Віднесення інформації до державної таємниці в Україні як складова системи охорони держаної таємниці
ЗМІСТ
Бібліографічний опис
Умовні позначення та скорочення
ВСТУП
РОЗДІЛ 1. Поняття та правові
ознаки державної таємниці
.1 Поняття державна таємниця
відповідно до законодавства України
.2 Правові ознаки державної
таємниці
Висновки до розділу
РОЗДІЛ 2. Суб’єкти та етапи
віднесення інформації до державної таємниці
.1 Суб’єкти,
що приймають участь у процесі віднесення, їх правовий статус
.2 Процедура віднесення, її
складові
2.3 Проблемні
аспекти віднесення інформації до державної таємниці
Висновки до розділу
РОЗДІЛ 3. Оцінка інформації на
предмет віднесення до державної таємниці
.1 Узагальнене формулювання
критерію визначення шкоди національній безпеці внаслідок розголошення секретної
інформації
3.2 Аналіз чинної методики
визначення можливої шкоди державі через розголошення інформації, що може бути
віднесена до секретної
.3 Метод аналізу та оцінки
величини можливої шкоди національній безпеці держави у сфері охорони державної
таємниці
Висновки до розділу
ВИСНОВКИ
СПИСОК ВИКОРИСТАНИХ ДЖЕРЕЛ
Додатки (таблиці)
Умовні
позначення та скорочення
ІзОД - інформація з обмеженим
доступом
КІ - конфіденційна інформація
ТІ - таємна інформація
СІ - службова інформація
ДТ - державна таємниця
СС - ступінь секретності
ЕШ - економічна шкода
СШ - сукупна шкода
ІТН - інші тяжки наслідки
ДС - допоміжні слова
ГС - гриф секретності
ССП - сукупна складова показників
Ш - шпигунство
СП - сукупність показників
СЧО - складова частина об’єкта
ОСП - окремі складові показники
ГОД - гриф обмеження доступу
ДСК - для службового користування
ОДТ - охорона державної таємниці
СОДТ - система охорони державної
таємниці
СбСОДТ - суб’єкти системи охорони
державної таємниці
ДЕзПТ - державний експерт з питань
таємниць
ВІдоДТ - віднесення інформації до
державної таємниці
ЗВДТ - Звід відомостей, що становить
державну таємницю
МНСІ - матеріальні носії секретної
інформації
МНСлІ - матеріальні носії службової
інформації
ВВСЧО - відносно вартісна складова
частини об’єкта
ВСТУП
державна таємниця національна безпека
Актуальність теми. Обрана мною тема
є досить актуальною, так як віднесення інформації - це як процес із
виокремленням конкретних послідовних етапів поряд із вимогою обов’язкового їх
дотримання дасть змогу забезпечити належне проходження інформації через нього,
тобто унеможливить будь-які затягування чи інші зловживання на шляху розгляду
інформації на предмет її належності до ДТ, а також убезпечить суспільство від
незаконного віднесення інформації , оскільки забезпечить прозорість у виділеної
етапної структурі віднесення, що на мою думку, і є явним недоліком подолання
якого дозволить зрозуміти , зокрема, хто і в яких межах є відповідальний за
кожну із ланок віднесення.
На сьогоднішній день в Україні
законодавчо переглянуті пріоритети соціальних цінностей всіх сфер нашого життя.
У законодавстві України існує заборона діянь, які призводять до витоку
секретної інформації, яка зумовлена загрозою національній безпеці.
І тому тут слід говорити про дуже
важливу процедуру як віднесення інформації до державної таємниці, яка в свою
чергу створює певну складову системи охорони державної таємниці.
Завдяки цій процедурі відбувається
певне розмежування між категоріями відомостей та відомостями які розглядаються
законодавством окремо, а також можна визначити ступінь завдання можливої шкоди
при розголошенні цих відомостей.
Питанню охорони державної таємниці в
Україні присвячено окремі публікації, монографії, матеріали науково-практичних
конференцій. Основні наукові дослідження проблеми, що розглядається, проведені
І.Касперським, В. Артемовим, М.С. Пастернаком, Дрейсом, Архіповим, Ворожком,
Муратовим, а також у працях інших науковців.
Мета і завдання дослідження. Метою
написання даної роботи є розкриття змістовної суті та загальних правил
віднесення інформації до ДТ як складової системи ОДТ.
Завданням моєї магістерської роботи
є:
проаналізувати поняття та
виділити суттєві правові ознаки державної таємниці;
охарактеризувати правовий
статус суб’єктів , що
приймають участь у процедурі віднесення.
розкрити загальний порядок
та етапи віднесення інформації до державної таємниці;
сформулювати критерій та
проаналізувати можливість завдання шкоди державі в наслідок розголошення
секретної інформації;
Об’єкт та предмет дослідження.
Об’єктом дослідження - правове
регулювання в сфері охорони державної таємниці в Україні.
Предмет дослідження - віднесення
інформації до ДТ, як складова системи ОДТ в Україні.
Методи дослідження. Методами
дослідження стали: аналіз, синтез, узагальнення. За допомогою цих методів було
проаналізовано:
нормативно-правові акти, що
регулюють питання охорони державної таємниці та процедури віднесення інформації
до ДТ;
систему охорони державної таємниці;
сформульовано загальний висновок по
даній роботі та висновки до кожного з розділу;
Структура роботи. Магістерська
робота складається зі умовних позначень та скорочень, вступу, трьох розділів та
восьми підрозділів, висновків до кожного розділу, загального висновку, списку
використаних джерел і додатків.
.1 Поняття держаної таємниці за
законодавством України
Закон України «Про інформацію» чітко
ділить інформацію на «відкриту» та «інформацію з обмеженим доступом».[27-28]
Відповідно до ст. 6 ЗУ «Про
доступ до публічної інформації» і ст. 21 ЗУ «Про інформацію» інформацією з
обмеженим доступом є конфіденційна <#"649452.files/image001.gif">
+
де 
- показник економічної шкоди (ЕШ),
який означає рівень зниження ефективностівикористання виділених коштів для
забезпечення діяльності об’єкта внаслідок розголошення відомостей про цей об’єкт;

