1
|
3
|
4
|
|
2
|
2
|
4
|
3
|
3
|
|
3
|
2
|
3
|
3
|
3
|
|
4
|
3
|
3
|
1
|
2
|
|
5
|
1
|
2
|
1
|
1
|
|
6
|
3
|
1
|
2
|
1
|
|
7
|
3
|
2
|
2
|
4
|
|
8
|
3
|
2
|
1
|
1
|
|
9
|
3
|
1
|
2
|
1
|
|
10
|
3
|
4
|
3
|
2
|
|
11
|
3
|
1
|
1
|
1
|
|
12
|
1
|
1
|
2
|
2
|
|
13
|
1
|
2
|
|
2
|
|
14
|
2
|
4
|
|
1
|
|
15
|
|
4
|
|
|
Композитная оценка представляет собой сумму "сырых баллов" по
каждому субтесту. Полученная сумма тоже переводится в стандартное значение.
При совпадении ответа с ключом испытуемый получает 1 балл по
соответствующей шкале. При несовпадении - 0 баллов.
Таблица 4. Нормативные таблицы для определения стандартных значений
|
Стандартные значения
|
Субтесты
|
Композитная оценка
|
|
1
|
2
|
3
|
4
|
|
|
1
|
0 - 2
|
0 - 2
|
0 - 2
|
0 - 1
|
0 - 12
|
|
2
|
3 - 5
|
3 - 5
|
3 - 5
|
2 - 4
|
13 - 26
|
|
3
|
6 - 9
|
6 - 9
|
6 - 9
|
5 - 8
|
27 - 37
|
|
4
|
10 - 12
|
10 - 12
|
10 - 11
|
9 - 11
|
38 - 46
|
|
5
|
13 - 14
|
13 - 15
|
12
|
12 - 14
|
47 - 55
|
После завершения процедуры обработки результатов получаются стандартные
баллы по каждому субтесту, отражающие уровень развития соответствующих
способностей к познанию поведения. При этом общий смысл стандартных баллов
можно определить следующим образом:
балл - низкие способности к познанию поведения;
2 балла - способности к познанию поведения ниже среднего (среднеслабые);
балла - средние способности к познанию поведения (средневыборочная
норма);
балла - способности к познанию поведения выше среднего (среднесильные);
баллов - высокие способности к познанию поведения.
Субтест № 1 -
"Истории с завершением".
Лица с высокими оценками по субтесту умеют предвидеть последствия
поведения. Они способны предвосхищать дальнейшие поступки людей на основе
анализа реальных ситуаций общения (семейного, делового, дружеского),
предсказывать события, основываясь на понимании чувств, мыслей, намерений
участников коммуникации. Их прогнозы могут оказаться ошибочными, если они будут
иметь дело с людьми, ведущими самым неожиданным, нетипичным образом. Такие люди
умеют четко выстраивать стратегию собственного поведения для достижения
поставленной цели. Успешное выполнение субтеста предполагает умение
ориентироваться в невербальных реакциях участников взаимодействия и знание
нормо-ролевых моделей и правил, регулирующих поведение людей.
Лица с низкими оценками по субтесту плохо понимают связь между поведением
и его последствиями. Такие люди могут часто совершать ошибки (в том числе и
противоправные действия), попадать в конфликтные, а возможно, и в опасные
ситуации потому, что неверно представляют себе результаты своих действий или
поступков других. Они плохо ориентируются в общепринятых нормах и правилах
поведения.
Успешность выполнения данного субтеста положительно коррелируют со
следующими психологическими особенностями:
· способностью полно и точно описывать личность незнакомого
человека по фотографии;
· способностью к расшифровке невербальных сообщений;
· дифференцированностью Я-концепции, насыщенностью Я-образа
пониманием интеллектуальных, волевых характеристик, а также описанием
особенностей духовной организации личности.
Субтест № 2 -
"Группы экспрессии".
Лица с высокими оценками по субтесту способны правильно оценивать
состояния, чувства, намерения людей по их невербальным проявлениям, мимике,
позам, жестам. Такие люди, скорее всего, придают большое значение невербальному
общению, обращают много внимания на невербальные реакции участников
коммуникации. Чувствительность к невербальной экспрессии существенно усиливает
способность понимать других. Способность читать невербальные сигналы другого
человека, осознавать их и сравнивать с вербальными, по мнению А. Пиза, лежит в
основе "шестого чувства" - интуиции. В психологии широко известны
исследования, доказывающие большое значение невербальных средств общения. Так,
Р. Бедсвилл обнаружил, что в беседе словесное общение занимает менее 35%, а
более 65% информации передается невербально.
Лица с низкими оценками по субтесту плохо владеют языком телодвижений,
взглядов и жестов, который раньше осваивается в онтогенезе и вызывает больше
доверия, чем вербальный язык). В общении такие люди в большей степени
ориентируются на вербальное содержание сообщений. И они могут ошибаться в
понимании смысла слов собеседника потому, что не учитывают (или неправильно
учитывают) сопровождающие их невербальные реакции.
Успешность выполнения субтеста положительно коррелирует:
· с точностью, полнотой, нестереотипностью и пластичностью при
описании личности незнакомого человека по фотографии;
· с чувствительностью к эмоциональным состояниям других в
ситуациях делового общения;
· с разнообразием экспрессивного репертуара в общении;
· с открытостью и проявлением дружелюбия в общении;
· с эмоциональной стабильностью;
· с сенситивностью к обратной связи в общении, восприимчивостью
к критике, совестливостью;
· с высокой самооценкой и степенью принятия себя;
· с насыщенностью Я-образа описанием волевых характеристик
личности, активности, стеничности;
· с глубиной рефлексии;
· с точностью понимания того, каким образом собственное
эмоциональное состояние человека воспринимается его партнерами по общению, что
является показателем конгруэнтности коммуникативного поведения, предпосылкой
успешной самопрезентации;
· с эмпатией, с невербальной чувствительностью.
Субтест № 3 -
"Вербальная экспрессия".
Лица с высокими оценками по субтесту обладают высокой чувствительностью к
характеру и оттенкам человеческих взаимоотношений, что помогает им быстро и
правильно понимать то, что люди говорят друг другу (речевую экспрессию) в
контексте определенной ситуации, конкретных взаимоотношений. Такие люди
способны находить соответствующий тон общения с разными собеседниками в разных
ситуациях и имеют большой репертуар ролевого поведения (то есть они проявляют
ролевую пластичность).
Лица с низкими оценками по субтесту плохо распознают различные смыслы,
которые могут принимать одни и те же вербальные сообщения в зависимости от
характера взаимоотношений людей и контекста ситуации общения. Такие люди часто
"говорят невпопад" и ошибаются в интерпретации слов собеседника.
Успешность выполнения субтеста также положительно коррелирует с точностью
описания личности незнакомого человека по фотографии, насыщенностью Я-образа
описанием духовных ценностей и шкалой эмпатии.
Субтест № 4 -
"Истории с дополнением"
Лица с высокими оценками по субтесту способны распознавать структуру
межличностных ситуаций в динамике. Они умеют анализировать сложные ситуации
взаимодействия людей, понимают логику их развития, чувствуют изменение смысла
ситуации при включении в коммуникацию различных участников. Путем логических
умозаключений они могут достраивать неизвестные, недостающие звенья в цепи этих
взаимодействий, предсказывать, как человек поведет себя в дальнейшем,
отыскивать причины определенного поведения. Например, субтест позволяет
прогнозировать успешность построения следователем целостной картины
преступления на основе неполных данных. Успешное выполнение субтеста
предполагает способность адекватно отражать цели, намерения, потребности
участников коммуникации, предсказывать последствия их поведения. Кроме этого,
требуется умение ориентироваться в невербальных реакциях человека, а также
нормах и правилах, регулирующих поведение в обществе.
Лица с низкими оценками по субтесту испытывают трудности в анализе
ситуаций межличностного взаимодействия и, как следствие, плохо адаптируются к
разного рода взаимоотношениям между людьми (семейным, деловым, дружеским и
другим).
Общий уровень развития социального интеллекта (интегрального фактора
познания поведения) определяется на основе композитной оценки. Смысл
композитной оценки, выраженной в стандартных баллах, можно определить следующим
образом:
балл - низкий социальный интеллект;
балла - социальный интеллект ниже среднего (среднеслабый);
балла - средний социальный интеллект (средневыборочная норма);
балла - социальный интеллект выше среднего (среднесильный);
баллов - высокий социальный интеллект.
3. Результаты изучения взаимосвязи созависимых моделей поведения и
личностных особенностей социальных работников
.1 Качественный и количественный анализ
Качественный и количественный анализ значений по тесту «Проверка личных
качеств на созависимость» Уайнхолда Б., Уайнхолда Д. дал следующие результаты.
Рис. 3. Среднее значение по шкале измерения степени созависимых моделей
поведения
Согласно полученным данным, средний уровень созависимых моделей
поведения, присутствующих у выборки равен 39, что соответствует среднему
показателю степени созависимых моделей. Социальным работникам могут быть
присуще следующие признаки созависимости: нахождение смысла своей жизни в
отношениях с клиентом, сосредоточение своего внимания на деятельности клиента,
неимение собственного мнения, убеждение в том, что не способны существовать и
действовать независимо от клиента; трудности в определении своих
психологических границ. У социальных работников наблюдается склонность
воспринимать чужие проблемы как свои собственные, стремление производить
хорошее впечатление на других. Тем самым созависимые социальные работники
пытаются управлять восприятием других людей. Также присуще недоверие своим
собственным взглядам, восприятию, чувствам или убеждениям, стремление стать
необходимыми другим людям, контролировать все, бывают легковерными. Социальные
работники с выраженной степенью созависимых моделей поведения недостаточно
разбираются в характере человека и видят только то, что хотят видеть, а также
теряют контакт со своей духовной сущностью. Они часто являются робкими,
ригидными и здравомыслящими людьми. В жизни созависимых людей преобладает
“черно-белое” мышление.
Качественный и количественный анализ значений по методике "Краткий
отборочный тест" В.Н. Бузина, Э.Ф. Вандерлика дал следующие результаты.
Рис. 4. Среднее значение по шкале определения общего уровня интеллекта
В.Н. Бузина, Э.Ф. Вандерлика
Согласно полученным данным, среднее значение уровня общего интеллекта у
данной выборки составляет 20,8. Этот результат говорит о том, что социальные
работники испытывают определенные затруднения в процессе профессионального
обучения и практической деятельности в сфере своей профессий. Можно говорить о
ригидности мышления, не способности изменять способ работы, ход своих суждений,
переключаться с одного вида деятельности на другой. Их интеллектуальные
процессы малоподвижны, темп работы замедлен. Также возможны трудности со
способностью в сжатые сроки работать с разнообразным материалом, выделять
основные содержания, сопоставлять цифры, знаки.
Качественный и количественный анализ значений по тесту «Определения
степени депрессивных симптомов» А. Т. Бека дал следующие результаты.
Рис. 5. Средние значения по шкалам уровня депрессивных симптомов А.Т.
Бека
Согласно полученным данным, среднее значение общего уровня депрессивных
симптомов у данной выборки равен 10,05, что указывает на легкую депрессию
(субдепрессию). Социальные работники могут испытывать некоторую подавленность,
иметь плохое настроение, слабость, «ощущение потери энергии», ощущение
бесполезности, снижается способность к концентрации, наблюдаются симптомы
нарушения работы внутренних органов. Кроме того могут наблюдаться расстройства
сна (бессонница или сонливость), снижение аппетита, похудание, повышенная
потливость и др.
Показатель среднего значения уровня соматических проявлений депрессии
равен 3,7, что говорит о незначительной выраженности проявления соматических
депрессивных симптомов. У данной выборки могут выражаться следующие признаки:
снижение аппетита и похудание, нарушения в сексуальной сфере, неврологические и
мышечные нарушения, нарушения тонуса гладкой и скелетной мускулатуры
(неприятные, тянущие болезненные ощущения в области шеи и затылка). Так же
отмечаются головные боли, сдавливающие затылок, виски, лоб и отдающие в шею,
боли, напоминающие мигрень.
Среднее значение уровня когнитивно-аффективного компонента депрессии,
присутствующего у социальных работников равен 6,35, что указывает на наличие
легкого когнитивного нарушения. Это обусловлено перераспределением внимания,
пониженной самооценкой и медиаторными нарушениями, снижение интеллектуальных
способностей, отсутствие усилия при выполнении работы.
Качественный и количественный анализ значений по тесту «Шкала
тревожности» Ч.Д. Спилбергера дал следующие результаты.
Рис. 6. Средние значения по шкалам уровня тревожности Ч. Д. Спилбергера
Согласно полученным данным среднее значение уровня личностной тревожности
равен 42,75, что соответствует среднему значению уровня тревожности социальных
работников. Им присущи следующие признаки: боязнь неудачи, которая зачастую
доминирует над стремлением к достижению успеха, состоянием безотчетного страха,
неопределенное ощущение угрозы, готовность воспринять любое событие как
неблагоприятное и опасное, постоянное пребывание в настороженном и подавленном
настроении, затруднение во взаимодействии с окружающим миром, который
воспринимается как пугающий и враждебный.
