Выявление различий в уровне исследуемого признака Н-критерий Крускала-Уоллиса
Введение
Очень часто перед исследователем в психологии стоит задача выявления
различий между двумя, тремя и более выборками испытуемых.
Это может быть, например:
ü задача определения психологических особенностей хронически
больных детей по сравнению со здоровыми;
ü юных правонарушителей по сравнению с законопослушными
сверстниками;
ü различий между работниками государственных предприятий и
частных фирм;
ü между людьми разной национальности или разной культуры;
ü и, наконец, между людьми разного возраста в методе
"поперечных срезов".
Иногда по выявленным в исследовании статистически достоверным различиям
формируется "групповой профиль" или "усредненный портрет"
человека той или иной профессии, статуса, соматического заболевания и др.
В последние годы все чаще встает задача выявления психологического
портрета специалиста новых профессий:
ü "успешного менеджера";
ü "успешного политика";
ü "успешного торгового представителя";
ü "успешного коммерческого директора" и др.
Такого рода исследования не всегда подразумевают участие двух или более
выборок. Иногда обследуется одна, но достаточно представительная выборка
численностью не менее 60 человек, а затем внутри, этой выборки выделяются
группы более и менее успешных специалистов, и их данные по исследованным переменным
сопоставляются между собой.
При решении задач выявления различий в уровневых показателях следует
помнить, что "усредненный профиль успешного специалиста" должен
рассматриваться скорее как исследовательский результат, позволяющий
сформулировать гипотезы для дальнейших исследований, а не как основание для
профессионального отбора.
Тому есть две причины:
Во-первых, ни у одного из успешных специалистов может не наблюдаться
"усредненный профиль" - он, в сущности, является отвлеченным
обобщением;
Во-вторых, в профессиональной деятельности наличие собственного
индивидуального стиля важнее соответствия "среднегрупповому" профилю.
Недостаток в тех качествах, которые могут казаться важными,
компенсируется другими качествами. У каждого успешного специалиста его
психологические свойства создают неповторимый ансамбль, который при усреднении
данных теряется. Р.Б. Кеттелл, учитывая это, предлагал при исследовании
профессиональной успешности включать в рассмотрение индивидуальные профили
выдающихся представителей той или иной профессии.
Сопоставление уровневых показателей в разных выборках может быть
необходимой частью комплексных диагностических, учебных, психокоррекционных и
иных программ. Оно помогает нам обратить внимание на те особенности
обследованных выборок, которые должны быть учтены и использованы при адаптации
программ к данной группе в процессе их конкретного воплощения.
1. Выявление различий в уровне исследуемого признака Н - критерий
Крускала-Уоллиса
. Основные понятия, использующиеся в математической обработке
психологических данных
Для того, чтобы грамотно обрабатывать психологические данные, необходимо
знать какие явления вы используете.
) Признаки и переменные - это измеряемые психологические явления.
Такими явлениями могут быть:
ü время решения задачи;
ü количество допущенных ошибок;
ü уровень тревожности;
ü показатель интеллектуальной лабильности;
ü интенсивность агрессивных реакций;
ü угол поворота корпуса в беседе;
ü показатель социометрического статуса и множество других
переменных.
Понятия признака и переменной могут использоваться как взаимозаменяемые.
Они являются наиболее общими. Иногда вместо них используются понятия показателя
или уровня, например, уровень настойчивости, показатель вербального интеллекта
и др.[1].
Понятия показателя и уровня указывают на то, что признак может быть
измерен количественно, так как к ним применимы определения "высокий"
или "низкий", например, высокий уровень интеллекта, низкие показатели
тревожности и др. Психологические переменные являются случайными величинами,
поскольку заранее неизвестно, какое именно значение они примут.
Значения признака определяются при помощи специальных шкал измерения.
) Шкала измерения:
ü номинативная, или номинальная, или шкала наименований;
ü порядковая, или ординальная, шкала;
ü интервальная, или шкала равных интервалов;
ü шкала равных отношений.
