Учет поступления основных средств и их документальное оформление
Министерство
образования и науки Российской Федерации
федерального
государственного бюджетного образовательного учреждения
высшего
профессионального образования
"Кузбасский
государственный технический университет им. Т.Ф.Горбачёва"
Филиал в г.
Междуреченске
Кафедра
бухгалтерского учета и аудита
Курсовая
работа
по
дисциплине: "Бухгалтерский финансовый учет"
на тему:
"Учет поступления основных средств и их документальное оформление"
Выполнила: Ершова Е. С.
студент гр. ЭУо - 94
Проверил: Егоров А.В.
Междуреченск
2013
Содержание
Ведение
. Учет поступления основных средств и их документальное
оформление
. Учет товарных операций по договору комиссии
. Практическая часть
.1 Выписка из учетной политики ОАО "Бриз"
.2 Остатки по аналитическим счетам на 01.04.2012
.3 Остатки по счетам синтетического учета на 01.04.2012 год
.4 Хозяйственные операции за ΙΙ квартал
.5 Анализ синтетических и аналитических счетов
.6 Ведомости учёта и распределения
.7 Сальдово-оборотная ведомость за 2 квартал 2012 года
Список литературы
Приложение
Введение
При выборе темы курсовой работы я остановились на двух вопросах
Учет поступления основных средств и их документальное оформление и учет
товарных операций по договору комиссии.
Целью курсовой работы является изучение теоретических аспектов
бухгалтерского учета движения основных средств. Документальное оформление и
учет поступления основных средств. Одной из основных задач бухгалтерского учёта
основных средств является правильное оформление документов и своевременное
отражение в учёте поступления основных средств.
И изучение договора комиссии, выявление его особенностей и тонкостей
заключения.
Использование договора комиссии в торговых отношениях в настоящее время
очень распространено, поскольку дает сторонам много преимуществ по сравнению с
классической куплей-продажей, в частности позволяют комиссионеру войти в
товарооборот с небольшими затратами, комитенту расширить рынки сбыта своей
продукции, а также значительно оптимизировать издержки обоих.
Объект исследования - данные бухгалтерского учета предприятия ОАО
"Бриз"
учетный аналитический сальдовый ведомость
1. Учет поступления основных средств и их документальное оформление
Одной из основных задач бухгалтерского учёта основных средств является
правильное оформление документов и своевременное отражение в учёте поступления
основных средств.
Согласно пункту 2 статьи 52 Гражданского Кодекса Российской Федерации
имущество (и объекты основных средств, в том числе) может быть передано
предприятию его учредителями. Кроме того, на основании пункта 2 статьи 218 ГК
Российской Федерации право собственности на имущество (и на объекты основных
средств, в том числе) может быть приобретено на основании договора
купли-продажи, мены, дарения, а также долгосрочной инвестиции в объекты строительно-монтажных
работ, выполняемых подрядным и хозяйственным способом (строительство,
реконструкция, расширение, достройка).
Первичные документы по поступающим в организацию объектам основных
средств должны быть оформлены в строгом соответствии с требованиями
постановления Госкомстата Российской Федерации от 30.10.1997 года № 71-а
"Об утверждении унифицированных форм первичной учетной документации по
учету труда и его оплаты, основных средств и нематериальных активов, малоценных
и быстроизнашивающихся предметов, работ капитального строительства".
При поступлении основных средств (в зависимости от характера их
поступления) могут быть использованы следующие унифицированные учетные формы:
) Акт приемки-передачи основных средств (форма №ОС-1), акт о
приемки-передачи здания или сооружения (форма № ОС-1а), акт о приемки-передачи
групп объектов основных средств (форма ОС-1б)
Применяется для зачисления в состав основных средств отдельных объектов,
поступивших путём:
внесения учредителями в счет их вклада в уставный капитал;
приобретения за плату у других организаций;
получение от других организаций и лиц в безвозмездное пользование;
поступление по акту дарения;
передачи в обмен на другое имущество и другими способами, не
противоречащими действующему законодательству.
В случаях внутреннего перемещения основных средств из одной торговой
точки в другую.
При оформлении приемки основных средств акт составляется в одном
экземпляре на каждый отдельный объект членами приемочной комиссии, назначенной
распоряжением (приказом) руководителя предприятия. Составление общего акта,
оформляющего приемку нескольких объектов основных средств, допускается лишь при
учете производственного и хозяйственного инвентаря, инструмента, оборудования и
т.п., если эти объекты однотипны, имеют одинаковую стоимость и приняты в одном
календарном месяце. Акт после его оформления с приложенной технической
документацией, относящейся к данному объекту передается в бухгалтерию,
подписывается главным бухгалтером и утверждается руководителем или лицом, на
это уполномоченным.
При оформлении внутреннего перемещения основных средств (между торговыми
точками) акт выписывается в двух экземплярах работником структурного
подразделения-сдатчика. Первый экземпляр с распиской получателя и сдатчика
передается в бухгалтерию, второй - структурному подразделению-сдатчику.
) Накладная на внутренние перемещение основных средств (форма №ОС-2)
Применяется для оформления и учета перемещения объектов основных средств
внутри организации из одного структурного подразделения (цеха, отдела, участка
и др.) в другой.
Выписывается передающей стороной (сдатчиком) в трех экземплярах,
подписывается ответственными лицами структурных подразделений получателя и
сдатчика. Первый экземпляр передается в бухгалтерию, второй - остается у лица,
ответственного за сохранность объекта(ов) основных средств сдатчика, третий
экземпляр передается получателю. Данные о перемещении объектов основных средств
вносятся в инвентарную карточку (книгу) учета объектов основных средств (формы
N ОС-6, N ОС-6а, N ОС-6б).
) Акт о приеме-сдачи отремонтированных, реконструированных и
модернизированных основных средств (форма №ОС-3)
Применяется для оформления и учета приема-сдачи объектов основных средств
из ремонта, реконструкции, модернизации.
Подписывается членами приемочной комиссии или лицом, уполномоченным на
приемку объектов основных средств, а также представителем организации
(структурного подразделения), проводившей ремонт, реконструкцию, модернизацию.
Утверждается руководителем организации или уполномоченным им лицом и сдается в
бухгалтерию.
Если ремонт, реконструкцию и модернизацию выполняет сторонняя
организация, акт составляется в двух экземплярах. Первый экземпляр остается в
организации, второй экземпляр передается организации, проводившей ремонт,
реконструкцию, модернизацию.
