Способы погашения ипотечных кредитов

  • Вид работы:
    Курсовая работа (т)
  • Предмет:
    Банковское дело
  • Язык:
    Русский
    ,
    Формат файла:
    MS Word
    164,28 Кб
  • Опубликовано:
    2013-11-10
Вы можете узнать стоимость помощи в написании студенческой работы.
Помощь в написании работы, которую точно примут!

Способы погашения ипотечных кредитов

Федеральное агентство по образованию

Государственное образовательное учреждение высшего профессионального образования

«Нижегородский государственный архитектурно-строительный университет»

Институт экономики, управления и права

Институт открытого дистанционного образования (ОДО)







Курсовая работа

ИПОТЕЧНОЕ КРЕДИТОВАНИЕ

Тема: Способы погашения ипотечных кредитов

Выполнил: Студент гр. МО 608/2 Гаврилов А.А.

Проверил: Дарьин Е.М.








Бор 2013г.

Содержание

1.      Введение

.        Способы погашения ипотечных кредитов

.        Преимущества и недостатки ипотеки

.        Способы погашения ипотечного кредита для учителей.

.        Погашение кредита равными ежемесячными платежами

.        Досрочное погашение кредита

.        Перекредитование

.        Список использованных источников

.        Приложения

1. Введение

Термин ипотека произошел в Греции. Так первые греки обозначали свою ответственность, перед своими вассалами. Первым об этом заговорил реформатор Солон. Благодаря его реформам, был отменен залог личности и введены другие правила.

Сейчас ипотека стала закладываемым имуществом, при котором в случае невыполнения должником его обязанностей, все имущество переходит кредитору, то есть банку.

Существуют два понятия в ипотеке, - это само понятие ипотека и ипотечное кредитование. Также залогом может быть уже имеющееся имущество, для того чтобы банк мог предоставить человеку, то есть заемщику, кредит на какие-то другие нужды.

Ипотечный кредит выдается обычно на длительный срок, ну или на тот срок, который будет удобен заявителю. Здесь процентная годовая ставка всегда ниже, чем на другие виды кредита. Залог обязательно нужно страховать. Ипотека страхуется обязательно в тех страховых компаниях, с которыми сотрудничает банк. Ипотечное кредитование, во всех банках предоставляющих данный вид кредита, вычисляется формулой.

Ипотека существует между заемщиком и кредитором, на основании договоров о залоге имущества. Предметом ипотеки могут выступать только недвижимые вещи. Клиент всегда проходит дважды проверку. Банк проверяет несколько факторов о клиенте. Эта процедура называется андеррайтингом. В России введен закон, касающейся ипотечного кредитования, к примеру, заемщик может обратиться в налоговую, чтобы ему вернули проценты, которые он оплачивал при взятии ипотеки. Но эта сумма не должна превышать 2 миллионов рублей. Такой налоговый вычет предоставляется один раз в жизни, даже если человек захочет 5 раз взять ипотечный кредит. Некоторые банки дают кредит на ипотеку и на жилье с вторичного рынка, и на новостройки. Примерный максимальный срок кредита до 50 лет. Для ипотечного кредита требуются различные документы, желательно нотариально заверенные копии, - это справки 2 - НДФЛ, паспорт, трудовая книжка с непрерывным стажем, различные свидетельства, справки из больниц и так далее. Если заемщик может выполнять такие требования, как платить в месяц более 30.000рублей, то размеры могут достигать более 1 миллиона рублей. Суммы ежемесячных платежей обычно, как требуют банки, - это 30-40 % от заработной платы заемщика. Не многие банки дают ипотеку молодым семьям, это те супруги, которым не более 35 лет каждому, и если они признаны нуждающимися в улучшениях жилищных условий (когда совсем не имеется жилья). Супруги имеют право использовать субсидию в качестве первоначального взноса.

Таким семьям могут предоставляться льготные периоды, но при усыновлении или рождении детей, ограничений по периодам нет. Если молодая семья решит приобрести вторичное жилье в ипотеку, и у них будет иметься сертификат на материнский капитал, то у них есть возможность уменьшить первоначальный взнос до 5%.

