Организация пожарной безопасности в НУК 'Культурно развлекательный центр профсоюзов'
Содержание
Введение
1.
Система нормативно-технических документов для культурно развлекательных
учреждений
.
Характеристика НУК «Культурно развлекательный центр профсоюзов»
.1
Общие сведения
.2
Поэтажная характеристика НУК « Культурно развлекательный центр Профсоюзов»
3.
Расчет эвакуации
.1
Определение
расчетного времени эвакуации из помещения НУК «Культурно развлекательный центр
Профсоюзов»
.2
Определение
необходимого времени эвакуации
Заключение
Список
литературы
Приложения
Введение
Пожары наносят громадный материальный ущерб и в
ряде случаев сопровождаются гибелью людей. Поэтому защита от пожаров является
важнейшей обязанностью каждого члена общества и проводится в
общегосударственном масштабе.
Противопожарная защита имеет своей целью
изыскание наиболее эффективных, экономически целесообразных и технически
обоснованных способов и средств предупреждения пожаров и их ликвидации с
минимальным ущербом при наиболее рациональном использовании сил и технических
средств тушения.
Пожарная безопасность может быть обеспечена
мерами пожарной профилактики и активной пожарной защиты.
Обследование зданий является
основной составляющей пожарной профилактики и является обязательным этапом для
любого строительного
<#"649572.files/image001.gif">
где l 1 - длина первого участка пути, м;1 , -
значение скорости движения людского потока по горизонтальному пути на первом
участке, определяется по табл. 2 в зависимости от плотности D , м/мин.
Плотность людского потока ( D 1 ) на первом
участке пути, м 2/м 2, вычисляют по формуле

взрослого в домашней одежде............................0,1
взрослого в зимней
одежде..................................0,125
подростка....................................................................0,071
, - ширина первого участка пути, м.
Скорость v 1 движения людского потока на участках
пути, следующих после первого, принимается по табл. 2 в зависимости от значения
интенсивности движения людского потока по каждому из этих участков пути,
которое вычисляют для всех участков пути, в том числе и для дверных проемов, по
формуле
,
где b i , b i -1 - ширина рассматриваемого i - г
o и предшествующего ему участка пути, м; q i , q i -1 - значения интенсивности
движения людского потока по рассматриваемому i -му и предшествующему участкам
пути, м/мин, значение интенсивности движения людского потока на первом участке
пути ( q = q i -1 ), определяемое по табл. 1 по значению D 1 установленному по
формуле. Все здание «Культурно развлекательного центра Профсоюзов» разделяем на
12 участков и вычисляем время эвакуации каждого участка:
) Четвертый этаж :
Участок № 1: Для определения времени движения
людей по первому участку ( с кабинета английского языка до выхода из здания), с
учетом габаритных размеров кабинета 5x7 м, определяется плотность движения
людского потока на первом участке по формуле:

По таблице 2. 3 приложения
скорость движения составляет 100 м/мин, интенсивность движения 1 м/мин, т.о.
время движения по первому участку:
Высота дверного проема принимается
равной нулю. Наибольшая возможная интенсивность движения в проеме в нормальных
условиях gmffic=19,6 м/мин,
интенсивность движения в проеме шириной 1,3 м рассчитывается по формуле:
qd = 2,5 +
3,75 • b=2,5 + 3,75
• 1,3 = 6,62 м/мин,
Время движения в проеме определяется
по формуле:
Так же вычисляем время эвакуации и
на других участках этого этажа.
Участок №2:
V2 = 100м/мин; l
= 30м;
Участок №3 (от лестницы четвертого этажа и до
выхода из здания) :
V3 = 47 м/мин; q3
= 14,1 м/мин;
) Третий этаж :
Участок № 4:
V4 = 60 м/мин; q4
= 12 м/мин;
Участок № 5:
V5 = 80 м/мин; q5
= 8 м/мин;
Участок № 6 (с лестнице третьего этажа до выхода
из здания):
V6
= 68
м/мин; l6
= 24
м;
) Второй этаж :
Участок № 7:
V7 = 80 м/мин; q7
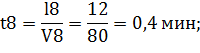
= 8 м/мин;

V8 = 80 м/мин; q8
= 8 м/мин;
Участок № 9 ( с лестнице второго этажа до выхода
из здания) :
V9
= 68
м/мин; l9
= 18
м;
) Первый этаж :
Участок № 10:
10 = 60 м/мин; q10
= 12 м/мин;
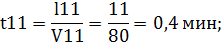
Участок № 11:
11 = 80 м/мин; q11
= 8 м/мин;
Участок № 12 (от лестницы первого этажа до
выхода из здания):
V12 = 60 м/мин; q12
= 12 м/мин;

3.2 Определение необходимого времени
эвакуации
Необходимое время эвакуации - время
с момента возникновения пожара, в течение которого люди должны эвакуироваться в
безопасную зону <#"649572.files/image031.gif">
Приложение 3
Приложение 4