Показатель среднего значения уровня ситуативной тревожности равен
,55, что соответствует среднему значению (или норме). У социальных
работников возможны мрачные предчувствия, субъективные ощущения напряженности,
нервозности, беспокойства, активизация вегетативной нервной системы.
Качественный и количественный анализ значений по методике выявления
уровня социального интеллекта Д. Гилфорда дал следующие результаты.
Рис.7. Средние значения по шкале уровня социального интеллекта Д.
Гилфорда
Согласно полученным данным, среднее значение уровня социального
интеллекта равно 3,025, что соответствует среднему значению уровня социального
интеллекта или средневыборочной норме. Социальным работникам со среднем
показателем социального интеллекта присуще способность извлекать максимум
информации о поведении людей, понимать язык невербального общения, высказывать
быстрые и точные суждения о людях, успешно прогнозировать их реакции в заданных
обстоятельствах, проявлять дальновидность в отношениях с другими, что
способствует их успешной социальной адаптации. Также они бывают успешными
коммуникаторами, которым свойственны контактность, открытость, тактичность,
доброжелательность и сердечность, тенденция к психологической близости в общении.
Не безразличны к социальным проблемам.
Среднее значение по шкале субтест 1 (фактор познания результатов
поведения) равно 7,775, что соответствует средним способностям к познанию
поведения. Социальным работникам могут быть присуще следующие признаки: способность
предвосхищать дальнейшие поступки людей на основе анализа реальных ситуаций
общения (семейного, делового, дружеского), предсказывать события, основываясь
на понимании чувств, мыслей, намерений участников коммуникации. Их прогнозы
могут оказаться ошибочными, если они будут иметь дело с людьми, ведущими самым
неожиданным, нетипичным образом. Но и возможны конфликтные ситуации из-за
недостаточно хорошего ориентира в общепринятых нормах и правилах поведения.
Среднее значение по шкале субтест 2 (фактор познания классов поведения)
равен 8, что означает, что социальным работникам присуще способности оценивать
состояния, чувства, намерения людей по их невербальным проявлениям, мимике,
позам, жестам, но и вероятность ошибок в понимании смысла слов собеседника, так
как не всегда правильно учитывают сопровождающие их невербальные реакции.
Среднее значение по шкале субтест 3 (фактор познания преобразований
поведения) равно 7,825, что соответствует среднему показателю уровня
социального интеллекта. У данной выборки могут проявляться такие признаки как:
высокая чувствительность к характеру и оттенкам человеческих взаимоотношений,
способность находить соответствующий тон общения с разными собеседниками в
разных ситуациях, проявление ролевую пластичности.
Среднее значение по шкале субтест 4 (фактор познания систем поведения)
равно 6,325, что соответствует среднему показателю уровня социального
интеллекта. Социальному работнику могут быть присуще следующие признаки:
способность распознавать структуру межличностных ситуаций в динамике, умение
анализировать сложные ситуации взаимодействия людей, понимание логики их
развития, чувствительность к изменению смысла ситуации при включении в
коммуникацию различных участников. Путем логических умозаключений они способны
достраивать неизвестные, недостающие звенья в цепи этих взаимодействий,
предсказывать, как человек поведет себя в дальнейшем, отыскивать причины
определенного поведения.
.2 Корреляционный анализ
Корреляционный анализ значений по шкалам общего уровня интеллекта и степени
созависимых моделей дал следующие результаты.
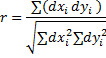
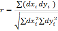
В результате подсчёта коэффициента корреляции r-Пирсона по шкалам выявления созависимости и уровень
интеллекта получили показатель - 0,524, это означает, что корреляция обратная,
то есть чем выше уровень интеллекта, тем меньше степень созависимых моделей
поведения и наоборот. Данная взаимосвязь статистически достоверна. Таким
образом, можно говорить о подтверждении гипотезы.
Рис. 8. Средние значения по шкалам выявления степени созависимых моделей
поведения и уровня интеллекта
Рис.9. Определение значимости коэффициента корреляции между шкалами
«степень созависимых моделей поведения» и «уровень интеллекта»
Корреляционный анализ значений по шкалам измерения уровня депрессивных
симптомов и степени созависимых моделей дал следующие результаты.
В результате подсчёта коэффициента корреляции r-Пирсона по шкалам выявления созависимости и уровня
депрессивных симптомов получили показатель 0,587, это указывает на прямую
корреляцию, то есть чем выше уровень депрессии, тем больше степень созависимых
моделей поведения и наоборот. Данная взаимосвязь статистически достоверна. Это
свидетельствует о подтверждении гипотезы.
Рис. 10. Средние значения по шкалам выявления степени созависимых моделей
поведения и уровня депрессивных симптомов
Рис. 11. Определение значимости коэффициента корреляции между шкалами
«степень созависимых моделей поведения» и «уровень депрессивных симптомов»
Корреляционный анализ значений по шкалам когнитивно-аффективного
компонента депрессии и степени созависимых моделей поведения дал следующие
результаты.
Рис.12. Средние значения по шкалам выявления степени созависимых моделей
и уровня когнитивно-аффективного компонента депрессии
Рис.13. Определение значимости коэффициента корреляции между шкалами
«степень созависимых моделей поведения» и «уровень когнитивно-аффективного
компонента депрессии»
В результате подсчёта коэффициента корреляции r-Пирсона по шкалам выявления созависимости и уровня
когнитивно-аффективного компонента депрессии получили показатель 0,464, что
указывает на прямую корреляцию, то есть чем выше уровень
когнитивно-аффективного компонента депрессии, тем больше степень созависимых моделей
поведения и наоборот. Данная взаимосвязь статистически достоверна. Это
свидетельствует о подтверждении гипотезы.
Корреляционный анализ значений по шкалам соматических проявлений
депрессии и степени созависимых моделей поведения дал следующие результаты.
Рис.14. Средние значения по шкалам выявления степени созависимых моделей
и уровня соматических проявлений депрессии
Рис.15. Определение значимости коэффициента корреляции между шкалами
«степень созависимых моделей поведения» и «уровень соматических проявлений
депрессии»
В результате подсчёта коэффициента корреляции r-Пирсона по шкалам выявления созависимости и уровня
соматических проявлений депрессии получили показатель 0,514, что указывает на
прямую корреляцию, то есть чем выше уровень соматических проявлений депрессии,
тем больше степень созависимых моделей поведения. Данная взаимосвязь
статистически достоверна. Это свидетельствует о подтверждении гипотезы.
Корреляционный анализ значений по шкалам выявления личностной тревожности
и степени созависимых моделей поведения дал следующие результаты.
Рис.16. Средние значения по шкалам выявления степени созависимых моделей
поведения и уровня личностной тревожности
Рис.17. Определение значимости коэффициента корреляции между шкалами
«степень созависимых моделей поведения» и «уровень личностной тревожности»
В результате подсчёта коэффициента корреляции r-Пирсона по шкалам выявления созависимости и уровня
личностной тревожности получили показатель 0,618, что указывает на прямую
корреляцию, то есть чем выше уровень личностной тревожности, тем выше степень
созависимых моделей поведения. Данная взаимосвязь статистически достоверна. Это
свидетельствует о подтверждении гипотезы.
Корреляционный анализ значений по шкалам выявления уровня ситуативной
тревожности и степени созависимых моделей поведения дал следующие результаты.
Рис.18. Средние значения по шкалам выявления степени созависимых моделей
поведения и уровня ситуативной тревожности
Рис.19. Определение значимости коэффициента корреляции между шкалами
«степень созависимых моделей поведения» и «уровень ситуативной тревожности»
В результате подсчёта коэффициента корреляции r-Пирсона по шкалам выявления созависимости и уровня
ситуативной тревожности получили показатель 0,691, что указывает на прямую
корреляцию, то есть чем выше уровень ситуативной тревожности, тем выше степень
созависимых моделей поведения. Данная взаимосвязь статистически достоверна. Это
свидетельствует о подтверждении гипотезы.
Корреляционный анализ значений по шкалам выявления уровня социального
интеллекта и степени созависимых моделей поведения дал следующие результаты.
Рис. 20. Средние значения по шкалам выявления степени созависимых моделей
поведения и уровня социального интеллекта
Рис. 21. Определение значимости коэффициента корреляции между шкалами
«степень созависимых моделей поведения» и «уровень социального интеллекта»
В результате подсчёта коэффициента корреляции r-Пирсона по шкалам выявления созависимости и уровня
социального интеллекта получили показатель - 0,193 , что указывает на обратную
корреляцию, то есть чем выше уровень социальный интеллект, тем ниже степень
созависимых моделей поведения. Но данная взаимосвязь попадает в зону
незначимости. Поэтому мы не можем сказать о подтверждении гипотезы.
Корреляционный анализ значений по шкалам «фактор познания результатов
поведения» (субтест 1) и степени созависимых моделей поведения дал следующие
результаты.
Рис.22. Средние значения по шкалам выявления степени созависимых моделей
поведения и фактора познания результатов поведения
Рис.23. Определение значимости коэффициента корреляции между шкалами
«степень созависимых моделей поведения» и «фактор познания результатов
поведения»
В результате подсчёта коэффициента корреляции r-Пирсона по шкалам выявления созависимости и фактора познания
результатов поведения получили показатель - 0,195 , что указывает на обратную
корреляцию, то есть чем выше, фактор познания результатов поведения, тем ниже
степень созависимых моделей поведения. Но данная взаимосвязь попадает в зону
незначимости. Поэтому мы не можем сказать о подтверждении гипотезы.
Корреляционный анализ значений по шкалам «фактор познания классов
поведения» (субтест 2) и степень созависимых моделей поведения дал следующие
результаты.
Рис. 24. Средние значения по шкалам выявления степени созависимых моделей
поведения и фактора познания классов поведения
Рис.25. Определение значимости коэффициента корреляции между шкалами
«степень созависимых моделей поведения» и «фактор познания классов поведения»
В результате подсчёта коэффициента корреляции r-Пирсона по шкалам выявления созависимости и фактора познания
классов поведения получили показатель - 0,019 , что указывает на обратную
корреляцию, то есть чем выше, фактор познания классов поведения, тем ниже
степень созависимых моделей поведения. Но данная взаимосвязь попадает в зону
незначимости. Поэтому мы не можем сказать о подтверждении гипотезы.
Корреляционный анализ значений по шкалам «фактор познания преобразований
поведения» (субтест 3) и степени созависимых моделей поведения дал следующие
результаты.
Рис.26. Средние значения по шкалам выявления степени созависимых моделей
поведения и фактора познания преобразования поведения
Рис.27. Определение значимости коэффициента корреляции между шкалами
«степень созависимых моделей поведения» и «фактор познания преобразования
поведения»
В результате подсчёта коэффициента корреляции r-Пирсона по шкалам выявления созависимости и фактора познания
преобразований поведения получили показатель - 0,126 , что указывает на
обратную корреляцию, то есть чем выше, фактор познания преобразований
поведения, тем ниже степень созависимых моделей поведения. Но данная
взаимосвязь попадает в зону незначимости. Поэтому мы не можем сказать о
подтверждении гипотезы.
Корреляционный анализ значений по шкалам «фактор познания систем
поведения» (субтест 4) и степени созависимых моделей поведения дал следующие
результаты.
Рис. 28 Средние значения по шкалам выявления степени созависимых моделей
поведения и фактора познания систем поведения
Рис. 29. Определение значимости коэффициента корреляции между шкалами
«степень созависимых моделей поведения» и «фактор познания систем поведения»
В результате подсчёта коэффициента корреляции r-Пирсона по шкалам выявления созависимости и фактора познания
систем поведения получили показатель - 0,1 , что указывает на обратную
корреляцию, то есть чем выше, фактор познания систем поведения, тем ниже
степень созависимых моделей
поведения. Но данная взаимосвязь попадает в зону незначимости. Поэтому мы
не можем сказать о подтверждении гипотезы.
Выводы
Полученные результаты качественного и количественного анализа позволяют
сделать следующие выводы относительно влияния личностных особенностей на
формирование созависимости у социальных работников.
У данной выборки была выявлена довольно высокая степень созависимых
моделей поведения. Кроме того, согласно полученным данным, среднее значение
уровня общего интеллекта у данной выборки ниже нормы. Этот результат говорит о
том, что социальные работники испытывают определенные затруднения в процессе
профессионального обучения и практической деятельности в сфере своей профессий.
По показателю среднего значения уровня депрессии характеризуется средней выраженностью.
По показателю среднего значения уровня тревожности у социальных работников
можно говорить о высокой ситуативной тревожности. В ходе данного исследования,
выявились довольно высокие показатели средних значений по шкале уровня
социального интеллекта.
