Система подъема транспортно-пускового контейнера с изделием весом 90 тонн

  • Вид работы:
    Курсовая работа (т)
  • Предмет:
    Другое
  • Язык:
    Русский
    ,
    Формат файла:
    MS Word
    2,26 Мб
  • Опубликовано:
    2013-10-01
Вы можете узнать стоимость помощи в написании студенческой работы.
Помощь в написании работы, которую точно примут!

Система подъема транспортно-пускового контейнера с изделием весом 90 тонн

СОДЕРЖАНИЕ

. Исходные данные

. Анализ различных схем подъема. Обоснование выбранной схемы

2.1 Классификация по источнику энергии

.2 Классификация по движителю

3. Выбор параметров силового треугольника

3.1 Подбор размеров силового треугольника

4. Предварительный выбор параметров системы

4.1 Определение наветренной площади

.2 Расчёт ветровой нагрузки

.3 Расчёт момента неуравновешенности

.4 Расчёт моментов и сил, действующих на объект

.4.1 В транспортном положении

.4.2 В рабочем (вертикальном) положении

.5 Расчёт поперечной базы

.6 Расчёт домкратов

. Окончательный выбор параметров по программе Vitesnitel.exe

.1 Параметры груза (ракеты)

.2 Параметры промежуточного силового элемента

.3 Параметры стрелы

.4 Параметры рамы и опор грузоподъёмной установки

.5 Прочие исходные данные

.6 Определение параметров стрелы, промежуточного силового элемента и груза пусковой контейнер нагрузка гидроцилиндр

5.7 Определение параметров вытеснителя и гидроцилиндра

.8 Параметры вытеснителя

.8.1 Параметры рабочей камеры гидроцилиндра напорной магистрали

.8.2 Параметры камеры противодавления и магистрали сброса

.8.3 Параметры гидравлической камеры вытеснителя

.8.4 Параметры газовой камеры вытеснителя

.8.5 Параметры поршня-разделителя

.8.6 Параметры камер воздушных аккумуляторов давления и соединительных трубопроводов

.9 Определение прочих исходных данных для расчета динамики

.10 Выбор параметров

.11 Описание работы гидросхемы

. Исследование влияния начального давления на параметры системы

Заключение

Приложение

.       
ИСХОДНЫЕ ДАННЫЕ

Исходными данными для проведения расчетов являются следующие параметры:

▪        Масса изделия - 78 тонн;

▪        Масса ТПК - 6 тонн;

▪        Длина изделия - Lтпк = 32 м;

▪        Диаметр изделия - Dтпк = 2,5 м;

▪        Центр тяжести ТПК с изделием и стрелой - x = 18 м;

▪        Расстояние от края шахты до оси заднего домкрата - Lбез= 1 м;

▪        Масса стрелы - 6 тонн;

▪        Допускаемое ускорение при подъеме - 11 м/с2;

▪        Схема подъема: пневмогидравлическая;

▪        Максимальное давление в гидросистеме - 28.0 МПа;

▪        Время подъема - 30 с;

▪        b = 2,0 м;

▪        d = 0,4 м;

▪        Н0 =2,84 м

Рис. 1.1. Принципиальная схема системы

2. АНАЛИЗ РАЗЛИЧНЫХ СХЕМ ПОДЪЕМА. ОБОСНОВАНИЕ ВЫБРАННОЙ СХЕМЫ

Существует множество схем подъема груза, но их все можно классифицировать по двум признакам: по источнику энергии и по движителю. Сочетание первого и второго дает такое широкое многообразие схем подъема, что дает возможность конструктору выбрать оптимальную.

.1 Классификация по источнику энергии

 

a)      Электрический привод

Электрическим приводом называется электромеханическое устройство, предназначенное для приведения в движение рабочих органов машин и управления их технологическими процессами, состоящее из передаточного, электродвигательного, преобразовательного и управляющего устройств.

Передаточное устройство содержит механические передачи и соединительные муфты, необходимые для передачи вырабатываемой двигателем механической энергии исполнительному механизму.

Преобразовательное устройство предназначается для управления потоком электрической энергии, поступающим из сети с целью регулирования режимов работы двигателя и механизма.

Управляющее устройство представляет собой информационную слаботочную часть системы управления, предназначенную для фиксации и обработки поступающей информации о задающих воздействиях и состоянии системы и выработки на её основе сигналов управления остальным устройствам.

Эти приводы обладают большим диапазоном мощностей и разнообразны по исполнению.

В грузоподъемных машинах применяют электропривод с двигателями постоянного и переменного тока. Основным преимуществом двигателей постоянного тока является возможность регулирования скорости в широких пределах и получения механических характеристик, наиболее полно удовлетворяющих требованиям, предъявляемым к работе грузоподъемных машин. Кроме того, двигатели постоянного тока обладают большей перегрузочной способностью и более напряженным режимом работы.

Электропривод с двигателем переменного тока по сравнению с приводом постоянного тока обладает более низкой стоимостью и меньшими затратами при эксплуатации, вследствие более простой и надежной конструкции. Кроме того для электродвигателей переменного тока не требуется преобразовательные устройства для получения энергии из сети.

Электропривод представляет собой электромеханическую систему, электрическая часть которой состоит из электромеханического преобразователя энергии и системы управления, а механическая включает в себя все связанные движущиеся массы привода и механизма.

Источниками электрической энергии может являться аккумуляторы и генераторы. Аккумуляторы выдают постоянный ток, а генератор переменный, при добавлении диодного моста в генератор можно получить постоянный ток. Для генератора нужен источник энергии - это может быть двигатель внутреннего сгорания или же турбина, работающая от энергии сжатых газов. Для схемы с аккумуляторами не нужно чтобы источник энергии обладал большой мощностью, поэтому вместо него можно использовать двигательную установку самой подъемной машины, часть энергии которой будет расходоваться на подзарядку аккумуляторов, но аккумуляторы не обладают достаточным ресурсом, поэтому их нельзя ставить на часто используемый грузоподъемный механизм.

b)      Привод от двигателей внутреннего сгорания

Этот привод, по сравнению с электрическим приводом не зависит от источников питания. Однако привод от двигателей внутреннего сгорания обладает незначительной перегрузочной способностью и неустойчивостью работы при малой частоте вращения. Этот двигатель не может развить достаточный пусковой момент, поэтому сначала производят его пуск вхолостую, а затем с помощью фрикционной муфты присоединяют к нему рабочие механизмы грузоподъемной машины. Невозможность реверсирования двигателей внутреннего сгорания (чтобы опускание груза и стрелы было возможно только двигателем) приводит к необходимости применения специальных реверсивных устройств - механических, электрических, гидравлических и др.

Привод от двигателей внутреннего сгорания находит применение на автопогрузчиках и различных передвижных кранах. Специальные двигатели, предназначенные для грузоподъемных машин, промышленностью не выпускаются. На самоходных стреловых кранах и автопогрузчиках используют в основном транспортные дизели или автомобильные карбюраторные двигатели, а на плавучих кранах находят применение также судовые дизели.

c)       Пневматический привод

Этот привод применяют в основном в подъемниках и легких кранах с ограниченной высотой подъема, лебедках и талях, а также для управления механизмами кранов с приводом от двигателя внутреннего сгорания. Так же их применяют при работе во взрывоопасной среде.

Сжатый воздух к пневмоприводу подается от компрессорных установок, баллонов высокого давления (воздушных аккумуляторов давления) или пороховых аккумуляторов давления.

Для создания поступательного перемещения служат пневматические или гидравлические цилиндры с поступательным движением штока. В талях и лебедках, в которых канат навивается на барабан, энергия сжатого воздуха преобразуется в механическую энергию поднимаемого груза с помощью роторных пневмомоторов, которые выполнены поршневыми или реже шестеренчатыми.

Достоинством пневматического привода являются простота конструкции, легкость управления, плавность работы, простота регулирования скорости и развиваемых усилий в широких пределах, большое допустимое число включений в час. Основными недостатками, препятствующими распространению являются трудность применения в передвижных кранах с питанием от общей сети сжатого воздуха, низкий кпд вследствие потерь энергии при дроссельном управлении при подъеме груза массой меньше номинальной, высокая стоимость эксплуатации, а также опасность возникновения колебаний с большими амплитудами.

d)      Пороховой привод

Пороховым приводом называется пневметический привод с использованием газа, который образуется в результате горения специальных веществ - порохов, обеспечивающий большой газоприход в процессе горения. Основное преимущество таких приводов в том, что не нужно запасать большие объемы рабочего тела - нужно взять пороховую шашку, которая гораздо меньше по размерам и весу. К основным недостаткам, помимо недостатков пневматического привода добавиться высокая температура рабочего тела и, обычно, нелинейные законы горения порохов, а также неустойчивым процессом горения при давлении ниже критического, которое, обычно, составляет не ниже 2,0 МПа. График давления в случае применения порохового заряда будет возрастающим, в отличии от баллона, где давление падает по степенному закону.

e)       Ручной привод.

Этот привод используется как аварийный для повышения надежности системы при отказе основного привода. Как главный привод его можно использовать только в системах с малой грузоподъемностью (до 5 тонн), это позволяет облегчить конструкцию, так как двигателем в этом случае будет человек. Но оператор не обладает достаточной мощностью и необходимый крутящий момент достигается лишь подбором соответствующего передаточного числа механизма, в тоже время частота вращения приводной рукоятки тоже ограничена - отсюда и ограничение по применимости в технике, но надежность таких приводов позволяет их использовать как резервные.

2.2 Классификация по движителю

a)      Гидравлический привод

Основными преимуществами гидравлического привода по сравнению с механическим, являются: плавное бесступенчатое регулирование скорости движения рабочих органов машин; большая перегрузочная способность; меньшая масса и размеры, приходящая на единицу передаваемой мощности; малая инерционность привода, что особенно важно для машин, работающих в повторно-кратковременном режиме, так как работа, совершаемая приводом или тормозом в периоды пуска и торможения, существенно зависит от момента инерции вращающихся частей или массы поступательно движущихся частей привода; сравнительная простота осуществления автоматизации и защиты; высокая надежность и долговечность.

К недостаткам гидропривода можно отнести большую стоимость, так как необходима большая точность изготовления, трудность предупреждения утечек рабочей жидкости, ухудшение работы при низких температурах, необходимость частой замены рабочей жидкости и т.п.

В грузоподъемных машинах применяют гидродинамические передачи и объемный гидропривод.

