Исследование динамической модели двухкомплексного энзимного механизма

  • Вид работы:
    Дипломная (ВКР)
  • Предмет:
    Информационное обеспечение, программирование
  • Язык:
    Русский
    ,
    Формат файла:
    MS Word
    869,5 Кб
  • Опубликовано:
    2013-06-27
Вы можете узнать стоимость помощи в написании студенческой работы.
Помощь в написании работы, которую точно примут!

Исследование динамической модели двухкомплексного энзимного механизма

Министерство образования и науки Российской Федерации

Федеральное государственное бюджетное образовательное

учреждение высшего профессионального образования

«Самарский государственный аэрокосмический университет

имени академика С.П. Королева

(национальный исследовательский университет)»

Факультет информатики

Кафедра технической кибернетики



Выпускная квалификационная работа специалиста

на тему

Исследование динамической модели двухкомплексного энзимного механизма

Выпускник ______________________________   Еремеева Е.Ю.

Руководитель работы ______________________   Соболев В.А.

Нормоконтролёр _________________________   Суханов С.В.

Рецензент ________________________________   Воропаева Н.В.





САМАРА 2013

Министерство образования и науки Российской Федерации

Федеральное государственное бюджетное образовательное

учреждение высшего профессионального образования

«Самарский государственный аэрокосмический университет имени академика С.П. Королева

(национальный исследовательский университет)»

Факультет информатики

Кафедра технической кибернетики

«УТВЕРЖДАЮ»

Заведующий кафедрой

____________________________

«___»_______________ 20____ г.

ЗАДАНИЕ НА ВЫПУСКНУЮ КВАЛИФИКАЦИОННУЮ РАБОТУ СПЕЦИАЛИСТА

студенту 6507 группы Еремеевой Елене Юрьевне

1. Тема работы Исследование динамической модели двухкомплексного энзимного механизма утверждена приказом по университету от 19 марта 2013г. № 113-ст.

. Исходные данные к работе:

.1.     Модель двухкомплексного энзимного механизма.

.2.     Метод интегральных многообразий сингулярно возмущенных систем.

. Перечень вопросов, подлежащих разработке:

.1. Исследование динамической модели двухкомплексного энзимного механизма методом интегральных многообразий.

.2. Сравнительный анализ метода интегральных многообразий с ILDM-методом.

.3. Численное решение и анализ фазовых портретов системы.

.4. Интерпретация полученных результатов.

Срок представления законченной работы «___» __________ 20___ г.

Руководитель работы_________________________   Соболев В.А.

(подпись)

Задание принял к исполнению «___» __________ 20___ г.

Еремеева Е.Ю.

(подпись)

РЕФЕРАТ

Выпускная квалификационная работа специалиста: 56 c., 9 рисунков, 7 источников, одно приложение.

Презентация: 13 слайдов Microsoft PowerPoint.

ФЕРМЕНТ, КАТАЛИЗАТОР, СУБСТРАТ, ФЕРМЕНТАТИВНАЯ КИНЕТИКА, МОДЕЛЬ МИХАЭЛИСА-МЕНТЕН, ДИНАМИЧЕСКАЯ МОДЕЛЬ, БЕЗРАЗМЕРНАЯ СИСТЕМА, ИНТЕГРАЛЬНОЕ МНОГООБРАЗИЕ, ПРИНЦИП СВЕДЕНИЯ, ФАЗОВЫЙ ПОРТРЕТ СИСТЕМЫ.

Объектом исследования является динамическая модель двухкомплексного энзимного механизма, основанная на теории Михаэлиса-Ментен.

Цель работы - провести исследование модели двухкомплексного энзимного механизма методом интегральных многообразий с целью понижения размерности исследуемой модели, сравнить данный метод исследования с ILDM-методом, а также численно решить исходную систему и построить её фазовые портреты.

Так как в настоящее время при моделировании многих биологических процессов часто необходимо предложить правдоподобные ферментативно-кинетические механизмы для той или иной части исследуемого процесса, математическая формулировка и понижение размерности исследуемой модели могут оказаться чрезвычайно полезными на практике при исследовании сложных систем. Поэтому в работе был использован метод интегральных многообразий, с помощью которого были построены нулевое, первое и второе приближения интегрального многообразия, а также с использованием математического пакета Mathematica 8.0 построены фазовые портреты исследуемой модели.

СОДЕРЖАНИЕ

Введение

. Методы редукции

.1 Метод интегральных многообразий

.2 ILDM-метод

. Математическая модель

.1 Основные понятия

.2 Постановка задачи

.3 Исследование модели

.3.1 Представление модели в безразмерном виде

.3.2 Построение интегрального многообразия

.3.3 ILDM-метод

.3.4 Нахождение и исследование особой точки

. Численное моделирование

. Интерпретация результатов

Заключение

Список использованных источников

Приложение А Текст программы

 

ВВЕДЕНИЕ


В течение всего времени существования человек пользовался ферментами, зачастую не подразумевая об этом. Но на сегодняшний день известно уже свыше 3000 ферментов. Термин фермент (от лат. fermentum - брожение, закваска) впервые был предложен в XVII веке химиком Ван Гельмонтом при обсуждении механизмов пищеварения. Ферменты являются биологическими катализаторами белковой природы, ускоряющими химические реакции как в живых организмах, так и вне их. А так как основу любого химического процесса, участвующего, как в жизнедеятельности организма, так и в ином процессе, составляют ферменты, то данная тема имеет очень важный биологический смысл.