Данные ремонта, реконструкции, модернизации вносятся в инвентарную
карточку учета объекта основных средств (форма N ОС-6).
) Акт о списании объекта основных средств (кроме автотранспортных
средств) (форма №ОС-4)
Применяется для оформления и учета списания пришедших в негодность
объектов основных средств (для автотранспортных средств используется форма
ОС-4а)
Составляется в двух экземплярах, подписываются членами комиссии,
назначенной руководителем организации, утверждаются руководителем или уполномоченным
им лицом. Первый экземпляр передается в бухгалтерию, второй - остается у лица,
ответственного за сохранность объектов основных средств, и является основанием
для сдачи на склад и реализации материальных ценностей и металлолома,
оставшихся в результате списания.
) Инвентарная карточка учета основных средств (форма №ОС-6)
Этот документ применяется для учета наличия объекта основных средств, а
также учета движения его внутри организации. Ведется в бухгалтерии в одном
экземпляре на каждый объект.
Записи при приеме-передаче производятся на основании актов о
приеме-передаче объектов основных средств (формы N ОС-1, N ОС-1а, N ОС-1б) и
сопроводительных документов (технических паспортов заводов-изготовителей и
др.). Прием, перемещение объектов основных средств внутри организации, включая
проведение реконструкции, модернизации, капитального ремонта, а также их
выбытие или списание отражаются в инвентарной карточке (книге) на основании
соответствующих документов.
В показателях граф "Сумма начисленной амортизации (износа)"
указывается сумма начисленной амортизации (износа) с начала эксплуатации.
) Акт приёмки оборудования (форма ОС-14)
Форма ОС-14 применяется для оформления и учета поступившего на склад
оборудования с целью последующего использования его в качестве объекта основных
средств.
Составляется комиссией, уполномоченной на прием основных средств, в двух
экземплярах. Утверждается руководителем или уполномоченным им лицом. В случае
невозможности проведения качественной приемки оборудования при его поступлении
на склад Акт о приеме (поступлении) оборудования (формаОС-14) является
предварительным, составленным по наружному осмотру. Качественные и
количественные расхождения с документальными данными организаций, поставивших
оборудование, а также факты боя и лома отражаются в соответствующих актах в
установленном порядке.
) акт приемки-передачи оборудования в монтаж" (форма OC-15).
Передача оборудования в монтаж оформляется Актом о приеме-передаче
оборудования в монтаж (форма N ОС-15).
При проведении монтажных работ подрядным способом в состав приемочной
комиссии входит представитель подрядной монтажной организации. В этом случае
отдельный акт на передачу оборудования в монтаж (форма N ОС-15) не
составляется. В получении оборудования на ответственное хранение уполномоченный
представитель монтажной организации расписывается непосредственно в акте, и ему
передается копия акта.
На дефекты оборудования, выявленные в процессе монтажа, наладки или
испытания, а также по результатам контроля, составляется Акт о выявленных дефектах
оборудования (форма № ОС-16).
) акт о выявленных дефектах оборудования (форма ОС-16).
Документ предназначен для отражения выявленных в процессе монтажа
дефектов. Количество заполняемых экземпляров данного документа зависит от от
количества сторон подписывающих акт. Как правило, ими являются: заказчик,
монтажная организация и завод изготовитель.
В заключительной части названного акта подробно указываются мероприятия
или работы по устранению выявленных дефектов, исполнители и сроки исполнения.
Основные средства могут поступать из следующих источников:
. От поставщика за плату
. Безвозмездно (по договору дарения)
. В обмен на другое имущество
. В качестве вклада в уставный капитал
. При инвентаризации (излишки)
В бухгалтерском учете затраты связанные с приобретением основных средств
учитываются на активном счете 08 "Вложение во внеоборотные активы"
отражаются затраты связанные с приобретением и востановлением основных средств,
по Кт списываются затраты при сдачи объектов в эксплуатацию. В результате определяется
первоначальная стоимость основных средств.
Сальдо по счету 08 "Вложения во внеоборотные активы" отражает
величину вложений организации в незавершенное строительство, незаконченные
операции приобретения основных средств, нематериальных и других внеоборотных
активов, а также формирования основного стада.
При приобретении основных средств оформляются следующие первичные
документы, акт о приеме-передачи (форма №ОС-1) а так же инвентарная карточка
учета основных средств (форма №ОС-6)
I.
Приобретение ОС за плату Д 01 К 08
. Приобретено ОС от поставщика
а) покупная стоимость Д08 К60 (76)
б) НДС Д19 К60 (76)
. Отражены расходы по доставке, установке и доведению ОС до состояния
пригодного к использованию Д08 К60, 76, 23, 71, 70
НДС Д19 К60, 76, 71
. Поставлено на учет ОС Д01 К08
. Погашена задолженность
а) поставщикам Д60 К51
б) сторонним организациям Д76 К 51
. Зачтен НДС Д68 К19
II.
Приобретение основных средств безвозмездно или по договору доверия.
. Приобретено основное средство безвозмездно Д08 К91 (98)
. Отражены расходы связанные с приобретением Д08 К91 (98)
. Поставлены на учет основные средства Д08 К91 (98)
.Отражается доход отчетного периода по мере начисления амортизации Д98
К91
III.
Приобретение основных средств в качестве вклада в уставный капитал
. Поступило основное средство от учредителя Д08 К75
. Отражены расходы Д08 К70, 23
. Отражена сумма уставного капитала, сформированная за счет вклада Д75
К80
. Поставлено на учет основное средство Д01 К08
IV.
Приобретение основного средства на другое имущество
. Отражена выручка от продажи продукции Д62 К90
. Списывается себестоимость готовой продукции Д90 К43
. Начислен НДС с проданной продукции Д90 К68
. Приобретено основное средство Д08 К60
. Начислен НДС Д19 К60
. Поставлено на учет основное средство Д01 К08
. Взаимозачет Д60 К62
Большую часть своего имущества организации покупают за деньги, обменивают
на другие товары или же получают в качестве вклада в уставный капитал, но
бывает, что организация получает имущество безвозмездно.
Согласно пункту 8 статьи 250 главы 25 Налогового Кодекса РФ "Налог
на прибыль организаций", стоимость безвозмездно полученного от других
предприятий имущества, включается во внереализационные доходы
организации-получателя и облагается налогом на прибыль.
