Расчет на жесткость прямой лопасти ветротурбины карусельного типа
ДИПЛОМНАЯ
РАБОТА
На тему:
«РАСЧЕТ НА ЖЕСТКОСТЬ ПРЯМОЙ ЛОПАСТИ ВЕТРОТУРБИНЫ КАРУСЕЛЬНОГО ТИПА»
по
специальности 050603 - «Механика»
Выполнила Кобесова А.К.
Научный руководитель к.т.н., доцент Кунакбаев Т.О
Алматы 2013
Реферат
Настоящая дипломная работа включает в себя введение, основную часть,
состоящую из трех разделов, заключение, список использованных источников и
приложение.
Ключевые слова: ветротурбина, лопасть, жесткость, заделка, система APM
WINMACHINE
Постановка задачи: расчет на жесткость прямой лопасти ветротурбины
карусельного типа.
Объект исследования: прямая лопасть ветротурбины карусельного типа.
Цель работы: выявить наиболее приемлемый материал и способ заделки
лопасти ветротурбины карусельного типа из условия жесткости.
Основные методы исследования: теоретические, вычисления были реализованы
в модуле конечно-элементного анализа APM Structure 3D системы автоматизированного
проектирования APM WinMachine.
СОДЕРЖАНИЕ
ВВЕДЕНИЕ
. ПОСТАНОВКА
ЗАДАЧИ
. АЛГОРИТМ
РЕШЕНИЯ ЗАДАЧИ
.1 Понятие
жесткости
.2
Перемещения в балках при изгибе
.3
Дифференциальное уравнение упругой линии балки
.4 Метод
единичной нагрузки. Интеграл Мора
.5 Способ
Верещагина
. ОСНОВНЫЕ
РАСЧЕТЫ
.1 Расчетная
схема. Двухопорная балка с различными типами закреплений
.2 Расчет
основных силовых факторов, возникающих в балке, в зависимости от типов
закреплений
.3 Расчет
внешних силовых факторов, действующих на балку, в зависимости от выбранного
материала
.4 Расчет в
среде APM WINMACHINE
.5 Анализ
результатов
ЗАКЛЮЧЕНИЕ
СПИСОК
ИСПОЛЬЗОВАННОЙ ЛИТЕРАТУРЫ
ВВЕДЕНИЕ
В наше время вопрос об энергии стоит довольно остро. Энергия необходима
во всех отраслях нашей жизни: будь то производство чего либо, транспортировка
или что-то другое. Сложно представить хотя бы час нашей жизни, в который мы не
пользовались бы электричеством. Вы можете заметить, что когда мы спим нам
необходимо электричество - но даже во время нашего сна работают наши
холодильники, кондиционеры и другие бытовые приборы, наполняющие нашу жизнь
удобствами.
В связи с тем, что энергию мы используем повсеместно, количество
потребляемой человечеством энергии действительно огромно. И в наше время
существует много способов получения энергии:
· тепловые электростанции
· гидроэлектростанции
· атомные электростанции
· ветроэнергетические установки и другие.
У всех способов получения энергии есть свои плюсы и минусы. Сейчас
большая часть энергии производится на тепловых электростанциях, но к сожалению
запасов нефти, газа и угля на планете не хватит на долго при таком интенсивном
их использовании. В последнее время люди стали обращать больше внимания на
использование альтернативных источников энергии - энергии солнца, ветра и т.п.,
так как использование этих источников является более экологическим и эти запасы
являются по сути неисчерпаемыми, в то время как запасы угля и нефти, которые мы
можем потратить за пару сотен лет образовывались на Земле в течение миллионов
лет.
В послании международной экологической организации Гринпис правительствам
всех стран отмечается, что «правительства должны признать, что углеводородное
топливо - основная причина изменения климата и что единственной стабильной
системой энергоснабжения, способной отвечать нашим энергетическим потребностям,
может быть система, основанная на возобновляемых источниках энергии».
Основные преимущества возобновляемых источников энергии хорошо известны:
практическая неисчерпаемость запасов и относительная экологическая
безвредность, в связи с отсутствием побочных эффектов, загрязняющих природную
среду. Сдерживает их развитие недостаточный на сегодняшний день технический
уровень индустриальных методов использования.
В жилищно-строительной сфере, как и во всех других видах человеческой
деятельности, использование нетрадиционных возобновляемых источников энергии
получило широкое развитие.
Энергия ветра
Ветер - экологически чистый источник энергии. Во всех экономически
развитых странах мира ветер, как источник энергии, начинает играть заметную
роль в энергетическом балансе. Непрерывно расширяется производство и
проектирование эффективных ветроустановок.
Ветроэнергетика имеет большое будущее.
За последние 20 лет она прошла путь от небольших агрегатов, до
современной многомиллиардной отрасли, обеспечивающей большое количество
энергосистем.
