Использование алгоритма обратной трассировки лучей при построении реалистичного изображения

  • Вид работы:
    Курсовая работа (т)
  • Предмет:
    Информационное обеспечение, программирование
  • Язык:
    Русский
    ,
    Формат файла:
    MS Word
    349,46 Кб
  • Опубликовано:
    2013-05-27
Вы можете узнать стоимость помощи в написании студенческой работы.
Помощь в написании работы, которую точно примут!

Использование алгоритма обратной трассировки лучей при построении реалистичного изображения

ВВЕДЕНИЕ

Существует несколько методов генерации реалистичных изображений, таких как прямая трассировка лучей (трассировка фотонов) и обратная трассировка лучей.

Методы трассировки лучей на сегодняшний день считаются наиболее мощными и универсальными методами создания реалистичных изображений. Известно много примеров реализации алгоритмов трассировки для качественного отображения самых сложных трехмерных сцен. Можно отметить, что универсальность методов трассировки в значительной степени обусловлена тем, что в их основе лежат простые и ясные понятия, отражающие наш опыт восприятия окружающего мира.

Окружающие нас объекты обладают по отношению к свету такими свойствами:

излучают;

отражают и поглощают;

пропускают сквозь себя.

Каждое из этих свойств можно описать некоторым набором характеристик.

Излучение можно охарактеризовать интенсивностью и спектром.

Свойство отражения (поглощения) можно описать характеристиками диффузного рассеивания и зеркального отражения. Прозрачность можно описать ослаблением интенсивности и преломлением.

Из точек поверхности (объема) излучающих объектов исходят лучи света. Можно назвать такие лучи первичными - они освещают все остальное. От источников излучения исходит по различным направлениям бесчисленное множество первичных лучей. Некоторые лучи уходят в свободное пространство, а некоторые попадают на другие объекты.

В результате действия на объекты первичных лучей возникают вторичные лучи. Некоторые из них попадают на другие объекты. Так, многократно отражаясь и преломляясь, отдельные световые лучи приходят в точку наблюдения. Таким образом, изображение сцены формируется некоторым множеством световых лучей.

Цвет отдельных точек изображения определяется спектром и интенсивностью первичных лучей источников излучения, а также поглощением световой энергии в объектах, встретившихся на пути соответствующих лучей.

Непосредственная реализация данной лучевой модели формирования изображения представляется затруднительной. Можно попробовать построить алгоритм построения изображения указанным способом. В таком алгоритме необходимо предусмотреть перебор всех первичных лучей и определить те из них, которые попадают в объекты и в камеру. Затем выполнить перебор всех вторичных лучей, и также учесть только те, которые попадают в объекты и в камеру. И так далее. Такой алгоритм называется прямой трассировкой лучей. Главный недостаток этого метода - много лишних операций, связанных с расчетом лучей, которые затем не используются.

1. ОБРАТНАЯ ТРАССИРОВКА ЛУЧЕЙ

Именно этому методу генерации реалистичных изображений посвящена эта работа.

Метод обратной трассировки лучей позволяет значительно сократить перебор световых лучей. Метод разработан в 80-х годах, основополагающими считаются работы Уиттеда и Кэя. Согласно этому методу отслеживание лучей производится не от источников света, а в обратном направлении - от точки наблюдения. Так учитываются только те лучи, которые вносят вклад в формирование изображения.

Плоскость проецирования разбита на множество пикселов. Выберем центральную проекцию с центром схода на некотором расстоянии от плоскости проецирования. Проведем прямую линию из центра схода через середину пиксела плоскости проецирования. Это будет первичный луч обратной трассировки. Если этот луч попадет в один или несколько объектов сцены, то выбираем ближайшую точку пересечения. Для определения цвета пиксела изображения нужно учитывать свойства объекта, а также то, какое световое излучение приходится на соответствующую точку объекта.

Если объект зеркальный (хотя бы частично), то строим вторичный луч - луч падения, считая лучом отражения предыдущий, первичный трассируемый луч.

Для идеального зеркала достаточно затем проследить лишь очередную точку пересечения вторичного луча с некоторым объектом. У идеального зеркала идеально ровная отполированная поверхность, поэтому одному отраженному лучу соответствует только один падающий луч. Зеркало может быть затемненным, то есть поглощать часть световой энергии, но все равно остается правило: один луч падает - один отражается.

Если объект прозрачный, то необходимо построить новый луч, такой, который при преломлении давал бы предыдущий трассируемый луч.

Для диффузного отражения интенсивность отраженного света, как известно, пропорциональна косинусу угла между вектором луча от источника света и нормалью.

Когда выясняется, что текущий луч обратной трассировки не пересекает какой-либо объект, а уходит в свободное пространство, то на этом трассировка для этого луча заканчивается.

При практической реализации метода обратной трассировки вводят ограничения. Некоторые из них необходимы, чтобы можно было в принципе решить задачу синтеза изображения, а некоторые ограничения позволяют значительно повысить быстродействие трассировки.