В таком деле, как ипотечный кредит, существуют независимые компании, в которых работают специалисты, называемые брокерами. Благодаря брокерам, банки снижают процентные ставки до минимума.

2. Способы погашения ипотечных кредитов

Принимая во внимание нестабильные условия современной жизни, а также собственное видение и планирование погашения заемщиком ипотечного кредита, совершенно естественным образом вытекает необходимость в различных способах погашения ипотеки.

Таких способов, которые принято именовать инструментами ипотечного кредитования, немало. Каждый заемщик может выбрать наиболее подходящий и согласующийся с его возможностями и потребностями.

Амортизация ипотечного кредита, т.е. способ погашения долга по ипотеке, в зависимости подразделяется на постоянный ипотечный кредит <#"648847.files/image001.gif">, (1)

где ЕП - размер ежемесячного платежа;

СК - сумма кредита;

ПС - годовая процентная ставка;

КМ - количество месяцев (срок, на который выдан кредит).

Как было сказано выше, ежемесячный аннуитетный платеж складывается из двух составляющих - возвращения основного долга и начисленных процентов:

ЕП = ВОД + ЕПВ, (2)

где ВОД - возврат основного долга;

ЕПВ - ежемесячные процентные выплаты.

На этом сходство в подходах банков заканчивается, и начинаются различия. Состоят они в подходах к вычислению суммы причитающихся процентов. Основных подходов два, разница - в используемой временной базе. Часть банков исходят из того, что «в году 12 месяцев», и тогда размер ежемесячных процентных выплат определяется по формуле:

ЕПВ = ОЗ, (3)

где ЕПВ - ежемесячные процентные выплаты;

ОЗ - остаток задолженности в данном месяце;

ПС - годовая процентная ставка.

Часть банков исходит из того, что «в году 365 дней» и такой подход называется расчетом точных процентов с точным числом дней ссуды. Размер ежемесячных процентных выплат в данном случае определяется по формуле:

ЕПВ = ОЗ • ПС •, (4)

где ЕПВ - ежемесячные процентные выплаты;

ОЗ - остаток задолженности в данном месяце;

ПС - годовая процентная ставка;

ЧДМ - число дней в месяце (понятно, что это число меняется от 28 до 31).

Для того чтобы вычислить сумму возврата основного долга, необходимо из суммы ежемесячного аннуитетного платежа (размер которого остается неизменным) вычесть размер процентных выплат в данном месяце:

ВОД = ЕП - ЕПВ.

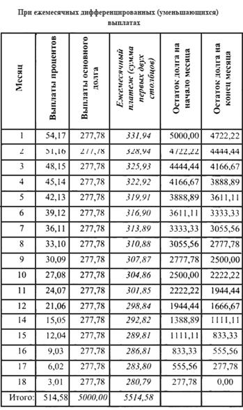
Ежемесячный дифференциальный платеж

Он также складывается из двух составляющих - возвращения основного долга и процентных выплат (процентные выплаты вычисляются по приведенной выше формуле). Каждый месяц сумма основного долга уменьшается на одинаковое число (сумма кредита, деленная на количество месяцев). Из-за постоянного уменьшения суммы долга уменьшается и размер процентных выплат, а с ними и ежемесячный платеж. Формула расчета дифференцированного платежа выглядит следующим образом (разница - в точности подсчета дней в месяце):

ЕП = +ОЗ, (5)

или

ЕП = +ОЗ • ПС, (6)

где ЕП - размер ежемесячного платежа;

СК - сумма кредита;

КМ - количество месяцев (срок, на который выдан кредит);

ОЗ - остаток задолженности в данном месяце;

ПС - годовая процентная ставка;

ЧДМ - число дней в месяце (от 28 до 31).

Как определить, какой способ погашения является более выгодным?

Рассмотрим конкретный пример.

Пример 1. Банк А предлагает кредит в 5 тыс. у.е. на 18 месяцев под 13 % годовых. Выплаты кредита - ежемесячно равными частями (аннуитет). Банк Б предлагает аналогичные условия, но с дифференцированными выплатами (размер ежемесячного платежа по мере погашения долга уменьшается). Дополнительных комиссий в обоих случаях не предусмотрено. Сколько заемщик заплатит за кредит банку А и банку Б?

