Исследование алгоритма Дейкстры для маршрутизации пакетов в компьютерной сети

  • Вид работы:
    Курсовая работа (т)
  • Предмет:
    Информационное обеспечение, программирование
  • Язык:
    Русский
    ,
    Формат файла:
    MS Word
    285,23 Кб
  • Опубликовано:
    2013-06-24
Вы можете узнать стоимость помощи в написании студенческой работы.
Помощь в написании работы, которую точно примут!

Исследование алгоритма Дейкстры для маршрутизации пакетов в компьютерной сети















Курсовая работа

Исследование алгоритма Дейкстры для маршрутизации пакетов в компьютерной сети

СОДЕРЖАНИЕ

ВВЕДЕНИЕ

. Краткая теория

.1 Теория графов

.2 Физическая модель

.3 Алгоритм Дейкстры

. Описание процедур и функций, используемых в программе

. Результаты программы

Заключение

Список использованных источников

Приложение

маршрутизация пакет данные компьютерная сеть

ВВЕДЕНИЕ

Каждый маршрутизатор действует по алгоритму кратчайшего пути Дейкстры. Для реализации алгоритма он нуждается в плане сети с обозначенными длинами каналов. Каждый маршрутизатор знает собственный адрес, который был введен в него при его установке, и обращается к соседям при поиске их сетевых адресов. В работающей сети маршрутизатор может рассчитать метрику каждого исходящего канала. В простейшем случае метрика равна 1 для работоспособного канала и бесконечно велика в противном случае. Более точная метрика учитывает пропускную способность канала и среднюю задержку при прохождении через его буфер. Метрика выбирается администратором сети, и все маршрутизаторы используют одну метрику.

Маршрутизаторы могут также выполнять алгоритм Дейкстры с несколькими различными наборами метрик. Например, метрики могут учитывать порознь надежность, пропускную способность и задержку. В результате выполнения алгоритма Дейкстры для каждого из трех наборов метрик, все маршрутизаторы сети знают самый надежный путь, путь с наибольшей пропускной способностью и путь с минимальной задержкой до любого другого маршрутизатора. В пакете может быть указано, по какому критерию маршрутизаторам следует выбирать путь.

Таким образом, задачи данной работы можно сформулировать следующим образом:

1. Ознакомиться с управлением процессами маршрутизации пакетов, передаваемых через сеть.

2. Изучить теорию выбора кратчайших путей и ее методов.

3. Написать программу в соответствии с заданной сетью, ввести программу, отладить и решить ее на ЭВМ.

4. Получить таблицу кратчайших путей и маршрутов методом Дейкстры

1. Краткая теория


1.1 Теория графов

Теория графов является важной частью вычислительной математики. С помощью этой теории решаются большое количество задач из различных областей. Граф состоит из множества вершин и множества ребер, которые соединяют между собой вершины. С точки зрения теории графов не имеет значения, какой смысл вкладывается в вершины и ребра. Вершинами могут быть населенными пункты, а ребрами дороги, соединяющие их, или вершинами являться подпрограммы, соединенные вершин ребрами означает взаимодействие подпрограмм. Часто имеет значение направления дуги в графе. Если ребро имеет направление, оно называется дугой, а граф с ориентированными ребрами называется орграфом.

Дадим теперь более формально основное определение теории графов. Граф G есть упорядоченная пара (V,E), где V - непустое множество вершин, E - множество пар элементов множества V, пара элементов из V называется ребром. Упорядоченная пара элементов из V называется дугой.

Если ребра имеют направление, то граф называется ориентированным (орграфом); в противном случае он неориентированный. Если в графе есть ребро C из вершины A в вершину B, то говорят, что ребро C инцидентно вершинам A и B, а также что вершина A смежна с вершиной B.

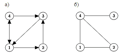
Рис 1. Примеры графов

На рис. 1(а) изображен ориентированный граф. Ребра идут из вершины 1 в вершину 2, из 2 в 3, из 3 в 1, из 1 в 4, из 4 в 1, из 4 в 3. На рис. 2(б) изображен неориентированный граф. Ребра соединяют вершины 1 и 2, 1 и 4, 2 и 4, 3 и 4.

