Средства реализации межпредметных связей в процессе обучения

  • Вид работы:
    Курсовая работа (т)
  • Предмет:
    Педагогика
  • Язык:
    Русский
    ,
    Формат файла:
    MS Word
    68,2 Кб
  • Опубликовано:
    2013-11-16
Вы можете узнать стоимость помощи в написании студенческой работы.
Помощь в написании работы, которую точно примут!

Средства реализации межпредметных связей в процессе обучения

МОСКОВСКИЙ ПЕДАГОГИЧЕСКИЙ ГОСУДАРСТВЕННЫЙ УНИВЕРСИТЕТ

ХУДОЖЕСТВЕННО-ГРАФИЧЕСКИЙ ФАКУЛЬТЕТ

КАФЕДРА ПЕДАГОГИКИ









Курсовая работа

по педагогике

на тему: Средства реализации межпредметных связей в процессе обучения

Преподаватель Лаптева Л.П.

Выполнила Белозерова А.С.




МОСКВА 2012

План

Введение

.        Реализация межпредметных связей

.1 Межпредметные связи как педагогическая проблема

.2 Методические пути осуществления межпредметных связей

.3 Анализ опыта реализации межпредметных связей

Заключение

Ссылки

Список использованной литературы

Введение

В последние столетия в мире происходят частые и глубокие социальные, политические, технологические изменения, более всего развивается наука. В последние двадцать лет в жизни средней общеобразовательной школы произошли значительные перемены: утвержден базисный учебный план; разработаны государственные образовательные стандарты, новые концепции естественнонаучного образования; открылись новые типы учебных заведений (центр образования, гимназия-школа, лицей, колледж), вводятся различные интегративные курсы. Все эти перемены требуют новых подходов к развитию всей системы образования.

Актуальность межпредметных связей в школьном обучении очевидна. Она обусловлена современным уровнем развития науки, на котором ярко выражена интеграция общественных, естественнонаучных и технических знаний. На грани смежных научных областей образовались новые, синтезированные науки - биофизика, биохимия, физическая химия, медицинская радиология, бионика и др. Осуществление межпредметных связей в процессе обучения с помощью разнообразных методических приемов и средств значительно активизирует познавательную деятельность учащихся, вызывает познавательный интерес к мировоззренческим вопросам науки. Кроме того, межпредметные связи - это условие единства обучения и воспитания, средство комплексного подхода к предметной системе обучения. Эти связи играют важную роль в повышении практической и научно-теоретической подготовки учащихся, существенной особенностью которой является овладение школьниками обобщенным характером познавательной деятельности. Обобщенность же дает возможность применять знания и умения в конкретных ситуациях, при рассмотрении частных вопросов, как в учебной, так и во внеурочной деятельности, в будущей производственной, научной и общественной жизни выпускников средней школы. Проблема межпредметных связей интересовала педагогов еще в далеком прошлом. Ян Амос Коменский выступал за взаимосвязанное изучение грамматики и философии, философии и литературы(1), Джон Локк - истории и географии(2). В России значение межпредметных связей обосновывали В.Ф. Одоевский(3), К.Д. Ушинский(4) и другие педагоги. В советское время много внимания межпредметным связям уделяла Н.К. Крупская. Она пишет «Комплексность комплексности рознь. Есть комплексность, которая затемняет реальные связи и опосредствования, которая связывает воедино вещи, ничего общего между собой не имеющие и есть комплексность, способствующая пониманию существующих реальных связей между различными областями явлений и тем способствующая выработке цельного материалистического мировоззрения». (5)

Осуществление межпредметных связей на практике вызывает немало трудностей: как организовать познавательную деятельность учащихся, чтобы они хотели и умели устанавливать связи между различными учебными предметами как вызвать их познавательный интерес к мировоззренческим вопросам науки; каким образом соединить усилия учителей разных предметов в достижении воспитательного эффекта обучения?

Я сама не так давно окончила школу, помню как мои учителя реализовывали межпредметные связи и понимаю, как это важно для формирования общей системы знаний и для привлечения интереса учеников к школьным предметам.

В работе раскрывается современное понимание межпредметных связей как актуального средства комплексного подхода к обучению; показаны основные средства активизации познавательной деятельности учащихся, приведен анализ опыта реализации межпредметных связей педагогами-практиками.

Цель данной работы - изучить основные виды средств реализации межпредметных связей в процессе обучения.

Поставленная цель может быть достигнута путем реализации следующих задач:

) на основе изучения и анализа психолого-педагогической литературы осветить основные методы и приемы, связанные с нашей темой,

2) изучить виды средств реализации межпредметных связей,

) формулировка основных выводов.

Предметом исследования является взаимосвязь предметов в процессе школьного обучения.

Объект исследования - приемы и методы реализации межпредметных связей.

.        Реализация межпредметных связей

1.1 Межпредметные связи как педагогическая проблема

Сущность межпредметных связей

В педагогической литературе имеется очень много определений категории «межпредметные связи», существуют самые различные подходы к их педагогической оценке и различные классификации.

Одним из более полных определений является следующее, данное Г.Ф.Фёдорцом: «Межпредметные связи есть педагогическая категория для обозначения синтезирующих, интегративных отношений между объектами, явлениями и процессами реальной действительности, нашедших свое отражение в содержании, формах и методах учебно-воспитательного процесса и выполняющих образовательную, развивающую и воспитывающую функции в их ограниченном единстве».(6)

Классификация. Виды межпредметных связей.

Существуют различные классификации межпредметных связей. Первая классификация основывалась на временном критерии: предварительные, сопутствующие и последующие (перспективные) связи (Ю. Вайткявичус, Н.М. Верзилин, В.М. Корсунская и др.). Практическое осуществление таких связей способствует систематизации знаний, позволяет опираться на ранее пройденный материал по родственным предметам, выявлять перспективы в изучении знаний.