Запасы энергии ветра более чем в сто раз превышают запасы гидроэнергии
всех рек планеты. Постоянно и повсюду на земле дуют ветры - от легкого ветерка,
несущего желанную прохладу в летний зной, до могучих ураганов, приносящих
неисчислимый урон и разрушения. Всегда неспокоен воздушный океан, на дне
которого мы живем .Ветры, дующие на просторах нашей страны, могли бы легко
удовлетворить все ее потребности в электроэнергии! Климатические условия
позволяют развивать ветроэнергетику на огромной территории - от наших западных
границ до берегов Енисея. Богаты энергией ветра северные районы страны вдоль
побережья Северного Ледовитого океана, где она особенно необходима мужественным
людям, обживающим эти богатейшие края. Почему же столь обильный, доступный да и
экологически чистый источник энергии так слабо используется? В наши дни
двигатели, использующие ветер, покрывают всего одну тысячную мировых
потребностей в энергии.
По оценкам различных авторов, общий ветроэнергетический потенциал Земли
равен 1200 ГВт, однако возможности использования этого вида энергии в различных
районах Земли неодинаковы. Среднегодовая скорость ветра на высоте 20-30 м над
поверхностью Земли должна быть достаточно большой, чтобы мощность воздушного
потока, проходящего через надлежащим образом ориентированное вертикальное
сечение, достигала значения, приемлемого для преобразования.
Ветроэнергетическая установка, расположенная на площадке, где
среднегодовая удельная мощность воздушного потока составляет около 500 Вт/м2
(скорость воздушного потока при этом равна 7 м/с), может преобразовать в
электроэнергию около 175 из этих 500 Вт/м2.
Новейшие исследования направлены преимущественно на получение
электрической энергии из энергии ветра. Стремление освоить производство
ветроэнергетических машин привело к появлению на свет множества таких агрегатов.
Некоторые из них достигают десятков метров в высоту, и, как полагают, со
временем они могли бы образовать настоящую электрическую сеть. Малые
ветроэлектрические агрегаты предназначены для снабжения электроэнергией
отдельных домов. Сооружаются ветроэлектрические станции преимущественно
постоянного тока. Ветряное колесо приводит в движение динамо-машину - генератор
электрического тока, который одновременно заряжает параллельно соединенные
аккумуляторы. Аккумуляторная батарея автоматически подключается к генератору в
тот момент, когда напряжение на его выходных клеммах становится больше, чем на
клеммах батареи, и также автоматически отключается при противоположном
соотношении. Сегодня ветроэлектрические агрегаты надежно снабжают током
нефтяников; они успешно работают в труднодоступных районах, на дальних
островах, в Арктике, на тысячах сельскохозяйственных ферм, где нет поблизости
крупных населенных пунктов и электростанций общего пользования.
Широкому применению ветроэлектрических агрегатов в обычных условиях пока
препятствует их высокая себестоимость. Вряд ли требуется говорить, что за ветер
платить не нужно, однако машины, нужные для того, чтобы запрячь его в работу,
обходятся слишком дорого.
Сейчас созданы самые разнообразные прототипы ветроэлектрических
генераторов (точнее, ветродвигателей с электрогенераторами). Одни из них похожи
на обычную детскую вертушку, другие - на велосипедное колесо с алюминиевыми
лопастями вместо спиц. Существуют агрегаты в виде карусели или же в виде мачты
с системой подвешенных друг над другом круговых ветроуловителей, с
горизонтальной или вертикальной осью вращения, с двумя или пятьюдесятью
лопастями.
Рисунок 1 - Виды ветроустановок
Территория Республики Казахстан имеет огромный ветроэнергетический
потенциал, что, естественно, предполагает большое будущее для применения
ветроэнергитических аппаратов в нашей стране.
Осознавая важность развития ветроэнергетической промышленности в
республике, многие научные коллективы и отдельные лица с большим энтузиазмом
(во многих случаях самостоятельно) занимаются изучением проблем ветроэнергетики
и добиваются определенных результатов (АИЭС, КазНИИ энергетики, сельхозтехника,
КазНУ им. Аль-Фараби, АО «НИИ Гидроприбор», ЗАО «Азияэнергопроектмонтаж» и многие
другие).
Рисунок 2 - Карта РК развивающейся ветроэнергетики
Развитие ветроэнергетики в Республике Казахстан
Инновационный проект на 2012-14 гг.“Разработка, изготовление и
экспериментальные исследования эффективности компактной ветроэлектростанции.” В
данном проекте предлагается оригинальная конструкция компактной многоэтажной
ветроэлектростанции (КМВС “Байтерек”) как экологически чистого и
возобновляемого источника энергии на базе отдельных ветроагрегатов с ветротурбинами
карусельного типа Дарье и Савониус. Предлагаемая КМВС представляет собой
многоэтажную конструкцию, на каждом этаже которой располагаются ветроагрегаты
Дарье различной мощности. Она занимает территорию в несколько раз меньшую, чем
обычная ветроэлектростанция такой же мощности.
Так называемый каркас КМВС представляет собой сборную конструкцию,
состоящую из опорных стоек различной высоты (для сглаживания неровностей
поверхности земли) - 1, боковых и горизонтальных стержней непосредственно самой
конструкции круглого поперечного сечения (для лучшей обтекаемости потоком
ветра) - 2, междуэтажных перекрытий - 3, на которых крепятся ветроагрегаты с
лопастями ротора Савониуса - 4, служащих для разгона основных ветротурбин при
малых скоростях ветрового потока.