Исходя из результатов корреляционного анализа, можно сделать заключение о
том, что взаимосвязь оказалась статистически значимой по показателям: уровень
интеллекта, уровень тревожности, степень депрессивных симптомов, поэтому данные
показатели могут существенно влиять на степень созависимых моделей поведения.
По показателю уровня социального интеллекта можно сказать о том, что данная
взаимосвязь статистически недостоверна. Таким образом, можно предположить, что
чем выше социальный интеллект, тем выше степень созависимых моделей поведения
социальных работников.
Заключение
В настоящем исследовании, направленном на изучении влияния личностных
особенностей на формирование созависимости у социальных работников, при помощи
анкетирования были выделены социальные работники с выраженной степенью
созависимых моделей поведения. Далее был проведён сравнительный анализ
выраженности отдельных личностных особенностей, проанализировано их влияние на
формирование созависимости у социальных работников. Итак, можно говорить о том,
что выдвинутые нами цели и задачи были успешно достигнуты и выполнены.
Следует отметить, что выдвинутая гипотеза: чем выше уровень интеллекта и
социального интеллекта, тем ниже степень созависимых моделей поведения; чем
выше уровень депрессии и тревожности, тем выше степень созависимых моделей
поведения и наоборот, подтвердилась частично. Корреляционный анализ показал
результаты, где по одним показателям, были выявлены статистически достоверные
взаимосвязи, а по другим статистически достоверных взаимосвязей выявлено не
было.
Итак, созависимость - одна из самых распространенных проблем, мешающих
полноценной жизни социальных работников. Она касается не только отдельных
личностей, но и общества в целом, которое создает условия, благоприятствующие созависимым
отношениям и их передаче из поколения в поколение. Созависимые социальные
работники вынуждены зависеть от других, чтобы доказать свою значимость. Их
главные цели: определить чего хотят другие люди и дать им то, чего они хотят.
Созависимые стараются манипулировать и контролировать ситуацию. Они стараются
сделать себя незаменимыми. Они нуждаются в том, чтобы в них нуждались.
В заключение следует сказать, что исследования в данном направлении
являются значимыми для психологов и психотерапевтов, так как они могут помочь в
поиске решения проблемы созависимости, в повышении эффективности работы в
социальной сфере, в сокращении случаев профессиональной деформации личности.
Список литературы
1) Баркер Р. Практика социальной работы / Сокр.пер.с англ.-М.:,
1994.
) Безносов С. П. Профессиональная деформация личности- СПб.:
Речь, 2004. - 272с.
) Бодалёв А.А. Личность и общение. - М., 1995.
) Бочарова В.Г. Педагогика социальной работы. - М.: Аргус,
1994. -207 с.
) Брыжахина Ж.Д. Феномен созависимости / Наука и
здравоохранение. - 2010. № 3. - С. 10-15.
) Гуслякова Л.Г. Социальная работа как научная теория,
деятельность и учебная дисциплина. - Барнаул, 1995.
) Емельянова Е.В. Кризисы в созависимых отношениях. - СПб.:
Речь, 2010.- с. 19.
) Зайнышев И.Г. Технология социальной работы: Учеб. пособие
для студ. Высш. учеб. заведений / - М.: Гуманит. изд. Центр ВЛАДОС, 2002-240 с.
9) Зеер Э. Ф. Психология профессий. - Екатеринбург, 1997.
10) Кудашова Луиза Алиевна. Формирование
морально-психологической готовности студентов вузов - будущих социальных
работников - к профессиональной деятельности: Саратов, 2002.
11) Левагина А. Ю. Педагогическая коррекция психических
состояний в профессиональной подготовке социальных работников: Ульяновск, 2001-
165 c
12) Лотова И.П. Психологические условия эффективности
профессиональной деятельности работников социальных служб. -М.: «Союз», 1999. -
127 с.
13) Маркова А. К. Психология профессионализма. -М., 1996.
) Миньковский Д.Е. Социальная защищенность работников
бюджетной сферы муниципального образования - М., 2000.
) Москаленко В.Д. Зависимость. Семейная болезнь. - М.: ПЕР
СЭ, 2008. - 352 с.
) Москаленко В. Д. Созависимость: характеристики и
практика преодоления. Лекции по наркологии. 2-е изд /. РАМН. - М.: Нолидж. -
2000. - С. 365-405
17) Никитин В.А. Социальная работа: проблемы теории и
подготовки специалистов. Учеб. пособие. - М.: Московский психолого-социальный
институт, 2002. - 236 с.
) Павленок П.Д. Основы социальной работы. /. -М: ИНФРА-М,
1999. - 368 с.
) Панов A.M., Холостова Е.И. Теория и практика социальной
работы: методические материалы.. - М.: Институт социальной работы, 1997- 113 с.
) Полехина.л. Психологические аспекты социальной работы.
Учебно-методическое пособие для преподавателей института социальных работников,
изд 2-ое. Днепропетровск, 2001 г.- 40 с.
) Проценко Е.Н. Созависимость как психологическая категория
,2007
) Спилбергер Ч.Д. Концептуальные и методологические проблемы
исследования тревоги //Стресс и тревога в спорте. - М.: Физкультура и спорт,
1977. - С. 12-24.
) Творогова Н.Д. Клиническая психология. Словарь. - М.:
ПЕРСЭ, 2007. - 416 с.
) Тюрина Н.А. Социально-психологические условия преодоления
профессиональной усталости социального работника, 2006.
) Уайнхолд Б., Уайнхолд Дж. Освобождение от созависимости / Перевод
с англ. А.Г. Чеславской - М.: Независимая фирма «Класс», 2002. - 224
) Шапиро Б. Ю. Предметно-профессиональная подготовка
социальных работников: задачи, содержание, организация. //Социальная работа -М,
1992.-Вып. 5.-С. 89-101.
) Шевеленкова Т.Д. О личностной характеристике социального
работника.//Социальная работа. - М., 1992. -Вып. 5. -С. 52-53.
) Шеляг Т.В.. Социальная работа с семьей.. М: ИСР, 1995.
) Шмелева Н.Б. Профессионально-личностное развитие
специалиста социальной работы. - Ульяновск: Изд-во СВНЦ, 1997. - 240 с.
31) Шмелева Н.Б. Социальная работа: личность и профессия
(аспект развития). - Ульяновск, 1999. - 200 с.
32) Шорохова О.А. Жизненные ловушки зависимости и
созависимости. - СПб.: Речь, 2002. - 136 с.
) Филиппова Г.П. Личностно-профессиональные
особенности социального работника/ Работник социальной службы.- 2000.-
№1.-стр.33-41.
) Фирсов М.В., Студенова Е.Г. Теория социальной
работы: Учебное пособие для студ. высш. учеб. заведений. - М.: Гуманитарный
изд. Центр ВЛАДОС, 2001. - 432 с.
) Холостова Е.И. Технологии социальной работы.:
Учебник под общ. ред. проф.. - М.: ИНФРА - М, 2001. - 400 с.
36) <#"653621.files/image031.gif">
18). Два рыболова поймали 36 рыб. Первый поймал в 8 раз больше, чем
второй. Сколько рыб поймал второй?
18. "Восходить" и "возродить" имеют:
19. 1 - сходное значение, 2 - противоположное, 3 - ни сходное, ни
противоположное.
. Расставьте предлагаемые ниже слова в таком порядке, чтобы
получилось утверждение. Если оно правильно, то ответ будет П, если неправильно
- Н.
Мхом обороты камень набирает заросший.
21. Две из приведенных ниже фраз имеют одинаковый смысл, найдите их:
22. 1. Держать нос по ветру.
. 2. Пустой мешок не стоит.
. 3. Трое докторов не лучше одного.
. 4. Не все то золото, что блестит.
. 5. У семи нянек дитя без глаза.
. Какое число должно стоять вместо знака «?»:
. 73 66 59 52 45 38 ?
. Длительность дня и ночи в сентябре почти такая же, как и в:
. 1 - июне, 2 - марте, 3 - мае, 4 - ноябре.
. Предположим, что первые два утверждения верны. Тогда
заключительное будет:
. 1 - верно, 2 - неверно, 3 - неопределенно.
Все передовые люди - члены партии.
Все передовые люди занимают крупные посты.
Некоторые члены партии занимают крупные посты.
25. Поезд проходит 75 см за 1/4 с. Если он будет ехать с той же
скоростью, то какое расстояние он пройдет за 5 с?
26. Если предположить, что два первых утверждения верны, то последнее:
. 1 - верно, 2 - неверно, 3 - неопределенно.
Боре столько же лет, сколько Маше.
Маша моложе Жени.
Боря моложе Жени.
27. Пять полукилограммовых пачек мясного фарша стоят 2 доллара.
Сколько килограмм фарша можно купить за 80 центов?
28. Расстилать и растянуть. Эти слова:
. 1 - схожи по смыслу, 2 - противоположны, 3 - ни схожи, ни
противоположны.
. Разделите эту геометрическую фигуру прямой линией на две части
так, чтобы, сложив их вместе, можно было получить квадрат:
30. Предположим, что первые два утверждения верны. Тогда последнее
будет:
31. 1 - верно, 2 - неверно, 3 - неопределенно.
Саша поздоровался с Машей.
Маша поздоровалась с Дашей.
Саша не поздоровался с Дашей.
31. Автомобиль стоимостью 2400 долларов был уценен во время сезонной
распродажи на 33 1/3%. Сколько стоил автомобиль во время распродажи?
32. Три из пяти фигур нужно соединить таким образом, чтобы получилась
равнобедренная трапеция:
33. На платье требуется 2 1/3м. ткани. Сколько платьев можно сшить из
42 м?
34. Значения следующих двух предложений:
. 1 - сходны, 2 - противоположны, 3 - ни сходны, ни
противоположны.
Трое докторов не лучше одного.
Чем больше докторов, тем больше болезней.
35. Увеличивать и расширять. Эти слова:
36. 1 - сходны, - противоположны, 3 - ни сходны, ни противоположны.
. Смысл двух английских пословиц:
. 1 - схож, 2 - противоположен, 2 - ни схож, ни противоположен.
Швартоваться лучше двумя якорями.
Не клади все яйца в одну корзину.
37. Бакалейщик купил ящик с апельсинами за 3,6 долларов. В ящике их
было 12 дюжин. Он знает, что 2 дюжины испортятся еще до того, как он продаст
все апельсины. По какой цене ему нужно продавать апельсины, чтобы получить
прибыль в 1/3 закупочной цены?
38. Претензия и претенциозный. Эти слова по своему значению:
. 1 - схожи, 2 - противоположны, 3 - ни сходны, ни противоположны.
. Если бы полкило картошки стоило 0,0125 доллара, то сколько
килограмм можно было бы купить за 50 центов?
. Один из членов ряда не подходит к другим. Каким числом Вы бы его
заменили:
. 1/4 1/8 1/8 1/4 1/8 1/8 1/4 1/8 1/6.
. Отражаемый и воображаемый. Эти слова являются:
. 1 - сходными, 2 - противоположными, 3 - ни сходными. ни
противоположными.
. Сколько соток составляет участок длиною 70 м и шириной 20 м?
. Следующие две фразы по значению:
. 1 - сходны, 2 - противоположны, 3 - ни сходны, ни противоположны.
Хорошие вещи дешевы, плохие дороги.
Хорошее качество обеспечивается простотой, плохое - сложностью.
44. Солдат, стреляя в цель, поразил ее в 12.5% случаев. Сколько раз
солдат должен выстрелить, чтобы поразить се сто раз?
45. Один из членов ряда не подходит к другим. Какое число Вы бы
поставили на его место:
. 1/4 1/6 1/8 1/9 1/12 1/14?
. Три партнера по акционерному обществу (АО) решили поделить
прибыль поровну. Т. вложил в дело 4500 долларов, К. - 3500 долларов, П. - 2000
долларов. Если прибыль составит 2400 долларов, то насколько меньше прибыль
получит Т. по сравнению с тем, как если бы прибыль была разделена
пропорционально вкладам?
. Какие две из приведенных ниже пословиц имеют сходный смысл:
. 1. Куй железо, пока горячо.
. 2. Один в поле не воин.
. 3. Лес рубят, цепки летят.
. 4. Не все то золото, что блестит.
. 5. Не по виду суди, а по делам гляди?
. Значение следующих фраз:
. 1 - сходно, 2 - противоположно, 3 - ни сходно, ни
противоположно.
Лес рубят щепки летят.
Большое дело не бывает без потерь.
49. Какая из этих фигур наиболее отлична от других?
50. В печатающейся статье 24000 слов. Редактор решил использовать
шрифт двух размеров. При использовании шрифта большого размера на странице
умещается 900 слов, меньшего - 1200. Статья должна занять 21 полную страницу в
журнале. Сколько страниц должно быть напечатано меньшим шрифтом?