Опираясь на философское понимание структуры связи, Н.С. Антонов выделил в понятии межпредметные связи три признака (состав, способ, направленность) и реализующие их виды связей: по составу - объекты, факты, понятия, теории, методы; по способу - логические, методические приемы и формы учебного процесса, при помощи которых реализуются связи в содержании; по направленности - формирование общих умений и навыков. Скаткиным М.Н. представлены классификации связей по двум основаниям: знания и виды деятельности. Межпредметные связи в первом случае создают у учащихся систему обобщенных знаний, во втором - систему общепредметных умений в видах деятельности, общих для родственных предметов. Значительный интерес представляет вопрос о роли межпредметных связей в развитии качеств личности, формирующихся под влиянием систем различного вида знаний.

Очевидно, что классификация такого сложного системного объекта, каким выступают межпредметные связи, не может носить линейный характер. Не случайно исследователи отходят от выделения отдельных видов межпредметных связей и обращаются к более укрепленным единицам анализа - формы, типы, уровни.

Выстраивая модель классификации межпредметных связей необходимо опираться на три системных основания: информационная структура учебного предмета, морфологическая структура учебной деятельности, организационно - методические элементы процесса обучения. Рассмотрение межпредметных связей с позиций целостности процесса обучения показывает, что они функционируют на уровне трех взаимосвязанных типов: 1) содержательно-информационных, 2) операционно-деятельностных, 3) организационно-методических.

Содержательно - информационные межпредметные связи

Фактические связи. Межпредметные связи на уровне фактов - это установление родства изучаемых в разных учебных предметах фактов, подтверждающих и раскрывающих общие идеи и теории. Познавательная деятельность учащихся при фактических связях опирается на процессы запоминания и актуализации фактического материала. Уже на этом уровне происходит перенос и обобщение знаний, совершаются мыслительные процессы анализа и синтеза, формируются «комплексы фактов» как стадии в развитии общепредметных понятий. У учащихся формируются умения всестороннего анализа фактов, их сопоставления, обобщения, объяснения с позиций общенаучных идей, умение ввести факты из разных учебных предметов в общую систему знаний о мире. К примеру, в 10-11 классе органическую химию практически невозможно учить, не обращаясь к знаниям биологии, и наоборот, биологию нельзя учить без химии, ведь в нашем организме происходит множество химических процессов.

Понятийные связи. Понятие - это форма человеческого мышления, с помощью которого познаются общие, существенные признаки предметов. Вместе с тем понятия должны быть гибки, подвижны, релятивны, относительны. Межпредметные понятийные связи - это расширение и углубление признаков предметных понятий и формирование общих для родственных предметов понятий. Проблеме формирования понятий учащихся на основе межпредметных связей посвящены многие исследования (Ф.П. Соколова, А.В. Усова, В.Н. Федорова и др.). Авторы рассматривают усвоение отдельных естественнонаучных и гуманитарных понятий как частных случаев более общих понятий. Выявлена мировоззренческая значимость межпредметных, т.е. находящихся на стыке различных учебных предметов и наук, понятий (политико-экономических, экономико-географических, литературно - исторических и др.).

Связь предметов между собой помогает расширять и закреплять пройденный материал, например читая в 10 классе «Войну и мир» Л.Н. Толстого, ученики закрепляют знания о пройденном на уроке истории XIX веке в России.

Теоретические связи. Теория - это система научных знаний, в которой отражена взаимосвязь фактов, понятий, законов, постулатов, следствий, практических положений, относящихся к определенной предметной области.

Межпредметные теоретические связи в современных условиях обучения представляют собой поэлементное приращение новых компонентов общенаучных теорий из знаний, полученных на уроках по родственным предметам. Теоретические связи позволяют представить каждую теорию и закон как частные случаи более широких теорий и диалектических законов. Межпредметные философские связи - это обобщение конкретно-научных и философских представлений о мире. Усвоение философских знаний «в чистом виде» происходит при изучении учащимися курса обществоведения, который выполняет синтезирующую роль. Но каждый учебный предмет вносит свой вклад в формирование единой научно - философской картины мира. На основе общих положений материалистической философии выявляются сходные линии развития специальных знаний и складывается стройная система научно-философской картины мира. Формированию у учащихся научно-философского видения способствуют целенаправленно реализуемые межпредметные связи в различных областях: логических знаний, которые в виде элементов эмпирически усваиваются учащимися при изучении математики, физики и др.; семиотики, знания о которой учащиеся могут приобрести путем сравнения знаковых средств естественных языков и языков науки; истории науки, раскрывающей её социальные функции и смену стилей научного мышления. Эти знания открывают перед учащимися общие особенности научного мышления и способы философского осмысления мира.

Идеологические связи. Идеология - система взглядов и идей: политических, правовых, нравственных, эстетических, религиозных, философских. Идеологические межпредметные связи - это синтез идеологических знаний, включенных в содержание предметов разных циклов. Такие связи направлены на формирование ценностного отношения учащихся к миру. Разделение межпредметных связей на названные виды - научные (фактические, понятийные, теоретические), философские, идеологические - имеет относительный характер. Каждый последующий более высокий уровень (вид) связей является обобщением предшествующих, а каждый предшествующий служит опорой для конкретизации более высоких уровней межпредметных связей. Теоретические, философские, идеологические знания приобретают методологический характер в процессе познавательной деятельности учащихся, когда отношение этих знаний к познанию, методы, научные подходы становятся специальными объектами изучения. Условно можно выделить методологические знания, т.е. знания о способах познания, которые также вырабатываются на основе межпредметных связей (И.К. Журавлёв, Л.Я. Зорина).

