Создание методологического обеспечения для технологий мониторинга качества обученности по математике

  • Вид работы:
    Дипломная (ВКР)
  • Предмет:
    Педагогика
  • Язык:
    Русский
    ,
    Формат файла:
    MS Word
    246,11 Кб
  • Опубликовано:
    2013-07-20
Вы можете узнать стоимость помощи в написании студенческой работы.
Помощь в написании работы, которую точно примут!

Создание методологического обеспечения для технологий мониторинга качества обученности по математике















Создание методологического обеспечения для технологий мониторинга качества обученности по математике

Содержание

Введение

Глава 1. Теоретические и методологические основы мониторинга качества обучения

.1 Направления мониторинговых исследований

.2 Мониторинг знаний учащихся

.3 Управленческий мониторинг

Глава 2. Анализ развития технологий мониторинга по математике

.1 Анализ действующих систем мониторинга качества обученности по математике

.1.1 Мониторинг с помощью стандартной программы Microsoft Office Access и прикладной математической программой MATLAB

.1.2 Технология проверки качества знаний с помощью электронных таблиц Excel

.1.3 Онлайн сервисы и Интернет сайты для подготовки к ЕГЭ по математике

.2 Мониторинг рейтингов качественных особенностей компьютерных обучающих систем

.3 Стратегия создания методического обеспечения по математике

Глава 3. Рекомендации и предложения по совершенствованию системы мониторинга

.1 Использование информационных технологий в подготовке к ЕГЭ по математике

.2 Рекомендации и предложения по совершенствованию системы мониторинга

заключение

список литературы

ПриложениЯ

Введение

Значительное внимание к реформированию образования связана с присоединением России к Болонскому процессу в 2003 году. Важным условием Болонское содружество педагогов является повышение мобильности преподавателей и студентов (учеников), самостоятельности будущих специалистов, уровня их самоорганизации [1].

В этих условиях актуальными являются мониторинговые исследования для получения необходимой объективной информации о состоянии подготовки учеников по определенному предмету. Они предусматривают постоянное наблюдение за процессами в образовании с целью выявления их соответствия ожидаемым результатам. Функционирования мониторинга предполагает накопление массивов данных, их организацию в определенные структуры для последующего обработки, представления для интерпретации как сигнала обратной связи. Электронная форма представления информации и поддержки принятия решения о качестве подготовки учеников по предмету является одной из наиболее перспективных для сохранения и отображения информационных ресурсов системы мониторинга.

Актуальность темы обусловлена ​​потребностями профессионального образования в проведении мониторинговых исследований, поскольку они являются одним из путей расширения доступа к Европейской образования и мобильности студентов. Эффективное функционирование мониторинга в образовании требует решения нескольких задач, среди которых накопление и хранение информационных ресурсов и принятия решения о качестве образования. Разработка программного обеспечения мониторинга в процессе подготовки учеников к ГИА, ВНО, рассмотрена в работе, состоит из создания базы данных и реализации экспериментальной модели мониторинга в системе MATLAB, онлайн сервисов сети Интернет.

Объект исследования - мониторинг по математике.

Предметом исследования создание методического обеспечения для технологий мониторинга качества обученности по математике.

Целью данной курсовой работы является создание методического обеспечения для организации диагностики готовности выпускников 11 кл. к сдачи ЕГЭ по математике.

Для этого были поставлены следующие задачи:

¾    Проанализировать понятия «мониторинг», «информационные технологии», «технологии мониторинга»;

¾      Рассмотреть технологии мониторинга качества обучаемости;

¾      Проанализировать использования мониторинга в школах;

¾      Провести анализ компьютерных программ для тестирования учеников;

¾      Провести анализ онлайн систем по подготовке к ЕГЭ;

¾      Разработать систему диагностических работ по материалам ЕГЭ;

¾      Дать рекомендации по совершенствованию системы мониторинга.

В процессе написания данной работы были использованы следующие источники:

Конституция Российской Федерации;

Федеральные законы Российской Федерации;

специальная литература по ИТ, математике, информатике;

Работа состоит из двух глав, введения и заключения. В первой главе рассмотрены теоретические и методологические основы мониторинга, во второй - проанализирована система мониторинга по математике в РФ, проанализированы сайты Интернет для подготовки к ЕГЭ, в 3 главе даны практические рекомендации возможного направления работы по совершенствованию действующей системы мониторинга.

Глава 1. Теоретические и методологические основы мониторинга качества обучения

.1 Направления мониторинговых исследований

«Качество образования» - это единство компонентов, которые необходимо измерять для получения обобщенной оценки и осуществления управления по ее улучшению:

¾    качество преподавания (самого учебного процесса и педагогической деятельности); качество педагогических кадров (их подготовки, квалификации); качество образовательных программ;

¾      качество материально-технической базы и Информационно-образовательной среды; качество учеников (их человеческие, личностные качества, которые формируются под влиянием);

¾      качество управления; качество исследования.

Используя результаты научных исследований по вопросам технологии образовательного мониторинга в школе разработана и внедряется собственная модель мониторинговых исследований качества образования, научно-методического сопровождения ее функционирования, что прописано в "Локальных нормативных актах", которые обсуждены на заседании методического совета школы в 2008 году.

В мониторинговых процедурах мы можем увидеть:

¾    сбор текущей и итоговой информации;

¾      обработку информации;

¾      анализ информации; сохранения информации; распространения информации.

Самой первой попыткой анализа, обобщения, отслеживания изменений в развитии образовательной системы школы стала аттестация нашего учебного заведения в 2007 году, это тоже был мониторинг:

¾    достигнутого уровня намеченной цели; состояния школьной среды;

¾      условий функционирования и развития школы; динамика личностного развития учителя и ученика;

¾      внедрение современных педагогических технологий ...

В наших локальных нормативных актах выделены три направления мониторинговых исследований.

Педагогический мониторинг - система педагогического контроля, которая имеет определенные функции: обучающую, развивающую, воспитательную, корректирующую, мотивационно-стимулирующую, организационно-управленческую.

Формы контроля: текущий, тематический, итоговый.

Приемы контроля: устный, письменный, игровой, графический, тестовый.

И на этапе подведения итогов: анализ знаний учащихся, коррекции знаний и умений, отчетная документация.

Выработка системы корректирующих задач, корректировки знаний и умений Выставление полугодовых и годовых оценок, подготовка информации и отчетной документации игровой контроль графический контроль устный контроль.

Приемы контроля

Задача педагогического мониторинга являются: диагностическое задание: диагностика состояния учебно-воспитательного процесса, выявление отклонений от запрограммированного результата образования в работе коллектива и отдельных его членов, создание окружения заинтересованности, доверия и совместного творчества.

Мотивационное задачи: формировать у учащихся ответственное отношение к овладению знаниями, умениями и навыками.

Воспитательная задача: обеспечение единства определенной и внеурочной деятельности педагогического коллектива через сеть кружков, факультативов, индивидуальных занятий.

Развивающее задачи: повышение ответственности педагогических, осуществлять контроль за разработкой и внедрение новых педагогических технологий и их элементов, активных форм и методов работы в практику преподавания учебных предметов.

Основные направления деятельности учительского коллектива по реализации этих задач: система диагностики:

¾    отслеживание динамики развития учащихся, изучение состояния межличностных отношений учителя и учащихся, ученика и учащихся, обеспечение психологической защищенности учащихся в учебном процессе;

¾      формы учета достижений учащихся по предметам, позволяющие проследить личные успехи и неудачи школьников в усвоении учебного материала, соответственно динамики их развития;

¾      эффективные технологии преподавания предметов, сочетающих в себе различные вариативные подходы к деятельности школьников.

Мониторинг качества обучения в системе "учитель - ученик" заключается в определении степени соответствия имеющихся у школьников знаний, умений и навыков тем, что предварительно планировалось. Этот мониторинг можно считать педагогическим, он традиционно осуществляется через семестровое, годовое, экзаменационное и итоговое оценивание результатов учебной деятельности школьников. Управленческий мониторинг в том числе мониторинг профессиональной компетентности работников школы является непременным условием эффективной системы управления.

Целью мониторинга профессиональной деятельности работников школы: выявление тенденции в профессиональной деятельности педагогических работников, прогнозирования дальнейшей деятельности по повышению их профессионализма.

Задачами являются:

¾    определения уровня и динамики профессиональной деятельности учителя;

¾      прогнозирование развития профессиональной деятельности педагогических работников в существующем образовательном и реабилитационном пространстве;

¾      содействие созданию единого информационного пространства, направленного на повышение качества профессиональной деятельности учителей.

Направления мониторинга:

¾    качество и эффективность профессиональной деятельности;

¾      методическая подготовка;

¾      исполнительная дисциплина.

Управленческий мониторинг влияет на систему, обеспечивающую целенаправленное развитие учебно-воспитательной деятельности школы через: обеспечение информацией о состоянии школы; ответственности за выдающийся этап работы и результаты деятельности; предоставления существенной помощи учителям в поисках эффективных форм и методов, обучения, воспитания и развития школьников, в профессиональном совершенствовании педагогов; побуждает к творческой работе, самообразованию, самосовершенствованию.

Основной составляющей мониторинга являются: мониторинг организации который предусматривает анализ состояния здоровья, общей функциональной готовности учащихся к обучению в школе, уровня учебной и учащейся дисциплины.

Направления накопления информации:

¾    результаты социально-психологических обследований учащихся уровня их активности, состояния внимания;

¾      данные медицинского сопровождения школьников;

¾      экспертная оценка успеваемости.

Мониторинг деятельности школы по обеспечению результативности включает в себя систему мероприятий, управленческих решений, направленных на решение вопросов повышения качества знаний учащихся, педагогического мастерства.

.2 Мониторинг знаний учащихся

Технологии мониторинга результатов обучения заключается в повышении знаний путем качественного и количественного анализа результатов обучения и эффективности управления процессом обучения на основании внедрения мониторинга, который должен быть планомерно осуществляемой рядом стратегических и операционных действий, направленных на диагностику, контроль, оценка, прогнозирование и совершенствования школьного образования.

Учебный год начинается с анализа деятельности школы за прошлый год: успеваемости учащихся, результативности учащихся в конкурсах, соревнованиях, олимпиадах ...

Постоянное наблюдение за уровнем знаний учащихся дает возможность разнообразить аналитическое сопровождение. На основе мониторинга знаний учащихся проводятся различные виды сравнительного анализа: по параллелям учеников, за учебными предметами; по уровню знаний.

Осуществляя контроль за состоянием преподавания предмета, подводя итоги учебных достижений учащихся по семестр ...

Итоговые результаты мониторинговых исследований позволяют проследить динамику изменений уровня обученности учащихся из предметов в течение учебного года, определить положительные тенденции, резервы, пути решения проблем. Мониторинговые исследования общеучебных умений и навыков (качества знаний) дают объективную картину о результатах учебной деятельности, уровень объективности оценивания достижений учащихся, корректирует усилия учителей-предметников и классных руководителей.

Практическим результатом становится: детальное обсуждение с учителями-предметниками, внесения коррекции и предоставление индивидуальных и групповых консультаций учащимся; обсуждения с учителями-предметниками планирования учебного процесса с целью внесения изменений в календарный и поурочное планирование; применение индивидуальных учебных заданий, разноуровневых тестов, учет возрастных и индивидуальных особенностей учащихся.

Изучение состояния преподавания предметов, классно-обобщающий контроль за состоянием освещает систему работы учителя по освоению учащимися определенного уровня знаний, умений и навыков. Качество образования учащихся - это итог профессионального мастерства педагогического коллектива.