Приложение 3.
Шкала
депрессии А.Т. Бека
Инструкция. Этот опросник состоит из 21 групп утверждений. Прочтите
внимательно и обведите кружком номер (0, 1, 2 или 3) утверждения, наилучшим
образом отражающего Ваше самочувствие в течение ПОСЛЕДНЕЙ НЕДЕЛИ, включая
СЕГОДНЯШНИЙ ДЕНЬ.
§ 0 Я не чувствую себя расстроенным, печальным.
§ 1 Я расстроен.
§ 2 Я все время расстроен и не могу от этого отключиться.
§ 3 Я настолько расстроен и несчастлив, что не могу это
выдержать.
2.
§ 0 Я не тревожусь о своем будущем.
§ 1 Я чувствую, что озадачен будушим.
§ 2 Я чувствую, что меня ничего не ждет в будущем.
§ 3 Мое будущее безнадежно, и ничто не может измениться к
лучшему.
3.
§ 0 Я не чувствую себя неудачником.
§ 1 Я чувствую, что терпел больше неудач, чем другие люди.
§ 2 Когда я оглядываюсь на свою жизнь, я вижу в ней много
неудач.
§ 3 Я чувствую, что как личность я - полный неудачник.
4.
§ 0 Я получаю столько же удовлетворения от жизни, как раньше.
§ 1 Я не получаю столько же удовлетворения от жизни, как
раньше.
§ 2 Я больше не получаю удовлетворения ни от чего.
§ 3 Я полностью не удовлетворен жизнью. и мне все надоело.
5.
§ 0 Я не чувствую себя в чем-нибудь виноватым.
§ 1 Достаточно часто я чувствую себя виноватым.
§ 2 Большую часть времени я чувствую себя виноватым.
§ 3 Я постоянно испытываю чувство вины.
6.
§ 0 Я не чувствую, что могу быть наказанным за что-либо.
§ 1 Я чувствую, что могу быть наказан.
§ 2 Я ожидаю, что могу быть наказан.
§ 3 Я чувствую себя уже наказанным.
7.
§ 0 Я не разочаровался в себе.
§ 1 Я разочаровался в себе.
§ 2 Я себе противен.
§ 3 Я себя ненавижу.
8.
§ 0 Я знаю, что я не хуже других.
§ 1 Я критикую себя за ошибки и слабости.
§ 2 Я все время обвиняю себя за свои поступки.
§ 3 Я виню себя во всем плохом, что происходит.
9.
§ 0 Я никогда не думал покончить с собой.
§ 1 Ко мне приходят мысли покончить с собой, но я не буду их
осуществлять.
§ 2 Я хотел бы покончить с собой.
§ 3 Я бы убил себя, если бы представился случай.
10.
§ 0 Я плачу не больше, чем обычно.
§ 1 Сейчас я плачу чаще, чем раньше.
§ 2 Теперь я все время плачу.
§ 3 Раньше я мог плакать, а сейчас не могу, даже если мне
хочется.
11.
§ 0 Сейчас я раздражителен не более, чем обычно.
§ 1 Я более легко раздражаюсь, чем раньше.
§ 2 Теперь я постоянно чувствую, что раздражен.
§ 3 Я стал равнодушен к вещам, которые меня раньше раздражали.
12.
§ 0 Я не утратил интереса к другим людям.
§ 1 Я меньше интересуюсь другими людьми, чем раньше.
§ 2 Я почти потерял интерес к другим людям.
§ 3 Я полностью утратил интерес к другим людям.
13.
§ 0 Я откладываю принятие решения иногда, как и раньше.
§ 1 Я чаще, чем раньше, откладываю принятие решения.
§ 2 Мне труднее принимать решения, чем раньше.
§ 3 Я больше не могу принимать решения.
14.
§ 0 Я не чувствую, что выгляжу хуже, чем обычно.
§ 1 Меня тревожит, что я выгляжу старым и непривлекательным.
§ 2 Я знаю, что в моей внешности произошли существенные
изменения, делающие меня непривлекательным.
§ 3 Я знаю, что выгляжу безобразно.
15.
§ 0 Я могу работать так же хорошо, как и раньше.
§ 1 Мне необходимо сделать дополнительное усилие, чтобы начать
делать что-нибудь.
§ 2 Я с трудом заставляю себя делать что-либо.
§ 3 Я совсем не могу выполнять никакую работу.
16.
§ 0 Я сплю так же хорошо, как и раньше.
§ 1 Сейчас я сплю хуже, чем раньше.
§ 2 Я просыпаюсь на 1-2 часа раньше, и мне трудно заснуть
опять.
§ 3 Я просыпаюсь на несколько часов раньше обычного и больше не
могу заснуть.
17.
§ 0 Я устаю не больше, чем обычно.
§ 1 Теперь я устаю быстрее, чем раньше.
§ 2 Я устаю почти от всего, что я делаю.
§ 3 Я не могу ничего делать из-за усталости.
18.
§ 0 Мой аппетит не хуже, чем обычно.
§ 1 Мой аппетит стал хуже, чем раньше.
§ 2 Мой аппетит теперь значительно хуже.
§ 3 У меня вообще нет аппетита.
19.
§ 0 В последнее время я не похудел или потеря веса была
незначительной.
§ 1 За последнее время я потерял более 2 кг.
§ 2 Я потерял более 5 кг.
§ 3 Я потерял более 7 кr.
20. Я намеренно стараюсь похудеть и ем меньше (отметить крестиком).
21. ДА_________ НЕТ_________
§ 0 Я беспокоюсь о своем здоровье не больше, чем обычно.
§ 1 Меня тревожат проблемы моего физического здоровья, такие,
как боли, расстройство желудка, запоры и т.д.
§ 2 Я очень обеспокоен своим физическим состоянием, и мне
трудно думать о чем-либо другом.
§ 3 Я настолько обеспокоен своим физическим состоянием, что
больше ни о чем не могу думать.
22.
§ 0 В последнее время я не замечал изменения своего интереса к
сексу.
§ 1 Меня меньше занимают проблемы секса, чем раньше.
§ 2 Сейчас я значительно меньше интересуюсь сексуальными
проблемами, чем раньше. 3 Я полностью утратил сексуальный интерес.
Приложение 4
Шкала тревоги Ч.Д. Спилбергера
Инструкция: На каждое из высказываний необходимо дать один из четырех
вариантов ответа: 4 балла- почти никогда, 3 балла- иногда, 2 балла- часто, 1
балл- почти всегда.
Тестовый материал
. Я спокоен.
. Мне ничто не угрожает.
. Я нахожусь в напряжении.
. Я испытываю сожаление.
. Я чувствую себя свободно.
. Я расстроен.
. Меня волнуют возможные неудачи.
. Я чувствую себя отдохнувшим.
. Я встревожен.
. Я испытываю чувство внутреннего удовлетворения.
. Я уверен в себе.
. Я нервничаю.
. Яне нахожу себе места.
. Я взвинчен.
. Я не чувствую скованности, напряженности.
. Я доволен.
. Я озабочен.
. Я слишком возбужден, и мне не по себе.
. Мне радостно.
. Мне приятно.
. Я испытываю удовольствие.
. Я очень быстро устаю.
. Я легко могу заплакать.
. Я хотел бы быть таким же счастливым, как другие.
. Нередко я проигрываю из-за того, что недостаточно быстро принимаю
решения.
. Обычно я чувствую себя бодрым.
. Я спокоен, хладнокровен и собран.
. Ожидаемые трудности обычно очень тревожат меня.
. Я слишком переживаю из-за пустяков.
. Я вполне счастлив.
. Я принимаю все слишком близко к сердцу.
. Мне не хватает уверенности в себе.
. Обычно я чувствую себя в безопасности.
. Я стараюсь избегать критических ситуаций и трудностей.
. У меня бывает хандра.
. Я удовлетворен.
. Всякие пустяки отвлекают и волнуют меня.
. Я так сильно переживаю свои разочарования, что потом долго не могу о
них забыть.
. Я уравновешенный человек.
. Меня охватывает сильное беспокойство, когда я думаю о своих делах и
заботах.
Приложение 5
Социальный интеллект Дж. Гилфорда
Субтест №1
«Истории с завершением»
Субтест №2
«Группы экспрессии»
Субтест №3
«Вербальная экспрессия»
В каждом задании этого субтеста слева написана фраза, которую один
человек говорит другому, а справа перечислены три ситуации общения. Причем
только в одной из них фраза, приведенная слева, приобретет другой смысл.
Субтест №3
«Вербальная экспрессия» фразы
1. Человек - своему товарищу: «Вы великолепны».
. Довольный служащий - своему начальнику.
. Благодарный ученик - своему преподавателю.
. Недовольный человек - своему знакомому.
. Продавец - покупателю: «Вы получите, что надо».
. Улыбающийся преподаватель - студенту.
. Врач - пациенту.
. Рассерженный милиционер - канючащему пьянице.
. Судья - победителю: «Поздравляю».
. Отец - победителю.
. Друг - победителю.
. Проигравший - победителю.
. Гордый отец - другу: «Посмотри на нее».
. Ревнивая девушка - другу.
. Обрадованный мальчик - другу.
. Восхищенная девушка - другу.
. Человек - своему другу: «Что ты делаешь?».
. Рассерженная мать - ребенку.
. Заинтригованный прохожий - играющему ребенку.
. Учитель - примерному ученику.
. Врач - больному ребенку: «Прими-ка это».
. Мать - сыну.
. Боец - противнику.
. Нагруженная жена - мужу.
. Официантка - клиенту: «Чем я могу Вам помочь?».
. Психиатр - пациенту.
. Прохожий - пострадавшему в аварии.
. Гид - туристу.
. Преподаватель - студенту: «Ты можешь сделать это лучше».
. Жена - мужу.
. Мать - ребенку.
. Тренер - спортсмену.
. Отец - сыну: «Ты мне нравишься».
. Брат - сестре.
. Молодой человек - подруге.
. Племянник - тетке.
. Начальник - рабочему: «Это хорошо».
. Поклонник - артисту.
. Преподаватель - студенту.
. Разгневанный ребенок - побитому им сопернику.
. Мать - бегущему ребенку: «Тише!».


Приложение 6. Сводная таблица данных
|
n
|
Созавис.