В настоящее время ферменты применяются более чем в 25 отраслях промышленности: это и хлебопечение, и пивоварение, кожевенное и меховое производства, сыроварение, кулинария и т.д. Ферменты высокого качества позволяют улучшить технологию, сократить затраты и даже получить новые продукты.

В данной работе исследуется нелинейная математическая модель, описывающая одну из наиболее простых и в тоже время основных ферментативных реакций, широко встречающихся в промышленности, - это реакция, содержащая два фермент-субстратных комплекса, в которой субстрат необратимо превращается в продукт одним ферментом. Теория такой реакции известна как теория Михаэлиса-Ментен (Michaelis-Menten) [4].

Данная модель уже рассматривалась ранее [1], однако с увеличением порядка рассматриваемых систем уравнений, задачи качественного исследования значительно усложняются, поэтому более эффективное исследование системы можно получить, исследуя её методом интегральных многообразий, не применяемым ранее к рассматриваемой модели.

Работа состоит из четырех разделов, в первом из которых приводятся необходимые понятия из теории редукции динамических систем, а именно: метод интегральных многообразий и ILDM-метод. Во втором разделе исследуется исходная модель, а также проводится сравнительный анализ метода интегральных многообразий с ILDM-методом. Результаты аналитического исследования проверяются численным анализом системы в третьем разделе. В четвертом приводится интерпретация полученных результатов с точки зрения биологии.

1. МЕТОДЫ РЕДУКЦИИ

 

1.1 Метод интегральных многообразий


Метод интегральных многообразий представляет собой некоторый новый подход в качественной теории дифференциальных уравнений. Качественное исследование решений системы значительно упрощается, если они лежат на многообразии меньшего числа измерений, чем исходное фазовое пространство. Особенно это относится к случаю устойчивых интегральных многообразий. Метод интегральных многообразий позволяет свести задачу высокой размерности к задаче более низкой размерности. В этом заключается их основное значение при исследовании многомерных динамических систем.

Динамическая система - математическая абстракция, предназначенная для описания и изучения эволюции систем во времени. Динамическая система представляет собой математическую модель некоторого объекта, процесса или явления. Динамическая модель может быть представлена в виде системы обыкновенных дифференциальных уравнений

, .

Систему можно записать также в векторной форме

,

где использованы обозначения

, ,  [2].

Здесь  - это переменные состояния,  - время, а  - вектор параметров системы.

Для исследования такой системы будем использовать метод интегрального многообразия.

Введем понятие интегрального многообразия. Интегральное многообразие - множество точек фазового пространства системы

,

заполненного интегральными кривыми этой системы, определенными для всех , и являющееся многообразием в  - пространстве. Во многих задачах в правых частях присутствует время , такая система называется неавтономной.

Для описания самого метода рассмотрим неавтономную систему обыкновенных дифференциальных уравнений

,  (1.1)

,         (1.2)

где  и  - векторы из евклидовых пространств  и ,  - переменная времени,  - малый положительный параметр,  и  - вектор-функции, определенные, непрерывные по совокупности переменных и достаточно гладкие при всех , , . Предполагается, что значения функций  и  сравнимы с единицей при малых значениях параметра  [3].

Отметим, что скорость изменения переменной , стремится к бесконечности при условии, что  и .

Систему (1.1) уравнений назовем медленной подсистемой, а систему (1.2) уравнений - быстрой подсистемой. Тогда размерность медленной подсистемы будет равна , а размерность быстрой - .

Положив  в системе (1.1), (1.2), получим систему

,    (1.3)

,    (1.4)

которую будем называть вырожденной.

Поверхность , задаваемая уравнением (1.4), называется медленной поверхностью. Если в некоторой точке  медленной поверхности выполняется условие

,

то в окрестности этой точки существует вектор-функция

, ,

являющаяся решением уравнения (1.4) [3].

Определение 1. Поверхность  называется интегральным многообразием системы (1.1), (1.2), если для любой точки , траектория

такая, что

, ,

принадлежит  для всех .

Если


только на конечном интервале, то поверхность  называют локальным интегральным многообразием [3].

Среди интегральных многообразий системы (1.1), (1.2) особый интерес представляют многообразия, которые описываются следующим уравнением

.

В этом случае предполагается, что функция  достаточно гладко зависит от  и удовлетворяет условию

,

где  - функция, задающая лист медленной поверхности.

Такие многообразия называются интегральными многообразиями медленных движений.

Интегральное многообразие медленных движений можно представить как поверхность, лежащую в -окрестности медленной поверхности.