Номинативная шкала - это шкала, классифицирующая по названию: потеп
(лат.) - имя, название. Название же не измеряется количественно, оно лишь
позволяет отличить один объект от другого или одного субъекта от другого.
Номинативная шкала - это способ классификации объектов или субъектов,
распределения их по ячейкам классификации.
Порядковая шкала - это шкала, классифицирующая по принципу "больше -
меньше". Если в шкале наименований было безразлично, в каком порядке мы
расположим классификационные ячейки, то в порядковой шкале они образуют
последовательность от ячейки "самое малое значение" к ячейке
"самое большое значение" (или наоборот).
Интервальная шкала - это шкала, классифицирующая по принципу "больше
на определенное количество единиц - меньше на определенное количество
единиц". Каждое из возможных значений признака отстоит от другого на
равном расстоянии.
Шкала равных отношений - это шкала, классифицирующая объекты или
субъектов пропорционально степени выраженности измеряемого свойства. В шкалах
отношений классы обозначаются числами, которые пропорциональны друг другу: 2
так относится к 4, как 4 к 8. Это предполагает наличие абсолютной нулевой точки
отсчета.
) Статистические гипотезы:
Формулирование гипотез систематизирует предположения исследователя и
представляет их в четком и лаконичном виде. Благодаря гипотезам исследователь
не теряет путеводной нити в процессе расчетов и ему легко понять после их
окончания, что, собственно, он обнаружил.
Статистические гипотезы подразделяются на нулевые и альтернативные,
направленные и ненаправленные.
Нулевая гипотеза - это гипотеза об отсутствии различий. Она обозначается
как H0 и называется нулевой потому, что содержит число 0: X1-Х2=0, где X1, X2 -
сопоставляемые значения признаков. Нулевая гипотеза - это то, что мы хотим
опровергнуть, если перед нами стоит задача доказать значимость различий.
Альтернативная гипотеза - это гипотеза о значимости различий. Она
обозначается как H1. Альтернативная гипотеза - это то, что мы хотим доказать,
поэтому иногда ее называют экспериментальной гипотезой. Нулевая и
альтернативная гипотезы могут быть направленными и ненаправленными.
Направленные гипотезы:: X1 не превышает Х2: X1 превышает Х2
Ненаправленные гипотезы:: X1 не отличается от Х2
Н1: Х1 отличается от Х2
) Статистические критерии:
Статистический критерий - это решающее правило, обеспечивающее надежное
поведение, то есть принятие истинной и отклонение ложной гипотезы с высокой
вероятностью.[5]
Статистические критерии обозначают также метод расчета определенного
числа и само это число.
Критерии делятся на параметрические и непараметрические.
Параметрические критерии: Критерии, включающие в формулу расчета
параметры распределения, то есть средние и дисперсии (t - критерий Стьюдента,
критерий F и др.)
Непараметрические критерии: Критерии, не включающие в формулу расчета
параметров распределения и основанные на оперировании частотами или рангами
(критерий Q Розенбаума, критерий ТВилкоксона и др.)
) Уровень статистической значимости:
Уровень значимости - это вероятность того, что мы сочли различия
существенными, а они на самом деле случайны. Иными словами это вероятность
отклонения нулевой гипотезы, в то время как она верна.
) Мощность критериев:
Мощность критерия - это его способность выявлять различия, если они есть.
Иными словами, это его способность отклонить нулевую гипотезу об отсутствии
различий, если она неверна.
Мощность критерия определяется эмпирическим путем.
Основанием для выбора того или иного критерия при решении задачи является
не только его мощность, но и такие характеристики как:
а) простота;
б) более широкий диапазон использования (например, по отношению к данным,
определенным по номинативной шкале, или по отношению к большим n);
в) применимость по отношению к неравным по объему выборкам;
г) большая информативность результатов.
Для каждого критерия уже существует свой алгоритм расчетов.
.