|
Общий уровень интеллекта
|
Уровень депрессии
|
Когнетивно-аффективный
компонент депрессии
|
Соматические проявления
депрессии
|
Личностная тревожность
|
Ситуативная тревожность
|
Соц. интеллект
|
Суб 1
|
Суб 2
|
Суб 3
|
Суб 4
|
|
1
|
31
|
21
|
5
|
3
|
2
|
63
|
49
|
2
|
7
|
7
|
7
|
3
|
|
2
|
41
|
15
|
10
|
4
|
6
|
55
|
44
|
2
|
5
|
5
|
7
|
4
|
|
3
|
36
|
22
|
0
|
0
|
0
|
48
|
33
|
3
|
8
|
9
|
9
|
3
|
|
4
|
47
|
21
|
9
|
5
|
4
|
33
|
3
|
7
|
9
|
9
|
4
|
|
5
|
37
|
25
|
11
|
11
|
0
|
46
|
39
|
3
|
8
|
8
|
8
|
5
|
|
6
|
45
|
19
|
10
|
8
|
2
|
46
|
46
|
2
|
4
|
4
|
7
|
3
|
|
7
|
35
|
29
|
10
|
8
|
2
|
44
|
43
|
4
|
10
|
9
|
9
|
10
|
|
8
|
32
|
25
|
9
|
5
|
4
|
40
|
44
|
3
|
8
|
8
|
10
|
2
|
|
9
|
42
|
18
|
10
|
5
|
5
|
50
|
47
|
2
|
6
|
7
|
3
|
5
|
|
10
|
38
|
21
|
8
|
3
|
5
|
44
|
46
|
3
|
8
|
9
|
7
|
3
|
|
11
|
29
|
23
|
5
|
3
|
2
|
30
|
32
|
3
|
7
|
8
|
9
|
5
|
|
12
|
25
|
20
|
8
|
8
|
0
|
29
|
39
|
4
|
11
|
9
|
9
|
10
|
|
13
|
40
|
19
|
11
|
8
|
3
|
46
|
50
|
3
|
8
|
7
|
8
|
8
|
|
14
|
45
|
16
|
12
|
7
|
5
|
51
|
62
|
2
|
5
|
5
|
3
|
6
|
|
15
|
40
|
22
|
3
|
3
|
0
|
47
|
45
|
3
|
8
|
9
|
7
|
4
|
|
16
|
40
|
19
|
11
|
6
|
5
|
52
|
61
|
2
|
4
|
5
|
6
|
4
|
|
17
|
41
|
20
|
9
|
5
|
4
|
55
|
62
|
3
|
7
|
6
|
5
|
9
|
|
18
|
35
|
21
|
9
|
4
|
5
|
32
|
43
|
4
|
9
|
9
|
9
|
11
|
|
19
|
37
|
22
|
10
|
8
|
2
|
33
|
45
|
4
|
10
|
9
|
10
|
10
|
|
20
|
47
|
19
|
16
|
10
|
6
|
47
|
51
|
2
|
5
|
5
|
5
|
4
|
|
21
|
49
|
20
|
20
|
15
|
5
|
48
|
64
|
3
|
7
|
8
|
10
|
5
|
|
22
|
43
|
21
|
10
|
6
|
4
|
55
|
62
|
3
|
8
|
8
|
10
|
4
|
|
23
|
32
|
23
|
9
|
5
|
4
|
31
|
35
|
2
|
4
|
4
|
5
|
4
|
|
24
|
30
|
21
|
10
|
6
|
4
|
34
|
42
|
3
|
8
|
7
|
8
|
5
|
|
25
|
36
|
22
|
11
|
6
|
5
|
35
|
45
|
3
|
9
|
7
|
8
|
5
|
|
26
|
48
|
20
|
19
|
11
|
8
|
49
|
65
|
3
|
8
|
9
|
9
|
7
|
|
27
|
39
|
21
|
8
|
5
|
3
|
31
|
40
|
4
|
10
|
9
|
10
|
10
|
|
28
|
36
|
23
|
6
|
5
|
1
|
30
|
37
|
3
|
8
|
7
|
9
|
5
|
|
29
|
43
|
17
|
10
|
6
|
4
|
48
|
54
|
4
|
10
|
12
|
10
|
11
|
|
30
|
48
|
18
|
9
|
7
|
2
|
55
|
61
|
2
|
4
|
5
|
4
|
4
|
|
31
|
35
|
24
|
7
|
5
|
2
|
31
|
4
|
9
|
13
|
10
|
10
|
|
32
|
31
|
21
|
5
|
3
|
2
|
29
|
40
|
3
|
8
|
7
|
6
|
8
|
|
33
|
40
|
18
|
13
|
9
|
4
|
47
|
53
|
4
|
10
|
13
|
9
|
10
|
|
34
|
44
|
20
|
16
|
10
|
6
|
55
|
68
|
4
|
11
|
11
|
10
|
9
|
|
35
|
38
|
21
|
7
|
5
|
2
|
31
|
45
|
3
|
9
|
9
|
8
|
7
|
|
36
|
35
|
25
|
8
|
5
|
3
|
35
|
43
|
2
|
4
|
5
|
5
|
4
|
|
37
|
42
|
19
|
15
|
9
|
6
|
48
|
47
|
4
|
10
|
12
|
10
|
9
|
|
38
|
45
|
17
|
15
|
7
|
8
|
49
|
46
|
4
|
11
|
10
|
10
|
10
|
|
39
|
37
|
24
|
9
|
5
|
4
|
31
|
44
|
3
|
9
|
8
|
8
|
8
|
|
40
|
44
|
20
|
19
|
10
|
9
|
47
|
51
|
3
|
9
|
9
|
7
|
5
|
Приложение 7
Подсчет коэффициента корреляции по шкале « Уровень интеллекта»
|
n
|
х
|
у
|
dxi
|
dyi
|
dxi2
|
dyi2
|
dxi ×dyi
|
|
1
|
21
|
31
|
0,2
|
-8
|
0,04
|
64
|
-1,6
|
|
2
|
15
|
41
|
-5,8
|
2
|
33,64
|
4
|
-11,6
|
|
3
|
22
|
36
|
1,2
|
-3
|
1,44
|
9
|
-3,6
|
|
4
|
21
|
47
|
0,2
|
8
|
0,04
|
64
|
1,6
|
|
5
|
25
|
37
|
4,2
|
-2
|
17,64
|
4
|
-8,4
|
|
6
|
19
|
45
|
-1,8
|
6
|
3,24
|
36
|
-10,8
|
|
7
|
29
|
35
|
8,2
|
-4
|
67,24
|
16
|
-32,8
|
|
8
|
25
|
32
|
4,2
|
-7
|
17,64
|
49
|
-29,4
|
|
9
|
18
|
42
|
-2,8
|
3
|
7,84
|
9
|
-8,4
|
|
10
|
21
|
38
|
0,2
|
-1
|
0,04
|
1
|
-0,2
|
|
11
|
23
|
29
|
2,2
|
-10
|
4,84
|
100
|
-22
|
|
12
|
20
|
25
|
-0,8
|
-14
|
0,64
|
196
|
11,2
|
|
13
|
19
|
40
|
-1,8
|
1
|
3,24
|
1
|
-1,8
|
|
14
|
16
|
45
|
-4,8
|
6
|
23,04
|
36
|
-28,8
|
|
15
|
22
|
40
|
1,2
|
1
|
1,44
|
1
|
1,2
|
|
16
|
19
|
40
|
-1,8
|
1
|
3,24
|
1
|
-1,8
|
|
17
|
20
|
41
|
-0,8
|
2
|
0,64
|
4
|
-1,6
|
|
18
|
21
|
35
|
0,2
|
-4
|
0,04
|
16
|
-0,8
|
|
19
|
22
|
37
|
1,2
|
-2
|
1,44
|
4
|
-2,4
|
|
20
|
19
|
47
|
-1,8
|
8
|
3,24
|
64
|
-14,4
|
|
21
|
20
|
49
|
-0,8
|
10
|
0,64
|
100
|
-8
|
|
22
|
21
|
43
|
0,2
|
4
|
0,04
|
16
|
0,8
|
|
23
|
23
|
32
|
2,2
|
-7
|
4,84
|
49
|
-15,4
|
|
24
|
21
|
30
|
0,2
|
-9
|
0,04
|
81
|
-1,8
|
|
25
|
22
|
36
|
1,2
|
-3
|
1,44
|
9
|
-3,6
|
|
26
|
20
|
48
|
-0,8
|
9
|
0,64
|
81
|
-7,2
|
|
27
|
21
|
39
|
0,2
|
0
|
0,04
|
0
|
0
|
|
28
|
23
|
2,2
|
-3
|
4,84
|
9
|
-6,6
|
|
29
|
17
|
43
|
-3,8
|
4
|
14,44
|
16
|
-15,2
|
|
30
|
18
|
48
|
-2,8
|
9
|
7,84
|
81
|
-25,2
|
|
31
|
24
|
35
|
3,2
|
-4
|
10,24
|
16
|
-12,8
|
|
32
|
21
|
31
|
0,2
|
-8
|
0,04
|
64
|
-1,6
|
|
33
|
18
|
40
|
-2,8
|
1
|
7,84
|
1
|
-2,8
|
|
34
|
20
|
44
|
-0,8
|
5
|
0,64
|
25
|
-4
|
|
35
|
21
|
38
|
0,2
|
-1
|
0,04
|
1
|
-0,2
|
|
36
|
25
|
35
|
4,2
|
-4
|
17,64
|
16
|
-16,8
|
|
37
|
19
|
42
|
-1,8
|
3
|
3,24
|
9
|
-5,4
|
|
38
|
17
|
45
|
-3,8
|
6
|
14,44
|
36
|
-22,8
|
|
39
|
24
|
37
|
3,2
|
-2
|
10,24
|
4
|
-6,4
|
|
40
|
20
|
46
|
-0,8
|
7
|
0,64
|
49
|
-5,6
|
|
∑
|
832
|
1560
|
0
|
0
|
290,4
|
1342
|
-327
|
|
М
|
20,8
|
39
|
|
|
|
|
|

|
n
|
x
|
y
|
dxi
|
dyi
|
dxi2
|
dyi2
|
dxi×
dyi
|
|
1
|
5
|
31
|
-5,05
|
-0,8
|
25,502
|
64
|
4,04
|
|
2
|
10
|
41
|
-0,05
|
2
|
0,002
|
4
|
-0,1
|
|
3
|
0
|
36
|
-10,05
|
-3
|
101,002
|
9
|
30,15
|
|
4
|
9
|
47
|
-1,05
|
8
|
1,102
|
64
|
-8,4
|
|
5
|
11
|
37
|
0,95
|
-2
|
0,902
|
4
|
-1,9
|
|
6
|
10
|
45
|
-0,05
|
6
|
0,002
|
36
|
-0,3
|
|
7
|
10
|
35
|
-0,05
|
-4
|
0,002
|
16
|
0,2
|
|
8
|
9
|
32
|
-1,05
|
-7
|
1,102
|
49
|
7,35
|
|
9
|
10
|
42
|
-0,05
|
3
|
0,002
|
9
|
-0,15
|
|
10
|
8
|
38
|
-2,05
|
-1
|
4,202
|
1
|
2,05
|
|
11
|
5
|
29
|
-5,05
|
-10
|
25,502
|
100
|
50,5
|
|
12
|
8
|
25
|
-2,05
|
-14
|
4,202
|
196
|
28,7
|
|
13
|
11
|
40
|
0,95
|
1
|
0,902
|
1
|
0,95
|
|
14
|
12
|
45
|
1,95
|
6
|
3,802
|
36
|
11,7
|
|
15
|
3
|
40
|
-7,05
|
1
|
49,702
|
1
|
-7,05
|
|
16
|
11
|
40
|
0,95
|
1
|
0,902
|
1
|
0,95
|
|
17
|
9
|
41
|
-1,05
|
2
|
1,102
|
4
|
-2,1
|
|
18
|
9
|
35
|
-1,05
|
-4
|
1,102
|
16
|
4,2
|
|
19
|
10
|
37
|
-0,05
|
-2
|
0,002
|
4
|
0,1
|
|
20
|
16
|
47
|
5,95
|
8
|
35,402
|
64
|
47,6
|
|
21
|
20
|
49
|
9,95
|
10
|
99,002
|
100
|
99,5
|
|
22
|
10
|
43
|
-0,05
|
4
|
0,002
|
16
|
-0,2
|
|
23
|
9
|
32
|
-1,05
|
-7
|
1,102
|
49
|
7,35
|
|
24
|
10
|
30
|
-0,05
|
-9
|
0,002
|
81
|
0,45
|
|
25
|
11
|
36
|
0,95
|
-3
|
0,902
|
9
|
-2,85
|
|
26
|
19
|
48
|
8,95
|
9
|
80,102
|
81
|
80,55
|
|
27
|
8
|
39
|
-2,05
|
0
|
4,202
|
0
|
0
|
|
28
|
6
|
36
|
-4,05
|
-3
|
16,402
|
9
|
12,15
|
|
29
|
10
|
43
|
4
|
0,002
|
16
|
-0,2
|
|
30
|
9
|
48
|
-1,05
|
9
|
1,102
|
81
|
-9,45
|
|
31
|
7
|
35
|
-3,05
|
-4
|
9,302
|
16
|
12,2
|
|
32
|
5
|
31
|
-5,05
|
-8
|
25,502
|
64
|
40,4
|
|
33
|
13
|
40
|
2,95
|
1
|
8,702
|
1
|
2,95
|
|
34
|
16
|
44
|
5,95
|
5
|
35,402
|
25
|
29,75
|
|
35
|
7
|
38
|
-3,05
|
-1
|
9,302
|
1
|
3,05
|
|
36
|
8
|
35
|
-2,05
|
-4
|
4,202
|
16
|
8,2
|
|
37
|
15
|
42
|
4,95
|
3
|
24,502
|
9
|
14,85
|
|
38
|
15
|
45
