Принципы, методы и средства производственной безопасности
Министерство
образования Республики Беларусь
Учреждение
образования
БЕЛОРУССКИЙ
ГОСУДАРСТВЕННЫЙ УНИВЕРСИТЕТ
ИНФОРМАТИКИ
И РАДИОЭЛЕКТРОНИКИ
Факультет
заочного обучения
Кафедра
экологии
Контрольная
работа
по
дисциплине: «Охрана труда»
Минск 2013
Содержание
Принципы, методы и средства производственной безопасности
Экспертиза безопасности оборудования и технологических процессов
Гигиеническая оценка и нормирование ЭМП в диапазон ВЧ, УВЧ и СВЧ.
Способы и средства защиты
Задача 1
Задача 2
Задача 3
Список использованной литературы
Принципы, методы и средства
производственной безопасности
В структуре общей теория безопасности принципы и
методы играют эвристическую и методологическую роль и дают целостное
представление о связях в рассматриваемой области знания.
О значении принципов французский
философ-материалист К.А. Гельвеции (1715-1771) писал: «Знание некоторых
принципов легко возмещает незнание некоторых факторов» (Сочинение «Об уме»,
1758).
Принцип - это идея, мысль, основное положение.
Метод - это путь, способ достижения цели,
исходящий из знания наиболее общих закономерностей.
Принципы и методы обеспечения безопасности
откосятся к специальным в отличие от общих методов, присущих диалектике и
логике.
Методы и принципы определенным образом
взаимосвязаны.
Средства обеспечения безопасности в широком
смысле - это конструктивное, организационное, материальное воплощение,
конкретная реализация принципов и методов.
Принципы, методы, средства - логические этапы
обеспечения безопасности. Выбор их зависит от конкретных условий деятельности,
уровня безопасности, стоимости и других критериев.
Принципов обеспечения безопасности много. Их
можно классифицировать по нескольким признакам. По признаку реализации их
условно делят на 4 класса: ориентирующие, технические, управленческие,
организационные.
Некоторые принципы относятся к нескольким
классам одновременно. Принципы обеспечения безопасности образуют систему. В то
же время каждый принцип обладает относительной самостоятельностью.
Рассмотрим детальнее некоторые принципы.
Ориентирующие принципы
Ориентирующие принципы представляют собой
основополагающие идеи, определяющие направление поиска безопасных решений и
служащие методологической и информационной базой.
Принцип системности состоит в том, что любое
явление, действие, всякий объект рассматривается как элемент системы. Под
системой понимается совокупность элементов, взаимодействие между которыми
адекватно однозначному результату.
Такую систему называют определенной. Если же
совокупность элементов взаимодействует так, что возможны различные результаты,
то система называется неопределенной. Причем уровень неопределенности системы
тем выше, чем больше различных результатов может появиться. Неопределенность
порождается неполным учетом элементов и характером взаимодействия между ними.
Принцип системности заключается в том, чтобы
рассматривать явления с системных концепций в их взаимной связи и целостности.
Сам термин система (греч. systema - целое, составленное из частей, соединение)
обозначает связь, соединение, целое. Система обладает такими свойствами,
которых нет у составляющих ее элементов. Применительно к системе справедливо
утверждение, что целое больше суммы частей, которые его образуют. Это так
называемый эффект эмерджентности, в отличие от аддитивности суммы элементов, не
образующих систему.
Принцип системности ориентирует на учет всех
элементов, формирующих рассматриваемый результат, на полный учет обстоятельств
и факторов для обеспечения безопасности жизнедеятельности.
Принцип деструкции (от латинского destructio -
разрушение) заключается в том, что система, приводящая к опасному результату,
разрушается за счет исключения из нее одного или нескольких элементов. Принцип
деструкции органически связан с рассмотренным принципом системности и имеет столь
же универсальное значение.
При анализе безопасности сначала используют
принцип системности, а затем, учитывая принцип деструкции, разрабатывают
мероприятия, направленные на исключение некоторых элементов, что приводит к
желаемой цели.