Степень вершины - число инцидентных ей ребер. Для орграфа есть входящая степень - число входящих в вершину ребер, и исходящая степень - число исходящих из вершины ребер. Вершина называется четной, если ее степень четна, и нечетной в противном случае. Вершина степени 0 называется изолированной. Путь в графе - последовательность вершин, каждые две соседние из которых смежные. Длина пути - количество вершин в нем минус 1. Если из вершины A в вершину B есть путь, то говорят, что вершина B достижима из вершины A. Путь называется простым, если все вершины в нем различны. Цикл в ориентированном графе - путь длины больше 0, в котором первая и последняя вершины совпадают. Цикл называется простым, если в нем нет совпадающих вершин, кроме первой и последней. В неориентированном графе цикл - путь длины не меньше 3, в котором первая и последняя вершины совпадают. Граф, в котором нет циклов, называется ациклическим. Неориентированный граф называется связным, если из любая его вершина достижима из любой другой. Любой неориентированный граф можно разбить на компоненты связности, т. е. такие непересекающиеся множества вершин, что вершина A достижима из B в том и только в том случае, если эти вершины принадлежат одной компоненте связности.

В графе на рис. 1(а) вершина 1 имеет входящую степень 2, исходящую - 2, вершина 2 - 1/1, 3 - 2/1, 4 - 1/2. В графе на рис. 1(б) вершина 1 имеет степень 2, 2 - 2, 3 - 1, 4 - 3. В графе на рис. 1(а) есть пути (1,2,3,1,4) длины 4, (1,4,3) длины 2, (3,1,4,3) длины 3, причем второй является простым, а третий - простым циклом. В графе на рис. 1(б) есть пути (1,2,4,3), (1,4), (1,4,2,4), причем первые два простые, а третий - цикл. Путь (1,2,1) не является ни простым, ни циклом. Граф справа связный.

Полный граф - граф, в котором любая вершина смежна любой другой. Двудольный граф - граф, в котором вершины можно разбить на два множества A и B так, что никакие две вершины, принадлежащие одному множеству, не являются смежными. Ациклический неориентированный граф называют лесом, а связный лес называют деревом.

Рис 2. Пример полного и двудольного графа.


Рис. 3. Пример леса и дерева

1.2 Физическая модель

Есть простой способ объяснения, как действует алгоритм. Представьте себе набор из N шаров, соединенных между собой нитями. Нити имеют различную длину. Мы выбираем какой-то один шар, и называем его «шар 1». Нашей целью является нахождение кратчайшего пути от «шара 1» к каждому из оставшихся шаров. Для нахождения этих путей мы кладем все шары на поверхность и начинаем медленно поднимать "«шар 1"» следующий поднятый шар мы называем «шар 2». Когда «шар 2» поднялся с поверхности, мы видим, что кратчайший путь между шарами 1 и 2 - это нить, соединяющая эти шары. По мере того, как мы продолжаем поднимать «шар 1» другой - « шар 3» поднимается с поверхности. Кратчайший путь между шарами 1 и 3 - это или нить между шарами 1 и 3, либо составной путь между шарами 1, 2 и 2, 3. Продолжая подобным образом, мы поднимаем все шары с поверхности. Когда поднимается очередной, «шар n+1», мы находим кратчайший путь между шарами 1 и n+1. Шаг за шагом мы найдем все кратчайшие пути между шаром 1 и остальными шарами.

 

1.3 Алгоритм Дейкстры


Переходим к описанию алгоритма Дейкстры. Рассмотрим сеть на рис.1

Рисунок 4. Пример сети

Числа, проставленные у каждой линии, указывают ее стоимость (ради простоты стоимость в обоих направлениях предполагается одинаковой; однако в более общем случае стоимость передачи в разных направлениях может и различаться). Алгоритм Дейкстры позволяет найти кратчайшие пути от источника ко всем другим узлам. Для этого требуется знание глобальной структуры, т.е. списка всех узлов сети и их взаимосвязей, а также стоимости каждой линии.

Таким образом, алгоритм Дейкстры служит для централизованных вычислений с полной информацией о структуре, имеющейся на центральной базе данных.

В примере на рис.1 целью является нахождение кратчайшего пути от узла 1, являющегося источником, ко всем остальным узлам сети. Алгоритм решает эту задачу поэтапно, строя дерево кратчайших путей с корнем в узле-источнике (в данном примере в узле 1), пока будет охвачен самый удаленный узел. На k-м шаге вычисляются кратчайшие пути к k-узлам, ближайшим к источнику. Они определяются как находящиеся внутри множества N. Опишем алгоритм неформально.