Движение по интегральному многообразию осуществляется в соответствии с уравнением

.   (1.5)

Если  - решение этого уравнения, то пара

,

где , является решением исходной системы (1.1), (1.2), так как эта пара задает траекторию на интегральном многообразии.

Введем понятие устойчивого интегрального многообразия.

Пусть  - начальная точка, не лежащая на медленном интегральном многообразии , т. е.

.

Определение 2. Интегральное многообразие


системы (1.1), (1.2) называется притягивающим, если существует такое  что, при выполнении условия

,

решение


системы (1.1), (1.2) с начальными условиями

,

имеет представление

,

,

где  - некоторое решение уравнения (1.5), а функции  и  удовлетворяют условию

.

Заметим, что притягивающие интегральные многообразия сингулярно возмущенных систем часто называют устойчивыми, а отталкивающие - неустойчивыми [3].

Рассмотрим условия существования интегрального многообразия.

Будем предполагать, что для системы (1.1), (1.2) выполнены следующие условия:.         Уравнение  имеет изолированное решение  при , ..       В  области функции ,  и  равномерно непрерывны и ограничены вместе с частными производными по всем переменным до -го порядка включительно ..       Собственные значения   матрицы


подчиняются неравенству

.

Теорема 1. Пусть выполняются условия I-III. Тогда существует такое , , что для каждого  система (1.1), (1.2) имеет интегральное многообразие медленных движений , движение по

.

Можно доказать, что для интегрального многообразия медленных движений справедлив принцип сведения, состоящий в следующем.

Теорема 2. Пусть ,  - некоторое решение системы (1.1), (1.2), траектория которого лежит на интегральном многообразии медленных движений. Для устойчивости (асимптотически устойчивым, неустойчивым) этого решения необходимо и достаточно, чтобы было устойчивым (асимптотически устойчивым, неустойчивым) решение  уравнения

,

описывающего движение на интегральном многообразии [3].

 

1.2 ILDM-метод


Так называемый ILDM-метод (Method of Intrinsic Low-Dimensional Manifolds), применительно к дифференциальной системе

(1.6)

основан на разбиении матрицы Якоби


на быстрые и медленные компоненты в каждой точке пространства переменных  для получения базиса соответствующих быстрых и медленных подпространств [3].

Однако такой метод является существенно более сложным, чем требуется для упрощения (1.6). Так намного более простым и эффективным является асимптотический метод построения медленных интегральных многообразий в неявной форме, чем аналогичное построение неявного уравнения ILDM-методом.

К примеру, уравнение, определяемое ILDM-методом, можно представить в следующей форме

,  (1.7)

где


собственные числа -матрицы  .

Сравнение с неявным заданием

,

медленного интегрального многообразия в случае автономной дифференциальной системы показывает, что уравнение (1.7) содержит «лишнее» слагаемое  [3].

2. МАТЕМАТИЧЕСКАЯ МОДЕЛЬ

 

2.1 Основные понятия


Живые организмы представляют собой весьма сложные системы, основу жизнедеятельности которых играют химические процессы. Наиболее важными составляющими таких процессов являются белки, с участием которых протекают практически все реакции в живом организме. Белки - высокомолекулярные органические вещества с большой малекулярной массой, которая колеблется от 6000 до 1 000 000 дальтон (Да) и выше. В частности, белки являются основными компонентами крови, кожи, мышечных волокон и т.д. Большинство белков являются ферментами.

Фермент - это органическое соединение, обычно специфический белок, способный во много раз ускорять биохимические реакции, протекающие в живых организмах, не входя при этом в состав конечных продуктов реакции.

Таким образом, все ферменты являются белками, простыми или сложными, выполняющими роль катализаторов и играющими важную роль в регуляции биологических процессов. Они, например, могут участвовать в реакции как активаторы или как ингибиторы (вещества, тормозящие реакцию).

Ферменты весьма избирательно связываются с определёнными соединениями, называемыми субстратами. Субстрат - химическое вещество, подвергающееся превращению под действием фермента.

Чтобы понять роль ферментов, мы должны изучить кинетику их реакций. Ферментативная кинетика (энзимная кинетика) - это раздел ферментологии, изучающий зависимость скорости реакции, катализируемой ферментами, от химической природы и условий взаимодействия субстрата с ферментом, а также от факторов среды. То есть по существу, исследование скоростей ферментативных реакций и условий, влияющих на них. К ней относится нахождение концентраций ферментов, их субстратов, фермент-субстратных комплексов и продуктов реакции как функций времени.

2.2 Постановка задачи


Рассмотрим химическую реакцию из теории Михаэлиса-Ментен [4], содержащую два интермедиата (промежуточное вещество реакции), и которая может быть схематически представлена в следующем виде [1]:

.      (1.1)

В схеме (1.1) введены следующие обозначения:  - фермент (энзим),  - субстрат (основание),  - фермент-субстратный комплекс (энзим-субстратный комплекс или комплекс энзим-основание), который будем обозначать через ;  - комплекс фермент-продукт (комплекс энзим продукт), который будем обозначать через ;  - продукт реакции. А обозначения  имеют смысл скоростей прямых и обратных реакций.

