Характеристика подготовленности учащегося

  • Вид работы:
    Методичка
  • Предмет:
    Педагогика
  • Язык:
    Русский
    ,
    Формат файла:
    MS Word
    80,58 Кб
  • Опубликовано:
    2013-12-02
Вы можете узнать стоимость помощи в написании студенческой работы.
Помощь в написании работы, которую точно примут!

Характеристика подготовленности учащегося

1. Характеристика и учебно-воспитательная задача темы

Исходя из задач этого раздела проекта, в нем необходимо осветить и разработать следующие вопросы: роль и значение учебного материала темы (в дальнейшем обучении учащегося и его бедующей практической работы по специальности); анализ сложности учебного материала темы; особенности учебного материала темы; степень подготовленности учащегося к изучению материала темы, к выполнению учебно-производственного задания; связь учебного материала данной темы с материалом последующих тем программы; определение учебных задач урока (знаний, навыков и умений которые должен приобрести, углубить и расширить учащийся на данном уроке); определение воспитательных задач урока. Степень раскрытия каждого из вопросов будет различной в зависимости от особенностей учебного материала темы.

Теперь перейдем к рассмотрению содержания каждого из рекомендуемых вопросов. Готовность к уроку, каждый мастер обязан ясно представить себе, какое значение имеет материал данной темы для формирования как специалистов и подготовки к изучению следующих тем. Это позволяет в дальнейшем, во-первых, убедить учащихся в необходимости тщательного изучения материала темы, во-вторых, вести объяснение материала целенаправленно, в-третьих, правильно определить содержание самостоятельной работы учащихся. Значит, в данном разделе надо показать, к изучению каких тем программ данного или других предметов готовится учащийся. Особое место, естественно, должна занимать характеристика значения материала темы в будущей практической деятельности учащегося. Данные требования ставят мастера перед необходимостью изучения учебной программы предмета, по которому выполняется проект, и других, связанных с ним, а также анализа деятельности «Газлифтной эксплуатации скважин». Эта работа будет способствовать практическому изучению основной учебной документации для подготовки специалистов в нефтяной и газовой промышленности. Методика и организация проведения всего урока и, главным образом, вводного инструктажа и самостоятельной работы, учащихся в значительной степени определяется сложностью изучаемого материала.

Учебный материал различных тем одного и того же предмета иногда довольно значительно различается по сложности. В одних случаях материал может быть сложен или легок в целом, в других сложен или легок в отдельных частях. Именно поэтому и нужно, чтобы мастер внимательнейшим образом проанализировал описываемую тему с этих позиций: дал характеристику степени сложности учебного материала в целом, показал, какие и в какой степени его части сложны или легки для освоения учащихся. При этом важно, чтобы студент показал, в чем именно сложность учебного материала, или почему он прост и легок. Очень важно, чтобы выполняющий разработку ясно понимал практическое значение вопроса, понимал, как результаты такого анализа могут повлиять на организацию и методику проведения урока, в частности на распределение времени, содержания объяснений, определение вопросов, выносимых на закрепление и проверку понимания, выделение вопросов и операций, которым должно быть уделено большое внимание и при объяснении и в процессе самостоятельной работы учащихся и т.д. Каждая тема учебной программы имеет свои особенности. Это повышенные требования к выполнению безопасных приемов труда, без соблюдения которых невозможно выполнить данное задание, необходимость тщательной отработки приемов. Встречаются задания, которые могут быть понятны и правильно выполнены только при наличии у учащихся достаточных знаний по специальности и общеобразовательным предметам и т.д. Выполняя анализ учебного материала темы, необходимо видеть в нем не просто ответ на поставленный вопрос, а средство, которое в дальнейшем поможет обосновать рекомендации по организации и методике проведения данного занятия, позволит сделать каждый урок отличным от других, имеющим свое лицо. К выполнению каждого задания следует приступать, только имея определенную подготовку. Эту подготовку учащийся получает на всех этапах обучения, теоретических занятиях по предмету, имеющему прямое отношение к виду практики, общеобразовательных и технических предметах, на ЛПЗ, а также на других видах учебной и производственной практике, в процессе практической деятельности и учебы, предшествующей обучению в данном учебном   заведении.

Характеристика подготовленности учащегося может быть расположена на теоретическую и практическую. В теоретической подготовке следует отметить знания учащихся по ранее изученным материалам, которые должны быть использованы при выполнении данного задания. Практическую подготовку, имеющую отношение к выполненному заданию, учащиеся получают в основном на предшествующих ЛПЗ, учебной и производственной практике, а иногда и во время работы по специальности. Рассмотренный выше вопрос характеризует связь изучаемого материала с ранее изученным, позволяя сделать вывод о том, как опирается на имеющуюся у учащихся подготовку при проведении данного урока. Но не меньшее значение имеет и другая сторона вопроса, связь рассматриваемого урока с последующим. Как известно, система уроков по любому предмету или виду практики составляет единую цель. Поэтому следующим вопросом, к которому должен перейти учащийся, разрабатывая раздел, будет установление связи описываемого урока с последующим. Здесь необходимо конкретно проанализировать, к каким урокам готовит учащегося материал рассматриваемого урока, как и в какой степени. Это позволит так спланировать и провести урок, чтобы учащийся не только выучил данный материал, но и подготовил себя к восприятию последующего. Одной из основных задач, определяющих цель обучения, является вооружение профессиональными ЗУН. Значит, одним из важнейших вопросов этого раздела будет определение мастером учебных задач у рока, поэтому необходимо определить цели учебных задач: формирование знаний и умений, приобретенных вновь; формирование знаний и умений, которые на данном уровне закрепляются, расширяются, совершенствуются. Такое подразделение четко определит содержание и характер деятельности учащихся и мастера на уроке, поможет конкретнее и правильнее определить критерии оценок за выполненную работу. Эти задачи затем отражаются в плане урока мастера, в инструкционных или инструкционно-технологических картах, которыми пользуются учащиеся, выполняя задание. Поэтому следует тем более правильно определять учебные задачи урока. Большое значение имеет и решение на уроке задач чисто воспитательных.          Вытекающих из требования          формирования мировоззрения учащихся, развития их мышления и выработки определенных качеств, привычек, черт характера. Иногда мы считаем, что эта задача решается преподавателями общественных дисциплин. Направляющая роль в этом принадлежит, безусловно, им, но очень велики и возможности мастера производственного обучения в этой работе. Он имеет возможность показать, как практически используется в работе основные положения строительства, показать нашу действительность, развивающейся по этим законам.

