|
№ вала
|
Частота, об/мин
|
Мощность, кВт
|
Крутящий момент, Нм
|
|
1
|
945,0
|
1,50
|
15,16
|
|
2
|
210,00
|
1,44
|
65,51
|
|
3
|
59,15
|
1,38
|
223,31
|
|
4
|
18,84
|
1,33
|
673,18
|
3. Расчет передач
.1 Расчет цилиндрической
косозубой передачи (U= 4,50)
Исходные данные:
Частота вращения шестерни n1=
945,0 мин-1; колеса n2= 210,0 мин-1
Передаточное число передачи U= 4,50
Крутящий момент на шестерне T1=
15,2 Нм; на колесе T2= 65,5 Нм
Параметры долговечности Lгод=
5,0год= 0,5сут= 0,3
Выбираем материал
шестерни и зубчатого колеса
Группу материалов выбираем в
зависимости от требований габаритов передачи и крутящего момента на ведомом
колесе (табл. 3.2 [2], табл. 16.2. 1,4.1.1 [1]
Рекомендуемые сочетания материалов
табл. 4.1.2 [1]
Выбираем материал шестерни - Сталь
45 и колеса - Сталь 40Л
Термообработка шестерни -
нормализация
Термообработка колеса - нормализация
Твердость шестерни HB1=
241
колеса HB2= 197
Базовое число циклов
соответствующее пределу выносливости
для шестерни и колеса NHlim=f(HB) (табл. 4.1.3 [1])
(если HB<=200 NHlim=107)Hlim1= 1,7·107 цикловHlim2= 1,0·107 циклов
Эквивалентное число
циклов
NHE=60·n·c·Lh·kHE
Lh - продолжительность
работы передачи, час
h=Lгод·kгод·24·kсут·365=5,0·0,5·24·0,3·365=
6570,0
HE - коэффициент, учитывающий изменение нагрузки в соответствии с
циклограммой
где qH=6-показатель степени
кривой усталости при расчете на контактную выносливость= 1 - число зацеплений
зуба за один оборот колеса
NHE1 =60·
945,0·6570,0·1·0,4512= 16,8·107
NHE1 =60·
210,0·6570,0·1·0,4512= 3,7·107
Kкоэффициент долговечности
(При NHlim< NHE ZN=1)
ZN1=
1,0; ZN2=
1,0
Пределы контактной
выносливости
sHlim=2HB+70
sHlim1=2·241+70=
555,0 МПа
sHlim2=2·197+70=
464,0 МПа
Допускаемые контактные
напряжения
sH1(2) =0.9·sHlim 1(2)·ZN 1(2)/SH 1(2)
SH1(2) =1.1 - коэффициент
запаса прочности:
sH1=0.9·555,0·1,0/1.1=
454,1 МПа
sH2=0.9·464,0·1,0/1.1=
379,6 МПа
Для цилиндрических колес с небольшой
разницей твердостей sHP=sH min
sHP = 379,6 МПа
Базовое число циклов
напряжений NFlim=4·106 циклов
Эквивалентное число
циклов
NFE=60·n·c·Lh·kFE
FE - коэффициент, учитывающий изменение нагрузки
где qF=6 для HB<=350,
qF=9 для HB>350
NFE1=60·945,0·6570,0·1·0,3327=
123,9·106
NFE2=60·210,0·6570,0·1·0,3327=
27,5·106
Коэффициент долговечности
(при NFlim <= NFE YN=1)
,
YN1=
1,0; YN2= 1,0
Предел выносливости
зубьев при изгибе, МПа
sFlim
= f(HB) (табл. 4.1.3 [1])
sFlim 1= 422,0
МПа; sFlim 2= 345,0 МПа
Допускаемые изгибные
напряжения
sFP 1(2) =0.4·sFlim 1(2)·YN 1(2)·YA
A - коэффициент, учитывающий влияние двустороннего приложения
нагрузки:
при одностороннем приложении
нагрузки YA = 1.0;
при двустороннем приложении нагрузки
YA = (0.7..0.8).
