Воспроизводительная способность популяций язя и леща в реке Нижний Иртыш Тобольско-Уватской зоны
Воспроизводительная способность
популяций язя и леща в реке Нижний Иртыш Тобольско-Уватской зоны
Третьякова Т.В.
Целью работы было
проведение наблюдений за воспроизводством и численностью язя в реке Н. Иртыш.
Материал собирался в 1997-2004 гг. в нерестовый период. Обработано 45
экземпляров язя и 25 экземпляров леща по методике А.Ф. Правдина [9]. Методом
наименьших квадратов [5] установлена корреляционная зависимость между основными
продуктивными показателями: индивидуальной абсолютной плодовитостью (ИАП) и
промысловой длиной; ИАП и общей массой тела; относительной плодовитости (ОП) и
промысловой длиной; ОП и общей массой.
При расчете
величины индивидуальной абсолютной и относительной плодовитости учитывалась
общая масса рыб с внутренностями.
Таблица 1
Даты подъема и
нереста язя в р.Н. Иртыш, по годам
|
Год
|
Начало нереста в реке Иртыш
|
Нерест на пойме и сорах
|
Дата ледохода
|
|
дата
|
t0 С воды
|
дата
|
t0 С воды
|
|
|
1997 1998 1999 2000 2001 2002 2004
|
6 - 7. 05 24 - 25.05 12 - 13. 05 9 - 10. 05 4 - 6.05 13 -14.05
8 -12.05
|
7, 1 - 7, 5 6, 5 - 7,2 5, 8 - 6, 0 6, 0 - 6, 5 5,7 - 6,2 7,0 -
9,0 6,0 - 6,5
|
9 - 10.05 28 - 30.05 14 - 17.05 15 - 20.05 10 - 12.05 15 - 17.05
14- 16.05
|
8, 1 - 8,5 8, 0 - 8,6 6, 2 - 7,7 8, 4 - 8,8 7,9 - 8,3 7,2- 8,8
7,1 -- 9,0
|
15.04 10.05 1.05 20.04 22.04 26.04 5.05
|
Методом наименьших
квадратов было определено уравнение регрессии
у = а + вх,
где у - абсолютная
плодовитость; х - длина и масса рыб; а и в - коэффициенты.
Высокой биопродуктивностью
отличаются реки с развитой поймой. Река Иртыш имеет обширную пойменную систему
в виде заливаемых весной таловых участков, низин, стариц, соров, больших и
малых притоков, озёр. Условия воспроизводства и нагула рыб Обь-Иртышского
бассейна зависят от водности года, длительности и высоты затопления пойменных
площадей. В маловодные года ихтиофауна становится более доступной для промысла,
уловы, как правило, увеличиваются.
Таблица 2
Репродуктивные показатели
одноразмерных самок язя перед нерестом (апрель - май)
|
Промысловая длина, см.
|
Количество экземпляров
|
Количество икры в 1 г.
|
Коэффициент зрелости, %
|
Абсолютная плодовитость, тыс. штук
|
Относительная плодовитость, штук в 1г / общая масса
|
|
30
|
2
|
575
|
15, 7
|
49, 3
|
81, 5
|
|
32
|
2
|
506
|
15, 5
|
57, 3
|
87, 7
|
|
33
|
2
|
577
|
13, 8
|
58, 7
|
79, 6
|
|
34
|
3
|
694
|
11, 4
|
87, 3
|
78, 9
|
|
35
|
4
|
672
|
12, 4
|
81, 5
|
97, 0
|
|
36
|
8
|
682
|
14, 1
|
94, 4
|
92, 5
|
|
37
|
7
|
14, 0
|
99, 2
|
86, 8
|
|
38
|
5
|
689
|
15, 3
|
113, 1
|
98, 2
|
|
39
|
6
|
672
|
13, 7
|
121, 2
|
97, 8
|
|
40
|
4
|
704
|
15, 0
|
144, 7
|
110, 3
|
|
43
|
2
|
621
|
15, 9
|
171, 2
|
112, 2
|
|
Среднее
|
|
641
|
14,3
|
97,9
|
84,8
|
язь лещ
плодовитость нерест
Первые научные разработки по
изучению ихтиофауны на Тоболько-Уватском участке р. Иртыша были проведены
учеными Томского Университета под руководством Б.Г. Иоганзен [2]. В разные годы
исследования осуществлялись ихтиологами М. И. Меньшиковым [6], Дрягиным [3] ,
Гундризером [1], Петкевичем [7], Петровой [8] и др. Они констатировали, что в
реке Нижний Иртыш водится 17 - 18 видов рыб, из которых наибольшее
распространение имеют язь, лещ, судак, щука, окунь, плотва, карась, осетр,
стерлядь, молодь нельмы, муксун. В 1996-2004гг. состояние популяций рыб на
участке реки в районе 716-306 км отслеживалось под наблюдением ихтиолога
Тобольской инспекции рыбоохраны Кугаевской Л.В [4].