|
4,95
|
6
|
24,502
|
36
|
29,7
|
|
39
|
9
|
37
|
-1,05
|
-2
|
1,102
|
4
|
2,1
|
|
40
|
19
|
46
|
8,95
|
7
|
80,102
|
49
|
62,65
|
|
∑
|
402
|
1560
|
0
|
0
|
681,88
|
1342
|
561,64
|
|
М
|
10,05
|
39
|
|
|
|
|
|
Приложение 8
Подсчет коэффициента корреляции по шкале « Уровень депрессивных
симптомов»
Приложение 9
Подсчет коэффициента корреляции по шкале «Уровень когнитивно-аффективного
компонента депрессии»
|
n
|
x
|
y
|
dxi
|
dyi
|
dxi2
|
dyi2
|
dxi× dyi
|
|
1
|
3
|
31
|
-3,35
|
-0,8
|
11,223
|
64
|
2,68
|
|
2
|
4
|
41
|
-2,35
|
2
|
5,523
|
4
|
-4,7
|
|
3
|
0
|
36
|
-6,35
|
-3
|
40,323
|
9
|
19,05
|
|
4
|
5
|
47
|
-1,35
|
8
|
1,823
|
64
|
-10,8
|
|
5
|
11
|
37
|
4,65
|
-2
|
21,623
|
4
|
-9,3
|
|
6
|
8
|
45
|
1,65
|
6
|
2,723
|
36
|
9,9
|
|
7
|
8
|
35
|
1,65
|
-4
|
2,723
|
16
|
-6,6
|
|
8
|
5
|
32
|
-1,35
|
-7
|
1,823
|
49
|
9,45
|
|
9
|
5
|
42
|
-1,35
|
3
|
1,823
|
9
|
-4,05
|
|
10
|
3
|
38
|
-3,35
|
-1
|
11,223
|
1
|
3,35
|
|
11
|
3
|
29
|
-3,35
|
-10
|
11,223
|
100
|
33,5
|
|
12
|
8
|
25
|
1,65
|
-14
|
2,723
|
196
|
-23,1
|
|
13
|
8
|
40
|
1,65
|
1
|
2,723
|
1
|
1,65
|
|
14
|
7
|
45
|
0,65
|
6
|
0,423
|
36
|
3,9
|
|
15
|
3
|
40
|
-3,35
|
1
|
11,223
|
1
|
-3,35
|
|
16
|
6
|
40
|
-0,35
|
1
|
0,123
|
1
|
-0,35
|
|
17
|
5
|
41
|
-1,35
|
2
|
1,823
|
4
|
-2,7
|
|
18
|
4
|
35
|
-2,35
|
-4
|
5,523
|
16
|
9,4
|
|
19
|
8
|
37
|
1,65
|
-2
|
2,723
|
4
|
-3,3
|
|
20
|
10
|
47
|
3,65
|
8
|
13,323
|
64
|
29,2
|
|
21
|
15
|
49
|
8,65
|
10
|
74,823
|
100
|
86,5
|
|
22
|
6
|
43
|
-0,35
|
4
|
0,123
|
16
|
-1,4
|
|
23
|
5
|
32
|
-1,35
|
-7
|
1,823
|
49
|
9,45
|
|
24
|
6
|
30
|
-0,35
|
-9
|
0,123
|
81
|
3,15
|
|
25
|
6
|
36
|
-0,35
|
-3
|
0,123
|
9
|
1,05
|
|
26
|
11
|
48
|
4,65
|
9
|
21,623
|
81
|
41,85
|
|
27
|
5
|
39
|
-1,35
|
0
|
1,823
|
0
|
0
|
|
28
|
5
|
36
|
-1,35
|
-3
|
1,823
|
9
|
4,05
|
|
29
|
6
|
43
|
4
|
0,123
|
16
|
-1,4
|
|
30
|
7
|
48
|
0,65
|
9
|
0,423
|
81
|
5,85
|
|
31
|
5
|
35
|
-1,35
|
-4
|
1,823
|
16
|
5,4
|
|
32
|
3
|
31
|
-3,35
|
-8
|
11,223
|
64
|
26,8
|
|
33
|
9
|
40
|
2,65
|
1
|
7,023
|
1
|
2,65
|
|
34
|
10
|
44
|
3,65
|
5
|
13,323
|
25
|
18,25
|
|
35
|
5
|
38
|
-1,35
|
-1
|
1,823
|
1
|
1,35
|
|
36
|
5
|
35
|
-1,35
|
-4
|
1,823
|
16
|
5,4
|
|
37
|
9
|
42
|
2,65
|
3
|
7,023
|
9
|
7,95
|
|
38
|
7
|
45
|
0,65
|
6
|
0,423
|
36
|
3,9
|
|
39
|
5
|
37
|
-1,35
|
-2
|
1,823
|
4
|
2,7
|
|
40
|
10
|
46
|
3,65
|
7
|
13,323
|
49
|
25,55
|
|
∑
|
254
|
1560
|
0
|
0
|
315,1
|
1342
|
302,88
|
|
М
|
6,35
|
39
|
|
|
|
|
|
Приложение 10
Подсчет коэффициента корреляции по шкале «Уровень соматических проявлений
депрессии»
|
n
|
x
|
y
|
dxi
|
dyi
|
dxi2
|
dyi2
|
dxi×
dyi
|
|
1
|
2
|
31
|
-1,7
|
-0,8
|
2,89
|
64
|
1,36
|
|
2
|
6
|
41
|
2,3
|
2
|
5,29
|
4
|
4,6
|
|
3
|
0
|
36
|
-3,7
|
-3
|
13,69
|
9
|
11,1
|
|
4
|
4
|
47
|
0,3
|
8
|
0,09
|
64
|
2,4
|
|
5
|
0
|
37
|
-3,7
|
-2
|
13,69
|
4
|
7,4
|
|
6
|
2
|
45
|
-1,7
|
6
|
2,89
|
36
|
-10,2
|
|
7
|
2
|
35
|
-1,7
|
-4
|
2,89
|
16
|
6,8
|
|
8
|
4
|
32
|
0,3
|
-7
|
0,09
|
49
|
-2,1
|
|
9
|
5
|
42
|
1,3
|
3
|
1,69
|
9
|
3,9
|
|
10
|
5
|
38
|
1,3
|
-1
|
1,69
|
1
|
-1,3
|
|
11
|
2
|
29
|
-1,7
|
-10
|
2,89
|
100
|
17
|
|
12
|
0
|
25
|
-3,7
|
-14
|
13,69
|
196
|
51,8
|
|
13
|
3
|
40
|
-0,7
|
1
|
0,49
|
1
|
-0,7
|
|
14
|
5
|
45
|
1,3
|
6
|
1,69
|
36
|
7,8
|
|
15
|
0
|
40
|
-3,7
|
1
|
13,69
|
1
|
-3,7
|
|
16
|
5
|
40
|
1,3
|
1
|
1,69
|
1
|
1,3
|
|
17
|
4
|
41
|
0,3
|
2
|
0,09
|
4
|
0,6
|
|
18
|
5
|
35
|
1,3
|
-4
|
1,69
|
16
|
-5,2
|
|
19
|
2
|
37
|
-1,7
|
-2
|
2,89
|
4
|
3,4
|
|
20
|
6
|
47
|
2,3
|
8
|
5,29
|
64
|
18,4
|
|
21
|
5
|
49
|
1,3
|
10
|
1,69
|
100
|
13
|
|
22
|
4
|
43
|
0,3
|
4
|
0,09
|
16
|
1,2
|
|
23
|
4
|
32
|
0,3
|
-7
|
0,09
|
49
|
-2,1
|
|
24
|
4
|
30
|
0,3
|
-9
|
0,09
|
81
|
-2,7
|
|
25
|
5
|
36
|
1,3
|
-3
|
1,69
|
9
|
-3,9
|
|
26
|
8
|
48
|
4,3
|
9
|
18,49
|
81
|
38,7
|
|
27
|
3
|
39
|
-0,7
|
0
|
0,49
|
0
|
0
|
|
28
|
1
|
36
|
-2,7
|
-3
|
7,29
|
9
|
8,1
|
|
29
|
4
|
43
|
0,3
|
4
|
16
|
1,2
|
|
30
|
2
|
48
|
-1,7
|
9
|
2,89
|
81
|
-15,3
|
|
31
|
2
|
35
|
-1,7
|
-4
|
2,89
|
16
|
6,8
|
|
32
|
2
|
31
|
-1,7
|
-8
|
2,89
|
64
|
13,6
|
|
33
|
4
|
40
|
0,3
|
1
|
0,09
|
1
|
0,3
|
|
34
|
6
|
44
|
2,3
|
5
|
5,29
|
25
|
11,5
|
|
35
|
2
|
38
|
-1,7
|
-1
|
2,89
|
1
|
1,7
|
|
36
|
3
|
35
|
-0,7
|
-4
|
0,49
|
16
|
2,8
|
|
37
|
6
|
42
|
2,3
|
3
|
5,29
|
9
|
6,9
|
|
38
|
8
|
45
|
4,3
|
6
|
18,49
|
36
|
25,8
|
|
39
|
4
|
37
|
0,3
|
-2
|
0,09
|
4
|
-0,6
|
|
40
|
9
|
46
|
5,3
|
7
|
28,09
|
49
|
37,1
|
|
∑
|
148
|
1560
|
0
|
0
|
188,4
|
1342
|
258,76
|
|
М
|
3,7
|
39
|
|
|
|
|
|

Приложение 11
Подсчет коэффициента корреляции по шкале «Уровень личностной тревожности»
|
n
|
x
|
y
|
dxi
|
dyi
|
dxi2
|
dyi2
|
dxi×
dyi
|
|
1
|
63
|
31
|
20,25
|
-0,8
|
410,063
|
64
|
-16,2
|
|
2
|
55
|
41
|
12,25
|
2
|
150,063
|
4
|
24,5
|
|
3
|
48
|
36
|
5,25
|
-3
|
27,563
|
9
|
-15,75
|
|
4
|
33
|
47
|
-9,75
|
8
|
95,063
|
64
|
-78
|
|
5
|
46
|
37
|
3,25
|
-2
|
10,563
|
4
|
-6,5
|
|
6
|
46
|
45
|
3,25
|
6
|
10,563
|
36
|
19,5
|
|
7
|
44
|
35
|
1,25
|
-4
|
1,563
|
16
|
-5
|
|
8
|
40
|
32
|
-2,75
|
-7
|
7,563
|
49
|
19,25
|
|
9
|
50
|
42
|
7,25
|
3
|
52,563
|
9
|
21,75
|
|
10
|
44
|
38
|
1,25
|
-1
|
1,563
|
1
|
-1,25
|
|
11
|
30
|
29
|
-12,75
|
-10
|
162,563
|
100
|
127,5
|
|
12
|
29
|
25
|
-13,75
|
-14
|
189,063
|
196
|
192,5
|
|
13
|
46
|
40
|
3,25
|
1
|
10,563
|
1
|
3,25
|
|
14
|
51
|
45
|
8,25
|
6
|
68,063
|
36
|
49,5
|
|
15
|
47
|
40
|
4,25
|
1
|
18,063
|
1
|
4,25
|
|
16
|
52
|
40
|
9,25
|
1
|
85,563
|
1
|
9,25
|
|
17
|
55
|
41
|
12,25
|
2
|
150,063
|
4
|
24,5
|
|
18
|
32
|
35
|
-10,75
|
-4
|
115,563
|
16
|
43
|
|
19
|
33
|
37
|
-9,75
|
-2
|
95,063
|
4
|
19,5
|
|
20
|
47
|
47
|
4,25
|
8
|
18,063
|
64
|
34
|
|
21
|
48
|
49
|
5,25
|
10
|
27,563
|
100
|
52,5
|
|
22
|
55
|
43
|
12,25
|
4
|
150,063
|
16
|
49
|
|
23
|
31
|
32
|
-11,75
|
-7
|
138,063
|
49
|
82,25
|
|
24
|
34
|
30
|
-8,75
|
-9
|
76,563
|
81
|
78,75
|
|
25
|
35
|
36
|
-7,75
|
-3
|
60,063
|
9
|
23,25
|
|
26
|
49
|
48
|
6,25
|
9
|
39,063
|
81
|
56,25
|
|
27
|
31
|
39
|
-11,75
|
0
|
138,063
|
0
|
0
|
|
28
|
30
|
36
|
-12,75
|
-3
|
162,563
|
9
|
38,25
|
|
29
|
48
|
43
|
5,25
|
4
|
27,563
|
16
|
|
30
|
55
|
48
|
12,25
|
9
|
150,063
|
81
|
110,25
|
|
31
|
31
|
35
|
-11,75
|
-4
|
138,063
|
16
|
47
|
|
32
|
29
|
31
|
-13,75
|
-8
|
189,063
|
64
|
110
|
|
33
|
47
|
40
|
4,25
|
1
|
18,063
|
1
|
4,25
|
|
34
|
55
|
44
|
12,25
|
5
|
150,063
|
25
|
61,25
|
|
35
|
31
|
38
|
-11,75
|
-1
|
138,063
|
1
|
11,75
|
|
36
|
35
|
35
|
-7,75
|
-4
|
60,063
|
16
|
31
|
|
37
|
48
|
42
|
5,25
|
3
|
27,563
|
9
|
15,75
|
|
38
|
49
|
45
|
6,25
|
6
|
39,063
|
36
|
37,5
|
|
39
|
31
|
37
|
-11,75
|
-2
|
138,063
|