Ограничения при реализации трассировки

Среди всех типов объектов выделим некоторые, которые назовем источниками света. Источники света могут только излучать свет, но не могут его отражать или преломлять. Будем рассматривать только точечные источники света.

Свойства отражающих поверхностей описываются суммой двух составляющих - диффузной и зеркальной.

В свою очередь, зеркальность также описывается двумя составляющими. Первая (reflection) учитывает отражение от других объектов, не являющихся источниками света. Строится только один зеркально отраженный луч r для дальнейшей трассировки. Вторая компонента (specular) означает световые блики от источников света. Для этого направляются лучи на все источники света и определяются углы, образуемые этими лучами с зеркально отраженным лучом обратной трассировки (r). При зеркальном отражении цвет точки поверхности определяется собственным цветом того, что отражается.

При диффузном отражении учитываются только лучи от источников света. Лучи от зеркально отражающих поверхностей ИГНОРИРУЮТСЯ. Если луч, направленный на данный источник света, закрывается другим объектом, значит, данная точка объекта находится в тени. При диффузном отражении цвет освещенной точки поверхности определяется собственным цветом поверхности и цветом источников света.

Для прозрачных (transparent) объектов не учитывается зависимость коэффициента преломления от длины волны. (Иногда прозрачность вообще моделируют без преломления, то есть направление преломленного луча t совпадает с направлением падающего луча.)

Для учета освещенности объектов светом, рассеянным другими объектами, вводится фоновая составляющая (ambient).

Для завершения трассировки вводится ограничение количества итераций (глубины рекурсии).

Выводы по методу обратной трассировки

Достоинства:

Универсальность метода, его применимость для синтеза изображений достаточно сложных пространственных схем. Воплощает многие законы геометрической оптики. Просто реализуются разнообразные проекции.

Даже усеченные варианты данного метода позволяют получить достаточно реалистичные изображения. Например, если ограничиться только первичными лучами (из точки проецирования), то это дает удаление невидимых точек. Трассировка уже одного-двух вторичных лучей дает тени, зеркальность прозрачность.

Все преобразования координат линейны, поэтому достаточно просто работать с текстурами.

Недостатки:

Проблемы с моделированием диффузного отражения и преломления.

Для каждой точки изображения необходимо выполнять много вычислительных операций. Трассировка относится к числу самых медленных алгоритмов синтеза изображений.

2. КОНСТРУКТОРСКАЯ ЧАСТЬ

Алгоритмы.

Обратная трассировка лучей.

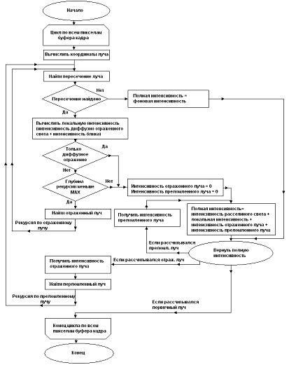
Рис. 1 - Блок-схема рекуррентного алгоритма обратной трассировки лучей

трассировка луч программирование язык

В этой программе алгоритм обратной трассировки реализован рекуррентным образом. Функция расчета интенсивности первичного луча рекуррентно вызывает саму себя для нахождения интенсивностей отраженного и преломленного лучей.

Алгоритм:

Для расчета цвета каждого пиксела буфера кадра выполняются следующие действия:

. Найти координаты пиксела в мировой системе координат.

. Найти координаты первичного луча.

. Запуск функции вычисления интенсивности первичного луча.

. Найти пересечения луча со всеми примитивами сцены и выбрать ближайшее.

. Если пересечение не найдено, значит, луч ушел в свободное пространство.

Для расчета цвета принимаем полную интенсивность равной фоновой интенсивности. Перейти на шаг 12. Если пересечение найдено, перейти на шаг 6.

. Рассчитываем «локальную» интенсивность цвета объекта, которому принадлежит точка пересечения. Под «локальной» интенсивностью понимается интенсивность с учетом интенсивности диффузно отраженного света и интенсивность бликов.

. Если материал отражает свет только диффузно, то считаем интенсивности отраженного и преломленного света нулевыми. Перейти на шаг 12. Иначе перейти на шаг 8.

. Если достигнута максимальная глубина рекурсии, то принять интенсивности отраженного и преломленного света нулевыми. Перейти на шаг 12. Иначе перейти на шаг 9.

. Вычислить вектор отраженного луча. Запуск рекурсии для нахождения интенсивности отраженного луча.

. Вычислить вектор преломленного луча. Запуск рекурсии для нахождения интенсивности преломленного луча.

. Вычисление полной интенсивности цвета. Полная интенсивность включает в себя интенсивность рассеянного света, локальную интенсивность и интенсивности отраженного и преломленного лучей.

. Возврат в точку вызова функции вычисления интенсивности луча.

Если шел расчет первичного луча, то в буфер кадра помещается пиксел вычисленного цвета. Переходим к расчету следующего пиксела буфера кадра Если шел расчет отраженного (преломленного) луча, то вычисленная интенсивность будет принята как интенсивность отраженного (преломленного) луча на предыдущем шаге рекурсии.

Построение теней.