Обозначим через D(v) расстояние (сумму весов каналов вдоль данного пути) от источника 1 до узла v. Пусть l(i,j) - заданная стоимость пути между узлами i и j. Алгоритм состоит из двух частей: начального шага и итераций, повторяющихся до завершения алгоритма.

. Начальный шаг. Устанавливаем N={1}. Для каждого узла v, не принадлежащего множеству N, устанавливаем D(v)=l(1,v). (Расстояние до узлов, не соединенных с узлом 1, принимаем равным Ґ; практически можно принять любое число, большее максимальной стоимости или расстояния.)           

. Каждый последующий шаг. Находим не принадлежащий множеству N узел w, для которого D(w) минимально и включаем w в множество N. Затем обновляем значения D(v) для всех остальных узлов, не принадлежащих N путем вычисления

Шаг 2 повторяется, пока в множество N не войдут все узлы.

Применение алгоритма Дейкстры к сети на рис.1 иллюстрируется последовательными шагами, указанными в таблице 1.1. Полужирным курсивом в столбцах обозначены минимальные значения D(w) на каждом шаге (при равных расстояниях выбор производится случайным образом). После каждого шага соответствующий узел w добавляется к N. Затем величины D(v) обновляются. Например, после начального шага во время шага 1 к множеству N добавляется узел 4, имеющий минимальное значение D(4)=1. На шаге 2 в N включается узел 5 при D(5)=2, и т.д. После шага 5 все узлы оказываются включенными в множество N, и алгоритм завершается.


По мере работы алгоритма, приводящей к результатам, показанным в табл.1.1, в то же самое время строится дерево кратчайших путей с корнем в узле 1: при включении узла во множество N он соединяется с соответствующим узлом, уже принадлежащим N. Результирующее дерево для сети на рис.1 показано на рис.2а.

а

Рис.5 Применение алгоритма Дейкстры к рис.1; источник-узел 1: (а) построение дерева кратчайших путей, (б) таблицы маршрутов, узел 1.

 

Цифры в скобках у каждого узла указывают шаг, на котором этот узел был включен в дерево. С помощью дерева кратчайших путей для узла 1 можно получить таблицу маршрутов для узла 1, показывающую исходящий путь. По которому нужно направлять пакеты к узлу назначения. Подобная таблица маршрутов может быть составлена для каждого узла, являющегося источником сообщений. В случае централизованных вычислений каждая таблица маршрутов затем может быть направлена в соответствующий узел. В случае же децентрализованного, или распределенного выбора маршрутов, как в обсуждаемом ниже алгоритме сети ARPA, каждый узел выполняет свои вычисления, используя ту же самую глобальную информацию и генерируя собственное дерево и соответствующую таблицу маршрутов.

2. Описание процедур и функций, используемых в программе

ФУНКЦИИ

Menu

Функция выводит на экран в текстовом режиме главное меню.

Possible

Функция проверяет проверялась ли вершина сети или нет.

Min

Функция ищет среди неотмеченных (не проверенных) вершин минимальную.

ПРОЦЕДУРЫ

Algor

Процедура осуществляет поиск кратчайших путей от каждой станции ко всем остальным

Draw

Процедура рисует станции сети в виде кружков и соответствующий ей номер внутри

Draw1

Draw2

Процедура рисует связи между станциями согласно схеме сети №2 и соответствующую ей стоимость

Draw3

Процедура рисует связи между станциями согласно схеме сети №3 и соответствующую ей стоимость

 

3. Результаты программы


Рисунок 6.1 - Главное меню программы

Для удобства пользователя выводится главное меню, которое позволяет просмотреть результаты выполнения программы.