В схеме (1.1) энзим сначала обратимо образует комплекс с основанием S; затем формирует комплекс энзим-продукт Q на обратимом шаге; Q также может необратимо отделять продукт, выпуская свободный энзим. Теоретически все реакции могут идти и в прямом, и в обратном направлении. Однако во многих случаях обратная реакция может быть настолько мала, что ею можно пренебречь, и тогда мы говорим, что реакция необратима, как в случае отделения продукта.

Поскольку распаду комплекса фермент-продукт предшествуют два шага равновесия, переходное расслабление, т.е. короткоживущие (ослабление связей напряжения) - процесс с двумя стадиями, с быстрым режимом и медленным.

2.3 Исследование модели


Математическая модель процесса (1.1) имеет вид:

  (2.1)

с начальными условиями , , , где  - концентрации фермента, субстрата, комплекса , комплекса  и продукта  соответственно, а также точкой обозначена операция дифференцирования по времени .

Складывая подходящие уравнения и интегрируя их по времени, найдем первые интегралы системы, описывающие закон сохранения массы:

)        сложив первое, третье, четвертое уравнения системы и проинтегрировав полученное выражение по времени, получим концентрацию энзима

;

)        сложив второе, третье, четвертое, пятое уравнения системы и проинтегрировав полученное выражение по времени, получим концентрацию субстрата

.

Таким образом, видно, что  и  - константы и не зависят от времени.

Далее, используя полученные первые интегралы, можно исключить переменные  и  из системы уравнений (2.1), получив тем самым нелинейную систему однородных дифференциальных уравнений (ОДУ) третьего порядка следующего вида:

    (2.2)

с начальными условиями , , .

Призма


является физически интересной областью для этой системы.

Прежде чем приступить к анализу полученной системы, следует записать уравнения системы в безразмерной форме, т.к. безразмерная модель не зависит от выбранной системы единиц, что особенно важно при анализе любой модели биологической системы. Также процедура обезразмеривания часто показывает слабое место всей модели или её части, она также показывает, какую размерность должны иметь различные параметры [2, 4].

 

2.3.1 Представление модели в безразмерном виде

Перепишем систему (2.2) в более удобной форме:

  (2.3)

с начальными условиями

, , .        (2.4)

Введем безразмерные переменные и параметры [2,5]:

, , , , , , , , , откуда соответственно: , , , .

- начальные концентрации фермента и субстрата.

Все величины - просто числа, не зависящие от выбранной системы единиц. Причем параметр  - малый, он задаёт сингулярное возмущение системы.

Получим безразмерную систему уравнений для :

Первое уравнение системы .

С учетом выражений для  перепишем данное уравнение:

,

,

,

.

Тем самым получено первое уравнение системы в безразмерном виде.

Второе уравнение

.

С учетом выражений для  перепишем данное уравнение системы:

,

,

,

,

или

.

Получено второе уравнение системы в безразмерном виде.

Третье уравнение системы

.

С учетом выражений для  перепишем данное уравнение:

,

,

,

,

.

Таким образом, получено третье уравнение системы в безразмерном виде.

Начальные условия , , .

На основании : , тогда .

Так как , то можем провести деление на  и, учитывая, получим:  и , откуда соответственно и .

Таким образом, система (2.3) с начальными условиями (2.4) в безразмерной форме принимает вид:


или

(2.5)

В данной дифференциальной системе есть как быстрые () так и медленные () переменные. Нашей задачей будет исследование этой модели, которая представляет собой сингулярно возмущенную систему в силу малости параметра , так как в большинстве биологических ситуаций отношение начального значения фермента к начальному значению субстрата очень мало.

2.3.2 Построение интегрального многообразия

Рассмотрим систему (2.5) дифференциальных уравнений:


Перепишем систему в следующем виде:

  (2.6)

где  - скалярные переменные,  - достаточно гладкие функции,  - малый положительный параметр.

Первое уравнение системы  будем называть медленной подсистемой, а второе и третье уравнения системы ,  - быстрой подсистемой.

Рассмотрим систему (2.6) дифференциальных уравнений. Соответствующая вырожденная система имеет вид:

  (2.7)

Два последних уравнения этой системы определяют медленную кривую системы (2.6). Разрешим их относительно  и .

Для этого выразим из третьего уравнения системы (2.7) :

.

Подставим полученное выражение для  во второе уравнение системы (2.7):

.

Откуда получим выражение для :

.      (2.8)

Тогда для :

. (2.9)

Обозначим корни соответствующих уравнений как ,

Таким образом, система описывающая медленную кривую имеет вид:

         (2.10)

Для исследования медленной кривой рассмотрим матрицу Якоби:

,

где , , , .