Годовой балл выпускника 2011 года, ГИА и ВНО показали реальные знания учащихся, этот анализ заставляет каждого учителя еще раз ознакомиться с критериями оценивания учебных достижений учащихся, так как результаты ВНО - это показатель результативности работы, как учителя, так и школы в целом.

Об эффективности труда учителя можно говорить тогда, когда ее результаты свидетельствуют, что учитель сумел максимально реализовать учебный потенциал каждого из своих воспитанников и объективно оценил их учебные достижения.

Учебные достижения отдельных учеников зависят от развития их индивидуальных познавательных интересов, отношение к конкретному предмету или конкретного учителя, также учитывается в процессе мониторинга эффективности труда учителей. (Рейтинг учителя среди коллег, администрации, родителей, учеников.)

Учет потенциальных учебных возможностей учащихся в учебно-воспитательном процессе возможно и необходимо, ведь только на этой основе можно действительно обеспечить личностно-ориентированный подход к каждому из них.

Что касается параллельного мониторинга эффективности труда учителя, то этот анализ, с одной стороны, обеспечивает обратную связь между учеником и учителем с точки зрения реализации учебного потенциала каждого школьника, а, с другой стороны, - позволяет администрации школы выявить общие тенденции в работе конкретных учителей по индивидуализации учебно-воспитательного процесса и объективность оценки знаний учащихся.

Результаты продолжения обучения выпускниками 9-х классов (86 учащихся) Весомым показателем результативности специализированной школы является трудоустройство выпускников по специализации школы эколого-экономического профиля. 51% выпускников 2011 года выбрали специальность в вузах по экономике, экологии, химии, математики, биологии.

Мониторинг организации предусматривает анализ состояния здоровья, общей функциональной готовности учащихся к обучению в школе. Под здоровьем мы понимаем состояние физического, духовного и социального благополучия, то есть не только состояние «здоровье-болезнь», но и способность ученика адекватно реагировать на внешние и внутренние раздражители, а также деятельного отношения к миру. Актуальной становится задача не только обеспечение школьного образования без потерь здоровья учащихся, но и целостного подхода к школьной жизни, захватывающая все уровни - от управления образовательными системами, отношений в классе и связей с внешним сообществом к воспитанию сознательного отношения к сохранению и укрепления своего здоровья.

Педагогический мониторинг позволяет родителям, ученикам, классным руководителям увидеть объективную картину того, что сегодня по образованию может «взять» ученик; вместе с психодиагностикой понять перспективы своего индивидуального развития, потенциальные возможности, профессионально ориентироваться.

Методами проведения мониторинга, в зависимости от поставленных целей и выполняемых задач, могут быть:

¾    Система зачётов на определённом промежутке времени по одной или нескольким темам.

¾      Система самостоятельных работ, отслеживающих уровень усвоения знаний на протяжении учебной четверти.

¾      Контрольные работы на протяжении учебного года.

¾      Тестирование.

¾      Результаты обучения по четвертям и учебном году.

¾      Другие.

Разнообразие изданных дидактических материалов, сборников задач, пособий для абитуриентов позволяет организовать систему самостоятельных и контрольных работ по всем темам школьного курса математики для организации постоянного контроля за усвоением учебного материала.

В один рабочий день рекомендуется проводить в классе только одну письменную контрольну работу, а на протяжении недели - не более двух. При планировании контрольных работ в каждом классе желательно предусмотреть равномерное их распределение на протяжении всей четверти, не допускать большого количества письменных контрольных работ в конце четверти, триместра, полугодия.

Если контрольная работа рассчитана на два урока, то рекомендуется проводить её на втором-третьем уроках; если на один урок - то на втором уроке. Самым продуктивным днём, по наблюдениям психологов, считается вторник. Администрации школы перед проведением контрольной работы необходимо проверить выполнение норм СанПи в помещении, отведённом для проведения контрольной работы: соблюдение температурного режима и режима проветривания как перед конрольной, так и во время её проведения. Душное, непроветриваемое помещение может значитильно повысить утомляемость учащихся.

При проведении мониторинга пакет с текстом контрольной работы вскравается в присутствии учащихся за 10-15 минут до начала урока на котором проводится контрольная работа. Время, отведённое на написание работы, отсчитывается с момента доведения условия работы до всех учащихся. Способом доведения текста работы до учащихся может быть как написание условия на классной доске, так и раздача ксерокопии каждому ученику. В текстовке контрольной работы указывается уровень изучения математики, предусмотренный данной контрольной работой.

Одним из критериев при проведении любой письменной работы является то, чтобы учащиеся видели чёткое разграничение между разными уровнями в заданиях.

Мониторинг осуществляется руководителями учреждений образования и специалистами в соответствии с должностными обязанностями. В их компетенции - обобщенное системное представление о состоянии преподавания математики и деятельности образовательного учреждения по выполнению программ в соответствии с государственными образовательными стандартами, поставленными целями функционирования и развития и выработка прогнозирующей информации.

На локальном уровне педагогическими работниками (учителями, воспитателями, специалистами) в ходе образовательной деятельности осуществляется мониторинг, представляющий собой совокупность непрерывных контролирующих наблюдений и измерений, позволяющих определять уровень реализации индивидуального потенциала обучаемого (воспитанника) и корректировать по мере необходимости процессы воспитания и обучения в его интересах.

.3 Управленческий мониторинг

В условиях обновления образования актуальными становятся проблемы педагогической диагностики. Невозможно достичь высокого уровня знаний учащихся без соответствующего контроля за ходом учебного процесса.

Проблемы оценки учебных достижений учащихся и оценки эффективности обучения связаны между собой.

Основное содержание мониторинга заключается в получении информации о состоянии образования с целью принятия управленческих решений по переводу ее на качественно новый уровень. Проблема мониторинга педагогического мастерства учителя чрезвычайно актуальна и важна. Это решение многих вопросов: усовершенствование системы повышения квалификации педагогических работников; полнее и эффективнее удовлетворения их профессиональных запросов и потребностей в системе методической работы; определение сильных сторон учителя; планирование путей и конкретных средств их закрепления и развития в индивидуальном стиле педагогической деятельности.

Мониторинг успешной профессиональной деятельности учителя не только дает руководству школы информацию для размышлений и дальнейшего анализа, но и способствует определению направлений и перспектив профессионального роста, укрепления адекватной профессиональной самооценки, позитивного самовосприятия и профессиональной комфортности педагога.

В системе внутришкольного управления осуществляется мониторинг профессионального уровня учителя по таким критериям, которые фиксируются в диагностической карте:

¾    знание нормативных документов; самообразование - творческий подход к выбору способов, методов, приемов и средств обеспечения личностно ориентированного обучения через содержание его предмета;

¾      участие учителя в разработке методик и технологий развития учебно-воспитательного процесса;

¾      умение учителя смоделировать активную деятельность ученика к уроку и на уроке, внеклассная работа по предмету;

¾      ведения школьной документации (поурочные планы, ведение классных журналов, выполнения учебной программы и соблюдение единого орфографического режима);

¾      умение учителя поддерживать жизнедеятельность школы; исполнительская дисциплина; работа с родителями и выполнение общественных поручений.

Общая структура организации и проведения мониторинга и оценки деятельности педагогических работников достаточно постоянной, что и обеспечивает возможность получения объективной и надежной управленческой информации.

В конце учебного года каждый учитель подводит итог работы за год, по критериям.

Такая самооценка качества работы устраняет субъективизм и предвзятость оценок администрации школы.

Глава 2 Анализ развития технологий мониторинга по математике

.1 Анализ действующих систем мониторинга качества обученности по математике

Понятие «обучение» определяется как «основной путь получения образования; целенаправленно организованный, планомерно и систематически осуществляемый процесс овладения знаниями, умениями и навыка-ми под руководством педагогов, наставников и т.д., тесно связано с воспитанием и ведётся в учебных заведениях и в ходе производственной деятельности… ». [7]

На рис. 2.1 на теоретико-множественном уровне описания дана иллюстрация составляющих понятия «образование». Для этого используется диаграмма Эйлера и символ Венна в случае следующей интерпретации общего положения трёх множеств: A - обучение; B - воспитание; C - развитие.

Таким образом, образование как комплексная система Σ1 может быть формально представлено в виде дизъюнкции своих компонент:

 , (1)

 , (2)

где A, B, C - взаимно пересекающаяся система множеств, связанная аддитивной операцией («+», для алгебры множеств это операция объединения).

Соотношением (2) система и структура Σ2 составляющих понятия «обучение», как подсистема Σ1.

Рисунок 2.1 - Интерпретация составляющих понятия «образование» на уровне теоретико-множественного описания.

Традиционная шкала порядка наименований [6]: «знания - умения - навыки» получила в настоящее время «расширение» в направлении развития мышления и творчества, становления творческого потенциала личности; это связано с необходимостью создания образовательных услуг, стимулирующих творческую активность обучаемого [1, 2, 3, 4].

Будем рассматривать составляющие понятия «обучение» в виде общей линейной шкалы порядка из наименований системы понятий для Σ2 (рис. 2.2):

; (3)

 - множество видов деятельности.

Рисунок 2.2 - Система и структура составляющих понятия «обучение», как процесса познавательной деятельности.

Данная шкала наименований определяет, по сути, целевую и деятельностную составляющие и направленность обучения.

Как следует из рис. 2.1, «обучение» как часть целого отличается от «образования» на теоретико-множественном уровне формализации тремя гипотетическими формами минитермов:

 - отдельно взятое воспитание;  - самовоспитание и саморазвитие (вне системы образования);  - отдельно взятое развитие.

При этом мощность множества элементов, образующих покрытие множества А (обучение), равна 5 подмножествам, минитермы которых указаны в символе Венна (см. рис. 2.1):

; ; ;  и Æ (пустое множество).

Мощность множества элементов, образующих покрытие области «образование», равна 8 элементам, считая {Æ}, определяемое минитермом .

Естественно, что по минитермам, характеризующим качества понятий «обучение» и «образование», оба понятия имеют много общего в методическом плане (формально оценка пересечения понятий равна 5/8).

Известно, что «качество образования раскрывается как единство, включающее» [5]:

      качество образовательной системы как целое и ее составляющие, а именно,

‚      качество образовательной среды;

ƒ      образованность выпускников ВУЗов;

„      влияние образования на общество.

Схема связей целого  и его составляющих ‚ ƒ „ приведена в виде графа G.

Объектами мониторинга являются элементы и структура связей составляющих указанного единства:

G:

G1:

G1 Ì G


Рисунок 2.3 - Структура объектов мониторинга и их связей.

Объектами мониторинга качества обучения с очевидными связями выступают подмножества графа G:

Итак, составляющие объекта G мониторинга для системы обучения (G1) следующие:

·      образованность выпускника вуза ƒ, документально определяемая через оценки его деятельности и отраженная в форме документальных объектов наблюдений (зачетная книжка, экзаменационные и зачетные ведомости, журналы учебных групп и т.д.);

·        образовательная среда вуза ‚, отражаемая, в частности, в системах информационного, технического и других видах обеспечения, сопровождения и поддержки учебного процесса.

Основы качества систем обучения закладываются в форме соответствия требований Государственных образовательных стандартов (ГОСов) по каждому направлению подготовки дипломированных специалистов, реализуемого в данном учебном заведении. Общегосударственная цель представляется через потребность, как социальный заказ. Она конкретизируется в общевузовскую цель в форме требований обеспечения государственной аттестации специалиста.