Стоимость безвозмездно полученных активов, учитываемая в целях
налогообложения должна быть записана в акте приемки-передачи. Причем эта
стоимость должна быть равна балансовой стоимости имущества, указанной в
бухгалтерском учете передающей стороне. Именно с этой суммы взимается налог на
прибыль. Вся стоимость полученного имущества облагается налогом в момент его
получения.
Статья 146 Налогового кодекса Российской Федерации "Объект
налогообложения" относит к объектам обложения НДС операции по
безвозмездной передаче права собственности на имущество. Передающая сторона
обязана выписать счет-фактуру и заплатить НДС с рыночной стоимостью имущества.
Но организация-получатель не возмещает из бюджета эту сумму налога, а
включает ее в первоначальную стоимость материальных ценностей, ведь она не
оплачивает полученные активы и, следовательно, согласно статье 171 Налогового
кодекса Российской Федерации "Налоговые вычеты", не имеет права на
возмещение НДС.
В соответствии с пунктом 3.4 ПБУ 6/01, организации должны учитывать
безвозмездно полученные основные средства по их рыночной стоимости.
. Учет товарных операций по договору комиссии
Учет приобретения и реализации товаров по договорам поручения и комиссии,
осуществляемых на территории России
Одной из форм приобретения или реализации товаров предприятиями торговли
является организация этих процессов на основе договоров поручения или комиссии.
Для организации бухгалтерского учета товарных операций по такого рода
договорам важное значение имеет определение предмета сделки и содержания
правоотношений сторон по этим договорам. Правоотношения сторон по договорам
поручения и комиссии регулируются ст. 971-979 и 990-1004 Гражданского кодекса
РФ.
Договор поручения представляет собой двусторонний договор. Сторонами
договора являются доверитель, т.е. лицо, для которого совершаются указанные в
договоре юридические действия по исполнению сделки, и поверенный - лицо,
обязанное их совершить. В качестве доверителя и поверенного могут выступать
дееспособные граждане и юридические лица.
Согласно ГК РФ (ст. 971) по договору поручения поверенный обязуется
совершить от имени и за счет доверителя определенные юридические действия.
Права и обязанности по сделке, совершенной поверенным, возникают
непосредственно у доверителя.
Предметами договора поручения являются юридические действия поверенного,
направленные на осуществление (приобретение, изменение, прекращение) прав и
обязанностей доверителя от имени и в интересах последнего.
В зависимости от характера поручения договор может быть заключен с
указанием или без указания срока его действия.
В соответствии с ГК РФ поверенный обязан:
- исполнять данное ему поручение в соответствии с правомерными,
осуществимыми и конкретными указаниями доверителя (ст. 973 ГК РФ);
исполнять данное ему поручение лично (ст. 974 ГК РФ) или передавать
исполнение поручения другому лицу (ст. 976 ГК РФ);
сообщать доверителю по его требованию все сведения о ходе исполнения
поручения (ст. 973 ГК РФ);
передавать доверителю без промедления все полученное по сделкам,
совершенным во исполнение поручения (ст. 974 ГК РФ), и др.
В обязанности доверителя по ГК РФ (ст. 975) входят:
предоставление поверенному доверенности на совершение юридических
действий;
если иное не предусмотрено договором, возмещать поверенному понесенные
издержки;
обеспечивать поверенного средствами, необходимыми для исполнения
поручения;
уплата поверенному вознаграждения, если договор поручения является
возмездным.
При отсутствии в возмездном договоре поручения условия о размере
вознаграждения или о порядке его уплаты вознаграждение уплачивается после
исполнения поручения (п. 2 ст. 972 ГК РФ) в размере, определяемом исходя из
цен, которые при сравнимых обстоятельствах взимаются за аналогичные работы или
услуги (п. 3 ст. 424 ГК РФ) и др.
Договор комиссии сходен с договором поручения по следующим признакам:
двусторонний договор, участниками которого могут быть юридические и
физические лица;
их целью является совершение сделки в интересах одной стороны посредством
действий другой;
комиссионер, так же как и поверенный, исполняя свои обязательства по
поручению и в интересах заказчика (комитента или доверителя), выполняет роль
посредника в правоотношениях между заказчиком и третьим лицом;
аналогично договору поручения, по договору комиссии одна из сторон
(комиссионер) обязуется совершить поручение другой стороны (комитента) за
вознаграждение (ст. 990 ГК РФ);
комиссионер, так же как и поверенный, выполняет свои функции с участием в
расчетах с третьим лицом или без такого участия;
комитент обязан принять от комиссионера все исполненное по договору (ст.
1000 ГК РФ) и помимо уплаты комиссионного вознаграждения возместить
комиссионеру израсходованные им на исполнение комиссионного поручения суммы
(ст. 1001 ГК РФ);
если договором размер вознаграждения и порядок его уплаты не
предусмотрены, вознаграждение уплачивается после исполнения поручения (ст. 991
ГК РФ) в размере, определяемом аналогично договору поручения;
если договор комиссии не был исполнен по причинам, зависящим от
комитента, комиссионер, так же как и поверенный, сохраняет право на
комиссионное вознаграждение и возмещение понесенных расходов (ст. 991 ГК РФ);
аналогично договору поручения имущество, поступившее к комиссионеру от
комитента либо приобретенное комиссионером за счет комитента, является
собственностью последнего (ст. 996 ГК РФ);
аналогично поверенному комиссионер обязан представить комитенту отчет
(ст. 999 ГК РФ) и др.
Имеющиеся принципиальные различия договоров поручения и комиссии
заключаются в следующем:
в отличие от поверенного, который действует от имени доверителя (ст. 971
ГК РФ), комиссионер в договоре с третьими лицами выступает от своего имени,
хотя за счет и в интересах комитента (ст. 990 ГК РФ);
Гражданским кодексом РФ установлено, что по сделке, совершенной
комиссионером с третьим лицом, приобретает права и становится обязанным
комиссионер, даже если комитент упоминается в документе, которым была оформлена
сделка (ст. 990 ГК РФ). По договору же поручения права и обязанности по
совершенным поверенным юридическим действиям возникают непосредственно у
доверителя (ст. 971 ГК РФ). Приобретенные права комиссионер обязан передать
комитенту, в то время как у поверенного эти права и обязательства не возникают;
предметом договора комиссии является совершение комиссионером по
поручению комитента и для него одной или нескольких сделок с третьим лицом, в
то время как предметом договора поручения являются юридические действия.