YA:= 1.0
sFP1=0.4·422,0·1,0·1.0=
168,8 МПа
sFP2=0.4·345,0·1,0·1.0=
138,0 МПа
Расчетное межосевое
расстояние
,
a= 43 MPa1/3 - коэффициент, зависящий от типа передачи (стр. 46 [1])
yba
- коэффициент ширины колеса относительно межосевого расстояния
yba = b/aw=2·ybd /(u+1), ybd
=b/d1 (табл. 4.2. 6,4.2.7 [1]
Выбранное значение ybd = 0,93 =>
yba
=2·0,93/(4,5+1)= 0,34Hb - коэффициент,
учитывающий неравномерность распределения нагрузки по ширине венцаHb
=f (HB, расположение колес относительно опор, ybd)=
1.1 (рис. 4.2.2 [1])A - коэффициент внешней динамической нагрузки, KA=
1 (табл. 4.2.9 [1])
Предварительно межосевое
расстояние
мм
Стандартное значение
межосевого расстояния (табл. 4.2.2 [1]) aw= 100,0 мм
Ширины зубчатых венцов:
шестерни b1=b2+(3..5)=33,8+4=
37,8 мм
колеса b2=yba ·aw=0,3·100,0= 33,8 мм
Модуль зацепления
m’=2·aw·cosb/(z1’·(u+1))
Принимаем
предварительно: z1’=
19, b=15° тогда
m’=2·100,0·cos15/(19·(4,5+1))= 1,76
Стандартное значение
модуля табл. 4.2.1 [1]:
m= 1,75
Суммарное число зубьев
передачи
zS=2·aw·cosb’/m=2·100,0·cos15/1,75=110
Действительный угол
наклона зубьев
b=arccos(zS·m/(2·aw))=arccos
(110·1,75/(2·100,0))=15,7
Число зубьев шестерни
z1=zS/(u+1)=110/(4,5+1)=20
Число зубьев колеса
z2= zS-z1=110-20= 90
Действительное значение
U=z2/z1=90/20= 4,5
Диаметры зубчатых колес,
мм
Делительные диаметры d1(2)=m·z/cosb:
d1= 1,8·20/cos15,7= 36,4
d2= 1,8·90/cos15,7= 163,6
Диаметры вершин и впадин
da=d+2·m, df=d-2.5·m:
- вершин da1= 36,4+2·1,8= 39,9
da2= 163,6+2·1,8= 167,1
впадин df1= 36,4-2.5·1,8= 32,0
df2= 163,6-2.5·1,8= 159,3
Силы в зацеплении
зубчатых колес
Окружные силы Ft1(2)=2·103·T1/d1(2)
Ft1=2·103·15,2/36,4= 836,0
H;=2·103·65,5/163,6= 800,6 H
Радиальные силы Fr1(2)=Ft1(2)·tg(aw)/cosb
Fr1=
836,0·tg(20)/cos15,7 = 316,1 H;= 800,6·tg(20)/cos15,7 = 302,7 H
Осевые силы Fа1(2)=Ft1(2)·tg(b)
Fa1= 836,0·tg15,7 = 235,8 H;
Fa2= 800,6·tg15,7 = 225,8 H
Oкружная скорость колес
х=3.14·d2·n2/(60·103)
х =3.14·163,6·210,0/(60·103)=
1,8 м/c
Степень точности=f (v, b)= 9 (табл. 4.2.8 [1])
Коэффициент, учитывающий
динамическую нагрузку в зацеплении,
kHu=f (степень точности, u, твердость зубьев)=1,0 (табл. 4.2.8 [2])
Коэффициент, учитывающий
неравномерность нагрузки для одновременно зацепляющихся зубьев,
kHa=f (степень точности, u) = 1,1 (табл. 4.2.11 [2])
Удельная расчетная
окружная сила
WHt=Ft1·KHb·KHх·KA/b2= 836,0·1,1·1,0·1/33,8= 31,3 H/мм
Расчетные контактные
напряжения
H
- коэффициент, учитывающий форму сопряженных поверхностей зубьев;
для прямых зубьев ZH
=1,77·cosb=1,7E - коэффициент, учитывающий механические свойства
материалов колес;E =275 МПа1/2е - коэффициент,
учитывающий суммарную длину контактных линий;
для прямых зубьев
е
=
=0,8
(c. 44 [1]);
МПа
Недогрузка 0,5% sH = 377,6 МПа èsHP = 379,6 МПа
Коэффициент, учитывающий
динамическую нагрузку в зацеплении,
kFu=f (степень точности, u, твердость зубьев)=1,0
(табл. 4.2.8 [2])
Коэффициент, учитывающий
неравномерность распределения нагрузки по ширине венца (для изгибной
прочности),
kFb=f (HB, расположение
колес относительно опор, ybd)=1,2
(рис. 4.2.3 [2])
Коэффициент, учитывающий
неравномерность нагрузки для одновременно зацепляющихся зубьев,