Мастер выдаёт основные задачи по «Газлифтной эксплуатации скважин»:

а) Изучить конструкции и системы подачи рабочего агента газлифтных подъемников.

б) Определить преимущества и недостатки газлифтного способа эксплуатации нефтяных скважин.

в) Провести расчёт газлифтных подъемников.

2. Распределение учебного материала по отдельным урокам

урок инструктаж обучение газлифтный

При распределении материала темы по отдельным урокам необходимо учитывать: продолжительность вводного инструктажа; степень сложности заданий и видов работ, которые должны освоить учащиеся; степень новизны этих заданий и работ для учащихся; переводной коэффициент норм времени;

последовательность операций и видов работ в технологическом процессе;

необходимость освоения задания и работы с последовательным возрастанием их сложности. Максимальное количество сведений о порядке выполнения какой-либо операции учащийся, естественно должен получить на первом уроке по изучаемой теме. На последующих уроках мастеру будет достаточно, опираясь на знания, приобретенные учащимися ранее, ознакомить их только с особенностями вида тех работ, которые осваиваются на данном занятии. Так будет обстоять дело, например, с изучением темы: «Газлифтная эксплуатация скважин». Проводя вводный инструктаж на первом уроке, мастер рассказывает о «Газлифтной эксплуатации скважин» (её значение, сути операции, инструменте, действий, способах контроля качества, организации рабочего места при газлифтной эксплуатации скважин, безопасных приемов труда и т.д.).

Вводный инструктаж первого урока потребует значительно больше времени, чем инструктажи последующих уроков. Это позволит мастеру на последующих уроках дать учащимся возможность больше работать самостоятельно за счет сокращения времени на вводный инструктаж. Так, уменьшающаяся от урока к уроку продолжительность вводного инструктажа будет определять содержание самостоятельной работы учащихся и количество заданий. При распределении операций, заданий или видов практических работ по отдельным урокам надо учитывать и степень их сложности: простых включать в урок больше, сложных, меньше. Нередко бывает так, что различные виды работ, задания, операции имеют различную степень новизны для учащихся. По теме: «Газлифтной эксплуатации скважин», мастер выдаёт задания: Разобрать задвижку фонтанной арматуры, определить её износ, и пригодность для дальнейшей эксплуатации, собрать.

Определить давление для данного фонтанного оборудования, и провести опреcсовку его на заданное давление. Провести разгонку шпилек в местах соединения. Изучить конструкции и системы подачи рабочего агента газлифтных подъемников. Провести расчёт газлифтных подъемников. Найти более рациональный газлифтный подъемник.

3. Рабочее место мастера производственного обучения и учащегося

Рабочее место, на котором мастер выполняет учебно-производственное задание, должно соответствовать требованиям НОТ. Оно является одним из факторов, оказывающих решающее влияние на профессиональную подготовку учащихся в процессе обучения, и вне меньшей степени имеющих воспитательное значение.

От того, как оборудовано и подготовлено к занятиям рабочее место, зависит, прежде всего, полнота выполнения заданий, определенных учебной программой.

Рабочее место должно быть таким, чтобы каждый учащийся мог выполнить задание в полном объеме: отработать приемы работ, изготовить изделие, изучить Нефтяное оборудование, научиться настраивать его на определенные режимы работы, выполнять регулировки. Рабочее место, его конструкция, планировка и внешний вид способствует и решению воспитательных задач, привитию навыков организованности в работе, да и в известной степени - решению задач профессиональной ориентации, воспитанию любви к избранной профессии.

Кроме того, рабочее место обеспечивает безопасные условия работы учащихся, основное внимание следует уделить подробному описанию нефтяному оборудованию, при помощи которого предстоит «Газлифтная эксплуатация скважин». В этом случае необходимо провести: Расчёт газлифтных подъёмников. Определяя количество основного, рабочего и контрольно-измерительного оборудования, мастер должен исходить из количества учащихся, необходимости обеспечения каждого из них работой.

Как уже говорилось, учащиеся выполняют проект на завершающем этапе обучения после прохождения комплексной педагогической практики. Это дает им возможность использовать опыт училищ, в которых они проходили практику. Это касается и рабочих мест на учебных полигонах.