Договоры поручения и комиссии широко применяются на предприятиях как
оптовой, так и розничной торговли. Однако в их использовании на предприятиях
розничной торговли имеются особенности, оказывающие влияние и на методику
учета. Предприятия оптовой торговли в договорах поручения или комиссии могут
выполнять роль как поверенного или комиссионера, так и доверителя или
комитента.
Краткий анализ действующих правовых норм позволяет выделить следующие
основные особенности организации бухгалтерского учета товарных операций по
договорам поручения и комиссии:
. Общность прав, обязанностей и ответственности сторон по сделке
(поверенного и комиссионера, с одной, а также доверителя и комитента - с
другой), единство их роли в сделке (посредник или собственник) вызывает
необходимость единого подхода к методике учета товарных операций по этим
договорам.
. В организации учета товарных операций по этим договорам необходимо
выделить следующие ее варианты:
с участием посредника в расчетах и без его участия;
учет у посредника (поверенного или комиссионера) операций, связанных с
реализацией или приобретением товара;
учет у собственника (доверителя или комитента) товара операций, связанных
с его реализацией или его приобретением через посредника.
Схематично эти варианты учета товарных операций и их взаимосвязь могут
быть представлены следующим образом (см. схему 1).
Схема 1.
В приведенной схеме можно выделить следующие модели учета товарных
операций по договорам поручения и комиссии:
) учет реализации товара с участием посредника в расчетах:
у посредника (поверенного или комиссионера);
у собственника товара (у доверителя или комитента);
) учет реализации товара без участия посредника в расчетах:
у посредника;
у собственника товара;
) учет приобретения товара с участием посредника в расчетах:
у посредника;
у собственника товара;
) учет приобретения товара без участия посредника в расчетах:
у посредника;
у собственника.
Договоры комиссии на реализацию товаров
Учет у комитента
Бухгалтерские проводки у комитента по договору комиссии на реализацию
товара могут быть следующими.
. Отражена себестоимость товаров, отгруженных комиссионеру Д45 К41
. Отражена реализация товаров покупателю Д76 К90/1
. Списана себестоимость реализованных товаров Д90/2 К45
. Начислен НДС с оборотов по реализации Д90/3 К68
. Начислено комиссионное вознаграждение комиссионеру Д44 К76
. Списаны расходы за комиссионное вознаграждение Д90/2 К44
. Начислен НДС с комиссионного вознаграждения Д19 К76
. Предъявлен к вычету НДС по комиссионному вознаграждению Д68 К19
. Получены денежные средства от комиссионера за реализованный товар за
минусом комиссионного вознаграждения Д51 К76
Учет у комиссионера
В бухгалтерском учете комиссионера операции при реализации товаров по
договору комиссии могут быть отражены следующим образом.
. Получен товар по договору комиссии Д004
. Отражена задолженность покупателя за отгруженные ему товары Д62 К76
. Списан с забалансового счета товар, принятый на комиссию К004
. Поступили средства от покупателя за отгруженные товары Д51 К62
. Признан доход в виде комиссионного вознаграждения Д76 К90/1
. Начислен НДС с суммы комиссионного вознаграждения Д90/3 К68
. Перечислены комитенту денежные средства за вычетом комиссионного
вознаграждения Д76 К51
Договоры комиссии на приобретение товаров
Учет у комитента
Порядок отражения операций у комитента при приобретении товаров по
договору комиссии может быть таким.
. Перечислены денежные средства на приобретение товаров Д76 К51
. Приняты к учету товары Д41 К76
. Начислен НДС по товарам Д19 К76
. Предъявлен к вычету НДС по товарам Д68 К19
. Начислено комиссионное вознаграждение комиссионеру Д41 К76
. Начислен НДС с комиссионного вознаграждения Д19 К76
. Предъявлен к вычету НДС по комиссионному вознаграждению Д68 К19
. Перечислено вознаграждение комиссионеру и возмещены расходы (при
наличии) Д76 К51
Учет у комиссионера
В бухгалтерском учете комиссионера операции по приобретению товаров по
договору комиссии может быть таким.
. Получены денежные средства от комитента Д51 К76
. Перечислена оплата поставщику Д60 К51
. Отражено на забалансовом счете поступление товаров от поставщика Д002
. Отражен переход права собственности на товар Д76 К60
. Списан с забалансового счета товар, переданный комитенту К002
. Признан доход в виде комиссионного вознаграждения Д76 К90/1
. Начислен НДС с суммы комиссионного вознаграждения Д90/3 К68
. Получена сумма комиссионного вознаграждения Д51 К76
3.
Практическая часть
Задание к
расчетной части курсовой работы по Бухгалтерскому (финансовому) учету
I.
Составить:
·
журнал
регистрации хозяйственных операций за II квартал 2012 г. по ОАО "Бриз";
·
ведомость
распределения транспортно-заготовительных расходов и накладных расходов;
·
ведомость учета
услуг транспортного цеха;
·
ведомость
распределения услуг транспортного цеха;
·
ведомость учета
РСЭО;
·
ведомость
распределения РСЭО;
·
ведомость учета
цеховых расходов;
·
ведомость
распределения цеховых расходов;
·
ведомость учета
общехозяйственных расходов;
·
ведомость
распределения общехозяйственных расходов;
·
свод начисленной
заработной платы по составу и категориям работников;
·
открыть
синтетические счета, вывести остатки по счетам на 01.07;
·
журналы-ордера
(анализ счетов) № 1, 2, 6, 7, 8, 11, 13, 15;
·
главную книгу;
·
оборотную
ведомость по синтетическим счетам.
II.
