Расчет и проектирование горизонтального газгольдера
Министерство образования и науки
Российской Федерации
Федеральное государственное бюджетное
образовательное учреждение
Высшего профессионального образования
Новосибирский государственный
технический университет
Кафедра инженерных проблем экологии
КУРСОВОЙ ПРОЕКТ
По дисциплине «Расчёт и
проектирование систем обеспечения безопасности»
Тема: Расчёт и проектирование
горизонтального газгольдера
Выполнил:
Гусев К. П.
Группа: СЭМ -
81
Студент:
Кравчук Ирина
Преподаватель:
Факультет: ЛА
Новосибирск - 2013
Введение
Горизонтальные цилиндрические резервуары используют для хранения
нефтепродуктов и сжиженных газов при атмосферном или повышенном давлении.
Диаметр оболочки обычно не превышает трех метров, что связано с ограничениями
железнодорожного габарита. Объем резервуаров для нефтепродуктов - до 1000 м3.
Горизонтальный резервуар состоит из корпуса (стенки), двух днищ, опорных
диафрагм, промежуточных колец жёсткости, опор [1] (рис. 1).
Днища резервуаров выполняют плоскими, сферической, конической или
эллиптической формы.
Резервуары имеют промежуточные ребра жесткости и опорные ребра жесткости
с треугольной диафрагмой. При надземной установке резервуары устанавливают на
две железобетонные опоры с углом охвата 900.
Резервуары устанавливают в любых районах, где температура окружающего
воздуха не ниже минус 650 С, а сейсмичность района может быть 7, 8 и
9 баллов.
В зависимости от расчетных температур районов эксплуатации горизонтальные
резервуары изготавливают:
при расчетной температуре до минус 400 С из углеродистой стали
марки Вст3кп2 по ГОСТ 380-88* для толщин до 4 мм и марки Вст3пс6 по ГОСТ
380-88* для толщины 6 мм и более;
Горизонтальные цилиндрические резервуары объемами от 3 до 100 м3
рассчитаны на внутреннее избыточное давление 0,04 и 0,07 МПа и имеют габаритные
размеры: диаметры - от 1,4 до 3,24 м; длины - от 2,02 до 12 м.
В технологии изготовления горизонтальных резервуаров объемами от 3 до 100
м3 приняты следующие конструктивные решения:
днища плоские (допускаемое внутренне избыточное давление 0,04 МПа);
днища конические (допускаемое внутренне избыточное давление 0,07 МПа);
стенки, изготовленные полистовой сборкой.
Область применения горизонтальных резервуаров ограничена тем, что они
занимают большие площади, велика в таких резервуарах площадь зеркала продукта.
Такие резервуары могут быть использованы на мылах распределительных нефтебазах
и автозаправочных станциях. С 1948 г. широкое распространение получил рулонный
метод изготовления и монтажа вертикальных резервуаров и газгольдеров. Для
изготовления резервуарных конструкций был создан целый ряд рулонирующих
установок, начиная с одноярусных с применением односторонней автоматической
сварки.
Когда нельзя по каким-либо причинам использовать рулонные листовые
заготовки, резервуар (днище, корпус) изготовляют из отдельных листов или
укрупненных блоков (полистовая сборка). Это может быть, например, при
сооружении резервуаров с толщиной стенки нижних поясов большей, чем это
допускают условия рулонирования. Горизонтальные резервуары в отличии от
вертикальных изготавливаются на заводах и поставляются на место в готовом виде.
Применяются при транспорте и хранении нефтепродуктов на распределенных
нефтебазах, а на нефтеперекачивающих станциях их используют как емкости для
сбора утечек.
1. Расчёт и проектирование горизонтального резервуара
Таблица 1 - Исходные данные для расчёта
|
Параметр, ед. изм.
|
Значение
|
Комментарий
|
|
Вместимость резервуара, м3
|
50
|
|
|
Хранимый продукт
|
|
Нефть
|
|
Внутреннее избыточное давление, кН/см2
|
5,5∙10-3
|
|
|
Давление вакуума, кН/см2
|
0,1∙10-3
|
|
|
Материал конструкции стенки:
|
|
ВСт3сп5-2
|
|
Сопротивление по пределу текучести,Ry, кН/см2
|
27
|
См. таблицу 1
|
|
Форма днища
|
плоское
|
Исходя из избыточного давления
|
|
Расшивка листов
|
|
На усмотрение
|
|
Наличие усилений
|
|
По результатам расчета
|
|
Место строительства
|
|
А (см. табл. 4)
|
|
Допуск отклонения толщины листов
|
|
См. табл. 2
|
|
Припуск на коррозию, Δ, мм
|
0,1
|
|
|
Коэффициент k0
|
|
См. табл. 4
|
|
Коэффициент с
|
|
См. табл. 3
|
Материал конструкции - сталь марки: ВСт3сп5-2, класс стали С 285,
листовая ТУ 14-1-3023-80.