- показник, який характеризує шкоду
державі від інших тяжких наслідків (ІТН), що не можуть бути обраховані в
економічному кількісному чивартісному виразі.
Показник 
визначає рівень ЕШ, яка зумовлена
повною або частковою втратою ефективності подальшого використання (створення)
об’єкта внаслідок розголошення відомостейпро цей об’єкт, тобто визначається за
формулою:

=
-
де 
- показник, який характеризує
ефективність використання виділених коштів для забезпечення діяльності об’єкта
за умов збереження інформації про нього у таємниці; 
- той самий показник після
розголошення цих даних.
Визначення показника ЕШ
проводиться у балах відповідно до встановленої додатком 1 “питомої ваги”
окремих важливих об’єктів, а вибір такого способу підрахунку було обрано з
метою уникнення впливу факторів, пов’язаних із зміною цінових показників. На
рисунку 1 показано фрагмент даного переліку “питомої ваги” об’єктів у сфері
оборони.[1]
Показник 
у визначається переліком ІТН для
інтересів держави від розголошення відомостей, який упорядкований за ступенем
їх тяжкості на п’ять категорій (від 10 до 200 балів). Увипадку, якщо сума
показників=
+
0, відомості вважаються такими, що
становлять ДТ, а їх СС визначається за критерієм:
1 ≤ W <10 →
“таємно (Т)”,
10 ≤ W< 100→ “цілком
таємно (ЦТ)”,
100 ≤ W→ “особливої
важливості (ОВ)”.
У ряді випадків можливо, що
шкода від розголошення відомостей, що становлять ДТ визначатиметься лише
показником ЕШ ( 
) або ІТН ( 
). Наведені об’єктів у сфері
оборони вище відомості в основному вичерпують зміст теоретичної частини , даючи
достатньо повну характеристику підходу, що застосовується до визначення СШ (W)
та класифікації відомостей, що становлять ДТ за СС, причому сам підхід
видається цілком прозорим і невикликає непорозумінь, але вони є.[4]
|
№ п-п
|
Сфера діяльності,об’єкти
|
Значення питомої ваги
|
|
1.1. 1.2. 1.3. 1.4. 1.5. 1.6. 1.7. 1.8.
1.9. 1.10
|
1. ОБОРОНА Вид Збройних Сил Округ Армія, рід
військ, Прикордонні війська Корпус, ескадра, Внутрішні війська МВС Дивізія
Полк, бригада, окрема військова частина Командні пункти: - виду Збройних Сил, округу - армії, флотилії, корпусу,
ескадри, Прикордонних військ, Національної гвардії, Цивільної оборони - дивізії, полку, бригади
Арсенали, бази, склади з озброєнням, військовою та спеціальною технікою,
ремонтні частини, підприємства Перспективніі зразки озброєння і військової
техніки: - стратегічне
озброєння - оперативно-тактичне
озброєння - озброєння,
військова техніка на якісно новому рівні - модернізоване озброєння, військова
техніка - засоби
військового зв’язку, радіоелектронної боротьби, вимірювальна та спеціальна
техніка Картографічна продукція
|
300 300 100 30 15 10 50-100 30-50 10
10-30 300 50 20-50 10-30 5-15 10-15
|
Аналіз праць свідчать про те, що є
недосконалими та потребують доопрацювання. Так у роботі автор відмічає, що за
десять років з часу затвердження “Методичних рекомендацій…” виникло ряд
критичних зауважень та побажань до їх змісту. Одне з них - можливість
науково-теоретичного обґрунтування їхположень.[16]
У праці, даючи загальну оцінку
наведеному у переліку ІТН, автор наголошує, що деталізація ІТН є надто
загальною і спрощеною, не зовсім вдало побудована ієрархія названих наслідків,
не враховано залежність наслідків витоку даних від особливостей сторони, яка їх
отримала, політичної і економічної ситуації в світі, відносин України з
зарубіжними державами тощо.
У роботах увага представлена до
послідовності проведення експертизи таметодики обрахунку кількісних показників
шкоди. Зокрема, щодо формули (2), яка невикористовується, а пропонується зовсім
інша схематика визначення показника ЕШ задодатком 5 у
фрагмент якого показано на рисунку 2 і виражено наступною формулою:

= Q
k
де Q - “питома вага” об’єкта,
відомості про який можуть бути віднесені до ДТ;- відносна вартість (від
вартості усього об’єкта) складової частини об’єкту (СЧО), на який безпосередньо
поширюватимуться прогнозовані дії сторони, яка заволоділа названими вище
відомостями;