В результате подсчетов мы получим следующие графики платежей (Приложение А) и (Приложение Б). В данных таблицах при подсчетах использован подход «в году 12 месяцев».

Получилось, что при прочих равных в случае аннуитетных выплат заемщик заплатит за кредит 530,28 у. е., а в случае дифференцированных - 514,58.

Большинство банков применяют все же аннуитетные платежи, аргументируя свой выбор тем, что это удобнее для заемщиков - не надо думать, какую сумму вносить в каждом следующем месяце. Это верно лишь отчасти. Даже в случае дифференцированных выплат ничто не мешает заемщику ежемесячно выплачивать банку равную сумму, ведь проценты в любом случае будут начисляться на остаток задолженности (но при этом «тело долга» будет убывать быстрее). Существует другой важный аргумент в пользу аннуитетных выплат. В самом начале погашения долга именно аннуитет более комфортен для заемщика (см. графики выплат).

Необходимо отметить, что для небольших краткосрочных кредитов разница в способе погашения кредита - аннуитетными или дифференцированными платежами - практически не ощущается. Она становится более заметной при увеличении срока кредита и при более высокой процентной ставке.

Пример 2. Сколько денег заплатит заемщик, выплачивая кредит в 10 тыс. у. е., взятый на разные сроки и под разные ставки? Один из банков предлагает ему погашать долг аннуитетными выплатами, другой - дифференцированными.

Для решения задачи подсчитаем суммарные выплаты процентов при погашении кредита двумя упомянутыми выше способами (для одинаковой суммы кредита, но для разных сроков и ставок). Результаты вычислений представлены в таблицах.

Таблица 1 Сумма кредита: 10 тыс. у. е. Ставка: 10 % годовых


Таблица 2Сумма кредита: 10 тыс. у. е. Ставка: 12 % годовых


. Досрочное погашение кредита

Многие заемщики, получившие ранее кредит, спустя некоторое время задумываются о досрочном выполнении своих обязательств по нему. Это рождает ряд вопросов о выгодности такой процедуры. Досрочное погашение кредита является одним из способов экономии.

Существует два вида досрочного погашения кредита:

1.  Частичное досрочное погашение кредита - это внесение заемщиком суммы, идущей в счет погашения кредита с опережением графика платежей, но недостаточной для полного погашения кредита.

2.      Полное досрочное погашение кредита - это внесение заемщиком суммы в счет погашения кредита с опережением графика платежей. Размер вносимой суммы равен остатку задолженности заемщика по кредиту.

Таким образом, при полном досрочном погашении кредита заемщик выплачивает всю сумму кредита и перестает быть должником кредитной организации, а, следовательно, его объект недвижимости должен быть освобожден от залога (обременения). При частичном досрочном погашении заемщик производит платеж с опережением графика, но остается должен оставшуюся часть кредита. Это основные отличия в данных терминах.

При частичном досрочном погашении кредита возможны два варианта перерасчета графика платежей:

·        уменьшение срока выплаты кредита, при сохранении размера ежемесячного платежа;

·        уменьшение (пересчет) ежемесячного платежа и сохранение срока кредита.

В большинстве кредитных договоров по умолчанию используется первый вариант досрочного погашения, а по заявлению заемщика и одобрении его кредитной организацией может быть использован второй вариант. Второй способ погашения ипотечного кредита позволяет снизить финансовую нагрузку на заемщика по ипотечному кредиту.

Когда заемщик располагает денежными средствами для частичного или полного досрочного погашения кредита, ему необходимо определиться не только со своими возможностями, но и с тем, в какой момент лучше это делать. Дело в том, что часть ипотечных программ может предусматривать мораторий на досрочное погашение кредита в первые месяцы жизни ипотечного кредита. Обычно этот срок составляет 6 - 12 месяцев. Однако есть программы, которые позволяют снизить процентную ставку по кредиту в обмен на отказ заемщика от своего права на досрочное погашение кредита на определенный период, к примеру 1 - 5 лет. Производство досрочного погашения ипотечного кредита в период действия моратория может приводить к появлению штрафных санкций по отношению к заемщику.

Бывают кредитные договоры или договоры займа, в которых отсутствуют ограничения по досрочному погашению. В такой ситуации заемщик может выплатить ранее положенного срока основной долг и проценты, начисленные за пользование денежными средствами.