Сплошные тени.

Для построения сплошных теней в алгоритме трассировки на этапе вычисления «локальной» интенсивности цвета в точке объекта проверяется «видимость» каждого источника света из этой точки.

Принцип работы алгоритма.

Из проверяемой точки строится луч, направленный на источник света.

Производится поиск пересечений этого луча с примитивами сцены между проверяемой точкой и источником.

Если найдено хотя бы одно пересечение, то проверяемая точка находится в тени. При расчете ее цвета источник, для которого проводилась проверка, не учитывается.

проверяемый источник.

Такой метод нахождения теней дает приемлемый результат до тех пор, пока на сцене нет прозрачных объектов. Однако сплошная черная тень от стакана выглядит не реалистично. Стекло частично пропускает свет, поэтому интенсивность заслоненного источника должна учитываться при подсчете интенсивности света в точке объекта, но она должна ослабляться при проходе света сквозь стекло.

Рис. 2

Математические и физические предпосылки алгоритма обратной трассировки лучей.

Освещение.

Интенсивность света складывается из интенсивности фоновой подсветки сцены, интенсивности диффузно отраженного света источников, интенсивности бликов от источников («локальные» характеристики освещенности), интенсивности зеркально отраженного луча и интенсивности преломленного луча, если таковые имеются.

Интенсивность фоновой подсветки (IA) задается некоторой константой.

Интенсивность диффузно отраженного света (ID) вычисляется по классическому «закону косинуса».

ID = IL cos α,(2.2.1.6)

где IL - интенсивность источника света, α - угол между нормалью к поверхности и направлением на источник.

В случае освещения сцены несколькими источниками Id вычисляется для каждого из них и затем суммируются.

IDi =Σ ILi cos αi.(2.2.1.7)

Интенсивность блика от источника (IS) вычисляется в соответствии с моделью Фонга.

IS = IL cosp β,(2.2.1.8)

где IL - интенсивность источника света (0<=IL<=1), β - угол между отраженным лучом от источника света и направлением на точку, в которой расположена камера (центр проекции), p - некоторая степень от 1 до 200 -влияет на размытость блика. При

маленьких значениях p блик более размытый.

Как и при вычислении ID в случае освещения сцены несколькими источниками IS вычисляется отдельно для каждого источника, а затем результаты суммируются.

ISi =Σ ILi cosp β i.(2.2.1.9)

Интенсивности зеркально отраженного (IR) и преломленного (IT) света рассчитываются для отраженного и преломленного лучей на следующем шаге рекурсии. Если достигнут предел глубины рекурсии, то эти интенсивности берутся нулевыми. От интенсивности IR берется r процентов, а от IT - t = 1 - r (см. предыдущий раздел).

Кроме того, вводятся следующие коэффициенты: KD - коэффициент диффузного отражения поверхности, KS - коэффициент блика.- этот коэффициент является характеристикой неровности отражающей поверхности. Чем больше неровность поверхности, тем меньше света отражается от неё зеркально и меньше света она пропускает, и соответственно больше света она отражает диффузно. 0 <= KD <= 1.

При KD = 0 - весь свет, падающий на поверхность, отражается и преломляется. KD = 1 - весь свет отражается диффузно. На этот коэффициент умножаются интенсивность диффузно отраженного света и интенсивность фоновой подсветки. Интенсивности зеркально отраженного и преломленного света умножаются на (1 - KD).- этот коэффициент отвечает за яркость блика от источника. 0<=KS<=1.

При KS = 0 - блик не виден, при KS = 1 - яркость блика максимальна.

Таким образом, окончательная формула для расчета интенсивности объекта в какой-либо точке будет выглядеть следующим образом:

I = IAKD + Σ(ILiKDcos αi + ILiKScosp β i) + (1 - KD )(IRr + IT(1 - r)).(2.2.1.10)

При этом надо заметить, что итоговая интенсивность не должна получиться больше единицы. Если такое происходит, то эта точка изображения будет засвеченной. Ее интенсивность надо сбросить на единицу.

Для получения цветного изображения необходимо провести расчеты отдельно для красной, зеленой и синей компоненты света. Цвет пиксела изображения будет вычисляться путем умножения каждой компоненты интенсивности на число, определяющее максимальное количество градаций интенсивности изображения. Для 32-битного изображения оно равно 255 на каждый из цветов(R,G,B).

= 255*IR,= 255*IG,= 255*IB.

Здесь IR (не путать с интенсивностью зеркально отраженного света), IG, IB - интенсивности трех компонент света в точке, полученная по формуле, указанной выше.

Коэффициенты KD, KS, p - это индивидуальные характеристики объекта, отражающие его свойства. Кроме этого имеется еще один коэффициент - абсолютный показатель преломления n. n = c / v, где c - скорость света в вакууме, v - скорость света в среде (внутри объекта). Для абсолютно непрозрачных тел этот коэффициент равен ∞ (т.к. скорость света внутри тела нулевая). В программе для задания абсолютно непрозрачного тела необходимо поставить этот коэффициент >> 1 (порядка 10 000). При этом доля зеркально отраженного света r будет стремиться к единице, а преломленного, соответственно, к нулю.