kFa=f (степень точности, u) = 1,4 (табл. 4.2.11
[2])
Удельная расчетная
окружная сила при изгибе
WFt=Ft1·KFb·KFх·KA/b2=836,0·1.2·1,0·1/33,8=
39,9 H/мм
оэффициент, учитывающий
форму зуба,
YFS=f(z1(2)E, x)
(x=0)
где z1(2)E=z1(2)
- эквивалентное число зубьев
Выбранные значения YFS1=
4,0; YFS2= 3,7
Дальнейший расчет
производим для элемента пары «шестерня-колесо» у которого меньше величина
отношения sHP
1(2)/ YFS 1(2)
Расчетные напряжения
изгиба
b - коэффициент,
учитывающий наклон зуба
для косых зубьев Yb=1-b/140=0,9е
- коэффициент, учитывающий перекрытие зубьев
для косых зубьев Yе
=1/ea=0,6
МПа
Недогрузка 66,5% sF = 46,2 èМПа sFP = 138,0 МПа
3.2 Расчет
цилиндрической косозубой передачи (U= 3,55)
Исходные данные:
Частота вращения шестерни n1=
210,0 мин-1; колеса n2= 59,2 мин-1
Передаточное число передачи U= 3,55
Крутящий момент на шестерне T1=
65,5 Нм; на колесе T2= 223,3 Нм
Параметры долговечности Lгод=
5,0год= 0,5сут= 0,3
Выбираем материал
шестерни и зубчатого колеса
Группу материалов выбираем в
зависимости от требований габаритов передачи и крутящего момента на ведомом
колесе (табл. 3.2 [2], табл. 16.2. 1,4.1.1 [1]
Рекомендуемые сочетания материалов
табл. 4.1.2 [1]
Выбираем материал шестерни - Сталь
45 и колеса - Сталь 45Л
Термообработка шестерни - улучшение
Термообработка колеса - улучшение
Твердость шестерни HB1=
260
колеса HB2= 223
Базовое число циклов, соответствующее пределу выносливости для шестерни и колеса NHlim=f(HB) (табл. 4.1.3 [1]) (если HB<=200 NHlim=107)
NHlim1= 1,9·107 цикловHlim2= 1,4·107 циклов
Эквивалентное число
циклов
NHE=60·n·c·Lh·kHE
h - продолжительность работы передачи, час
h=Lгод·kгод·24·kсут·365=5,0·0,5·24·0,3·365=
6570,0
HE - коэффициент, учитывающий изменение нагрузки в соответствии с
циклограммой
где qH=6-показатель степени
кривой усталости при расчете на контактную выносливость= 1 - число зацеплений
зуба за один оборот колеса
NHE1 =60·
210,0·6570,0·1·0,4512= 3,7·107
NHE1 =60·
59,2·6570,0·1·0,4512= 1,1·107
Kкоэффициент долговечности
(При NHlim< NHE ZN=1)
ZN1= 1,0; ZN2= 1,0
Пределы контактной
выносливости
sHlim=2HB+70
sHlim1=2·260+70= 580,0 МПа
sHlim2=2·223+70= 516,0 МПа
Допускаемые контактные
напряжения
sH1(2) =0.9·sHlim 1(2)·ZN 1(2)/SH 1(2)
H1(2) =1.1 - коэффициент запаса прочности:
sH1=0.9·580,0·1,0/1.1=
474,5 МПа
sH2=0.9·516,0·1,0/1.1=
442,7 МПа
Для цилиндрических колес с небольшой
разницей твердостей sHP=sH min
sHP = 442,7 МПа
Базовое число циклов
напряжений NFlim=4·106 циклов
Эквивалентное число
циклов
NFE=60·n·c·Lh·kFE
FE - коэффициент, учитывающий изменение нагрузки
где qF=6 для HB<=350,
qF=9 для HB>350
NFE1=60·210,0·6570,0·1·0,3327=
27,5·106
NFE2=60·59,2·6570,0·1·0,3327=
7,8·106
Коэффициент
долговечности (при NFlim <= NFE YN=1)
,
YN1=
1,0; YN2= 1,0
Предел выносливости
зубьев при изгибе, МПа.
sFlim
= f(HB) (табл. 4.1.3 [1])
sFlim
1= 446,0 МПа; sFlim
2= 390,0 МПа
Допускаемые изгибные
напряжения
sFP
1(2) =0.4·sFlim
1(2)·YN
1(2)·YA
A
- коэффициент, учитывающий влияние двустороннего приложения нагрузки:
при одностороннем
приложении нагрузки YA = 1.0;
при двустороннем
приложении нагрузки YA = (0.7..0.8).