Операционно-деятельностные межпредметные связи

Опора на методы науки способствует формированию у учащихся общепредметных умений практической деятельности. Идею связи теории и эксперимента следует проводить и доказывать постоянно. Это необходимо в целях формирования материалистических взглядов учащихся и практических умений экспериментирования. Особое значение операционно - деятельностные межпредметные связи имеют в учебных предметах, назначение которых состоит в приобщении учащихся к определенной деятельности (математика, черчение, русский, иностранные языки, ИЗО, пение, музыка, трудовое обучение). Так, речевая деятельность является естественной основой межпредметных связей русского языка с другими предметами, а развитие речи - это общая образовательная и воспитательная задача учителей, поскольку обучение на уроках по любому предмету происходит в процессе речевого общения учителя и учащихся. Развитие связной речи на межпредметном уровне опирается на лексические и лингвистические понятия, общие предписания и правила, применение которых в процессе усвоения научных понятий и терминов способствует овладению языком науки и обобщенными речевыми умениями научного стиля речи. В этих умениях выражена связь понятийного мышления и речевого развития ребенка. Практическая речевая деятельность неразделима с познавательными эффектами в обучении всем предметам. Одновременно достигаются воспитательные эффекты обучения. Так, овладение публицистическим стилем речи, использующим различные средства воздействия на чувства, мысли, поступки людей, сопряжено с выработкой личностно - оценочного отношения к обсуждаемым вопросам. Перспективные межпредметные связи на уроках математики выявляют возможные области применения функций, прямых и обратных пропорциональных зависимостей, их графиков, векторных величин и др. связи с математикой стимулируют развитие общепредметных умений расчетно-вычислительной, измерительной, изобразительно-графической деятельности, моделирования в обучении естественнонаучным предметам.

Межпредметные связи по видам деятельности так же, как межпредметные связи по видам знаний раскрывают перед учащимися диалектику общего, особенного и единичного в познании мира. Они всегда вносят мировоззренческую ориентацию в процесс обучения.

Межпредметные связи в школьном обучении являются конкретным выражением интеграционных процессов, происходящих сегодня в науке и в жизни общества. Эти связи играют важную роль в повышении практической и научно-теоретической подготовки учащихся. С помощью многосторонних межпредметных связей закладывается фундамент для комплексного видения, подхода и решения сложных проблем реальной действительности.

Функции межпредметных связей.

Методологическая функция выражена в том, что только на основе межпредметных связей возможно формирование у учащихся диалектико-материалистических взглядов на природу, современных представлений о ее целостности и развитии, поскольку межпредметные связи способствуют отражению в обучении методологии современного естествознания, которое развивается по линии интеграции идей и методов с позиций системного подхода к познанию природы.

Образовательная функция межпредметных связей состоит в том, что с их помощью учитель формирует такие качества знаний учащихся, как системность, глубина, осознанность, гибкость. Межпредметные связи выступают как средство развития понятий.

Развивающая функция межпредметных связей определяется их ролью в развитии системного и творческого мышления учащихся, в формировании их познавательной активности, самостоятельности и интереса к познанию природы. Межпредметные связи помогают преодолеть предметную инертность мышления и расширяют кругозор учащихся. Воспитывающая функция межпредметных связей выражена в их содействии всем направлениям воспитания школьников в обучении. Учитель, опираясь на связи с другими предметами, реализует комплексный подход к воспитанию.

Конструктивная функция межпредметных связей состоит в том, что с их помощью учитель совершенствует содержание учебного материала, методы и формы организации обучения. Реализация межпредметных связей требует совместного планирования учителями предметов естественнонаучного цикла комплексных форм учебной и внеклассной работы, которые предполагают знания ими учебников и программ смежных предметов.

Межпредметные связи в обучении рассматриваются как дидактический принцип и как условие, захватывая цели и задачи, содержание, методы, средства и формы обучения различным учебным предметам.

Межпредметные связи позволяют вычленить главные элементы содержания образования, предусмотреть развитие системообразующих идей, понятий, общенаучных приемов учебной деятельности, возможности комплексного применения знаний из различных предметов в трудовой деятельности учащихся.

Таким образом, межпредметность - это современный принцип обучения, который влияет на отбор и структуру учебного материала целого ряда предметов, усиливая системность знаний учащихся, активизирует методы обучения, ориентирует на применение комплексных форм организации обучения, обеспечивая единство учебно-воспитательного процесса (7).

Дидактические основы межпредметных связей в предметном обучении.

Исходные позиции в построении учебного предмета были выявлены в 40 - е годы. М.Н. Скаткин увидел роль межпредметных связей в обеспечении концентризма и системы знаний. Концентризм предполагает «более глубокое и всестороннее освещение фактов, опирающееся на знания, приобретаемые учащимися по данному и другим учебным предметам. Поэтому правильнее было бы сравнивать такое построение программ не с концентрическими кругами, лежащими в одной плоскости, а с движением вверх по спирали».(8)

Современная дидактика исходит из принципа целостного отражения науки в содержании обучения: как системы знаний, как деятельности, в единстве теории и метода, и как системы её отношений с другими формами общественного сознания и практики. Наука - это и результат познания, и деятельность по приобретению новых знаний.

Учебный предмет - это единство знаний, методов и отношений, формирующихся у учащихся в процессе изучения определенной науки, отрасли человеческой деятельности.

Рассмотрение учебного предмета на абстрактном уровне в виде обобщенной модели знаний, как бы «вынутым», изолированным от деятельности и процесса обучения, позволяет вычленить в нем состав знаний: об объекте, способах деятельности, о ценностях. Основанием данных видов знаний служат следующие функции информации (её виды) в процессе восприятия человеком (Г.С. Сухобская, Ю.А. Шерковин, В.Я. Ядов и др.):

)        эпистемическая, раскрывающая сущность объекта, научные знания о нем с целью показать субъекту, что есть данный объект;

)        инструментальная, показывающая, как установлены знания об объекте, способы познания;

)        мотивационно - оценочная, раскрывающая ценностную сущность знаний об объекте с позиций идеологии общества, мировоззрения ученого, потребностей человека, в результате чего субъект узнает, зачем необходимо изучать данный объект.

Каждый элемент информационной структуры учебного предмета может служить объективной основой межпредметных связей в содержании обучения.

Итак, межпредметные связи - это особенно значимый в современных условиях научной интеграции фактор формирования содержания и структуры учебного предмета, а сама структура учебного предмета служит одним из объективных источников многообразия их видов и функций.