Качество выполнения учащимися учебно-производственного задания в значительной мере зависит от учебной и технической документации, имеющейся на рабочем месте.

Поэтому в разделе должно быть сказано, какие необходимо использовать: гаечные ключи, детали газлифтного подъёмника, манометры высокого давления, приспособления и механизмы для разборки и сборки пускового клапана, расчёты газлифтных подъёмников, штангельциркуль, регулировочные и инструкционно-технологические карты, справочники, руководства, таблицы и учебники.

4. Методика проведения вводного инструктажа

В качестве основных в разделе следует определить и обосновать следующие вопросы: содержание проверки знаний и умений, с которыми учащийся приступает к уроку; содержание объяснений мастера; содержание личного показа мастера; последовательность изложения нового материала; методы ознакомления учащихся с новым материалом; методика использования мастером наглядных пособий; методика использования классной доски; методика показа способов выполнения трудов и их приемов; методика проверки освоения учащимися всего объясненного и показанного мастером, методика закрепления; методика использования технических средств обучения; способы обеспечения заинтересованности учащихся темой урока, формирования у них чувства ответственности за порученное дело, внимание; методика ознакомления учащихся требованиями культуры труда при выполнении данного задания; способы развития мышления учащихся, создание проблемных ситуаций; способы расчленения инструктажа на части и определение продолжительности инструктажа; осуществление меж предметных связей; время на весь вводный инструктаж и отдельные его части; вопросы, на которые следует обратить особое внимание при проведении вводного инструктажа; способы ознакомления учащихся с документацией, пользуясь которой они будут выполнять задание.

Началу объяснений и показу мастера, проводящего вводный инструктаж, должна предшествовать проверка знаний и умений, учащихся по вопросам, имеющих отношение к теме занятия. Мастер должен четко сформулировать вопросы, которые предстоит задать учащимся. Содержание проверки подготовленности учащихся может быть обосновано, прежде всего, меж предметными связями, знаниями, умениями, приобретенными ими при выполнении предыдущих заданий, при изучении специальных теоретических предметов и выполнении ЛПЗ по ним. Не надо забывать и того, что учащиеся изучали предметы естественного цикла, в которых также содержится материал, имеющий отношение к уроку производственного обучения. Не исключено, что в какой-то степени подготовиться к теме учащиеся смогли, благодаря своей практической деятельности.

Одним из основных требований к самостоятельному выполнению учащимися заданий на уроке является осознанность выполняемых действий, что, в свою очередь, определяется уровнем его знаний по соответствующему вопросу. Поэтому перед студентом встает задача определить содержание своих объяснений в курсовом проекте. Рекомендуя содержание объяснений в процессе вводного инструктажа, студент должен начать с цели этой части урока. А она заключается в том, чтобы подготовить учащихся к работе по выполнению учебно-производственного задания с соблюдением требований культуры труда.

Прежде всего, учащийся должен решить, какие ему нужны знания, чтобы выполнить задание, соблюдая перечисленные требования. Учащийся должен учитывать при этом и фактор времени. Определяя содержание объяснений, студент должен рекомендовать их в таком объеме и глубине, которые позволили бы большую часть урока оставить для самостоятельной работы учащихся. Необходимо привести объяснения в соответствие с требованиями квалификационной характеристики, определяющей уровень теоретической подготовки, которую должен получить учащийся в период обучения но основным видам работ, выполняемых им во время производственной практики.

В работе мастера исключительно большое значение имеет личный показ способов и приемов выполнения задания. Поэтому учащемуся следует определить трудовые приемы, выполнение которых мастер должен продемонстрировать в процессе проведения урока. Оценка в основном будет определяться по результатам наблюдения мастера за проведением вводного инструктажа по описываемому занятию. Следует также объяснять необходимость применения именно этих приемов.

Мастер разработал содержание изложения нового материала. Теперь встает вопрос о том, в какой последовательности это делать. Чаще всего последовательность диктуется логикой освещаемого вопроса, последовательностью развития событий, протекаемых процессов и явлений.

В этом случае мы ведем свои объяснения так, чтобы каждая последующая мысль вытекала из предыдущей, и в свою очередь, готовим учащихся к пониманию и развитию следующего вопроса, т.е. ведем объяснения по логике, последовательности развития процесса, хода события.

Это, так сказать, прямая, естественная, обычная последовательность. Нередки случаи, когда объясняемый материал дает нам возможность избрать такую последовательность изложения, которая, на первый взгляд, кажется нелогичной. Речь идет об одной стороне обучения, приобретении учащимися знаний. Но при этом мы должны помнить, что в процессе изложения нового материала должен решать и целый ряд таких задач, как развитие у учащихся умения слушать, воспринимать излагаемое, анализировать и обобщать, делать выводы. Для решения этих задач педагогическая наука разработала целый ряд методов. Это рассказ, объяснение, беседа, лекция (школьная), самостоятельная работа учащихся с учебной и технической литературой. К сожалению, в своей практической деятельности мы нередко берем на вооружение ограниченное количество методов. Именно поэтому, учащийся должен внимательно проанализировать каждый вопрос, с которым будет знакомиться, с точки зрения метода, наиболее приемлемого для учащихся и особенностей учебного материала. После проведения такого анализа необходимо дать конкретные рекомендации о том, какие вопросы лучше осветить методом рассказа - объяснения, какие беседой или путем самостоятельной работы с литературой. Эти рекомендации должны быть мотивированы. Одним из важнейших средств, используемых преподавателями и мастерами на уроке, являются наглядные пособия. Их роль трудно переоценить. Они являются и непосредственным объектом изучения, и средством иллюстрации мыслей, приводимых в данный момент, и средством, помогающим развивать некоторые качества учащихся. В настоящее время, благодаря развитию современной техники и педагогики, арсенал средств, обеспечивающих наглядность обучения, значительно расширился, и поэтому их роль в обучении и воспитании учащихся стала значительно выше. Лучшие мастера уже освоили комплексное использование наглядных пособий, систематизировали их. В некоторых случаях последовательность может быть не двух, а трехступенчатая:

1. объяснение с использованием схематических наглядных пособий;

2. объяснение с использованием объемных наглядных пособий         (макетов);

. объяснение с использованием натуральных наглядных пособий.

Это бывает, обычно в тех случаях, когда изучаемый объект отличается повышенной сложностью, принципиально отличается по конструкции и принципу действия от всего ранее изучаемого учащимися. На уроках производственного обучения очень велика роль показа последовательности и техники выполнения трудовых приемов. Умение правильно показать - это большое искусство, требующее и знание законов выполнения этой работы и тщательной подготовки. Наиболее часто мы демонстрируем трудовой процесс по стадиям. Такие стадии: демонстрация процесса в полном объеме, от начала до конца в рабочем темпе без объяснений; демонстрация процесса по частям, в замедленном темпе с пояснениями, проверкой понимания и повторением (в случае необходимости); демонстрация процесса в полном объеме, в рабочем темпе, без пояснений. Демонстрация на первом этапе преследует цель показать учащемуся трудовой процесс в законченном виде, помочь ощутить время, которое требуется квалифицированному рабочему для его выполнения, увидеть привлекательность, красоту действия мастера. Словом, чтобы создать общее представление, заинтересовать.

Второй этап демонстрации решает основную задачу, даёт возможность учащемуся увидеть и понять все элементы трудового процесса. Это достигается и замедленным вниманием на узком круге вопросов, пояснениями и повторением.

Демонстрация на заключительном этапе решает вопрос последовательности выполнения работы. Изучаемый процесс вновь предстает перед учащимися как единое целое. Такая стадийная демонстрация полностью обеспечивает понимание учащимися способов выполнения работы. Она применима в тех случаях, когда трудовой процесс, который предстоит освоить учащемуся, сложен, не содержит элементов, знакомых учащемуся по предыдущим занятиям.

Эффективность вводного инструктажа определяется только качеством изложения нового материала и показа приемов выполнения задания, но и тем, каким образом мастер организует проверку объясненного и показанного. Опытные мастера стараются формулировать вопросы для проверки понимания и закрепления пройденного учащимися материала и делают их такими, чтобы учащийся, отвечая, был попросту лишен возможности прямо, повторить рассказанное и объясненное. Иногда в порядке закрепления пройденного, материала учащимся предлагается какая-либо работа, задание, выполнение которых требует применения полученных знаний. Иногда объясненный материал таков, что путем выполнения каких-либо графиков, схем, заполнение таблиц можно провести его закрепление. Каждая из этих рекомендаций должна быть мотивирована. Многое сделано по разработке общей методики применения технических средств обучения. Однако способы применения технических средств обучения на конкретных уроках по предметам часто приходится разрабатывать самостоятельно. Перед мастером приступающим к разработке этого вопроса, открывается широкое поле деятельности. Он должен дать рекомендации о том, какие из технических средств обучения целесообразно использовать на вводном инструктаже данного урока, при объяснении каких вопросов их использовать, как сочетать использование технических средств обучения с другими методами. Большое внимание должно быть уделено рекомендации по использованию с помощью технических средств обучения оригинальных, предлагаемых студентом схем рисунков, звукозаписей. Нередко осваиваемый материал не имеет ярко выраженного практического значения в будущей работе учащегося по профессии, но в значительной степени определяет успех изучения следующих тем учебной программы. Необходимо и это показать на конкретных примерах.

Второй стороной задачи является воспитание у учащихся чувств долга, ответственности за выполняемую работу и, в частности, чувства долга и ответственности в обучении. Решая эту часть задачи, мы обязаны убедить учащихся в необходимости овладевать знаниями и умениями на каждом уроке.

И интерес к учебе, и чувство ответственности учащегося вырабатываются также пониманием того, что, выполняя задания каждого урока, учащийся не просто отрабатывает то, что предусмотрено учебной программой, а продвигается вперед по пути овладения профессией.

В обучении, особенно практическом, исключительное значение имеет необходимость обучить учащегося выполнению учебно-производственного задания, а значит и своей будущей работы, с учетом всех       требований безопасности и труда.

Это одна из первоначальных задач мастера. Решая эту задачу, необходимо обеспечить не только выполнение учебного задания с соблюдением правил безопасности труда, но и выработать у учащихся основную на глубоком понимании привычку всегда соблюдать эти правила. Нарушение правил безопасности труда иногда проявляет себя сразу, в других - позднее.

Факторов, определяющих условия безопасной работы, много. Это и техническое состояние оборудования, соответствие его технологическому процессу и виду работ; это техника выполнения приемов работы, и соблюдение принятой технологии; это, наконец, самая элементарная аккуратность и внимательность, не только по отношению к себе, но и к окружающим. Каждому из этих факторов учащийся должен уделить внимание, давая конкретные рекомендации.