Вычисление нормалей.

В алгоритме трассировки нормали к объектам необходимы для вычисления отраженного и преломленного лучей, а также для определения освещенности согласно модели Фонга.

В этой программе присутствуют три вида примитивов, из которых строится сцена. Это полигон (треугольник), эллипсоид и параболоид. Последние два введены для более реалистичной имитации стакана (его можно было бы построить и из полигонов, но модель получилась бы более грубая).

Вычисление нормали к полигону (треугольнику).

Вычисление нормали к треугольнику сводится к операции векторного умножения. Пусть задан треугольник ABC координатами трех своих вершин:

XA, YA, ZA, XB, YB, ZB, XC, YC, ZC.

Вычислим координаты двух векторов, например AB и AC:

= XB - XA,= XB - XA,

ZAB = XB - XA,(2.2.2.1)= XC - XA,= XC - XA,= XC - XA.

Координаты вектора нормали будут вычисляться по формулам:

= YABZAC - YACZAB,= XABZAC - XACZAB,(2.2.2.2)= XABYAC - XACYAB.

Нет необходимости вычислять координаты вектора нормали к треугольнику каждый раз в теле трассировки, так как в любой точке треугольника нормали одинаковые. Достаточно их посчитать один раз в инициализирующей части программы и сохранить. При повороте треугольника надо поворачивать и его нормаль.

Вычисление нормали к поверхности второго порядка.

Поверхность второго порядка задается в общем случае уравнением вида:

Q(x,y,z) = a1x2 + a2y2 + a3z2 + b1yz + b2xz + b3xy + c1x +c2y +c3z + d =0.

Но мы будем использовать другую форму записи. Так уравнение эллипсоида будет выглядеть следующим образом:

(x-x0)2/A2 + (y-y0)2/B2 + (z-z0)2 /C2 = 1,(2.2.2.3)

где x0, y0, z0 - координаты центра эллипсоида, A, B, C - длины полуосей эллипсоида.

Уравнение параболоида:

(x-x0)2/A2 + (y-y0)2/B2 - (z-z0)2 /C2 = 1,(2.2.2.4)

где x0, y0, z0 - координаты центра параболоида, A, B, C - длины полуосей параболоида. Ось параболоида расположена вдоль оси Oz мировой системы координат. Для вычисления координат вектора нормали необходимо вычислить частные производные по x, y, z.

Координаты вектора нормали эллипсоида:

= 2(x-x0)/A2,

Yn = 2(y-y0)/B2,= 2(z-z0)/С2.

Направление вектора не изменится, если все его координаты разделить на 2:

Xn = (x-x0)/A2,= (y-y0)/B2,(2.2.2.5)

Zn = (z-z0)/С2.

Координаты вектора нормали параболоида вычисляются аналогично:

Xn = (x-x0)/A2,= (y-y0)/B2,(2.2.2.6)

Zn = - (z-z0)/С2.

Нормаль для поверхности второго порядка придется вычислять непосредственно в теле трассировки, так как в разных точках фигуры нормали разные.

Вычисление отраженного луча.

Пусть задан вектор падающего луча S, а также известен вектор нормали N. Требуется найти вектор отраженного луча R.

Рассмотрим единичные векторы R1, S1и N1. Поскольку векторы нормали, падающего луча и отраженного луча находятся в одной плоскости, то можно записать R1 + S1 = N`, где N` - это вектор, соответствующий диагонали ромба и совпадающий по направлению с нормалью. Длина вектора N` равна 2cosθ. Так как вектор N` по направлению совпадает с N1, то

N` = N`2cosθ.

Отсюда найдем единичный вектор отраженного луча:

R1 = N1 2cosθ - S1 = N/|N| 2cosθ - S/|S|.

Рис. 3

Найдем cosθ. Это можно сделать, используя скалярное произведение векторов N и S:


Полагая, что искомый вектор отраженного луча будет иметь такую же длину, что и вектор падающего луча, то есть R = |S| R1, получим

= N 2NS/|N|2 - S.

Это решение в векторной форме. Запишем координаты вектора:

= 2xN(xNxS+yNyS+zNzS)/(xN2+yN2+zN2) - xS,= 2yN(xNxS+yNyS+zNzS)/(xN2+yN2+zN2) - yS,(2.2.3.1)= 2zN(xNxS+yNyS+zNzS)/(xN2+yN2+zN2) - zS.

Вычисление преломленного луча.

Пусть даны два единичных вектора: S1 - вектор падающего луча, и N1 - вектор нормали к границе раздела двух сред. Также должны быть известны два коэффициента преломления для данных сред - n1 и n2 (или их отношение).

Требуется найти единичный вектор преломленного луча T1. Для решения выполним некоторые геометрические построения.

Искомый вектор T1 равен сумме двух векторов:

= NT + B.