Формирование познавательных умений и интересов учащихся под влиянием межпредметных связей

Развитие познавательных интересов зависит от овладения учащимися обобщенными умениями поисковой деятельности и умениями осуществлять межпредметные связи. В качестве внутреннего побудителя поисковой деятельности, действующего сопряженно со знаниями и способами, выступает осознание цели, познавательной потребности, которая регулирует процесс поиска, отражаясь и на его эмоциональной насыщенности. Принятие межпредметной задачи в значительной мере зависит от теоретической направленности познавательных интересов ученика, его стремления к познанию философских, мировоззренческих аспектов в предметных знаниях. Осознанное вычленение межпредметной задачи, являясь одним из проявлений творческих действий учащихся, способствует тесной корреляции знаний и способов действий в структуре умений ее решать. В процесс решения межпредметной познавательной задачи учащиеся включают знания и умения, полученные на уроках, их активность зависит и от мотива интереса к соответствующим учебным дисциплинам. Здесь также наблюдается тесная связь между уровнем интереса к предмету, широтой и успешностью использования знаний из него. Учащиеся привлекают новые сведения из дополнительной литературы, находят оригинальные способы их анализа и связи с программным материалом. Отсутствие устойчивых предметных интересов и знаний лишает ученика основы в «межпредметной» деятельности, вызывая подчас негативное отношение к ней. Межпредметные связи на первых этапах включения в познавательную деятельность изменяют соответствие уровней умений и интересов учащихся по предметам. Умения, проявляемые при решении межпредметных задач, начинают в большей степени зависеть от опыта переноса, овладения его способами, чем от ранее сложившегося, но тем не менее подвижного интереса к тому или иному предмету. У одних учащихся под влиянием межпредметных связей повышается интерес к ранее не интересовавшим их предметам, а уровень знаний и умений еще остается невысоким. У других, наоборот, значительно возрастают умения межпредметного переноса, но заметных изменений в развитии предметных интересов не наблюдается. Они сохраняют устойчивость. Это объясняется тем, что межпредметные связи не являются единственным фактором, формирующим познавательные интересы учащихся.

Познавательный опыт, ограниченный узкопредметными рамками, мешает увидеть хорошо известное в новом, необычном аспекте, необходимом для творческого решения межпредметной задачи. В таких ситуациях мешает привычка мыслить по-старому. Возникающее на первых этапах познавательной деятельности на основе межпредметных связей рассогласование между ранее сформировавшимися умениями и интересами учащихся в последующем нивелируется, происходит усиление взаимосвязей умений и интереса на качественно новой обобщенной содержательной основе. Систематически включаемые в учебное познание межпредметные связи положительно изменяют широту и диапазон применения знаний и умений. Это способствует умственному развитию школьников и формированию широких познавательных интересов как одному из показателей развития личности. В деятельности на основе межпредметных связей возникает устойчивая зависимость: широта познавательных интересов - осознанное восприятие межпредметных задач - потребность в познании межпредметных связей - творческий подход - умение мыслить системно - познавательная самостоятельность ученика. Включение в процесс обучения межпредметных связей как стимула познавательного интереса качественно преобразует другие его стимулы. Это происходит в силу того, что учебный процесс представляет систему, в которой все компоненты находятся в структурно - функциональной связи и изменение одного из них нарушает эти связи и вызывает необходимость системного подхода к организации всего процесса. Включаемые в содержание урока межпредметные связи усиливают его новизну. Вызывают обновление уже известного материала, объединяют новые и прежние знания в систему. Связи смежных курсов позволяют глубже проникнуть в сущность предметов, раскрыть, например, причинно-следственные связи. Это дает возможность полнее показать историю науки, методы и достижения современной науки, в которой усиливаются интеграция знаний и системный подход к познанию. Укрепляя стимулирующее содержание уроков, межпредметные связи активизируют и процесс усвоения знаний, основанный на их постоянном применении.

Становится наглядной практическая нужность и полезность знаний по всем предметам. Осознание нужности знаний надежно укрепляет интерес к их углублению и расширению. Сам процесс познания, обогащенный межпредметными связями, активизируя мыслительные процессы, служит источником устойчивого интереса школьников. Межпредметные связи усиливают обобщающий характер содержания учебного материала, который требует изменения и методов обучения. Межпредметные связи приводят в действие все стимулы познавательного интереса, связанные с учебной деятельностью: вносят проблемность, элементы исследования и творчества, разнообразят формы самостоятельной работы, побуждают к овладению новыми умениями. Преобразуя методы обучения, межпредметные связи оказывают влияние на изменение и его организационных форм. Возникает потребность в коллективных формах организации учебной работы, которые наилучшим образом обеспечивают решение межпредметных проблем, создавая условия для проявления знаний и интересов учащихся по другим предметам. При этом возможен успех для каждого. Успешность деятельности, как известно, важнейший побудитель активности и интереса к ней. В процессе формирования познавательных интересов учащихся межпредметные связи выполняют многоплановые функции. Прежде всего они выступают как стимул интересов учащихся к урокам, преломляясь во всех других положительных стимулах, идущих от содержания, деятельности и отношений. Учебная деятельность с опорой на межпредметные связи вызывает непосредственный интерес к урокам. Осуществляясь систематически, они становятся условием формирования устойчивых познавательных интересов школьников. Способствуя осознанию диалектической связи предметов и методов их познания, межпредметные связи оказывают значительное влияние на познавательную самостоятельность и выступают фактором формирования предметной направленности интересов школьников. Развитие познавательной самостоятельности в деятельности на основе межпредметных связей происходит в тесной взаимосвязи с формированием мировоззренческих, ценностных ориентаций личности, регулирующих ее социальную активность.

Планирование межпредметных связей.

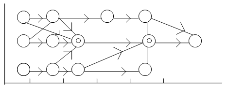
Содержание, объем, время и способы использования знаний из других предметов можно определить только на основе планирования. Для этого необходимо тщательное изучение рекомендаций, данных учебными программами в разделах «Межпредметные связи» по каждой учебной теме курса, а также изучение учебных планов и материала учебников смежных предметов. В практике обучения сложились четыре основных способа планирования межпредметных связей - сетевое, курсовое, тематическое, поурочное. Сетевое планирование - имеет форму графика или плана-карты, которые выявляют основные связи разных учебных тем смежных курсов, показывают узловые темы с наибольшим числом связей с другими предметами. Сетевой график представляет собой модель учебного процесса, которая отражает содержание и объем учебной деятельности учащихся в определенные отрезки времени и с учетом межпредметных связей.