Матрица Якоби вдоль медленной кривой:

. (2.11)

Если оба корня характеристического уравнения , где  - единичная матрица, имеют отрицательные вещественные части, тогда медленная кривая устойчива [3,6].

Пусть

, ,

, .

Рассмотрим след матрицы Якоби  и её определитель . Тогда корень характеристического уравнения можно представить как:

.

Подставим соответствующие значения в выражения для следа матрицы и определителя:

,


Определим тип собственных чисел матрицы. Для этого рассмотрим подкоренное выражение в особой точке:

,


так как .

Следовательно, собственные числа матрицы  - вещественные числа.

Для определения знака действительной части собственных чисел, а в данном случае это само собственное число, и определения устойчивости или неустойчивости медленной кривой, воспользуемся критерием устойчивости Рауса-Гурвица.

Напомним формулировку критерия: для того, чтобы все корни характеристического уравнения имели отрицательные действительные части, необходимо и достаточно, чтобы все главные диагональные миноры матрицы Гурвица были положительны при условии a0 > 0 : Δ1 > 0, Δ2 > 0, ..., Δn > 0 [2].

Составим характеристическое уравнение:

,

,

где .

Представим полученное уравнение в виде:

,

где , , .

Составим матрицу Гурвица:

.

В данном случае критерий устойчивости определяется неравенствами:

, , .

Как видно, все миноры матрицы Гурвица положительны. Следовательно, собственные числа имеют отрицательные действительные части, а значит медленная кривая асимптотически устойчива.

По теореме о существовании интегрального многообразия система (2.5) имеет медленное интегральное многообразие


Отсюда следует, что траектория любого решения системы (2.5) начинающаяся вблизи интегрального многообразия неограниченно приближается при  к этому многообразию. Тогда интегральное многообразие медленных движений является устойчивым, так как для него выполняется теореме о существовании интегрального многообразия, теорема об устойчивости и выполняется принцип сведения при  [3,7].

Теперь перейдем к построению асимптотического разложения интегрального многообразия.

Медленные движения системы (2.5):


описываются уравнениями:

.

Необходимо получить приближение медленного инвариантного многообразия

,

,

где , .

Для этого перепишем систему (2.5) как:


и составим уравнения инвариантности, откуда, подставив разложения для ,  и, выразим необходимое приближение медленного инвариантного многообразия.

Деление второго уравнения на первое даёт:

.

Так как  и , получим:

.

В результате имеем:

.

Аналогично получаем:

.

Таким образом, получили два уравнения инвариантности:

,  (2.12)

(2.13)

Теперь разложим функции,  и  в ряд Тейлора по степеням .

Для функции  разложение в общем случае будет иметь вид:


Так как

,

то разложение  в ряд Тейлора примет вид:


Таким образом,


Для функции  разложение в общем случае будет иметь вид:


Так как


то разложение  в ряд Тейлора примет вид:


Таким образом,


Для функции  разложение в общем случае будет иметь вид:


Так как

,

то разложение  в ряд Тейлора примет вид:


Таким образом,


Заметим, что  в силу : .

Аналогично: .

С учетом всего этого запишем первое уравнение инвариантности (2.12):


Приравнивая коэффициенты при одинаковых степенях , получим следующие выражения:


Теперь запишем второе уравнение инвариантности (2.13):


Приравнивая коэффициенты при одинаковых степенях , получим:

.       

.       

.       

Подставив выражение для  в равенство для , получим выражение:


Также получим выражение для :


Аналогично получим:


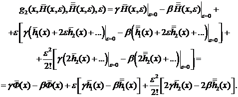
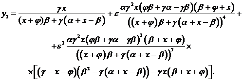
Таким образом, мы построили второе приближение медленного инвариантного многообразия:

,


Или


Перейдем в полученной системе к начальным переменным:


где  - концентрации фермента, субстрата, комплекса  и комплекса  соответственно,  - начальные концентрации фермента и субстрата, а обозначения  имеют смысл скоростей прямых и обратных реакций.

Таким образом, получена алгебраическая связь между физическими переменными и тем самым обобщен закон Михаэлиса-Ментен на случай двухкомплексного механизма, т.е. для более высокой размерности и с более высокой точностью.

 

2.3.3 ILDM-метод

В качестве сравнения применим к исходной модели ILDM-метод для построения медленных интегральных многообразий.

Рассмотрим систему (2.5):

в виде автономной системы


где

,

.

Откуда получим

,

.

Первое приближение системы описывается следующим уравнением:

,

где .

Составим систему неявных уравнений относительно  и  [3,7]:


Таким образом, имеем

  (2.14)

Первое приближение медленного инвариантного многообразия описывается следующим образом:

,

.

С учетом этого представления перепишем систему (2.14):


Приравнивая коэффициенты при одинаковых степенях , получим следующие выражения:


Мы построили:

Таким образом, мы получили те же самые представления для первого приближения медленного инвариантного многообразия, что и в предыдущем пункте 2.2.2.

Мы убедились, что такой метод является существенно более сложным, чем требуется для упрощения системы (2.5). Следовательно, намного более простым и эффективным является асимптотический метод построения медленных интегральных многообразий, чем построение методом ILDM.