Найдем вначале вектор NT. Он противоположен по направлению вектору нормали, а его длина равна |T1| cos α2 = cos α2 (поскольку T1 - единичный). Таким образом, NT = -N1 cos α2. Необходимо определить cos α2. Запишем закон преломления n1 sin α1 = n2 sin α2 в виде:

sin α2 = n sin α1,

где n = n1 / n2.

Воспользуемся тождеством cos2α + sin2α = 1. Тогда

cos α2 = √ 1 - sin2α2 = √ 1 - n2 sin2α1

cos α2 = √ (1 + n2 (cos2α1 - 1)

Рис. 4

Значение cos α1 можно выразить через скалярное произведение единичных векторов S1 и N1, то есть cos α1 = S1N1. Тогда мы можем записать такое выражение для вектора NT:

= -N1√1+n2((S1N1)2 - 1).

Осталось найти выражение для вектора B. Он располагается на одной прямой с вектором A, причем A = S1 - NS. Учитывая, что NS равен N1 cos α1, то A = S1 - N1 cos α1. Так как cos α1 = S1N1, то A = S1 - N1 (S1N1).

Поскольку длина вектора A равна sin α1, а длина вектора B равна sin α2, то

|B|/|A| = sin α2/ sin α1 = n2/n1 = n,

откуда |B| = n |A|. Учитывая взаимное расположение векторов A и B, получим

= -nA =n(N1(S1N1) - S1).

Теперь мы можем записать искомое выражение для единичного вектора луча преломления T1:

T1 = nN1 (S1N1) - nS1 - N1√1 + n2 ((S1N1)2 - 1).(2.2.4.1)

Вычисление точки пересечения с примитивами.

В алгоритме трассировки для построения изображения необходимо вычислять точки пересечения лучей с примитивами сцены. Луч задается параметрическим уравнением прямой. Любая точка луча удовлетворяет уравнению

R = A + Vt,(2.2.5.1)

где R - радиус вектор произвольной точки, принадлежащей лучу, A - радиус- вектор начальной точки луча, V - направляющий вектор луча, t - параметр.

Если направляющий вектор V нормализовать, то параметр t будет численно равен расстоянию от начальной точки луча A до точки R.

Можно записать это уравнение в координатном виде:

x = x1 + at,= y1 + bt,(2.2.5.2)= z1 + ct.

Здесь x1, y1, z1 - координаты начальной точки луча в прямоугольной декартовой мировой системе координат, a,b,c - координаты направляющего вектора луча.

Вычисление точки пересечения луча с поверхностью второго порядка.

Для нахождения точки пересечения луча, заданного уравнениями (2) с поверхностью второго порядка, заданной уравнениями (2.2.2.3) или (2.2.2.4):

(x-x0)2/A2 + (y-y0)2/B2 + (z-z0)2 /C2 = 1 (эллипсоид)

(x-x0)2/A2 + (y-y0)2/B2 - (z-z0)2 /C2 = 1 (параболоид),

нужно подставить в уравнение поверхности второго порядка вместо x, y и z соответствующие уравнения луча. В результате этого после раскрытия всех скобок и приведения подобных мы получим квадратное уравнение относительно параметра t. Если дискриминант квадратного уравнения меньше нуля, то луч и поверхность второго порядка общих точек пересечения не имеют. В противном случае можно будет вычислить два значения параметра t. Дискриминант может быть равен нулю - это соответствует предельному случаю касания луча поверхности, и мы получим два совпадающих значения параметра t.

Для нахождения координат точек пересечения луча и поверхности достаточно подставить найденные значения параметра t в уравнения луча (2).

В программе при нахождении двух пересечений для визуализации выбирается ближнее из них. Ближнее пересечение определяется путем сравнения найденных параметров t. Ближе к точке наблюдения находится то пересечение, которому соответствует меньший параметр t. Тут надо заметить, что в результате решения квадратного уравнения одно или оба значения параметра t могут получиться отрицательными. Это означает, что точка пересечения лежит «сзади» относительно точки начала луча, на половине прямой, находящейся «по нашу сторону» относительно картинной плоскости. Такие точки при поиске пересечения отбрасываются.

Кроме того, в программе для каждой фигуры введены верхняя и нижняя секущие плоскости. Отображается только часть фигуры, лежащая между ними.

Для этого после нахождения точки пересечения анализируется ее z-координата.

Вычисление точки пересечения луча с полигоном (треугольником).

Для вычисления точки пересечения луча, заданного уравнениями (2) необходимо сначала определить точку пересечения этого луча с плоскостью, содержащей этот треугольник.

Уравнение плоскости выглядит следующим образом:

Q(x, y, z) = Ax + By + Cz +D = 0.(2.2.5.3)

Здесь коэффициенты A, B, C совпадают с координатами нормали к этой плоскости. Координаты нормали плоскости совпадают с координатами нормали треугольника, которые мы посчитали на этапе загрузки сцены.

Для нахождения свободного члена D необходимо подставить координаты любой точки треугольника, например, одной из вершин.

= -Ax -By - Cz.(2.2.5.4)

По ходу выполнения программы значение D меняться не будет, поэтому его целесообразно посчитать при инициализации сцены и хранить, как и координаты нормали. Пересчитывать его необходимо только при изменении положения треугольника.