Язь - наиболее
многочисленный представитель ихтиофауны р.Н. Иртыш. В апреле перед ледоходом
увеличивается активность язя, повышается его улов в ставных сетях и береговых
фитилях. После вскрытия рек, по мере подъема уровня воды, язь расходится по
протокам, ссорам, заливным озерам для нереста и нагула. В районе г. Тобольска
при подвижке льда язь поднимается из реки Н. Иртыш в р. Тобол, устья других
речек.
Температура воды на
мелководной пойме на 1,0 - 1,5° С выше, чем в реках Иртыш и Тобол. Поэтому
нерестующие особи язя вначале наблюдаются на пойме, несколько позднее - в сорах
и озёрах. В реках Иртыш и Тобол в уловах плавными сетями на магистрали в этот
период язь отсутствует, примерно, до середины июля.
Нерест язя
происходит при температуре воды 6,5 - 8,2°С. При устойчивом постоянном повышении
температуры продолжительность вымета икры составляет 3-5 дней. Сроки нереста
разные в зависимости от начала ледохода и наступления нужной температуры:
1997г. - 6-10 мая, в 1998г. - 24-30 мая, в 1999г. - 12-17 мая, в 2004г. - 8-12
мая (табл.1).
Для климатических
условий данной зоны характерно то, что в мае возможен возврат холодов. При
этом, нередко, отложенная ранее икра язя погибает, нерестовый период его
затягивается. Из последних лет наиболее благоприятные условия естественного
воспроизводства язя были в 1997, 2001 годах. Значительные вторичные похолодания
зафиксированы в 1998 и 2000,2002 годах, когда некоторые мелководные озёра (оз.
Пановское ) вновь покрылись льдом. В этом случае нерестовый период язя может
затягиваться до 10 дней.
Таблица 3
Средний вылов язя в р. Иртыш в
районе устья Тобола перед началом хода на нерест, в экз. на 1 став
|
Дата лова
|
Года
|
|
2003
|
2000
|
1999
|
1997
|
1996
|
|
25.03
|
6
|
2
|
2
|
3
|
4
|
|
30.03
|
3
|
3
|
4
|
4
|
5
|
|
05.04
|
7
|
2
|
3
|
6
|
5
|
|
10.04
|
8
|
2
|
4
|
5
|
|
15.04
|
4
|
3
|
4
|
11
|
9
|
|
20.04
|
7
|
3
|
5
|
13
|
12
|
|
22.04
|
|
2
|
|
|
18
|
|
24.04
|
|
3
|
|
|
32
|
|
26.04
|
|
|
|
|
23
|
|
29.04
|
|
|
|
|
21
|
|
Средний
|
6
|
3
|
4
|
8
|
13
|
Язь становиться
половозрелым в возрасте 4 - 6 лет. Впервые нерестующие особи язя встречаются
среди рыб промысловой длины 2 8-30см. На IV стадии зрелости перед
нерестом (апрель - май) количество икры в 1г составляет 506 - 704 штук, в
среднем - 641 шт. Коэффициент зрелости колеблется в пределах 11, 4- 15, 9%,
среднее значение - 14,3 %.(табл. 2).
Колебания ИАП
составляют 49,3 - 171,2 тыс. штук икринок. Коэффициент корреляции между ИАП и
промысловой длиной имеет значение 0,801, ИАП и массой тела - 0,827. На рисунках
1 и 2 указаны точки ИАП, соответствующие определенной промысловой длине и общей
массе. Функциональная зависимость ИАП язя от промысловой длины выражается
формулой у=10,486х - 281,43. Относительная плодовитость язя мало зависит от
размера рыб, коэффициент корреляции между ОП и промысловой длиной составляет
всего лишь 0,14, что отражает и соответствующий график (рис. 3). В таблице 2
приводятся средние показатели абсолютной и относительной плодовитости самок на
каждый сантиметр промысловой длины.
