Система сертификации. Контроль качества на производстве
Задача № 1
Для перевозки груза в железнодорожном контейнере используется
транспортный пакет с наружными расчетными размерами a, b и c.
Требуется: 1. Обосновать и назначить геометрические размеры
транспортного пакета для перевозки груза на основе рядов предпочтительных
чисел, Ra5, Ra10, Ra20 и Ra40 (ГОСТ 8032-84).
. Указать оптимальную (т.е. наиболее целесообразную) схему
размещения транспортного пакета в контейнере (по экономическим показателям).
Исходные данные:
Расчетные минимальные геометрические размеры транспортного
пакета для перевозки груза равны:
a = 515 мм,
b = 835 мм,
c = 650 мм
Используемый контейнер - УК-5
Решение:
Транспортным пакетом называется укрупненное грузовое место,
сформированное из отдельных мест груза в таре (например, ящиках, мешках,
бочках, специализированных контейнерах) или без тары, скрепленных между собой с
помощью универсальных, специальных разового использования или многооборотных
пакетирующих средств, на поддонах или без них.
Размеры и конструкция тары должны обеспечивать наилучшее
использование грузоподъемности и вместимости вагонов (контейнеров).
На основе рядов предпочтительных чисел Ra5, Ra10, Ra20 и Ra40 проведем обоснование
геометрических размеров транспортного пакета для перевозки груза. При
изготовлении транспортного пакета по ряду предпочтительных чисел Ra5 размеры транспортного
пакета будут равны:
a = 630 мм,
b = 1000 мм,
c = 1000 мм
При изготовлении транспортного пакета по ряду
предпочтительных чисел Ra10 размеры транспортного пакета будут равны:
a = 630 мм,
b = 1000 мм,
c = 800 мм
При изготовлении транспортного пакета по ряду
предпочтительных чисел Ra20 размеры транспортного пакета будут равны:
a = 560 мм,
b = 900 мм,
c = 710 мм
При изготовлении транспортного пакета по ряду
предпочтительных чисел Ra40 размеры транспортного пакета будут равны:
a = 530 мм,
b = 850 мм,
c = 670 мм
По заданию используется контейнер УК-5, для которого длина
равна 2050 мм, ширина 2504 мм и высота 2128 мм.
При изготовлении по ряду Ra5 данных пакетов
поместится:
в длину 2050/630 = 3,254 ≈ 3 пакета
в ширину 2504/1000 = 2,504 ≈ 2 пакета
в высоту 2128/1000 = 2,128 ≈ 2 яруса
Итого при изготовлении транспортных пакетов по ряду Ra5 их общее количество
будет равно: 3*2*2=12 пакетов.
При изготовлении по ряду Ra10 данных пакетов
поместится:
в длину 2050/630 = 3,254 ≈ 3 пакета
в ширину 2504/1000 = 2,504 ≈ 2 пакета
в высоту 2128/800 = 2,66 ≈ 2 яруса
Итого при изготовлении транспортных пакетов по ряду Ra10 их общее количество
будет равно:
*2*2=12 пакетов.
При изготовлении по ряду Ra20 данных пакетов
поместится:
в длину 2050/560 = 3,661 ≈ 3 пакета
в ширину 2504/900 = 2,782 ≈ 2 пакета
в высоту 2128/710 = 2,997 ≈ 2 яруса
Итого при изготовлении транспортных пакетов по ряду Ra20 их общее количество
будет равно: 3*2*2=12 пакетов.
При изготовлении по ряду Ra40 данных пакетов
поместится:
в длину 2050/530 = 3,868 ≈ 3 пакета
в ширину 2504/850 = 2,946 ≈ 2 пакета
в высоту 2128/670 = 3,176 ≈ 3 яруса
Итого при изготовлении транспортных пакетов по ряду Ra40 их общее количество
будет равно: 3*2*3=18 пакетов
Транспортный пакет
Схема расположения транспортных пакетов в контейнере
Задача № 2
Система сертификации определяется как система, располагающая
собственными правилами процедуры и управления для проведения сертификации
соответствия. Федеральный закон "О техническом регулировании"
определяет ее как совокупность правил выполнения работ по сертификации, ее
участников и правил функционирования системы сертификации в целом. Таким
образом, становится ясным, что проведение сертификации возможно только в рамках
системы сертификации, которая должна быть признанна всеми ее участниками, и
зарегистрирована в установленном порядке. В Российской Федерации регистрацию
системы сертификации осуществляет госстандарт, являющийся национальным органом
по сертификации. В его задачу входит проверка соответствия правил
самостоятельных систем сертификации российскому законодательству и нормативным
документам и ведения реестра зарегистрированных систем.
Наиболее распространенной в области обязательной сертификации
является система сертификации ГОСТ Р. Основная цель систем обязательной
сертификации - защита потребителей (физических и юридических лиц) от
приобретения (использования) товаров, работ и услуг, которые опасны для их
жизни, здоровья и имущества, а также для окружающей среды. Другие цели, для
которых создается система обязательной и добровольной сертификации, заключаются
в улучшении качества продукции и услуги, повышении конкурентоспособности на
внутреннем рынке и содействие экспорту, если система признана за рубежом.
Система сертификации должна предусматривать свободный доступ
изготовителям, потребителям, общественным организациям, органам по
сертификации, испытательным лабораториям, а также всем другим заинтересованным
предприятиям, организациям и отдельным лицам к информации о её деятельности, в
том числе правилах, участниках результатах аккредитации, составляющей коммерческую
тайну.
Схема сертификации.
Сертификация проводится по установленным в системе
сертификации схемам. Схема сертификации - это состав и последовательность
действий третьей стороны при оценке соответствия продукции, услуги, системы
качества и персонала. Как правило, система сертификации предусматривает
несколько схем. При выборе схемы должны учитываться особенности производства,
испытании, поставки и использования конкретной продукции, требуемый уровень
доказательности, возможные затраты заявителя. Схема сертификации должна
обеспечивать необходимую доказательность сертификации.
Задача № 3
При производстве детали необходимо контролировать качество её
изготовления.
Требуется:
Определить погрешность измерения размера детали от температурной
деформации 
, если температура средства измерения и температура воздуха в цехе