- “рівень зниження ефективності
використання цієї СЧО” через розголошення відомостей про неї ( 0 
1 ). Визначення даних показників у
[5] ненаведено.
Автор роботи [16,20] також
маєпевні зауваження до формули (3),зокрема, щодо можливості виконання основних
функцій об’єкта черезчасткову ( 
1 ) або повну ( 
1 ) втрату ефективності
застосування СЧО, де наводяться можливі ситуації:
) коли функціональні
особливості об’єкта від витоку інформації пронього фактично не змінюються
(наприклад, засоби пасивної радіолокації), а ЕШ у цьому випадку може бути
завдана внаслідок розголошення технологічних відомостей, інженерно-технічних та
конструктивних особливостей об’єктатощо;
) коли внаслідок розголошення
інформації стане необхідною модифікація, доопрацювання або повна заміна СЧО, що
вимагає додаткових видатків, але гарантує повне відновлення функціональних
можливостей об’єкта.
Для виходу з цих ситуацій
автор пропонує повністю змінити критеріївизначення СС, або переосмислити
порядок обрахування наявних у ній змінних величин.
Мал.2. Фрагмент додатку
оцінки показників ЕШ
У запропонованій методиці
обрахунку показника СШ , який буде завдано внаслідок розголошення відомостей,
що становлять ДТ, є і інші недоліки. Так, наприклад у праці зазначено, що коли
показник рівня СШ менше одиниці ( W 
1 ), то прийняте рішення
провіднесення інформації до ДТ, стає суперечливим. За даних обставин, як одним
із способів удосконалення критеріїв визначення СС, пропонується віднести цю
інформації за своїм правовим режимом до “конфіденційної, що є власністю
держави” з наданням грифу обмеження доступу (ГОД) “для службового користування
(ДСК)”, де у результаті її розголошення ймовірне “настання негативних наслідків
у внутрішньополітичній, зовнішньополітичній, економічній, військовій,
соціальній, гуманітарній, науково-технологічній, екологічній, інформаційній
сферах та у сферах державної безпеки і безпеки державного кордону”, тобто
виникнення критерію визначення ГОД - “ДСК”: 0 
W 
1 →“ДСК”. Дана пропозиція
стає ще більш актуальною та слушною з прийняттям [1,12,16], де “конфіденційна,
що є власністю держави” замінюється на “службову інформацію” (СлІ) знаданням
ГОД “ДСК” для її матеріальних носіїв службової інформації (МНСлІ).
Проте, все це - лише частина
більш суттєвої та загальної проблеми порядку підрахунку змінних величин шкоди,
на жаль, не вирішеної “Методичними рекомендаціями…”. Наукові праці також
наводять лише спробу часткового вирішення цієї проблеми уякості наукового та
теоретичного обґрунтування, а саме визначення концептуальних підходіві головних
принципів побудови шкали втрат, обумовлених розголошенням ДТ у існуючихсферах
обробки ДТ. На даний час ще й досі не розроблено метод вимірювання (оцінки)
показників СШ. Таким чином, найпершим кроком у вирішенні проблеми визначення
можливої шкоди національній безпеці України у разі розголошення відомостей,
щостановлять ДТ або втрати МНСІ є розробка методу оцінки показників СШ ( W ). У
роботі наведено одну із вдалих на сьогодні спроб розрахунку показників СШ (W ),
хоча й для вирішення завдання оцінювання ефективності системи ОДТ (СОДТ).[8,23]
Головна практична користь
зосереджена за в сукупності своєрідних калібрувальних позначок шкали втрат
таких як: перелік “питомої ваги” об’єктів, що містять відомості, які віднесені
або можуть бути віднесені до ДТ (рис.1); перелік ІТН, обумовлених розголошенням
відомостей, що можуть становити ДТ. Які дозволяють на емпіричному
рівніреалізувати віднесення інформації до ДТ та її класифікацію за СС.
Існують два випадки можливого
розрахунку показників ЕШ ( Wек ):
) під часвіднесення відомостей
до ДТ (як прогнозоване значення потенційно можливої ЕШ длявизначення значення
СШ з метою встановлення СС);
) після настання подій
відносно відомостей, щостановлятьДТ(якреально завданого значення ЕШ, наприклад,
уразі розголошення ДТ чи втрата МНСІ). З [5] відомо, що у випадку 1)розрахунок
значення показника W1проводиться без урахування витратна організацію та
здійсненнярежимно-секретноїдіяльності, пов’язаної з ОДТ, тобто коли показники
ЕШ приймають значення 
= 1 , а 
= 0 . Тоді, за виразом(2) значення
ЕШ буде Wек W1 ірозраховується за формулою (3), арозрахунок показників
СШ (W )приймає вигляд (1), який повністю відповідає схематиці показаній
нарисунку 3 як:
W = Q 
k 
+ Wін
. (4)
Мал.3. Фрагмент додатку
оцінки показників СШ
Але у випадку 1) залишається
й досівідкритим питання щодо отримання показників k та 
, які визначаються на розсуд ДЕзПТ
(рис. 3). При цьому отримане значення можливої СШ може мати певний
суб’єктивізм, що вимагає введення додаткових (корегуючих) показників
(наприклад, коефіцієнт відхилення (варіації), коефіцієнт компетенції експертів,
коефіцієнт розбіжності думок тощо), застосування яких можливе лише для членів
експертної комісії (ЕК) , але не для ДЕзПТ.[1,4]
Пропонується застосування
розробленого методу оцінки величини можливої шкоди національній безпеці держави
у сфері ОДТ й дослідити показники, які ідентифікують і характеризують випадок
2) для можливого розрахунку основних показників СШ (W ) як ЕШ ( 
) та ІТН ( 
).
Крок 1 (Ідентифікація події
та атак). За нормативно-правовими документами організація режиму секретності
(РС) і стану забезпечення ОДТ відбувається на основі організаційно-правових,
технічних, криптографічних та оперативно-розшукових заходів захисту, які
направлені на запобігання реалізації основних загроз (Т) (від англ. threat)
порушення властивостей захищеності відомостей, що становлять ДТ, а саме при
j=3:

= “конфіденційності”; 
= “цілісності”; 
= “доступності”. Множина загроз Т
приймаєвигляд: Т =
, j =
У [1,4] наведений приклад
аналізу ефективності СОДТ, зокрема перелік подій-загрозТ, пов’язаних з описом
певних способів реалізації загроз спільно з характеристиками ймовірних
наслідків кожної з реалізацій. Так як кожна подія-загроза 
реалізується задопомогою атак (А)
(від англ. attack), що призводять до появи наслідків (інцидентів,порушень,
подій тощо), то до таких атак А 
при j=6 відносяться:

= “несанкціоноване отримання СІ
зацікавленими особами у результаті порушення правилсекретного діловодства і
порядку допуску та доступу до МНСІ” (НСД);

= “отримання СІ іноземними
спецслужбами у результаті агентурного проникнення (шпигунство)” (Ш);

= “розголошення відомостей, що
становлять ДТ” (Р);

= “втрата МНСІ” (В);

= “перехоплення СІ, яка передається
за допомогою засобів телекомунікації (інформаційно-телекомунікаційних систем
(ІТС), автоматизованих систем (АС) тощо), а також черезтехнічні канали витоку
інформації, в тому числі канали побічного електромагнітного випромінювання і
наводок (ПЕМВН), зокрема в мережах електроживлення технічних засобівобробки і
збереження інформації” (П); а6 = “знищення або модифікація СІ деструктивними
силовими впливами” (С). Узагальнено множина можливих атак А приймає
наступнийвигляд: A=
, j =
Внаслідок реалізації атак А у
сфері ОДТ виникають порушення або події (Е) (від англevents), які
ідентифікуються за [15] при j=2 як: 
=“Розголошення (Р)”; 
=“Втрата (В)”.
Множина можливих подій 
до інформаційних ресурсів (ІР)
держави у сфері ОДТ за [15]наступна Е =
.
У якості засобу для
практичної ідентифікації подій 
використаємо [15], а саме
зразокрозділу 6 “Відомостей про виявлені факти втрати МНСІ або розголошення
відомостей, щостановлять ДТ”, які на рисунку 4 у колонці 3 кваліфікуються як
порушення. Відповідно доп.2.6 [15] відомості надаються лише за ті СРСД, в яких
мали місце 
або 
.
Крок 2 (Ідентифікація
відомостей, що становлять ДТ). У колонці 6 розділу 6 [15]конкретизуються (або
ідентифікуються) відомості хi, що становлять ДТ у вигляді номерастатті ЗВДТ та
їх СС щодо яких відбулися події 
чи 
(наприклад, 1.11.5 / Таємно
(рис.4))як 
, де PV - короткий зміст цих
відомостей, N - сфера ДТ, що виражена у виглядісимвольної змінної як N 
(v - кількість ідентифікаторів
сфер), при v=4 наступні[1]: 
=“оборони”; 
=“економіки, науки і техніки”; 
=“зовнішніх відносин”; 
=“ державноїбезпеки і охорони
правопорядку”, а i.j - ідентифікатори статті ЗВДТ [37] за сферою 
.
Крок 3 (Розрахунок
коефіцієнта важливості за СС відомостей). На основі методики оцінювання стану
ОДТ на окремому об’єкті інформаційної діяльності [14]проведемо розрахунок
коефіцієнта важливості β =
,і =
, відомостей 
:

/ W(X) = w(
) / 
(
),i = 
(5)
деw( 
) - “питомавага” відомостей
, щостановлятьДТусферіN; W ( Х
) - “питомавага” перелікуусіхвідомостей
X = 
, що становлять ДТ і циркулюютьу
СРСД.
Розрахунок w( 
) проводиться за критерієм
визначення СС відомостей, тобто знаходження значення СШ (W ) від її
розголошення у відповідних інтервалах їх бальних оцінок внаслідок механічної
заміни СС статті ЗВДТ ( 
) на середні значення інтервалу:

.
Середнє значення СС (
) відомостей 
є величиною попередженої можливої
шкоди державі у разі реалізації атак А певних загроз Т, що приведе до появи
подій 
.
Такий компонент w( 
) відображається чисельно або через
ЛІНГВІСТИЧНУ ЗМІННУ (ЛЗ) - “ступінь секретності (СС)”:
F= 
=(
<
<…<
), наприклад, при 
=3 - 
{“Т”,“ЦТ”, “ОВ”}, де за [5,14,20]
для “Т”, 
, 
= 5 ; для “ЦТ”, 10 
100, 
= 55 ; для “ОВ”, 100 
300, 
= 200 .
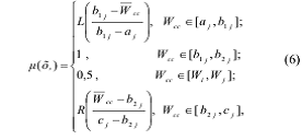
На рис. 5. зображено
трапецевидну функцію належності (ФН) 
ЛЗ “СС”, яка розраховується за
наступним виразом (6), де 
<