С позиций системогенетического подхода [8, 9] составляющие процесса мониторинга качества обучения можно записать алгебраически в виде системы групповых операций {g} относительно отношения упорядочения и системы функций преобразования системы данных X3 в систему порождаемых данных циклов обучения и их преобразования в системы знаний (рис. 2.4):

Рисунок 2.4 - Общая схема описания преобразований и порождений данных и знаний циклов обучения

В исследовании организация мониторинга качества подготовки учеников по математике с использованием информационных технологий состоит из двух этапов:

) создание электронного журнала мониторинга качества знаний, который является базой данных, разработанной с помощью стандартной программы Microsoft Office Access.

) реализация экспериментальной модели мониторинга в системе MATLAB.

2.1.1 Мониторинг с помощью стандартной программы Microsoft Office Access и прикладной математической программой MATLAB.

Разработанное программное обеспечение системы мониторинга соответствует следующим требованиям: максимальная доступность для пользователей (руководителей, преподавателей, студентов), простой в использовании интерфейс, удобство работы с помощью клавиатуры и «мыши», наличие необходимого набора сервисных функций, последовательное выполнение команд.

Кроме того, имеется возможность выполнения следующих основных функций: сбор, накопление, хранение, обработку, использование, распространение информации о качестве подготовки будущих учителей математики.Первым этапом использования информационных технологий в системе организации мониторинга качества подготовки будущих учителей математики является использование разработанной базы данных с помощью Microsoft Office Access, которая представлена ​​в виде электронного журнала мониторинга качества знаний.

Электронный журнал предполагает накопление, хранение и систематизацию полученных результатов учебной деятельности учеников на уроках математики и представление этой информации в удобной для студента и преподавателя форме.

Личные запросы к созданной базы данных может сформировать любой пользователь, что делает систему открытой и способной выполнить любой корректно поставленный запрос в рамках тех параметров, хранящихся в базе. Важным элементом базы данных является приложения. Они составляют отдельные программы или комплексы программ, реализующих автоматизацию решения прикладных задач обработки данных. Поскольку одни и те же данные могут использоваться для решения нескольких задач, то и приложений к одной и той же базы данных может быть несколько. Все приложения, работающие с одной и той же базой данных, должны функционировать корректно: не мешать друг другу; учитывать все вносимые другими приложениями.

Разработан электронный журнал мониторинга качества знаний будущих учителей математики решает следующие задачи:

. Накопление и сохранение результатов учебной деятельности студентов.

. Формирование отчета по успеваемости студентов за отдельный содержательный модуль учебной дисциплины.

. Формирование отчета по успеваемости студентов по учебной дисциплине за отдельный семестр.

Созданная база данных позволяет получать информацию различным участникам учебно-воспитательного процесса

) студентам и их родителям - относительно собственных результатов учебной деятельности и группы в целом;

) преподавателям - информации, служить основой для повышения качества обучения;

) руководителям - по рейтингу учебных групп, способствовать оперативному реагированию и принятию мер для улучшения ситуации.

Главный приложение электронного журнала содержит блок дисциплин, блок содержательных модулей, блок отчетов содержательных модулей и семестров.

Каждый блок, кроме блока дисциплин, отражает следующую информацию: фамилия, имя, отчество, код отдельного студента группы, название группы и дисциплины.

В блок «Дисциплины» вносится перечень дисциплин, изучаемых студентами на этом этапе обучения.В приложении «Модуля» фиксируется: фамилия, имя, отчество, код отдельного студента, группу, название учебной дисциплины и содержательного модуля, результаты студента в баллах по видам учебной деятельности.

В данном приложении есть возможность: добавить, сохранить, удалить и найти запись; перейти к предыдущему или следующему записи, вернуться на главную страницу.

Приложение базы данных, содержащей отчеты по содержанию модули предоставляет возможность получения детальных отчетов отдельных групп по результатам обучения по различным видам учебной деятельности студентов и их текущих рейтинговых баллов.

Блок «Отчеты по семестра» отражает текущий рейтинговый балл за содержательные модули студентов отдельной учебной группы, их итоговый рейтинговый балл, общий балл, итоговую оценку по шкале ECTS.

Для создания отчета новой учебной дисциплины необходимо:

. Войти в блок «Дисциплины»

. Ввести название учебной дисциплины.

. Войти в блок «Модули»

. Ввести названия содержательных модулей учебной дисциплины.

. Ввести необходимые данные студентов и сохранить запись.

В исследовании созданный нами электронный журнал мониторинга качества знаний будущих учителей математики решает следующие задачи:

. Накопление и сохранение результатов учебной деятельности студентов.

. Формирование отчета по успеваемости студентов за отдельный содержательный модуль учебной дисциплины.

. Формирование отчета по успеваемости студентов по учебной дисциплине за отдельный семестр.

На втором этапе мониторинговых исследований, для поддержки принятия решения о качестве подготовки будущих учителей математики, экспериментальная модель мониторинга реализована с помощью программного средства Fuzzy Logic Toolbox системы MATLAB и получила название «Model monitoring».

Автоматизированная система «Model monitoring» позволяет находить интегральный показатель качества подготовки будущих учителей математики для фиксированных частных показателей.В рамках нашего исследования, составляющими интегрального показателя качества подготовки будущих учителей математики есть такие лингвистические переменные:

объем знаний,

самостоятельность знаний

системность знаний,

прочность знаний,

организаторские способности,

коммуникативные способности,

способность к саморазвитию,

учебная мотивация .

Зависимость интегрального показателя от частных показателей качества подготовки учеников по математике можно представить в виде диаграмм или гистограмм.

Автоматизированной система «Model monitoring» ещё содержит строку меню, название, тип и параметры системы, количество входных, выходных переменных, название входных, выходных переменных и их диапазон значений.

В процессе использования автоматизированной системы «Model monitoring» можно выполнять следующие операции:

¾    Вводить параметры системы;

¾      Вводить количество входных переменных;

¾      Задавать имя для каждой входной и выходной переменных

¾      Задавать диапазон значений для входных и выходных переменных;

¾      Вводить названия термов входных и выходных переменных;

¾      Выбирать тип функций принадлежности для отдельного терма входной и выходной переменных

¾      Вводить и дополнять базу правил;

¾      Вводить значения входных переменных;

¾      Выполнять логический вывод.

На рабочем окне автоматизированной системы «Model monitoring» будет представлен результат выполнения нечеткого вывода для соответствующих входных переменных.

Таким образом, использование автоматизированной системы «Model monitoring» решает следующие задачи:

. Поддержка принятия решения относительно качества подготовки будущих учителей математики.

. Прогнозирование результатов подготовки будущих учителей математики.

.1.2 Технология проверки качества знаний с помощью электронных таблиц Excel

При работе в MS Excel результатом плодотворной работы может служить книга, состоящая из: листов статистики выполнения работ; отчетного листа (статистика выполнения всех работ, средний балл); индивидуальная траектория (сводная таблица, позволяющая увидеть статистику выполнения задач группы В и С на протяжении всех написанных работ и плюс средний балл); диаграмм (графическое представление данных по каждому учащемуся из листов «Отчет» и «Индивидуальная траектория»).

Рабочие листы (листы статистики) представляют собой таблицы, в которых учитель отмечает выполнение учащимися заданий теста. Показатели качества выполнения заданий и отметка выставляется автоматически (для профиля и базы разные критерии выставления отметки).

На основе рабочих листов формируется лист «индивидуальная траектория», где в автоматическом режиме вычисляется процент качества выполнения каждого задания учеником за определенный период.

Графическое представление данных по каждому учащемуся из листов «Отчет» и «Индивидуальная траектория» представлено в виде диаграмм.

Рекомендации по работе с программой представлены в приложении №1.

Разработанная технология обладает целым рядом преимуществ:

¾    Возможностью обработки большого количества информации из разных источников данных;

¾      Избавлением от накапливающихся в папках и столах листов с отчетами;

¾      Упрощением труда при составлении отчетов для руководства;

¾      Возможностью отследить индивидуальные особенности каждого ученика и составить для него личную траекторию подготовки к экзамену, разработать индивидуальные задания, необходимые учащемуся;

¾      Возможностью аргументировано вести беседу с родителями учеников, документально подтверждая наличие проблем у ребенка и отличие его уровня подготовки от класса в целом.

Наглядным представлением информации ученикам.

Учащиеся с удовольствием изучают свои диаграммы, сами просят дать им дополнительные задания, что нам представляется очень важным, радуются, если после написания новой работы статистика выполнения какого-то задания имеет положительную динамику.

2.1.3 Онлайн сервисы и Интернет сайты для подготовки к ЕГЭ по математике

ЕГЭ - это единый государственный экзамен, одновременно являющийся выпускным экзаменом из школы и вступительным экзаменом в вуз.

В сети Интернет очень много сайтов с различным материалом для подготовки к ЕГЭ, но выделим несколько самых популярных и известных Интернет ресурсов для подготовки к ЕГЭ по математике.

Информационный портал единого государственного экзамена <#"649059.files/image018.gif">

Рисунок 2.5 - Задачи автоматизированных обучающих систем

Согласно данным таблицы бесспорным лидером является функция контроля, практически используется в семи средствах компьютеризированного обучения (кроме справочника, мультимедиа, лабораторного практикума). Следовательно, относительный рейтинг использования функции контроля 7 из 10. Затем следует функция формирования умения и навыков (рейтинг 6). Наименьший рейтинг имеет функция выработки умений, анализа и принятия решений в нетиповых проблемных ситуациях, требующих творческого подхода (рейтинг 1, а с дополнительными целями 3). Из анализа следует, что компьютерные средства обучения (КСО) поддерживают, в основном, цепочку: «знание - умение - навыки», и реализацию для этой цепочки функций контроля и информационного обеспечения, восприятия и применения в типовых ситуациях. Причина этого станет более понятной, если обратить внимание на перечень учебных курсов (более 200), реализуемых, например, компьютерным центром обучения «Специалист» при МГТУ им. Н.Э. Баумана (www.specialist.ru): тематика направления курсов - «базовая компьютерная подготовка».

Из проведённого анализа по первоисточникам вытекает одна из особенностей современных систем образования и обучения - это направленность на базовую компьютерную подготовку и переподготовку кадров специалистов, поддерживаемая монополистами - производителями персональной техники и её программно-математического обеспечения, заинтересованными в широком использовании ПЭВМ и информационных технологий.

Для этого достаточно реализации педагогической цепочки стратегий: «знание - умение - навыки» - при массовой организации обучения. Естественно, что в этом случае функция контроля знаний и умений является определяющей.

Результаты мониторинга качественных особенностей обучения в вузе сведены в табл. 2.1.

Таблица 2.1 - Результаты мониторинга систем обучения.

№ п/п

Проблемы компьютерных педагогических систем

Краткая характеристика проведенного мониторинга

1

Базовая компьютерная подготовка и переподготовка кадров преобладает над остальными видами учебной деятельности.

В технических вузах доминирует направленность на компьютерную подготовку и переподготовку специалистов, поддерживаемая производителями персональной вычислительной техники и программного обеспечения.

2

Закон обеспечения связности учебного процесса (закон пересечения знаний в объемах старой и новой информации).

Действует универсальный закон «необходимого отношения содержания» новой информации в потоке же известной (закон семантической связности, как проявление универсального закона 20%).

3

Индивидуальная экспертная оценка качества процесса, распределенная на ЖЦО (субъективизм, ошибки наблюдений и выборки).