Теперь для нахождения точки пересечения подставим уравнения луча (2) в

уравнение плоскости.

(x1 + at) + B (y1 + bt) + C (z1 + ct) + D = 0

Откуда получим

= - (Ax1 + By1 + Cz1 + D) / (Aa + Bb + Cc)(2.2.5.5)

Если знаменатель этой дроби равен нулю, значит луч параллелен плоскости, в которой лежит треугольник. Точки пересечения нет.

Для нахождения координат точки пересечения надо подставить найденное значение параметра t в уравнения луча (2). Назовем точку пересечения D. Мы получим координаты xD, yD, zD.

Теперь необходимо определить, попала ли точка D внутрь треугольника. Найдем координаты векторов AB, BC, CA (A, B, C - вершины треугольника) и координаты векторов AD, BD, CD. Затем найдем три векторных произведения:

nA = AB x AD,= BC x BD,(2.2.5.6)= CA x CD.

Эти вектора будут коллинеарны. Если все три вектора сонаправлены, то точка D лежит внутри треугольника. Сонаправленность определяется равенству знаков соответствующих координат всех трех векторов.

Операцию проверки принадлежности точки D треугольнику ABC можно ускорить. Если ортогонально спроецировать треугольник ABC и точку D на одну из плоскостей xOy, yOz или xOz, то попадание проекции точки в проекцию треугольника будет означить попадание самой точки в треугольник (конечно же, если уже известно, что точка D лежит в плоскости, содержащей треугольник ABC). При этом число операций заметно сокращается. Так для поиска координат всех векторов нужно искать по две координаты на каждый вектор, а при поиске векторных произведений нужно искать только одну координату (остальные равны нулю).

Для проверки сонаправленности векторов, полученных при вычислении векторного произведения нужно проверить знаки этой единственной координаты для всех трех векторов. Если все знаки больше нуля, или меньше нуля, то вектора сонаправлены. Равенство нулю одного из векторных произведений соответствует случаю, когда точка D попадает на прямую, содержащую одну из сторон треугольника.

Кроме того, перед вычислениями векторов и векторных произведений можно провести простой габаритный тест. Если проекция точки D лежит правее, левее, выше или ниже каждой из проекций вершин треугольника, то она не может лежать внутри.

Остается добавить, что для проецирования лучше выбирать ту из плоскостей, площадь проекции треугольника на которую больше. При таком условии исключается случай проецирования треугольника в отрезок (при условии, что проверяемый треугольник не вырожден в отрезок). Кроме того, при увеличении площади проекции уменьшается вероятность ошибки. Для определения такой плоскости проецирования достаточно проверить три координаты нормали треугольника. Если z-координата нормали больше (по абсолютному значению) x и y, то проецировать надо на плоскость xOy. Если y больше чем x и z, то проецируем на xOz. В оставшемся случае - на yOz.

Описание типов данных. Структура программы.

Описание модулей программы

Список модулей:.h-описание структуры TTex.h-описание структур TPlaneTex и TEllipsoidTex.h-описание структур TPoint2d и TPoint3d.h-описание страктуры TRGBColor.h-описание класса TLamp.h-описание класса TCam.h-описание класса TPrimitive.h-описание класса TFrstSurface.h-описание класса TScndSurface.h-описание класса TTriangle.h-описание класса TEllipsoid.h-описание класса TCylinder.h-описание класса THyperboloidVert.h-описание класса THyperboloidHor.h-описание класса TScene.h-описание класса TTracer

Модули реализующие, интерфейс программы:

_Options.h-модуль формы «Опции»

_ExtraCamOptions.h-модуль формы «Свойства камеры»

_MainUnit.h-модуль главной формы программы

Краткое описание структур и классов программы:TPoint3d - структура, описывающая точку в мировой системе координат,TPoint2d - структура, описывающая точку на плоскости (в текстуре) с целочисленными координатами,TRGBColor - структура, описывающая цвет по трем составляющим (RGB),TTex - структура, описывающая текстуру - содержит адрес массива пикселей и его размеры,TPlaneTex - структура, описывающая привязку текстуры к плоскости.

Содержит три точки, к которым привязывается текстура:TLamp - класс, описывающий источник освещения.

Содержит объект TPoint3d coord с координатами источника и три переменные типа float (Ir, Ig, Ib) для хранения интенсивности трех компонент света.TCam - класс, описывающий камеру.

Содержит два угла (a, b), указывающих направление зрения камеры, точку, на которую направлена камера (viewP) и расстояние от камеры до этой точки (r). TPrimitive - абстрактный класс примитива. От него наследуются поверхности первого и второго порядка.TFrstSurface - абстрактный класс поверхности первого порядка. От него наследуется класс треугольника.TScndSurface - абстрактный класс поверхности второго порядка. От него наследуются классы эллипсоида и параболоида.TTriangle - класс треугольника. Содержит три вершины треугольника и его нормаль.TCylinder - класс цилиндра.THyperboloidVert - класс однополостного гиперболоида, лежащего вдоль оси oZ.THyperboloidHor -класс однополостного гиперболоида, лежащего вдоль оси oX.TEllipsoid - класс эллипсоида.TScene - класс сцены. Содержит информацию о всех примитивах, источниках и камере.TTracer - класс, отвечающий за построения изображения. Содержит буфер (buffer) разметом 400x400 пикселей, в котором формируется изображение сцены. Перед генерацией необходимо вызвать функциюпередав ей в качестве параметра указатель на сцену, которую необходимо сгенерировать. Для генерации вызвать функцию render.