YA:=
1.0
sFP1=0.4·446,0·1,0·1.0=
178,4 МПа
sFP2=0.4·390,0·1,0·1.0=
156,0 МПа
Расчетное межосевое
расстояние
,
ka= 43 MPa1/3 - коэффициент,
зависящий от типа передачи (стр. 46 [1])
yba - коэффициент ширины колеса относительно межосевого расстояния
yba = b/aw=2·ybd
/(u+1), ybd =b/d1 (табл. 4.2. 6,4.2.7 [1]
Выбранное значение ybd = 0,90 =>
yba =2·0,90/(3,5+1)= 0,40Hb - коэффициент, учитывающий неравномерность распределения нагрузки
по ширине венцаHb =f (HB, расположение колес относительно опор, ybd)= 1.1 (рис. 4.2.2 [1])A
- коэффициент внешней динамической нагрузки, KA= 1 (табл. 4.2.9 [1])
Предварительно межосевое расстояние
мм
Стандартное значение межосевого
расстояния (табл. 4.2.2 [1]) aw= 125,0 мм
Ширины зубчатых венцов:
шестерни b1=b2+(3..5)=49,5+4=
53,5 мм
колеса b2=yba ·aw=0,4·125,0=
49,5 мм
Модуль зацепления
m’=2·aw·cosb/(z1’·(u+1))
Принимаем предварительно: z1’= 22, b=15° тогда
m’=2·125,0·cos15/(22·(3,5+1))= 2,4
Стандартное значение
модуля табл. 4.2.1 [1]:
m= 2,5
Суммарное число зубьев
передачи
zS=2·aw·cosb’/m=2·125,0·cos15/2,5=97
Действительный угол
наклона зубьев
b=arccos(zS·m/(2·aw))=arccos (97·2,5/(2·125,0))=14,1
Число зубьев шестерни
z1=zS/(u+1)=97/(3,5+1)=21
Число зубьев колеса
z2= zS-z1=97-21= 76
Действительное значение
U=z2/z1=76/21= 3,6
Диаметры зубчатых колес,
мм
Делительные диаметры d1(2)=m·z/cosb:
d1= 2,5·21/cos14,1= 54,1
d2= 2,5·76/cos14,1= 195,9
Диаметры вершин и впадин
da=d+2·m, df=d-2.5·m:
- вершин da1= 54,1+2·2,5= 59,1
da2= 195,9+2·2,5= 200,9
впадин df1= 54,1-2.5·2,5= 47,9
df2= 195,9-2.5·2,5= 189,6
Силы в зацеплении
зубчатых колес
Окружные силы Ft1(2)=2·103·T1/d1(2)
Ft1=2·103·65,5/54,1=
2420,4 H;
Ft2=2·103·223,3/195,9=
2280,0 H
Радиальные силы Fr1(2)=Ft1(2)·tg(aw)/cosb
Fr1=
2420,4·tg(20)/cos14,1 = 908,2 H;r2= 2280,0·tg(20)/cos14,1 = 855,5 H
Осевые силы Fа1(2)=Ft1(2)·tg(b)
Fa1= 2420,4·tg14,1 = 606,9 H;
Fa2= 2280,0·tg14,1 = 571,7 H
Oкружная скорость колес
х=3.14·d2·n2/(60·103)
х =3.14·195,9·59,2/(60·103)=
0,6 м/c
Степень точности=f (v, b)= 9 (табл. 4.2.8 [1])
Коэффициент, учитывающий
динамическую нагрузку в зацеплении,
kHu=f (степень точности, u, твердость зубьев)=1,0 (табл. 4.2.8 [2])
Коэффициент, учитывающий
неравномерность нагрузки для одновременно зацепляющихся зубьев,
kHa=f (степень точности, u) = 1,1 (табл. 4.2.11 [2])
Удельная расчетная
окружная сила
WHt=Ft1·KHb·KHх·KA/b2= 2420,4·1,1·1,0·1/49,5= 62,1 H/мм
Расчетные контактные
напряжения
H
- коэффициент, учитывающий форму сопряженных поверхностей зубьев;
для прямых зубьев ZH
=1,77·cosb=1,7E - коэффициент, учитывающий механические свойства
материалов колес;E =275 МПа1/2е - коэффициент,
учитывающий суммарную длину контактных линий;
для прямых зубьев Zе
=
=0,8
(c. 44 [1]);
МПа
Перегрузка 1,1% sH = 447,6 МПа èsHP = 442,7 МПа
Коэффициент, учитывающий
динамическую нагрузку в зацеплении,
kFu=f (степень точности, u, твердость зубьев)=1,0
(табл. 4.2.8 [2])
Коэффициент, учитывающий
неравномерность распределения нагрузки по ширине венца (для изгибной
прочности),
kFb=f (HB, расположение
колес относительно опор, ybd)=1,2
(рис. 4.2.3 [2])
kFa=f (степень точности, u) = 1,4 (табл. 4.2.11
[2])
Удельная расчетная
окружная сила при изгибе
WFt=Ft1·KFb·KFх·KA/b2=2420,4·1.2·1,0·1/49,5= 77,7 H/мм
Коэффициент, учитывающий
форму зуба,
YFS=f(z1(2)E, x) (x=0)
где z1(2)E=z1(2)
- эквивалентное число зубьев
Выбранные значения YFS1=
4,0; YFS2= 3,7
Дальнейший расчет производим для
элемента пары «шестерня-колесо» у которого меньше величина отношения sHP 1(2)/ YFS 1(2)
Расчетные напряжения
изгиба
b - коэффициент,
учитывающий наклон зуба
для косых зубьев Yb=1-b/140=0,9е
- коэффициент, учитывающий перекрытие зубьев
для косых зубьев Yе
=1/ea=0,6
МПа
Недогрузка 59,5% sF = 63,3 èМПа sFP = 156,0 МПа
3.3 Расчет
цилиндрической косозубой передачи (U= 3,14)
Исходные данные:
Частота вращения шестерни n1=
59,2 мин-1; колеса n2= 18,8 мин-1
Передаточное число передачи U= 3,14
Крутящий момент на шестерне T1=
223,3 Нм; на колесе T2= 673,2 Нм
Параметры долговечности Lгод=
5,0год= 0,5сут= 0,3
Выбираем материал
шестерни и зубчатого колеса.