Учебные недели

межпредметный обучение познавательный учащийся

На рисунке указаны последовательность тем различных курсов и наличие связей в их содержании. Двойным кружком обозначены узловые темы, имеющие наибольшее число связей с другими предметами (математика, физика, химия).

Сетевое планирование осуществляется завучем или председателем методической или предметной комиссии по определенному циклу, группе предметов. Сетевое планирование дает общую канву межпредметных связей в цикле учебных предметов, но недостаточно организует активную познавательную деятельность учащихся. Необходимо планирование методов и форм организации обучения при осуществлении межпредметных связей. Этому способствуют другие способы планирования.

Курсовое планирование. Планирование межпредметных связей внутри учебного курса может осуществляться учителем или методистом. При этом могут существовать разные подходы к анализу межпредметных связей. Межпредметные связи рекомендуется использовать в сочетании с внутрипредметными связями. Наличие курсового плана позволяет учителю заранее изучить необходимое для каждой последующей учебной темы содержание смежных учебных курсов, вовремя дать учащимся домашнее задание на повторение опорных знаний из других предметов. При использование курсового плана возможно заранее спланировать консультации и посещения уроков учителей других предметов, подобрать необходимую методическую литературу по межпредметным связям в каждой учебной теме. Разновидностью проблемного подхода является планирование в курсе межпредметных связей с целью развития ведущих научных понятий. При таком планировании учитель ориентируется на установление главным образом понятийных межпредметных связей. Но такая работа должна иметь вспомогательный характер. Нельзя упускать из виду все многообразие межпредметных связей в процессе обучения, которые лишь в совокупности обеспечивают формирование целостной системы взглядов на мир. Поэтому важно сочетать и разные подходы к планированию межпредметных связей при изучении учебного курса. На основе курсового планирования необходимо провести тематическое планирование межпредметных связей.

Тематическое планирование. В этом плане должна быть отражена логическая структура учебного материала уроков, опорные знания из других курсов и перспективные связи. Составляя тематический план, учитель наглядно видит, для чего, с какой познавательной целью на отдельных уроках необходимо использовать те или иные задания из других курсов: в одних случаях создается опора для введения новых понятий, в других объясняются причинно-следственные связи в изучаемых явлениях, в третьих конкретизируются общие идеи или доказываются выводы, новые теоретические положения и т.п. В зависимости от познавательных целей использования межпредметных связей отбираются методы и приемы их осуществления, формулируются вопросы и задания для учащихся. Такое планирование учитывает многообразие видов межпредметных связей и позволяет выделить основные направления активизации познавательной деятельности учащихся в процессе изучения учебной темы. В целях эффективной организации учебно-познавательной деятельности учеников по осуществлению межпредметных связей полезно спланировать их систему на каждом уроке учебной темы.

Общая схема тематического планирования межпредметных связей может быть представлена в форме таблицы.

Таблица

Темы и даты уроков

Основные предметные понятия и умения

Связь с другими предметами

Методы и приемы обучения

Наглядные пособия

Задания по предмету и межпр-ные



Смежные понятия

Факты

Умения





Поурочное планирование. Конкретизация использования межпредметных связей в процессе обучения достигается с помощью данного планирования. Поурочный план - разработка показывает, когда, на каком этапе урока и как, какими способами включаются знания из других курсов в изучение нового или закрепление учебного материала. Особенно необходима тщательная разработка обобщающего урока с межпредметными связями. Выделение таких уроков производится на основе тематического планирования. Положительные стороны данного планирования - это формулировка цели и задачи урока с учетом межпредметных связей; формулировка конкретных вопросов к учащимся, требующих воспроизведения и применения знаний; наличие мировоззренческого вывода; включение в домашнее задание вопросов межпредметного содержания.

Составляя учебные планы учителю важно знать что учащиеся уже усвоили из необходимых опорных знаний на уроках по другим предметам, согласовать с учителем смежных предметов постановку вопросов и заданий, чтобы избежать дублирования и достигнуть развития общих идей и понятий, их углубления и обогащения. Этому помогает взаимопосещение уроков и изучение составляемых коллегами планов реализации межпредметных связей. Планы могут быть обсуждены на методических комиссиях по циклам предметов, согласованы с завучем школы. Обсуждение планов помогает предупредить ошибки в использовании знаний из других предметов, устранить неточности в формулировке вопросов, в трактовке понятий смежных курсов, определить единые подходы в объяснении сущности изучаемых процессов и явлений, избрать наиболее рациональные методы обучения. Таким образом, планирование составляет необходимое и существенное звено подготовки учителя к эффективному осуществлению межпредметных связей и является одним из средств их реализации в практике обучения школьников.

Совершенствование форм обучения в процессе реализации межпредметных связей

Использование межпредметных связей в практике обучения вызвало появление новых форм его организации, таких, как урок с межпредметными связями, комплексный семинар, комплексные экскурсии, межпредметные конференции, комплексные факультативы и др. при этом классно-урочная система, принятая в советской школе, остается стабильной. Межпредметный комплексный семинар - одна из продуктивных форм организации обучения, которая позволяет обобщать знания учащихся из разных предметов с позиций мировоззренческих идей и успешно решать в единстве задачи образования, развития и воспитания школьников. Это достигается путем взаимодействия учителей разных предметов. Такие семинары являются действенным средством реализации комплексного подхода к обучению.

Конференция, как и семинар, обобщает знания учащихся из разных предметов вокруг определенных проблем, идей, учебных тем. Она может быть проведена на обобщающем уроке или в форме внеклассного мероприятия. Методика конференции состоит в последовательно раскрывающих ее тему сообщениях учащихся, а методика семинара более разнообразна, она включает дискуссии, беседы, опыты и т.п. Межпредметная конференция может быть подготовлена и проведена одним учителем или группой учителей. Конференции по вопросам многосторонних межпредметных связей позволяют раскрыть реальные взаимосвязи современных наук, показать, как методы одной науки, проникая в другую, способствуют ее развитию, решению научных проблем. Учащиеся знакомятся с теми проблемами, которые возникают и решаются на грани смежных научных областей, формируется мировоззренческая направленность их познавательных интересов, они овладевают мировоззренческими идеями, с позиций которых личность оценивает явления окружающего мира.