, а деталь измеряется сразу после финишной операции. Коэффициент
линейного расширения материала измерительного средства 
(легированная сталь).
Решение:
Погрешность измерения от температурной деформации 
находится по формуле:

м, где

-измеряемый размер, м;

-поправка на температуру детали:

,

-поправка на температуру средства измерения:

,
С учётом этого, поправка 

, 

Погрешность измерения:

мкм.
Задача № 4
В результате работы пункта технического осмотра (ПТО) грузовых
вагонов были получены выборки и выявлены вероятности появления дефектов ходовых
частей, подчиняющиеся нормальному закону распределения. Выборки имеют различные
показатели для смен, работающих в ночное и дневное время, и характеризуются их
средними арифметическими значениями 
, а также среднеквадратическими отклонениями 
. При этом накопленные данные для представленных выборок были
получены за разное количество смен n.
Требуется:
Используя двух выборочный t-критерий Стьюдента определить возможность статистического
сравнения данных выборок и объединения их в одну общую выборку для получения
обобщённых статистических данных за сутки.
Решение:
В результате работы пункта технического осмотра (ПТО) грузовых
вагонов были получены выборки и выявлены вероятности появления дефектов ходовых
частей, подчиняющиеся нормальному закону распределения.
При этом выборка для смен, работающих в ночное время, была
получена за 
смен, и характеризуется она средним арифметическим значением
вероятности обнаружения дефектов 
, а также среднеквадратическим отклонением 
.
Данные для полученной выборки работы дневной смены характеризуются
средним арифметическим значением вероятности обнаружения дефектов 
, среднеквадратическим отклонением 
, и накоплены они за 
смен.
Двух выборочный t-критерий
Стьюдента используется в случае, когда сравниваемые выборки подчиняются
нормальному закону распределения и при этом обеспечивается условие равенства их
дисперсий. Гипотеза о равенстве дисперсий в выборках проверяется сравнением
частных несмещённых значений генеральной совокупности, следующим образом:

, где

-степень свободы для значения в числителе;

- степень свободы для значения в знаменателе;

-критическая область значимости для исследуемого распределения.
В нашем случае для 
смен и 
смен по таблице F-распределения
найдём значение: 
Соответственно, 
Условие 
соблюдается, что свидетельствует о том, что существенной разницы
между дисперсиями в исследуемых выборках нет и их можно сравнивать, используя
двух выборочный t-критерий Стьюдента.
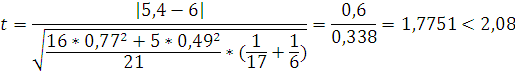
Нахождение t-критерия
является наиболее часто используемым методом обнаружения сходства между
средними значениями двух выборок. Значение данного критерия находится из
условия:

, где

-сравнительный показатель, который зависит от условия значимости 
.

:
Из приложения 
Тогда значение t-критерия
Стьюдента:
Поскольку условие t=1,7751
соблюдается, то сравниваемые выборки равны, и разница между ними
случайна, и причины её не существенны. Соответственно, статистическое сравнение
данных выборок работы пункта технического осмотра (ПТО) в ночную и дневную
смены возможно. Также возможно объединение накопленных данных в одну общую
выборку, которая позволит получить достоверные данные о вероятности обнаружения
дефектов ходовых частей грузовых вагонов в процессе работы ПТО в течение суток.
сертификация контроль качество деталь
Задача № 5
Две детали (отверстие и вал) соединяются друг с другом по
посадке, характер которой определяется назначением и конструктивными
особенностями деталей.
Требуется:
. Определить предельные (наибольший и наименьший)
размеры отверстия и вала;
2. Определить характер соединения двух деталей (с
зазором, с натягом или переходный);
. Определить вероятные предельные зазоры и натяги;
4. Вычислить процент соединений с зазором, исходя из
нормального закона распределения размеров деталей при их изготовлении. После
рассеяния для отверстия и вала принять полю допуска (
, 
).
. Выполнить чертёж соединения вала и отверстия в масштабе.
Исходные данные:
ES = +0,018мм
ЕI = 0мм
еs = +0,009мм
ei = - 0,009мм
Решение:
Рассчитаем предельные размеры диаметров отверстия и вала.
Определяем допуски размеров диаметров отверстия и вала.
Рассчитаем значения наибольшего зазора 
и наибольшего натяга 
.
,

Так как 
мм, то в соединении будет посадка с зазором.
Определяем допуск посадки
Вычисляем процент соединений с зазором, исходя из нормального
закона распределения размеров деталей при их изготовлении. После рассеяния для
отверстия и вала принять равным полю допуска (
, 
).
Нормированная формула Лапласа
,
По таблице значения функции Лапласа:
Ф (2,14) = 0,4838 мм
Ф (3) = 0,49865 
Относительное число соединений с зазором будет равно

Относительное число соединений с натягом будет равно
Процент соединения с зазором будет равен
Процент соединения с натягом будет равен
Найдём вероятные предельные зазоры и натяги:
Используемая
литература
1. Сергеев
А.Г., Латышев М.В., Терегеря В.В. "Метрология, стандартизация,
сертификация" - М.: Логос, 2004 - 326 стр.;
2. Белкин
И.М., "Допуски и посадки" - М.: Машиностроение, 1992 - 420 стр.;
. Аристов
А.И., Карпов Л.И., Приходько В.М., Раковщик Т.М. "Метрология,
стандартизация и сертификация": учебник для высших учебных заведений - М.:
Академия, 2006-459 стр.;
. Федеральный
закон от 27 декабря 2002г. №184-ФЗ "О техническом регулировании" -
М.: Онега-Л, 2006-48л.;
. Палей
М.А. и др. "Единая система допусков и посадок СЭВ в машиностроении и
приборостроении", Справочник в 2т. - М.: Издательство стандартов, 1989 -
648 стр.