4
|
23,5
|
|
40
|
47
|
46
|
4,25
|
7
|
18,063
|
49
|
29,75
|
|
∑
|
1710
|
1560
|
0
|
0
|
3565,5
|
1342
|
1352,8
|
|
М
|
42,75
|
39
|
|
|
|
|
|
Приложение 12
Подсчет коэффициента корреляции по шкале «Уровень ситуативной
тревожности»
|
n
|
x
|
y
|
dxi
|
dyi
|
dxi2
|
dyi2
|
dxi×
dyi
|
|
1
|
49
|
31
|
1,45
|
-0,8
|
2,103
|
64
|
-1,16
|
|
2
|
44
|
41
|
-3,55
|
2
|
12,603
|
4
|
-7,1
|
|
3
|
33
|
36
|
-14,55
|
-3
|
211,703
|
9
|
43,65
|
|
4
|
44
|
47
|
-3,55
|
8
|
12,603
|
64
|
-28,4
|
|
5
|
39
|
37
|
-8,55
|
-2
|
73,103
|
4
|
17,1
|
|
6
|
46
|
45
|
-1,55
|
6
|
2,403
|
36
|
-9,3
|
|
7
|
43
|
35
|
-4,55
|
-4
|
20,703
|
16
|
18,2
|
|
8
|
44
|
32
|
-3,55
|
-7
|
12,603
|
49
|
24,85
|
|
9
|
47
|
42
|
-0,55
|
3
|
0,303
|
9
|
-1,65
|
|
10
|
46
|
38
|
-1,55
|
-1
|
2,403
|
1
|
1,55
|
|
11
|
32
|
29
|
-15,55
|
-10
|
241,803
|
100
|
155,5
|
|
12
|
39
|
25
|
-8,55
|
-14
|
73,103
|
196
|
119,7
|
|
13
|
50
|
40
|
2,45
|
1
|
6,003
|
1
|
2,45
|
|
14
|
62
|
45
|
14,45
|
6
|
208,803
|
36
|
86,7
|
|
15
|
45
|
40
|
-2,55
|
1
|
6,503
|
1
|
-2,55
|
|
16
|
61
|
40
|
13,45
|
1
|
180,903
|
1
|
13,45
|
|
17
|
62
|
41
|
14,45
|
2
|
208,803
|
4
|
28,9
|
|
18
|
43
|
35
|
-4,55
|
-4
|
20,703
|
16
|
18,2
|
|
19
|
45
|
37
|
-2,55
|
-2
|
6,503
|
4
|
5,1
|
|
20
|
51
|
47
|
3,45
|
8
|
11,903
|
64
|
27,6
|
|
21
|
64
|
49
|
16,45
|
10
|
270,603
|
100
|
164,5
|
|
22
|
62
|
43
|
14,45
|
4
|
208,803
|
16
|
57,8
|
|
23
|
35
|
32
|
-12,55
|
-7
|
157,503
|
49
|
87,85
|
|
24
|
42
|
30
|
-5,55
|
-9
|
30,803
|
81
|
49,95
|
|
25
|
45
|
36
|
-2,55
|
-3
|
6,503
|
9
|
7,65
|
|
26
|
65
|
48
|
17,45
|
9
|
304,503
|
81
|
157,05
|
|
27
|
40
|
39
|
-7,55
|
0
|
57,003
|
0
|
0
|
|
28
|
37
|
36
|
-10,55
|
-3
|
111,303
|
9
|
31,65
|
|
29
|
54
|
43
|
6,45
|
4
|
41,603
|
16
|
25,8
|
|
30
|
48
|
13,45
|
9
|
180,903
|
81
|
121,05
|
|
31
|
35
|
35
|
-12,55
|
-4
|
157,503
|
16
|
50,2
|
|
32
|
40
|
31
|
-7,55
|
-8
|
57,003
|
64
|
60,4
|
|
33
|
53
|
40
|
5,45
|
1
|
29,703
|
1
|
5,45
|
|
34
|
68
|
44
|
20,45
|
5
|
418,203
|
25
|
102,25
|
|
35
|
45
|
38
|
-2,55
|
-1
|
6,503
|
1
|
2,55
|
|
36
|
43
|
35
|
-4,55
|
-4
|
20,703
|
16
|
18,2
|
|
37
|
47
|
42
|
-0,55
|
3
|
0,303
|
9
|
-1,65
|
|
38
|
46
|
45
|
-1,55
|
6
|
2,403
|
36
|
-9,3
|
|
39
|
44
|
37
|
-3,55
|
-2
|
12,603
|
4
|
7,1
|
|
40
|
51
|
46
|
3,45
|
7
|
11,903
|
49
|
24,15
|
|
∑
|
1902
|
1560
|
0
|
0
|
3401,9
|
1342
|
1475,44
|
|
М
|
47,55
|
39
|
|
|
|
|
|

Приложение 13
Подсчет коэффициента корреляции по шкале «Уровень социального интеллекта»
|
n
|
x
|
y
|
dxi
|
dyi
|
dxi2
|
dyi2
|
dxi× dyi
|
|
1
|
2
|
31
|
-1,025
|
-0,8
|
1,051
|
64
|
0,82
|
|
2
|
2
|
41
|
-1,025
|
2
|
1,051
|
4
|
-2,05
|
|
3
|
3
|
36
|
-0,025
|
-3
|
0,001
|
9
|
0,075
|
|
4
|
3
|
47
|
-0,025
|
8
|
0,001
|
64
|
-0,2
|
|
5
|
3
|
37
|
-0,025
|
-2
|
0,001
|
4
|
0,05
|
|
6
|
2
|
45
|
-1,025
|
6
|
1,051
|
36
|
-6,15
|
|
7
|
4
|
35
|
0,975
|
-4
|
0,951
|
16
|
-3,9
|
|
8
|
3
|
32
|
-0,025
|
-7
|
0,001
|
49
|
0,175
|
|
9
|
2
|
42
|
-1,025
|
3
|
1,051
|
9
|
-3,075
|
|
10
|
3
|
38
|
-0,025
|
-1
|
0,001
|
1
|
0,025
|
|
11
|
3
|
29
|
-0,025
|
-10
|
0,001
|
100
|
0,25
|
|
12
|
4
|
25
|
0,975
|
-14
|
0,951
|
196
|
-13,65
|
|
13
|
3
|
40
|
-0,025
|
1
|
0,001
|
1
|
-0,025
|
|
14
|
2
|
45
|
-1,025
|
6
|
1,051
|
36
|
-6,15
|
|
15
|
3
|
40
|
-0,025
|
1
|
0,001
|
1
|
-0,025
|
|
16
|
2
|
40
|
-1,025
|
1
|
1,051
|
1
|
-1,025
|
|
17
|
3
|
41
|
-0,025
|
2
|
0,001
|
4
|
-0,05
|
|
18
|
4
|
35
|
0,975
|
-4
|
0,951
|
16
|
-3,9
|
|
19
|
4
|
37
|
0,975
|
-2
|
0,951
|
4
|
-1,95
|
|
20
|
2
|
47
|
-1,025
|
8
|
1,051
|
64
|
-8,2
|
|
21
|
3
|
49
|
-0,025
|
10
|
0,001
|
100
|
-0,25
|
|
22
|
3
|
43
|
-0,025
|
4
|
0,001
|
16
|
-0,1
|
|
23
|
2
|
32
|
-1,025
|
-7
|
1,051
|
49
|
7,175
|
|
24
|
3
|
30
|
-0,025
|
-9
|
0,001
|
81
|
0,225
|
|
25
|
3
|
36
|
-0,025
|
-3
|
0,001
|
9
|
0,075
|
|
26
|
3
|
48
|
-0,025
|
9
|
0,001
|
81
|
-0,225
|
|
27
|
4
|
39
|
0,975
|
0
|
0,951
|
0
|
0
|
|
28
|
3
|
36
|
-0,025
|
-3
|
0,001
|
9
|
0,075
|
|
29
|
4
|
43
|
0,975
|
4
|
0,951
|
16
|
3,9
|
|
30
|
2
|
48
|
9
|
1,051
|
81
|
-9,225
|
|
31
|
4
|
35
|
0,975
|
-4
|
0,951
|
16
|
-3,9
|
|
32
|
3
|
31
|
-0,025
|
-8
|
0,001
|
64
|
0,2
|
|
33
|
4
|
40
|
0,975
|
1
|
0,951
|
1
|
0,975
|
|
34
|
4
|
44
|
0,975
|
5
|
0,951
|
25
|
4,875
|
|
35
|
3
|
38
|
-0,025
|
-1
|
0,001
|
1
|
0,025
|
|
36
|
2
|
35
|
-1,025
|
-4
|
1,051
|
16
|
4,1
|
|
37
|
4
|
42
|
0,975
|
3
|
0,951
|
9
|
2,925
|
|
38
|
4
|
45
|
0,975
|
6
|
0,951
|
36
|
5,85
|
|
39
|
3
|
37
|
-0,025
|
-2
|
0,001
|
4
|
0,05
|
|
40
|
3
|
46
|
-0,025
|
7
|
0,001
|
49
|
-0,175
|
|
∑
|
121
|
1560
|
0
|
0
|
20,975
|
1342
|
-32,38
|
|
М
|
3,025
|
39
|
|
|
|
|
|
Приложение 14
Подсчет коэффициента корреляции по шкале «Субтест № 1. «Истории с
завершением». Фактор познания результатов поведения»
|
n
|
x
|
y
|
dxi
|
dyi
|
dxi2
|
dyi2
|
dxi× dyi
|
|
1
|
7
|
31
|
-0,775
|
-0,8
|
0,601
|
64
|
0,62
|
|
2
|
5
|
41
|
-2,775
|
2
|
7,701
|
4
|
-5,55
|
|
3
|
8
|
36
|
0,225
|
-3
|
0,051
|
9
|
-0,675
|
|
4
|
7
|
47
|
-0,775
|
8
|
0,601
|
64
|
-6,2
|
|
5
|
8
|
37
|
0,225
|
-2
|
0,051
|
4
|
-0,45
|
|
6
|
4
|
45
|
-3,775
|
6
|
14,251
|
36
|
-22,65
|
|
7
|
10
|
35
|
2,225
|
-4
|
4,951
|
16
|
-8,9
|
|
8
|
8
|
32
|
0,225
|
-7
|
0,051
|
49
|
-1,575
|
|
9
|
6
|
42
|
-1,775
|
3
|
3,151
|
9
|
-5,325
|
|
10
|
8
|
38
|
0,225
|
-1
|
0,051
|
1
|
-0,225
|
|
11
|
7
|
29
|
-0,775
|
-10
|
0,601
|
100
|
7,75
|
|
12
|
11
|
25
|
3,225
|
-14
|
10,401
|
196
|
-45,15
|
|
13
|
8
|
40
|
0,225
|
1
|
0,051
|
1
|
0,225
|
|
14
|
5
|
45
|
-2,775
|
6
|
7,701
|
36
|
-16,65
|
|
15
|
8
|
40
|
0,225
|
1
|
0,051
|
1
|
0,225
|
|
16
|
4
|
40
|
-3,775
|
1
|
14,251
|
1
|
-3,775
|
|
17
|
7
|
41
|
-0,775
|
2
|
0,601
|
4
|
-1,55
|
|
18
|
9
|
35
|
1,225
|
-4
|
1,501
|
16
|
-4,9
|
|
19
|
10
|
37
|
2,225
|
-2
|
4,951
|
4
|
-4,45
|
|
20
|
5
|
47
|
-2,775
|
8
|
7,701
|
64
|
-22,2
|
|
21
|
7
|
49
|
-0,775
|
10
|
0,601
|
100
|
-7,75
|
|
22
|
8
|
43
|
0,225
|
4
|
0,051
|
16
|
0,9
|
|
23
|
4
|
32
|
-3,775
|
-7
|
14,251
|
49
|
26,425
|
|
24
|
8
|
30
|
0,225
|
-9
|
0,051
|
81
|
-2,025
|
|
25
|
9
|
36
|
1,225
|
-3
|
1,501
|
9
|
-3,675
|
|
26
|
8
|
48
|
0,225
|
9
|
0,051
|
81
|
2,025
|
|
27
|
10
|
39
|
2,225
|
0
|
4,951
|
0
|
0
|
|
28
|
8
|
36
|
0,225
|
-3
|
0,051
|
9
|
-0,675
|
|
29
|
10
|
43
|
2,225
|
4
|
4,951
|
16
|
8,9
|
|
30
|
4
|
48
|
-3,775
|
9
|
81
|
-33,975
|
|
31
|
9
|
35
|
1,225
|
-4
|
1,501
|
16
|
-4,9
|
|
32
|
8
|
31
|
0,225
|
-8
|
0,051
|
64
|
-1,8
|
|
33
|
10
|
40
|
2,225
|
1
|
4,951
|
1
|
2,225
|
|
34
|
11
|
44
|
3,225
|
5
|
10,401
|
25
|
16,125
|
|
35
|
9
|
38
|
1,225
|
-1
|
1,501
|
1
|
-1,225
|
|
36
|
4
|
35
|
-3,775
|
-4
|
14,251
|
16
|
15,1
|
|
37
|
10
|
42
|