К гидродинамическим передачам относятся гидродинамический трансформатор и гидравлическая муфта, используемые в качестве промежуточной передачи между двигателем и рабочими механизмами в кранах с приводом от двигателя внутреннего сгорания. Введение в привод гидродинамического трансформатора способствует увеличению производительности машины благодаря более полному использованию мощности двигателя и позволяет осуществить регулирование скорости рабочих органов. Кроме того гидродинамический трансформатор уменьшает динамические нагрузки, действующие на рабочие механизмы и двигатель.

Объемный гидропривод имеет приводной двигатель и насос, подающий рабочую жидкость, используемую как средство преобразования и передачи энергии в рабочий цилиндр или гидродвигатель, исполнительный механизм и систему трубопроводов и клапанов управления. Гидродвигатели, преобразующие энергию потока жидкости в механическую энергию перемещения рабочих органов, разделяют на гидроцилиндры с возвратно-поступательным движением выходного звена, поворотные с ограниченным поворотным движением выходного звена, гидромоторы с неограниченным вращательным движением выходного звена(роторные). Также можно поставить турбонасосный агрегат - очень эффективный вариант, имеет минимальные массогабаритные характеристики, не требует двигателя. Но этот вариант крайне сложно отработать. Лопатки имеют большую инерционность, следовательно, необходимо время на их раскрутку, также в момент, когда необходимо остановить их они продолжают вращение.

b)      Механический привод

К механическим приводам относят передачи винт-гайка, червячную передачу и зубчатый сектор или рейка с приводной шестерней. К недостаткам таких систем можно отнести ступенчатое регулирование скорости, введение специальных упругих элементов для обеспечения плавного пуска, непостоянство коэффициента трения в ходе эксплуатирования агрегата, из-за чего меняется момент сопротивления, большая нагрузка на движущихся поверхностях передачи. Основными достоинствами таких систем является относительная простота конструкции, червячная и передача винт-гайка обладают односторонней проводимостью крутящего момента (груз может находится в поднятом положении при выключенном двигателе за счет сил трения в системе).

Эти приводы наиболее развиты, так как у них очень большая история, и за время их использования выработаны наиболее удачные конструкции, поэтому их довольно часто применяют, но в последнее время на их место приходят гидравлические. Хотя механические привода очень хорошо использовать в жестких климатических условиях.

c)       Пневматический привод

Эти привода используются обычно в малонагруженных конструкциях. К его недостаткам можно отнести травмоопасность при отказе, сложность удерживающих устройств. Как и у гидравлического у него плавная регулировка скорости, но меньшая надежность, очень более чувствителен к перепаду температур. Для воздушных приводов проблемы утечки решаются просто - работой компрессора во время работы, главное чтоб расход воздуха от компрессора превышал величину утечки. При работе компрессора возникает ряд трудностей: нужно осушать воздух который подается в силовые цилиндры во избежание коррозии трущихся поверхностей, которые не защищены смазочным материалом как в гидравлике (от конденсирования влаги из газа), наличие баллона-ресивера. При использовании заводских баллонов существенно увеличивается стоимость эксплуатации такого комплекса.

Подводя итог скажем что все привода служат для приведения в действие тех или иных рабочих органов машин и управления их движением. Однако, применяя гидропривод, можно заметить, что он обладает удачным сочетанием ряда ценных для машин качеств:

. Имеет малый удельный вес и удельные габариты в сравнении с механическим и электрическим приводом, что объясняется отсутствием валов, редукторов, муфт, фрикционов, генераторов и др. Эта величина для гидропривода колеблется в пределах:

 кг/кВт

для электропривода:

 кг/кВт;

где    - масса механизма;

 - мощность механизма.

2. Позволяет бесступенчато и в широком диапазоне регулировать скорость движения управляемого объекта, что позволяет повышать коэффициент приводного двигателя.

Диапазон регулирования гидропривода:

Дг. пр. = 50…5000 ед.

Для электродвигателя: Дэ. дв.  200 ед. при мощности электромагнитного усилия:эму  50 кВт;

. Обладает малой инерционностью; (на порядок ниже, чем инерционность электропривода), что обеспечивает хорошие динамические свойства, увеличивает долговечность машины и сокращает время рабочего цикла, а так же позволяет совершать реверсирование рабочих движений за доли секунды.

. Простота и надежность в управлении. Гидропривод допускает полную автоматизацию управления при малых затратах энергии на формирование управляющего сигнала.

. Возможность передачи механической энергии одновременно от нескольких источников (ДВС, электродвигателей и т.д.) и возможности разветвления мощности.

. Имеет возможность осуществления простым способом: осуществления больших передаточных отношений между ведущим и ведомым звеньями. Это осуществляется путем соответствующего подбора рабочих объемов насоса и гидромотора.

7. Обеспечивает возможность преобразования без дополнительных устройств вращательного движения ведущего звена в поступательное ведомого, в случае применения в качестве ведомого звена гидроцилиндра. Подбором соответствующего диаметра гидроцилиндра и давления рабочей жидкости, можно создавать практически любые усилия на ведомом звене при обеспечении независимого положения ведущего и ведомого звена, надежной фиксацией последнего и возможности регулирования его перемещения.

. Гидроцилиндр обладает хорошей агрегатностью, т.е. сравнительно легко компонуется в отдельные блоки и агрегаты, незначительно уступая по этому качеству электроприводу.

. Гидропривод обладает достаточно жесткой механической характеристикой, ниже, чем у механических передач, но выше чем у пневмо- и электроприводов: См > Cг. пр. > Сэ. пр. > Сп. пр.;

. Гидропривод не чувствителен к вибрациям, перегрузкам, мало чувствителен к радиации. По способности работать в условиях перегрузок и радиации он стоит на одном уровне с пневматическими и механическими приводами.

. В гидроприводе легко решается вопрос защиты механизма от перегрузок путем системы предохранительных клапанов.

12. Гидропривод безопасен с точки зрения искрообразования и замыкания рабочих органов, по этому качеству он равноценен механическим приводам.

13. Гидропривод легко способен решить задачу необратимости и эластичного торможения в момент остановки рабочего органа или аварии.

. В гидроприводе легко решается проблема теплопередачи от тяжело нагруженных рабочих элементов к окружающей среде. Это позволяет практически избегать применения систем охлаждения.

. Гидропривод герметичен и не нуждается в смазке.

Наряду с положительными качествами гидропривод имеет и ряд недостатков, к которым относятся следующие факторы:

1.      Чрезвычайно высокая стоимость, связанная с

1.1 Сложностью;

.2 Высокими требованиями по точности изготовления;

.3 Малым объемом производства;

2.      Неоднозначность характеристик КПД у приводов с различным регулированием;

.        Изменение характеристик связанных с износом;

Невозможность ремонта в полевых условиях.

Все выше перечисленное склоняет к выбору гидравлического привода. Эта схема выбрана исходя из массы поднимаемого груза (механическая система будет работать при очень больших напряжениях в зоне контакта, если не использовать специальных разгружающих устройств, а их задействование усложняет конструкцию делая ее менее надежной) и безопасности эксплуатации данной системы.

Энергия на подъем находится в баллонах со сжатым газом, который закачивается в них от небольшого компрессора, который поддерживает постоянное значение давления в воздушном аккумуляторе давления. Преимущество этой схемы в том, что не требуется большая мощность приводного мотора компрессора, так как используется аккумулированная энергия и график давления в вытеснительной камере гидроцилиндра будет ближе подходить к графику равновесного давления. Баллоны со сжатым газом располагаются в свободном пространстве системы для обеспечения более рационального использования места в приводе подъема. Масса самих баллонов меньше чем масса закачанного в них газа, так как использованы взрывобезопасные баллоны из армидных волокон, полученные намоткой и футерованные алюминием. Во избежание проблем со смазкой и уплотнениями силового гидроцилиндра выбрана не чисто пневматическая схема, а пневмо-гидравлическая, когда энергия сжатого газа преобразуется в поступательное движение поршня вытеснителя, который через жидкость приводит в движение основной гидроцилиндр. Надежность такой системы достаточна для обеспечения надежности комплекса в целом, так как такие системы хорошо отработаны и часто применяются.

3. ВЫБОР ПАРАМЕТРОВ СИЛОВОГО ТРЕУГОЛЬНИКА

Рис. 3.1.Установка

Таблица исходных данных

mп , кг

Dр, м

Lр, м

xр, м

90000

2,5

32

18

 

mп - масса поднимаемого груза вместе со стрелой;

Dтпк - диаметр ТПК;

Lтпк - длина ТПК;

xр - центр тяжести ракеты;

При выборе параметров силового треугольника следует руководствоваться рядом принципов:

. Количество степеней гидроцилиндра не должно превышать 4.

. Отношение максимального плеча к начальному не должно превышать 1,3.

.1 Подбор размеров силового треугольника

Рис. 3.2. Силовой треугольник.

Варьируя параметры с и а, добьемся выполнения обоих ограничений, тогда а = 7,86 м, с =11,14 м, а остальные параметры рассчитываются так:


?? - угол подъёма ТПК;


L0 - длина гидроцилиндра в сложенном состоянии;

Lk - длина гидроцилиндра в выдвинутом состоянии;

 

χ - ход гидроцилиндра;

 - максимальный ход гидроцилиндра;


h - плечо приложения силы;


Рис. 3.3. График хода гидроцилиндра в зависимости от угла ??.

Рис.3.4. График изменения плеча гидроцилиндра в зависимости от угла ??.

4. ПРЕДВАРИТЕЛЬНЫЙ ВЫБОР ПАРАМЕТРОВ СИСТЕМЫ

.1 Определение наветренной площади

Исходными данными для определения наветренной площади и точек приложения силы ветра будут геометрические размеры контейнера и рамы установки. В зависимости от высоты меняется коэффициент учитывающий ветровую нагрузку, в пределах 10 м его можно считать постоянным (интегральным), разобьем все на участки.

Первый участок h<10 м:

υ1 = 5,710593, υ2 = 14,03624; R1 = 30,14963; r1 = 2,061553;

 

Второй участок: 10<h<20:

 

Третий участок: 20<h<30:

 

Четвертый участок: h>30:


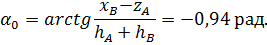
Где,  - это угол между горизонталью проходящей через ось цапф и отрезком, соединяющим ось цапф с точкой А;

 - это угол между горизонталью проходящей через ось цапф и отрезком, соединяющим ось цапф с точкой В;

 - расстояние от земли до оси цапф;

 - проекция контейнера на вертикальную ось;

 - высота верхней точки контейнера;

 - высота центра давления i-го участка;

 - это текущий угол подъема контейнера.