Группу материалов выбираем в
зависимости от требований габаритов передачи и крутящего момента на ведомом
колесе (табл. 3.2 [2], табл. 16.2. 1,4.1.1 [1]
Рекомендуемые сочетания материалов
табл. 4.1.2 [1]
Выбираем материал шестерни - Сталь
40Х и колеса - Сталь 55
Термообработка шестерни - улучшение
Термообработка колеса - улучшение
Твердость шестерни HB1=
285
колеса HB2= 255
Базовое число циклов, соответствующее пределу выносливости для шестерни и колеса NHlim=f(HB) (табл. 4.1.3 [1]) (если HB<=200 NHlim=107)
NHlim1= 2,3·107 цикловHlim2= 1,8·107 циклов
Эквивалентное число
циклов
NHE=60·n·c·Lh·kHE
h - продолжительность работы передачи, час
h=Lгод·kгод·24·kсут·365=5,0·0,5·24·0,3·365=
6570,0
HE - коэффициент, учитывающий изменение нагрузки в соответствии с
циклограммой
где qH=6-показатель степени
кривой усталости при расчете на контактную выносливость= 1 - число зацеплений
зуба за один оборот колеса
NHE1 =60·
59,2·6570,0·1·0,4512= 1,1·107
NHE1 =60·
18,8·6570,0·1·0,4512= 0,3·107
Kкоэффициент долговечности
(При NHlim< NHE ZN=1)
ZN1=
1,1; ZN2=
1,3
Пределы контактной
выносливости
sHlim=2HB+70
sHlim1=2·285+70=
640,0 МПа
sHlim2=2·255+70=
580,0 МПа
Допускаемые контактные
напряжения
sH1(2)
=0.9·sHlim 1(2)·ZN 1(2)/SH 1(2)
H1(2)
=1.1 - коэффициент запаса прочности:
sH1=0.9·640,0·1,1/1.1=
596,5 МПа
sH2=0.9·580,0·1,3/1.1=
628,2 МПа
Для цилиндрических колес
с небольшой разницей твердостей sHP=sH min
sHP = 596,5 МПа
Базовое число циклов
напряжений NFlim=4·106 циклов
Эквивалентное число
циклов
NFE=60·n·c·Lh·kFE
FE - коэффициент, учитыващий изменение нагрузки
где qF=6 для HB<=350,
qF=9 для HB>350
NFE1=60·59,2·6570,0·1·0,3327=
7,8·106
NFE2=60·18,8·6570,0·1·0,3327=
2,5·106
Коэффициент
долговечности (при NFlim <= NFE YN=1)
,
YN1=
1,0; YN2= 1,1
Предел выносливости
зубьев при изгибе, МПа
sFlim
= f(HB) (табл. 4.1.3 [1])
sFlim
1= 499,0 МПа; sFlim
2= 446,0 МПа
Допускаемые изгибные
напряжения
sFP
1(2) =0.4·sFlim
1(2)·YN
1(2)·YA
A
- коэффициент, учитывающий влияние двустороннего приложения нагрузки:
при одностороннем
приложении нагрузки YA = 1.0;
при двустороннем
приложении нагрузки YA = (0.7..0.8).