Толщина проката - 10 мм. Заданный объём резервуара V = 50 м3
Плотность жидкости
1 т/м3. Избыточное давление Ризб = 5,5∙10-3
кН/см2. Нормальное давление вакуума
= 0,1∙10-3 кН/см2
27 кН/см2 (прил. А) при толщине стенок 4 - 10 мм.
Припуск на коррозию - Δ = 0,1 мм. Допуск отклонения толщины
листов - σ= 0,4 мм. Место строительства - местность типа А.
1.1 Определение размеров резервуара
Определение оптимального диаметра резервуара
Dопт. = 0,8∙
,
Dопт. = 0,8∙
= 3 м.
Ввиду удобства транспортирования резервуара железнодорожным транспортом,
примем диаметр: D = 3 м,
следовательно радиус r =
1,5 м.
При плоских днищах длина резервуара составит:
l =
где r - радиус резервуара (м).
Подбираем листы для корпуса 1400×4000. Края листов уменьшаем на 10 мм,
следовательно лист будет иметь размер 1390×3990.
При ширине листа Вл = 1,39, требуется следующее количество
колец:
nобщ =
n =
шт,
следовательно, принимаем целое число колец, равное 54 шт.
Истинная длина резервуара: l = nобщ ∙ Вл = 5∙1,39
= 6,95 м. Фактический объём резервуара составит:
Vф = π∙
∙l;
Vф = 3,14∙6,95∙
= 49,1 м3.
Фактический диаметр должен быть меньше заданного диаметра на 5 %.
= 1,8
5 %.
Так как 1,8 ≤ 5 %, то фактический диаметр выбран верно.
Определим номинальную толщину стенки резервуара:
,
где
;
- плотность жидкости (т/м3);
- ускорение свободного падения (м/с2);
- коэффициент ;
= 0,8 - учёт вытяжки металла при вальцовке листов;
= 0,8;
- расчётное сопротивление стыкового шва растяжению при
соответствующем контроле качества швов (
=
= 27 кН/см2).
- нормальное избыточное давление (Па).
= 0,148 см.
Учитываем минусовой допуск отношения толщины листов (см. табл. δ = 0,4 ) и припуск на коррозию ∆
= 0,1 мм. Получим, что требуемая толщина стенки равна
tтр =1,48 + 0,4 + 0,1 = 1,98 мм.
Толщину стенки принимаем равной минимум 4 мм, следовательно tтр = 4 мм.
резервуар горизонтальный газгольдер днище
1.2 Проверка устойчивости стенки
Расчётная толщина стенки принимается:
tpw = tтр - с1 - δ - ∆;
tpw = 4 - 0,8 - 0,4 - 0,1 = 2,7 мм.
Вычислим значение нормальных напряжений стенки резервуара:
,
где
- нормальное давление вакуума
= 0,033 кН/см2.
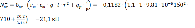
Нагрузка от собственного веса резервуара:
,
где К =1,1 - коэффициент, учитывающий наличие рёбер жёсткости и
оборудование в резервуаре;
- удельный вес стали;
- объём стенки и днищ.
=(2π∙r∙l + K2∙r2)∙
,
где К2 = 6,28 - при плоских днищах;
=(2∙3,14∙150∙710 + 6,28∙1502)∙
= 218732,4 см2.
= 2,9 ∙10-2 кН/см.
Момент сопротивления кольцевого сечения:
W = π∙r2∙(
- c1)
W =
3,14∙1502∙0,27 = 19076 см3.
Напряжение изгиба от собственного веса:
,00073 кН/см2.
= 0,03227 кН/см2
= 0,03373 кН/см2
Дополнительный коэффициент [2]
.
= 1,0043.
кН/см2.
Кольцевое напряжение:
.
= 0,0667 кН/см2.
= 0,00447 кН/см2,
где
= 0,5 (прил. А) - коэффициент для местности типа А.