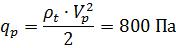
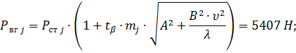
.2 Расчет ветровой нагрузки

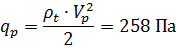
) Расчет скоростного напора:


 = 1,29 кг/м3 - плотность воздуха при температуре 0°С;

Vp=20 м/с - скорость ветра;

) Расчет статической ветровой нагрузки:


Cj =0,7- аэродинамический коэффициент, зависящий от формы конструкции;

Kj - коэффициент увеличения скоростного напора по высоте:

▪                                        H≤10 м K = 1;

▪        10<H ≤20 м K = 1,22;

▪        20<H ≤ 30 м K = 1,37 ;

▪        30<H < 40 м K = 1,48;

Fj - наветренная площадь (см. п. 2.2);

) Расчет пульсирующей нагрузки:


tβ =1,5- число стандартов нормального распределения, соответствующих заданной вероятности нагрузки. Зависит от вида нагрузки, от суммарного времени эксплуатации агрегата;

A=0,8 - коэффициент масштаба конструкции;

mj - коэффициент вариации скоростного напора (зависит от высоты ):

▪                                        H ≤10 м m = 0,33;

▪        10<H ≤ 20 м m = 0,272;

▪        20<H ≤ 30 м m = 0,256;

▪        30<H < 40 м m = 0,246;

4) Расчет инерциальной составляющей ветровой нагрузки:


B=0,21 - спектральный коэффициент. Зависит от скорости набегающего потока и от собственной частоты колебаний;

??=0,01 - коэффициент затухания;

υ=0,63 - коэффициент, учитывающий несинхронность ветрового потока. Зависит от длины конструкции, скорости набегающего потока и частоты собственных колебаний;

) Суммарная сила:


) Расчет моментов.


7) Расчет суммарного момента:

4.3 Расчет момента неуравновешенности


Q - масса груза(ракета + ТПК) и стрелы;

g - ускорение свободного падения;

ρ - расстояние от оси цапф до центра масс груза и стрелы;


Mв - ветровой момент; Mст - момент от весовой нагрузки;

Таблица результатов

ϕ, град

0

15

35

65

90

L, м

4,064283

5,965854

8,778639

12,75892

15,52054

X, м

0

1,90157

4,714355

8,694638

11,45626

h, м

6,255469

7,880338

8,041092

7,005002

5,590037

Za, м

5,84

13,50235

22,50475

31,29709

32,84

Zв, м

3,34

2,805325

2,102423

1,238694

0,84

L1, м

2,5

7,194675

7,897577

8,761306

9,16

L2, м


3,502349

10

10

10

L3, м



2,504749

10

10

L4, м




1,297088

2,84

h1, м

1,75

3,562662

3,211212

2,779347

2,58

h2, м


8,911174

12,16

12,16

12,16

h3, м



18,41237

22,16

22,16

h4, м




27,16

27,80854

F1

6,25

17,98669

19,74394

21,90327

22,9

F2


8,755872

25

25

25

F3



6,261873

25

25

F4




3,242721

7,1

Рст1

1128,75

3963,043

4885,086

5854,48

6120,895

Рст2


1929,199

6682,2

6682,2

Рст3



1549,325

6682,2

6682,2

Рст4




866,7404

1897,745

Рпв1

446,985

1293,537

1500,698

1728,243

1806,888

Рпв2


629,6905

1900,201

1972,585

1972,585

Рпв3



475,9527

1972,585

1972,585

Рпв4




255,8618

560,2143

Pn1

1743,744

5742,785

6949,855

8232,322

8606,943

Pn2


2795,573

8799,984

9396,226

9396,226

Рис.4.1. График зависимости моментов от угла 𝜑.

4.4 Расчет моментов и сил действующих на систему

 

.4.1 В транспортном положении

) Расчет силы и опрокидывающего момента, действующих на контейнер:


Пояснения к формулам даны в разделе 3 пункте 2, где приведен расчет ветровой нагрузки.

При расчете опрокидывающего момента (М опрj) используем плечо h. Это расстояние от земли до центра масс ракеты. Далее появятся плечи h1 и h2. Это расстояния от земли до центра масс стрелы и рамы соответственно.

2) Расчет силы и опрокидывающего момента, действующих на стрелу:

 

) Расчет силы и опрокидывающего момента, действующих на раму:

 

) Суммарный опрокидывающий момент:

 

) Удерживающий момент:

 

k=1,5 - коэффициент устойчивости.

 

.4.2 В рабочем (вертикальном) положении

) Расчет силы и опрокидывающего момента, действующих на контейнер:


При определении Мопр j мы используем плечо hв. Это расстояние от земли до центра масс ракеты, когда ТПК находится в вертикальном положении. Далее появятся плечи hв1 и hв2. Это расстояния от земли до центра масс стрелы и рамы соответственно.

2)Расчет силы и опрокидывающего момента, действующих на стрелу:

 

) Расчет силы и опрокидывающего момента, действующих на раму:

 

) Суммарный опрокидывающий момент:

 

) Удерживающий момент:

.5 Расчет поперечной базы


где G=Q·g=882900 H - вес ракеты с ТПК; G1 =60000 H - вес стрелы; G2=0,15·G=1144777 H - вес рамы;

Примем В=3 м.

4.6 Расчет домкратов

1)      Нагрузка на каждый домкрат в транспортном положении.


где: Б - расстояние между домкратами;

l=11,69 м - расстояние от центра тяжести ракеты до заднего домкрата;

l1=8,87 м - расстояние от центра тяжести стрелы до заднего домкрата;

l2=8,06 м - расстояние от центра тяжести рамы до заднего домкрата;

2) Нагрузка на каждый домкрат в рабочем (вертикальном) положении.


где: l’=4,365 м - расстояние от центра тяжести ракеты (в вертикальном положении) до заднего домкрата;

l1=2,592м - расстояние от центра тяжести стрелы (в вертикальном положении) до заднего домкрата;


) Расчет диаметров и площадей домкратов:

 

Pmax=24 МПа - номинальное давление, действующее на домкрат;

5. ОКОНЧАТЕЛЬНЫЙ ВЫБОР ПАРАМЕТРОВ ПО ПРОГРАММЕ VITESNITEL.EXE

.1 Параметры груза (ракеты)

Масса груза mг = 78 т.

Допускаемые поперечные ускорения груза при подъеме [awг]=11 м/с2.

Длина груза Lг=30,9 м.

Диаметр груза Dг=2,4 м.

Изменение погонной массы и момента инерции сечения по длине груза:

xгj , м

0

14,45

29,9

m’гj , т/м

1,222

3,826


Jгj , м4

0,0389

0,0389



Модуль упругости материала корпуса груза Eг=2·105 Па.

Безразмерный коэффициент демпфирования материала корпуса груза γг=0,2

Вертикальная координата оси груза относительно оси цапф hг=1,75 м.

Координаты и жесткости опор груза на промежуточный силовой элемент:

xкгi, м

0,0

7,0

14,0

28,0

скгi/10-7, Н/м

2,0

2,0

2,0

2,0


5.2 Параметры промежуточного силового элемента

Масса промежуточного силового элемента mk=6,0 т.

Диаметр промежуточного силового элемента Dk=2,5 м.

Координаты и значение сосредоточенных масс промежуточного силового элемента:

xкi , м

-1,0

-0,5

26,0

mкi , т

0,3

0,2

1,0


Координата днища xk1= -2,0 м.

Координата крышки xk2=30,0 м.

Погонная масса промежуточного силового элемента (постоянная по длине) mk1=0,141 т/м.

Момент инерции сечения промежуточного силового элемента (постоянен по длине) Jk1=0,0486 м4.

Модуль упругости материала стенки промежуточного силового элемента Ek=1,5·1011 Па.

Безразмерный коэффициент демпфирования материала промежуточного силового элемента γг=0,2.

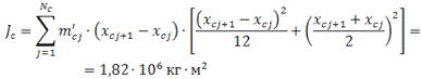
5.3 Параметры стрелы

Суммарная масса стрелы mc=6 т.

Материал стрелы - сталь.

Изменение погонной массы и момента инерции сечения по длине стрелы:

xсj , м

-0,33

30,33

mсj , т/м

0,196


Jcj , м4

0,146



Высота центра масс недеформированной стрелы относительно оси цапф hcc=-0,15 м.

Высота верхней опоры гидроцилиндра относительно оси цапф стрелы hв=0,4 м.

Высота оси цапф относительно нижней опоры гидроцилиндра ha=2,0 м.

Модуль продольной упругости материала стрелы Ес=2·1011 Па.

Безразмерный коэффициент демпфирования материала стрелы γс=0,026.

Жесткость верхнего силового элемента крепления гидроцилиндра к стреле в направлении, перпендикулярном нейтральной оси стрелы, сBw=7, 5·108 Н/м.

Жесткость верхнего силового элемента крепления гидроцилиндра к стреле в направлении нейтральной оси стрелы, сBx=3,0·108 Н/м.

Координаты и жесткости узлов крепления промежуточного силового элемента к стреле:

xскi, м

2,0

12,0

22,0

28,0

сскi/10-7, Н/м

3,0

3,0

3,0

3,0


5.4 Параметры рамы и опор грузоподъемной установки

На установке используются две пары гидравлических опор.

Коэффициенты жесткости опор (включая местную жесткость рамы на поперечное сжатие) kопi=2,926·108 Н/м.

Массы опор, включая массы выдвижных частей в гидравлических опорах и половину массы механизма винтовых опор mопi=300 кг.

Размеры подошвы опоры b1i×b2i=0,6×0,9 м.

Координаты опор грузоподъемной установки относительно оси цапф стрелы: zоп 1=1,764 м, zоп 2=18,0 м.

Суммарная масса машины (без стрелы, промежуточного силового элемента, груза, гидроцилиндра и опор) mp=80 т.

Материал рамы грузоподъемной машины - сталь.

Изменение погонной массы и момента инерции сечения по длине рамы грузоподъемной машины:

xpj , м

-0,01

6,69

19,30

mpj , т/м

0,5501

0,3342


Jpj , м4

0,027

0,02



Модуль продольной упругости материала рамы Ep=2·1011 Па.

Безразмерный коэффициент демпфирования рамы γр=0,026.

Коэффициент приведенной вертикальной жесткости передней опоры стрелы с учетом местной жесткости рамы на поперечное сжатие от действия силы со стороны передней опоры стрелы сс=3,344·108 Н/м.