Особенности индивидуальной экспертизы: преподаватель как эксперт определяет оценку в условиях учета «неформализуемых» факторов будущетворения и доминирования человеческого фактора.

4

Закон порога обученности на каждой ступени обучения: узнавание, воспроизведение, типовое применение и творчество.

Двухэтапность учебного процесса: усвоение деятельности на этапе «знания-умения-навыки» - необходимая ступень перехода к развитию мышления и творчества в нетиповых ситуациях.

5

Зависимость затрат времени диалога от степени абстракции описания предметной области.

Динамика познавательного восхождения зависит от степени абстракции используемого языка, моделей и методов описания ПОЗ и ПОД, определяющей время диалога и самодиалога информационного обмена.

6

Принципиальные ограничения по возможностям дидактических систем и комплексов и их учет при проектировании педагогических систем.

Существую принципиальные ограничения на возможности дидактических систем, влияние которых на процессы компьютеризации обучающих систем недостаточно изучены.

7

Рефлексно-нерефлексный и тенденциальный характер поведения субъекта обучения.

Продуктивное поведение субъекта в субъект-объектных и субъект-субъектных отношениях определяет тенденциальный характер проявления законов в социальных системах.

8

Изменения технической и технико-логической среды, связанные с инновационными процессами компьютеризации общества.

Существенная динамика изменений и влияние инновационных коммуникационных технологий на процессы передачи, сбора, обработки и формы представления информации.

9

Негауссовские (неклассические) законы распределения, действующие в сложных информационных и технологических системах.

Гиперболический характер критериев ранговой и частотной форм ранжирования (закон Ципфа - Парето). Направление неисследованных возможностей для группового ранжирования.


.3 Стратегия создания методического обеспечения по математике

Для проведения мониторинга можно предложить учителям математики использовать для проверки учеников 11 классов ряд диагностических работ из цикла В6, В7, В8, В9, В13, В14 .(Приложение №2)

Рассмотрим примерные задания и решения к ним из этих 6 циклов.

В6. Найдите площадь четырехугольника, изображенного на клетчатой бумаге с размером клетки 1 см x 1 см (см. рисунок). Ответ дайте в квадратных сантиметрах.

Решение


Площадь трапеции ABCD: SABCD = h(BC +AD) = ⋅4⋅(3+6) = ⋅4⋅9 = 18

Ответ: 18

В7. Найдите значение выражения log 2200 + log 2.

Решение


Ответ: 3

В8. На рисунке изображен график функции y = f(x) и касательная к этому графику в точке абсциссой, равной 3.

Найдите значение производной этой функции в точке x = 3.

Решение


Для решения используем геометрический смысл производной: значение производной функции в точке равняется угловому коэффициенту касательной к графику этой функции, проведенной в этой точке.

Угловой коэффициент касательной равен тангенсу угла между касательной и положительным направлением оси х (tg α).

Угол α = β, как накрест лежащие углы при параллельных прямых y=0, y=1 и секущей-касательной. Для треугольника ABC tg β = = = 2.


Ответ: 2

В9. Объем первого цилиндра равен 12м³. У второго цилиндра высота в три раза больше, а радиус основания - в два раза меньше, чем у первого. Найдите объем второго цилиндра. Ответ дайте в кубических метрах.

Решение

Объем цилиндра вычисляется по формуле V = πR²H, где R - радиус основания, H - высота цилиндра. Из условий задачи



Тогда


Ответ: 9

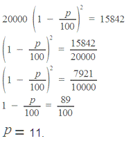
В13. Цена холодильника в магазине ежегодно уменьшается на одно и то же число процентов от предыдущей цены. Определите, на сколько процентов каждый год уменьшалась цена холодильника, если, выставленный на продажу за 20000 рублей, через два года был продан за 15842 рублей.

Решение

Эта задача тоже решается по одной из формул, приведенных в начале статьи. Холодильник стоил 20000 рублей. Его цена два раза уменьшилась на р%, и теперь она равна:

Ответ: 11.

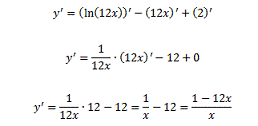
В14. Найдите наибольшее значение функции


Решение:

. Найдём производную функции:


. Найдём критические точки. Для этого приравняем производную к нулю и решим уравнение:


Набольшее значение функции: 1.

Ответ: 1.

Для положительной сдачи ЕГЭ необходимо знать основные теоретические моменты, а именно:

Проанализируем каждый блок циклов В6, В7, В8, В9, В13, В14 .

Цикл В6 Планиметрия: задачи, связанные с углами. Содержит задания по темам:

¾    Прямоугольный треугольник: вычисление углов     

¾      Прямоугольный треугольник: вычисление внешних углов       

¾      Прямоугольный треугольник: вычисление элементов     

¾      Равнобедренный треугольник: вычисление углов   

¾      Равнобедренный треугольник: вычисление элементов     

¾      Треугольники общего вида 

¾      Параллелограмм        

¾      Прямоугольник 

¾      Ромб

¾      Трапеция  

¾      Центральные и вписанные углы   

¾      Касательная, хорда, секущая       

¾      Окружность, вписанная в треугольник 

¾      Окружность, вписанная в четырехугольник  

¾      Окружность, вписанная в многоугольник      

¾      Окружность, описанная вокруг треугольника        

¾      Окружность, описанная вокруг четырехугольника

¾      Окружность, описанная вокруг многоугольника

Цикл В7 Вычисления и преобразования. Содержит задания по темам:

¾    Преобразования числовых рациональных выражений     

¾      Преобразования алгебраических выражений и дробей   

¾      Преобразования числовых иррациональных выражений

¾      Преобразования буквенных иррациональных выражений       

¾      Преобразования буквенных показательных выражений 

¾      Преобразования числовых логарифмических выражений        

¾      Преобразования буквенных логарифмических выражений      

¾      Вычисление значений тригонометрических выражений  

¾      Преобразования числовых тригонометрических выражений   

¾      Преобразования буквенных тригонометрических выражений

Цикл В8 Графики функции, производных функций. Исследование функций. Содержит задания по темам:

¾    Физический смысл производной    

¾      Геометрический смысл производной, касательная  

¾      Применение производной к исследованию функций        

¾      Первообразная

Цикл В9 Многогранники. Измерение геометрических величин. Содержит подготовительный материал по темам:

¾    Пирамида   

¾      Призма     

¾      Составные многогранники  

¾      Круглые тела

Цикл В13 Составление уравнений и неравенств по условию задач. Их решение. Содержит ряд задач по темам:

¾    Задачи на проценты, сплавы и смеси      

¾      Задачи на движение по прямой    

¾      Задачи на движение по окружности      

¾      Задачи на движение по воде

¾      Задачи на совместную работу      

¾      Задачи на прогрессии

Цикл В14 Исследование функций. Применение производной функции. Содержит задания по темам:

¾    Исследование степенных и иррациональных функций      

¾      Исследование рациональных функций  

¾      Исследование произведений и частных 

¾      Исследование логарифмических функций      

¾      Исследование тригонометрических функций 

¾      Исследование функций без помощи производной

Используя результаты мониторинга (Электронное приложение 2 ), а также собственные наблюдения, учитывая индивидуальные особенности и анализ различных работ учащихся, учитель может организовать итоговое повторение по одному из предложенных нами планов, названных стратегиями. (Страте́гия (др.-греч. στρατηγία - «искусство полководца») - общий, недетализированный план какой-либо деятельности, охватывающий длительный период времени, способ достижения сложной цели.)

Первая стратегия, в основе которой лежит уровневая дифференциация, а именно классификация Капиносова А.Н. может быть применена на протяжении всего обучения в 11 классе либо в период итогового повторения перед ЕГЭ по усмотрению учителя, как в урочной так и в неурочной деятельности. Капиносов А.Н. рассматривает разбиение учащихся на 4 группы.

Основой разбиения являются различия учащихся в темпах овладения учебным материалом, а также в способностях самостоятельно применять усвоенные знания и умения.группа (А) - учащиеся с высоким темпом продвижения в обучении: общие схемы выполнения типовых задач фактически усваивают в процессе их первичного объяснения, во многих случаях могут самостоятельно находить решения измененных типовых или усложненных задач, предполагающих применение нескольких известных способов решения.группа (В) - учащиеся со средним темпом продвижения в обучении: овладение новыми знаниями и умениями не вызывает особых затруднений, способы выполнения типовых задач усваивают после рассмотрения 2-3 образцов, решения измененных и усложненных задач находят, опираясь на указания учителя.группа (С) - учащиеся с низким темпом продвижения: при усвоении нового материала испытывают определенные затруднения, во многих случаях нуждаются в дополнительных разъяснениях, обязательными результатами овладевают после достаточно длительной тренировки, способностей к самостоятельному нахождению решений измененных и усложненных задач, как правило, не проявляют.группа (D) - неуспевающие учащиеся, значительно отстающие в умственном развитии от сверстников и имеющие существенные пробелы в знаниях. Достижение учащимися этой группы даже уровня обязательных результатов представляет сложную педагогическую задачу.

Элементарным делением учащихся на указанные группы может быть деление в соответствии с полученной оценкой за диагностическую работу.

¾    Оценка «5»- группа А;

¾      Оценка «4»- группа В;

¾      Оценка «3»- группа С;

¾      Оценка «2»- группа D.

Такое деление может осуществляться систематически, как в урочной, так и в неурочной деятельности. Уроки итогового повторения, а именно этапы проверки умений учащихся могут быть организованны следующим способом.

Группа А получает задания повышенной и высокой сложности (часть С ЕГЭ) и выполняют их самостоятельно. Группы В и С получают задания базового уровня (часть В ЕГЭ), при этом группа В выполняет их самостоятельно, а группа С с помощью учителя. Вместе с тем, учащиеся имеют право перейти из одной группы в другую, оценив свои возможности, при выполнении предложенных заданий. То есть, если ученик, состоящий в группе С, чувствует, что способен выполнить задания самостоятельно, то он может присоединиться к группе В, в свою очередь, учащиеся из группы В, имеющие затруднения в самостоятельном выполнении заданий могут перейти в группу С. Учащиеся группы А при возникающих затруднениях могут воспользоваться консультацией учителя. Следует отметить, что окончательное решение по переходу ученика из одной группы в другую может быть принято только учителем на основании результатов промежуточной работы ученика, а также результатов диагностической работы.

С помощью дифференцированных форм учебной деятельности могут быть реализованы следующие цели.

С учащимися группы А и В.

Расширение и углубление знаний, формирование умений решать задачи повышенной сложности.

Развитие устойчивого интереса к предмету, углубление представлений о роли математики в жизни, науке, технике.

Развитие умения самостоятельно работать с учебной и научно-популярной литературой.

Доведение учащихся до более высокого уровня усвоения знаний и способов деятельности.

С учащимися группы С.

Создание соответствующих условий; повторение, ликвидация пробелов, актуализация знаний для успешного изучения новой темы.

Развитие и закрепление интереса к математике и к учебной деятельности, выполняемой в процессе обучения математике.

Формирование навыков учебного труда, умений самостоятельно работать над задачей.

Доведение учащихся до хорошего уровня усвоения знаний и способов деятельности.

С учащимися группы D.

Ликвидация пробелов в знаниях и умениях.

Пробуждение интереса к предмету путем использования игровых элементов, занимательных и логических задач наряду с систематической организацией самостоятельной работы учащихся на уроке и дома.

Развитие навыков и умений осуществлять самостоятельную деятельность по образцу и в сходных обстоятельствах, воспроизводить изученный материал, решенную задачу.