= 0,23 ∙ 10-4 - ветровая нагрузка для
региона
0,0667 + 0,00447 = 0,0712 кН/см2.
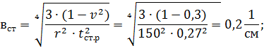
Отношение радиуса к его толщине: r/
= 150/0,27 = 556 (
),
в этом случае рассчитываем критические напряжения.

- коэффициент, учитывающий неравномерность сжатия оболочки
по сечению, вследствие её изгиба.
Е - модуль упругости материала.
.
Критическое кольцевое напряжение
0,55
,
где l0 = l∙0,568
= 710∙0,568 = 403,28 см; кольца жёсткости учитываются только на опорах.
0,55
= 0,322
.
.
= 0,8 для расчета на устойчивость меньше 0,8
следовательно, устойчивость стенки
обеспечена.
Таким образом, устойчивость стенки резервуара обеспечена даже без учёта
промежуточных ребер жесткости. Однако, установка промежуточных ребер
обязательна, поскольку r/tw = 150/0,27 = 555 > 200.
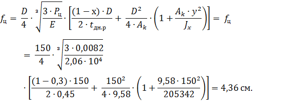
.3 Расчёт плоских безрёберных днищ
Предварительно следует назначить сечение кольца жёсткости в плоскости
днища из неравнополочного прокатного уголка. Принимаем уголок
Так же следует задаться толщиной
днища tдн = 4…5 мм и проверить на прочность:
,
где
- нормальное радиальное напряжение в центре днища;
= 0,8.
- давление в центре днища;
D -
диаметр сечения резервуара;
- расчётная толщина днища в центре с учётом отклонений по
толщине листов и припусками на коррозию
= 4,5 мм.
- прогиб плоского днища в центре, определяемый по формуле
[3]:
,
где
= 0,3 - коэффициент Пуассона;
- сечение кольца жёсткости;
- момент инерции сечения кольца жёсткости относительно
центра днища;
у - ордината внешней поверхности уголка кольца жёсткости относительно
центра днища.
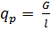
.4 Расчёт плоско-ребристых днищ
Плоское днище опирается на np радиально расположенных рёбер. Для расчёта выделяется полоска единичной
ширины, которая опирается на радиальные рёбра как неразрезная балка (рис. 2)
работающая по схеме изгибно-жёсткой нити.
Рисунок 2 - Расчётная схема обшивки стенок и кровли покрытий
Расстояние между рёбрами по краю днища:
.
Чтобы рассчитать полоску днища по балочной схеме, необходимо отступить от
края днища примерно на 0,9∙
. Тогда
.
Полоска днища воспринимает растягивающее усилие Н и изгибающий момент,
который будет максимальным над ребром (опорой); проверяется на прочность по
формуле:
;
;
;
;
- площадь сечения полоски днища;
W =
- момент сопротивления сечения
полоски;
J =
- момент инерции сечения полоски;
γс = 1.
В случае если прочность днища недостаточна, то надо увеличить количество
радиальных рёбер. Радиальное ребро проверяют на прочность, как балку на двух
опорах.
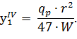
.5 Расчёт днища на прочность
Примем кольцо жёсткости в плоскости днища из неравнополочного прокатного
уголка
(Ауг = 9,58 см2;
Jx0 = 98,3 см4; у0 = 32,3 мм; х0
= 14,2 мм)
= 5 мм. С учётом отклонений по толщине листов и припуска на
коррозию
= 4,5 мм. Требуется проверить на
прочность безрёберное днище.
Для расчёта днища гидростатическое давление принимается равномерным и
равным давлению в его центре при полном заполнении резервуара жидкостью.
Суммарное давление и избыточное давление в центре днища:
= 0,0082 кН/см2.
Момент инерции сечения кольца жёсткости относительно центра днища:
Jx = Jx0 +Ауг∙(r - tст - у0)2 = 98,3 +9,58∙(150
- 0,27 - 3,23)2 = 205707 см4.
Ордината внешней поверхности уголка относительно центра днища
y = r - tст = 150 - 0,4 = 149,6 см.
Прогиб центра днища от равномерного давления на него
,
Прочность днища обеспечена в центре. Однако по контуру днища будет
существенное влияние на напряжённое состояние местный изгибающий момент от
внецентренного крепления днища к кольцу жёсткости. Поэтому окончательно
суждение о прочности днища будет дано ниже.