Принцип снижения опасности заключается в
использовании решений, которые направлены на повышение безопасности, но не
обеспечивают достижения желаемого или требуемого по нормам уровня. Этот принцип
в известном смысле носит компромиссный характер
Принцип ликвидации опасности состоит в
устранении опасных и вредных факторов, что достигается изменением технологии,
заменой опасных веществ безопасными, применением более безопасного
оборудования, совершенствованием научной организации труда к другими
средствами. Этот принцип наиболее прогрессивен по своей сути и весьма многолик
по формам реализации. С поиска способов реализации именно этого принципа
следует начинать как теоретические, так и практические работы по повышению
уровня безопасности жизнедеятельности.
Технические принципы
Технические принципы направлены на
непосредственное предотвращение действия опасностей. Технические принципы
основаны на использовании физических законов.
Принцип защиты расстоянием заключается в
установлении такого расстояния между человеком и источником опасности, при
котором обеспечивается заданный уровень безопасности. Принцип основан на том,
что действие опасных и вредных факторов ослабевает по тому или иному закону или
полностью исчезает в зависимости от расстояния.
Принцип прочности состоит в том, что в целях
повышения уровня безопасности усиливают способность материалов, конструкций и
их элементов сопротивляться разрушениям и остаточным деформациям от
механических воздействий. Реализуется принцип прочности при помощи так
называемого коэффициента запаса прочности, который представляет собой отношение
опасной нагрузки, вызывающей недопустимые деформации или разрушения, к
допускаемой нагрузке. Величину коэффициента запаса прочности устанавливают
исходя из характера действующих усилий и напряжений (статический, ударный),
механических свойств материала, опыта работы аналогичных конструкций и других
факторов.
Принцип слабого звена состоит в применении в
целях безопасности ослабленных элементов конструкций или специальных устройств,
которые разрушаются или срабатывают при определенных предварительно
рассчитанных значениях факторов, обеспечивая сохранность производственных
объектов и безопасность персонала.
Принцип слабого звена используется в различных областях техники.
Принцип экранирования - состоит в том, что между
источником опасности, и человеком: устанавливается преграда, гарантирующая
защиту от опасности. При этом функция преграды состоит в том, чтобы
препятствовать прохождение опасных свойств в гомосферу. Применяются, как
правило, разнообразные по конструкции сплошные экраны.
Управленческие принципы
Управленческими называются принципы,
определяющие взаимосвязь и отношения между отдельными стадиями и этапами
процесса обеспечения безопасности.
Принцип плановости означает установление на
определенные периоды направлений и количественных показателей деятельности, В
соответствии с рассматриваемым принципом должны устанавливаться конкретные
количественные задания на различных иерархических уровнях на основе контрольных
цифр.
Планирование в области безопасности должно
ориентироваться на достижение конечных результатов, выраженных в показателях,
характеризующих непосредственно условия труда, Другие показатели являются
производными.
Принцип стимулирования означает учет количества
и качества затраченного труда и полученных результатов при распределении
материальных благ и моральном поощрении. Принцип стимулирования реализует такой
важный фактор, как личный интерес.
Принцип компенсации (от лат. compensatio -
возмещение) состоит в предоставлении различного рода льгот с целью
восстановления нарушенного равновесия психических и психофизиологических
процессов или предупреждения нежелательных изменений в состоянии здоровья.
Принцип эффективности состоит в сопоставлении
фактических результатов с плановыми и оценке достигнутых показателей по
критериям затрат и выгод.
Организационные принципы
К организационным относятся принципы,
реализующие в целях безопасности положения научной организации деятельности.
Принцип защиты временем предполагает сокращение
до безопасных значений длительности нахождения людей в условиях воздействия
опасности.
Принцип нормирования состоит в регламентации
условий, соблюдение которых обеспечивает заданный уровень безопасности.