Горизонтальная координата передней опоры стрелы zc=19,3 м.

Коэффициент приведенной жесткости нижней опоры гидроцилиндра на вертикальное усилие со стороны гидроцилиндра с учетом местной вертикальной жесткости рамы сАy=3,34·108 H/м.

Коэффициент приведенной жесткости нижней опоры на горизонтальное усилие со стороны гидроцилиндра с учетом местной жесткости рамы и продольной жесткости участка рамы от нижней опоры гидроцилиндра A до оси цапф O сАz=1,672·108 H/м.

Горизонтальная координата опоры гидроцилиндра на раме zА=7,86 м.

5.5 Прочие исходные данные

Время подъема груза в вертикальное положение (с момента начала горения заряда воспламенителя) - при нормальной температуре - не более tпод=25 с.

В гидросистеме грузоподъемной установки используется масло АМГ-10. При температуре 20 и атмосферном давлении это масло имеет плотность ρ=850 кг/м3, кинематическую вязкость ν=2·10-5 м2/с (динамическая вязкость µ=1,7·10-2 кг/м/с) и изотермический модуль объемного сжатия К∞ж1=1250·106 Па. Более подробные характеристики вязкости и сжимаемости масла см. в файле oil.txt. Предельное давление в газовых и гидравлических полостях [р2]=280·105 Па. Давление наддува бака, в который сливается жидкость из камеры противодавления, рбак=3·105 Па.

Грузоподъемная система должна работать при температурах -40°…+40°. Грузоподъемная установка должна осуществлять подъем груза на бетонных и грунтовых площадках. В качестве расчетного случая будем рассматривать работу на супесчаном грунте с коэффициентом пористости 0,6.

5.6 Определение параметров стрелы, промежуточного силового элемента и груза

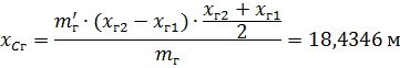
Координата центра масс груза:


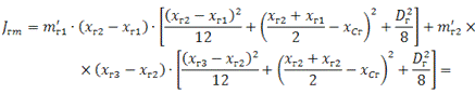
Момент инерции груза относительно его центра масс:


Координата центра масс промежуточного силового элемента:

Момент инерции промежуточного силового элемента относительно его центра масс:

 

Координата центра масс стрелы:


Момент инерции стрелы относительно оси цапф:

 

Разность вертикальных координат нейтральной оси недеформированной стрелы в плоскости передней опоры стрелы и в плоскости оси цапф: ΔyCc=0.

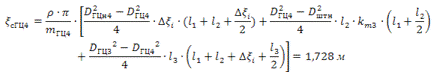
.7 Определение параметров гидроцилиндра и вытеснителя

Число ступеней гидроцилиндра:


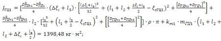
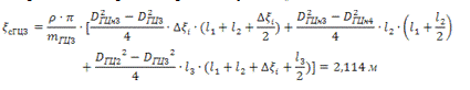
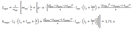
Будем полагать, что клапанная коробка расположена в корпусе гидроцилиндра (такое расположение повышает безопасность системы при обрыве трубопровода). Также примем l1=0,55 м - расстояние от нижней оси крепления гидроцилиндра до нижних торцов цилиндров. l2=0,15 м - длина нижней, нерабочей части гидроцилиндров, в которой располагается пыльник, направляющая втулка, канавки под уплотнения. l3=0,12 м - длина верхней, нерабочей части гидроцилиндров, в которой располагаются канавки под уплотнения. l4=0,17 м - расстояние от верхней оси крепления гидроцилиндра до верхнего его торца.

Длина гидроцилиндра в полностью сжатом состоянии L0=4,064 м.

Ход выдвижения одной ступени Δξi=2,864 м.

Начальный угол наклона оси гидроцилиндра :


Наружный диаметр второй ступени гидроцилиндра:

 

kр=1,07 - коэффициент, учитывающий потери в трубопроводе, силу трения и инерции.

[р2]=200·105 Па - величина номинального давления в гидросистеме.

Примем зазор между внутренним диаметром первой ступени и наружным диаметром второй ступени равным 10 мм.

Внутренний диаметр первой ступени: DГЦ1=DГЦн2+2·0,01 = 0,452 м.

Толщина стенки цилиндра первой (наружной) ступени:

Здесь p0=105 Па - атмосферное давление.

kзап=2 - коэффициент запаса.

Наружный диаметр первой ступени: DГЦн1=DГЦ1+2·δГЦ1= 0,49 м.

Аналогично определяем толщину стенки цилиндра второй и третьей ступени:


Внутренний диаметр второй ступени: DГЦ2=DГЦн2-2·δГЦ2= 0,396 м.

Примем зазор между внутренним диаметром второй ступени и наружным диаметром третьей ступени равным 10 мм.

Тогда DГЦн3=DГЦ2-2·0,01= 0,376 м.


Внутренний диаметр второй ступени: DГЦ3=DГЦн3-2·δГЦ3= 0,346 м.

Примем зазор между внутренним диаметром третьей ступени и наружным диаметром четвёртой ступени равным 10 мм.

Тогда DГЦн4=DГЦ3-2·0,01= 0,326 м.

Толщина стенки цилиндра четвёртой ступени (полагаем, что максимальное давление в камере противодавления такое же, как и в рабочей камере):


Внутренний диаметр четвёртой ступени: DГЦ4=DГЦн4-2·δГЦ4= 0,3 м.

Наружный диаметр штока можно оценить по формуле: Dшт=0,4× ×DГЦ1=0,181 м. Примем Dшт =0,16 м. Толщина стенки штока примем δшт=2× ×δГЦ1=0,038 м.

Координаты начала выдвижения ступеней гидроцилиндра:

Δξгц1, м

Δξгц2, м

Δξгц3, м

Δξгц4, м

Δξгц5, м

0

2,864

5,728

8,592

11,456


Начальная координата верхней крышки гидроцилиндра:


Координата нижней крышки камеры противодавления:


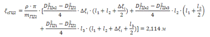
Длина трубчатой части штока lшт=Δξi+l2=3,014 м

Масса цилиндра первой ступени:

 

ρ =7800 кг/м3 плотность материала (стали 40Х).

Коэффициент km1=0,2 учитывает массу проушины верхней опоры, а также утолщения стенки в передней и задней частях цилиндра.

Масса цилиндра второй ступени:

Масса цилиндра третьей ступени:


Масса цилиндра четвертой ступени:


km3=0,85 - коэффициент, учитывающий облегчение нижней части цилиндра.

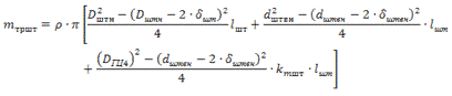
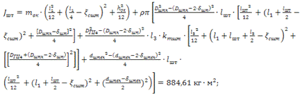
Величина mшт равна сумме масс наружной и внутренней трубы штока, клапанной коробки и нижней оси гидроцилиндра. Суммарную массу оси и частично облегченной клапанной коробки mок примем равной 150 кг. Общую массу наружной и внутренней труб штока можно оценить по формуле:

 

kmшт=0,85 - коэффициент, учитывающий облегчение передней и задней частей цилиндра, dштвн и δштвн - наружный диаметр и толщина стенки внутренней трубы штока. Приняв зазор между наружной и внутренней трубами равным 0,01 м, величину dштвн можно определить из формулы: dштвн = Dштн - 2·δшт -2·0,01=0,064 м. Толщину δштвн можно оценить по условию прочности:

Примем =0,003 м. Тогда mтршт = 412,69 кг, а общая масса штока mшт= =mок +mтршт =кг.

Координата центра масс первой (наружной) ступени:

 

Координата центра масс второй ступени:


Координата центра масс третьей ступени:


Координата центра масс четвертой ступени:

 

Координата общего центра масс штока и жестко связанных с ним элементов гидроцилиндра (например, клапанной коробки):

 

Моменты инерции ступеней гидроцилиндра относительно их центров масс:

 

Момент инерции штока относительно его центра масс:

Здесь hок =1,1DГЦн1= 0,539 м - высота клапанной коробки. Модуль упругости и коэффициент Пуассона для стали 40Х равны соответственно: ЕГЦ=2,14*1011 Па и µГЦ=0,259. Безразмерный коэффициент демпфирования γГЦ=0,02.

На каждой из ступеней цилиндра и на наружной поверхности штока будем использовать по два уплотнительных кольца из твердой резины (твердость по Шору TШ к ГЦ =90).

5.8 Параметры вытеснителя

 

.8.1 Параметры рабочей камеры гидроцилиндра напорной магистрали

Объем жидкости, который поступает в гидроцилиндр при его выдвижении.

 

Значение максимального объёмного расхода через трубопровод, соединяющий вытеснитель с гидроцилиндром:


Диаметр трубопровода:


Будем считать, что первый участок трубопровода - от вытеснителя до поворотного гидроперехода в нижней опоре гидроцилиндра - при диаметре   имеет длину . Второй участок представляет собой совокупность внутренних каналов в штоке. Диаметр внутреннего канала в штоке, по которому течет жидкость из вытеснителя, равен:

 при

Используем схему без дросселя в напорной магистрали. Тогда суммарные потери на местных сопротивлениях в напорной магистрали:


Для жидкости АМГ-10 коэффициент динамической вязкости равен µ=1,7∙10-2 кг/м/с. Подставляя это значение, получаем Re=106. Это соответствует турбулентному режиму течения, т.е. коэффициент трения можно определить из соотношения:


Суммарный объем рабочей камеры гидроцилиндра (при полностью сложенном гидроцилиндре):

 

.8.2 Параметры камеры противодавления и магистрали сброса

Объём жидкости, который вытесняется в бак из камеры противодавления:


Максимальный расход из камеры противодавления:


Диаметр проходного сечения трубопровода (при условии, что скорость течения жидкости в трубопроводе слива не превышает 20 м/с):


Будем считать, что второй участок трубопровода - от поворотного гидроперехода в нижней опоре гидроцилиндра до бака - при диаметре   имеет длину  Первый участок представляет собой совокупность внутренних каналов в штоке. Площадь сечения кольцевого канала в штоке:


Эквивалентный диаметр при длине

 м.

Для регулирования давления в камере противодавления используется дроссель переменного сечения. Коэффициент расхода жидкости через дроссель µсб=0,6.