 

.3.4 Нахождение и исследование особой точки

Для построения фазового портрета системы необходимо найти неподвижные точки системы, т.е. особые точки, которые могут быть устойчивыми (траектории в фазовом пространстве стремятся к ним) или неустойчивыми (траектории, начинающиеся даже очень близко от особой точки - отталкиваются от неё).

Напомним, что особой точкой системы (точкой покоя или положением равновесия):


где ,  и  непрерывно дифференцируемы, называется такая точка, в которой:

, ,,

где ,  [2].

Для нахождения особой точки системы (2.5) представим её в следующем виде:


Следовательно, для системы (2.5) координаты особой точки определяются системой:


В силу того, что дробь равна нулю, если её числитель равен нулю, полученную систему можно записать в виде:


Из третьего уравнения системы получим следующее соотношение:

.

Подставим выражение для  во второе и третье уравнения системы:


Сложим первое и второе уравнения:


откуда:

.

Таким образом:

.

Тогда, подставив полученное значение для  в выражение

:

.

Аналогично подставив выражения для  и  во второе уравнение системы, получим:

.

Следовательно, точка  - особая (точка покоя).

Для исследования особой точки системы на устойчивость необходимо найти корни характеристического уравнения линеаризованной системы.

Составим характеристическое уравнение , где  - матрица Якоби [6]:

.

Найдем соответствующие производные:

, , , ,

, , , , .

Таким образом, в особой точке:

,

тогда характеристическое уравнение имеет вид:

.

Найдем его корни:

,

.

Устойчивость или неустойчивость положения равновесия определяется знаками действительных частей собственных значений матрицы .

Воспользуемся критерием устойчивости Рауса-Гурвица. Рассмотрим полученное выше кубическое уравнение:

,

где , , , .

Составим матрицу Гурвица:

.

В данном случае критерий устойчивости определяется неравенствами:

, , , .

Рассмотрим равенство :

,

,

,

так как ,

где .

интегральный дифференциальный уравнение матрица

Как видно, все миноры матрицы Гурвица положительны. Следовательно, положение равновесия (нулевое решение) асимптотически устойчиво, т.е. к нему асимптотически стремятся решения.

3. ЧИСЛЕННОЕ МОДЕЛИРОВАНИЕ

Для численного моделирования исходной системы был использован математический пакет Mathematica 8.0. Текст программы приведен в приложении А.

Построим фазовые портреты системы (2.5):


со следующими параметрами:


На рисунке 3.1 изображена медленная кривая системы, которая характеризует понижение концентрации субстрата с течением времени, так как в ходе реакции он преобразуется в продукт.

Рисунок 3.1 - Медленная кривая системы

На рисунке 3.2 изображен фазовый портрет системы дифференциальных уравнений на нулевом, первом и втором приближениях интегрального многообразия для .

Рисунок 3.2 - Фазовый портрет динамической системы при

На рисунке 3.3 изображены фазовый портрет системы дифференциальных уравнений на нулевом, первом и втором приближениях интегрального многообразия, а также траектория системы с начальными условиями  для . Из графика видно, что траектория начальной системы (2.5) быстро притягивается к медленному инвариантному многообразию и следует вдоль него к началу координат. Также на рисунке 3.3 видно, что траектория системы почти совпадает со вторым приближением интегрального многообразия, что говорит о том, что нулевого приближения недостаточно для точного исследования.

Рисунок 3.3 - Фазовый портрет и траектория динамической системы при

На рисунке 3.4 изображен фазовый портрет системы дифференциальных уравнений на нулевом, первом и втором приближениях интегрального многообразия для . Как видно, чем меньше малый параметр, тем ближе друг к другу располагаются приближения интегрального многообразия, а значит точнее решение.

Рисунок 3.4 - Фазовый портрет динамической системы при

На рисунке 3.5 изображены фазовый портрет системы дифференциальных уравнений на нулевом, первом и втором приближениях интегрального многообразия, а также траектория системы с начальными условиями  для.

Рисунок 3.5 - Фазовый портрет и траектория динамической системы при

Теперь построим фазовые портреты системы (2.5) с параметрами:

На рисунке 3.6 изображен фазовый портрет системы дифференциальных уравнений на нулевом, первом и втором приближениях интегрального многообразия для .

Рисунок 3.6 - Фазовый портрет динамической системы при

На рисунке 3.7 изображены фазовый портрет системы дифференциальных уравнений на нулевом, первом и втором приближениях интегрального многообразия, а также траектория системы с начальными условиями  для .

Рисунок 3.7 - Фазовый портрет и траектория динамической системы при

На рисунке 3.8 изображен фазовый портрет системы дифференциальных уравнений на нулевом, первом и втором приближениях интегрального многообразия для .

Рисунок 3.8 - Фазовый портрет динамической системы при

На рисунке 3.9 изображены фазовый портрет системы дифференциальных уравнений на нулевом, первом и втором приближениях интегрального многообразия, а также траектория системы с начальными условиями  для.