Компактная ветроэлектростанция, имеет следующие преимущества по сравнению
с обычными ветроэлектростанциями и отдельными ветроагрегатами одинаковой
мощности:
. Экономия территории.
. Более стабильное использование энергии ветра из-за расположения ветроустановок
на разных высотах, т.к. скорость ветрового потока имеет разную величину в
зависимости от высоты. Она может меняться и в зависимости от времени. Так
например, в один момент времени скорость ветрового потока наверху больше, чем
внизу, в другой момент времени может быть наоборот. Учитывая, что ветроагрегаты
объединены в одну сеть, то таким образом обеспечивается более стабильная
величина вырабатываемой мощности.
. Пространство между этажными перекрытиями образует воздушный коридор,
способствующий эффективному протеканию ветрового потока как в аэродинамической
трубе.
. Малый уровень шума по сравнению с отдельным ветроагрегатом одинаково
большой мощности, т.к. в КМВС задействованы ряд меньших ветроагрегатов, которые
в сумме дают меньше шума.
. Простота конструкции, ее монтажа и ремонта по сравнению с отдельным
ветроагрегатом одинаково большой мощности. Так например, если отдельный
ветроагрегат мощностью 50 кВт имеет высоту 50 м, то КМВС такой же мощности - 10
м. При этом, опорная конструкция отдельного ветроагрегата большой мощности
будет сложнее и менее устойчива, чем многоэтажная опорная конструкция
компактной ветроэлектростанции такой же мощности. Аналогов подобной компактной
ветроэлектростанции в мире не имеется.
. Возможность комбинации разных видов ветротурбин с разными скоростями
вращения.
Рисунок 3- КМВС “Байтерек”
Аналогов подобной компактной ветроэлектростанции в мире не имеется. [2]
Ветротурбины карусельного типа
Экономичность современных ветротурбин определяется величиной коэффициента
использования энергии ветра от единичной площади обметаемой поверхности
ветроколеса в воздушном потоке. Поэтому их конструирование относится к разряду
наиболее наукоемкого производства, опирающегося на современные знания аэродинамики,
теории машин, материаловедения и др.
Два главных преимущества вертикально-осевых ветроагрегатов (называемые
ветротурбины «Дарье», изобретенным французским инженером Дарье в 1905 г.) по
сравнению с горизонтально - осевыми:
) направление ветра не имеет значения;
) электрогенератор и другие главные компоненты агрегата расположены на
уровне земли, что снижает требования, предъявляемые к башне, и облегчает
техническое обслуживание и ремонт.
Поэтому многие фирмы проявляют интерес к вертикально-осевым ветродвигателям,
в частности, к турбине «Дарье». Ротор имеет сравнительно небольшой начальный
момент, но большую быстроходность, в силу этого - относительно большую удельную
мощность, отнесенную к его массе или стоимости. Ветротурбина «Дарье» работает
за счет возникновения подъемной силы на рабочих лопастях. Лопасти находятся на
расстоянии r0 от вала вращения и соединены с ним одним из 2-х
способов: с помощью махов или «Тропоскино». Махами называют плоские крылья
размаха, к торцам которых крепятся рабочие крылья (лопасти турбины) буквой «Н»
так, чтобы хорда лопастей была направлена по касательной к окружности радиуса r0. Способ крепления «тропоскино» заключается в том, что
плоские упругие лопасти сгибают в виде лука и оба конца прикрепляются к верхней
и нижней части вала вращения.
В этой работе рассматривается маховый способ крепления прямой лопасти
ветротурбины «Дарье». Лопасть крепится на концах, поперечное сечение лопасти
прямоугольное.
По принципу работы ветроагрегаты можно разбить на три основных типа:
· пропеллерные (рисунок 4а),
· парусные или ротор Савониуса (рисунок 4б и 4с),
· карусельные (рисунок 5).
Рисунок 4 - Различные виды лопастей ветротурбин
Рисунок 5 - Ветротурбины карусельного типа
На рисунке 5 изображены ветротурбины карусельного типа с двумя видами
лопастей:
с прямыми лопастями,
с лопастями типа «тропоскино».
Преимущество ветротурбин с лопастями типа «тропоскино» в том, что они не
нуждаются в дополнительном креплении на поверхности, поскольку являются
достаточно устойчивыми. Но недостаток в том, что их производство обходится
дороже, чем производство ветротурбин с прямыми лопастями.
1. ПОСТАНОВКА ЗАДАЧИ
В данной дипломной работе используются ветротурбины карусельного типа с
прямыми лопастями. Для изготовления этих ветротурбин требуется расчет на
жесткоть прямых лопастей в зависимости от типа закрепления их концов и вида
материала (дерево, сталь, алюминий ).
Перед нами поставлена задача рассчитать на жесткость прямую лопасть
ветротурбины карусельного типа «Дарье» с прямоугольным поперечным сечением.
На лопасть действуют внешние силы: давление потока ветра, а также
центробежная сила от вращения ветротурбины. Здесь относительно большее влияние
имеет центробежная сила, поэтому расчетная схема выбрана только с ее учетом.
Следовательно, давление потока ветра учтено не будет.
Под действием этой силы лопасть начинает изгибаться. Следовательно,
лопасть можно рассмотреть в виде двухопорной балки с равномерно распределенной
нагрузкой, действующей по всей ее длине.