Все классы - потомки TPrimitive предоставляют следующие функции:getT(TPoint3d p0, TPoint3d viewDir) - возвращает расстояние от точки начала(p0) луча viewDir до ближайшей точки пересечения с примитивом.

void getTArr(float* arr, int& n, TPoint3d p0, TPoint3d viewDir) - заполняет массив arr расстояниями от точки начала(p0) луча viewDir до ближайшей всех точек пересечения с примитивом.

void getNormal(TPoint3d& n, const TPoint3d& p) - возвращает координаты вектора нормали к примитиву в точке p.

void getColor(TRGBColor& c, const TPoint3d& p) - возвращает цвет примитива точке p (с учетом текстуры).

3. ТЕХНОЛОГИЧЕСКАЯ ЧАСТЬ

Выбор языка программирования.

При разработке программы был использован язык программирования высокого уровня C++ в составе среды визуального программирования CodeGear RAD Studio for Windows.

Данный язык был выбран благодаря тому, что он предоставляет максимально удобные средства по работе с оперативной памятью, позволяет реализовывать алгоритмы более эффективно, по сравнению с другими высокоуровневыми языками. Программы, написанные на C++, работают быстрее и занимают меньше места на диске.

Кроме того, среда визуального программирования CodeGear RAD Studio for Windows

предоставляет большое количество стандартных визуальных компонентов для создания интерфейса, и ряд библиотек с различными часто используемыми полезными функциями. Также у автора работы наибольший опыт программирования именно в указанной среде визуального программирования.

Форма «опции». Вкладка «освещение».

Рис. 5

На этой вкладке находятся средства по настройке освещения сцены.

Координаты источника - координаты в мировой системе координат источника света, выбранного в выпадающем списке.

Интенсивность источника - значения трех компонент интенсивности источника света, выбранного в выпадающем списке.

Фоновая интенсивность - значения трех компонент фоновой интенсивности.

Кнопка “+” (рядом с выпадающим списком) - добавление нового источника света.

Кнопка “-” (рядом с выпадающим списком) - удаление источника света, выбранного в выпадающем списке.

Форма «опции». Вкладка «камера».

Рис. 6

На этой вкладке находятся средства по настройке опций камеры.

Предосмотр - здесь можно увидеть примерный вид изображения до его генерации.

Навигация - настройки положения камеры.

Дополнительно - при нажатии на эту кнопку появляется форма

Свойства камеры с дополнительными параметрами камеры.

Форма «свойства камеры».

Рис. 7

Радиус - расстояние от камеры до точки, на которую она направлена.

Шаг изменения радиуса - приращение радиуса камеры при однократном нажатии кнопки “-” на вкладке “Камера” формы “Опции” (или уменьшение при однократном нажатии кнопки “+”).

Форма «опции». вкладка «материалы».

В данном меню отображаются параметры материала стола, на котором стоит сцена.

Рис. 8

Цвет - цвет материала стола.

Коэф. диффузного отражения - коэффициент Kd материала стола (см. раздел 2.2.1).

Текстура - если галочка установлена, то на столе будет отображаться текстура

Выбрать текстуру - выбор файла изображения (*.bmp), который будет использоваться как текстура стола.

Дополнительно - при нажатии на эту кнопку появляется форма Свойства стола с дополнительными параметрами материала стола.

Форма «свойства стола».

Рис. 9

Коэффициент блика - коэффициент KS материала стола (см. раздел 2.2.1).

Размытость блика - показатель степени p материала стола.

Повторения текстуры - сколько раз текстура стола будет повторяться вдоль осей OX и OY.

Форма «опции». Вкладка «системные».

На этой вкладке можно настраивать алгоритмы, реализованные в программе.

Рис. 10

Глубина рекурсии - этот параметр устанавливает глубину рекурсии в алгоритме трассировки. При бОльших значениях этого параметра качество сгенерированного изображения улучшается.

ВНИМАНИЕ!

Глубина рекурсии СИЛЬНО влияет на скорость генерации изображения. Не рекомендуется ставить значения этого параметра больше 10.

Анитиалиазинг - включение алгоритма сглаживания изображения.

Тип тени - выбор алгоритма построения теней.

4. ИССЛЕДОВАТЕЛЬСКАЯ ЧАСТЬ

Исследования проводились на компьютере со следующей конфигурацией:

CPU - Intel Core 2 Duo T5850- 2048Mb DDR2 - Nvidia GForce 9300M 256Mb- Windows 7

4.1 Зависимость времени генерации от глубины рекурсии

В этом тесте исследовалась зависимость времени генерации изображения от глубины рекурсии. Исследования проводились для сцены освещенной одним источником света.- время генерации без тени в секундах.- время генерации со сплошной тенью в секундах.- глубина рекурсии.

