Расчет способа искусственного замораживания водоносных пород при проходке ствола
РАСЧЕТ
СПОСОБА ИСКУССТВЕННОГО ЗАМОРАЖИВАНИЯ ВОДОНОСНЫХ ПОРОД ПРИ ПРОХОДКЕ СТВОЛА
Условие:
Клетевой ствол диаметром в свету Dсв=5,5м и
толщиной крепи dкр=0,5м необходимо пройти по следующим породам:
наносы (ɣ1= 1,6 m/м3) мощностью h1= 10м и содержанием
воды m1= 8%;
суглинки (ɣ2= 2,1 m/м3) мощностью h2= 15м и
содержанием воды m2= 10%;
песчаник (ɣ3=2,2 m/м3) мощностью h3=5м и
содержанием воды m3= 15%;
глина (ɣ4=2,0 m/м3) мощностью h4= 10м и
содержанием воды m4= 5%;
плывун (ɣ5=1,6 m/м3) мощностью h5= 25м и
содержанием воды m5= 45%;
водоупор (ɣ6=2,4 m/м3) мощностью h6=20м и
содержанием воды m6= 0%;
Данный участок ствола в водонасыщенных породах
предполагается пройти с применением способа искусственного замораживания горных
пород.
Необходимо определить:
толщину ледопородного ограждения;
производительность замораживающей станции;
продолжительность замораживания.
ледопородный скважина замораживание
порода
Решение
Этап А. Определение геометрических параметров
ледопородного ограждения
1. Определяем глубину замораживающих
скважин 
по формуле:
где: hi - мощность i-го
водоносного горизонта, м;
n -
количество водоносных горизонтов;
(6…10) - величина заглубления в
водоупор, м.
Тогда:
. Допускаемое отклонение скважин от
вертикали 
находим по формуле:
. Определяем величину максимальной
нагрузки на ледопородное ограждение 
по формуле:
где: Pг - величина
горного давления, Мпа;гст - величина гидростатического давления, Мпа.
Горное давление определяем по
формуле Цимбаревича:
где: ɣi - плотность (объёмный вес) пород
i-го слоя геологического разреза, кг/м3;
hi - мощность i-го
водоносного горизонта, м;
n -
количество водоносных горизонтов;
An -
коэффициент бокового распора слоя n.
Pг определяется
для каждого водоносного пласта, и из всех значений выбирается максимальное. Из
условия примера очевидно, что максимальное значение Pг будет
наблюдаться в почве плывуна, для которого 
Тогда:
ɣв=1 т/м3 -
объёмный вес воды;
Hв - высота
водяного столба, м.
Если между горизонтами нет
гидравлической связи, то есть подземные воды не напорные (а это в условии
специально не оговорено), то 
(плывуна), как наиболее мощного
горизонта.
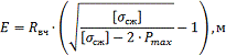
. Толщину ледопородного ограждения 
определяем следующим образом:
при суммарной мощности водоносных
горизонтов до или = 80м
применяется формула Ляме-Гадолина:
где:вч - радиус ствола вчерне, м;
где:
Rсв,Dсв -
соответственно радиус и диаметр ствола в свету, м;
dкр - толщина
крепи, м;

- допускаемое напряжение на сжатие
замороженных пород;
n=2…3 -
коэффициент запаса прочности;
σсж =12,5Мпа -
средний предел прочности на сжатие замороженных пород;
Тогда:
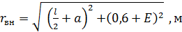
. Диаметр расположения
замораживающих скважин 
определяем по формуле:
где:

- диаметр ствола вчерне.
Для нашего примера 
. Определяем необходимое количество
скважин 
по формуле:

Nраб -
количество рабочих скважин;
Nрез -
количество резервных скважин;
Nконтр -
количество контрольных скважин.
где:
l= 1,2…1,3м -
расстояние между двумя соседними скважинами.
Зависит от многих факторов,
принимается по опыту замораживания.


(минимальное количество).
Тогда:

скважины;
(округлять в большую сторону);
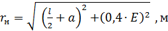
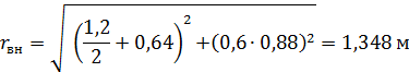
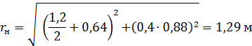
. Фактическая толщина ледопородного
ограждения будет больше E за счёт намерзания породы не только
в замковых, но и в главных плоскостях ограждения 
Она определяется внутренним 
и наружным 
радиусами промерзания пород вокруг
каждой замораживающей колонки.