Не менее важна и другая задача - воспитание у учащихся культуры труда во всех её проявлениях. Необходимо включать в это понятие и такую организацию и состояние рабочих мест, позволяющих наиболее рационально организовать труд в процессе самостоятельной работы учащегося, и выполнении задания с соблюдением принятой технологии производства, и содержание оборудования, инструмента, приборов и приспособлений, а также рациональное использование рабочего времени в течении всего урока. Разрабатывая методические вопросы по освещению требований предъявляемых культурой труда, мастер, естественно, начнет с определения того, что следует объяснить учащимся, а уж затем дает рекомендации о методах, позволяющих ему сделать эту часть объяснения убедительной. К любому виду обучения, в том числе и к профессиональному, предъявляются требования, способствующие подготовке мыслящего, думающего рабочего человека. Обучение должно быть таким, чтобы оно развивало способность учащегося мыслить. Вполне вероятно, что эта задача должна решаться в процессе всего обучения, на всех частях, в ходе всей воспитательной работы. Здесь речь должна идти только об одном, как развивать мышление учащихся в процессе проведения вводного инструктажа. Возможностей для этого много, и мастер должен понимать это, давая рекомендации. Время проведения инструктажа отводится: от нескольких минут на индивидуальных занятиях по обучению учащихся, до нескольких часов на занятиях по «Разработки и эксплуатации нефтяных и газовых месторождений», и звеньевых занятия по нефтепромысловому делу. Вводные инструктажи включают в себя самые разнообразные работы.

Так, на занятиях по «Газлифтной эксплуатации скважин», мастеру приходится инструктировать учащихся по операциям ежесменно, и конечно же, по вопросам безопасности труда. Мастер исходя из особенностей задания, должен определить, целесообразно ли в каждом конкретном случае давать вводный инструктаж сосредоточенно, весь, до начала учащимися самостоятельной работы, или будет лучше расчленить его на части.

Теперь необходимо решить, на какие части разделить инструктаж. Отвечая на этот вопрос, учащийся должен учесть многие факторы, среди которых основными являются: общее время, отведенное на инструктаж; сложность и объем знаний, которые предстоит приобрести учащемуся во время вводного инструктажа; общность или разнохарактерность (разнородность) материала вводного инструктажа; общее время, отведенное на урок.

Тема практического занятия: «Газлифтная эксплуатация скважин».       

По этой теме мастер объясняет вопросы:

. Конструкции газлифтных подъемников и системы подачи рабочего агента в скважину.

. Преимущества и недостатки газлифтного способа эксплуатации нефтяных скважин.

. Расчёт газлифтных подъёмников.

1. Конструкции газлифтных подъемников.

Системы газовоздушных подъемников различаются в зависимости от числа рядов труб, спускаемых в скважину, и от направления движения сжатого газа и газонефтяной смеси.

Подъемники бывают однорядными, двухрядными и полуторорядными. Это зависит от числа труб, спускаемых в скважину. По направлению нагнетания рабочего агента имеются две системы подъемников: кольцевая и центральная. На рис. 1 показан двухрядный подъемник кольцевой системы. При таком подъемнике в скважину спускаются два ряда труб. Рабочий агент (газ) нагнетается в кольцевое пространство между двумя колоннами труб, а нефть поднимается по внутренним трубам. При оборудовании скважины двухрядным подъемником наружный ряд труб спускают до фильтра скважины с целью выноса песка, поступающего из пласта вместе с нефтью.

Глубина спуска внутреннего ряда труб зависит от характеристики пласта и максимального давления, развиваемого компрессором. При однорядном подъемнике с кольцевой системой подачи рабочего агента подъемные трубы спускают под статический уровень (Hст) с учетом установления ожидаемого динамического уровня при работе скважины (Hдин), который обеспечивает необходимое забойное давление Pзаб. Погружение НКТ под динамический уровень называется глубиной погружения подъемника. Нефть с газом и водой поднимается по центральным трубам. В однорядном подъемнике центральной системы рабочий агент нагнетается в НКТ, а газожидкостная смесь поднимается по межтрубному пространству.

Подъемники центральной системы имеют существенные недостатки. При эксплуатации пескопроявляющих скважин на трубах песком, разъедаются соединительные муфты, в результате чего возможен полет НКТ в скважину. А при эксплуатации скважин, дающих парафинистую нефть, в кольцевом пространстве на трубах отлагается парафин, что приводит к снижению дебита скважин и возможному полному запарафиниванию кольцевого пространства, что может привести к серьезной аварии на скважине. В нефтепромысловой практике чаще применяются подъемники кольцевой системы.

Принцип работы однорядного и двухрядного подъемников один и тот же.

Двухрядный подъемник имеет преимущество в том, что он работает при меньшей пульсации рабочего давления и струи жидкости, так как объем кольцевого воздушного пространства в нем меньше, чем при однорядном подъемнике кольцевой системы.

Столб жидкости в затрубном пространстве также способствует более плавной работе двухрядного подъемника. Недостатком двухрядных подъемников является большая металлоемкость.

С целью уменьшения металлоемкости и для лучшего выноса песка, поступающего в скважину вместе с нефтью, а также пластовой         воды, скапливающейся на забое, применяют полуторарядные подъемники с хвостовиком, который является продолжением внешнего ряда труб (рис. 1 в).