<
, при j =
, {
, 
}={
}, а L(
), R(
) - функції, які задовольняють
властивостям: L(-
) = L(
), R(-
)= R(
), L(0) = R(0) = 1.
Мал. 4. Зразок
звіту
про стан забезпечення ОДТ
Для компактного опису
трапециевидних ФН 
(
) вдало застосовують трапециевидні
нечіткі числа виду 
= 
, де 
і 
- абсциси нижньої основи, а 
і 
- абсциси верхньої основи трапеції
(рис. 5). Значення ФН μ(
) показує впевненості ДЕзПТ ([
,
] - max, [
] і [
, 
] - min, [
,
] - normative) у встановленні СС
відомостям, що становлять ДТ.
Крок 4 (Розрахунок
коефіцієнта захищеності відомостей). Коефіцієнт захищеності відомостей залежить
від ефективності усунення (нейтралізації) атак 
за допомогою типових завдань 
та коефіцієнту важливості
відомостей. Для цього проведемо:
розрахунок коефіцієнтів
захищеності 
, 
, відомостей 
до атак
:
де 
- кількість можливих атак у множині
А. Коефіцієнт 
характеризує захищеність відомостей

, що циркулюють на окремому СРСД як
відношення коефіцієнта їх важливості 
до кількості можливих щодо них атак
аj певних існуючий загроз Т.
розрахунок узагальнюючого
коефіцієнту захищеності 
відомостей 
:

= 
(8)
де 
- вектор-рядок значень коефіцієнтів
захищеності СІ у сфері N від атак (загроз); Р - вектор-рядок значень показників
ефективності усунення (нейтралізації) можливих атак 
, 
- символ операції транспонування.
Для окремого СРСД коефіцієнт
захищеності 
характеризує рівень збереження
властивостей захищеності відомостей 
як ефективність (результативність)
виконання типових завдань (S), що складаються із сукупності заходів (способів)
нейтралізації визначеного переліку загроз Т. Параметр S можна виразити у
вигляді символьної змінної 
(g - кількість ідентифікаторів
завдань), що також приймає одне із можливих значень кінцевої множини
ідентифікаторів. Кількість ідентифікаторів завдань визначаються за кількістю
потенційних атак 
і при g=6 можуть бути
ідентифіковані як:

=“Унеможливлення НСД”;

=“Попередження Р”;

=“Запобігання В”;

=“Виявлення Ш”;

=“Усунення П”;

=“ Недопущення С”:
Завдання 
впорядковуються за місцем i часом
їх вирішення і формулюються з таких позицій: захід (спосіб) (M) (від англ.
measures) ОДТ попередження можливих атак (наприклад, обмеження допуску до ДТ,
регламентування порядку робіт з ДТ, проведення технічних заходів захисту СІ і
таке інше); атака 
, що підлягає усуненню (нейтралізації);
період часу на усунення (нейтралізації) загрози захищеності СІ.[1,12]
Кожне g-е завдання S має
певну М множину заходів ОДТ 
з усунення (нейтралізації) загроз 
захищеності окремих відомостей 
, що становлять ДТ.
Множина заходів (способів) 
l = 1,і, кожного завдання 
повинна бути достатньою для захисту
кожного елементу відомостей 
від кожної атаки 
, але, за можливістю, мінімальною
[14]:

={
,
,
,
,
,
,
,
,
,
,
,
,
,
};

={
,
,
,
,
,
,
,
,
,
,
,
};

={
,
,
,
,
,
,
,
,
,
,
,
,
};

={
,
,
,
,
,
,
,
,
,
};

={
,
,
,
,
,
,
,
,
,
,
,
,
,
};

={
,
,
,
,
,
,
,
,
,
,
,
,
,
,
,
}.
Тобто, їх перелік обирається
за показниками ефективності (Р) забезпечення виконання g-ro завдання з усунення
атак 
, який розраховується як: 
У [1]
наведено узагальнений перелік заходів (способів) ОДТ 
та розраховані значення показників
їх ефективності Р за відповідними формулами. У загальному випадку усунення
реалізації атак 
існуючих загроз Т забезпечується за
умови виконання декількох завдань S захисту відомостей, що становлять ДТ. Нехай
сукупність заходів 
з нейтралізації певних атак 
деякої загрози 
може виконуватись одночасно.
Визначимо ці заходи як 
,...
, а ймовірність усунення кожним із
них атаки аj через P(
/
),...,P(
/
). Ймовірність того, що атака 
не буде нейтралізована окремо
кожним з цих заходів обчислюється за виразом 
(
/ 
) = 1
P(
/ 
) . Ймовірність того, що атака аj
існуватиме, незважаючи на виконання усієї сукупності заходів М, тобто як
загрози після введення системи заходів із захисту інформації, визначається як 
= 
.
Цей перелік можна розглядати
як сукупність сценаріїв типових інцидентів з відповідними можливими наслідками.
Однак слід мати на увазі, що
ці сценарії можуть мати місце як поодинці, так і у певних сполученнях, що
знайшло своє відображення у таблиці 1. У повному обсязі множина структур подій 
та вирази для
обчислення ймовірностей їх настання P(
) відносно реалізації комбінацій (d)
можливих сценаріїв атак А наведено у табл. 1.
Загальна кількість елементів
множини можливих атак {
} визначається формулою:

де 
- число сполучень з j елементів по
d, зокрема для j = 6 отримаємо m = 64.
Крок 5 (Розрахунок рівня
зниження ефективності СЧО). Виконання типових завдань 
є обов’язковим для кожного РСО
окремого СРСД і направлені на попередження прогнозованих дій (як атак) сторони,
яка заволоділа відомостями з метою повного забезпечення захищеності відомостей,
що становлять ДТ ( 
=1). У такому разірозраховується
коефіцієнт захищеності відомостей 
відносно можливих атак аj, який, у
випадку їх відсутності, рівний коефіцієнту ефективності СОДТ (
=
), тобто при відсутності подій 
і розраховується за формулою:

.
Крок 6 (Розрахунок відносної
вартості СЧО). Для даного розрахунку пропонується розглянути випадок, коли
безпосередньо поширюватимуться прогнозовані дії (атаки 
) сторони, яка заволоділа названими
вище відомостями. Відповідно до роботи розрахунок значення величини W2 у такому
випадку здійснюється, коли імовірність втрати цих відомостей приймається за
одиницю, але потрібно врахувати факт використання виділених коштів для
забезпечення діяльності об’єкта за умов збереження інформації про нього у
таємниці 
, тобто завжди має місце
фінансування заходів організації РС. Тоді 
має зміст 
= 
-k , коли вже відбулася подія 
у сфері ОДТ (наприклад, 
=“Р”; 
=“В”). Як наслідок зміст формули (1)
набуває наступний вигляд: W = 
- (
- k) + 
= k +
.[1,16,23]
У разі настання подій 
або 
коефіцієнт ефективності СОДТ за
наведеними у
значеннями
приймає своє значення у межах ( 0,37 
0,81), тобто має місце вираз:

, (9)
Таблиця 1
де 
приймає своє значення у межах, що
відповідає вимогам формули (3).
Для забезпечення повної
ефективності (
= 1,
= 0 ) використання об’єкта (
) відомостей, що становлять ДТ
використовується перелік ІР 
та значення його “питомої ваги”
W(Х), які циркулюють в РСО окремого СРСД і містять відомості про цей об’єкт.
При виникненні подій 
або 
значення “питомої ваги” даного
переліку W(Х) зменшиться на величину “питомої ваги” тих відомостей w(
) щодо яких відбулася подія 
, тобто відбудеться часткова (
1) втрата ефективності використання
об’єкта на величину його СЧО. Дану закономірність визначено формулою:

,
при повній захищеності
відомостей про об’єкт (
0 ):

,
при 
або 
, тобто частковій втраті відомостей 
1) про об’єкт:

,

= 1 - 
Практичним рішенням для
знаходженні показника k є розроблена “модель складної орієнтованої інформаційної
мережі ЗВДТ” [15], де в її основі лежить реалізація процедури прямого
експертного оцінювання для надання грифа секретності (ГС) МНСІ відповідно до СС
розміщеної на них інформації. ГС встановлюється шляхом виявлення та зіставлення
змісту цієї інформації зі змістом статей ЗВДТ та їх СС з урахуванням тих
статей, що вживають так звані “допоміжні слова” (ДС) (за окремими показниками,
за сукупністю всіх показників тощо). Аналогічно проводиться і визначення ГОД
“ДСК” для МНСлІ.
Наявність вживання у статтях
ДС пропонується використати у якості номінативної шкали відносної вартості СЧО
від вартості об’єкта у цілому ( Q ) як ЛІНГВІСТИЧНУ ЗМІННУ (ЛЗ) - “відносна
вартість СЧО (ВВСЧО)”, яка задається кортежем 
, де базові терм-множини задаються k
термами
(наприклад,
для k=5 - 
{“за окремими складовими показниками
(ОСП)”, “за сукупністю всіх складових показників (ССП)”, “за окремими
показниками (ОП)”, “за сукупністю всіх показників (СП)”, “об’єкт у цілому
(О)”}), які можуть бути відображені на універсальну множину 
. Для кожного з термів
,…, 
,…, 
, задається свій інтервал значень
Рис.6. Функція належності μ(
) ЛЗ “ВВСЧО”

та середні
інтервальні значення
,…,
,…,
. На рисунку 6 зображено
трапецевидну ФН μ(kk
) ЛЗ
“ВВСЧО” значення якої розраховується виразом (6), що вказує на впевненість
ДЕзПТ у тому на скільки можливо ідентифікувати об’єкт чи СЧО відомостей, що
становлять ДТ у ЗВДТ.
Крок 7 (Розрахунок показника
ІТН). За цим кроком якщо значення k відоме показник ЕШ на основі формули (10) 
, то за формулою (1) розраховується
показник ІТН, використовуючи ЛЗ “СС” за середнім інтервальним значення СШ як:, 
(11) або на основі формули (4) :
. (12)
Розрахувавши показник ІТН та
маючи перелік ІТН, можна визначити тяжкий наслідок для національної безпеки
держави у разі настання подій Еj (при j=2) щодо відомостей, що становлять ДТ у
сфері N.
Крок 8 (Розрахунок
коефіцієнта морального старіння відомостей). Строк дії рішення протягом якого
інформація є секретною (Tн ) встановлюється з урахуванням її СС, а саме для
“ОВ” - 30, “ЦТ” - 10, “Т” - 5 років. Після закінчення дії цього строку ДЕзПТ
приймає рішення щодо скасування раніше прийнятого рішення про віднесення цих
відомостей до ДТ або продовження строку його дії у визначених межах.
Пропонується, у випадку скасування рішення ДЕзПТ або на його розсуд, проводити
розрахунок коефіцієнта морального старіння відомостей, що становлять ДТ ( Kc ).
Для цього використаємо колонки 7-9 розділу 6 (рис.4) та за формулою у
розрахуємо наступним чином:

при 
, (13) , де 
- термін дії охоронного документа в
розрахунковому році t (наприклад, дата виявлення 
чи 
або дата інформування органу СБУ
(колонка 7, 8)); Tн - номінальний термін дії охоронного документа (дата
експертного висновку ДЕзПТ про СС відомостей (колонка 9)).
Крок 9 (Розрахунок показників
ЕШ). На даному кроці проводиться аналіз розділу 2 з метою забезпечення повної
захищеності відомостей, що становлять ДТ для кожного СРСД передбачено
фінансування (витрати) W1 заходів (способів) А виконання типових завдань S. На
рисунку 7 зображений розділ 2 “Відомості про РСО, фінансування заходів на ОДТ”
[15], де обсяг витрат наведений у колонках 8-14 і у загальному може
розраховуватися як:

де 
- витрати на утримання штатних
працівників РСО; 
- витрати на розмір виплаченої
компенсації громадянам у зв’язку з виконанням секретних робіт (без урахування
працівників РСО); 
- витрати на матеріально-технічне
забезпечення, а також на перевезення та пересилання МНСІ, їх фізичну охорону; 
- витрати на виплату грошових
надбавок ДЕзПТ та членам експертних комісій; 
- витрати на технічний захист СІ; 
- витрати на криптографічний захист
СІ.
Аналізуючи формули (1-14),
для розрахунку вартісної величини показників ЕШ

, при умові 
1

. (16)
Загальна вартісна оцінка
величини ЕШ 
та ІТН
визначається як:

, (17)

Крок 10 (Розрахунок величини
СШ). На цьому останньому кроці проводиться остаточний розрахунок величини СШ у
разі настання подій Е у сфері ОДТ для окремого СРСД, яка складається із суми
загальної вартісної величини ЕШ та ІТН з урахуванням можливого до цих
відомостей, за рішенням ДЕзПТ, існування закону старіння інформації.
Такий розрахунок виражається
наступною узагальненою формулою:

, (19)
де 
- початковий рік розрахункового
періоду; 
- кінцевий рік розрахункового
періоду.[1,12,15,23]
Висновки до розділу 3: отже, найпершим
кроком у проблемі визначення рівня шкоди, якої може бути завдано національній
безпеці України у разі розголошення секретної інформації, має бути розробка
теоретико-методологічних засад вимірювання сукупної шкоди W.Отримане
кінцеве значення показника СШ показує вартісну (грошову) величину можливої
шкоди національній безпеці держави у разі настання існуючих подій Е у сфері
ОДТ.
Висновки
Отож, законодавство України дає
чітке визначення поняття «державна таємниця». Державна таємниця - вид таємної
інформації, що охоплює відомості у сфері оборони, економіки, науки і техніки,
зовнішніх відносин, державної безпеки та охорони правопорядку, розголошення
яких може завдати шкоди національній безпеці України та які визнані у порядку,
встановленому Законом, державною таємницею і підлягають охороні державою.
Отже, слід виокремити та дослідити
ознаки, які характеризують це поняття:
. Ознака полягає у тому, що
державна таємниця є видом таємної інформації, правове регулювання якої
здійснюється відповідним законом;
. Ознака полягає в тому, що
розголошення державної таємниці може завдати шкоди національній безпеці
України;
. Ознакою державної таємниці
є те, що її охорона здійснюється державою.
З вище сказаного можна зробити
висновок, що в Законі України «Про державну таємницю» йде чітке визначення «віднесення
інформації до ДТ»,а саме, що це процедура прийняття (державним експертом з
питань таємниць) рішення про віднесення категорії відомостей або окремих
відомостей до державної таємниці з установленням ступеня їх секретності шляхом
обгрунтування та визначення можливої шкоди національній безпеці України у разі
розголошення цих відомостей, включенням цієї інформації до Зводу відомостей, що
становлять державну таємницю, та з опублікуванням цього Зводу, змін до нього,а
також про суб’єкта який за законм має право відносити інформацію до ДТ.
Процедура віднесення складається із
низки послідовних та нормативно регламентованих дій суб’єктів
СОДТ. Це у свою чергу означає , що йому властиві ознаки правового процесу, що
має зовнішні юридичні наслідки. За його можливістю та дотриманням ведення за
ним контролю з боку громадкості він вимагає максимальної чіткості та якості для
усіх належних суб’єктів. Одним із кроків на шляху до цього є поділ процесу
віднесення на складові - етапи(стадії). Із цього слідує , що є три стадії
віднесення інформації та десять етапів на кожному з яких суб’єкти виконують
свої повноваження.
Загальний порядок та етапи
віднесення інформації дають змогу зрозуміти як правильно відбувається сама
процедура віднесення і, які суб’єкти на якому із етапів провадять свою роботу.
Тому слід сказати, що ДЕзПТ - у
встановленому Законом порядку здійснює віднесення інформації до державної
таємниці у сфері оборони, економіки, науки і техніки, зовнішніх відносин,
державної безпеки та охорони правопорядку, зниження ступеня секретності цієї
інформації та її розсекречення.
Також було розкрито правовий статус
суб’єктів, які приймають участь у віднесені інформації до державної таємниці, а
саме: ДЕзПТ, експертних комісій, режимно-секретних органів, СБ України, а також
Міністерства Юстиції України та на яких стадіях і етапах вони приймають
безпосередню участь.
У вищезазначеному критерії
визначення можливої шкоди
національній безпеці внаслідок розголошення інформації, що охороняється
державою, безпосереднім об'єктом-організацією, з яким така шкода
пов'язується, є організація безпеки. У наведеному прикладі також
розглядається активність саме організації безпеки. Однак інша частина
організації (без урахування організації безпеки) виявляється також
втягнутою у процес забезпечення безпеки і "відчуває" наслідки
реалізації
загроз, що у свою чергу позначається на організації безпеки через зменшення
ресурсів, що спрямовуються на її забезпечення. Так при завданні шкоди нації, коли
організація безпеки своєчасно не виявила і не попередила небезпеку, вона також
зазнає шкоди. Тому доцільно під шкодою національній безпеці уявляти як шкоду
організації безпеки, так і шкоду іншій частині нації, яка (дуже рідко, але)
може бути завданою без очевидного нанесення шкоди організації безпеки. Однак об'єднувати
такі дві складові критерію визначення шкоди національній безпеці не варто, тому
що по-перше, дії щодо нейтралізації причин завдання шкоди у цих випадках
суттєво відрізняються одна від одної. Коли шкода завдається національній
безпеці, то її джерело (або засіб реалізації загрози), як правило, вже
знаходиться у "сфері обов'язків сил з безпекотворенням" і відповідає
парадигмі їх побудови.
Список використаних джерел
1. Архипов
О.С Застосування методології передбачення для оцінювання шкоди , заподіяної
витоком секретної інформації / Архипов О.С, Касперський І.П // Правове,
нормативне та метрологічне забезпечення системи захисту інформації в Україні.
К. - 2007 Вип.2 (15). - С.13-19
. Архипов
О.Є. Щодо методики реалізації процедури віднесення інформації до секретної /
О.Є.Архипов, В.П.Ворожко // Правове, норма- тивне та метрологічне забезпечення
системи захисту інформації в Україні. - 2008. - № 2 (17). - С. 11-16.
. Архипов
О. Є. Проблеми методики отримання та обробки оціночних суджень членів експертних
комісій, створених державними експертами з питань таємниць / О.Є. Архипов, І.П.
Касперський // Правова інформатика. - №4(12). - 2006. - С.80-87.
. Архипов
О.Є. Теоретико-методичні засади оцінювання шкоди, обумовленої розголошення
секретної інформації. / О.Є. Архипов // Правове, нормативне та метрологічне
забезпечення системи захисту інформації в Україні. - К. - 2008. Вип.2.
. Архипов
А.Е. О построении модели компетентности эксперта / С.А.
Архипова, А.Е. Архипов, С.А. Носок // Системні технології. Системи управління,
контролю та технології діагностики: Збір. Наук. Праць. - Вип. 8. -
Дніпропетровськ: «Системні технології», 2006.
6. Архипов
О.Є.,Бородавко І.Т.,Ворожко В.П. / Оцінювання ефективності системи охорони
державної таємниці: Монографія. - К.: Наук. - вид. відділ НА СБ України, 2007.
- 63 с.
7. Архипов
О. Є. Критерії визначення можливої шкоди національній безпеці України у разі
розголошення інформації, що охороняється державою: моногр. / О.Є. Архипов, О.Є.
Муратов. - К: Наук.-вид. відділ НА СБ України, 2011. - 195 с.
8. Архипов
О. Є. Системні аспекти оцінювання рівня важливості секретної інформації / О. Є.
Архипов, В. П. Ворожко // Правове, нормативне та метрологічне забезпечення
системи захисту інформації в Україні. -.№2 (15). - 2007. - С.10-12.
9. Архипов
О. Є. Проблеми методики отримання та обробки оціночних суджень членів
експертних комісій, створених державними експертами з питань таємниць / О.Є.
Архипов, І.П. Касперський // Правова інформатика. - №4(12). - 2006. - С.80-87.
10. Ботвінкін
О.В., Шлапаченко В.М., Ворожко В.П., Пашков А.С. Історія охорони державної
таємниці в Україні: Монографія. - К.: Наук.-вид. відділ НА СБ України, 2008. -
155с.
11. Державна таємниця в Україні - ширма для
злочинців? [Електронний ресурс] : (Еженедельник 2000 <#"649452.files/image204.gif">
Мал.2. Фрагмент додатку 5 [5] оцінки
показників ЕШ
Мал..3. Фрагмент додатку 6 [5]
оцінки показників СШ
Мал. 4. Зразок розділу 6 звіту про
стан забезпечення ОДТ
Таблиця 1.
Рис.6. Функція належності μ(
) ЛЗ “ВВСЧО”
|
№ п-п
|
Сфера діяльності,об’єкти
|
Значення питомої ваги
|
|
1
|
2
|
3
|
|
1.1. 1.2. 1.3. 1.4. 1.5. 1.6. 1.7. 1.8.
1.9. 1.10
|
2. ОБОРОНА Вид Збройних Сил Округ Армія, рід
військ, Прикордонні війська Корпус, ескадра, Внутрішні війська МВС Дивізія
Полк, бригада, окрема військова частина Командні пункти: - виду Збройних Сил, округу - армії, флотилії, корпусу,
ескадри, Прикордонних військ, Національної гвардії, Цивільної оборони - дивізії, полку, бригади
Арсенали, бази, склади з озброєнням, військовою та спеціальною технікою,
ремонтні частини, підприємства Перспективніі зразки озброєння і військової
техніки: - стратегічне
озброєння - оперативно-тактичне
озброєння - озброєння,
військова техніка на якісно новому рівні - модернізоване озброєння, військова
техніка - засоби
військового зв’язку, радіоелектронної боротьби, вимірювальна та спеціальна
техніка Картографічна продукція
|
300 300 100 30 15 10 50-100 30-50 10
10-30 300 50 20-50 10-30 5-15 10-15
|