Подставляя численные значения,
получаем:
. Определяем фактические внутренний
и наружный диаметры ледо-
породного ограждения вокруг ствола
по формулам:




Этап Б. Теплотехнический расчет
производительности замораживающей станции и времени замораживания
. Определяем объём ледопородного
ограждения, то есть объём всей
породы, подлежащей замораживанию, 
по формуле:
Где:
Vi - объём
породы по каждому водоносному горизонту отдельно, м3.
где:
F - площадь
кольца сечения ледопородного ограждения, м2.
Тогда отдельно по горизонтам объёмы
замораживаемых пород будут равны:
Итого: 
. Определяем объём замораживаемой
воды 
по формуле:
где:
Viв - объём
воды в i-ом
водоносном горизонте, м3.
Где:
mi - доля
содержания воды в породе i-го водоносного горизонта (в условии
дана в %, подставляем в долях единицы).
Определяем объём замороженной воды в
каждом из горизонтов, а затем просуммируем значения:
Итого: 
3. Объём твёрдых частиц породы 
определяем по формуле:
. Замораживание будет происходить
только при выполнении следующего неравенства:
где:
Qз -
количество тепла, которое нужно отвести от замораживаемого массива для перевода
его от естественной температуры до средней температуры замораживания;
Qк -
теплопоглощающая способность замораживающих колонок;
Qox - внешний
теплоприток;
T - время
активного замораживания.
Для дальнейших расчётов необходимо
вычислить все члены этого неравенства.
. Qз
определяется, исходя из выражения:
где:
- удельное количество тепла
(которое нужно отвести от 1м3 породы), ккал.
Для облегчения расчётов и
приближенных вычислений с небольшой погрешностью принимаем следующий порядок
определения Qз:
где:
Q1 -
количество тепла, которое нужно отвести от содержащейся в породе воды для её
охлаждения от естественной температуры до температуры замерзания;
Q2 -
количество тепла, которое нужно отвести для перевода воды в лёд при одной и той
же температуре (замерзания);
Q3 -
количество тепла, которое нужно отвести ото льда для его охлаждения от
температуры замерзания до средней температуры замораживания;
Q4 -
количество тепла, которое нужно отвести от «скелета» породы при его охлаждении
от естественной температуры до средней температуры замораживания.
Все вышепоименованные величины Q определяем
по следующим формулам:

,ккал

, ккал
где:

- объём льда; 
γв, γл, γп - удельный
вес соответственно воды, льда и породы (средне-взвешенный), кг/м3;
γв =1000 кг/м3
(для химически чистой воды); γл =916 кг/м3;
Св, Сл, Сп
- удельная теплоёмкость соответственно воды, льда и породы. В среднем они равны
Св=1 , Сл=0,5 , Сп=0,2 ккал/кг·град.;
r = 80
ккал/кг - скрытая теплота льдообразования;
tес, to, tср -
соответственно температура породы и воды в естественном состоянии, температура
замерзания воды и средняя температура замораживания.
Принимаем tес=+100С,
to=00C, tср=-100С.
Тогда:
Просуммировав все значения Q, получим:
. Теплопоглощающую способность замораживающих
колонок определяем по формуле:
где:
qf = 200…250
ккал/м3·час - удельное теплопоглощение на 1 м2 по-
верхности замораживающих колонок;
Fk - общая
площадь наружной поверхности замораживающих колонок, м2.
где:
dk = 0,146м -
стандартный диаметр труб ТЗК (трубы замораживающих
колонок);
Lk = Lскв - длина
замораживающих колонок.
Тогда:

ккал/час.
. Производительность замораживающей
станции определяем на основании Qк с учётом
20% потерь в рассольной сети, то есть:

ккал/час.

ккал/час.
. Определяем внешний теплоприток,
который постоянно нужно отводить при замораживании:

ккал/час
где:
qox = 4…11
ккал/м2·час - удельное количество тепла, притекающее к 1м2
поверхности ледопородного ограждения как снаружи, так и изнутри со стороны не
замороженного породного массива; 
зависит от естественной температуры
пород и глубины. Принимаем 
Sох -
поверхность ледопородного ограждения, соприкасающуюся с не замороженным
массивом, определяем по формуле:
Тогда:

ккал/час.
. Используя неравенство (Б-4),
определяем время активного замораживания по формуле:
. Время пассивного замораживания
определяем, исходя из нормативной скорости проходки ствола по замороженным
породам (VH = 25
м/мес):
где:
H - длина
участка ствола, проходимого по замороженным породам.
Так как в нашем случае 
то:
Ответ. E = 0,88
метра.
Qст = 18·104
ккал/час.
T = 43 суток.
Tпасс = 2,8
месяца.