Заполнить формы квартальной бухгалтерской отчетности по ОАО "Бриз"
ИНН 4209400006 за I полугодие:
·
форму № 1
"Бухгалтерский баланс";
·
форму № 2
"Отчет о прибылях и убытках"
3.1 Выписка
из учетной политики ОАО "Бриз"
|
Пункт учетной политики
|
Содержание
|
Примечание
|
|
Ответственный за ведение бухгалтерского учета
|
Нужно выбрать один из четырех вариантов: - главный
бухгалтер; - иное должностное лицо; - сторонний исполнитель в соответствии с
заключенным договором; - лично руководитель организации
|
За организацию бухгалтерского учета в любом случае отвечает
руководитель организации. А сам вести учет он может только в том случае, если
организация является субъектом малого или среднего предпринимательства
|
|
Способ ведения бухгалтерского учета
|
Возможные варианты: - вручную; - с использованием
бухгалтерской программы
|
Если вы используете программу, то можете написать, какую
именно
|
|
Рабочий план счетов
|
Вы можете применять: - стандартный План счетов; -
собственный план счетов
|
Самостоятельно разработанный план счетов лучше оформить в
качестве приложения к учетной политике
|
|
Используемые формы регистров бухгалтерского учета
|
Возможные варианты: - утверждаются в качестве приложения к
учетной политике; - утверждаются отдельным приказом
|
Формы регистров должны содержать ряд обязательных
реквизитов (п. 4 ст. 10 Федерального закона от 06.12.2011 N 402-ФЗ)
|
|
Используемые формы первичных документов
|
Возможные варианты: - утверждаются в качестве приложения к
учетной политике; - утверждаются отдельным приказом
|
Формы первичных учетных документов должны содержать ряд
обязательных реквизитов (п. 2 ст. 9 Федерального закона от 06.12.2011 N
402-ФЗ). Можно пользоваться унифицированными формами первичных учетных
документов
|
|
График документооборота
|
Возможные варианты: - утверждается в качестве приложения к
учетной политике; - утверждается отдельным приказом
|
График документооборота необходим прежде всего бухгалтеру,
чтобы знать ответственных за составление того или иного документа
|
|
График плановой инвентаризации имущества и обязательств
|
Возможные варианты: - ежеквартально; - ежемесячно; - иной
вариант
|
Вы можете установить периодичность по своему усмотрению
|
|
Лимит стоимости основных средств
|
Возможные варианты: - 191 455 руб.; - меньшая сумма
|
Самостоятельно выбранный лимит не может быть больше 191 455
руб. (п. 5 ПБУ 6/01 "Учет основных средств")
|
|
Способ начисления амортизации основных средств
|
В бухгалтерском учете амортизация основных средств
рассчитывается методом уменьшаемого остатка, а в налоговом учете - линейным
методом. По данным налогового учета сумма начисленной амортизации за второй
квартал составила 6000 р.
|
Можно использовать различные способы для разных групп
объектов
|
|
Способ начисления амортизации нематериальных активов
|
Нужно выбрать один из трех способов: - линейный; - способ
уменьшаемого остатка; - списания стоимости пропорционально объему продукции
(работ)
|
Можно использовать различные способы для разных групп
объектов
|
|
Метод оценки материалов и товаров, учитываемых по покупной
стоимости
|
Нужно выбрать один из трех методов: - по стоимости единицы;
- по средней стоимости; - по себестоимости первых по времени приобретения
материалов (товаров) (ФИФО)
|
"Упрощенцам" с объектом "доходы минус
расходы" удобно использовать тот же метод, что и в налоговом учете
|
|
Способ учета товаров в розничной торговле
|
Нужно выбрать один из двух способов учета товаров: - в
покупных ценах; - в продажных ценах
|
Данный пункт должны отразить в учетной политике
организации, ведущие розничную торговлю
|
|
Способ учета готовой продукции
|
Возможные варианты: - по фактической производственной
себестоимости; - по нормативной (плановой) себестоимости
|
Данный пункт должны отразить в учетной политике
организации, занимающиеся производством
|
|
Порядок признания управленческих и коммерческих расходов
|
Возможные варианты: - в конце месяца полностью списываются
на счет 90 "Продажи"; - распределяются между проданными и
непроданными товарами (работами, услугами) пропорционально выбранной базе и учитываются
на счетах учета затрат
|
В качестве базы может использоваться основная заработная
плата, прямые расходы и т.д.
|
3.2 Остатки
по аналитическим счетам на 01.04.2012
I. К
счету 60:
|
Предприятия
|
I
|
|
"Энергосбыт"
|
36120
|
|
"Нефтебаза"
|
20570
|
|
Итого
|
56690
|
II. К
счету 76:
|
Показатели
|
I
|
|
А) Дебиторская задолженность:
|
|
|
1. Фирма "Альфа"
|
2500
|
|
2. ТОО "Шанс"
|
940
|
|
Итого
|
3440
|
|
Б) Кредиторская задолженность: в т.ч. НДС по отгруженной
продукции
|
32323
|
III. К
счету 69:
|
Показатели
|
I
|
|
Фонд социального страхования (69/1)
|
3380
|
|
Пенсионный фонд (69/2)
|
18150
|
|
Федеральный фонд обязательного медицинского страхования
(69/3)
|
1064
|
|
Территориальный фонд обязательного медицинского страхования
(69/3)
|
2128
|
|
Итого
|
24722
|
Выписка из ведомости № 16 за I квартал.
|
Показатели
|
I
|
|
1. Остаток на 01.01
|
76116
|
|
2. Поступило по фактической себестоимости
|
41250
|
|
Итого поступило с остатком
|
117366
|
|
Отгружено:
|
|
|
а) по фактической стоимости
|
114404
|
|
б) по оптовой цене
|
193935
|
|
В т.ч. НДС
|
32323
|
|
Остаток
|
2962
|
3.3 Остатки
по счетам синтетического учета на 01.04.2012 года
|
№ счетов
|
Наименование счетов
|
Остаток в рублях
|
|
01
|
Основные средства
|
191 455
|
|
02
|
Амортизация основных средств
|
7202
|
|
10
|
Материалы
|
6696
|
|
19
|
НДС по приобретенным ценностям
|
|
43
|
Готовая продукция
|
2962
|
|
51
|
Расчетный счет
|
143707
|
|
60
|
Расчеты с поставщиками
|
56690
|
|
62
|
Расчеты с покупателями и заказчиками
|
232726
|
|
68
|
Расчеты по налогам и сборам
|
41392
|
|
69
|
Расчеты по социальному страхованию
|
24722
|
|
70
|
Задолженность работникам по оплате труда
|
62592
|
|
76
|
Расчеты с разными дебиторами
|
3440
|
|
76
|
Расчеты с разными кредиторами
|
38787
|
|
80
|
Уставный капитал
|
325846
|
|
83
|
Добавочный капитал
|
11443
|
|
84/1
|
Нераспределенная прибыль
|
13034
|
|