YA:=
1.0
sFP1=0.4·499,0·1,0·1.0=
199,6 МПа
sFP2=0.4·446,0·1,1·1.0=
193,4 МПа
Расчетное межосевое
расстояние
,
a= 43 MPa1/3 - коэффициент, зависящий от типа передачи (стр. 46 [1])
yba
- коэффициент ширины колеса относительно межосевого расстояния
yba = b/aw=2·ybd /(u+1), ybd
=b/d1 (табл. 4.2. 6,4.2.7 [1]
Выбранное значение ybd = 0,93 =>
yba
=2·0,93/(3,1+1)= 0,45Hb - коэффициент,
учитывающий неравномерность распределения нагрузки по ширине венцаHb
=f (HB, расположение колес относительно опор, ybd)=
1.1 (рис. 4.2.2 [1])A - коэффициент внешней динамической нагрузки, KA=
1 (табл. 4.2.9 [1])
Предварительно межосевое
расстояние
мм
Стандартное значение
межосевого расстояния (табл. 4.2.2 [1]) aw= 140,0 мм
Ширины зубчатых венцов:
шестерни b1=b2+(3..5)=62,9+4=
66,9 мм
колеса b2=yba ·aw=0,4·140,0=
62,9 мм
Модуль зацепления
m’=2·aw·cosb/(z1’·(u+1))
Принимаем предварительно: z1’= 19, b=15° тогда
m’=2·140,0·cos15/(19·(3,1+1))= 3,4
Стандартное значение
модуля табл. 4.2.1 [1]:
m= 3,5
Суммарное число зубьев
передачи
zS=2·aw·cosb’/m=2·140,0·cos15/3,5=77
Действительный угол
наклона зубьев
b=arccos(zS·m/(2·aw))=arccos (77·3,5/(2·140,0))=15,7
Число зубьев шестерни
z1=zS/(u+1)=77/(3,1+1)=19
Число зубьев колеса
z2= zS-z1=77-19= 58
Действительное значение
U=z2/z1=58/19= 3,1
Диаметры зубчатых колес,
мм
Делительные диаметры d1(2)=m·z/cosb:
d1= 3,5·19/cos15,7= 69,1
d2= 3,5·58/cos15,7= 210,9
Диаметры вершин и впадин
da=d+2·m, df=d-2.5·m:
- вершин da1= 69,1+2·3,5= 76,1
da2= 210,9+2·3,5= 217,9
впадин df1= 69,1-2.5·3,5= 60,3
df2= 210,9-2.5·3,5= 202,2
Силы в зацеплении
зубчатых колес
Окружные силы Ft1(2)=2·103·T1/d1(2)
Ft1=2·103·223,3/69,1=
6463,9 H;
Ft2=2·103·673,2/210,9=
6383,8 H
Радиальные силы Fr1(2)=Ft1(2)·tg(aw)/cosb
Fr1= 6463,9·tg(20)/cos15,7
= 2444,4 H;r2= 6383,8·tg(20)/cos15,7 = 2414,1 H
Осевые силы Fа1(2)=Ft1(2)·tg(b)
Fa1= 6463,9·tg15,7 = 1822,8 H;
Fa2= 6383,8·tg15,7 = 1800,2 H
Oкружная скорость колес
х=3.14·d2·n2/(60·103)
х =3.14·210,9·18,8/(60·103)=
0,2 м/c
Степень точности=f (v, b)= 9 (табл. 4.2.8 [1])
Коэффициент, учитывающий
динамическую нагрузку в зацеплении,
kHu=f (степень точности, u, твердость зубьев)=1,0 (табл. 4.2.8 [2])
Коэффициент, учитывающий
неравномерность нагрузки для одновременно зацепляющихся зубьев,
kHa=f (степень точности, u) = 1,1 (табл. 4.2.11 [2])
Удельная расчетная
окружная сила
WHt=Ft1·KHb·KHх·KA/b2= 6463,9·1,1·1,0·1/62,9= 130,3 H/мм
Расчетные контактные
напряжения
H
- коэффициент, учитывающий форму сопряженных поверхностей зубьев;
для прямых зубьев ZH
=1,77·cosb=1,7E - коэффициент, учитывающий механические свойства
материалов колес;E =275 МПа1/2е - коэффициент,
учитывающий суммарную длину контактных линий;
для прямых зубьев Zе
=
=0,8
(c. 44 [1]);
МПа
Недогрузка 1,9% sH = 585,1 МПа èsHP = 596,5 МПа
Коэффициент, учитывающий
динамическую нагрузку в зацеплении,
kFu=f (степень точности, u, твердость зубьев)=1,0
(табл. 4.2.8 [2])
Коэффициент, учитывающий
неравномерность распределения нагрузки по ширине венца (для изгибной
прочности),
kFb=f (HB, расположение
колес относительно опор, ybd)=1,2
(рис. 4.2.3 [2])
Коэффициент, учитывающий
неравномерность нагрузки для одновременно зацепляющихся зубьев,
kFa=f (степень точности, u) = 1,4 (табл. 4.2.11
[2])
Удельная расчетная
окружная сила при изгибе
WFt=Ft1·KFb·KFх·KA/b2=6463,9·1.2·1,0·1/62,9=
171,0 H/мм
Коэффициент, учитывающий
форму зуба
YFS=f(z1(2)E, x)
(x=0)
где z1(2)E=z1(2)
- эквивалентное число зубьев
Выбранные значения YFS1=
4,0; YFS2= 3,7
Дальнейший расчет
производим для элемента пары «шестерня-колесо» у которого меньше величина
отношения sHP
1(2)/ YFS 1(2)
Расчетные напряжения
изгиба
b - коэффициент,
учитывающий наклон зуба
для косых зубьев Yb=1-b/140=0,9
Yе - коэффициент,
учитывающий перекрытие зубьев
для косых зубьев Yе =1/ea=0,6
МПа
Недогрузка 44,8% sF = 110,2 èМПа sFP = 199,6 МПа
4. Расчет диаметров
валов
.1 Выбор материала валов
Для валов принимаем материал: сталь
45 с термообработкой - улучшение:
твердость заготовки 220…260 HB,
МПа;
МПа;
МПа;
;
Предварительно принимаем
.2 Геометрические
параметры валов
Вал №1. Определяем диаметр
выходного конца из расчета на чистое кручение по пониженному допускаемому
напряжению без учета влияния изгиба:
Принимаем
d1=20 мм
-
допускаемое напряжение на кручение.