N

0

1

3

4

5

6

7

8

9

10

11

12

13

14

15

T1

0,101

0,258

0,320

0,322

0,411

0,546

0,806

1,637

2,347

3,009

4,173

5,935

7,908

11,698

17,178

24,019

T2

0,106

0,325

0,511

0,639

0,863

1,132

1,601

2,228

3,007

4,271

6,160

8,341

11,747

14,682

22,139

31,348


4.2 Зависимость времени генерации от количества источников

N

0

1

2

3

4

5

6

7

8

9

10

T

0,34

1,25

2,23

3,13

4,07

4,72

5,51

6,34

7,29

8,86


4.3 Анализ результатов исследований

Рис. 11

Из первого исследования видно, что время генерации сильно вырастает с количеством уровней рекурсии. Это хорошо соответствует теории, т.к. количество лучей растет с увеличением глубины рекурсии.

Надо заметить, что для сцен с маленьким количеством полигонов нет необходимости задавать большие значения максимальной глубины рекурсии, т.к. разница в качестве сгенерированного изображения будет несущественна.

Во втором исследовании показано, что зависимость времени генерации от количества источников света линейна. Из полученных значений можно вычислить время, необходимое для расчета одного источника. На машине, на которой проводились исследования, при глубине рекурсии 5 это время примерно равно 0,5 секунды.

ЗАКЛЮЧЕНИЕ

В этой программе были продемонстрированы результаты роботы алгоритма генерации реалистичных изображений - обратной трассировки лучей.

Данная реализация демонстрирует возможности алгоритма строить изображения близкие к фотореалистичным. Трассировка является одним из самых совершенных алгоритмов генерации реалистичных изображений. Качество получаемого изображения несравнимо лучше, чем качество изображения, полученного с помощью таких алгоритмов, как Z-буфер. Однако требования к вычислительным мощностям, необходимым для генерации одного кадра изображения намного выше, чем в том же Z-буфере. На сегодняшний день в реальном времени алгоритм обратной трассировки лучей используют лишь в исследовательских целях на сверхмощных компьютерах, недоступных простому пользователю. Безусловно, есть энтузиасты, которые создают 3D игры и прочие графические приложения в реальном времени, в основе которых лежит алгоритм обратной трассировки лучей, но как правило они имеют крайне низкий показатель FPS, или в основе всех объектов на сцене лежит сфера - самая простая для трассировки лучей поверхность. Но для того, чтобы этот алгоритм стало выгодно использовать в массовых проектах, типа 3D игр, необходим заметный прорыв в области аппаратной части настольных компьютеров.

Даже на примере компьютерных игр можно легко проследить избыточность алгоритма обратной трассировки лучей. Ведь игрок, будучи увлеченным игровым процессом, навряд ли станет любоваться геометрически правильной отрисовкой теней и отражений игровых объектов. В этом плане приближенная рисовка с помощью полигонов сегодня значительно выигрывает, потому что не требует мощного компьютера, а результаты дает приближенные к реальности.

Также считается, что алгоритм трассировки лучей идеален для изображений искусственных объектов с геометрически простыми формами, например, автомобили, самолеты, здания и пр. Генерация таких объектов, как человеческое лицо, шерсть животных или лесной массив - это крайне трудная для алгоритма задача, которая повышает итак немалые требования к аппаратной части компьютера.

Однако уже сегодня можно увидеть исследования на тему реализации алгоритма обратной трассировки лучей в реальном времени. Как правило, в таких проектах в качестве сцены используют какой-либо автомобиль. Но уже достигнута абсолютная фотореалистичность изображения, и к тому, же на генерацию отдельного кадра уходит очень малое время. Конечно, эти проекты реализованы на сверхмощных компьютерах, но не за горами день, когда такие 3D приложения станут доступны и для рядового пользователя.

СПИСОК ЛИТЕРАТУРЫ

1.      Роджерс Д. Алгоритмические основы машинной графики: пер. с англ.- М.: Мир, 1989.- 512 с.

.        Порев В. Н. Компьютерная графика. - СПб.: БХВ-Петербург, 2002. - 432 с.

.        Никулин Е.А. Компьютерная геометрия и алгоритмы машинной графики. СПб.: БХВ-Петербург, 2003. - 560 с.

.        Эйнджел Э. Интерактивная компьютерная графика. - «Вильямс», 2001. - 592 с.: ил. - Парал. Тит. С англ.

.        Авдеева С.М., Куров А.В. Алгоритмы трехмерной машинной графики: Учебное пособие. - М.: Изд-во МГТУ им. Н.Э. Баумана, 1996. - 60 с.

Похожие работы на - Использование алгоритма обратной трассировки лучей при построении реалистичного изображения

 

Не нашли материал для своей работы?
Поможем написать уникальную работу
Без плагиата!
Без нейросетей!