97
|
Расходы будущих периодов
|
581
|
|
БАЛАНС
|
1 163 416
|
3.4
Хозяйственные операции за ΙΙ квартал
|
№
|
Содержание хозяйственной операции
|
Дт
|
Кт
|
Сумма
|
|
1
|
Счет-фактура № 17. Поступило оборудование от ОАО
"Строймаш", не требующее монтажа:
|
|
|
|
|
а) покупная стоимость
|
08
|
60
|
45330
|
|
б) НДС
|
19
|
60
|
8159,4
|
|
2
|
Акцептован счет № 28 "Транспортного предприятия"
за услуги по доставке оборудования:
|
|
|
|
|
а) стоимость услуги
|
08
|
76
|
1240
|
|
б) НДС
|
19
|
76
|
223,2
|
|
3
|
Выписка банка от 12.2005. Перечислено с расчетного счета:
|
|
|
|
|
а) за оборудование ОАО "Строймаш"
|
60
|
51
|
53489,4
|
|
б) транспортному предприятию
|
76
|
51
|
1463
|
|
4
|
Бухгалтерская справка. Передано приобретенное оборудование
в эксплуатацию по первоначальной стоимости
|
01
|
08
|
46570
|
|
5
|
Выписка банка от 25.05. На расчетный счет поступили деньги
от покупателей за отгруженную продукцию, в т.ч. НДС 18 %
|
51
|
62
|
190280
|
|
6
|
Акцептован счет № 22 от 10.04 фирмы "Факел" за
поступившее сырье и материалы:
|
|
|
|
|
а) покупная стоимость
|
10
|
60
|
29600
|
|
б) сумма НДС 18 %
|
19
|
60
|
5328
|
|
7
|
Акцептован счет № 8 от 5.03 фирмы "Бета" за
поступивший инструмент
|
|
|
|
|
а) покупная стоимость
|
10
|
60
|
8040
|
|
б) сумма НДС 18 %
|
19
|
60
|
1447,2
|
|
8
|
Выписка банка от 12.04. Оплачены счета поставщиков: а) счет
№ 22 от 10.04 б) задолженность "Энергосбыту" (см. остатки по
аналитическим счетам)
|
60 60
|
51 51
|
34928 36120
|
|
9
|
Акцептован счет № 6 "Транспортного предприятия"
за услуги по доставке сырья и основных материалов:
|
|
|
|
|
а) стоимость услуги
|
10тзр
|
76
|
2840
|
|
б) НДС 18 %
|
19
|
76
|
511,2
|
|
10
|
Расчетно-платежная ведомость. Начислена заработная плата:
1. Основным производственным рабочим: за изделие А за изделие Б
|
20.1 20.2
|
70 70
|
22120 18140
|
|
2. Рабочим, обслуживающим оборудование
|
25.1
|
70
|
5940
|
|
3. Административно-управленческому персоналу цехов
|
25.2
|
70
|
7930
|
|
10
|
4. Административно-управленческому персоналу
заводоуправления
|
26
|
70
|
10340
|
|
5. Грузчикам за доставку материалов
|
10тзр
|
70
|
980
|
|
6. Транспортному цеху
|
23
|
70
|
2300
|
|
7. Начислено пособие по больничному листу за 12 дней мая
АУП: а) 3 дня за счет работодателя б) 9 дней за счет ФСС
|
26 69.1
|
70 70
|
245 735
|
|
11
|
Бухгалтерская справка. Сделаны отчисления на социальное
страхование и обеспечение от фонда оплаты труда всех категорий работающих: · ПФ РФ (22%): 1) основным производственным
рабочим: за изделие А за изделие Б 2) Рабочим, обслуживающим оборудование 3)
Административно-управленческому персоналу цехов 4)
Административно-управленческому персоналу заводоуправления 5) Грузчикам 6)
Транспортному цеху · ФСС
РФ (2,9%): 1) основным производственным рабочим: за изделие А за изделие Б 2)
Рабочим, обслуживающим оборудование 3) Административно-управленческому
персоналу цехов 4) Административно-управленческому персоналу заводоуправления
5) Грузчикам 6) Транспортному цеху · ФФОМС (5,1%): 1) основным производственным рабочим: за
изделие А за изделие Б 2) Рабочим, обслуживающим оборудование 3)
Административно-управленческому персоналу цехов 4)
Административно-управленческому персоналу заводоуправления 5)Грузчикам 6)
Транспортному цеху
|
20.1 20.2 25.1 25.2 26 10тзр 23 20.1 20.2 25.1 25.2
26 10тзр 23 20.1 20.2 25.1 25.2 26 10тзр 23
|
69.2 69.2 69.2 69.2 69.2 69.2 69.2 69.1 69.1 69.1
69.1 69.1 69.1 69.1 69.3 69.3 69.3 69.3 69.3 69.3 69.3
|
4866,4 3990,8 1306.8 1744,6 2274,8 215,6 506 641,48
526,06 172,26 229,97 299,86 28,42 66,7 1128,12 925,14 302,94 404,43 527,34
49,98 117,3
|
|
12
|
Лимитная карта. Отпущены со склада материалы по учетным
ценам: а) в основное производство:
|
|
|
|
|
на изделие А
|
20.1
|
10
|
19350
|
|
на изделие Б
|
20.2
|
10
|
11950
|
|
б) для обслуживания оборудования
|
25.1
|
10
|
1280
|
|
в) для нужд цеха № 1
|
25.2
|
10
|
540
|
|
г) для транспортного цеха
|
23
|
10
|
280
|
|
13
|
Акцептован счет № 28 "Энергосбыта" за
потребленную электроэнергию согласно справке главного энергетика:
|
|
|
|
|
а) в основное производство:
|
|
|
|
|
на изделие А
|
20.1
|
60
|
3850
|
|
на изделие Б
|
20.2
|
60
|
2940
|
|
б) для обслуживания оборудования
|
25.1
|
60
|
1280
|
|
в) для нужд цеха № 1
|
25.2
|
60
|
1350
|
|
г) для транспортного цеха
|
23
|
60
|
2200
|
|
14
|
Извещение о браке (изделие А). 14.1. Изъята из производства
окончательно забракованная продукция 14.2. Отпущены со склада материалы для
исправления брака по учетным ценам 14.3. Начислена заработная плата рабочим
за исправления брака 14.4. Сделаны отчисления от заработной платы по
исправлению брака: а) в ПФ РФ (22%) б) в ФСС РФ (2,9%) в) в ФФОМС (5,1%)
14.5. Оприходованы запасные части от окончательного брака 14.6. Удержано с
виновных лиц за брак из заработной платы 14.7. Списана доля
общепроизводственных расходов на брак: а) по обслуживанию оборудования б) по
обслуживанию цеха 14.8. Выявлены и списаны окончательные потери от брака
|
28 28 28 28 28 28 10 73.2 28 28 20.1
|
20.1 10 70 69.2 69.1 69.3 28 28 25.1 25.2 28
|
5640 2000 540 118,8 15,66 27,54 2400 2200 186,0 236,40
4164,40
|
|
15
|
Бухгалтерская справка. Списаны расходы будущих периодов на
общехозяйственные расходы
|
26
|
97
|
581
|
|
16
|
Приходный кассовый ордер № 20 от 10.04. Получены по чеку с
расчетного счета в кассу деньги: а) для выплаты заработной платы б) на
хозяйственные нужды
|
50 50
|
51 51
|
62592 2800
|
|
17
|
Расходный кассовый ордер № 38 от 11.04. Выдано в подотчет
экспедитору С. А. Иванову на хозяйственные нужды
|
71
|
50
|
400
|
|
18
|
Расходный кассовый ордер № 39 от 11.04. Выдано на
командировку инженеру В. Н. Петрову
|
71
|
50
|
2000
|
|
19
|
Авансовый отчет № 15 от 15.04 экспедитора С. А. Иванова
оплачены комиссионные сборы за хранение материалов
|
10тзр
|
71
|
350
|
|
20
|
Авансовый отчет № 16 от 20.04. Списаны расходы по
командировке согласно утвержденному авансовому отчету: а) проездные билеты -
1000 р. б) суточные 3 дн. * 700 =2100 р. в) счет гостиницы 3-е суток * 1850
р.