При оборудовании однорядных подъемников применяются в основном НКТ с условными диаметрами от 48 до 89 мм.

При двухрядном подъемнике для колонны наружного ряда применяются трубы с условным диаметром от 114 до 73 мм, а для колонны внутреннего ряда - трубы диаметром от 48 до 73 мм. Минимальный зазор между внутренней стенкой обсадной колонны и наружной стенкой муфт НКТ допускается 12-15 мм.

. Преимущества и недостатки газлифтного способа эксплуатации нефтяных скважин

Преимущества газлифтного способа:

- все оборудование располагается на поверхности, что упрощает его ремонт и обслуживание;

- простота конструкций оборудования;

·   возможность отбора больших объемов жидкости (до 1800т/сут) независимо от глубины скважины и диаметра эксплуатационной колонны;

·   простота регулирования дебита нефти скважины (увеличение или уменьшение подачи газа в скважину);

·   простота исследования скважин.

Однако, наряду с преимуществами, газлифтный способ имеет и серьезные недостатки:

·   большой расход НКТ, особенно в обводненных скважинах и в пескопроявляющих скважинах;

·   низкий к.п.д. подъемника и всей системы компрессор-скважина (при низких динамических уровнях к.п.д. подъемника часто не превышает 5%);

·   большая стоимость затрат на строительство компрессорных станций и сети газопроводов в начале обустройства месторождений;

·   большой расход электроэнергии на добычу 1 т нефти при эксплуатации малодебитных скважин с низкими динамическими уровнями.

Но большие капитальные вложения на строительство быстро окупаются, себестоимость добычи нефти из газлифтных скважин быстро снижается и в итоге становится значительно ниже, чем при добыче нефти механизированными способами.

3. Расчет газлифтных подъемников

Расчет газлифтных подъемников проводится по тем же формулам, что и для фонтанных скважин. Чтобы произвести расчет газлифтного подъемника необходимо вначале определить:

·   диаметр и длину подъемника;

·   оптимальное количество нагнетаемого рабочего агента;

·   давление у башмака подъемных труб или в точке подачи рабочего агента в газовоздушный подъемник.

Кроме этого, для проведения расчетов необходимо иметь следующие исходные данные по каждой скважине:

·   пластовое давление и коэффициент продуктивности;

·   плотность жидкости;

·   газовый фактор;

·   допустимую депрессию и дебит скважины;

·   глубину скважины и диаметр обсадной колоны.

По геологическим или техническим условиям дебит скважины может ограничиваться или не ограничиваться. При этом методика расчета газовоздушного подъемника различна. В случае, когда отбор жидкости не ограничен для максимального отбора жидкости, необходимо создать меньшее давление на забой. При этом подъемные НКТ должны быть спущены немного выше верхнего интервала перфорации. Ниже интервала перфорации трубы спускать нежелательно, так как газ, нагнетаемый в кольцевое пространство между обсадной колонной и НКТ, будет препятствовать притоку жидкости в скважину:

м, (1)

где L - глубина спуска подъемных труб, м; H - глубина скважины, м.

Пренебрегая давлением столба газа к потерями давления на трение при движении рабочего агента по трубам, приближенно можно принять Рзаб - Р1, т.е. забойное давление (Рзаб) равно давлению у башмака подъемных труб (Р1,). Тогда максимальную производительность подъемника можно определить по формуле:

где Qmax - максимальный дебит, м3/сут; d - диаметр НКТ, мм; р - плотность жидкости, кг/м3; Р1 - давление у башмака подъемных труб, МПа; Р2 - давление на устье скважины, МПа; L - длина подъемных труб, м; К - коэффициент продуктивности, м3/сут-МПа; Рпл - пластовое давление, МПа.

Чтобы обеспечить продвижение жидкости по выкидной линии от устья скважины до газосепаратора, минимальное противодавление должно быть в пределах 2-5 МПа. Максимальный диаметр подъемных НКТ можно определить из таблицы 3 в зависимости от дебита скважины. Минимальный диаметр подъемных труб зависит от диаметра эксплуатационной колонны. Давление на устье принимают равным Р2  (0,20,3) МПа, исходя из условий обеспечения продвижения жидкости от устья скважины до газосепарационной установки.

№ п/п

dусл, мм

dвн, мм

Q, т/сут

1

48

40,3

20-50

2

60

50,3

50-70

3

73

59-62

70-250

4

89

76

250-350

5

114

100,3

более 350


Давление у башмака подъемных труб Р1 определяется из соотношения

P1=Pраб - 0,4 МПа,

где Pраб - рабочее давление на выкидной линии компрессоров, МПа; 0,4 МПа - потери давления в газораспределительной сети от компрессорной станции до устья скважины. Потерями давления газа в воздушных трубах пренебрегают.

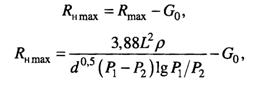
Удельный расход рабочего агента Ru max определяют из формулы:


С учетом объема газа, поступающего из пласта в скважину вместе с нефтью, получаем:


где G0 - газовый фактор, м3/сут.

Зная Ru max, можно определить суточный расход нагнетаемого рабочего агента:

VH = QmaxRu max.

Отбор жидкости ограничен.

В этом случае дебиты жидкости и газа, а также соответствующее им забойное давление - известные величины.