Доведение учащихся до минимального уровня усвоения знаний и способов деятельности.

Уровень сформированности предметных умений является основой для второй стратегии организации итогового повторения. Учитывая результаты диагностической работы, путём их проработки в соответствии с Кодификатором требований к уровню подготовки выпускников общеобразовательных учреждений для проведения в 2013 году единого государственного экзамена по математике, рекомендуется следовать следующему плану:

Выяснить, что получилось удачно.

Определить задания, с которыми не справились более 18% учеников.

Выявить причины ошибок.

Организовать занятия по устранению пробелов в умениях, как в урочной, так и в неурочной деятельности.

Применительно к экспериментальному классу, на основании результатов, отражённых в листе «Индивидуальная траектория» (Приложение №3) можно выделить следующие задания части В, с которыми не справились более 18% учащихся: В6, В7,В8, В9, В13, В14.

Рассмотрим стратегию дальнейших действий по устранению пробелов в умениях на примере группы учащихся, не справившихся с заданием В8.

Необходимо выявить причины ошибок, используя предложенные схемы. (Приложение №4)

При планировании занятий необходимо принимать во внимание результаты анализа ошибок по теме, их причины, а также план по ликвидации пробелов.

Конечно же следует провести индивидуальную работу с учащимися, не справившимися с заданиями части В, которые не вошли в список, соответствующий пункту 2), то есть с теми заданиями, общий процент выполнения которых в классе более 82%. Для этих учеников целесообразным будет подготовить индивидуальные практические домашние задания по неусвоенной теме, сопроводить их теоретическим материалом в соответствии с предложенным списком. (Приложение №5)

Дидактическим обеспечением при подготовке к занятиям данного типа могут быть тематические тесты, проверочные работы по отдельным темам или умениям, а также сборники тематически подобранных задач.

Нами предложена контрольная работа по теме «Логарифмы», которая может быть проведена на уроке по устранению пробелов в качестве блочно-тренировочной либо уровневой контрольной работы.

Выполняя блочно-тренировочную работу, ученики должны следовать приложенной инструкции к программному продукту и выполнять работу по инструкции.

При проведении уровневой контрольной работы, используя предложенные задания, следует оценивать только 10 из решённых, имеющих наибольший балл. Перевод баллов в школьную оценку представлен в приложении.

В качестве домашнего задания могут выступать нерешённые учеником задания, теоретический материал по неусвоенной теме, а также творческое задание в зависимости от уровня обученности ученика.

Сопровождением данной стратегии может являться Приложение №5.

Третьей стратегией организации итогового повторения может быть проведение индивидуальных или групповых консультаций с учётом индивидуальных особенностей учащихся, таких как:

¾    Уровень развития мышления;

¾      Особенности памяти;

¾      Мотивация;

¾      Состояние здоровья ребёнка и др.

Например, могут быть сформированы следующие группы:

¾    Учащиеся со слабым здоровьем;

¾      Учащиеся с низкой мотивацией;

В соответствии с ведущим каналом восприятия: визуалы, аудиалы, кинестетики.

Проведение таких консультаций требует включения специальных приёмов, методов, средств, позволяющих эффективно организовать занятия с каждой категорией учащихся.

В отечественной психологической науке индивидуальные особенности человека в течение длительного времени изучаются в связи с учением о типологических свойствах нервной системы.

Рассмотрим особенности работы с учащимися со слабой нервной системой. Для начала выделим те учебные ситуации, в которых возникают трудности у учащихся со слабой нервной системой:

) длительная напряженная работа (как домашняя, так и на уроке); слабый быстро устает, теряет работоспособность, начинает допускать ошибки, медленнее усваивает материал;

) ответственная, требующая эмоционального, нервно-психического напряжения, самостоятельная, контрольная или экзаменационная работа, в особенности если на нее отводится ограниченное время;

) ситуация, когда учитель в высоком темпе задает вопросы и требует на них немедленного ответа;

) работа в условиях, когда учитель задает неожиданный вопрос и требует на него устного ответа; вообще следует отметить, что для слабого по своим нейродинамическим особенностям учащегося благоприятнее ситуация письменного ответа, а не устного;

) работа после неудачного ответа, оцененного отрицательно;

) работа в ситуации, требующей отвлечения (на реплики учителя, ответ или вопрос другого учащегося);

) работа в ситуации, требующей распределения внимания или его переключения с одного вида работы на другой (например, когда во время объяснения учитель одновременно ведет опрос учащихся по прошлому материалу, привлекает разнообразный дидактический материал - карты, слайды, учебник, заставляет делать записи в тетради, отмечать на карте, следить по учебнику и т.д.);

) работа в шумной неспокойной обстановке;

) работа после резкого замечания, сделанного учителем, после ссоры с товарищем и т.д.;

) работа у вспыльчивого, несдержанного педагога;

) ситуация, когда требуется на уроке усвоить большой по объему и разнообразный по содержанию материал.

У инертных учащихся особое затруднение возникает в ситуациях, когда:

) учитель предлагает классу задания, разнообразные по содержанию и по способам решения;

) учитель подает материал в достаточно высоком темпе и не ясна последовательность вопросов, обращённых к классу;

) время работы ограничено и невыполнение в срок грозит отрицательной оценкой;

) требуется частое отвлечение (на реплики учителя, ответ или вопрос другого учащегося);

) учитель задает неожиданный вопрос и требует быстрого ответа;

) необходимо быстрое переключение внимания с одного вида работ на другой;

) оценивается продуктивность усвоения материала на первых порах его заучивания;

) требуется выполнять задания на сообразительность при высоком темпе работы.

В указанных ситуациях у учащихся с сильной и лабильной нервной системой изначально существуют преимущества перед слабыми и инертными. Подобный круг требований в целом соответствует их нейрофизиологическим особенностям и их привычным, естественным проявлениям. Слабые и инертные учащиеся действовать в таких ситуациях сообразно своим природным возможностям не могут, поскольку динамические особенности их нервной системы, с одной стороны, и динамические характеристики построения учебных ситуаций, с другой, вступают в противоречие друг с другом. Успешная работа в некоторых ситуациях им вообще недоступна, в других они могут успешно действовать только при наличии специально выработанных приспособительных приемов. Существенную роль при этом может играть учитель. Он способен как облегчить, так и осложнить учебную деятельность ученика. Так, известно, что полезными для учащихся со слабой нервной системой будут следующие правила, используемые учителем:

) не ставить слабого в ситуацию неожиданного вопроса и быстрого ответа на него; нужно дать ученику достаточно времени на обдумывание и подготовку;

) желательно, чтобы ответ был не в устной, а в письменной форме;

) нельзя давать для усвоения в ограниченный промежуток времени большой, разнообразный, сложный материал; нужно постараться разбить его на отдельные информационные куски и давать их постепенно, по мере усвоения;

) лучше всего не заставлять отвечать новый, только что усвоенный на уроке материал; следует отложить опрос на следующий урок, дав возможность ученику позаниматься дома;

) путем построения правильной тактики опросов и поощрений (не только оценкой, но и замечаниями типа «отлично», «умница», «молодец» и т.д.) нужно формировать у него уверенность в своих силах, в своих знаниях; эта уверенность поможет ученику в экстремальных, стрессовых ситуациях экзаменов, контрольных, олимпиад и т.д.;

) следует осторожно оценивать неудачи ученика, ведь он и сам очень болезненно относится к ним;

) во время подготовки ответа нужно дать время для проверки и исправления написанного;

) следует в минимальной степени отвлекать его, стараться не переключать его внимания, создавать спокойную, не нервозную обстановку.

При работе с инертными учениками нужно особо обратить внимание на следующие моменты:

) не требовать от них немедленного включения в работу; их активность в выполнении нового вида заданий возрастает постепенно;

) следует помнить, что инертные не могут проявлять высокую активность в выполнении разнообразных заданий, а некоторые вообще отказываются работать в таких условиях;

) не нужно требовать от инертного ученика быстрого изменения неудачных формулировок, ему необходимо время на обдумывание нового ответа; они чаще следуют принятым стандартам в ответах, избегают импровизации;

) поскольку инертные ученики с трудом отвлекаются от предыдущей ситуации (например, от дел, которыми они были заняты на перемене), не следует проводить их опрос в начале урока;

) нужно избегать ситуаций, когда от инертного требуется быстрый устный ответ на неожиданный вопрос; инертным необходимо предоставить время на обдумывание и подготовку;

) в момент выполнения заданий не следует их отвлекать, переключать внимание на что-либо другое;

) нежелательно заставлять инертного ученика отвечать новый, только что пройденный материал: следует отложить его опрос до следующего раза, дав возможность позаниматься дома.

Но наиболее эффективный путь воспитания состоит в том, чтобы помочь самому учащемуся найти наиболее подходящие именно для него приемы и способы организации своей деятельности, показать, как самому ученику преодолеть собственные трудности и развить свои преимущества и дарования. При этом нужно помнить о необходимости максимально использовать и развивать выявленные у них положительные особенности и за счет этого изыскивать пути компенсации тех качеств, которые препятствуют успешной учебе.

Таким образом, на основании рассмотренной технологии мониторинга обученности учащихся, мы разработали несколько стратегий организации итогового повторения на основе индивидуальных образовательных траекторий. Учитель с целью повышения эффективности подготовки учащихся к итоговой аттестации может выбрать для себя одну из предложенных стратегий, а также разработать свою собственную.

Глава 3 Рекомендации и предложения по совершенствованию системы мониторинга

.1 Использование информационных технологий в подготовке к ЕГЭ по математике

В условиях развития информационно-инновационного хозяйства получения и формирования конкурентных преимуществ экономическими субъектами тесно связано с использованием современных информационных технологий и в учебных учреждениях.

Достижения в сфере телекоммуникаций, в частности развитие и широкое распространение глобальной компьютерной сети Интернет, определило актуальность и привело к необходимости внедрения информационных и телекоммуникационных технологий в сфере образования.

Фронтальная работа с помощью электронного учебника, кроме учебного занятия, продолжаться и во время домашней или самостоятельной работы, обобщение или повторение учебного материала, работы с дополнительным материалом, рассчитанным на выполнение практических задач.

Использование электронных учебников (ЭП) не только сэкономит время преподавателю при подготовке к занятиям, но и эффективно повлияет на работоспособность студентов при обработке теоретического материала, выполнении практических заданий, работы с вспомогательным материалом, самостоятельного анализа полученных знаний, поможет достичь ожидаемых результатов в учебе.

Визуализация исходных и промежуточных данных обработки текущих и конечных результатов, отраженных в удобной для пользователя форме, воспроизведение теоретического и практического материала методами компьютерной анимации, видеофрагментами, тестами, практическими заданиями для самоанализа и самоконтроля - все это способствует постоянном динамическомобновлению методов и форм использования электронного учебника в учебном процессе.

Электронные пособия и учебники, безусловно, улучшают уровень и качество полученных знаний, с последующим поощрением к совершенствованию собственных умений и навыков экономят аудиторный время. Для дальнейшего эффективного использования ЭП как основного средства обучения в образовательном пространстве мы должны иметь соответствующий уровень информационной культуры.

Одним из важнейших элементов культуры вообще, что характеризует материальный и духовное развитие общества, является информационная культура, которая определяет достигнутый уровень организации информационных процессов, степень удовлетворения потребностей людей в информационном общении, в своевременной, достоверной и исчерпывающей информации, что обеспечивает целостное видение мира [13].