Необходимость нормирования обусловливается тем, что достичь абсолютную
безопасность практически невозможно. Нормирование имеет важное методологическое
значение. Нормы являются исходными данными для расчета и организации
мероприятий по обеспечению безопасности. При нормировании учитываются
психофизические характеристики человека, а также технические и экономические
возможности.
Лимитирующим показателем при нормировании
вредных факторов является отсутствие патологических изменений в состоянии
здоровья.
Гомосфера - пространство (рабочая зона), где
находится человек в процессе рассматриваемой деятельности.
Ноксосфера - пространство, в котором постоянно
существуют или периодически возникают опасности. Совмещение гомосферы и
ноксосферы недопустимо с позиций безопасности. Обеспечение безопасности
достигается тремя основными методами:
Поэтому обеспечение безопасности деятельности
может быть достигнуто следующими тремя основными методами:
А - пространственное (или) временное разделение
гомосферы и ноксосферы; этот метод реализуется средствами дистанционного
управления, автоматизации, роботизации, организации и др.
Б - нормализация ноксосферы путем исключения
опасности; это совокупность мероприятий, защищающих человека от шума, газа,
пыли, опасности травмирования, и применения других средств коллективной защиты.
В - средства и приемы, направленные на адаптацию
человека к соответствующей среде и повышению его защищенности. Данный метод
реализует возможности профотбора, обучения, инструктажа, применения
индивидуальных средств защиты.
В реальных условиях реализуется комбинация этих
названных методов.
Для обеспечения безопасности исходя из способов
защиты применяют средства коллективной защиты (СКЗ) и средства индивидуальной
защиты (СИЗ). Те и другие в зависимости от назначения делятся на классы. При
этом СКЗ классифицируются в зависимости от опасных и вредных факторов (средства
защиты от шума, вибрации, электростатических зарядов и т.д.), а СИЗ, в
основном-в зависимости от защищаемых органов (средства зашиты органов дыхания,
рук, головы, лица, глаз и т.д.).
По техническому исполнению СКЗ подразделяются на
следующие группы: ограждения, блокировочные, тормозные, предохранительные
устройства, световая и звуковая сигнализации, приборы безопасности, цвета
сигнальные, знаки безопасности, устройства автоматического контроля,
дистанционного управления, заземления и зануления, вентиляция, отопление,
освещение, изолирующие, герметизирующие средства и др.
К СИЗ относятся противогазы и респираторы,
маски, различные виды специальной одежды и обуви, рукавицы, перчатки, каски,
шлемы, противошумные шлемы, защитные очки, вкладыши, предохранительные пояса,
дерматологические средства и др. Эти средства создаются согласно действующим
нормам. Их следует рассматривать как вспомогательные и временные меры зашиты от
опасных и вредных факторов.
Экспертиза безопасности оборудования
и технологических процессов
Безопасность производственных процессов в
основном определяется безопасностью технологического оборудования, которое
должно обеспечивать безопасность работников при монтаже, вводе в эксплуатацию и
эксплуатации как в случае автономного использования, так и в составе
технологических комплексов при соблюдении требований, предусмотренных
эксплуатационной документацией. Все оборудование (машины, технические системы)
должны быть травмо-, пожаро-и взрывобезопасными, не являться источником
выделения паров, газов, пылей в количествах, превышающих установленные нормы, а
генерируемые им вибрации, шумы, ультра- и инфразвук, электромагнитные
неионизирующие и ионизирующие излучения не должны превышать допустимые уровни.
Все технические устройства и системы должны
иметь органы управления и отображения информации, соответствующую
эргономическим требованиям, и быть расположены таким образом, чтобы пользование
ими не вызывало повышенной утомляемости, органы управления должны быть в зоне
досягаемости оператора, усилия, которые необходимо к ним прилагать, должны
соответствовать физическим возможностям человека, рукоятки, штурвалы, педали,
кнопки и тумблеры должны быть спрофилированы таким образом, чтобы были
максимально удобны в использовании. Число и различимость средств отображения
информации должны учитывать возможности оператора по ее восприятию и не
приводить к необходимости чрезмерной концентрации внимания.