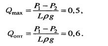
Ранее, в главе «Фонтанная эксплуатация», отмечалось, что минимальный удельный расход энергии при режиме максимальной подачи обеспечивается при условии, что перепад подъемника , а для оптимального режима относительный максимальный дебит будет при .

Учитывая эти соотношения, длину подъемника можно определить следующим образом:


В случае, когда отбор жидкости ограничен, на забое необходимо поддерживать определенное противодавление. Для работы подъемника с наибольшей эффективностью, т.е. минимальным удельным расходом, необходимо, чтобы подъемник работал на режиме оптимального дебита, для чего необходимо наибольшее погружение, т.е. длина подъемника должна быть максимальной. Но в процессе разработки залежи пластовое давление в ней снижается. Поэтому для достижения неизменного отбора жидкости необходимо снижать забойное давление, чтобы поддерживать постоянную депрессию.

Однако необходимость уменьшения со временем забойного давления равносильна уменьшению относительного погружения при неизменной длине подъемника, следствием чего является уменьшение дебита жидкости. Таким образом, нельзя ориентироваться на длительную работу подъемника на режиме Qопт. Как уже отмечалось, для получения максимального удельного расхода при режимах Qопт и Qmax величина е должна быть равна 0,5,


где h - глубина погружения подъемника под динамический уровень, м; ho - расстояние от устья до динамического уровня, м.

По вычисленному значению L можно определить давление у башмака подъемных труб, а потом и Рзаб. Далее рассчитывают диаметр подъемных труб для оптимального дебита, а затем удельный расход нагнетаемого рабочего агента по формуле (4).


Самостоятельная работа учащихся по выполнению учебно-производственного задания и сопровождающий её текущий инструктаж мастера - основная часть урока производственного обучения. В это время учащиеся приобретают и углубляют профессиональные умения и знания.

Прежде всего, учащийся должен четко и ясно представлять себе суть операционно-комплексной системы, определяющей организацию и методику производственного обучения на современном этапе, или хотя бы ее главные положения. Одним из них является разделение обучения на два этапа. На первом этапе главной задачей является приобретение учащимися первоначальных умений но выполнению в нарастающей сложности отдельных трудовых приемов или даже трудовых действий. Главная их задача - заложить основы правильного выполнения приемов работы.

На втором этапе - дальнейшее совершенствование умений уже на основе производительного труда, заключающегося или в выполнении изделий или в общественно-полезном труде. Такое разделение процесса обучения дает возможность на первом этапе сосредоточить все усилия учащегося и мастера только на усвоении трудовых приемов. В том случае, если мастер рекомендует проводить данное занятие,         деятельность учащегося на основе производительного труда перед ним возникает задача выбора курсового проекта. Это необходимо сделать с учетом целого ряда педагогических требований. Курсовой проект должен иметь прямое отношение к профессии, приобретаемой учащимися, соответствовать по сложности уровню подготовленности учащегося в данный момент с учетом разряда и уровня квалификации, которую должен приобрести учащийся к моменту окончания обучения, иметь возможность практического применения, соответствие времени на самостоятельную работу, которое (с учетом ученического коэффициента) потребуется учащемуся. Одним из факторов, в значительной степени определяющих успех урока, и его основной части - самостоятельной работы учащихся, является его структура.

Поэтому, определив характер самостоятельной работы учащихся, конкретизировав ее содержание, мастер должен перейти к рекомендациям последовательности действий, разделению работы на части. Чтобы сделать такие рекомендации обоснованными, учащийся, прежде всего сам, должен ясно представить себе, что даст расчленение, с какой целью и учетом каких факторов его следует производить.        Одним из основных педагогических требований к организации и методике выполнения упражнений (а на этих занятиях учащиеся выполняют упражнения, многократные повторения действий) является постановка перед учащимися задач, позволяющая им действовать сосредоточенно и целенаправленно. В любой работе, в любом задании, которое выполняет учащийся на занятии, содержатся операции и приемы, имеющие различное значение. Исходя из этого, мастер и должен проанализировать работу, которую учащимся предстоит самостоятельно выполнить на уроке. Его задача будет заключаться в том, чтобы найти наиболее важное, принципиальное в самостоятельной работе учащихся. Это поможет поставить задачи перед учащимися, нацелить их внимание на овладение важнейшим, да и в процессе работы обеспечит целенаправленную деятельность мастера, т.е. в известной степени определит содержание текущего инструктажа.

Правильная, рациональная и целенаправленная организация самостоятельной работы учащихся на уроке - один из факторов, обеспечивающих успешное решение учебно-воспитательных задач, позволяющих каждому учащемуся выполнить задание в полном соответствии с требованиями учебной программы.

Здесь перед мастером, прежде всего, встает задача определения и обоснования организационной формы выполнения задания: фронтальную или по циклам.

В процессе обучения исключительно важную роль играет оценка работы учащихся на уроке. Она не только фиксирует степень освоения учащимися задания, характеризует качество изделия или выполненной работы, но и является средством, стимулирующим дальнейшую деятельность учащегося. Именно поэтому необходимо уделить серьезное внимание разработке этого вопроса в курсовом проекте. Речь должна идти только об одном виде аттестации - оценке по результатам урока. Говоря об оценке по результатам наблюдения, учащийся должен иметь в виду следующее: Оценка должна определить качество выполнения приемов работы, которой достиг учащийся к концу урока. Оценка вторым способом особых трудностей не вызывает. Но при этом надо иметь в виду разницу в качестве, которого достигает рабочий, и качество, которое под силу учащемуся.