Вал №2. Определяем диаметр
выходного конца из расчета на чистое кручение по пониженному допускаемому
напряжению без учета влияния изгиба:
Принимаем
d2=30 мм
-
допускаемое напряжение на кручение.
Вал №3. Определяем диаметр
выходного конца из расчета на чистое кручение по пониженному допускаемому
напряжению без учета влияния изгиба:
Принимаем
d3=35 мм
-
допускаемое напряжение на кручение.
Вал №4. Определяем диаметр
выходного конца из расчета на чистое кручение по пониженному допускаемому
напряжению без учета влияния изгиба:
Принимаем
d4=50 мм
-
допускаемое напряжение на кручение.
Диаметры остальных участков вала
назначаются конструктивно, с учетом размеров стандартных деталей насаживаемых
на вал
5. Предварительный выбор
подшипников
По ([1], табл. 16.3, с. 338) и ([1],
табл. 16.9, с. 352) для вала №1 принимаем подшипник 7205 ГОСТ 27365-87; для
вала №2 принимаем подшипник 7206 ГОСТ 27365-87; для вала №3 принимаем подшипник
7207 ГОСТ 27365-87; для вала №1 принимаем подшипник 7311 ГОСТ 27365-87;
Основные параметры и размеры подшипников сводим в табл. 6.1.
Таблица 5.1.
|
Обозначение подшипников
|
d,
мм
|
D,
мм
|
B,
мм
|
r,
мм
|
Cr,
кН
|
C0r, кН
|
e
|
Y
|
|
7205
|
25
|
52
|
16.25
|
2
|
24
|
17.5
|
0.37
|
1.5
|
|
7206
|
30
|
62
|
17.25
|
2
|
31
|
22
|
0.37
|
1.5
|
|
7207
|
35
|
72
|
18.25
|
2
|
38.5
|
26
|
0.37
|
1.5
|
|
7311
|
55
|
120
|
31.5
|
3
|
107
|
81.5
|
0.34
|
1.8
|
6. Расчет валов по
эквивалентному моменту
Вал №1 (сталь 45)
Рис. 6.1. Расчетная схема нагружения
вала
Fм - сила от действия
муфты.
Fм=0.2·Ftм=0.2·2·T1/dэ=0.415.1·103/68.8=87 Н
. Реакции опор
Определение реакций в плоскости XOY
|
;
|
|
|
;
|
|
Определение реакций на плоскость XOZ
|
;
|
|
|
;
|
|
2. Суммарные радиальные
реакции
. Изгибающие моменты:
В вертикальной плоскости
Сечение 1:
0,0
Нм
Сечение 2:
10,3/14,6
Нм
Сечение 3:
6,4
Нм
Сечение 4:
0,0
Нм
В горизонтальной
плоскости
Сечение 1:
0,0
Нм.
Сечение 2:
38,6
Нм.
Сечение 3:
0,0
Нм.
Сечение 4:
0,0
Нм.
. Суммарные изгибающие
моменты 
Сечение 1:
0,0
Нм.
Сечение 2:
39,9/41,2
Нм
Сечение 3:
6,4
Нм
Сечение 4:
0,0
Нм
5. Суммарный крутящий
момент
Нм.