Межпредметный факультатив - нацелен на развитие индивидуальных способностей, склонностей и интересов школьников. Целесообразно использование индивидуальных заданий с привлечением знаний из других предметов, с учетом интересов учащихся. Факультативные занятия по сравнению с обязательными курсами имеют более широкие возможности в использовании многосторонних межпредметных связей в целях формирования целостной научной картины мира. При этом обязательным условием успеха являются прочные систематизированные знания учащихся по отдельным учебным предметам. В процессе факультативных занятий необходима специальная организация активной познавательной деятельности учащихся по применению и обобщению знаний из разных учебных предметов. Этому способствует тематическое планирование, включающее разработку вопросов и заданий межпредметного характера.

В процессе факультативных занятий по разным курсам особенно важно раскрытие мировоззренческих связей «природа - общество - человек - труд» на основе широкого использования межпредметных связей. Межпредметные связи во внеклассной работе. Межпредметные связи значительно повышают эффективность обучения и воспитания школьников, когда они включаются не только в различные формы учебной работы, но и в содержание внеклассной, воспитательной работы. Существуют различные формы внеклассной работы межпредметного характера: комплексные экскурсии, тематические вечера, межпредметные конференции и др. в практике обучения межпредметные связи во внеклассной работе получают все большее развитие. Проводятся краеведческие и литературоведческие экскурсии и подходы, олимпиады, тематические конференции на межпредметной основе. Используются индивидуальные, групповые и массовые формы внеклассной работы межпредметного характера в их различных сочетаниях. К индивидуальным формам можно отнести рефераты, сочинения, самостоятельные исследования, доклады, отзывы о книгах и статьях, самонаблюдения, опыты, сбор материалов по межпредметной проблематике и т.п.

Групповые формы: межпредметные тематические кружки, секции, практические работы, обсуждение книг, оформление стенгазет, игры межпредметного содержания, групповые творческие задания и т.п. Массовые формы: межпредметные экскурсии, вечера, конференции, конкурсы, олимпиады и т.п. Стабильная, широко применяемая форма организации межпредметных связей - это урок с межпредметными связями.

Межпредметные связи могут включаться в урок в виде фрагмента, отдельного этапа урока, на котором решается определенная познавательная задача требующая привлечения знаний из других предметов. Учебный материал отдельных тем уроков того или иного курса оказывается настолько тесно связанным с учебным материалом другого предмета, что возникает потребность в осуществлении межпредметных связей на протяжении всего урока. Такой урок, все основные познавательные задачи которого требуют применения знаний из других предметов, должен быть назван межпредметный.

Межпредметный характер чаще всего носят уроки, обобщающие учебный материал одной или нескольких учебных тем одного или разных предметов. Межпредметные уроки могут быть вводными или проводиться в процессе изучения учебной темы. Межпредметные связи, осуществляясь в различных формах организации обучения и во внеклассной работе, призваны не разрушать, а укреплять предметную систему обучения. Использование связей между предметами в их различных видах показывает, как можно гибко варьировать содержание и методы предметного обучения, сохраняя при этом специфику отдельных учебных предметов. Межпредметные связи помогают выделить общие идейные основы науки в целом.

.3 Анализ опыта реализации межпредметных связей

К сожалению, мне еще не приходилось работать с детьми ни в общеобразовательных учреждениях, ни в системе дополнительного образования, поэтому мне придется привести примеры из чужого опыта.

Когда я начала писать этот раздел курсовой работы, я обратилась за помощью к своей бывшей учительнице алгебры и геометрии из московской школы № 825 Кукленко Н.И. Она предоставила мне часть своих разработок по реализации межпредметных связей в процессе обучения математике.

Разработки Кукленко Н.И. по реализации межпредметных связей в процессе обучения математике.

.        Лабораторная работа в 6 классе (интегрерированный урок математика + биология)

Тема: «Процент»

Цели:

·        Обучающая:

Обобщение, углубление, систематизация знаний, умений, навыков учащихся, развитие творческих способностей учащихся;

Развитие практических умений;

·        Развивающая:

Развитие математической речи, наблюдательности, самостоятельности в учебной деятельности;

Работа над математической и медицинской терминологией;

Развитие непроизвольной памяти.

·        Воспитательная:

Привитие умения коллективной работы, расширение кругозора;

Развитие познавательной активности учащихся.

Оборудование: рулетка, стул, линейка.

Примечание 1. Для проведения работы желательно взять специальную линейку для измерения роста из медкабинета;

Цель работы:

Знакомство с практическим применением математики в жизни на примере профессии врача-хирурга;

Оценка своего физического развития;

Развитие заинтересованности в изучении математики как прикладной науки;

Задача. Определение правильность осанки.

Измерьте расстояние между крайними костными точками, выступающими над правым и левым плечевым суставами спереди (характеризует ширину плеч);

Измерьте расстояние между крайними костными точками, выступающими над правым и левым плечевым суставами сзади (характеризует величину дуги спины);

Воспользовавшись формулой:

%

где А - показатель состояния осанки, оцените состояние осанки по следующей таблице:

проценты

состояние осанки

100 % - 110 %

норма

меньше 90 % и более 125 %

есть нарушения


Результаты занесите в тетрадь.

Запишите в тетради определение процента.

Запишите в тетради правило нахождения процента от числа.

Запишите в тетради правило перевода десятичной дроби в проценты и наоборот.

Дополнительные вопросы и задания:

Что вы можете рассказать о профессии хирурга?

Давайте с вами побольше узнаем о людях, которые следят за нашим развитием и корректируют нашу осанку. Этим занимаются люди по профессии своей педиатры (если вам <18 лет), а так же хирурги (если вам > 18 лет). Да именно хирурги, они не только проводят различные операции, но и исправляют осанку, помогают при негармоническом физическом развитии. И педиатры и хирурги помогают людям быть не только здоровыми, но и красивыми. В нашей стране таких людей готовят в медицинских университетах, где обучаются 7 лет.