.6 Расчёт на прочность сопряжения плоского днища со стенкой
Нормальное радиальное напряжение на контуре днища равно
,
где
Коэффициент
определён, как для мембраны с несмещающимся контуром,
сравнивая значения напряжений в центре и по контуру.
.
Часть напряжений
воспринимается кольцом жёсткости, а другая часть -
цилиндрической оболочкой (стенкой) в зоне центра тяжести сечения кольца
жёсткости:
где
- коэффициент деформации днища.
Вследствие внецентренного приложения усилия
от днища в зоне сопряжения днища со
стенкой возникает изгибающий момент.
,
где е =
= 1,67 см.
= =
= 2,4 кН.
Нормальные напряжения в стенке (и в днище тоже) от момента
значительны. При этом не учитывается
влияние момента краевого эффекта, аналогичного моменту в зоне сопряжения стенки
с днищем вертикального цилиндрического резервуара, который снижает действие
.
1.7 Проверка на прочность стенки и днища резервуара в узле их
сопряжения
Напряжение в стенке без учёта краевого эффекта (tcт = 4 мм)
= 32,4
-
прочность стенки не обеспечена.
Напряжение в днище
прочность днища не обеспечена в этой зоне. Следует плоское днище укрепить
рёбрами жёсткости. Вычислим в зоне сопряжения днища со стенкой изгибающий
момент краевого эффекта М0. Предварительно найдём коэффициенты и
свободные члены канонического уравнения метода сил:

P =
Подставляем полученные значения в уравнение
, отсюда М0 = 0,071 кН.
Суммарный изгибающий момент в зоне краевого эффекта
Проверим стенку резервуара на прочность в зоне краевого эффекта без учёта
меридиональных напряжений, величина которых незначительна
.
Прочность стенки резервуара в зоне краевого эффекта недостаточна. Однако
если принять кольцо жёсткости днища в соответствии с (рис 2), то
и остаётся только М0. При
этом
то есть прочность стенки обеспечена.
Рисунок 3 - Рациональные типы сечений кольца жёсткости
Проверим на прочность вариант плоско-ребристого днища толщиной tдн = 5 мм.
Конструкцию плоско-ребристого днища примем, как показано на рис.
Ребро-пластина толщиной 10 мм и шириной
.
Расстояние между рёбрами по краю днища:
=
= 39,25 см.
Расчётный пролёт полоски днища
.
Стрелу прогиба единичной ширины полоски днища, как изгибно-жёсткой нити,
при расчётном давлении Pu = 5,5∙
кН/см2 и расчётной толщине днища tдн.р = 4,5 мм приближённо можно
определить по формуле
.
Распор изгибно-жёсткой нити
кН/см.
Коэффициент
.
Опорный момент полоски единичной ширины (изгибно-жёсткой нити)
= - 0,309 кН.
Проверка на прочность днища по формуле
прочность плоского днища с радиальными рёбрами обеспечена.
Стоит заметить, что толщины стенки и днищ резервуара определяются зоной
краевого эффекта.
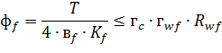
Произведём расчёт кольцевых швов, соединяющих кольцо жёсткость с днищем и
со стенкой (рис 3).
Рисунок 4 - К расчёту кольцевых швов
Кольцевые швы, соединяющие днище с кольцом жёсткости, воспринимают
радиальные усилия по контуру днища
.
Напряжение в кольцевом шве от
и от момента
взаимно перпендикулярны; 4 см - расстояние между центрами сечений сварных
швов.
Примем полуавтоматическую сварку электродной проволокой маркой Св-08А
(Rwf = 18,0 кН/см2).
Расчётное сопротивление по металлу границы сплавления шва
Rwz = 0,45∙ Run = 0,45∙380 = 171 МПа.
Примем Kf = 4 мм. Коэффициент проплавления
шва:
- для электродной проволоки
диаметром менее 1,4 мм.
Следовательно, расчётным сечением будет по металлу шва.
Результирующее напряжение в шве
=18
Кольцевые швы, которые соединяют стенку резервуара с кольцом жёсткости,
воспринимают усилие
результирующий момент М и сдвигающее усилие Т между кольцом
жёсткости и стенкой от гидростатического давления жидкости Тж и
собственного веса резервуара Тс.в, то есть
Т = Тж + Тс.в = 0,5/2
Напряжение в кольцевом шве от
от момента
от сдвигающего усилия
Результирующее напряжение в шве
Принимаем все швы кольцевыми.