Закрепление на концах будет рассмотрено разного типа и в зависимости от
него, а так же и от материала, из которого будет изготавливаться лопасть, будет
проведен расчет минимального прогиба лопасти. Затем, проанализировав найденные
данные, будет сделан вывод о том, какое закрепление и какой материал было бы
лучше выбрать для проектирования лопасти ветротурбины.
2. АЛГОРИТМ РЕШЕНИЯ ЗАДАЧИ
.1 Понятие жесткости
Жесткость - способность тела воспринимать внешние воздействия в области
допустимых значений (ограниченных) деформаций (перемещений).
Должно выполняться условие:
≤ [f]
где f - действительный прогиб (максимальное вертикальное перемещение
элемента конструкции);
[f] - допустимый или предельный прогиб, устанавливаемый в зависимости от
конкретного элемента конструкции.
Рисунок 6
Чтобы
судить о работе балок, недостаточно знать только напряжения, которые возникают
в ней при деформировании.
Прочные
балки могут оказаться непригодными к эксплуатации из-за недостаточной
жесткости. Если балка сильно прогибается под нагрузкой, то в ней могут
возникнуть колебания с большими амплитудами, приводящие к дополнительным
напряжениям <#"651683.files/image007.gif">/E
Произвольная
точка, лежащая на оси балки переместится в направлении вертикальной оси y и
продольной оси z. Вертикальное перемещение при изгибе будем обозначать буквой v
и называть прогибом балки. Продольное перемещение при изгибе точки будем
обозначать буквой u. Касательная, проведенная к точке, расположенной на
изогнутой оси балки, будет повернута по отношению к прямолинейной оси на
некоторый угол φ. Этот угол, очевидно, равен углу поворота поперечного
сечения балки θ, проходящего через рассматриваемую точку. Величины u,
v и
являются компонентами перемещения произвольного
поперечного сечения.
Проверка
жесткости балки при изгибе сводится к требованию, согласно которому наибольший
ее прогиб (
) не должен превышать определенной доли от пролета
балки (l):
≤ l/m
Здесь
число m устанавливается нормами проектирования и колеблется обычно в пределах
от 300 до 1000. Для ответственных сооружений, например, для мостов, m=1000.
Прогибы балки при изгибе малы по сравнению с ее пролетом. Это позволяет ввести
некоторые упрощения:
во-первых,
при малых вертикальных перемещениях (прогибах v) угол наклона касательной к
изогнутой оси балки
<#"651683.files/image012.gif">.
Угол
поворота поперечного сечения равен первой производной от прогиба балки;
во-вторых,
горизонтальным перемещением (u) можно пренебречь, так как оно по сравнению с
прогибом (v) и углом поворота поперечного сечения (θ), является величиной более высокого порядка малости
(можно считать, что каждая точка оси балки перемещается только по вертикали).
Таким
образом, для определения полной картины деформации при изгибе необходимо
получить уравнение оси изогнутой балки:
υ=υ(z).
Если
уравнение оси изогнутой балки известно, можно построить кривую прогибов и найти
наибольший прогиб, который позволит нам судить о жесткости балки.
В
ряде задач возникает необходимость и в определении угла поворота поперечного
сечения.
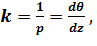
2.2 Перемещения в балках при изгибе
При расчёте конструкции вычисляются не только напряжения, но и
перемещения. Причём методы определения перемещений играют важную роль как в
общей оценке жёсткости конструкции, так и при решении многих прикладных задач
(расчёт статически неопределимых систем, динамическое нагружение конструкций,
колебания упругих систем и др.).
Дадим общие понятия о перемещениях в балках, рассматривая прямой изгиб
балки. Для определённости принимается общая система координат Oyz (рисунок 7),
начало которой выбирается в центре площади какого-либо сечения, а ось z
направлена по оси балки. (При этом следует иметь в виду, что с каждым сечением
связана местная система центральных осей, параллельных исходным.) Для
поперечных сечений балок различают два вида перемещений:
Рисунок 7
) прогиб v(z) - линейное перемещение сечения (центра площади сечения) в
направлении, перпендикулярном оси балки;
) угол поворота θ (z) - угловое перемещение сечения по
отношению к первоначальному положению (поворот сечения относительно нейтральной
линии).
Принимая, что положительное направление θ совпадает с положительным
направлением изгибающего момента M в сечении, а положительное направление оси
Oy - вверх (рисунок 7) получим
. В большинстве практических случаев перемещения в балках
относительно малы, так что можно считать tgθ ≈θ. Поэтому дифференциальное
соотношение между прогибом и углом поворота сечения получается в виде:
Рассмотрим некоторые методы определения перемещений.
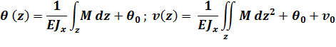
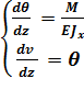
2.3 Дифференциальное уравнение упругой линии балки
Ось изогнутой балки часто называют упругой линией. В случае прямого
изгиба балки, учитывая соотношения
(1)
, (2)
где
для определения перемещений можно использовать систему дифференциальных
уравнений в виде:
(3)
Исключая второе уравнение из системы (3), получаем дифференциальное
уравнение упругой линии балки:
=
(4)
Уравнение (4) (или система уравнений (3) может применяться для
определения как перемещений отдельных сечений, так и формы оси изогнутой балки.