Конечный (при полностью выдвинутом гидроцилиндре) объем камеры противодавления, включающий в себя объем магистрали сброса от камеры до дросселя: трубчатую магистраль в штоке и каналы в клапанной коробке:


Суммарный коэффициент потерь на местных сопротивлениях в магистрали слива, исключая потери на дросселе переменного сечения:

 

.8.3 Параметры гидравлической камеры вытеснителя

Считаем, что весь вытеснитель выполнен из стали 40Х. При нормальной температуре модуль упругости материала стенки вытеснителя Ев=2,14∙1011 Па, коэффициент Пуассона , где Gв=0,85∙1011 Па - модуль сдвига.


Здесь kl=0,8 - коэффициент, учитывающий толщины стенок, размеры штуцеров, подводящих трубопроводов. kкр= kxв =0,05 - характеризует отношение длины эллиптических частей вытеснителя, расположенных в его крышках, к его диаметру. Из этого уравнения находим диаметр вытеснителя Dв=0,95 м.

Толщина стенки цилиндрической части вытеснителя, с учетом, что для стали 40Х σт =490∙106 Па и приняв коэффициент запаса kзап=1,8:


Объем гидравлической полости вытеснителя при полном выдвижении поршня-разделителя, включая объем напорной магистрали от вытеснителя до дросселя:


5.8.4 Параметры газовой камеры вытеснителя

Начальный объем и начальная площадь поверхности газовой камеры вытеснителя:


Максимальный радиус кривизны днища считаем равным диаметру вытеснителя:

Днище газовой камеры вытеснителя будем изготавливать из теплостойкой стали 12МХ. Толщина стенки днища:


σ=280 МПа.

5.8.5 Параметры поршня-разделителя

Поскольку диаметр поршня-разделителя равен диаметру вытеснителя, а форма поршня-разделителя совпадает с формой крышки, то и толщины их стенок считаем одинаковыми. Также считаем, что поршень-разделитель выполняется из того же материала, что и днище газовой камеры вытеснителя (сталь 12МХ). Толщина стенки поршня должна быть не менее толщины днища газовой полости. Однако возникает проблема изготовления в поршне канала для смазки уплотнений. Примем . Длина цилиндрической части вытеснителя , а толщина - .

Общая масса поршня-разделителя:


Здесь  - плотность стали 12МХ. Величина  имеет тот же смысл, что и в уравнении, из которого определялся диаметр вытеснителя.

Число резиновых уплотнительных колец на поршне-разделителе принимаем  твердость резины по Шору  диаметр уплотнительного кольца  относительная деформация сжатия уплотнительного кольца

Отношение площадей дифференциального поршня, обеспечивающего смазку уплотнений, принимаем равным 2.

 

5.8.6 Параметры камер воздушных аккумуляторов давления и соединительных трубопроводов

В основе методики выбора параметров лежит уравнение адиабаты, которое применительно к данной задаче, считая жидкость несжимаемой и полагая, что давления в пневмобаллоне и вытеснителе быстро выравниваются, можно записать в виде:

.

Здесь Δξ - ход выдвижения гидроцилиндра, pб - давление газа (воздуха) в пневмобаллоне и вытеснителе, pб0 - начальное давление газа (воздуха) в пневмобаллоне, Vб - объем пневмобаллона, Vтр - объем трубопровода, соединяющего пневмобаллон с газовой камерой вытеснителя, включая объем элементов арматуры (при выборе параметров пневмобаллона эту величину можно принять равной 0,01Vб), Vв0 - начальный объем газовой камеры вытеснителя, nГЦ - количество гидроцилиндров, FГЦi - рабочая площадь i-й ступени гидроцилиндра, Δξi - путь выдвижения одной ступени гидроцилиндра, iв - номер ступени, которая выдвигается при пути выдвижения Δξ, ΔξГЦiв-1 - путь выдвижения при котором происходит переход от выдвижения iв-1-й ступени к выдвижению iв -й ступени, k - коэффициент адиабаты воздуха или газа находящегося в пневмобаллоне.

Необходимо, чтобы на всем пути выдвижения давления в вытеснителе pб должно превышать равновесное давление pравн по крайней мере на Δpзап=8÷20кг/см2. Поскольку слишком большое давление в вытеснителе со всех точек зрения невыгодно, потребуем, чтобы минимальная за время подъема разность давления в вытеснителе и равновесному давлению была равна Δpзап. Построим зависимость равновесного давления от пути выдвижения гидроцилиндра. Из исходных данных по теореме косинусов имеем:

.

Здесь, как и выше iв - номер ступени, выдвигающейся при данном значении пути выдвижения Δξ. Таким образом, должно выполняться условие:


Данное условие позволяет по заданному значению начального давления в пневмобаллоне  определить соответствующую величину объема пневмобаллона Vб. Следует рассмотреть несколько значений pб0 в диапазоне от  до  в случае, если максимальное значение равновесного давления достигается при выдвижении первой ступени от  до  - если максимум равновесного давления достигается при выдвижении второй ступени и от  до  - если максимум достигается при выдвижении третьей ступени. При выборе сочетания значений pб0 и Vб следует учитывать техническое ограничения на максимальное давление в пневмобаллоне, а также стремиться к тому, чтобы разность давлений  в начале подъема и при полном вытягивании гидроцилиндра была бы не слишком большой. Действительно: большой перепад вначале приведет к значительным перегрузкам контейнера и ракеты. Для снижения этих перегрузок придется сильно дросселировать магистраль, соединяющую пневмобаллон с газовой камерой вытеснителя, например посредством установки электропневмоклапана с гидравлическим замедлителем, который будет открываться в течение нескольких секунд. Еще более трудные проблемы создает большой перепад в конце подъема: может оказаться, что силы давления в камере противодавления окажется недостаточно, для того, чтобы затормозить контейнер. Для решения этой проблемы придется уменьшать угол начала торможения или (если это возможно по условиям прочности) увеличивать давление торможения или увеличивать площадь сечения камеры противодавления (при этом все параметры придется определять заново). Для того, чтобы торможение было успешным сила давления в камере торможения должна быть существенно выше, чем разность силы давления в напорной магистрали и равновесной силы. Условие можно записать так:

Или

Здесь kк - коэффициент, характеризующий запас тормозящей силы. Этот коэффициент должен быть не менее 0,05-0,1.

Поскольку улучшить режим торможения существенно сложнее, чем улучшить режим разгона, целесообразно выбрать такие значения pб0 и Vб, чтобы разность  в начальный момент была на 10-20% процентов выше, чем в конце подъема.

Далее выберем минимальный диаметр трубопровода, который соединяет пневмобаллон с газовой камерой вытеснителя. Сперва определяем максимальный расход газа через трубопровод. Полагая, что температура в вытеснителе равна начальной, массу газа перешедшую в вытеснитель можно определить из уравнения Менделеева-Клапейрона:

,

где R - газовая постоянная воздуха или иного газа, используемого для подъема, T=293 К - начальная температура,

-

давление в конце подъема .

Определяем расход:

.

Диаметр(ы) трубопровода(ов) подбираем таким образом, чтобы скорость газа в нем была равна v=30-100 м/с. Подобрать надо большие значения, так как в этом случае потери напора меньше. Тогда диаметр трубопровода можно оценить по формуле:


Здесь R и T - это газовая постоянная и начальная температура воздуха (газа) находящегося в баллоне. Для основного пневмобаллона в качестве pравн следует подставлять максимальное за время подъема значение равновесного давления; для пускового пневмобаллона - начальное значение равновесного давления. После соединения трубопроводов, идущих от двух пневмобаллонов, диаметр общего участка следует принимать равным большему из двух диаметров.

В схеме с внешними пневмобаллонами на выходе из баллонов целесообразно использовать дроссели. Их сечение следует выбирать на 20-30% меньше сечения трубопровода, выходящего из данного пневмобаллона.

Для смягчения начальных колебаний открывать запорный пневмоклапан следует постепенно. Для этого в можно использовать клапан с гидротормозом. Проходное сечение такого клапана должно составлять 0,5-0,8 от сечения трубопровода, а время открытия - 3-4 секунды.

 

5.9 Определение прочих исходных данных для расчета динамики

 

Параметры окружающей среды: для выбора параметров системы будем проводить расчеты при T0 ж=293 К и р0=1,01325∙105 Па. При проведении проверочных расчетов необходимо рассчитать варианты с T0 ж=233 К и T0 ж=313 К. Параметры грунта: рассматриваем влажный грунт с коэффициентом пористости е=0,6, как наихудший вариант.

Зависимость проходного сечения дросселя в магистрали слива жидкости из камеры торможения от угла поворота стрелы: эта зависимость подбирается в процессе расчетов по программе.

Угол начала торможения φ2=730. При φ3=740 проходное сечение принимаем равным:  при . Минимальное значение проходного сечения дросселя, соответствующее углу φN=900 можно оценить так:  Изменение проходного сечения в диапазоне от φ3 до φN можно аппроксимировать:

5.10 Выбор основных параметров пневмобаллона

К основным параметрам пневмобаллона относится давление, объем баллона и набор клапанов обеспечивающих закачку газа в баллон и выход их него. Также следует предусмотреть предохранительные клапаны, обеспечивающие не превышение максимального давления. Для закачки газа в баллон достаточно поставить простой обратный клапан. Основное внимание при определении входных параметров системы должно уделяться параметрам, связанным с уменьшением динамических нагрузок. Как показывают результаты исследований, повышенные динамические нагрузки могут возникнуть в начале движения, при переключении ступеней, при резком изменении сечения дросселирующего элемента и при торможении. При выборе параметров необходимо решить несколько главных задач: минимизировать динамические нагрузки при запуске, при отрыве стрелы от упора, при переключении ступеней. Необходимо, чтобы скорость подхода к участку торможения была бы не слишком значительной, чтобы давление в пневмогидравлическом вытеснителе и в гидроцилиндре не превышало допустимых значений, и чтобы все параметры не выходили за пределы допустимых. При этом желательно использовать наиболее простые, а, следовательно, и более надежные схемы. Например, если использовать схему торможения с регулируемым дросселем в магистрали слива, то целесообразно между вытеснителем и гидроцилиндром устанавливать дроссель постоянного сечения вместо регулируемого дросселя

Одной из задач при проектировании привода является обеспечение подъема груза за заданное время с заданными ограничениями по динамическим нагрузкам (не более 11 м/с2). Основным параметром, влияющим на время подъема, является расход газа из газовой полости вытеснителя. Он обеспечивается выбором соответствующего начального объема и величиной давления в пневмобаллонах.