Рисунок 6.2 Схема сети № 1

На экран выводится схема сети №1, которая отображает 6 узлов сети и связи между ними: - узел 1 связан с узлом 2,4,5;

узел 2 связан с узлом 1,3,4,6;

узел 3 связан с узлом 2,5,6;

узел 4 связан с узлом 1,2,5;

узел 5 связан с узлом 3,4,6;

узел 6 связан с узлом 2,3,5;

 

Рисунок 6.3 Схема сети № 2

На экран выводится схема сети №2, которая отображает 6 узлов сети и связи между ними: - узел 1 связан с узлом 2,3,4;

- узел 2 связан с узлом 1,5;

- узел 3 связан с узлом 1,4,6;

- узел 4 связан с узлом 1,3,6;

- узел 5 связан с узлом 2,6;

- узел 6 связан с узлом 3,4,5;

Рисунок 6.4 Схема сети № 3

На экран выводится схема сети №3, которая отображает 6 узлов сети и связи между ними: - узел 1 связан с узлом 2,3,4;

- узел 2 связан с узлом 1,5;

- узел 3 связан с узлом 1,4,6;

- узел 4 связан с узлом 1,3,6;

- узел 5 связан с узлом 2,6;

- узел 6 связан с узлом 3,4,5;

ДЛЯ ПРОСМОТРА РЕЗУЛЬТАТОВ АЛГОРИТМА ВЫБЕРИТЕ № СХЕМЫ,  ДЛЯ КОТОРОЙ БУДЕТ ПРОИЗВОДИТЬСЯ РАСЧЕТ (1 , 2 , 3)  ИЛИ ESC ДЛЯ ВЫХОДА:

ДЛЯ СЕТИ № 1

Начальная вершина: 1

Конечная вершина: 1

Конечная вершина: 2<-1

Конечная вершина: 3<-5<-1

Конечная вершина: 4<-1

Конечная вершина: 5<-1

Конечная вершина: 6<-5<-1

Начальная вершина: 2

Конечная вершина: 1<-2

Конечная вершина: 2

Конечная вершина: 3<-2

Конечная вершина: 4<-2

Конечная вершина: 5<-3<-2

Конечная вершина: 6<-2

Начальная вершина: 3

Конечная вершина: 1<-5<-3

Конечная вершина: 2<-3

Конечная вершина: 3

Конечная вершина: 4<-5<-3

Конечная вершина: 5<-3

Конечная вершина: 6<-3

Начальная вершина: 4

Конечная вершина: 1<-4

Конечная вершина: 2<-4

Конечная вершина: 3<-5<-4

Конечная вершина: 4

Конечная вершина: 5<-4

Конечная вершина: 6<-5<-4

Начальная вершина: 5

Конечная вершина: 1<-5

Конечная вершина: 2<-3<-5

Конечная вершина: 3<-5

Конечная вершина: 4<-5

Конечная вершина: 5

Конечная вершина: 6<-5

Начальная вершина: 6

Конечная вершина: 2<-6

Конечная вершина: 3<-6

Конечная вершина: 4<-5<-6

Конечная вершина: 5<-6

Конечная вершина: 6

ДЛЯ СЕТИ № 2

Начальная вершина: 1

Конечная вершина: 1

Конечная вершина: 2<-1

Конечная вершина: 3<-1

Конечная вершина: 4<-1

Конечная вершина: 5<-2<-1

Конечная вершина: 6<-5<-2<-1

Начальная вершина: 2

Конечная вершина: 1<-2

Конечная вершина: 2

Конечная вершина: 3<-1<-2

Конечная вершина: 4<-1<-2

Конечная вершина: 5<-2

Конечная вершина: 6<-5<-2

Начальная вершина: 3

Конечная вершина: 1<-3

Конечная вершина: 2<-1<-3

Конечная вершина: 3

Конечная вершина: 4<-3

Конечная вершина: 5<-6<-3

Конечная вершина: 6<-3

Начальная вершина: 4

Конечная вершина: 1<-4

Конечная вершина: 2<-1<-4

Конечная вершина: 3<-4

Конечная вершина: 4

Конечная вершина: 5<-6<-4

Конечная вершина: 6<-4

Начальная вершина: 5

Конечная вершина: 1<-2<-5

Конечная вершина: 2<-5

Конечная вершина: 3<-6<-5

Конечная вершина: 4<-6<-5

Конечная вершина: 5

Конечная вершина: 6<-5

Начальная вершина: 6

Конечная вершина: 1<-2<-5<-6

Конечная вершина: 2<-5<-6

Конечная вершина: 3<-6

Конечная вершина: 4<-6

Конечная вершина: 5<-6

Конечная вершина: 6

ДЛЯ СЕТИ № 3

Начальная вершина: 1

Конечная вершина: 1

Конечная вершина: 2<-1

Конечная вершина: 3<-1

Конечная вершина: 4<-1

Конечная вершина: 5<-2<-1

Конечная вершина: 6<-5<-2<-1

Начальная вершина: 2

Конечная вершина: 1<-2

Конечная вершина: 2

Конечная вершина: 3<-4<-2

Конечная вершина: 4<-2

Конечная вершина: 5<-2

Конечная вершина: 6<-5<-2

Начальная вершина: 3

Конечная вершина: 1<-3

Конечная вершина: 2<-5<-3

Конечная вершина: 3

Конечная вершина: 4<-3

Конечная вершина: 5<-3

Конечная вершина: 6<-3

Конечная вершина: 1<-4

Конечная вершина: 2<-4

Конечная вершина: 3<-4

Конечная вершина: 4

Конечная вершина: 5<-2<-4

Конечная вершина: 6<-4

Начальная вершина: 5

Конечная вершина: 1<-2<-5

Конечная вершина: 2<-5

Конечная вершина: 3<-5

Конечная вершина: 4<-2<-5

Конечная вершина: 5

Конечная вершина: 6<-5

Начальная вершина: 6

Конечная вершина: 1<-2<-5<-6

Конечная вершина: 2<-5<-6

Конечная вершина: 3<-6

Конечная вершина: 4<-6

Конечная вершина: 5<-6

Конечная вершина: 6

ЗАКЛЮЧЕНИЕ

В результате выполненной курсовой работы были выполнены поставленные цели и задачи, а именно я ознакомился с управлением процессами маршрутизации пакетов, передаваемых через сеть, изучил теорию выбора кратчайших путей и ее методов. Кроме того, была написана программа в соответствии с заданными сетями.

В результате была получена таблица кратчайших путей и маршрутов методом Дейкстры.

Программы готовы к эксплуатации и могут с успехом использоваться как в вычислительных процессах, так и как один из примеров демонстрации работы с алгоритмом Дейкстры.

Также были получены практические навыки в программировании на алгоритмическом языке высокого уровня Turbo Pascal 7.0.

Список использованных источников

1. Каган Б.М. Электронные вычислительные машины и системы. - М.: Энергоатомиздат, 1991.

. Лойко В.И. «Вычислительные системы, сети и телекоммуникации». - Краснодар: КУБГАУ, 2000.

. Уолдрен Дж. «Телекоммуникационные и компьютерные сети. Вводный курс.» - М.: «Постмаркет», 2001 г.

. Шварц М. «Сети связи: протоколы, моделирование, анализ: в 2-х ч.Ч. 2» - М.: Наука- 1992.-272с.

Приложение 

Листинг программы

program Deikstr;

Uses Crt,Graph;

Mas=array[1..6,1..6] of integer;

Const=1000;=6;:mas = (( 0, 3, 1000, 1, 3, 1000),

( 3, 0, 3, 2, 1000, 4),

(1000, 3, 0, 1000, 1, 3),

( 1, 2, 1000, 0, 3, 1000),

( 3, 1000, 1, 3, 0, 2),

(1000, 4, 3, 1000, 2, 0));:mas = (( 0, 1, 5, 2, 1000, 1000),

( 1, 0, 1000, 1000, 3, 1000),

( 5, 1000, 0, 4, 1000, 3),

( 2, 1000, 4, 0, 1000, 4),

(1000, 3, 1000, 1000, 0, 1),

(1000, 1000, 3, 4, 1, 0));: mas = (( 0, 1, 5, 2, 1000, 1000),

( 1, 0, 1000, 1, 3, 1000),

( 5, 1000, 0, 4, 2, 3),

( 2, 1, 4, 0, 1000, 4),

(1000, 3, 2, 1000, 0, 1),

(1000, 1000, 3, 4, 1, 0));: array [1..N] of boolean;,Path: array [1..N] of integer;,MN,l,t,Start, Finish, k, i,j: integer;:char;menu:byte;,n:integer;:char;:array [1..3] of string=(