Рисунок 3.9 - Фазовый портрет и траектория динамической системы при

4. ИНТЕРПРЕТАЦИЯ РЕЗУЛЬТАТОВ

Вся живая природа существует исключительно благодаря ферментативным реакциям. Недаром великий русский физиолог и нобелевский лауреат И.П. Павлов назвал ферменты носителями жизни. Таким образом, реакции с участием ферментов имеют важный биологический смысл. Будущее ферментов очень интересно. Технология обнаружения и производства новых ферментов развивается с большой скоростью. Прежде применение и производство ферментов развивалось большей частью за счет попыток и ошибок. Так как детали, влияющие на химию и действие ферментов, были известны плохо. Но сегодня развивающиеся технологии и эффективные методы исследования, такие как интегральным многообразием, с каждым днем раскрывают все новые чудеса сотворения жизни, и избирают примерами системы в организмах живых существ, создавая по их образу и подобию изобретения для пользы и блага людей.

Рассмотрим примеры использования исследуемой модели двухкомплексного энзимного механизма в промышленном производстве.

Фермент амилаза и крахмал в качестве субстрата используются в пивоваренной, текстильной и хлебопекарной промышленности. Например, в хлебопекарной промышленности во время брожения дрожжевого теста грибки с использованием фермента амилазы, расщепляя (сбраживая) крахмал до уровня полисахаридов, а точнее глюкозы, выделяют углекислоту. Именно благодаря этим продуктам переработки крахмала и увеличивается в объеме дрожжевое тесто, имеющее такой специфический приятный аромат и вкус, хлеб лучше подрумянивается и дольше не черствеет. На сегодняшний день для того, чтобы брожение дрожжевого теста происходило быстрее, в него добавляют амилазу в качестве пищевой добавки (Е1100).

Этот фермент добавляют даже в стиральные порошки для лучшего отстирывания крахмалосодержащих пятен. В пивоваренной промышленности амилаза осахаривает содержащийся в солоде крахмал, а в текстильной - удаляет крахмал, наносимый на нити во время шлихтования.

Также в пивоварении используется фермент папаин для ликвидации коллоидных помутнений в пиве. Во время охлаждения сусла, при температуре ниже 60°С, оно начинает мутнеть, что связано с появлением взвесей, которые являются субстратом, удаление которых улучшит вкус пива, качество пены и поспособствует брожению.

Папаин очень популярен в мясной промышленности, в качестве смягчителя мяса. Этот фермент разрушает соединительные ткани и ускоряет смягчение мяса при термальной обработке, в то же время, не придавая ему посторонних привкусов. Он довольно устойчив к повышению температуры и при нагревании мяса еще какое-то время продолжает действовать. Часто данный фермент используется и в косметологии для смягчения кожи.

ЗАКЛЮЧЕНИЕ

Объектом исследования в данной работе была динамическая модель двухкомплексного энзимного механизма, основанная на теории Михаэлиса-Ментен, исследование которой проводилось методом интегральных многообразий, в ходе которого была понижена размерность исследуемой системы. Также было проведено сравнение данного метода исследования с ILDM-методом, которое показало эффективность и простоту метода интегральных многообразий. С помощью выбранного метода исследования были построены нулевое, первое и второе приближения интегрального многообразия, а также была доказана устойчивость медленной поверхности. С использованием математического пакета Mathematica 8.0 численно решена исходная система и построены фазовые портреты исследуемой модели для различных параметров скоростей реакции. Результаты, полученные при численном анализе, соответствуют результатам и выводам, изложенным во втором разделе данной работы, что говорит о соответствии построенной системы дифференциальных уравнений исходной динамической модели двухкомплексного энзимного механизма. Кроме этого были сделаны выводы с точки зрения биологии и показана актуальность данной темы.

СПИСОК ИСПОЛЬЗОВАННЫХ ИСТОЧНИКОВ

1.      Roussel M.R., Fraser S.J. Geometry of the steady-state approximation: Perturbation and accelerated convergence methods // Journal of Chemical Physics. 1990. №93. P. 1072-1081.

.        Холоднеок М., Клич А., Кубич М., Марек М. Методы анализа нелинейных динамических моделей. М.: Мир, 1991. 363 с.

.        Соболев В.А., Щепакина Е.А. Редукция моделей и критические явления в макрокинетике. М.: Физматлит, 2010. 320 c.

.        Марри Дж. Математическая биология. Том 1. М.: РХД-ИКИ, 2011.

.        Тихонов А.Н., Васильев А.Б., Свешников А.Г. Курс высшей математики и математической физики. Выпуск 7: Дифференциальные уравнения. М.: Наука, 1980. С. 183-210.

.        Демидович Б.П. Лекции по математической теории устойчивости. М.: Наука, 1967. 472 с.

.        Воропаева Н.В., Соболев В.А. Геометрическая декомпозиция сингулярно возмущенных систем. М.: Физматлит, 2009. 256 с.