6. Эквивалентные
изгибающие моменты:
Сечение 1:
Нм
Сечение 2:
Нм
Сечение 3:
Нм
Сечение 4:
Нм
где
для
нереверсивной передачи
7. Расчетные диаметры
вала:
Сечение 1:
мм
Сечение 2:
мм
Сечение 3:
мм
Сечение 4:
мм
где
МПа
Проверка на усталостную
прочность
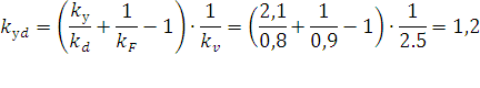
I. Проверяем
сечение номер 2
1. Коэффициент
запаса прочности по нормальным напряжениям;
где
=
280,0 - предел выносливости гладких стандартных цилиндрических образцов при
симметричном цикле нагружения;
- амплитуда цикла
изменения напряжений изгиба, МПа
где Mи - изгибающий момент в рассматриваемом сечении вала, Нм
w
- момент сопротивления изгибу с учетом ослабления вала, мм3
- коэффициент снижения
предела выносливости детали в рассматриваемом сечении при изгибе
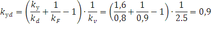
где kd =
0,8 - коэффициент влияния абсолютных размеров поперечного сечения (рис. 6.7.3
[1])
kF=
0,9 - коэффициент влияния параметров шероховатости поверхности (рис. 6.7.4 [1])
kv
= 2,5 - коэффициент влияния поверхностного упрочнения (табл. 6.7.2 [1])
ks
= 1,6 - коэффициент концентрации напряжений по изгибу (табл. 6.7.3 [1])
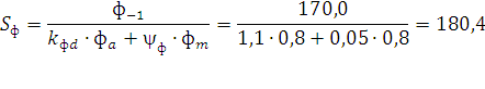
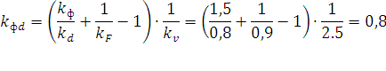
2. Коэффициент
запаса прочности по касательным напряжениям
где
=
170,0 - предел выносливости гладких стандартных цилиндрических образцов при
симметричном цикле нагружения;
- амплитуда цикла
напряжений кручения, МПа
- постоянная
составляющая напряжений кручения, МПа
где T - крутящий момент на валу, Нм
wp
- момент сопротивления кручению с учетом ослабления вала, мм3
- коэффициент снижения
предела выносливости детали в рассматриваемом сечении при кручении
где kt = 1,5 - коэффициент концентрации
напряжений по кручению (табл. 6.7.3 [1])
yt = 0,05 -
коэффициент, характеризующий чувствительность материала вала к асимметрии цикла
изменения напряжений (табл. 6.7.1 [1])
3. Общий
коэффициент запаса прочности вычисляется по формуле:
. Smin=1.5
Прочность вала по 2
сечению обеспечена.
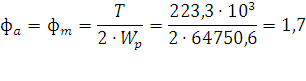
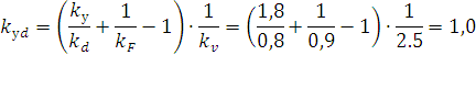
II. Проверяем
сечение номер 3
1. Коэффициент
запаса прочности по нормальным напряжениям;
где
=
280,0 - предел выносливости гладких стандартных цилиндрических образцов при
симметричном цикле нагружения;
- амплитуда цикла
изменения напряжений изгиба, МПа
где Mи - изгибающий момент в рассматриваемом сечении вала, Нм
w
- момент сопротивления изгибу с учетом ослабления вала, мм3
- коэффициент снижения
предела выносливости детали в рассматриваемом сечении при изгибе
где kd = 0,8 - коэффициент влияния абсолютных размеров поперечного
сечения (рис. 6.7.3 [1])
kF= 0,9 - коэффициент влияния параметров шероховатости поверхности
(рис. 6.7.4 [1])
kv = 2.5 - коэффициент влияния поверхностного упрочнения (табл.
6.7.2 [1])
ks = 2,1 - коэффициент
концентрации напряжений по изгибу (табл. 6.7.3 [1])
2. Коэффициент
запаса прочности по касательным напряжениям
где
=
170,0 - предел выносливости гладких стандартных цилиндрических образцов при
симметричном цикле нагружения;
- амплитуда цикла
напряжений кручения, МПа
- постоянная
составляющая напряжений кручения, МПа
где T - крутящий момент на валу, Нм
wp
- момент сопротивления кручению с учетом ослабления вала, мм3
- коэффициент снижения
предела выносливости детали в рассматриваемом сечении при кручении
где kt = 1,5
- коэффициент концентрации напряжений по кручению (табл. 6.7.3 [1])
yt = 0,05
- коэффициент, характеризующий чувствительность материала вала к асимметрии
цикла изменения напряжений (табл. 6.7.1 [1])
3. Общий
коэффициент запаса прочности вычисляется по формуле:
. Smin=1.5
Прочность вала по 3
сечению обеспечена.
Вал №2 (сталь 45)
Рис. 6.2. Расчетная схема нагружения
вала
. Реакции опор
Определение реакций в плоскости XOY
|
;
|
|