Овладение информационной культурой способствует реальному пониманию человеком своего места и своей роли в обществе. Формирование информационной культуры средствами электронного учебника способствовать формированию специалиста информационного сообщества, производя в нем умения и навыки дифференциации информации, выделение главного, обработки и ее использования. Общий смысл понятия "информатизация" представляет собой совокупность взаимосвязанных организационных, правовых, политических, социально-экономических, научно-технических, производственных процессов, направленных на удовлетворение потребностей общества на основе создания, развития и применения систем, сетей, ресурсов, технологий, используют современную вычислительную и коммуникационную технику [14].

В состав информационных ресурсов входят знания, сведения, данные, получаемые в результате исследовательской и практической деятельности человека, которые могут быть использованы в производстве и управлении организацией как фактор повышения ее эффективности. По другому определению, информационные ресурсы являются концентрацией имеющихся фактов, документов, данных и знаний, которые отражают меняющиеся состояния общества и используются в подготовке кадров, научных исследованиях, материальном производстве [6].

По категории "информация", то, по мнению некоторых ученых, - это информационный ресурс, зафиксирован на материальном носителе, хранящейся в информационной системе (библиотеке, архиве, банка данных и т.д.). [7].

Информатизация служит инструментом глобального перераспределения идей, власти, ресурсов, капиталов, кадров, труда, определяя современную парадигму сословия образование.

Она охватывает:

¾    информационные ресурсы власти;

¾      информационно-коммуникативные технологии, информационное обеспечения;

¾      информационную элиту (владельцев СМИ, сетевых агентств и т. д.);

¾      рынок телекоммуникационных средств, информпродуктов; образование; кадры (управленческий персонал).

Для эффективной работы с информацией необходимо создать соответствующие условия, в том числе инфраструктуру, которая представляет собой совокупность каналов, хранилищ, информационных технологий (ИТ), правовой и финансово экономической базы деятельности органов власти и т.д.

Понятие "информационная технология" занимает комплекс методов обработки данных, виды информации, актуальной именно в данный момент. В более широком понимании - это наука о способах воздействия органов управления на совокупность данных и знаний, необходимых для решения перспективных задач. Различают два вида информационных технологий - рационализаторские и креативные. Первые отличаются большой сложностью и разнообразием функций, охватывают не только стадию связи, но и в определенной степени стадии использования сообщений в системе пользователя; технология связи входит в информационные технологии этого уровня как один из элементов. Вторые охватывают полный информационный цикл - выработку новых знаний, их передачу, переработку, использование для преобразования объекта, достижения новых целей.

Методическое преподавания дисциплин в школе базируется на классических и инновационных подходах к учебно-познавательной деятельности студентов и постоянно совершенствуется под влиянием изменений экономических и социальных процессов в стране. В современных условиях методика преподавания в школе позволяет не только углубить и интенсифицировать процесс познания студентами явлений окружающей действительности, но и гуманистически направить его по содержанию, технологическими компонентами и структурными элементами. Разные авторы по-разному определяют понятие дистанционного обучения (ДО), но все они едины в том, что в определение ДН входят следующие три компонента: открытое обучение, компьютерное обучение, компьютерная система коммуникаций (Интернет).

Дистанционное обучение (ДО) - это технология, основанная на принципах открытого обучения, широко использует компьютерные обучающие программы различного назначения и создает с помощью современных телекоммуникаций информационное образовательную среду для доставки учебного материала и общения [3, c. 18].

Основу образовательного процесса при ДО составляет целенаправленная и контролируемая интенсивная самостоятельная работа слушателя, который может учиться в удобном для себя месте, по индивидуальному расписанию, имея при себе комплект специальных средств обучения и согласованную возможность контакта с преподавателем.

В условиях формирования инновационного общества функциональными особенностями образования выступает не только способность предоставлять учащимся, накопленный в предыдущие годы объем знаний и навыков, но и повышать способность к восприятию и использованию на практике новых научных идей, технического инструментария и методовпроизводства, формировать у студентов новаторские способности, инициативу и предприимчивость.

Поэтому задачей современной экономической образования является не только дать теоретические знания, но и подготовить специалистов новой формации, приблизить обучение к реалиям практики. Решить эти задачи помогает применение информационных технологий обучения, игровых методов обучения, проведения деловых, ролевых игр [2, с. 264].

Безусловно, каждый преподаватель применяет свою, присущую ему методику, но, как показывает опыт, специалисты, подготовленные с использованием в обучении информационных технологий, интерактивных методов и информационных технологий обучения, представляют собой более уверенных и опытных экономистов или бухгалтеров, которые не стесняются, встречаясь с нестандартными профессиональными проблемами. Преподавание учетных дисциплин имеет свою специфику, которая зависит от быстро изменяющего налогового учета или бухгалтерского законодательства. Но переход к обучению согласно требованиям Болонской декларации ставит перед преподавателями задачу пересмотреть свои методики, ведь от качества подготовки будущих экономистов зависит насколько верно, стремительно в дальнейшем будет развиваться, и восстанавливаться экономика государства.

В системе образования ДО отвечает принципу гуманистичности согласно которому никто не должен быть лишен возможности учиться из-за географической изолированности, социальной незащищенности и невозможности посещать образовательные учреждения в силу физических недостатков или занятости производственными и личными делами. являясь следствием объективного процесса информатизации общества и образования и, вбирая в себя лучшие черты других форм, ДО вошло в ХХI век как наиболее перспективная, синтетическая, гуманистическая, интегральная технология получения образования.

Дистанционному обучению присущи определенные характерные черты, отличающие его от традиционных форм обучения:

Гибкость - возможность заниматься в удобное для себя время, в удобном месте и темпе, нерегламентированных отрезок времени для освоения дисциплины;

Модульность - возможность из набора независимых учебных курсов-модулей формировать учебный план, отвечающий индивидуальным или групповым потребностям;

Параллельность - обучение без отрыва от производства;

Охват - одновременное обращение ко многим источникам учебной информации (Электронным библиотекам, банкам данных, базам знаний и т.д.) большого количества слушателей, общение через сети связи друг с другом и с преподавателями;

Экономичность - эффективное использование учебных площадей, технических средств, концентрированное и унифицированное представление учебной информации и мультидоступ к ней снижает затраты на подготовку специалистов;

Технологичность - использование в образовательном процессе новейших достижений информационных и телекоммуникационных технологий, способствующих продвижению человека в мировое информационное пространство;

Социальная равноправие - равные возможности получения образования независимо от места жительства, состояния здоровья, элитарности и материальной обеспеченности слушателей;

Интернациональность - экспорт и импорт мировых достижений на рынке образовательных услуг;

Новая роль преподавателя - дистанционное обучение расширяет и обновляет роль преподавателя, который должен координировать познавательный процесс, постоянно совершенствовать его курсы, повышать творческую активность и квалификацию в соответствии с нововведениями и инновациями.

Чтобы система ДО заняла достойное место в системе образования страны, нужно, прежде всего, создать глобальную компьютерную сеть образования и науки, поскольку именно компьютер содержит учебный материал, является одновременно и библиотекой, и центром справочной информации, и коммуникативным центром, что делает его одним из участников реализации программы непрерывного образования.

Использование современных технических и программных средств позволяет учебным заведениям обеспечивать [4]:

Взаимодействие учителей и учащихся независимо от времени и пространства, в асинхронном и синхронном режимах во всем мире (телеконференции, аудио и видео конференции, E-mail, CHAT)- Доступ преподавателей и студентов к мировым информационным ресурсам (зарубежных и электронных библиотек, периодических изданий, баз данных, экспертных систем);

Привлечение высококвалифицированных специалистов со всего мира как для проведения лекций и семинаров, конференций и симпозиумов, так и для предоставления консультаций позволяет расширить профессиональные контакты педагогов и учащихся;

Разработки и реализации совместных проектов с другими отечественными и зарубежными учреждениями, ускоряет процесс интеграции в международную систему образования.

Использование гипертекстовой формата позволяет создавать учебные средства с качественно новыми возможностями визуализации учебного процесса, интегрированием графики, аудио и видео, гибкой системой иерархического представления учебного материала, дополнительных ссылок на вспомогательную литературу и глоссарии.

Зарубежные ученые выделили несколько типов возможностей гипермедиа-методов обучения [2]:

Обучение как дублирование, где гипермедиа обеспечивает текстовое или графическое отображения информации, структурные связи для управления, контексту связи для расширения поиска и ссылок, динамическое представление информации (анимация, звук, видео, другие внешние средстве);

Обучение с помощью логических законов - где части учебного материала могут быть спроектированы для управления учебно-познавательной деятельностью ученика в процессе обучения с помощью гипермедиа;- Обучение с помощью динамических взаимодействий, когда использование компьютера более активное и информация не только поставляется через оболочку курса, но и может быть изменена и дополнена учеником.

Но обучение заключается не только в ознакомлении с материалами учебных заведений. Для полноценного учебного процесса необходимо обеспечить организационные мероприятия по регистрации ученика, управления учебным процессом (электронный деканат) и вручение документа о получении образования. Необходимо также проводить промежуточный и конечный контроль знаний, постоянное эффективное взаимодействие учитель-ученик, учитель-группа и ученик-ученик с помощью телекоммуникационных технологий в течение всего межсессионного периода. Очень важным является обеспечение учителя средствами создания новых и изменения уже существующих электронных учебных материалов, тестов, а также гибкой системы управления электронной библиотекой.

Для обеспечения этих функций, а также возможности создания и интеграции в учебный процесс электронных учебных средств и тестов, нужно создавать интегрированные программные средства - информационные среды дистанционного обучения (ДО), должны содержать [5, 6]:

Средства навигации в рамках данной среды;

Информационно-учебный материал: лекции, учебники, словари, ссылки налитературные источники, на отдаленные сетевые ресурсы (базы данных. WWW-серверы,программное обеспечение и др..)- Средства контроля знаний: открытые вопросы, заполнение форм, тестирование в режимеon-line, тестирование в синхронном режиме;

Средства общения, электронная почта, списки рассылки, Chat, WWW-board,аудио-и видео-конференции.

Формирование необходимой информационно-технической реализационной базы запланированного процесса дистанционного обучения возникает первоочередной задачей при организации системы дистанционного образования.

Дистанционное обучение - это качественно новый, прогрессивный вид обучения, возникший в последней трети 20 века, благодаря новым технологическим возможностям, появившимся в результате информационной революции.

Для дистанционного обучения особое значение приобретает наличие и самое главное качество электронных учебников, которые должны быть по всем дисциплинам учебного плана. Работа с электронным учебником позволяет сделать учебный процесс индивидуальным. Каждый студент сам выбирает последовательность изучения учебного материала исходя из своего интереса и возможностей. Используя гиперссылки, оно в любой момент времени может перейти к необходимому раздела или темы, а имеющиеся в электронном учебнике элементы самоконтроля позволяют сразу же определить степень усвоения учебного материала, выявить пробелы в знаниях и сразу перейти к изучению плохо усвоенного материала. Наличие в электронном учебнике мультимедийной составляющей позволяет демонстрировать динамические модели изучаемых явлений, проводить лабораторные работы, строить и проверять на работоспособность электрические схемы, изменять их параметры и сразу же получать результат. Виртуальные лаборатории помогают без привлечения материальных ресурсов проводить исследования, выявлять закономерности, получать результаты, анализировать их, делать выводы и все это возможно на расстоянии. Поэтому дистанционно обучаются инвалиды. При дистанционном обучении значительно увеличивается доля самостоятельной работы студентов, а это в свою очередь приводит к изменению содержания форм и методов обучения.