Последовательным интегрированием уравнений в системе (3) или уравнения (4)
получаем:
Постоянные
,
определяются из граничных условий, число которых равно двум
(порядку дифференциального уравнения). Граничные условия могут составляться для
и
=θ в зависимости от
типа закрепления балки. Например, для шарнирно опертой балки (рис. 6а)
граничные условия имеют вид: v(0) = 0, v(l) = 0; для консольной балки (рис.6
б): v(0) = 0, v(0) = 0.
Рисунок 8
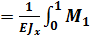
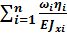
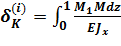
2.4 Метод единичной нагрузки. Интеграл Мора
Общие методы определения перемещений в упругих системах основаны на
использовании вариационных принципов механики. Наиболее часто применяется
принцип возможных перемещений (принцип Лагранжа): если упругая система
находится в равновесии, то сумма работ всех внешних и внутренних сил на
возможных бесконечно малых перемещениях равна нулю. В математической форме это
можно записать так:
+U =0 , (5)
где
- внешняя сила;
-возможное перемещение точки
приложения силы
; U - возможная
работа внутренних сил.
Под возможными понимаются такие перемещения, которые могут быть
осуществлены для данной системы в соответствии с имеющимися опорами, не нарушая
сплошности системы. Чем меньше перемещения, тем точнее соблюдается принцип
Лагранжа. Учитывая малость перемещений в реальных упругих системах, такие
перемещения можно принимать в качестве возможных. Работа внешних и внутренних
сил на возможных перемещениях называется возможной работой.
Рассмотрим два состояния заданной системы. Исходное состояние системы при
действии реальной нагрузки, в котором возникает искомое перемещение, называется
действительным или грузовым состоянием. Вспомогательное состояние системы
определяется действием соответствующей единичной нагрузки и называется
единичным состоянием (рисунок 9б). Термин «перемещение» понимается в обобщённом
смысле: линейное или угловое перемещение. Вводимая единичная нагрузка должна
соответствовать искомому перемещению: прикладывается в заданном сечении и в
заданном направлении; прикладывается единичная сила (P1 =l)
если определяется линейное перемещение, или единичный момент (M1 =l) если определяется угол поворота.
Рисунок 9
В рассматриваемом методе принцип возможных перемещений записывается для
единичного состояния. При действии единичной нагрузки в поперечных сечениях
бруса возникают внутренние силовые факторы: нормальная сила N1, изгибающий
момент M 1 и поперечная сила Q1. Возможные перемещения определяются
дополнительным деформированным состоянием, которое накладывается на упругую
систему, до того находившуюся в равновесии под действием приложенной нагрузки.
В качестве возможных принимаются реальные перемещения бруса в грузовом
состоянии, при котором в поперечных сечениях бруса возникают внутренние силовые
факторы N, M , Q.
Для единичного состояния внешней силой является только P=l, которая совершает работу на искомых перемещениях
; поэтому возможная работа внешних
сил равна
. При составлении работы внутренних сил рассматривается
деформация элемента бруса длиной ds (рисунок 9). Условно считая левое сечение
неподвижным, правое сечение получит такие смещения: при растяжении (сжатии) -
осевое перемещение ε ds; при изгибе- поворот d
=kds; при сдвиге - поперечное перемещение γds ( рисуснок 9а) . Работа dU
внутренних сил для элемента бруса всегда отрицательная, т.к. эти силы являются
силами упругого сопротивления и препятствуют развитию деформации. Поэтому
получим:
dU=
ε
ds -
kds -
γds
Перемещения за счёт сдвига записаны при условии равномерного
распределения касательных напряжений в сечении. Учитывая неравномерность их
распределения при изгибе вводится поправочный коэффициент
- коэффициент формы сечения (для
прямоугольного сечения
= 6/5, для сплошного круглого сечения
и т.д ).
Для бруса в целом работа внутренних сил получается интегрированием
выражения для dU по длине l. Подстановка полученных выражений в формулу (5) даёт
уравнение:
εds -
kds-
ds=0 (6)
Откуда выражение для искомого перемещения получается в виде
εds-
kds-
ds (7)
Подставляя в выражение (7) ранее полученные зависимости для деформаций ε,
k, γ через внутренние силовые факторы (ε=N/EF, k=M/
,
γ=Q/GF), получаем расчётную формулу для определения перемещений:
+
+
(8)
В случае расчёта бруса, имеющего несколько участков, формула (8) может
быть представлена в следующем виде:
+
+
(9)
где m - количество участков бруса.
Вклад каждого из интегралов в формулу (8) различный, что обычно
учитывается при расчёте конкретного бруса. Для бруса при растяжении-сжатии учитывается
только первый интеграл. При плоском изгибе прямолинейного бруса обычно
учитывается только второй интеграл:
(10)
Определение перемещений по методу единичной нагрузки проводится в
следующем порядке.
. Брус разбивается на участки в соответствии с действующей
нагрузкой и характером изменения жесткости.
. На каждом участке для грузового состояния составляются выражения
для N, Q, M в произвольном сечении бруса.