2,225
|
3
|
4,951
|
9
|
6,675
|
|
38
|
11
|
45
|
3,225
|
6
|
10,401
|
36
|
19,35
|
|
39
|
9
|
37
|
1,225
|
-2
|
1,501
|
4
|
-2,45
|
|
40
|
9
|
46
|
1,225
|
7
|
1,501
|
49
|
8,575
|
|
∑
|
311
|
1560
|
0
|
0
|
170,975
|
1342
|
-93,58
|
|
М
|
7,775
|
39
|
|
|
|
|
|

Приложение 15
Подсчет коэффициента корреляции по шкале «Субтест № 2. «Группы
экспрессии». Фактор познания классов поведения»
|
n
|
x
|
y
|
dxi
|
dyi
|
dxi2
|
dyi2
|
dxi×
dyi
|
|
1
|
7
|
31
|
-1
|
-0,8
|
1
|
64
|
0,8
|
|
2
|
5
|
41
|
-3
|
2
|
9
|
4
|
-6
|
|
3
|
9
|
36
|
1
|
-3
|
1
|
9
|
-3
|
|
4
|
9
|
47
|
1
|
8
|
1
|
64
|
8
|
|
5
|
8
|
37
|
0
|
-2
|
0
|
4
|
0
|
|
6
|
4
|
45
|
-4
|
6
|
16
|
36
|
-24
|
|
7
|
9
|
35
|
1
|
-4
|
1
|
16
|
-4
|
|
8
|
8
|
32
|
0
|
-7
|
0
|
49
|
0
|
|
9
|
7
|
42
|
-1
|
3
|
1
|
9
|
-3
|
|
10
|
9
|
38
|
1
|
-1
|
1
|
1
|
-1
|
|
11
|
8
|
29
|
0
|
-10
|
0
|
100
|
0
|
|
12
|
9
|
25
|
1
|
-14
|
1
|
196
|
-14
|
|
13
|
7
|
40
|
-1
|
1
|
1
|
1
|
-1
|
|
14
|
5
|
45
|
-3
|
6
|
9
|
36
|
-18
|
|
15
|
9
|
40
|
1
|
1
|
1
|
1
|
1
|
|
16
|
5
|
40
|
-3
|
1
|
9
|
1
|
-3
|
|
17
|
6
|
41
|
-2
|
2
|
4
|
4
|
-4
|
|
18
|
9
|
35
|
1
|
-4
|
1
|
16
|
-4
|
|
19
|
9
|
37
|
1
|
-2
|
1
|
4
|
-2
|
|
20
|
5
|
47
|
-3
|
8
|
9
|
64
|
-24
|
|
21
|
8
|
49
|
0
|
10
|
0
|
100
|
0
|
|
22
|
8
|
43
|
0
|
4
|
0
|
16
|
0
|
|
23
|
4
|
32
|
-4
|
-7
|
16
|
49
|
28
|
|
24
|
7
|
30
|
-1
|
-9
|
1
|
81
|
9
|
|
25
|
7
|
36
|
-1
|
-3
|
1
|
9
|
3
|
|
26
|
9
|
48
|
1
|
9
|
1
|
81
|
9
|
|
27
|
9
|
39
|
1
|
0
|
1
|
0
|
0
|
|
28
|
7
|
36
|
-1
|
-3
|
1
|
9
|
3
|
|
29
|
12
|
43
|
4
|
4
|
16
|
16
|
16
|
|
30
|
5
|
48
|
-3
|
9
|
9
|
81
|
|
31
|
13
|
35
|
5
|
-4
|
25
|
16
|
-20
|
|
32
|
7
|
31
|
-1
|
-8
|
1
|
64
|
8
|
|
33
|
13
|
40
|
5
|
1
|
25
|
1
|
5
|
|
34
|
11
|
44
|
3
|
5
|
9
|
25
|
15
|
|
35
|
9
|
38
|
1
|
-1
|
1
|
1
|
-1
|
|
36
|
5
|
35
|
-3
|
-4
|
9
|
16
|
12
|
|
37
|
12
|
42
|
4
|
3
|
16
|
9
|
12
|
|
38
|
10
|
45
|
2
|
6
|
4
|
36
|
12
|
|
39
|
8
|
37
|
0
|
-2
|
0
|
4
|
0
|
|
40
|
9
|
46
|
1
|
7
|
1
|
49
|
7
|
|
∑
|
320
|
1560
|
0
|
0
|
204
|
1342
|
-10,2
|
|
М
|
8
|
39
|
|
|
|
|
|
Приложение 16
Подсчет коэффициента корреляции по шкалам «Субтест № 3. «Вербальная
экспрессия». Фактор познания преобразований поведения
|
n
|
x
|
y
|
dxi
|
dyi
|
dxi2
|
dyi2
|
dxi×
dyi
|
|
1
|
7
|
31
|
-0,825
|
-0,8
|
0,681
|
64
|
0,66
|
|
2
|
7
|
41
|
-0,825
|
2
|
0,681
|
4
|
-1,65
|
|
3
|
9
|
36
|
1,175
|
-3
|
1,381
|
9
|
-3,525
|
|
4
|
9
|
47
|
1,175
|
8
|
1,381
|
64
|
9,4
|
|
5
|
8
|
37
|
0,175
|
-2
|
0,031
|
4
|
-0,35
|
|
6
|
7
|
45
|
-0,825
|
6
|
0,681
|
36
|
-4,95
|
|
7
|
9
|
35
|
1,175
|
-4
|
1,381
|
16
|
-4,7
|
|
8
|
10
|
32
|
2,175
|
-7
|
4,731
|
49
|
-15,225
|
|
9
|
3
|
42
|
-4,825
|
3
|
23,281
|
9
|
-14,475
|
|
10
|
7
|
38
|
-0,825
|
-1
|
0,681
|
1
|
0,825
|
|
11
|
9
|
29
|
1,175
|
-10
|
1,381
|
100
|
-11,75
|
|
12
|
9
|
25
|
1,175
|
-14
|
1,381
|
196
|
-16,45
|
|
13
|
8
|
40
|
0,175
|
1
|
0,031
|
1
|
0,175
|
|
14
|
3
|
45
|
-4,825
|
6
|
23,281
|
36
|
-28,95
|
|
15
|
7
|
40
|
-0,825
|
1
|
0,681
|
1
|
-0,825
|
|
16
|
6
|
40
|
-1,825
|
1
|
3,331
|
1
|
-1,825
|
|
17
|
5
|
41
|
-2,825
|
2
|
7,981
|
4
|
-5,65
|
|
18
|
9
|
35
|
1,175
|
-4
|
1,381
|
16
|
-4,7
|
|
19
|
10
|
37
|
2,175
|
-2
|
4,731
|
4
|
-4,35
|
|
20
|
5
|
47
|
-2,825
|
8
|
7,981
|
64
|
-22,6
|
|
21
|
10
|
49
|
2,175
|
10
|
4,731
|
100
|
21,75
|
|
22
|
10
|
43
|
2,175
|
4
|
4,731
|
16
|
8,7
|
|
23
|
5
|
32
|
-2,825
|
-7
|
7,981
|
49
|
19,775
|
|
24
|
8
|
30
|
0,175
|
-9
|
0,031
|
81
|
-1,575
|
|
25
|
8
|
36
|
0,175
|
-3
|
0,031
|
9
|
-0,525
|
|
26
|
9
|
48
|
1,175
|
9
|
1,381
|
81
|
10,575
|
|
27
|
10
|
39
|
2,175
|
0
|
4,731
|
0
|
0
|
|
28
|
9
|
36
|
1,175
|
-3
|
1,381
|
9
|
-3,525
|
|
29
|
10
|
43
|
2,175
|
4
|
4,731
|
16
|
8,7
|
|
30
|
4
|
48
|
-3,825
|
9
|
14,631
|
81
|
-34,425
|
|
31
|
35
|
2,175
|
-4
|
4,731
|
16
|
-8,7
|
|
32
|
6
|
31
|
-1,825
|
-8
|
3,331
|
64
|
14,6
|
|
33
|
9
|
40
|
1,175
|
1
|
1,381
|
1
|
1,175
|
|
34
|
10
|
44
|
2,175
|
5
|
4,731
|
25
|
10,875
|
|
35
|
8
|
38
|
0,175
|
-1
|
0,031
|
1
|
-0,175
|
|
36
|
5
|
35
|
-2,825
|
-4
|
7,981
|
16
|
11,3
|
|
37
|
10
|
42
|
2,175
|
3
|
4,731
|
9
|
6,525
|
|
38
|
10
|
45
|
2,175
|
6
|
4,731
|
36
|
13,05
|
|
39
|
8
|
37
|
0,175
|
-2
|
0,031
|
4
|
-0,35
|
|
40
|
7
|
46
|
-0,825
|
7
|
0,681
|
49
|
-5,775
|
|
∑
|
313
|
1560
|
0
|
0
|
163,775
|
1342
|
-58,94
|
|
М
|
7,825
|
39
|
|
|
|
|
|
Приложение 17
Подсчет коэффициента корреляции «Субтест № 4. «Истории с дополнением».
Фактор познания систем поведения»
|
n
|
x
|
y
|
dxi
|
dyi
|
dxi2
|
dyi2
|
dxi×
dyi
|
|
1
|
3
|
31
|
-3,325
|
-0,8
|
11,056
|
64
|
2,66
|
|
2
|
4
|
41
|
-2,325
|
2
|
5,406
|
4
|
-4,65
|
|
3
|
3
|
36
|
-3,325
|
-3
|
11,056
|
9
|
9,975
|
|
4
|
4
|
47
|
-2,325
|
8
|
5,406
|
64
|
-18,6
|
|
5
|
5
|
37
|
-1,325
|
-2
|
1,756
|
4
|
2,65
|
|
6
|
3
|
45
|
-3,325
|
6
|
11,056
|
36
|
-19,95
|
|
7
|
10
|
35
|
3,675
|
-4
|
13,506
|
16
|
-14,7
|
|
8
|
2
|
32
|
-4,325
|
-7
|
18,706
|
49
|
30,275
|
|
9
|
5
|
42
|
-1,325
|
3
|
1,756
|
9
|
-3,975
|
|
10
|
3
|
38
|
-3,325
|
-1
|
11,056
|
1
|
3,325
|
|
11
|
5
|
29
|
-1,325
|
-10
|
1,756
|
100
|
13,25
|
|
12
|
10
|
25
|
3,675
|
-14
|
13,506
|
196
|
-51,45
|
|
13
|
8
|
40
|
1,675
|
1
|
2,806
|
1
|
1,675
|
|
14
|
6
|
45
|
-0,325
|
6
|
0,106
|
36
|
-1,95
|
|
15
|
4
|
40
|
-2,325
|
1
|
5,406
|
1
|
-2,325
|
|
16
|
4
|
40
|
-2,325
|
1
|
5,406
|
1
|
-2,325
|
|
17
|
9
|
41
|
2,675
|
2
|
7,156
|
4
|
5,35
|
|
18
|
11
|
35
|
4,675
|
-4
|
21,856
|
16
|
-18,7
|
|
19
|
10
|
37
|
3,675
|
-2
|
13,506
|
4
|
-7,35
|
|
20
|
4
|
47
|
-2,325
|
8
|
5,406
|
64
|
-18,6
|
|
21
|
5
|
49
|
-1,325
|
10
|
1,756
|
100
|
-13,25
|
|
22
|
4
|
43
|
-2,325
|
4
|
5,406
|
16
|
-9,3
|
|
23
|
4
|
32
|
-2,325
|
-7
|
5,406
|
49
|
16,275
|
|
24
|
5
|
30
|
-1,325
|
-9
|
1,756
|
81
|
11,925
|
|
25
|
5
|
36
|
-1,325
|
-3
|
1,756
|
9
|
3,975
|
|
26
|
7
|
48
|
0,675
|
9
|
0,456
|
81
|
6,075
|
|
27
|
10
|
39
|
3,675
|
0
|
13,506
|
0
|
0
|
|
28
|
5
|
36
|
-1,325
|
-3
|
1,756
|
9
|
3,975
|
|
29
|
11
|
43
|
4,675
|
4
|
21,856
|
16
|
18,7
|
|
30
|
4
|
48
|
-2,325
|
9
|
5,406
|
81
|
-20,925
|
|
31
|
10
|
35
|
-4
|
13,506
|
16
|
-14,7
|
|
32
|
8
|
31
|
1,675
|
-8
|
2,806
|
64
|
-13,4
|
|
33
|
10
|
40
|
3,675
|
1
|
13,506
|
1
|
3,675
|
|
34
|
9
|
44
|
2,675
|
5
|
7,156
|
25
|
13,375
|
|
35
|
7
|
38
|
0,675
|
-1
|
0,456
|
1
|
-0,675
|
|
36
|
4
|
35
|
-2,325
|
-4
|
5,406
|
16
|
9,3
|
|
37
|
9
|
42
|
2,675
|
3
|
7,156
|
9
|
8,025
|
|
38
|
10
|
45
|
3,675
|
6
|
13,506
|
36
|
22,05
|
|
39
|
8
|
37
|
1,675
|
-2
|
2,806
|
4
|
-3,35
|
|
40
|
5
|
46
|
-1,325
|
7
|
1,756
|
49
|
-9,275
|
|
∑
|
253
|
1560
|
0
|
0
|
294,775
|
1342
|
-62,94
|
|
М
|
6,325
|
39
|
|
|
|
|
|

ы