Суть работы преподавателя в данных условиях состоит не в чтении лекций, а в создании учебно-методического обеспечения дисциплины в электронном виде, в постоянной работе над внесением необходимых изменений в учебный материал, подборе цветных иллюстраций, графиков, создании Flash-анимаций, тестов для самоконтроля. При наличии учебно-методического материала в электронном виде можно с помощью компьютерных программ достаточно быстро сделать электронную книгу. Но ее нельзя назвать полноценным электронным учебником, над ним сейчас работают специальные электронные издательства. Для управления учебным процессом, контроля знаний, доставки учебного контента студентам и обеспечения дидактическими материалами применяется специализированное программное обеспечение. Оно содержит систему автоматизированного документооборота, электронные информационные базы данных, словари терминов и интерактивные мультимедийные учебники, другие электронные материалы по всем курсах.

Программное обеспечение устанавливается на сервере учебного заведения. Но суть дистанционного обучения заключается не только в предоставлении учебно-методических материалов. Важно выполнить необходимые организационные меры для обеспечения приема студента на обучение, управление его обучением.

Несмотря на то, что именно технический потенциал современных информационных технологий помогает реализовать одно из главных преимуществ дистанционных систем - обучение на расстоянии, создание в учебном заведении соответствующей материально-технической базы не позволит достичь наивысшего эффекта. Главным все-таки является наличие и разработка учебно-методического обеспечения самостоятельной работы студентов или слушателей курсов. Предполагается использование так называемых электронных лекций, главное преимущество которых заключается в использовании электронных носителей информации, а это в свою очередь позволяет представлять ее в сжатом и более объемном виде.

Лекционный материал по математике может быть изложен в виде текста, озвученный и дополнен видеоматериалами; речь идет о видеолекции, слайды лекции, что студент сможет просмотреть самостоятельно в удобное для себя время и в характерном для его темперамента ритме. Хорошие компьютерные тренинги, различного рода тестирующие и обучающие программы, дополнительный иллюстративный материал, а также доступ в нужное время в справочных данных, словарных терминов.

.2 Рекомендации и предложения по совершенствованию системы мониторинга

Противоречия которые тормозят развитие современного образования - это:

Противоречие первое - между процессом среднего образования и жизнью учащихся.

Ученик современной школы выполняет учебный план, иногда не понимая, зачем ему это нужно, ходит в школу без удовольствия и интереса, если бы, то готовится к какому-то будущей жизни.

Противоречие вторая - между учебным и воспитательным процессом. Потому что всегда возникает вопрос - что важнее: знания или личность, ее ценности и достоинства

Противоречие третья - между знанием актуальным и будущим. Некоторые знания теряют актуальность, стареют уже в процессе изучения.

Противоречие четвертая - между объемом знаний и физическими и психологическими возможностями ученика. Большинство современных учащихся имеют хронические заболевания. Будущее не сулит перемен к лучшему. Возможности воли и памяти ребенка велики, но ограничены.

Сильные и слабые стороны деятельности школы по внедрению методологического обеспечения для технологий мониторинга качества обученности по математике представлено в таблице 3.1.

Таблица 3.1 - Сильные и слабые стороны деятельности школы

Сильные стороны

Слабые стороны

1

Стремление к получению положительного опыта и участия в развитии заведения

Недостаточное финансирование заведения

2

Творчество и неравнодушие, способность к инновациям большинства педагогических работников.

Несовершенство законодательной базы образования

3

Сохранение и приумножение традиций заведения

Не достаточная активность большинства членов учительского коллектива в работе с одаренными детьми

4

Постоянная работа педагогических над самосовершенствованием

Недостаточная активность учащихся в общественно-полезных делах

5

Поддержка родительской общины и учащихся


6

Рост и совершенствования материально-технической базы школы


7

Увеличение количества победителей и призеров олимпиад и конкурсов (на разных уровнях)



Таким образом

Негативные явления мониторинга по математике это:

¾    Затерянный интерес учащихся к знаниям, в частности;

¾    неумение учиться и преодолевать трудности познавательной деятельности;

¾      монотонность и однообразие деятельности ученика и учителя;

¾      отсутствие быстрой смены событий; непродуманность методики организации.

При организации внутришкольного контроля допускаются:

¾    перегрузки учителя; недостаточное информационное обеспечение научно-методической, педагогической литературой, периодикой;

¾      неучет потенциальных возможностей каждого учителя, его желание, опыт, способности, состояние здоровья; недостаточный индивидуальный подход к каждому педагога;

¾      отсутствие инициативы и равнодушие при выполнении педагогических обязанностей части учителей.

Пути устранения:

¾    найти причины педагогических неудач; продумать систему мер по их устранению;

¾      побуждать к самоанализу своей деятельности;

¾      создать условия для раскрытия творческого потенциала учителя;

¾      предоставление рекомендаций для самообразования.

Неиспользованные резервы

¾    Информационно-коммуникативные обеспечения;

¾      индивидуальная работа с учителями при выборе определенной теме, составление творческого плана педагога;

¾      обмен опытом среди коллег, по реализации личного творческого плана;

¾      стимулирования учителей к научно-исследовательской работе.

Результаты реализации

Для администрации:

¾    активизация деятельности всех структур школы;

¾      повышения эффективности управления; сохранения имиджа школы;

¾      использование механизмов и приемов стимулирования деятельности педагогов.

Для педагогического персонала:

¾    активизация деятельности всех структур школы; повышения эффективности управления;

¾      сохранения имиджа школы;

¾      использование механизмов и приемов стимулирования учеников.

Для учащихся:

¾    повышение уровня знаний учащихся;

¾      формирование информационных, интеллектуальных и коммуникативных компетенций;

¾      создание ситуации жизненного успеха во всех сферах школьной деятельности;

¾      формирование правовой и общественного сознания; создание комфортных психолого-педагогических условий;

¾      повышение показателей физического и психологического здоровья.

Для родителей:

¾    создание условий для удовлетворения потребностей в получении качественного образования детьми; у

¾      становления и укрепления дружеских отношений между семьями учащихся и школы;

¾      создание условий для удовлетворения интересов и развития разнообразных способностей школьников;

¾      сохранение и укрепление здоровья детей;

¾      воспитание гражданина способного к общественной жизни.

Для представителей общественности:

¾    повышение внимания и интереса к проблемам обучения и воспитания в школе;

¾      участие в решении проблем обучения и воспитания; создание положительного имиджа школы в социуме города, повышения ее конкурентоспособности.

Уровень свободы всех участников образовательного процесса должен стать главным критерием успешности работы образовательных систем нового тысячелетия.

Мотивация к «движению наперегонки собственной тени» является залогом прогресса в школьном образовании.

Актуальной проблемой современности становится эффективное использование современных инновационных информационно-коммуникативных технологий (ИКТ) в образовательном процессе, внедрение которых в сфере образования базируется на предположении, что обучение - это процесс, направленный на формирование соответствующего поведения специалиста, его навыков и умений, а не только получение знаний.

Современные условия требуют перехода к новой стратегии общества - к интеллектуализации экономики на основе широкомасштабного использования знаний и информации как стратегического ресурса развития общества [21].

Вопросы совершенствования подготовки учеников к единому государственному экзамену по математике, формирование компетенций, позволяющих им эффективно работать в условиях информационного общества, экономики знаний и кризиса переходного периода в России показывают необходимость уточнения трактовки отдельных положений и понятий относительно взаимосвязей между ними и разработки ряда методических вопросов по решению проблем изменения стиля обучения в процессе компьютерной подготовки студентов. Практика последних лет показала, что в учебных планах по многим дисциплинам количество лекций уменьшается, однако растут объемы практических и лабораторных работ, компьютерных практикумов и индивидуальных заданий, в пределах которых студент должен самостоятельно работать над решением конкретных задач, связанных с его будущей профессиональной деятельностью, с использованием того или иного программного средства.

Работа преподавателя (учителя) в этих условиях состоит не только в том, чтобы планировать, контролировать и оценивать самостоятельную работу студента.

Поскольку эффективность и результативность последней существенно зависит не только от уровня и качества методического обеспечения определенных видов учебной деятельности студента, но и от выбранной преподавателем технологии общения со студентами.

Повышение требований к оперативности принятия решений в условиях рыночной конкурентной среды привело к необходимости в актуальной учетной информации, которая поступала в определенный момент времени в удобной для восприятия форме. Потребность в информационном обмене как внутри предприятий, так и с внешней средой решается путем использования информационных систем.

Для таких целей в РФ, как и во многих странах СНГ, широко используются программные продукты фирмы «Windows», «Microsoft» на базе которых созданы сотни приложений, и фактически стали главным стандартом в оценке знаний по школьным предметам.

Аргументами по применению системы «Excel» могут быть следующие [3]: система может продемонстрировать современные подходы и технологии, имеет хорошую информационную и методическую поддержку, обеспечивает комплексный подход к решению различных задач, является "живыми" системами, которые развиваются.

Обучение и практика в среде системы «Microsoft Office», а именно в программе Excel с использованием современного инструментария ИКТ можно рассматривать как эффективную инновационную технологию.

Однако внедрение такой технологии в учебный процесс наталкивается на определенные препятствия, одним из которых является неготовность учителя отречься от своей традиционной роли «наставника». Как показывает западный опыт, при использовании ИКТ того, кто организует и проводит занятия называют «тренер», «модератор» [4].

Это предполагает переход к партнерскому стилю обучения, основные разногласия которого с распространенным в отечественных вузах традиционным авторитарным стилем приведены в таблице 3.2.

Таблица 3.2 - Характеристики различных стилей обучения

Характеристика

Авторитарный стиль обучения

Партнерский стиль обучения

Управляемое поведение

Решает все один Нет дискуссии по решениям, которые предлагаются Не информирует о все необходимое Детальный контроль

Дает необходимые директивы Советуется со студентами Информирует по мере необходимости Широкий самоконтроль студентов

Санкционированное поведение

Наказание Если благодарность, то направлена ​​на определенную личность

Помощь вместо наказания Конструктивная критика, Благодарность за дела

Ценностно-ориентированное поведение

Отношение к студенту как к своему подчиненному Нет интереса к его проблемам; нет понимания

Воспринимает студента как равного партнера Проявляет понимание проблем

Ожидаемое поведение

Лектор имеет недоверие; Имеет пессимистическое отношению к студентам

Полностью доверяет; Имеет оптимистичный настрой


Используя партнерский стиль обучения, преподаватель не вмешивается в рабочий процесс, не подавляет своим авторитетом. Он может либо принимать участие в обсуждении как равноправный член группы, или когда сложная ситуация, он может предложить несколько возможных путей поиска решения (и ни в коем случае не подсказывает само решение).

Таким образом, современное образование нельзя рассматривать в отрыве от глобальных процессов экономического, социального и культурного развития. Уже никто не сомневается в том, что большая часть изменений, происходящих в экономике, тесно связана с широким внедрением новых информационных технологий. По мере формирования нового информационного общества, очевидно, что существенного экономического преимущества смогут добиться лишь те вузы, студенты и преподаватели которых достигнут наивысшего уровня компетентности преобразования информации в знания и навыки с последующим их применением в своей профессиональной деятельности и повседневной жизни.

Одним из основных положений Болонского процесса является увеличение роли преподавателя, который средствами современных информационных, компьютерных и педагогических технологий в объединении с традиционными формами и методами организации учебного процесса, создает образовательную и учебную среду.