.        Лабораторная работа в 6 классе (интегрированный урок математика +экология)

Тема: «Площадь. Квадрат числа»

Цели:

·        Обучающая:

Обобщение, углубление, систематизация знаний, умений, навыков учащихся, развитие творческих способностей учащихся (поиск решения нестандартной задачи);

Развитие практических умений (измерение длин, перевод из одних единиц измерения в другие);

·        Развивающая:

Развитие математической речи, наблюдательности, самостоятельности в учебной деятельности;

Работа над математической и экологической терминологией;

Развитие непроизвольной памяти.

·        Воспитательная:

Привитие умения коллективной работы, расширение кругозора;

Развитие познавательной активности учащихся.

Оборудование: линейка, учебник «Математика 5», Латотин Л.А., Чеботаревский Б.Д..

Примечание 1. Найти в Интернете на сайте #"649077.files/image003.gif">га леса);

Цель работы:

Знакомство с практическим применением математики в жизни на примере профессии эколога;

Решение задачи на вычисление количества га леса для изготовления тиража учебника;

Развитие качества бережливости по отношению к учебникам;

Задача.

Вычислить, сколько нужно вырубить леса для того, чтобы издать один учебник “Математика 6” авт. Л. А. Латотин, Б.Д. Чеботаревский и сколько, чтобы издать тираж учебника?

. Вычислить площадь одной страницы учебника (измерить на уроке).

. Умножить результат на количество страниц в учебнике (посмотреть количество страниц в конце учебника)

. Умножить на тираж учебника (посмотреть тираж)

. Выразить результат в квадратных метрах.

. Сколько вырубили леса, чтобы создать тираж учебника?

Решение.

Размеры одной страницы учебника 14см на 21 см, т.е. площадь равна

В учебнике 318 страниц или 159 листа, значит площадь всех листов учебника . На 1000 м2 нужно вырубить деревьев, т.е. в 2,5 раза больше. Значит на производство одного учебника требуется . На весь тираж в 42200 экземпляров требуется:

леса, а это примерно 5 га

Ответ: 5 га

Дополнительные вопросы и задания:

Какие леса преобладают на территории России?

Запишите в тетради определения равных фигур и их свойства.

В современном мире, в связи с тем, что человек всё больше использует богатства природы, необходима такая профессия как эколог. Экологи следят за состоянием окружающей среды, помогают избежать истребления лесов, популяций животных, загрязнения рек, озёр, морей и океанов. Контролируют количество вредных выбросов производства. Эту профессию выбирают люди, которым не безразлична судьба природы, которые заботятся о ней.

На рассмотренном примере мы убедились в том, что экологи так же должны знать математику, для своей эффективной работы.

Теперь, зная сколько леса уничтожается для изготовления учебников, подумайте, прежде чем их портить!

.        Лабораторная работа в 6 классе (интегрированный урок математика + биология)

Тема: «Процент»

Цели:

·        Обучающая:

Обобщение, углубление, систематизация знаний, умений, навыков учащихся, развитие творческих способностей учащихся;

Развитие практических умений;

·        Развивающая:

Развитие математической речи, наблюдательности, самостоятельности в учебной деятельности;

Работа над математической и медицинской терминологией;

Развитие непроизвольной памяти.

·        Воспитательная:

Привитие умения коллективной работы, расширение кругозора;

Развитие познавательной активности учащихся.

Оборудование: рулетка, стул, линейка.

Цель работы:

Знакомство с практическим применением математики в жизни на примере профессии врача-хирурга;

Оценка своего физического развития;

Развитие заинтересованности в изучении математики как прикладной науки;

Задача . Определение пропорциональности своего телосложения.

Измерьте свой рост или рост своего друга стоя;

Измерьте свой рост или рост своего друга сидя;

Воспользовавшись формулой:


где А - показатель пропорциональности телосложения, оцените пропорциональность физического развития по следующей таблице:

проценты

Пропорциональность физического развития

пропорциональное физическое развитие

меньше 87 %

относительно малая длина ног

более 92 %

большая длина ног


Результаты занесите в тетрадь.

Вопросы и задания:

Запишите в тетради определение процента.

Запишите в тетради правило нахождения процента от числа.

Запишите в тетради правило перевода десятичной дроби в проценты и наоборот.

Дополнительные вопросы и задания:

Что вы можете рассказать о профессии хирурга?

В словаре найдите слово «хирург» и запишите в тетради его значение.

Кукленко Нина Ивановна работает в нашей школе более 30 лет. Она замечательный педагог, ее ученики хорошо учатся, участвуют в олимпиадах. Ее разработки уроков математики, представленные в моей работе, составлены с учетом современного состояния здоровья детей (у многих нарушение осанки) и с учетом современного отношения к природе (сейчас очень много занимаются проблемами экологии, в вузах появились факультеты, готовящие специалистов-экологов, а в школах ввели обязательный предмет экология).

Такие уроки помогают научить детей серьезно относиться к своему здоровью, выявить у них проблемы в физическом развитии (если таковые существуют), разнообразить уроки математики, которые обычно нравятся далеко не всем детям. А урок, включающий связь математики с экологией воспитывает в детях заботу об окружающей среде.

Кукленко Н.И. с успехом реализует принцип межпредметных связей на практике, с таких учителей надо брать пример.

Примеры реализации межпредметных связей из моего школьного опыта. В моей школе детям было очень интересно ходить на уроки физики, так как наша учительница широко использовала индивидуальные задания с учетом интересов учащихся к другим предметам. При изучении закона Архимеда и его применения учащиеся, интересующиеся историей, по дополнительной литературе готовили рассказы: об истории жизни и деятельности Архимеда, об истории стратонавтики, о К.Э. Циолковском. Ученики, имеющие склонности к труду и математике, получали практические домашние задания: изготовить модель плота, выдерживающего нагрузку в 3 ньютона; сделать весы, основанные на законе Архимеда. А дети, любящие естественные науки, выполняли различные физико-химические эксперименты.