Расчеты, связанные с выбором параметров основного пневмобаллона, сначала проводим по исходным данным. Если при этом происходит временная остановка (или существенное падение скорости) при переключении ступеней, то можно увеличить наддув баллонов, но не следует забывать об ограничении(28,0 МПа). Объем пневмобаллонов выбирается таким образом, чтобы в момент начала торможения давление в газовой камере вытеснителя было как можно меньшим для обеспечения нормального условия торможения. Дополнительный баллон целесообразно подключать в момент переключения ступеней (обычно со второй на третью).

Поскольку начальный объем вытеснителя мал, быстрый рост давления в вытеснителе при открытии в клапана пневмомагистрали, соединяющей пневмобаллон с газовой полостью вытеснителя, может привести к сильному удару, скачку усилия гидроцилиндров и значительной вибрации ТПК и изделия. Для того, чтобы смягчить этот удар, можно уменьшить проходное сечение газовой магистрали, соединяющей пневмобаллон и газовую полость вытеснителя или поставить в ней дроссель постоянного сечения. Однако в дальнейшем, когда начнется подъем, это приведет к большим потерям на этой магистрали, замелит ход подъема и приведет к ударам при переключении ступеней.

Поэтому целесообразно сделать так, чтобы проходное сечение газовой магистрали постепенно увеличивалось от нуля до максимального значения. Это позволит замедлить скорость возрастания давления в вытеснителе и смягчить начало подъема. Поскольку зависимость сечения от времени является монотонной и достаточно равномерной, то для изменения сечения целесообразно использовать пневмоклапан с гидравлическим тормозом, который по подаче команды на начало подъема будет постепенно открываться, выдавливая жидкость из тормозной камеры через малое калиброванное отверстие. Желательное значение времени открытия такого клапана составляет 3-4 с.

Другой особенностью данной схемы является более сложный закон изменения проходного сечения дросселя , расположенного в напорной гидравлической магистрали. При выбранных координатах опорных точек силового треугольника равновесное давление возрастает практически до начала выдвижения третьей ступени. При этом давление в пневмобаллоне уменьшается по адиабатическому закону. Очевидно, что в момент переключения со второй на третью ступень давление в пневмобаллоне должно с определенным запасом превышать равновесное давление. Следовательно, на начальной стадии разность давления в пневмобаллоне и равновесного давления будет достаточно большой и если ее не уменьшить, ТПК будет ускоряться с большим ускорением, что опасно и само по себе и из-за большой скорости подъема при переключении ступеней. Поэтому дроссель на напорной магистрали в процессе подъема должен все время изменять проходное сечение в соответствии с изменением разности давления в пневмобаллоне и равновесного давления, а также с учетом необходимости восстановления усилия гидроцилиндров при переключении ступеней.

Результаты расчетов для схемы с пневмобаллоном приведены графиках. Так как задача оптимизационная и многопараметрическая, то поиск оптимума - весьма сложная задача, в то же время можно найти варианты удовлетворяющие всем ограничениям и выбрать их них наиболее приемлемый. Приведем два варианта расчета:

.        В основном баллоне 2,5 м3 при давлении 27,0 МПа, во вспомогательном 0,25 м3 при давлении 27,0 МПа.

.        В основном баллоне 1,5 м3 при давлении 28,0 МПа, во вспомогательном 1,0 м3 при давлении 28,0 МПа.

В первом случае основной баллон используется и как стартовый, а вспомогательный чтоб повысить давление в гидросистеме при переключении со второй ступени на третью, чтобы не произошло превышения равновесного требуемого давления над имеющимся в системе. Во втором случае вспомогательный баллон выполняет роль стартового, а дальнейший подъем осуществляется с помощью основного пневмобаллона. Приведем графические зависимости для обоих случаев.

Рис. 5.1. Зависимости выдвижения (а) и скорости выдвижения (б) гидроцилиндров от времени.

Рис. 5.2. Зависимость угловой скорости подъема ТПК от времени.

Рис. 5.3. Зависимости фактического (RГЦ ) и равновесного (RГЦравн ) усилий гидроцилиндров от времени.

Рис. 5.4. Зависимости давлений (в вытеснителе - черная линия, рабочей камере гидроцилиндров - синяя линия, камере противодавления - красная линия и равновесного давления - зеленая линия) - а; массовых расходов жидкости в напорной (верхняя линия) и сливной (нижняя линия) магистралях - б от времени

Рис. 5.5. Зависимости ускорений нижней (черная линия), центральной (синяя линия) и верхней (зеленая линия) точек изделия от времени.

Рис. 5.6. Зависимости давлений (в вытеснителе - черная линия, рабочей камере гидроцилиндров - синяя линия, камере противодавления - красная линия и равновесного давления - зеленая линия) (а); площади проходного сечения дросселя в магистрали слива из камеры противодавления (б); массовых расходов жидкости в напорной (верхняя линия) и сливной (нижняя линия) магистралях (в); фактического (черная линия) и равновесного (синяя линия) усилий гидроцилиндров (г) и угловой скорости ТПК (д) от угла подъема ТПК.

Рис. 5.7. Зависимости выдвижения (а) и скорости выдвижения (б) гидроцилиндров от времени.

Рис. 5.8. Зависимость угловой скорости подъема ТПК от времени.

Рис. 5.9. Зависимость расхода газа из баллона в вытеснитель от времени, черный это из первого баллона, синий из второго, зеленый суммарный.

Рис. 5.10. Зависимости фактического (RГЦ) и равновесного (RГЦравн ) усилий гидроцилиндров от времени.

Рис. 5.11. Зависимости давлений (в вытеснителе - черная линия, рабочей камере гидроцилиндров - синяя линия, камере противодавления - красная линия и равновесного давления - зеленая линия) - а; массовых расходов жидкости в напорной (верхняя линия) и сливной (нижняя линия) магистралях - б от времени.

Рис. 5.12. Зависимости ускорений нижней (черная линия), центральной (синяя линия) и верхней (зеленая линия) точек изделия от времени.

Рис. 5.13. Зависимости давлений (в вытеснителе - черная линия, рабочей камере гидроцилиндров - синяя линия, камере противодавления - красная линия и равновесного давления - зеленая линия) (а); площади проходного сечения дросселя в магистрали слива из камеры противодавления (б); массовых расходов жидкости в напорной (верхняя линия) и сливной (нижняя линия) магистралях (в); фактического (черная линия) и равновесного (синяя линия) усилий гидроцилиндров (г) и угловой скорости ТПК (д) от угла подъема ТПК.

В отличие от схемы с зарядом твердого топлива, давление в вытеснителе нарастает равномерно и быстро и практически сразу ТПК начинает подниматься. При выбранной скорости открытия клапана в пневмомагистрали, соединяющей пневмобаллон с газовой полостью вытеснителя, открытие клапана вызывает значительную вибрацию системы, однако амплитуды виброускорений (см. рис. 10) при этом не превышают соответствующие значения при переключении ступеней.

Обе схемы при нормальных условиях удовлетворяют техническим требованиям, но во втором случае ускорения и давление идет почти по пределу, плюсом этой схемы является время подъема. В обеих схемах начальное усилие развиваемое гидроцилиндром намного превышает требуемое, но у первой рост усилия резче чем у второй, отсюда большие перегрузки на момент страгивания, но они меньше чем при переключении степеней, а значит это не критично. В конце подъема во второй схеме действительное значение усилия в штоке сильно отличается от требуемого и знакопеременно относительно него, отсюда возникают условия для возникновения колебаний. Это негативно сказывается на установке так как она будет колебаться после остановки гидроцилиндра и нужно будет предусматривать специальные устройства для гашения этих колебаний. Введение таких устройств усложняет конструкцию, повышая ее ненадежность и стоимость. Разница в объемах двух схем составляет 0,5 м3, это достаточно много при компоновке баллонов на агрегате, при этом величина максимального давления одинакова, следовательно, и мощность компрессора должна быть примерно одинакова. Однако в первом случае остается достаточное давление в системе в момент начала торможения и из-за этого приходится повышать давление в магистрали торможения.

Далее покажем зависимость проходного сечения дросселя от угла подъема.

0

 5.200e-4

65

 5.200e-4

66

 4.800e-4

67

 4.500e-4

68

 3.200e-4

69

 3.000e-4

70

 2.700e-4

71

 2.500e-4

72

 1.700e-4

73

 1.500e-4

74

 1.200e-4

75

 1.000e-4

76

 1.000e-4

77

 0.900e-4

78

 0.800e-4

79

 0.600e-4

80

 0.500e-4

81

 0.304e-4

82

 0.304e-4

83

 0.304e-4

84

 0.304e-4

85

 0.304e-4

86

 0.304e-4

87

 0.304e-4

88

 0.304e-4

89

 0.304e-4

90

 0.304e-4

/91

 0.304e-4


Приведем также реакции грунтовых опор и их просадку.

Для первого случая:

Рис.5.14. Реакции грунтовых опор при установке машины на грунте

Для второго случая:

Рис. 17. Реакции грунтовых опор при установке машины на грунте

На рис. 12(а) приведены графики изменения нагрузки, действующей на задние грунтовые опоры -Rsupm1 и на передние (синий цвет) - Rsupm2. На нижнем графике показана просадка грунтовых опор. Начальная просадка передних опор (синий цвет) - составляет 35 мм, задних (черный цвет) - 18 мм. После подъема стрелы просадка задних опор увеличилась до 40мм, а передних уменьшилась до 19 мм.

Таблица основных параметров работы привода при разной температуре окружающей среды.