Характеристика Н - критерия Крускала-Уоллиса
.1 Описание критерия
Критерий предназначен для оценки различий одновременно между тремя,
четырьмя и т.д. выборками по уровню какого-либо признака.
Он позволяет установить, что уровень признака изменяется при переходе от
группы к группе, но не указывает на направление этих изменений.
Критерий Н иногда рассматривается как непараметрический аналог метода
дисперсионного однофакторного анализа для несвязных выборок.[6] Иногда его
называют критерием "суммы рангов".[4]
Данный критерий является продолжением критерия U на большее, чем 2,
количество сопоставляемых выборок. Все индивидуальные значения ранжируются так,
как если бы это была одна большая выборка. Затем все индивидуальные значения
возвращаются в свои первоначальные выборки, и мы подсчитываем суммы полученных
ими рангов отдельно по каждой выборке.
Если различия между выборками случайны, суммы рангов не будут различаться
сколько-нибудь существенно, так как высокие и низкие ранги равномерно
распределятся между выборками. Но если в одной из выборок будут преобладать
низкие значения рангов, в другой - высокие, а в третьей - средние, то критерий
Н позволит установить эти различия.
.2 Гипотезы Н - критерия Крускала-Уоллиса
: Между выборками 1, 2, 3 и т. д. существуют лишь случайные различия по
уровню исследуемого признака.
Н1: Между выборками 1, 2, 3 и т. д. существуют неслучайные различия по
уровню исследуемого признака.
.3 Графическое представление критерия Н
Критерий Н оценивает общую сумму перекрещивающихся зон при сопоставлении
всех обследованных выборок.
Если суммарная область наложения мала (Рис. 2.6 (а)), то различия
достоверны;
Если она достигает определенной критической величины и превосходит ее
(Рис. 1 (б)), то различия между выборками оказываются недостоверными.
Рис.1. 2 возможных варианта соотношения рядов значений в трех выборках;
штриховкой отмечены зоны наложения.
.4 Ограничения критерия Н
. При сопоставлении 3-х выборок допускается, чтобы в одной из них п-Ъ, а
двух других n=2. Но при таких численных составах выборок мы сможем установить
различия лишь на низшем уровне значимости (р≤0,05).
Для того, чтобы оказалось возможным диагностировать различия на более
высоком уровнем значимости (р5~0,01), необходимо, чтобы в каждой выборке было
не менее 3 наблюдений, или чтобы по крайней мере в одной из них было 4
наблюдения, а в двух других - по 2; при этом неважно, в какой именно выборке
сколько испытуемых, а важно соотношение 4:2:2.
. Критические значения критерия Н и соответствующие им уровни значимости
приведены в Табл. 1. Таблица предусмотрена только для трех выборок и {n1, n2,
n3}≤5.
Таблица 1
При большем количестве выборок и испытуемых в каждой выборке необходимо
пользоваться Таблицей критических значений критерия χ2,
поскольку критерий
Крускала-Уоллиса асимптотически приближается к распределению χ2.[4]
Количество степеней свободы при этом определяется по формуле:
=c-1
где с - количество сопоставляемых выборок.
. При множественном сопоставлении выборок достоверные различия между
какой-либо конкретной парой (или парами) их могут оказаться стертыми. Это
ограничение можно преодолеть, если провести все возможные попарные
сопоставления, число которых будет равняться ½·[c·(c-1)]*6 таких попарных
сопоставлений используется, естественно, критерий для двух выборок, например U
или φ*.
Рассмотрим пример.
В эксперименте по исследованию интеллектуальной настойчивости 22
испытуемым предъявлялись сначала разрешимые четырехбуквенные, пятибуквенные и
шестибуквенные анаграммы, а затем неразрешимые анаграммы, время работы над
которыми не ограничивалось. [4]
Эксперимент проводился индивидуально с каждым испытуемым. Использовалось
4 комплекта анаграмм. У исследователя возникло впечатление, что над некоторыми
неразрешимыми анаграммами испытуемые продолжали работать дольше, чем над
другими, и, возможно, необходимо будет делать поправку на то, какая именно
неразрешимая анаграмма предъявлялась тому или иному испытуемому.