Основными требованиями безопасности к
технологиям являются:
устранение непосредственного контакта работников
с исходными материалами, заготовками, полуфабрикатами, готовой продукцией и
отходами производства, оказывающими вредное воздействие;
замена технологических процессов и операций,
связанных с возникновением травмоопасных и вредных производственных факторов,
процессами и операциями, при которых указанные
факторы отсутствуют или имеют меньшую интенсивность;
комплексная механизация и автоматизация
производства, применение дистанционного управления процессами и операциями при
наличии травмоопасных и вредных производственных факторов;
герметизация оборудования и всего
технологического процесса;
использование системы контроля и управления
технологическим процессом, обеспечивающим защиту работников и аварийное
отключение технологического оборудования;
своевременное удаление и обезвреживание отходов
производства, являющихся источниками опасных и вредных производственных
факторов, обеспечение пожаро-взрывобезопасности.
Экспертиза безопасности оборудования и
техпроцессов должна производиться как на этапе проектирования, так и перед
производством и внедрением.
Экспертиза оборудования и техпроцессов, имеющих
аналоги, осуществляется на основании расчетной оценки полученных величин с
предельно допустимыми значениями. При создании опытных образцов определяется
фактическое значение этих факторов. В случае если эти значения превышают
допустимые величины, производится доработка оборудования за счет введения
соответствующих средств защиты или повышения их эффективности.
Гигиеническая оценка и нормирование
ЭМП в диапазон ВЧ, УВЧ и СВЧ. Способы и средства защиты
Целью гигиенического нормирования является
установление предельно допустимых уровней (ПДУ) воздействия на людей ЭМП с
учётом особенностей облучения и контингента лиц.
ПДУ ЭМП для рабочих мест установлены
постановлением Главного государственного санитарного врача Республики Беларусь
и постановлением Совета Министров Республики Беларусь.
ПДУ ЭМП - это уровень, при воздействии которого
на организм человека не возникают различного рода заболевания (в том числе
скрытые и временно компенсированные) и негативные изменения в состоянии
здоровья, обнаруживаемые в период облучения или в отдалённые периоды жизни
настоящего и последующих поколений. Требования указанных СанПиН
распространяются на работников, подвергающихся воздействию ослабленного
геомагнитного поля, электростатического поля, постоянного магнитного поля,
электромагнитного поля промышленной частоты (50 Гц), электромагнитных полей
диапазона радиочастот (10 кГц - 300 ГГц). ПДУ являются основой для сертификации
электро- и радиотехнических устройств. Они служат базой для разработки и
реализации всех защитных и предупредительных мероприятий, юридической основой
организации санитарного контроля.
Достоверная оценка опасности и вредности
электромагнитного поля на производстве или в жилой зоне позволяет определить
необходимость проведения профилактических мероприятий против их вредного
воздействия на организм людей и применения способов и средств защиты.
Рассчитанные значения нормируемых энергетических
характеристик поля допускается использовать для гигиенической оценки его на
планируемых производствах или объектах с источниками электромагнитных
излучений, то есть для прогнозирования электромагнитной обстановки в том или
ином производствен ном помещении.
В диапазоне частот 300 Гц - 30 кГц
устанавливаются фиксированные значения предельно допустимых уровней, равные их
электрической составляющей 1000 В/м (для условий шахт- 500 В/м), по магнитной
составляющей - 25 А/м.
Для персонала предельно допустимое значение Е и
Н в диапазоне частот 30 кГц - 300 МГц на рабочем месте следует определять
исходя из допустимой энергетической нагрузки и времени воздействия по формулам:
где T - время воздействия, ч;
-предельно
допустимое значение энергетической нагрузки в течение рабочего дня,
соответственно в (В/м)2·ч и (А/м)2·ч.