С момента освежения
воды в р. Иртыш в результате начала таяния льда и снега наблюдается
концентрация рыбы в устье Тобола и прилегающих к нему участков. Начинается
движение косяков рыб вдоль береговой линии, где они хорошо отлавливаются
фитилями.
Уловы язя ставными
сетями на р. Иртыш в районе устья Тобола (табл.3) в марте-апреле составляют в
среднем 4-12 экз. на 1 став (длина сетей 100 м, ячея 55-60 мм).
Таблица 4
Репродуктивные показатели самок леща
перед нерестом, р. Иртыш
|
Промысловая длина, см
|
Количество икры, г
|
Коэффициент зрелости, %
|
Абсолютная плодовитость, тыс. штук
|
Относительная плодовитость, штук / г общей массы
|
|
33
|
1370
|
5,9
|
72,6
|
84,0
|
|
34
|
1302
|
8,4
|
110,6
|
127,8
|
|
35
|
1256
|
6,7
|
101,7
|
140,8
|
|
36
|
2446
|
5,2
|
141,8
|
135,4
|
|
37
|
1482
|
9,5
|
217,8
|
164,7
|
|
38
|
1413
|
9,5
|
224,4
|
121,4
|
1535
|
11,0
|
263,3
|
174,3
|
|
40
|
1730
|
7,0
|
207,6
|
180,5
|
|
42
|
2830
|
6,1
|
319,7
|
223,5
|
|
46
|
1525
|
14,6
|
529,6
|
230,1
|
|
Среднее
|
1689
|
8,4
|
218,9
|
158,3
|
В 1996 г. при
позднем распалении льда перед ледоходом уловы язя на 1 став сетей достигали 8 -
32 экземпляров.
Нерестовое стадо
язя в р. Иртыш представлено особями в возрасте 3 х - 7 лет.
Наиболее многочисленные группы представлены, в основном, четырёх -
пятигодовиками. В 2003 году зафиксировано омоложение стада язя в сторону
трёхгодовиков (43%). Средняя масса рыб в нерестовом стаде по годам составляла
857 - 980, наибольшая - в 2001 году за счёт преобладания пятигодовиков (59,7%),
наименьшая - в 2003 году (табл.4).
В Уватском районе в
мае 2003 года была проверена река Боровая. Она сплошь была перегорожена
фитилями. Язь был особенно крупным. Средняя масса его выразилась вели чиной
1075 г. Преобладали пятигодовики (38,2%) и четырёхгодовики (23,6%). Средняя
промысловая длина составила 38,1 см .
Таблица 5
Средний вылов леща в р. Иртыш в
районе устья Тобола перед началом хода на нерест, в экз. на 1 став
|
Дата лова
|
2003 г.
|
2004 г.
|
1999 г.
|
1997 г.
|
1996 г.
|
|
25.03
|
2
|
1
|
3
|
3
|
2
|
|
30.03
|
3
|
2
|
1
|
4
|
11
|
|
5.04
|
1
|
1
|
2
|
5
|
5
|
|
10.04
|
1
|
2
|
2
|
6
|
8
|
|
15.04
|
-
|
1
|
3
|
11
|
28
|
|
20.04
|
2
|
1
|
5
|
10
|
|
22.04
|
3
|
2
|
9
|
8
|
4
|
|
24.04
|
|
|
|
|
8
|
|
26.04
|
|
|
|
|
10
|
|
Средний
|
2,0
|
1,4
|
3,5
|
6,7
|
11,1
|
В весенний период
наибольший урон популяции наносит местное население, которое всевозможными
способами и орудиями лова плотно перегораживают миграционные пути половозрелым
производителям, поднимающихся на нерест по речкам в сора и озёра.
Лещ. Экология его
размножения характеризуется более поздними сроками нереста по сравнению с язем.
Лещ начинает выметывать икру при температуре воды 13 - 15°С и его нерест
происходит позднее нереста язя, окуня, плотвы в конце мая - начале июня, когда
возврат холодов практически исключается. Нерестует он на пойме, разливах и
близлежащих к рекам Иртыш и Тобол старицах, сорах, не совершая продолжительных
миграций. Из реки в пойму лещ уходит в те же сроки, что и язь и через несколько
дней после ледохода в уловах плавных сетей на магистралях рек не встречается.