. Рассматривается единичное состояние бруса, определяемого
действием соответствующей единичной нагрузки: в направлении искомого
перемещения при определении линейного перемещения прикладывается сила P = 1,
при определении углового перемещения момент M =1.
. На каждом участке бруса для единичного состояния составляются
выражения для N1, M 1, Q1 в произвольном сечении бруса.
. Положительное значение показывает, что перемещение происходит по
направлению приложенной единичной нагрузки, отрицательное - в направлении,
противоположном единичной нагрузки.
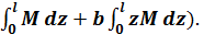
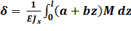
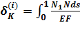
.5 Способ Верещагина
Использование формул (8) - (10) связано с необходимостью вычисления
интегралов, иногда - путем численного интегрирования. Существуют различные
способы, облегчающие вычисление этих интегралов. Один из них,
графоаналитический способ А.К. Верещагина, применяется для прямолинейного
бруса.
Рассмотрим прямолинейную балку постоянной жесткости
(
δ
Mdz (11)
Для прямолинейной балки выражение для изгибающего момента M 1 от
единичной нагрузки является линейной функцией:
= a+bz
Рисунок 10
Выражение для изгибающего момента M грузового состояния может быть произвольной функцией (Рис.8)
После подстановки выражения (12) в формулу (11) в результате преобразований
получим
=
(a
Введём обозначения (согласно геометрическому смыслу слагаемых):
- площадь грузовой эпюры M
- статический момент площади эпюры M.
Тогда получим:
δ =
(aω+b
ω)=
Сомножитель в скобках согласно выражения (12) является значением момента
в сечении
в сечении z=
(рис.8) .
Обозначив
=
, формула для определения перемещений по способу Верещагина
примет вид:
δ =
(12)
Таким образом, вычисление перемещений по способу Верещагина сводится к
перемножению площади (ω ) грузовой эпюры M на ординату (η
) единичной эпюры
под центром площади грузовой эпюры.
Следует обратить внимание, что эпюры
и M для вычисления перемещений по
формуле (12) должны удовлетворять определённым условиям:
) грузовая эпюра M непрерывна и сохраняет знак на всем участке
интегрирования;
) площадь и положение центра площади грузовой эпюры M известны или легко
определяются;
) единичная эпюра
является линейной (а не кусочно-линейной).
В том случае, если эпюры M и
не удовлетворяют указанным условиям,
грузовая эпюра разбивается на n простых фигур, чтобы удовлетворялись эти
условия, и перемещение вычисляется по формуле:
δ =
(13)
Вспомогательная информация для некоторых фигур приведена в таблице.
Рисунок 11 - Вспомогательная информация для некоторых фигур
Фигуры 3 - 5 получаются для эпюры M , ограниченной квадратичной параболой
(при действии распределенной нагрузки q = const), причем для фигур 3, 4
(параболические треугольники) т.К должна быть точкой экстремума (min или max).
Способ Верещагина применим для вычисления любого из интегралов (8) с
использованием соответствующих эпюр и жесткостей.
Отметим ограничение и дополнительные особенности применения способа
Верещагина (на примере формулы (12) для балки).
. Способ Верещагина применим только для прямолинейного бруса.
. Ступенчатый брус следует разбивать на участки постоянной
жёсткости; тогда расчётная формула примет вид:
δ =
(14)
. Для бруса переменной жесткости
(z) можно построить приведенную грузовую эпюру I=I/A
; тогда формула (13) преобразуется к
виду:
δ =
(15)
. Если обе эпюры (M и
) являются линейными, то операция
«перемножения» в формулах (12) - (14) обладает свойством коммутативности
(перестановки), т. е. можно умножать площадь единичной эпюры
на ординату грузовой эпюры
(ωƞ=
δ =
=
(16)
. Знак каждого отдельного произведения
выбирается следующим образом: если
эпюра M на данном участке и соответствующая ордината
расположены по одну сторону от оси,
то произведение считается положительным, в противном случае - отрицательным.
3. ОСНОВНЫЕ РАСЧЕТЫ
.1 Расчетная схема. Двухопорная балка с различными типами
закреплений
На лопасть действует центростремительная сила, равномерно распределенная
по ее длине. Под действием этой силы лопасть начинает изгибаться.
Следовательно, лопасть можно рассмотреть в виде двухопорной балки с равномерно
распределенной нагрузкой, действующей по всей ее длине. Напоминаем, что балкой
называется стержень, работающий на изгиб.
Рисунок 12 - Типы опор балок
. Подвижная шарнирная опора (Рисунок 12). Такая опора не препятствует
вращению конца балки и его перемещению вдоль плоскости качения. В ней может
возникать только одна реакция, которая перпендикулярна плоскости качения и
проходит через центр катка. Подвижные опоры дают возможность балке
беспрепятственно изменять свою длину при изменении температуры и тем самым
устраняют возможность появления температурных напряжений.
. Неподвижная шарнирная опора. Такая опора допускает вращение конца
балки, но устраняет поступательное перемещение ее в любом направлении.
Возникающую в ней реакцию можно разложить на две составляющие - горизонтальную
и вертикальную. 3. Жесткая заделка, или защемление (Рисунок 12в). Такое
закрепление не допускает ни линейных, ни угловых перемещений опорного сечения.