Среди явных преимуществ, которые дают информационные и коммуникационные технологии системе образования, следует упомянуть новые возможности в расширении зон доступности образовательных услуг, снижении их стоимости и повышении качества, в том числе за счет индивидуализации обучения, упрощения получения информации и применения всевозможных моделирующих технических средств.

Если проанализировать опыт высших учебных заведений, которые на сегодняшний день зарекомендовали себя как вузы, активно использующие информационные и коммуникационные технологии, можно выделить четыре основных этапа, через которые эти вузы прошли.

Первый этап - накопление материальных ресурсов: приобретение передового серверного оборудования, инсталляция мощных телекоммуникационных систем и сетей, внедрение программно-аппаратных комплексов. [8]

Второй этап - создание кадровых ресурсов: административно-управленческого персонала, инженерных кадров, пользователей накопленной технической базы из числа профессорско-преподавательского состава вуза, а также формирование структуры подразделений, занимающихся процессами информатизации в вузе.

Третий этап - профессиональная подготовка преподавателей вузов по использованию информационных и коммуникационных технологий в своей профессиональной деятельности и в процессе обучения студентов.

Четвертый этап - разработка и внедрение нормативной и правовой базы использования информационных и коммуникационных технологий, особенно в области дистанционного обучения.

Развитие системы дистанционного обучения позволит повысить качество подготовки специалистов за счет:

¾    во-первых, ориентации на использование автоматизированных обучающих и тестирующих систем, специализированных учебно-методических пособий с обязательными тестовыми вопросами, заданиями для самоконтроля;

¾      во-вторых, оперативного обновления методического обеспечения учебного процесса, так как содержание учебно-методических материалов на электронных носителях легче поддерживать в актуальном состоянии.

Мировая практика свидетельствует, что применение информационных технологий в образовании, в частности, создания электронных средств представления учебного материала, использование тестовых программ для контроля знаний студентов, имеет ряд преимуществ перед традиционными формами представления учебного материала и контроля знаний. Для повышения эффективности применения новых информационных технологий в учебном процессе необходимо повышать качество электронных учебных пособий и программного обеспечения, для чего необходимо развивать сотрудничество вузов по этой проблематике. По мере накопления образовательных информационных ресурсов инновационные технологии займут достойное место в образовательном процессе вуза.[9]

На основе вышеприведенного, можно считать, что создание образовательной и учебной среды средствами информационных технологий в сочетании с традиционными формами и методами учебного процесса в сфере специального образования студентов высших учебных заведений является перспективным направлением.

Изменение человеком окружающего мира влечет развитие информационного пространства. На каждом этапе этого развития неизбежно накапливается информация первого порядка - опыт деятельности человека и информация второго порядка - сведения об опыте обработки и переработки информации.

Накапливающийся опыт деятельности человека, фиксируется в виде информации - это сначала служит основной предпосылкой возникновения информационной деятельности и информационных технологий.

Итак, информация - это сведения, независимо от формы их представления, усваиваемые субъектом в форме знаний.[10]

Информационная система - это организационно упорядоченная совокупность информационных продуктов и информационной инфраструктуры. (Примеры информационных систем - библиотеки, архивы, фильмотеки, базы данных, Internet.)

Информационные ресурсы - это отдельные документы, массивы документов, которые входят в состав информационных систем.

Информационная технология это процесс, использующий совокупность средств и методов сбора, обработки и передачи данных (первичной информации) для получения информации нового качества о состоянии объекта, процесса или явления (информационного продукта).

Информационные технологии (ИТ) на сегодняшний день становятся одним из основных приоритетов в планировании развития образования, как на Западе, так и в остальных частях мира. Использование ИТ в учебный процесс оказывается для поступающих тем привлекательным моментом, на основании которого они выбирают, в какой институт пойти. Кроме того, ИТ важны не только для успешной конкуренции различных вузов на рынке образования, но и для успешного функционирования самих вузов. Без использования ИТ сегодня становится невозможным эффективно управлять образовательным процессом.

Существуют четыре принципиальных основания для внедрения информационных технологий в образование: социальное, профессиональное, педагогическое и каталитическое.

Социальное основание заключается в признании роли, которую технологии играют сегодня в обществе, необходимости для образования отражать интересы общества и потребности демистифицировать технологии для студентов.

Профессиональное основание состоит в необходимости подготовки студентов к таким типам профессиональной деятельности, которые требуют навыков использования технологий.

Педагогическое основание состоит в том, что технологии сопровождают процесс обучения, предоставляя более широкие возможности коммуникации и более качественные материалы, что усиливает преподавание традиционных предметов.

Наконец, технологии могут производить каталитический эффект не только на образование, но и на общество в целом, совершенствуя исполнение, преподавание, администрирование, управление, повышая эффективность, оказывая позитивное влияние на образование и изменяя властные отношения между преподавателями и студентами.

Выгоды от внедрения ИТ в подготовке к ЕГЭ по математике :

ü усиление общей мотивации ученика;

ü  повышение качества учебного опыта и переход от пассивного к активному обучению;

ü  изменение школьной культуры, особенно в отношении способности пользоваться технологиями;

ü  усиление способности переносить навыки (например, независимого обучения или навыков пользования ИТ);

ü  повышение качества преподавания;

ü  более гибкий доступ учеников к учебным материалам, как через сайты (или системы телекоммуникаций), так и вне сайтов.

Заключение

Российское государство находится на этапе активных социально-экономических преобразований, которые стимулируют развитие всех сфер жизни общества. Правительством Российской Федерации развитие образования определено в качестве одного из национальных проектов. В этих условиях особую роль играет модернизация системы образования, главной задачей которой является «обеспечение современного качества образования на основе сохранения его фундаментальности и соответствия актуальным и перспективным потребностям личности, общества и государства»

Достижение современного качества общего образования, прежде всего, зависит от эффективности профессиональной деятельности учителя и в целом педагогических коллективов образовательных учреждений.

Проблемы мониторинга качественных особенностей современных компьютерных средств обучения являются многофакторной и противоречивой по критериям и оценкам качества обучения системой. Выделено девять основных особенностей, формирующих проблемную динамику развития системы. Результаты анализа определяют систему ограничений и требований к построению системы конкретизации мониторинга качества обучения в системе образования.

В процессе мониторинга могут использоваться разнообразные информационные и компьютерные программы с различными интерфейсами, но мною в данном иследовании были представлены самые популярные и простые. Использование созданного программного обеспечения мониторинга способствует его эффективному функционированию и оптимальному решению вопроса относительно качества подготовки учеников по математике.

Организация процесса усвоения знаний на основе учёта учебных достижений старшеклассников позволяет повысить результативность обучения без перегрузки учащихся и помогает спрогнозировать итоговые показатели. Наблюдать и корректировать ход процесса позволяет мониторинг. Важно сделать его приемлемым, личностно значимым для каждого участника образовательного процесса.

Использование мониторинговых технологий в работе учителей математики способствует активизации работы школьных методических объединений, создаёт мотивацию для исследовательской деятельности учителя, помогает повысить результативность подготовки учащихся.

Данные мониторинга позволяют выработать рекомендации для учителей математики. Результаты повторного тестирования дают информацию о качестве коррекционной работы, помогают спрогнозировать итоги ЕГЭ.

«Для осознания процессов, происходящих в образовании, для управления ими, а не спонтанной борьбы с неожиданными фантомами, необходимо непрерывное слежение за состоянием, то есть мониторинг».

Список литературы

мониторинг знание математика

1.      Баранов А.Н. Введение в прикладную лингвистику : учеб. пособие / А.Н.Баранов. - М.: Эдиториал УРСС, 2003. - 358 с.

2.      Башмаков А.И., Башмаков И.А. Разработка компьютерных учебников и обучающих систем. - М.: Информационно-издательский дом «Филинъ», 2003. - 616 с.

.        Беспалько В.П. Педагогический анализ Единого государственного экзамена (ЕГЭ) / Школьные технологии.-2006 №4 с.146

.        Городецкий Б.Ю. Проблемы и методы современной лексикографии / Б.Ю.Городецкий // Новое в зарубежной лингвистике. - Вып. 12. - М.: Прогресс, 2000. - С. 5.

.        Клир Дж. Системология. Автоматизация решения системных задач. - М.: Радио и Связь, 1990. - 540с.

.        Креативная педагогика: методология, теория практика / Под. ред. Круглова Ю.Г. М.:МГОПУ им. М.А.Шолохова, изд. центр «Альфа», 2002. - 240 с.

.        Карпова Т. А. Базы данных: модели, разработка, реализация/Т. А. Карпова. - СПб.: Питер, 2001. - 304 с.

.        Ковалёва Г.С. Мониторинг качества образования./ Школьные технологии.-2006-№4,с.162.

.        Рогинский В.М. Азбука педагогического труда (пособие для начинающего преподавателя технического вуза). - М.: Высш. шк., 1990. - 112 с.

.        Малыхин М. П. Базы данных: основы проектирования, использование /М. П. Малыхин.-2-е изд. перераб. и доп. - СПб.: БХВ-Петербург, 2007. - 528 с.

.        Майоров А.Н. Мониторинг в образовании. М. Интеллект-центр, 2005- 424 с.

.        Мельников А.Ю. Тестирование знаний студентов при помощи программного комплекса «Matest-2.0» // Образовательные технологии: Научно-технический журнал - Воронеж: издательство «Научная книга», 2006. - №1. - С.188-192.

.        Мельников А.Ю., Кушнир Ю.В. Информационная система для организации работы студентов заочной формы обучения с использованием интернет-технологий // Восточно-Европейский журнал передовых технологий - Харьков, 2010. - №3/4 (45). - С. 25-29.

.        Мельников А.Ю. Объектно-ориентированный анализ и проектирование информационных систем: Учебное пособие. - Краматорск: ДГМА,2006.-184 с.

.        Норенков И.П., Зимин А.М. Информационные технологии в образовании. - М.: Изд-во МГТУ им. Н.Э.Баумана, 2004. - 352 с

.        Советов Б. Информационные технологии. М., «Высшая школа», 2006, с. 29

.        Хорошилов А.В., Селетков С.Н., Днепровская Н.В. Управление информационными ресурсами. М., «Финансы и статистика», 2006, с. 264

.        Селезнева Н.А. Качество образования как объект системного исследования. Лекция-доклад. Изд. 3-е. - М.: Исследовательский центр проблем качества подготовки специалистов, 2003. - 95 с.

.        Системный анализ и принятие решений: Словарь-справочник: Уч. пособие для вузов / Под ред. В.Н. Волковой, В.Н. Козлова. - М.: Высш. шк., 2004. - с.575-585.

.        Советский энциклопедический словарь /Гл. ред. А.М. Прохоров. Изд. 4-е - М.: Сов. Энциклопедия, 1987. - 1600с.

.        Субетто А.И. Системогенетика и теория циклов. В 2-х ч. - СПб.-М.: Исследовательский центр проблем качества подготовки специалистов, 1994 г. - 243-260 с.

.        Фоменко С. Мониторинг как способ управления качеством образования в школе./Народное образование.-2007.-№4,с.110

.        Штовба С. Д. Проектирование нечетких систем средствами MATLAB /С. Д. Штовба. - М.: Горячая линия - Телеком, 2007. - 288 с., ил.

25.    Технология мониторинга уровня обученности учащихся [электронный ресурс] режим доступа <http://internika.org/node/6315> свободный.

Похожие работы на - Создание методологического обеспечения для технологий мониторинга качества обученности по математике

 

Не нашли материал для своей работы?
Поможем написать уникальную работу
Без плагиата!
Без нейросетей!