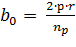
.8 Расчёт опорного кольца жёсткости резервуара
В опорных сечениях стенка резервуара укрепляется кольцом жёсткости, в
плоскости которого размещена диафрагма в виде одного или двух горизонтальных
стержней, квадрата или треугольника. Треугольные диафрагмы применяют для
резервуаров объёмом 50 м3 и более. При меньших объёмах достаточно
укреплять кольцо жёсткости одним горизонтальным стержнем, располагаемым обычно
на уровне верха седловой опоры.
Седловые опоры бывают с углами охвата резервуара 600, 900,
1200. Наиболее рациональная седловая опора с углом охвата 1200
(рис 5).
Ширина седловой опоры при объёме 50 м3 равна 300 мм.
Рисунок 5 - Схема седловой опоры с углом охвата 1200 и
диафрагмой в виде треугольника
Рассчитывают опорное кольцо жёсткости совместно с диафрагмой, как
статически неопределённую систему. В сечениях кольца от собственного веса
резервуара и гидростатического давления жидкости при полном заполнении
резервуара возникают изгибающие моменты Мк. продольные Nk и поперечные силы Qk. Изгибающий момент определяется по
формуле [6]
продольное усилие по формуле
,
где коэффициенты
и
определяются по рис. 6 для диафрагмы в виде треугольника,
- плотность жидкости;
;
G -
собственный вес резервуара с оборудованием.
Рисунок 6 - Эпюры коэффициентов для М и N кольца, укреплённого треугольником
Следует иметь в виду, что усилия, определяемые выше, приходятся на два
кольца.
На прочность проверяется обушок уголка, так как конец пера уголка,
приваренный к стенке, будет работать совместно со стенкой.
,
где
= 1.
Усилия
и
должны быть со своими знаками. Сечения уголков задаются,
проверяют их и в случае надобности корректируют.
Сварные швы, прикрепляющие опорное кольцо жёсткости к стенке, передают на
кольцо сдвигающие усилия Т от гидростатического давления жидкости Тж
и веса резервуара Тс.в..
Максимальное сдвигающее усилие Т, приходящееся на два опорных кольца,
находится в сечении стенки на уровне горизонтального диаметра, то ести при
, и определяется по формуле
Т = Тж + Тс.в..
Рассматриваемые сварные швы проверяют по металлу шва
и по металлу границы сплавления
,
где
- катет сварного шва, принимаемый равным 4 мм;
и
- коэффициенты проплавления сварного шва.
.9 Расчёты опорного кольца жёсткости с диафрагмой в виде
треугольника
Требуется проверить сечение опорного кольца жёсткости в виде
неравнополочного уголка 100
(Ак = 9,58 см2, Wx,max = 30,43 см3; Wx,min = 14,46 см3) для
резервуара радиусом r = 150 см, длиной
710 см, tст = 2,7 мм, в котором хранится жидкость
плотностью
. Кольцо жёсткости укреплено диафрагмой в виде треугольника
(стержни - из
). Днища - плоские ребристые.
Опорное кольцо жёсткости резервуара воспринимает нагрузку в виде собственного
веса резервуара и гидростатического давления жидкости. Определим собственный
вес порожнего резервуара с оборудованием
Равномерно распределённая нагрузка от собственного веса резервуара
= 0,0285 кН/см.
Максимальный изгибающий момент в сечении кольца
на два кольца.
продольное усилие в сечении опорного кольца (рис. 7)
- на два кольца.
Нормальное напряжение в сечении кольца
,
Усилия
и
должны быть со своими знаками. Сечения уголков задаются,
проверяют их и в случае надобности корректируют.
Рисунок 7 - Опорное кольцо жёсткости с треугольной диафрагмой
Проверим на прочность и устойчивость стержни диафрагмы.
Сжимающие усилия в наклонных стержнях диафрагмы
.
Растягивающее усилие в горизонтальном стержне диафрагмы
= 89,6 кН.
Проверка горизонтального стержня на прочность
Уменьшим сечение горизонтального стержня и примем
(Ак = 4,8 см2):
.
Проверка наклонных стержней на устойчивость.
Длина стержня
Для уголка
минимальный радиус инерции
гибкость стержня
При Ry = 227 кН/см2 коэффициент
продольного изгиба
-
устойчивость наклонных стержней диафрагмы обеспечена.