1 T=233K

2 базовый вариант (Т=293К)

3 T=313 K

Номер варианта

1

2

1

2

1

2

Объем основного пневмобаллона, м3

2,5

1,5

2,5

1,5

2,5

1,5

Давление в основном баллоне, МПа

27,0

27,0

27,0

27,0

27,0

27,0

Объем вспомогательного пневмобаллона, м3

0,3

1,0

0,3

1,0

0,3

1,0

Давление во вспомогательном баллоне, МПа

23,5

27,0

23,5

27,0

23,5

27,0

Максимальное давление в вытеснителе, МПа

21,50

23,00

22,28

23,07

21,51

23,11

Максимальное давление в гидроцилиндре, МПа

21,52

21,60

22,29

22,03

21,51

22,12

Максимальное давление в камере противодавления, МПа

25,43

25,23

26,27

26,01

25,47

26,37

Время подъема, с

29,46

20,21

25.55

17,83

26,47

17,47

Максимальное ускорение объекта,

10.95

11.51

10.08

10,37

8,87

10,21

Минимальное ускорение объекта,

-10,60

-10.70

-9,18

-9,63

-8,46

-9,56

Максимальные напряжения в ступенях гидроцилиндра, МПа

30,0 24,6 19,6 17,0

29,8 24,4 19,5 16,9

31,1 25,5 20,3 17,6

30,0 24,6 19,7 17,1

30,2 24,8 19,8 17,2

30,0 24,7 19,7 17,1

Скорость выдвижения гидроцилиндра при полном вытягивании, м/с

0.087

0,086

0.091

0,088

0,090

0,089


Таблица основных параметров работы привода для двух схем

№ варианта

1

2

Максимальное усилие создаваемое гидроцилиндром,

325,18

322,23

Максимальное давление в вытеснителе, МПа

22,28

23,11

Максимальное давление в гидроцилиндре, МПа

22,29

22,12

Максимальное давление в камере противодавления, МПа

26,27

26,37

Время подъема, с

26,47

20,21

Максимальное ускорение объекта,

10.95

11.51

Минимальное ускорение объекта,

-10,60

-10.70

Максимальные напряжения в ступенях гидроцилиндра, МПа

311.435 255.322 203.426 176.372

300.496 246.862 197.257 171.397

Скорость выдвижения гидроцилиндра при полном вытягивании, м/с

0.091

0.089


Анализ таблиц показал что для второй схемы необходимо термостатирование, так как она не вписывается по допустимым ускорениям при -40о C. Применение термостатирования для схемы с пневмоаккумуляторами крайне не желательно, отсюда следует вывод что надо выбирать первую схему, однако в менее жестких условиях (не таких больших перепадах температуры или менее жестких условий по перегрузкам) вторая схема имеет полное право на существование ее основным преимуществами является меньший объем баллонов и меньшее время подъема. Для агрегата работающего в жестких климатических условиях больше подходит первая схема, так как с экономической точки зрения выгоднее разместить дополнительные 0,5 м3, чем произвести термостатирование системы. В приложении приведем только первую схему.

.11 Описание работы гидросхемы

Гидросистема гидропривода подъема состоит из:

А1 - привод подъема;

А2 - станция насосная.

Привод подъема А1 содержит гидроцилиндр Ц1, с последовательным выдвижением четырех ступеней. Гидроцилиндр имеет штоковую полость только на четвертой ступени. В состав гидроцилиндра входят: гидрозамок ГЗ2, предназначенный для удержания грузовой стрелы на любом угле при остановке или при обрыве трубопровода; поворотный гидропереход ПГП1 для подвода рабочей жидкости в полости гидроцилиндра, дроссели опускания пустой и груженой стрелы.

В приводе подъема имеется тормозное устройство ТУ1, содержащее дроссель ДР1, кулачок КЧ1 с определенным профилем, и тормозной золотник ТЗ1, кинематически связанный посредством кулачка КЧ1 и тяги с осью поворота грузовой стрелы. Тормозное устройство ТУ1 предназначено для соблюдения определенного закона движения привода подъема стрелы.

В состав привода подъема входит также пневмогидравлический вытеснитель ПГВ1, представляющий собой цилиндр с поршнем, также имеются регулятор расхода, клапаны обратные, дроссели, вентили и др.

Гидропривод подъема работает в следующих режимах:

подъем грузовой стрелы с помощью пневмогидравлического вытеснителя;

подъем грузовой стрелы с помощью насоса;

опускание грузовой стрелы с грузом от станции насосной;

опускание грузовой стрелы без груза от станции насосной.

В результате открывания выходных клапанов давление в газовой полости вытеснителя ПГВ1 увеличивается, поршень начинает перемещаться, создавая давление жидкости в напорной гидромагистрали гидропривода. Давление жидкости через обратный клапан КО5 поступает к гидрораспределителю Р1 к левому торцу золотника, перемещая его в левую позицию и жидкость под давлением через обратный клапан КО2, через поворотный гидропереход ПГП1, открыв гидрозамок ГЗ2 и через обратный клапан КО поступит в поршневую полость гидроцилиндра Ц1. Начинается подъем грузовой стрелы. После того, как начнет выдвигаться последняя ступень гидроцилиндра Ц1, жидкость из ее штоковой полости начнет вытесняться через тормозное устройство ТУ1, создающее переменное сопротивление, способствующее торможению привода подъема. Во время выдвижения последней, четвертой, ступени гидроцилиндра, жидкость из ее штоковой полости вытесняется через поворотный гидропереход ПГП1, через тормозное устройство ТУ1, через гидрораспределитель Р1, в сливную магистраль, и через фильтр Ф1 и обратный клапан КО1 поступает в бак Б1.

Для подъема стрелы с помощью насоса распределитель Р5 переводится в правое положение и масло из вытеснителя через обратный клапан КО9 поступает в бак Б1. Далее открывается вентиль В1, начинается работа насоса Н1. Масло под давлением через обратный клапан КО4 поступает к гидрораспределителю Р1 к левому торцу золотника, перемещая его в левую позицию и жидкость под давлением через обратный клапан КО2, через поворотный гидропереход ПГП1, открыв гидрозамок ГЗ2 и через обратный клапан КО поступит в поршневую полость гидроцилиндра Ц1. Начинается подъем грузовой стрелы. В случае недопустимого повышения давления срабатывает предохранительный клапан ПРК1. Слив происходит так же как и в предыдущем случае.

Когда гидроцилиндры полностью выдвигаются гидрораспределитель Р3 переводится в правое положение, отжимается клапан "или" и гидрозамок ГЗ1, после чего стравливается газ из вытеснителя через обратный клапан КО7.

Для опускания стрелы с грузом с пульта управления включается электродвигатель насоса Н1. Включаются гидрораспределители Р1 и Р2 в правую позицию. Масло под давлением через обратный клапан КО4 поступает к гидрораспределителю Р1, далее через обратный клапан КО8 и гидропереход ПГП1 отжимает гидрозамок ГЗ2. Начинается слив масла из гидроцилиндра Ц1 через дроссель ДР3, открытый гидрозамок ГЗ2, гидропереход, регулируемый дроссель ДР1. Затем масло поступает через гидрораспределитель Р2, обратный клапан КО6 в вытеснитель, наполняя его. В это время часть рабочей жидкости проходит через клапан "или" КИ1, отжимает гидрозамок ГЗ1. Газ стравливается из вытеснителя через обратный клапан КО7. Если к окончанию опускания не сработали сигнализаторы в пневмогидравлическом вытеснителе "поршень в начальном положении", то гидрораспределитель Р3 переводится в правое положение и начинается подача рабочей жидкости из бака Б1 с помощью насоса Н1, до тех пор пока не сработает сигнализатор.

Для опускания стрелы без груза гидрораспределитель Р4 переводится в левое положение и ПДК1 в правое. Рабочая жидкость из гидроцилиндра проходит не только через дроссель ДР3 но и через дроссель ДР4, который имеет большую проходную площадь. Вследствие чего падает сопротивление и увеличивается скорость опускания. В остальном процесс опускания стрелы без груза аналогичен процессу опускания стрелы с грузом.

6. ИССЛЕДОВАНИЕ ВЛИЯНИЯ НАЧАЛЬНОГО ДАВЛЕНИЯ НА ПАРАМЕТРЫ СИСТЕМЫ

Энергия запасенная в баллоне пропоциональна произведению давления в пневмобаллоне на его объем. В исследовательской части не стоит сильно увеличивать энергоемкость системы, так как чем больше запас энергии тем более опасна становится система, потому что возможен несанкционированный выход этой энергии.

Следовательно увеличивая давление в баллоне следует пропорционально уменьшать объем системы.

Давление в баллоне не должно превышать допускаемое, следовательно максимально возможное давление в баллоне 28,0 МПа, суммарный объем при этом должен составлять 2,4-2,45 м3. Дальше соответственно будем уменьшать давление в баллоне и увеличивать объем. Предел уменьшения давления - статическое давление равновесия в гидроцилиндре, оно составляет 17,0 МПа. Так как необходимо превышение этого давления хотя бы на 8-12 атмосфер, за нижний предел возьмем 18,0 МПа. Объем баллона при этом составит 3,75-3,8 м3. Приведем полученные данные в таблице:

P, МПа

V, м^3

Pmax, в камере

Pmax, в гидр.с.

P против

t,c

Скорость

amax

amin

28

2,44

220

220

256

26,42

0,089

9,56

-8,95

27

2,53

223

223

263

25,55

0,091

10,08

-9,18

2,63

208

208

250

28,14

0,088

8,54

-8,76

25

2,73

201

201

244

29,90

0,09

8,31

-9,58

24

2,85

193

193

237

34,04

0,086

8,90

-10,05

23

2,97

191

185

3,00

-

-

9,61

-11,53


Приведение значения меньше 23,0 МПа нецелесообразно, так как потери при дросселировании, а также выбранный гидроцилиндр с силовым треугольником не обеспечивают подъема контейнера, уже при 23,0 МПа гидроцилиндр останавливается на середине второй ступени. Построим графические зависимости объема, максимальных давлений, времени и скорости подъема, максимальных ускорений от давления.

Рис.18. Зависимость объема баллона от давления в нем.

Рис.19. Зависимость максимального давления в газовой камере (синий, совпадает с красным), в гидроцилиндре (красный) и в камере противодавления (зеленый) от давления в пневмобаллоне.

Рис.20. Зависимость времени подъема от давления в баллоне

Рис.21. Зависимость линейной скорости выдвижения гидроцилиндра от давления в пневмобаллоне

Рис.22. Зависимость ускорений (максимального - синий, минимального красный) от давления в пневмобаллоне.

ЗАКЛЮЧЕНИЕ

При выполнении курсовой разработана система подъема ТПК с изделием весом 90 тонн, длиной 32 м, диаметром 2,5 м. Проведенный анализ показывает, что использовать баллоны так же как в схеме с газогенератором (вспомогательный газогенератор запускается одновременно с основным и служит для резкого поднятия давления в системе) нецелесообразно, удачнее будет схема когда вспомогательный баллон подключается позже основного в момент переключения ступеней. Это объясняется тем что в начальный момент времени давления в пневмоаккумуляторе достаточно для начала выдвижения гидроцилиндра, а вспомогательный баллон служит для превышения действительного давления в гидросистеме над равновесным, чтобы не возникало условий для возникновения колебаний. В качестве гидроаккумулятора использовался пневмогидравлический вытеснитель. Данная система обеспечивает подъем ТПК с изделием менее чем за 30 секунд, при этом отсутствуют недопустимые перегрузки. Выбрана схема с начальным давлением в 27,0 МПа исходя из минимального времени подъема и максимальной скорости подъема.