Таблица 6
Размерно-возрастной состав стада
леща, в р. Иртыш (устье р. Тобол) перед началом хода на нерест, по годам
(промысловая длина, см, масса, г)
В 1999 году в пойме
р. Миссия (р. Иртыш,537км.) лещ нерестовал с 30 мая по 5 июня при температуре
воды 14,4-16,5°С (при этом в Иртыше температура воды была 11,5-13,5°С). В
2000г. массовый нерест леща в пойме в районе г. Тобольска отмечен 25-28 мая при
температуре воды 13,6-15,8°С, в 2004г. - 23-25 мая при температуре воды 16-17 о
С.
По нашим материалам
наименьшая промысловая длина нерестующих особей леща была 33см., наибольшая -
46см., абсолютная плодовитость их составляла соответственно 72,6 и 529,6 тыс.
шт. икринок. Коэффициент корреляции между промысловой длиной и абсолютной
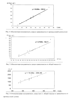
плодовитостью составил 0,986, между общей массой и ИАП - 0,943 (рис. 4 и 5).
Коэффициент зрелости у леща в апреле-мае составляет в среднем 8,4 %, при
индивидуальных колебаниях 5,9-14,6 %, что в 1,5-2,0 раза меньше, чем у язя.
Икра леща в 2,0-2,5 раза мельче, чем икра язя, что обуславливает его высокую
абсолютную и относительную плодовитость (табл.4). Количество икринок в 1г составляет
1256-2830 штук, в среднем 1689 икринок. У леща в отличие от многих других рыб
относительная плодовитость с ростом увеличивается (рис.6). Коэффициент
корреляции между промысловой длиной леща и относительной плодовитостью составил
0,923.
В отличие от язя, уловы леща в р.
Иртыш перед началом хода на нерест увеличиваются незначительно по сравнению с
зимним периодом. Большая часть леща концентрируется в прибрежной зоне, и
проходит в реку Тобол вдоль береговой линии.

Вылов леща в р. Иртыш в конце
марта-апреля в 2000-2003 гг. составлял в среднем 1,4-2,0 экз. на 1 став (длина
сетей 100 м, ячея 55-60 мм), в 1997-1986 гг. этот показатель был больше -
6,7-11,1 экз. на став (табл.5). Ближе к ледоходу вылов весенне нерестующих рыб
в р. Иртыш увеличивается в результате их концентрации в предрусловой зоне р.
Тобол. В нерестовом стаде леща присутствуют двух- шестигодовики (табл.6) с
преобладанием четырехгодовиков (29-45 %).
Средняя масса леща в нерестовом
стаде по годам выражается величинами 672-935 г. При увеличении количества
младших возрастных групп средняя масса леща снижается (1996,2003 гг.). В 2003
году в стаде леща обнаружилось большое количество (11%) неполовозрелых особей в
возрасте одного года, в другие года констатировалось их отсутствие. Пополнение
стада леща молодью - позитивный признак стабилизации его популяции в р. Иртыш.
Список литературы
1. Гундризер А.Н. Рыбы пойменных водоемов р.Оби // Природа поймы
р.Оби и ее хозяйственное освоение. -Томск : Изд-во Томск.
ун-та,1963.-Т.152.-С.126-147.
2. Иоганзен Б.Г. Стерлядь бассейна р.Оби (систематика,
распространение, биология и промысел)// Тр./ Томск. у
н-т.-1946.-Т.97,вып.10.-С.152-182.
3. Дрягин П.А. Промысловые рыбы Обь-Иртышского бассейна// Изв.
ВНИОРХ.-Л.,1948.-Т.25,вып.2.-С.93-104.
4. Кугаевская Л.В. Годовой отчет Тобольской межрайонной
инспекции рыбоохраны за 2003 год // Фонд НижнеОбьрыбвода.
5. Лакин Л.Г. Биометрия: Учебн. пособ.- М.: Высш.
школа,1990.-352 с..
6. Меньшиков М.И. К биологии промысловых рыб р.Иртыш и его
пойменных водоемов Уватского района // Изв. Перм.
ун-та.-1936а.-Т.10,вып.4-5.-С.192-193.
7. Петкевич А.Н. Биологические основы рационального рыбного
хозяйства в Обь-Иртышском бассейне // Проблемы рыбного хозяйства водоемов
Сибири.-Тюмень,1971.-С3-60.
. Петрова Н.А. Ихтиофауна р. Иртыш в пределах Омской
области // Вопр. Ихтиологии.-1987.-Т.27, вып.1.-С.24-29.
. Правдин И.Ф. Руководство по изучению рыб. - М.:
Пищепром,1996. - 376 с.