В этой опоре может в общем случае возникать реакция, которую обычно
раскладывают на две составляющие (вертикальную и горизонтальную) и момент
защемления (реактивный момент).
Балка с одним заделанным концом называется консольной балкой или просто
консолью.
В данной работе рассмотрим 2 случая закрепления балки:
1) слева неподвижный шарнир, справа жесткая заделка
Рисунок 13-неподвижное шарнирное закрепление и жесткая заделка
2) на обоих концах жесткие заделки :
Рисунок 14 - Жесткая заделка
3.2 Расчет основных силовых факторов, возникающих в балке, в
зависимости от типов закреплений
Статически неопределимые балки - конструкции, в которых уравнений статики
недостаточно для определения опорных реакций и внутренних усилий. Число связей,
наложенных на статически неопределимую систему, больше того количества связей,
которые обеспечивают геометрическую неизменяемость конструкции. Такими связями
могут быть как опорные связи, так и стержни самой конструкции. Будем
рассматривать такие конструкции, в которых связями, обеспечивающими
геометрическую неизменяемость, являются опорные закрепления (опорные связи).
Для обеспечения геометрической неизменяемости балки в плоскости достаточно трех
связей. Каждая связь запрещает какое-то перемещение. Шарнирно-неподвижная опора
делает невозможными линейные перемещения по двум взаимно-перпендикулярным
направлениям (вертикальному и горизонтальному) и соответствует двум связям, наложенным
на конструкцию. При наличии жесткого защемления на конце стержня становятся
невозможными все перемещения: и вертикальное, и горизонтальное, и угол
поворота, поэтому жесткое защемление представляет собой три связи,
обеспечивающие геометрическую неизменяемость балки. Каждая дополнительная связь
сверх трех для плоских систем превращает конструкцию в статически
неопределимую. Такие дополнительные связи, которые не являются необходимыми для
обеспечения геометрической неизменяемости конструкции, называются лишними.
Необходимо уточнить, что здесь и далее понятие “расчет” подразумевает
только построение эпюр внутренних силовых факторов, возникающих в элементах
системы, а не расчет на прочность, который будет производится в последующих
параграфах работы.
Статически неопределимые системы обладают рядом характерных особенностей:
. Статически неопределимая система ввиду наличия добавочных лишних
связей, по сравнению с соответствующей статически определимой системой
оказывается более жесткой.
. В статически неопределимых системах возникают меньшие внутренние
усилия, что определяет их экономичность по сравнению со статически определимыми
системами при одинаковых внешних нагрузках.
. Разрушение лишних связей в нагруженном состоянии, не ведет к разрушению
всей системы в целом, так как удаление этих связей приводит к новой
геометрически неизменяемой системе, в то время как потеря связи в статически
определимой системе приводит к изменяемой системе.
. Для расчета статически неопределимых систем необходимо предварительно
задаваться геометрическими характеристиками поперечных сечений элементов, т.е.
фактически их формой и размерами, так как их изменение приводит к изменению
усилий в связях и новому распределению усилий во всех элементах системы.
. При расчете статически неопределимых систем необходимо заранее выбрать
материал конструкции, так как необходимо знать его модули упругости.
. В статически неопределимых системах температурное воздействие, осадка
опор, неточности изготовления и монтажа вызывают появление дополнительных
усилий.
Степень статической неопределимости системы. Перед расчетом статически
неопределимой конструкции необходимо сначала определить степень статической
неопределимости рассматриваемой системы. Для балок степень статической
неопределимости равна числу лишних опорных связей. В каждой связи возникает
опорная реакция, поэтому степень статической неопределимости можно найти,
сосчитав разность между количеством неизвестных опорных реакций и числом
независимых уравнений статики.
Степень статической неопределимости системы S легко установить путем вычитания из общего числа опорных
стержней m количество независимых уравнений равновесия n, которое может быть составлено для данной системы (одно -
для одномерных; три - для плоских и шесть - для пространственных систем):
S = m - n.
Наиболее широко применяемым в машиностроении общим методом раскрытия
статической неопределимости стержневых систем является метод сил. Он
заключается в том, что заданная статически неопределимая система освобождается
от дополнительных связей как внешних, так и взаимных, а их действие заменяется
силами и моментами. Величина их в дальнейшем подбирается так, чтобы перемещения
в системе соответствовали тем ограничениям, которые накладываются на систему
отброшенными связями. Таким образом, при указанном способе решения неизвестными
оказываются силы. Отсюда и название «метод сил».
S =
2-система дважды статически неопределима (имеет 2 «лишние» связи). (неподвижное
шарнирное закрепление и жесткая заделка) Канонические уравнения метода сил:
S=3-система
трижды статически неопределима (имеет 3 «лишние» связи). (Жесткая заделка)
Канонические уравнения метода сил:
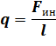
3.3 Расчет внешних силовых факторов, действующих на балку, в
зависимости от выбранного материала
Под таким расчетом подразумевается нахождение интенсивности
распределенной нагрузки от силы инерции (центробежной силы).
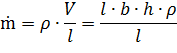
Формула нахождения интенсивности распределенной нагрузки:
где l - длина лопасти,
- сила инерции (центробежная сила),
равная:
Поперечное сечение.