|
26 26 26
|
71 71 71
|
1000 2100 5550
|
|
21
|
Платежная ведомость № 3 от 11.04. Выдана из кассы
заработная плата
|
70
|
50
|
62592
|
|
22
|
Расчет бухгалтерии. Начислена амортизация основных средств:
а) оборудования и машин б) общепроизводственного назначения в)
общехозяйственного назначения г) транспортных средств
|
25.1 25.2 26 23
|
02 02 02 02
|
3600 1200 680 1120
|
|
23
|
Бухгалтерская справка. Согласно путевым листам списана
сумма ГСМ, израсходованных во ΙΙ квартале.
|
23
|
10
|
3800
|
|
24
|
Распределены и списаны ТЗР пропорционально израсходованным
материалам по учетным ценам: 1) в основное производство: на изделие А на
изделие Б 2) для обслуживания производства 3) для нужд цеха №1 4) для
транспортного цеха
|
20.1 20.2 25.1 25.2 23
|
10тзр 10тзр 10тзр 10тзр 10тзр
|
2586,18 1597,15 171,08 72,17 37,42
|
|
25
|
Ведомость распределения услуг транспортного цеха.
Распределены и списаны услуги транспортного цеха пропорционально отработанным
машинами часам: а) на нужды цеха 320 ч б) на общехозяйственные нужды 160 ч в)
на вывоз готовой продукции до станции отправления 280 ч
|
25.2 26 44
|
23 23 23
|
4390,49 2195,25 3841,68
|
|
26
|
Бухгалтерская справка. Распределены и списаны РСЭО
пропорционально основной заработной плате основных рабочих: 1) на изделие А
2) на изделие Б
|
20.1 20.2
|
25.1 25.1
|
7618,97 6248,11
|
|
27
|
Бухгалтерская справка. Распределены и списаны цеховые и
общехозяйственные расходы пропорционально заработной плате основных рабочих:
цеховые расходы: 1) на изделие А 2) на изделие Б общехозяйственные расходы:
1) на изделие А 2) на изделие Б
|
20.1 20 20 20
|
25.2 25.2 26 26
|
9683,82 7941,74 14171,55 11621,70
|
|
28
|
Бухгалтерская справка. Списана дебиторская задолженность с
истекшим сроком давности фирмы "Альфа" (см. остатки по
синтетическим счетам)
|
91.2
|
76
|
2500
|
|
29
|
Инвентаризационная опись. Выявлена порча сырья в цехе
основного производства: 29.1. Норма естественной убыли 29.2. Порча сверх
нормы естественной убыли отнесена за счет виновных лиц 29.3. Суд отказал о
взыскании с виновных лиц на сумму
|
94 20.1 73.2 91.2
|
10 94 94 94
|
1200 200 500 500
|
|
30
|
Выпущена из производства готовая продукция по фактической
стоимости, с учетом незавершенного производства на конец месяца: а) по
изделие А (8800 р.) б) по изделие Б (9430 р.)
|
43 43
|
20 20
|
74201 55359
|
|
31
|
Ведомость отгрузки. Отгружена покупателям продукция А по
оптовой цене (рентабельность 18 %; НДС 18 %): а) отражена выручка от продажи
изделия А; б) начислен НДС с выручки; в) списана себестоимость изделие А; г) списаны
расходы на продажу изделие А.
|
62 90.2 90.2 90.2
|
90.1 68 43 44
|
105740 16129,83 75940,92 3841,68
|
|
32
|
Акт приемки-передачи основных средств. Отгружено
оборудование по договорной цене покупателям, в т.ч. НДС: 32.1. Списывается
первоначальная стоимость 32.2. Списывается амортизация 32.3. Списывается
остаточная стоимость 32.4. Отражена выручка от продажи оборудования 32.5.
Начислен НДС 32.6 Отражены расходы, связанные с продажей оборудования 32.7.
Начислен НДС по расходам связанных с продажей
|
01вос 02 91.2 62 91.2 91.2 19
|
01 01вос 01 91.1 68.2 76 76
|
25000 940 24060 36220 5525,08 1000 180
|
|
33
|
Выявлен и списан результат от реализации изделия А
|
90.1
|
99
|
9828,07
|
|
34
|
Выписка из банка от 15.05. На расчетный счет поступила
дебиторская задолженность от ТОО "Шанс"
|
51
|
76
|
940
|
|
35
|
Выписка из банка от 26.06. На расчетный счет поступили
деньги от покупателей за реализованные основные средства (частично)
|
51
|
62
|
25000
|
|
36
|
Выписка банка. С расчетного счета перечислено фондам
социального страхования а) ФСС платежное поручение № 29 от 15.04; № 52 от
15.05; № 63 от 15.06. б) ПФ платежное поручение № 30; № 53; № 64. в) ФФОМС
платежное поручение № 31; № 54; № 63.