ПРИЛОЖЕНИЕ

пусковой контейнер нагрузка гидроцилиндр

Базовый вариант. (293К)

Газогенератор № 1

Толщина сгоревшего слоя 0.00 mm

Суммарная масса топлива 0.000 kg

Срыв горения. tau=0.000s

Расчетная масса воспламенителя 0.000 kg

Максимальное давление в камере газогенератора 270.00 Pa*1.e5

Газогенератор № 2

Толщина сгоревшего слоя 0.00 mm

Суммарная масса топлива 0.000 kg

Срыв горения. tau=0.000s

Расчетная масса воспламенителя 0.000 kg

Максимальное давление в камере газогенератора 270.00 Pa*1.e5

Температура горения при постоянном давлении 1700. K

Коэффициент адиабаты продуктов сгорания 1.200

Газовая постоянная продуктов сгорания 360.0 J/kg/K

Давление устойчивого горения 25.0 Pa*10**5

Коэффициент запаса воспламенения 1.15

Максимальная температура стенки трубопровода 293.0 K

Максимальный критерий прочности стенки трубопровода 2.3333

Максимальная температура стенки днища вытеснителя 293.2 K

Максимальный критерий прочности стенки днища вытеснителя 0.7163

Рабочий ход поршня-разделителя в вытеснителе 1731. mm

Внутренний диаметр 1-й ступени гидроцилиндра 452. mm

Длина гидроцилиндра в начальном положении 4.064 m

Длина полностью выдвинутого гидроцилиндра 15.521 m

Максимальное давление в газовой камере вытеснителя 214.93 Pa*1.e5

Максимальное давление в гидравлической камере вытеснителя 215.00 Pa*1.e5

Максимальное давление в гидроцилиндре 215.10 Pa*1.e5

Максимальное давление в камере противодавления 254.748 Pa*1.e5

Максимальное усилие, создаваемое гидроцилиндром 313.712 N*1.e4

Максимальное проходное сечение регулируемого дросселя между вытеснителем и гидроцилиндром 99.9997 sm**2

Максимальное проходное сечение регулируемого дросселя или клапана в магистрали слива из камеры противодавления 5.2000 sm**2

Время подъема 26.89 s

Скорость выдвижения гидроцилиндра при полном вытягивании 0.089 m/s

Максимальные усилия в ступенях гидроцилиндра 301.709 N*1.e4 247.756 N*1.e4 197.857 N*1.e4 171.844 N*1.e4

Максимальные напряжения в ступенях гидроцилиндра 249.455 *105Па 228.198 *105Па 222.306 *105Па 248.820 *105Па

Максимальные напряжения в штоке 215.309 *105Па

Максимальные усилия в опорах машины 92.74 N*1.e4

Минимальные усилия в опорах машины 0.00 N*1.e4

Максимальное ускорение в нижней точке объекта 7.96 m/s**2

Минимальное ускорение в нижней точке объекта -8.73 m/s**2

Максимальное ускорение в середине объекта 4.72 m/s**2

Минимальное ускорение в середине объекта -4.57 m/s**2

Максимальное ускорение в верхней точке объекта 9.18 m/s**2

Минимальное ускорение в верхней точке объекта -8.76 m/s**2

Максимальное ускорение объекта 9.18 m/s**2

Минимальное ускорение объекта -8.79 m/s**2

Максимальное усилие в опорах объекта 46.81 N*1.e4

Минимальное усилие в опорах объекта -6.08 N*1.e4

Вариант при температуре T=313 K

Газогенератор № 1

Толщина сгоревшего слоя 0.00 mm

Суммарная масса топлива 0.000 kg

Срыв горения. tau=0.000s

Расчетная масса воспламенителя 0.000 kg

Максимальное давление в камере газогенератора 270.00 Pa*1.e5

Газогенератор № 2

Толщина сгоревшего слоя 0.00 mm

Суммарная масса топлива 0.000 kg

Срыв горения. tau=0.000s

Расчетная масса воспламенителя 0.000 kg

Максимальное давление в камере газогенератора 270.00 Pa*1.e5

Температура горения при постоянном давлении 1700. K

Коэффициент адиабаты продуктов сгорания 1.200

Газовая постоянная продуктов сгорания 360.0 J/kg/K

Давление устойчивого горения 25.0 Pa*10**5

Коэффициент запаса воспламенения 1.15

Максимальная температура стенки трубопровода 313.0 K

Максимальный критерий прочности стенки трубопровода 2.3880

Максимальная температура стенки днища вытеснителя 313.3 K

Максимальный критерий прочности стенки днища вытеснителя 0.7241

Рабочий ход поршня-разделителя в вытеснителе 1731. mm

Внутренний диаметр 1-й ступени гидроцилиндра 452. mm

Длина гидроцилиндра в начальном положении 4.064 m

Длина полностью выдвинутого гидроцилиндра 15.521 m

Максимальное давление в газовой камере вытеснителя 214.97 Pa*1.e5

Максимальное давление в гидравлической камере вытеснителя 215.06 Pa*1.e5

Максимальное давление в гидроцилиндре 215.13 Pa*1.e5

Максимальное давление в камере противодавления 254.735 Pa*1.e5

Максимальное усилие, создаваемое гидроцилиндром 313.780 N*1.e4

Максимальное проходное сечение регулируемого дросселя между вытеснителем и гидроцилиндром 99.9995 sm**2

Максимальное проходное сечение регулируемого дросселя или клапана в магистрали слива из камеры противодавления 5.2000 sm**2

Время подъема 26.47 s

Скорость выдвижения гидроцилиндра при полном вытягивании 0.090 m/s

Максимальные усилия в ступенях гидроцилиндра 302.192 N*1.e4 248.235 N*1.e4 198.331 N*1.e4 172.316 N*1.e4

Максимальные напряжения в ступенях гидроцилиндра 249.490 *105Па 228.230 *105Па 222.338 *105Па 248.856 *105Па

Максимальные напряжения в штоке 215.340 *105Па

Максимальные усилия в опорах машины 92.83 N*1.e4

Минимальные усилия в опорах машины 0.00 N*1.e4

Максимальное ускорение в нижней точке объекта 7.92 m/s**2

Минимальное ускорение в нижней точке объекта -8.15 m/s**2

Максимальное ускорение в середине объекта 4.81 m/s**2

Минимальное ускорение в середине объекта -4.23 m/s**2

Максимальное ускорение в верхней точке объекта 8.87 m/s**2

Минимальное ускорение в верхней точке объекта -8.15 m/s**2

Максимальное ускорение объекта 8.87 m/s**2

Минимальное ускорение объекта -8.46 m/s**2

Максимальное усилие в опорах объекта 47.07 N*1.e4

Минимальное усилие в опорах объекта -6.15 N*1.e4

Вариант при температуре T=233 K.

Газогенератор № 1

Толщина сгоревшего слоя 0.00 mm

Суммарная масса топлива 0.000 kg

Срыв горения. tau=0.000s

Расчетная масса воспламенителя 0.000 kg

Максимальное давление в камере газогенератора 270.00 Pa*1.e5

Газогенератор № 2

Толщина сгоревшего слоя 0.00 mm

Суммарная масса топлива 0.000 kg

Срыв горения. tau=0.000s

Расчетная масса воспламенителя 0.000 kg

Максимальное давление в камере газогенератора 270.00 Pa*1.e5

Температура горения при постоянном давлении 1700. K

Коэффициент адиабаты продуктов сгорания 1.200

Газовая постоянная продуктов сгорания 360.0 J/kg/K

Давление устойчивого горения 25.0 Pa*10**5

Коэффициент запаса воспламенения 1.15

Максимальная температура стенки трубопровода 233.0 K

Максимальный критерий прочности стенки трубопровода 2.1840

Максимальная температура стенки днища вытеснителя 233.2 K

Максимальный критерий прочности стенки днища вытеснителя 0.6938

Рабочий ход поршня-разделителя в вытеснителе 1731. mm

Внутренний диаметр 1-й ступени гидроцилиндра 452. mm

Длина гидроцилиндра в начальном положении 4.064 m

Длина полностью выдвинутого гидроцилиндра 15.521 m

Максимальное давление в газовой камере вытеснителя 214.89 Pa*1.e5

Максимальное давление в гидравлической камере вытеснителя 214.99 Pa*1.e5

Максимальное давление в гидроцилиндре 215.16 Pa*1.e5

Максимальное давление в камере противодавления 254.330 Pa*1.e5

Максимальное усилие, создаваемое гидроцилиндром 313.450 N*1.e4

Максимальное проходное сечение регулируемого дросселя между вытеснителем и гидроцилиндром 99.9997 sm**2

Максимальное проходное сечение регулируемого дросселя или клапана в магистрали слива из камеры противодавления 5.2000 sm**2

Время подъема 29.46 s

Скорость выдвижения гидроцилиндра при полном вытягивании 0.087 m/s

Максимальные усилия в ступенях гидроцилиндра 299.725 N*1.e4 245.795 N*1.e4 195.917 N*1.e4 169.915 N*1.e4

Максимальные напряжения в ступенях гидроцилиндра 249.532 *105Па 228.268 *105Па 222.375 *105Па 248.898 *105Па

Максимальные напряжения в штоке 215.376 *105Па

Максимальные усилия в опорах машины 92.43 N*1.e4

Минимальные усилия в опорах машины 0.00 N*1.e4

Максимальное ускорение в нижней точке объекта 10.31 m/s**2

Минимальное ускорение в нижней точке объекта -9.69 m/s**2

Максимальное ускорение в середине объекта 4.33 m/s**2

Минимальное ускорение в середине объекта -5.92 m/s**2

Максимальное ускорение в верхней точке объекта 10.95 m/s**2

Минимальное ускорение в верхней точке объекта -10.60 m/s**2

Максимальное ускорение объекта 10.95 m/s**2

Минимальное ускорение объекта -10.60 m/s**2

Максимальное усилие в опорах объекта 45.82 N*1.e4

Минимальное усилие в опорах объекта -5.87 N*1.e4

Похожие работы на - Система подъема транспортно-пускового контейнера с изделием весом 90 тонн

 

Не нашли материал для своей работы?
Поможем написать уникальную работу
Без плагиата!
Без нейросетей!