где V - единичный объем,
- плотность материала.
Таким образом:
где
- расстояние между лопастью и осью вращения ветротурбины, ω
- скорость вращения
ветротурбины.
Поскольку q зависит от ρ,
таким образом
интенсивность распределенной нагрузки для каждого материала своя.
Распределенная нагрузка для материалов:
|
Сталь
|
Дерево
|
Алюминий
|
|
14953.575
|
1341.9875
|
5176.2375
|
3.4 Расчет в среде APM WINMACHINE
ветротурбина
балка лопасть силовой
Расчетная установка нарисована в системе APM WINMACHINE
Рисунок 15 - Расчетная установка
Рассмотрим различные материалы:
. Сталь
Расчетные характеристики для стали:
Рисунок 16 - характеристики для стали
. Дуб
Расчетные характеристики для дерева ( Дуб) :
Рисунок 17 - характеристики для дерева
3. Алюминий
Расчетные характеристики для алюминия:
Рисунок 18 - характеристики для алюминия
Распределенная нагрузка на лопасти ветротурбины задана согласно
материалам и проведен расчет на жесткость. В результате полечено максимальное
перемещение для каждого материала и типа заделки.
) Рассматриваются результаты жесткой заделки с обоих концов:
Нагрузка для стали
Рисунок 19 - Нагрузка для стали
Результат:

Максимальное перемещение = 0,0015
Нагрузка для дерева
Рисунок 21 - Нагрузка для дерева
Результат:
Рисунок 22 - Результат нагрузки на дерево
Максимальное перемещение = 0,002169м
Нагрузка для алюминия
Рисунок 22- нагрузка для алюминия
Результат:
Рисунок 23 - Результат нагрузки для алюминия
Максимальное перемещение =0,00127 м
) Рассматриваются результаты закрепления с неподвижным шарниром и
жесткой заделкой
Результат для стали
Рисунок 24 -результат для стали
Максимальное перемещение =0.00242
Результат для дерева
Рисунок 25 - результат для дерева
Максимальное перемещение =0.00455м
Результат для алюминия
Рисунок 26 -результат для алюминия
Максимальное перемещение =0,002278 м
.5 Анализ результатов
Задав нагрузки для разных материалов и типов закрепления, подытожим
полученные результаты
Таблица 1 - Полученные результаты для различных материалов и типов
закрепления
|
Перемещения (м)
|
|
Материал
|
Сталь (м)
|
Дерево (м)
|
Алюминий (м)
|
|
Жесткая заделка
|
0,001562
|
0,002169
|
0,00127
|
|
Жесткая заделка и неподвижное шарнирное закрепление
|
0,00242
|
0,00455
|
0,002278
|
ЗАКЛЮЧЕНИЕ
В данной дипломной работе проведено исследование прямой лопасти
ветротурбины карусельного типа. Такие ветротурбины применяются в компактной
многоэтажной ветроэлектростанции (КМВС). В работе рассматриваются 2 вида
закрепления прямой лопасти ветротурбины карусельного типа. В случае
неподвижного шарнирного закрепления и жесткой заделки концов стержня, имеем
дважды статически неопределимую систему. В случае жесткой заделки концов стержня,
имеем трижды статически неопределимую систему. В работе использовались 3 вида
материалов: сталь, дерево и алюминий. Дальнейшие расчеты на жесткость были
проведены в системе APM WINMACHINE.
По полученным данным значений перемещений можно сделать вывод, что
алюминий показал наилучшие показатели по жесткости и самым приемлемым вариантом
заделки является жесткая заделка обоих концов.
СПИСОК ИСПОЛЬЗОВАННОЙ ЛИТЕРАТУРЫ
1. Ершина
А.К., Ершин Ш.А., Жапбасбаев У.К. Основы теории ветротурбины Дарье. - Алматы:
КазгосИНТИ, 2001. - 104с
2. Кунакбаев
Т.О Инновационный проект
на 2012-14 гг. «Разработка,
изготовление и экспериментальные исследования эффективности компактной
ветроэлектростанции».
. Шефтер
Я.И. Ветроэнергетические агрегаты. Изд-во “Машиностроение”, М., 1972.
. Феодосьев
В.И. Сопротивление материалов. - МГТУ им. Баумана., 1999. - 592 с.
. Ицкович
Г.М. Сопротивление материалов. - М.: Высш.школа, 1982. - 383с
. Дарков
А. В., Г. С. Шпиро Сопротивление материалов. - М.: Высш. Шк., 1989. - 624 с
. А.
В. Александров, Б. Я. Лащеников, Н. Н. Шапошников; Под ред. А. Ф. Смирнова.
Строительная механика. - М.: Стройиздат, 1981.-512 с, ил.
. Н.М.
Беляев Сопротивление материалов. - М.: Наука, 1976. - 608с.
. Справочник
по композиционным материалам , под ред. Дж. Любина. - М.: Машиностроение, 1988.
- 448с.
. Кобесова
А.К “Сборник докладов V
Республиканской студенческой научно-практической конференции по математике,
механике и информатике.” Том I.
Астана, 2013- 274с.
. Кобесова
А.К “Сборник докладов КазНУ им. аль-Фараби” - принята к изданию.