|
69.1 69.2 69.3
|
51 51 51
|
1964,75 14905 3455,25
|
|
37
|
Зачтена сумма налога на добавленную стоимость: а) по
приобретенным основным средствам б) по приобретенным и оплаченным материалам
|
68.2 68.2
|
19 19
|
8382,6
|
|
38
|
Выписка банка от 15.06. С расчетного счета перечислен налог
на доходы физических лиц Начислен НДФЛ с ФОТ
|
68.1 70
|
51 68.1
|
8640 8640
|
|
39
|
Акт проверки от 15.06. Выявлена прибыль прошлых лет
|
76
|
91,9
|
940
|
|
40
|
На расчетный счет поступили авансы от покупателей за
изделие Б
|
51
|
62
|
70000
|
|
41
|
Исчислена сумма НДС по поступившим авансам
|
76
|
68.2
|
10677,97
|
|
42
|
Выписка банка от 20.06. Погашена задолженность перед
"Энергосбыт" (см. операцию № 14 счет № 28)
|
60
|
51
|
11620
|
|
43
|
Бухгалтерская справка. Сделана реформация баланса: а)
закрыт счет 91; б) отражен ОНА; в) начислен УРНП; г) закрыт счет 99.
|
91.9 09 99 99
|
99 68.4 68.4 84
|
Выручка от продажи изделия А по оптовой цене (рентабельность 18%, НДС 18)
= (75940,92*1,18)*1,18 = 105740 руб.
Расчет НДС с выручки, выделяется из суммы выручки на продажу: 105740 х 18
/118 = 16129,83 руб.
Расчет НДС с аванса: 70000*18/118 = 10677,97 руб.
Расчет результата продаж определяется как разность оборотов по кредиту и
дебету за месяц по счету "Выручка" (90) и составила: 105740 -
95912,43= 9827,57 руб. ( прибыль).
Финансовый результат с прочих доходов и расходов: 37160-33585,08 =
3574,92 руб. (прибыль)
Начислен налог на прибыль (9827,57+3574,92) х 20% = 2680,6 руб.
Нераспределенная прибыль 13402,49 - 2680,49 = 10722,0 руб.
У предприятия образовывается отложенные налоговые активы, так как
согласно учетной политики есть разница между начислением амортизации ОС по
бухгалтерскому и налоговому учету.
|
Амортизация ОС Бухгалтерский учет, руб.
|
Амортизация ОС Налоговый учет, руб.
|
ОНА, руб.
|
|
6600
|
6000
|
(6600-6000)*20% = 120
|
3.6 Ведомости
учёта и распределения
Транспортно-заготовительные расходы.
В соответствии с п.25 и п.26 Методических указаний по бухгалтерскому
учету основных средств, затраты по доставке объектов ОС:
· приобретенные по договорам, предусматривающим исполнение
обязательств (оплату) не денежными средствами;
· полученных безвозмездно (по договорам дарения и т.д.),
учитываются как затраты капитального характера относятся организациями -
получателями на увеличение первоначальной стоимости объекта.
В соответствии с п.70 Методических указаний по бухгалтерскому учету
материально - производственных запасов, транспортно - заготовительные расходы -
это затраты организации, непосредственно связанные с процессом заготовления и
доставки материалов в организацию.
В состав транспортно - заготовительных расходов входят:
. Расходы по погрузке материалов в транспортные средства и их
транспортировке, подлежащие оплате покупателем сверх цены этих материалов
согласно договору;
. Расходы по содержанию заготовительно-складского аппарата организации. В
состав этих расходов включаются расходы на оплату труда.
Ведомость
транспортно-заготовительных расходов (ТЗР)
Ведомость
распределения ТЗР
Ведомость
учета услуг транспортного цеха
Ведомость
распределения услуг транспортного цеха
Ведомость
учета РСЭО
Ведомость распределения РСЭО
Ведомость
учета цеховых расходов

Ведомость
распределения цеховых расходов
Ведомость
учета общехозяйственных расходов
Ведомость
распределения общехозяйственных расходов
Свод
начисленной заработной платы по составу и категориям работников
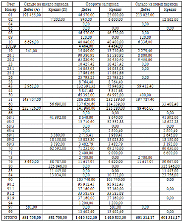
Сальдово-оборотная
ведомость за 2 квартал 2012 года
Список
литературы
1. Федеральный закон "О бухгалтерском учете" №
129-ФЗ от 21.11.1996.
2. Положение по ведению бухгалтерского учета и
отчетности в Российской Федерации от 29.07.1998г. № 34н.
. "Учетная политика организации" ПБУ
1/2008". Утверждено приказом Минфина РФ от 06.10.2008 № 106н (в ред. от
11.03.2009).
. "Учет основных средств" ПБУ 6/01".
Утверждено приказом Минфина РФ от 30.03.2001 №26н.
. "Условные факты хозяйственной
деятельности" ПБУ 8/01". Утверждено приказом Минфина РФ от 28.11.2001
№ 96н.
6. План счетов бухгалтерского учета финансово-хозяйственной
деятельности организации и инструкция по его применению от 31.10.2000 № 94н.
7. Бухгалтерский учет: Учебник / Е.В. Козлова, Н.В.
Парашутин, Г.Н. Бабченко, Е.Н. Галанина. 2009.
8. Бухгалтерский учет: отчетность и налогообложение;
учебник / Н. П. Барышников. - М., 2009.
. Бухгалтерский учет: учебник / П. С. Безруких, Н. П.
Кондратов, В. Ф. Палий [и др.]; под ред. П. С. Безруких. - 2-е изд., перераб. и
доп. - М.: Бухгалтерский учет, 2007.
10. Бухгалтерский, финансовый учет: учебник / И.Н.
Богатая, Н.Н. Хахонова - ООО "КноРус", 2011
11. #"653620.files/image023.gif">
Сальдо Дт 50 на 30.06.2012 - 400,00 руб.
ЖУРНАЛ-ОРДЕР № 2 - учетный регистр, служащий для отражения оборотов по
кредиту счета "Расчетный счет" при учете операций по расчетному
счету.
В ЖУРНАЛ - ОРДЕР № 2 за декабрь 2012 года
Сальдо на начало месяца 143 707,00 руб.
по дебету счета №. 51 "Расчетный счет" с кредита счетов
по кредиту счета № 51 "Расчетный счет" с дебета счетов
Сальдо на конец месяца 197787,4 руб.
Журналы ордера
ЖУРНАЛ - ОРДЕР № 6
"Расчеты с поставщиками и подрядчиками" за 2 квартал
ЖУРНАЛ - ОРДЕР № 7
Накопительная ведомость по расчетам с подотчетными лицами
Шахматная ведомость