Но, как бы не интересна была физика, я больше всего в школе любила уроки литературы. Учителем по литературе у моего класса был молодой, умный, прогрессивный преподаватель, работающий не только в школе, но и в Московском государственном педагогическом университете на кафедре всемирной литературы, а также, являющийся редактором научно-просветительского журнала «Скепсис». Он применял принцип межпредметных связей лучше всех других моих педагогов. Кроме того, что он часто связывал между собой явления из художественных произведений и какие-либо науки (история, экономика, география и др.), он еще проводил для нас различные факультативные занятия, где мы за 7 лет учебы в средней школе узнали и обсудили множество общенаучных и мировоззренческих вопросов (читали литературу, не входящую в учебную программу, обсуждали вопросы религии, политики, ходили на экскурсии в различные музеи, галереи, в зоопарк). Иногда, на факультативных занятиях, мы изучали художественную литературу, которая не входит в учебную программу. Так, мы прочли роман «На западном фронте без перемен» Э.М. Ремарка. В этом романе повествуется о первой мировой войне, таким образом, изучая литературу, мы изучали и историю. Я очень благодарна этому учителю за то, что он помог мне и моим одноклассникам расширить кругозор и сформировать свое мировоззрение.

Хотелось бы добавить, что реализовывать межпредметные связи на уроках по моей будущей специальности не сложнее, чем на представленных в моей работе уроках математики, физики и литературы. На уроках изобразительного искусства нужно осуществлять межпредметные связи с литературой, с историей (рисование исторических событий, исторических персонажей, костюмов, сооружений, предметов быта), с мировой художественной культурой (рисование архитектуры, городских пейзажей России и других стран), с ботаникой (рисование флоры), с зоологией (рисование фауны), с геометрией и с другими предметами.

Заключение

Выявление и последующее осуществление необходимых и важных для раскрытия ведущих положений учебных тем межпредметных связей позволяет:

а) снизить вероятность субъективного подхода в определении межпредметной емкости учебных тем;

б) сосредоточить внимание учителей и учащихся на узловых аспектах учебных предметов, которые играют важную роль в раскрытии ведущих идей наук;

в) осуществлять поэтапную организацию работы по установлению межпредметных связей, постоянно усложняя познавательные задачи, расширяя поле действия творческой инициативы и познавательной самодеятельности школьников, применяя все многообразие дидактических средств для эффективного осуществления многосторонних межпредметных связей;

г) формировать познавательные интересы учащихся средствами самых различных учебных предметов в их органическом единстве;

д) осуществлять творческое сотрудничество между учителями и учащимися;

е) изучать важнейшие мировоззренческие проблемы и вопросы современности средствами различных предметов и наук в связи с жизнью.

В этом находит свое выражение главная линия межпредметных связей. Однако эти связи между отдельными предметами имеют свою специфику, которая накладывает отпечаток на преподавание. Реализация межпредметных связей способствует систематизации, а, следовательно, глубине и прочности знаний, помогает дать ученикам целостную картину мира. При этом повышается эффективность обучения и воспитания, обеспечивается возможность сквозного применения знаний, умений, навыков, полученных на уроках по разным предметам.

Учебные предметы в известном смысле начинают помогать друг другу. В последовательном принципе межпредметных связей содержатся важные резервы дальнейшего совершенствования учебно-воспитательного процесса.

Усиливая реализацию межпредметных связей, мы можем более точно определить роль наших предметов в будущей жизни учеников.

Ссылки

1.      Коменский Я.А. Великая дидактика: Избр. соч. / Я.А. Коменский. - М., 1955. - С.287

.        Локк Дж. Сочинения в 3-х т. Т.1. Опыт о человеческом разумении - М.: Мысль, 1985. С. 465-466.

.        Одоевский В.Ф. Избр. пед. соч. - М.: Учпедгиз, 1955. С.368

. Ушинский, К.Д. Человек как предмет воспитания / К.Д. Ушинский // Собр. соч. - М. - Л., 1950. - Т.8. - С. 17-18

. Крупская Н.К. Диалектический подход к изучению отдельных дисциплин. - Пед. соч. В 6 - ти т. Том 2. - М., - 1980. С. 94-95

. Фёдорец Г.Ф. Межпредметные связи в процессе обучения. - Л., 1983. С. 22

. Лошкарева Н.А. Межпредметные связи как средство совершенствования учебно-воспитательного процесса - Вып.5. - М.: МГПИ им.В.И.Ленина, 1981.; Лошкарева Н.А. О понятии и видах межпредметных связей // педагогика. - М., 1972. - №6 - С.48-56

. Скаткин М.Н. Проблемы современной дидактики. - М., 1980. С. 61.

Список литературы

1)      Гурьев А.И., Межпредметные связи - теория и практика // Наука и образование - Горно-Алтайск, 1998 - №2. - 204 с.

)        Коменский Я.А., Дидактические принципы (отрывки из «Великой дидактики») -- М: Государственное учебно-педагогическое издательство HAPKOМПPOCA РСФСР, 1940

)        Крупская Н.К. Диалектический подход к изучению отдельных дисциплин. - Пед. соч. В 6 - ти т. - М., - 1980.

)        Максимова В.Н. Актуальные проблемы дидактики. - Л., 1982.

) Максимова В.Н. Межпредметные связи и совершенствование процесса обучения. - М., 1977.

) Максимова В.Н. Межпредметные связи как дидактическая проблема. -Советская педагогика, 1981, №8.

) Межпредметные связи в учебно - познавательной деятельности учащихся/ Под ред. Н.А. Сорокина. - Тула, 1983.

) Панчешникова Л.М. Основы методики обучения экономической географии зарубежных стран. - М., 1975. - С. 114.

) Скаткин М.Н. Наука и учебный предмет // Сов. педагогика. - 1945. - №3. - С. 12.

) Скаткин М.Н. Проблемы современной дидактики. -- М.: Педагогика, 1984. - 96 с.

) Усова А.В. Межпредметные связи в преподавании основ наук в школе. Челябинск, 1995 - 16 с.

) Федорец Г.Ф. Межпредметные связи в процессе обучения. - Л., 1983.

) Федорова В.Н., Кирюшкин Д.М. Межпредметные связи. - М., 1972.

Похожие работы на - Средства реализации межпредметных связей в процессе обучения

 

Не нашли материал для своей работы?
Поможем написать уникальную работу
Без плагиата!
Без нейросетей!