Предельно допустимые значения энергетической
нагрузки
|
Параметр
|
Предельные
значения в диапазоне частот, МГц
|
|
от
0,03 до 3,0
|
свыше
3 до 30
|
свыше
30 до 300
|
|
ЭН
ЕПД, (В/м)2·ч
|
20000
|
7000
|
800
|
|
ЭН
Н ПД, (А/м)2·ч
|
200
|
-
|
-
|
Для диапазона 30 кГц - 300 ГГц при воздействии
на персонал ЭМП от нескольких источников, работающих в частотных диапазонах,
для которых установлены единые предельно допустимые уровни, следует определять
суммарную энергетическую нагрузку при равных ПДУ по формуле:
При наличии источников, работающих в частотных
диапазонах, для которых установлены разные значения ПДУ, безопасность
воздействия ЭМП оценивается суммой отношений энергетических нагрузок,
создаваемых каждым источником и соответствующим предельно допустимым значениям
параметра:
При воздействии на персонал ЭМП с различными
нормируемыми параметрами безопасность воздействия оценивается по критерию:
Одновременное воздействие электрического и
магнитного полей в диапазоне от 0,03 до 3,0 МГц следует считать допустимыми при
условии:
Предельно допустимые значения ППЭ в диапазоне
частот 300 МГц -300 ГГц следует определять исходя из допустимой энергетической
нагрузки (
, равной 2 Вт·ч/м2
или 200 мкВт·ч/см2, и времени воздействия (T, ч) по формуле:
где К - коэффициент ослабления биологической
активности, равный 1 (единице) для всех случаев воздействия, исключая облучение
от вращающихся и сканирующих антенн, и 10 (десяти) - для случаев облучения от
вращающихся и сканирующих антенн с частотой вращения или сканирования не более
1 Гц и скважностью не менее 50.
Для жилой территории предельно допустимые уровни
(ПДУ) распространяются на диапазоне частот 30 кГц - 300 ГГц.
Обеспечение защиты персонала, профессионально не
связанного с эксплуатацией и обслуживанием источников ЭМП, осуществляется в
соответствии с требованиями гигиенических нормативов ЭМП, установленных для
населения.
Предельно допустимый уровень напряжённости
электростатического поля (ЭСП) при воздействии менее 1 часа за смену
устанавливается равным 60 кВ/м. При большей напряжённости работа без средств
защиты не допускается. Время пребывания в зоне воздействия ЭСП при
напряжённости менее 20 кВ/м не регламентируется. В диапазоне 20 - 60 кВ/м
допустимое время пребывания персонала в ЭСП без средств защиты определяется по
формуле указанных норм.
Для пользователей ПЭВМ допустимая напряжённость
ЭСП определяется согласно ГОСТ Р 50948-96 через электростатический потенциал
экрана дисплея, который не должен превышать 500 В. При этом на расстоянии 0,1м
от экрана регистрируется напряжённость ЭСП 5 кВ/м, а в месте нахождения
пользователя она значительно меньше.
Оценка и нормирование постоянных магнитных
полей(ПМП) осуществляются по уровню магнитного поля дифференцированно в
зависимости от времени его воздействия на работника за смену для условий общего
(на все тело) и локального (кисти рук, предплечье) воздействия. Уровень ПМП
оценивают в единицах напряженности магнитного поля (А/м) или в единицах
магнитной индукции (мТл). Например, при общем воздействии в течение 8 часов в
день уровень ПМП на рабочем месте не должна превышать 8 кА/м (10 мТл).
Нормирование ЭМП промышленной частоты 50 Гц
осуществляется раздельно по напряженности электрического поля (Е) в кВ/м,
напряженности магнитного поля (Н) в А/м или индукции магнитного поля (В) в
мкТл. Нормирование электромагнитных полей 50 Гц на рабочих местах персонала
дифференцированно в зависимости от времени пребывания в электромагнитном поле.
Время пребывания Т в электрическом поле (ЭП)
напряжённостью Е < 5 кВ/м допускается в течение всего рабочего дня, при
напряжённости 5...20 кВ/м T = 50/E - 2, ч; при 20...25 кВ/м Т10 мин. При
напряжённости более 25 кВ/м не допускается пребывание персонала в ЭП без
применения индивидуальных средств защиты.