Личный показ способов выполнения трудовых приемов мастером осуществляется в основном в процессе вводного инструктажа, а поэтому и содержание, и методика его осуществления должна быть разработана мастером в разделе методических рекомендаций по вводному инструктажу. Но применять этот важный метод обучения только на вводном инструктаже нельзя. Его следует широко использовать и в процессе самостоятельной работы учащихся на уроке. Рекомендации о том, какие трудовые приемы следует показать учащемуся, как это сделать, и должен дать мастер. Как уже говорилось, продолжительность многих уроков велика. Именно поэтому представляется нецелесообразным демонстрировать все трудовые приемы, с которыми сталкивается учащийся на уроке, во время вводного инструктажа. Часть из них можно показать и во время текущего инструктажа. Нередко трудовые приёмы, которые должен освоить учащийся на уроке, отличаются большой трудностью и потому не всегда могут быть понятны учащимся. Значит необходимо повторять и, иногда неоднократно. Задача мастера: обосновать повторение способов и приемов выполнения работы в ходе самостоятельной работы учащихся по выполнению учебного задания. На уроке мастер довольно часто демонстрирует не только трудовые приемы, но и наглядные пособия, помогающие понять осваимые процессы и операции.

Одной из задач мастера является вооружение учащегося умениями, в основе которых лежит глубокое понимание конкретных способов выполнения работы.

Казалось бы, эта задача полностью решается структурой учебного процесса, предусматривающей проведение теоретических занятий вначале, а практических в конце. Но очень велики возможности решения этого вопроса и в процессе каждого урока. Задача мастера и заключается в том, чтобы в каждом конкретном случае увидеть эти возможности и дать рекомендации по их использованию. Ему следует обратиться к разделу «Характеристика и учебно-воспитательные задачи темы», где определены вопросы, операции или приемы, наиболее

сложные для понимания и освоения учащимися. Необходимость научить учащихся безопасным приемам работы очевидна. Содержание и методика ознакомления с ними учащихся в процессе вводного инструктажа разработаны. Теперь предстоит дать рекомендации о том, как обеспечить практическое освоение учащимися этих требований. Их следует разрабатывать по двум направлениям: организация работы учащихся, текущий инструктаж мастера.

Разрабатывая первый из этих вопросов, мастер должен дать рекомендации о том, как материальная оснащенность урока будет способствовать созданию безопасных условий работы учащегося. При этом необходимо опираться на особенности выполнения задания. Во всех случаях рекомендации должны быть конкретными. Самостоятельность учащихся в работе одно из ценнейших качеств, которые необходимо вырабатывать в процессе всей учебно-воспитательной работы и, если можно, на каждом уроке. Можно решать эту задачу и при выполнении учащимися учебных заданий.

Средств и путей для самостоятельности учащихся, в том числе и при работе на уроке, очень много. Это, прежде всего, такая организация выполнения задания, при которой мастер не «ведет» учащегося «с одной ступеньки на другую», а дает задание большими частями, предоставляя ему самому разобраться в деталях. Задача в данном случае сводится к тому, чтобы дать рекомендации подобной организации работы.

Применение технических средств обучения в самостоятельной работе учащихся освоило Всесоюзное объединение производственных предприятий по производству учебно-наглядных пособий, и те, которые разрабатываются и изготавливаются педагогическими коллективами училищ.

6. Методика проведения заключительного инструктажа

Разработать содержание и методику проведения заключительного инструктажа также подробно, как вводного, самостоятельной работы учащихся и текущего инструктажа мастера, конечно, невозможно, так как это в значительной степени определяется ходом занятия. Но основное в проведении заключительного инструктажа предусмотреть можно.

В этом разделе проекта мастер должен разработать: рекомендации и обоснование вопросов, которые следует вынести на инструктаж; рекомендации методов проведения инструктажа; рекомендации о времени, отведенном на инструктаж.

Вопросы, которые мастер рекомендует вынести на заключительный инструктаж, удобнее разбить на группы: решение учебно-воспитательных задач на уроке; полнота выполнения задач; степень освоения приемов работы;

соблюдение учащимися требований культуры груда при выполнении заданий; соблюдение учащимися требований безопасности труда. Конечно, содержание беседы мастера по этим вопросам, не проведя самостоятельной работы, предусмотреть невозможно.

Рекомендуя вопросы для инструктажа, мастер должен исходить из особенностей задания главных целях урока. Методы проведения инструктажа мастер так же не может разработать подробно. Поэтому, будет вполне достаточно, если он порекомендует провести в ходе инструктажа беседу или дать свои обобщения и заключения. Закончить разработку этого раздела можно рекомендацией о времени проведения инструктажа.

Список литературы

1. Скакун В.А. «Организация и методика профессионального обучения», Профессиональное образование. Москва 2007.

. Никишенко С.Л. «Нефтегазопромысловое оборудование», Учебное пособие, Москва 2007.

. Кудинов В.И. «Основы нефтегазопромыслового дела», У.Г.У. 2008.

. Коршак А.А., Шаммазов А.М., «Основы нефтегазового дела», Уфа 2007

Похожие работы на - Характеристика подготовленности учащегося

 

Не нашли материал для своей работы?
Поможем написать уникальную работу
Без плагиата!
Без нейросетей!