При досрочном погашении кредита проценты будут рассчитываться в соответствии с фактическим сроком пользования предоставленными денежными средствами, то есть со сроком, когда заемщик окончательно выполнил свое финансовое обязательство. Для производства погашения с перевыполнением графика платежей заемщик должен направить залогодержателю (кредитной организации) заявление-обязательство о частичном или полном досрочном возврате ипотечного кредита.

Итак, почему некоторые кредитные организации негативно относятся к досрочному погашению ипотечного кредита? При досрочном погашении ипотеки кредитные организации теряют клиента, регулярно приносящего им доход, так как в каждом платеже содержится сумма процентов, начисленных за пользование кредитом. Следовательно, досрочное погашение ипотечного кредита для кредитной организации выглядит как потеря запланированных доходов. В случае рефинансирования (перекредитования) кредитная организация может вообще потерять заемщика, так как для снижения платежа по кредиту он просто уйдет в другую кредитную организацию.

Для кредитных организаций досрочное погашение невыгодно - оно выгодно для заемщиков. Самым выгодным для банка является стабильный и предсказуемый кредит. Поэтому для кредитной организации выгодно, когда заемщик платит точно в срок, как это указано в его графике внесения платежей, принося кредитной организации запланированный доход.

При производстве досрочного погашения вне зависимости от того, является оно полным или частичным, необходимо уведомлять залогодержателя о своем желании совершать такой платеж. При производстве частичного досрочного погашения надо учитывать и тот факт, что кредитным договором может быть установлен минимальный размер платежа для досрочного погашения. Принимать досрочные платежи менее установленного размера кредитная организация не будет или предложит произвести такое досрочное погашение с уплатой штрафных санкций.

7. Перекредитование

кредит ипотека платеж учитель

Перекредитование - это получение кредита с более низкой процентной ставкой для погашения кредита с более высокой ставкой, взятого ранее. Воспользовавшись перекредитованием, заемщик может значительно сократить переплату по приобретаемому жилью.

Перекредитование очень распространено в тех странах, которые имеют более длительную историю ипотеки, нежели в России. В случае, когда разница процентных ставок составляет даже десятые доли процента, перекредитование уже становится выгодной процедурой.

В нашей стране процедура перекредитования имеет смысл только в том случае, когда разница ставок составляет не менее 2 -3 %. Это обусловлено наличием существенных дополнительных доходов, которые возникают при получении ипотечного кредита. Наиболее оптимальным вариантом является перекредитование в том же банке, где заемщик получил ипотечный кредит. Это может позволить сократить расходы на получение кредита. Такой вариант не всегда устраивает банки, которые не хотят снижать проценты по тем кредитам, которые были выданы ранее. Для того, что аргументировать свое решение, заемщик может получить решение о выдаче кредита с более низкой ставкой в другом банке. Предъявив его после банку-кредитору, заемщик может просить об изменении условий кредитования.

Если в процессе перекредитования не удается избежать смены банка-кредитора, то необходимо быть подготовленным к дополнительным затратам и трудностям. Необходимо рассчитывать на то, что придется заплатить дополнительные банковские сборы повторно: за рассмотрение заявки, за открытие и ведение счета, так как практически у каждого ипотечного банка имеются собственные партнеры: и оценщики, и страховщики. Также стоит обратить внимание на то, что требования к ипотечному жилью у разных банков разные, и не каждый банк может одобрить то жилье, которое уже было приобретено заемщиком. Четкие и отлаженные механизмы для проведения процедуры перекредитования в России только появляются. Это значит, что со временем заемщику будет проще и дешевле перекредитовываться.

Список использованных источников

1.       Дарьин Е.М., Трофимов А.В., Трофимова Т.Е., Хавин Д.В. Ипотечное кредитование. Теория и методика проектирования моделей жилищной ипотеки: Учебное пособие. - Н.Новгород: ННГАСУ, 2004.

2.      #"648847.files/image007.gif">

Приложение Б

Похожие работы на - Способы погашения ипотечных кредитов

 

Не нашли материал для своей работы?
Поможем написать уникальную работу
Без плагиата!
Без нейросетей!