ПРИЛОЖЕНИЕ А

 

Текст программы

Для численного решения исходной системы была использована функция NDSolve, а для визуализации была использована функция ParametricPlot3D, которая параметрически строит кривую в пространстве.

Нулевое приближение интегрального многообразия для двух разных парметров:D[{x, 0.82*x/(1.62*x + 0.098), 0.8*x/(1.62*x + 0.098)}, {x, 0, 1}, PlotStyle -> Blue, AxesLabel -> {x, y1, y2}, PlotLegends -> {Нулевое приближение}];D[{x, 0.015*x/(0.0275*x + 0.00153125),

.0125*x/(0.0275*x + 0.00153125)}, {x, 0, 1}, PlotStyle -> Blue, AxesLabel -> {x, y1, y2}].

Первое приближение интегрального многообразия для двух разных парметров:D[{x, 0.82*x/(1.62*x + 0.098) +0.1*0.0012544*x*(1.6405 - x)/(1.62*x + 0.098)^4, 0.8*x/(1.62*x + 0.098) + 0.1*0.0012544*x*(x + 1.72)/(1.62*x + 0.098)^4}, {x, 0, 1}, PlotStyle -> Red, AxesLabel -> {x, y1, y2}, PlotLegends -> {Первое приближение}];D[{x, 0.015*x/(0.0275*x + 0.00153125) +0.1*598.14453125*x*(0.0305 - x)/(27.5*x + 1.53125)^4, 0.0125*x/(0.0275*x + 0.00153125) + 0.1*598.14453125*x*(x + 0.1275)/(27.5*x + 1.53125)^4}, {x, 0, 1}, PlotStyle -> Red, AxesLabel -> {x, y1, y2}].

Второе приближение интегрального многообразия для двух разных парметров:D[{x, 0.82*x/(1.62*x + 0.098) +0.1*0.0012544*x*(1.6405 - x)/(1.62*x + 0.098)^4 + 0.01*0.000153664* x*0.8*(x - 1.6405)*(0.13124 + 2.6084*x)/(1.62*x + 0.098)^7, 0.8*x/(1.62*x + 0.098) + 0.1*0.0012544*x*(x + 1.72)/(1.62*x + 0.098)^4 + 0.01*0.000153664*x*0.8*(x + 1.72)*(-0.13124 - 2.6084*x)/(1.62*x + 0.098)^7}, {x, 0, 1}, PlotStyle -> Green, AxesLabel -> {x, 1, y2}, PlotLegends -> {Второе приближение}];D[{x, 0.015*x/(0.0275*x + 0.00153125) +0.1*598.14453125*x*(0.0305 - x)/(27.5*x + 1.53125)^4 + 0.01*7327.2705078125*0.0125*x*(x - 0.0305)*(0.000725*x + 0.000038125)/(2.75*x + 0.153125)^7, 0.0125*x/(0.0275*x + 0.00153125) + 0.1*598.14453125*x*(x + 0.1275)/(27.5*x + 1.53125)^4 + 0.01*7327.2705078125*0.0125* x*(x + 0.1275)*(-0.000725*x - 0.000038125)/(2.75*x + 0.153125)^7}, {x, 0, 1}, PlotStyle -> Green, AxesLabel -> {x, y1, y2}];

Изображение нулевого, первого и второго приближений на одном графике:[Out[1], Out[2], Out[3]].

Численное решение (траектория) для двух разных парметров:[{x'[t] == (y2[t] - 1)*x[t] + (x[t] + 0.1)*y1[t], y1'[t] == 10*(x[t] - (x[t] + 0.9)*y1[t] + (0.8 - x[t])*y2[t]), y2'[t] == 10*(0.8*y1[t] - 0.82*y2[t]), x[0] == 1, y1[0] == 0, y2[0] == 0}, {x[t], y1[t], y2[t]}, {t, 0, 120}];D[Evaluate[{x[t], y1[t], y2[t]} /. %], {t, 0, 120}, PlotStyle -> Black, AxesLabel -> {x, y1, y2}, PlotLegends -> {Траектория}].[{x'[t] == (y2[t] - 1)*x[t] + (x[t] + 0.1)*y1[t], y1'[t] == 10*(x[t] - (x[t] + 0.1125)*y1[t] + (0.0125 - x[t])*y2[t]), y2'[t] == 10*(0.0125*y1[t] - 0.015*y2[t]), x[0] == 1, y1[0] == 0, y2[0] == 0}, {x[t], y1[t], y2[t]}, {t, 0, 120}];D[Evaluate[{x[t], y1[t], y2[t]} /. %], {t, 0, 120}, PlotStyle -> Black, AxesLabel -> {x, y1, y2}].

Изображение нулевого, первого, второго приближений и траектории на одном графике:[Out[4], Out[6]].

Похожие работы на - Исследование динамической модели двухкомплексного энзимного механизма

 

Не нашли материал для своей работы?
Поможем написать уникальную работу
Без плагиата!
Без нейросетей!