Предельно допустимые уровни напряженности
периодического магнитного поля 50 Гц устанавливаются для условий общего (на все
тело) и локального (на конечности) воздействия. Например, при общем воздействии
в течение 8 часов в день уровень периодического магнитного поля 50 Гц на
рабочем месте не должен превышать 80 А/м или 100 мкТл.
Предельно допустимые уровни напряжённости ЭП
промышленной частоты в условиях населённых мест определяются «Санитарными
нормами и правилами защиты населения от воздействия электрического поля » №
2971-84: внутри жилых зданий 0,5 кВ/м; на территории жилой застройки 1 кВ/м; в
населённой местности, вне зоны жилой застройки, а также на территории огородов
и садов 5 кВ/м; в ненаселённой местности, хотя бы частично посещаемой людьми,
15 кВ/м.
Нормирование электромагнитных полей
радиочастотного диапазона (10 - 30 кГц) осуществляется раздельно по
напряженности электрического, (В/м), и магнитного, А/м, полей в зависимости от
времени воздействия. ПДУ напряженности электрического и магнитного поля при
воздействии в течение всей смены составляет 500 В/м и 50 А/м соответственно.
ПДУ напряженности электрического и магнитного полей при продолжительности
воздействия до 2-х часов за смену составляет 1000 В/м и 100 А/м соответственно.
Нормирование ЭМП диапазона частот 30 кГц - 300
ГГц осуществляется по величине энергетической экспозиции (ЭЭ) с учетом
напряженностей электрического и магнитного полей, плотности потока энергии и
времени воздействия за смену.
На территории жилой застройки, в местах отдыха,
на рабочих местах лиц до 18 лет и беременных женщин в диапазоне частот 0,03…300
МГц нормируют ПДУ напряжённости электрической составляющей поля ЕПД (табл.
4.5). В диапазоне 300 МГц…300 ГГц ППЭпд = 0,1 Вт/м2 (СанПиН 2.1.8/2.2.4.1383-03
«Гигиенические требования к размещению и эксплуатации передающих
радиотехнических объектов»).
При эксплуатации микроволновых печей должны
соблюдаться «Предельно допустимые уровни плотности потока энергии, создаваемой
микроволновыми печами» № 2666-83, составленные для диапазона частот от 300 МГц
до 37,5 ГГц. ПДУ не должен превышать значения ППЭ = 0,1 Вт/м2 на расстоянии 50
см от любой точки поверхности печи. Утечки ЭМИ происходят чаще всего из-за
неплотно закрывающейся дверцы, технологических недоработок и повреждений в
процессе эксплуатации.
При использовании систем сотовой радиосвязи
следует руководствоваться гигиеническими нормативами ГН 2.1.8/2.2.4.019-94. Для
профессиональных пользователей ППЭПД = ЭНППД/Т, где ЭНППД = = 2 Вт·ч/м2; Т -
время воздействия ЭМИ в течение рабочего дня. Максимально допустимое значение
ППЭ составляет 10 Вт/м2. Для непрофессиональных пользователей допустимое
значение ППЭ = 1 Вт/м2, так как время пользования сотовым телефоном обычно не
превосходит 1 часа в день. Для остальной части населения ППЭПД = 0,1 Вт/м2.
При работе с ПЭВМ предъявляют более жёсткие
требования к допустимым уровням ЭМП по сравнению с другими случаями, так как
возможно одновременное негативное влияние на пользователя многих факторов.
Наиболее интенсивные ЭМП генерируются энергонасыщенными устройствами - блоками
строчной и кадровой развёрток, импульсными источниками электропитания. С учётом
этого нормирование осуществляют в двух частотных диапазонах: 5 Гц…2 кГц и 2…400
кГц. Кроме того, на рабочем месте пользователя могут наблюдаться повышенные
уровни ЭМП частотой 50 Гц, что связано с недостатками в прокладке линий,
устройстве и размещении элементов сетевого электропитания. Основными
документами, регламентирующими уровни ЭМП, создаваемые ПЭВМ, являются СанПиН
2.2.2/2.4.1340-03 «Гигиенические требования к ПЭВМ и организации работы» и ГОСТ
Р 50948-96 «Средства отображения информации индивидуального пользования».