Показатели длительности попыток в решении неразрешимых анаграмм
представлены в Табл. 2.
Все испытуемые были юношами-студентами технического вуза в возрасте от 20
до 22 лет. Можно ли утверждать, что длительность попыток решения каждой
из 4 неразрешимых анаграмм примерно одинакова?
Таблица 2 Показатели длительности попыток решения 4 неразрешимых анаграмм
в секундах (7V=22)
|
Группа 1: анаграмма ФОЛИТОН
(n1=4)
|
Группа 2: анаграмма КАМУСТО
(n2=8)
|
Группа 3: анаграмма СНЕРАКО
(n3=6)
|
Группа 4: анаграмма
ГРУТОСИЛ (n4=4)
|
|
1 2 3 4 5 6 7 8
|
145 194 731 1200
|
145 210 236 385 720 848 905
1080
|
128 283 469 482 1678 2081
|
60 2361 2416 3600
|
|
суммы
|
2270
|
4549
|
5121
|
8437
|
|
средние
|
568
|
566
|
854
|
2109
|
Сформулируем гипотезы.: 4 группы испытуемых, получившие разные
неразрешимые анаграммы, не различаются по длительности попыток их решения.: 4
группы испытуемых, получившие разные неразрешимые анаграммы, различаются по
длительности попыток их решения.
.5 Алгоритм «Подсчет критерия Н Крускала-Уоллиса»
Теперь познакомимся с алгоритмом расчетов.
. Перенести все показатели испытуемых на индивидуальные карточки.
. Пометить карточки испытуемых группы 1 определенным цветом, например
красным, карточки испытуемых группы 2 - синим, карточки испытуемых групп 3 и 4
- соответственно, зеленым и желтым цветом и т. д. (Можно использовать,
естественно, и любые другие обозначения.)
. Разложить все карточки в единый ряд по степени нарастания признака, не
считаясь с тем, к какой группе относятся карточки, как если бы мы работали с
одной объединенной выборкой.
. Проранжировать значения на карточках, приписывая меньшему значению
меньший ранг. Надписать на каждой карточке ее ранг. Общее количество рангов
будет равняться количеству испытуемых в объединенной выборке.
. Вновь разложить карточки по группам, ориентируясь на цветные или другие
принятые обозначения.
. Подсчитать суммы рангов отдельно по каждой группе. Проверить совпадение
общей суммы рангов с расчетной.
. Подсчитать значение критерия Н
а. При количестве групп с=3, n1•n2•n3≤5 определить критические
значения и соответствующий им уровень значимости по Табл. 1.(см. выше).
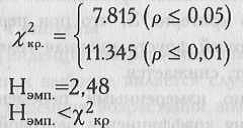
Если Нэмп равен или превышает критическое значение H0,05, H0 отвергается.
б. При количестве групп с>3 или количестве испытуемых n1•n2•n3>5,
определить критические значения χ2 по Табл. 1.(см. выше).
Если Нэмп равен или превышает критическое значение χ2,
H0 отвергается.
Воспользуемся этим алгоритмом при решении задачи о неразрешимых
анаграммах. Результаты работы по 1-6 шагам алгоритма представлены в Табл. 3.
Таблица 3. Подсчет ранговых сумм по группам испытуемых, работавших над
четырьмя неразрешимыми анаграммами
|
Группа 1: анаграмма ФОЛИТОН
(n1=4)
|
Группа 2: анаграмма КАМУСТО
(n2=8)
|
Группа 4: анаграмма
ГРУТОСИЛ (n4=4)
|
|
Длительность
|
Ранг
|
Длительность
|
Ранг
|
Длительность
|
Ранг
|
Длительность
|
Ранг
|
|
145 194 731 1200
|
3,5 5 13 17
|
145 210 236 385 720 848 905
1080
|
3,5 6 7 9 12 14 15 16
|
128 283 469 482 1678 2081
|
2 8 10 11 18 19
|
60 2361 2416 3600
|
1 20 21 22
|
|
Суммы средние
|
|
38,5 9,6
|
|
82,5 10,3
|
|
68 11,3
|
|
64 16,0
|
|
|
|
|
|
|
|
|
|
|
Общая сумма рангов =38,5+82,5+68+64=253. Расчетная сумма рангов:
Σ Rᵢ = 
Равенство
реальной и расчетной сумм соблюдено.