Цифра 2 в знаменателе означает, что полученные усилия в сечении стержня
приходятся на два опорных кольца.
.10 Выбор люка-лаза
Для данного резервуара необходимо установить люк-лаз. Остановим свой
выбор на люке ЛЛ-600.
Рисунок 8 - люк-лаз ЛЛ-600
Люки-лазы ЛЛ-600 (табл. 2), предназначены для внутреннего осмотра,
ремонта и очистки резервуаров для хранения и раздачи нефти и нефтепродуктов (ТУ
3689-019-03467856-2001. Сертификат соответствия РОСС RU.H004.H00325 с
01.08.2006 по 01.08.2009. Разрешение Ростехнадзора на применение № РРС 00-21931
с 04.08.2006 по 04.08.2009).
Корпус люка состоит из обечайки с приваренным к ней фланцем. К фланцу
корпуса болтами и гайками через прокладку, обеспечивающую герметичность
соединения, крепится крышка. На крышке имеются ручки для транспортировки люка в
собранном состоянии или для её открывания.
По устойчивости к воздействию климатических факторов соответствует
исполнению УХЛ категории размещения 1 по ГОСТ Р 15150-69. Для удобства
открывания и закрывания люки оборудованы поворотным устройством.
Средний ресурс - 5000 циклов. Под циклом понимается одно открытие и
закрытие люка. Срок службы люка - 15 лет.
Таблица 2 - Технические характеристики люка-лаза ЛЛ-600
|
Параметры
|
ЛЛ-600
|
|
Диаметр условного прохода, мм
|
600
|
|
Условное давление, МПа (кгс/см²)
|
0,1 (1)
|
|
Диаметр наружный, мм
|
765
|
-
|
|
Ширина, мм
|
-
|
|
Высота, мм
|
335
|
|
Масса, кг
|
190
|
Заключение
В заключение следует сделать выводы по конструктивным решениям
рассчитанного в данной работе резервуара.
Газгольдер - листовая конструкция объёмом 50 м3, состоящая из
металлических листов размером 1400×4000 мм, предназначенная для хранения
нефти различных сортов. Диаметр рассчитанного резервуара равен 3000 мм, длина -
6950 мм, фактический объём составил 49,1 м3. Толщина стенок
резервуара составила 2,7 мм, толщина днища - 4,5 мм. Днище - плоское ребристое
с количеством рёбер жёсткости - 24 шт. Конструктивные особенности резервуара
включают 5 колец жёсткости с треугольной диафрагмой. Днище и стенки резервуара
соединены при помощи неравнополочных уголков размером
.
Для удобства эксплуатации резервуара применён люк-лаз ЛЛ-600 с внутренним
диаметром, равным 600 мм и максимальным диаметром крышки, равным 755 мм.
Для данной листовой конструкции применены однопроходные кольцевые сварные
швы.
Приложение
Таблица 1 - Сопротивления сталей по текучести
Таблица 2 - Предельные отклонения по толщине листов
Таблица 3 - Значения коэффициента с
Таблица 4 - Значения коэффициента k0, z-габаритный размер
резервуара (высота)
Список использованных источников
1. Нехаев
Г. А. Проектирование и расчёт стальных цилиндрических резервуаров и
газгольдеров низкого давления/ Г. А. Нехаев. - М.: ABC, 2005. - 216 с.
. Металлические
конструкции: общий курс: Учеб. для вузов. - 7-е изд./ Под ред. Г. С.
Веденникова. - М.: Стройиздат, 1998. - 760 с.
. Металлические
конструкции. В 3-ч т. Т.2. Стальные конструкции зданий и сооружений.
(Справочник проектировщика) / Под общ. ред. В. В. Кузнецова (ЦНИИПСК им. Н. П.
Мельникова). - М.: Изд-во АВС, 1998. - 512 с.
. Прочность.
Устойчивость. Колебания. Т.1. Справочник в трёх томах / Под ред. И. А. Биргера
и Я. Г. Пановко. = М.: «Машиностроение», 1968. - 831 с.
. Сопротивление
материалов / Под общ. ред. А. Ф. Смирнова, - 2-е изд., переработанное. - М.:
«Высшая школа», 1969. - 600 с.
. Лессиг
Е. Н. Листовые металлические конструкции. - М.: Изд. литературы по
строительству, 1970ю - 488 с.