Согласно этим документам ПДУ напряжённости электрической составляющей ЭМП и
плотность магнитного потока на расстоянии 50 см от экрана дисплея (40 см от
центра клавиатуры портативного компьютера) не должны превышать соответственно
значений 25 В/м и 250 нТл в диапазоне частот 5 Гц…2 кГц; 2,5 В/м и 25 нТл в
диапазоне частот 2…400 кГц. Следует учитывать, что 250 нТл соответствует
напряжённости магнитной составляющей ЭМП в воздухе Н = 0,2 А/м. Методика
измерения параметров ЭМП приведена в ГОСТ Р 50949-96.
ПДУ ЭМП при работе с ПЭВМ для диапазона частот
400 кГц…300 МГц не должны превышать значений, указанных для населения в СанПиН
2.2.4/2.1.8.055-96, где предполагают, что выполняется соотношение Н = Е/RВ, где
RВ = 377 Ом - волновое сопротивление воздушной среды; Н, А/м и Е, В/м -
напряжённости магнитной и электрической составляющих поля.
Задача 1
Количество приточного воздуха, подаваемого для
ассимиляции избытков тепла в производственное помещение, составляет LПРИТ.
Определите соответствие фактического воздухообмена, необходимого для
производственного помещения при избыточных тепловыделениях QИЗБ и средней
температуре приточного воздуха tПРИТ = 14 ОС. Исходные данные для расчета
приведены в табл. 1.
оборудование безопасность экспертиза
воздухообмен
Таблица 1

Необходимый воздухообмен в помещении Lприт
оценивается выражением
где
-
теплоемкость воздуха, ккал/(кг град). Она составляет 0,24 (кг град);
- плотность
воздуха, равная 1,2 кг/ м3;
- температура
воздуха, удаляемого из помещения, ° С;
- температура
приточного воздуха, ° С.
Тогда
Исходя из полученных результатов, можно сделать
вывод, что количество приточного воздуха, подаваемого для ассимиляции избытков
тепла в производственное помещение, является достаточным.
Задача 2
Рассчитайте уровень звукового давления в
производственном помещении в зоне прямого звука, в котором установлено восемь
станков, пять из которых токарные однотипные. Октавный уровень звуковой
мощности этих станков на частоте 100 Гц равен L, дБ, у трех других станков он
равен 80 дБ. Другие данные приведены в табл. 2.
Таблица 2
Задача 3
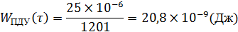
Определите предельно допустимый уровень (ПДУ)
лазерного излучения на рабочем месте при использовании в тех. процессе лазера,
генерирующего излучение с длиной волны, в импульсно-периодическом режиме с
частотой повторения импульсов f, если облучению подвергаются глаза и кожа
работающего в течение времени t:
Решение:
Согласно таблице 1 приложения 1 Санитарных норм
и правил 2.2.4.13-2 -2005 «Лазерное излучение и гигиенические требования при
эксплуатации лазерных изделий»:
- энергетическая
экспозиция излучения.
- освещенность.
- энергия
излучения.
- мощность
излучения.
Предельно допустимое среднее значение энергии
одного импульса из серии при этом равно:
где N - число импульсов в серии.
Тогда
Список использованной литературы
1.
Михнюк Т. Ф. Охрана труда: Учебник для студентов получающих высшее образование
по специальностям в области машиностроения, телекоммуникация, радиоэлектроники
и информатики. - Мн.: «ИВЦ Минфина», 2009.
.
Учеб. пособие к практическим занятиям по теме «Оценка акустического загрязнения
производственной и окружающей природной среды».
.
Санитарные нормы и правил 2.2.4.13-2 -2005 «Лазерное излучение и гигиенические
требования при эксплуатации лазерных изделий».