Поскольку таблицы критических значений критерия Н предусмотрены только
для количества групп с = 3, а в данном случае у нас 4 группы, придется
сопоставлять полученное эмпирическое значение Н с критическими значениями у}.
Для этого вначале определим количество степеней свободы V для c=4: v=c- 1 = 4 -
1 = 3
Теперь определим критические значения по Табл. 4. для v=3
Таблица 4
Ответ:
Н0 принимается: 4 группы испытуемых, получившие разные неразрешимые
анаграммы, не различаются по длительности попыток их решения.
Заключение
Психологу никогда не бывает скучно, потому что он всегда изучает и
исследует - людей, ситуации, самого себя. Он постоянно ищет свой путь в
выявлении новых закономерностей и фактов.
Методы математической статистики могут оказать на этом пути неоценимую
помощь, но они - лишь средство, которое не должно заслонять собою цель.
Необходимо помнить, что достоверная статистическая тенденция - это все же
не психологическая закономерность, а выпадающие из общей картины индивидуальные
значения - не артефакт, а отражение, быть может, закономерности более высокого
порядка, чем те, что выявляются с помощью математических методов.
Рассмотренный Н критерий Крускала-Уоллиса представляет собой обобщение
критерия Манна-Уитни.
Сначала все значения, независимо от того, какой выборке они принадлежат,
упорядочивают по возрастанию. Каждому значению присваивается ранг - номер его
места в упорядоченном ряду. (Совпадающим значениям присваивают общий ранг,
равный среднему тех мест, которые эти величины делят между собой в общем
упорядоченном ряду.) Затем вычисляют суммы рангов, относящихся к каждой группе,
и для каждой группы определяют средний ранг.
При отсутствии межгрупповых различий средние ранги групп должны оказаться
близки. Напротив, если существует значительное расхождение средних рангов, то
гипотезу об отсутствии межгрупповых различий следует отвергнуть. Значение
критерия Крускала-Уоллиса Н и является мерой такого расхождения средних рангов.
Критерий
Крускала-Уоллиса позволяет установить, что уровень признака изменяется при
переходе от группы к группе, но не указывает на направление этих изменений.
Критерий имеет свои ограничения: минимальный объем выборок составляет 4:2:2.
При объеме 3:2:2 различия устанавливаются лишь на низшем уровне значимости (p <0.05).
Список использованной литературы
1. Андреенков В.Т, Аргунова К.Д. и др. Математические
методы анализа и интерпретация социологических данных. // Под ред. В.Г.
Андреенкова, Ю.Н. Толстовой. М.: Наука, 1989. 171 с.
2. Лашков К.В., Поляков Л.Е. Непараметрические методы
медико-статистических исследований. / К.В. Лашков, Л.Е. Полянский. M.: Наука,
1965. С. 136-184.
. Паповян С.С. Математические методы в социальной
психологии. / С.С. Поповян. М.: Наука, 1983. 343 с.
. Сидоренко Е.В. Методы математической обработки в
психологии. /Е.В. Сидоренко. СПб.: ООО «Речь», 2003.-350с.
. Суходольский Г.В. Математико-психологические модели
деятельности. / Г.В. Суходольский. СПб.: Петрополис, 1994. 64 с.
. Тюрин Ю.Н. Непараметрические методы статистики. /
Ю.Н. Тюрин. М.: Знание, 1978. 64 с.