' ПРОСМОТРЕТЬ СЕТИ ',

' АЛГОРИТМ ДЕЙКСТРЫ ',

' ВЫХОД ');

begin:=1;n:=1 to 3 do beginn=t then begin(15);(2);else begin(7);(1);;(30,10+n);(mdat[n]);;:=readkey;c=#0 then c:=readkey;(c=#72)and(t>1) then t:=t-1;(c=#80)and(t<4) then t:=t+1;c=#13;(7);(0);:=t;;Draw;(10,10,#49+#50+#51' - take');(10,25,'Esc - exit');(200,100,20);(200,100,'2');(150,200,20);(150,200,'1');(200,300,20);(200,300,'4');(450,100,20);(450,100,'3');(500,200,20);(500,200,'6');(450,300,20);(450,300,'5');;Draw1;(170,140,'3');(200,100+20,150,200-20);(170,252,'1');(150,200+20,200,300-20);(325,310,'3');(200+20,300,450-20,300);(325,110,'3');(200,100+20,200,300-20);(210,200,'2');(200+20,100,450-20,100);(480,140,'3');(450,100+20,500,200-20);(440,200,'1');(450,100+20,450,300-20);(480,250,'2');(450,300-20,500,200+20);(350,170,'4');(200,100+20,500-20,200);(350,260,'3');(150+20,200,450,300-20);;Draw2;(150,200+20,200,300-20);(170,260,'2');(200,100+20,150,200-20);(170,140,'1');(450,300-20,500,200+20);(475,260,'1');(200,100+20,450,300-20);(300,140,'5');(150+20,200,450-20,100);(300,170,'3');(200,300-20,450,100+20);(300,220,'4');(200+20,300,500-20,200);(350,260,'4');(450,100+20,500,200-20);(470,130,'3');;Draw3;(170,260,'2');(170,140,'1');(300,140,'5');(475,260,'1');(300,170,'3');(300,220,'4');(350,260,'4');(470,130,'3');(440,170,'2');(190,170,'1');(150,200+20,200,300-20);(200,100+20,150,200-20);(450,300-20,500,200+20);(200,100+20,450,300-20);(150+20,200,450-20,100);(200,300-20,450,100+20);(200+20,300,500-20,200);(450,100+20,500,200-20);(200,100+20,200,300-20);(450,100+20,450,300-20);;Possible: Boolean;i: integer;:=True;i:=1 to n donot Visited[i] then Exit;:=False;Min: Integer;i, minvalue, currentmin: integer;:=Infinity;i:=1 to n donot Visited[i] thenLen[i]<minvalue then:=i;:=Len[i];:=currentmin;algor(M:mas);START:=1 to n do begin

Writeln('Начальная вершина: ',start);

writeln;i:=1 to n do[i]:=False;[i]:=M[Start, i];[i]:=Start;[Start]:=0;[Start]:=True;t:=1 to n do beginPossible do:=min;[k]:=True;i:=1 to n doLen[i]>Len[k]+M[i, k] then[i]:=Len[k]+M[i, k];[i]:=k;:=t;('Конечная вершина: ',Finish);:=Path[Finish];Finish<>0 do('<-', Finish);:=Path[Finish];;t=n then readln;;;;;;true do:=menu;mn of

:BEGIN:= Detect;(gr, mn,'c:\bp\units');(blue);(210,40, ’НАЖМИТЕ 1 , 2 ИЛИ 3:');:=ReadKey;Ch of

#49: begin;(10,50,' СХЕМА СЕТИ: №1');;;;

#50: begin;(10,50,'СХЕМА СЕТИ: №2');;;;

#51: begin;(10,50,'СХЕМА СЕТИ: №3');;;;;Ch=#27;;;

:BEGIN;

writeln('ДЛЯ ПРОСМОТРА РЕЗУЛЬТОВ АЛГОРИТМА ВЫБЕРЕТЕ № СХЕМЫ');(' ДЛЯ КОТОРОЙ БУДЕТ ПРОИЗВОДИТЬСЯ РАСЧЕТ’ (1 , 2 , 3)');(' ИЛИ ESC ДЛЯ ВЫХОДА:');

Ch:=ReadKey;Ch of

#49:begin;(red);('„‹џ ‘…’€ ь 1');(lightgray);(mattr);;

#50: begin;(red);('„‹џ ‘…’€ ь 2');(lightgray);(mattr1);;

#51: begin;(red);('„‹џ ‘…’€ ь 3');(lightgray);(mattr2);;;ch=#27;;

:halt;;;.

Похожие работы на - Исследование алгоритма Дейкстры для маршрутизации пакетов в компьютерной сети

 

Не нашли материал для своей работы?
Поможем написать уникальную работу
Без плагиата!
Без нейросетей!