Процессы и технология гидромеханизации открытых горных работ

  • Вид работы:
    Курсовая работа (т)
  • Предмет:
    Геология
  • Язык:
    Русский
    ,
    Формат файла:
    MS Word
    691,44 Кб
  • Опубликовано:
    2013-09-25
Вы можете узнать стоимость помощи в написании студенческой работы.
Помощь в написании работы, которую точно примут!

Процессы и технология гидромеханизации открытых горных работ

Содержание

Введение

. Общие сведения об объекте разработки

. Выбор типа и количества гидромониторов

. Водоснабжение гидроустановок

. Технология гидровскрышных работ

. Гидротранспорт вскрыши

. Гидроотвалообразование

Список литературы

Введение

Способом гидромеханизации на открытых разработках угольных месторождений отрабатываются вскрышные породы, представленные наносами с различной степенью связностью - от слабых лессовидных суглинков до плотных трудно размываемых глин.

Гидромеханизация вскрышных работ требует минимальных капитальных вложений, отличается низкой металлоемкостью и позволяет сократить эксплуатационными расходами при экскаваторной разработке пород на автомобильный и железнодорожный транспорт.

Гидромеханизация разработки пород в основном применяется на следующих разрезах Кузбасса. На севере - это разрезы “Кедровский”, “Черниговский”, а в центральных районах бассейна - “Моховский”, ”Бачатский”, ”Новосергеевский”.

Целью курсовой работы является определение параметров гидромониторного размыва, водоснабжения, гидротранспортирования, гидроотвалообразования.

Исходные данные

№ п/п

Параметры

Значение

1

Годовой объем вскрыши,

1,4

2

Продолжительность сезона, сут.

163

3

Высота уступа, м

16

4

Размеры карьера (длина одной стороны), м

1050

5

Длина одной стороны отвала, м

1000

6

Расстояние транспортирования, м

960

7

Длина магистрального водовода, м

2600

8

Длина забойного водовода, м

46

9

Высота подъема воды, м

16

10

Высота подъема пульпы, м

18

11

Время намыва отвала, лет

10

12

Основание отвала

Суглинок

13

Гидроотвал расположен

На равнине, вдали населенных пунктов и промышленных объектов

14

Разрабатываемые породы

Суглинок, средней тяжести

15

Пористость грунта

0,35

16

Удельный вес,

2,6

17

Дебит водоисточника,

900

18

Гранулометрический состав


Класс крупности, мм

0,05-0,1

Содержание класса, %

3


0,1-0,25


23


0,25-0,5


20


0,5-1,0


16


1-2


12


2-5


5


5-10


10


10-20


11


.        Общие сведения об объекте разработки

Объектом гидромеханизированной разработки является карьер, длина одной стороны которого составляет 1050 м., а годовой объем вскрыши 1,4.

Сезон гидромеханизированной разработки длится 163 суток в году. Высота разрабатываемого уступа составляет 16 м. Гидроотвал расположен на равнине, вдали от населенных пунктов и производственных объектов. Расстояние транспортирования составляет 960 м.

Длина одной стороны отвала равна 1000 м., а высота подъема пульпы 18 м. Основание отвала - суглинок. Время намыва отвала 10 лет. Водоисточник - река, расположена на расстоянии 2600 м. Длина забойного водовода равна 46 м.

Подъем воды производится на высоту 16 м. Дебит водоисточника составляет 900. Породы, разрабатываемые гидромеханизированным способом, представлены суглинком, средней тяжести с пористостью грунта 0,35 и удельным весом 2,6 . Гранулометрический состав разрабатываемой породы представлен в таблице 1.1.

Таблица 1.1. Гранулометрический состав разрабатываемой породы

Фракции, мм

0,05-0,1

0,1-0,25

0,25-0,5

0,5-1

1-2

2-5

5-10

10-20

Содержание фракции, %

3

23

20

16

12

5

10

11


По данным гранулометрического состава пород строим график гранулометрического состава (рисунок 1.1.). Для чего по оси абсцисс откладываем диаметр частиц в логарифмическом масштабе, по оси ординат - суммарное содержание частиц с диаметром меньше данного (в %).

На основе этого графика определяем диаметр средней частицы, для чего ось ординат разбиваем на 10 равных интервалов. Из середины каждого интервала проводим линии, параллельные оси абсцисс, до пересечения с графиком. Точки пересечения сносим на ось абсцисс и определяем значение диаметра средней частицы в данном интервале. Значение диаметра средней частицы определяем из выражения:

,

где  - диаметр средней частицы, мм.;

 - диаметр средней частицы в данном интервале, мм.

Таблица 1.2.

интервал

1

2

3

4

5

6

7

8

9

10

, мм

0,09

0,25

1,1

1,85

3,8

6

8

10

14

18


.

Средний диаметр частиц разрабатываемой породы равен 6,31мм.

По таблице 12.3 [1] определяем, что по трудности гидромониторного размыва разрабатываемые породы относятся к VI категории.

гидромеханизация угольный месторождение водоснабжение

2.      Выбор типа и количества гидромониторов

Удельный расход воды для размыва суглинок, средней тяжести и высоте уступа 16 м составит .

Необходимый напор на насадке .

Таблица 1.3

Группа грунтов по трудности разработки

Наименование грунтов

Высота забоя в м.



Более 15



Удельный расход воды в куб.м.

Напор м в ст.

Наименьший допустимый уклон подошвы забоя

4

Суглинки средние и тяжелые

7

90

3


Определение объема воды, необходимого для полного размыва вскрышных пород, на основе годовой производительности по вскрыше ():

,

где  - годовой объем вскрыши,.

.

Число рабочих гидромониторов () определяется по формуле:

,

где  - число рабочих часов в году, ч;  - коэффициент использования гидромонитора во времени ( при применении напорного гидротранспорта и отвала с устройством дамб обвалования (безэстакадный намыв)  - водопроизводительность гидромонитора, .

,

где  - число рабочих дней в году, сут.;  - число рабочих смен в сутки (); - продолжительность рабочей смены (), ч. Задаемся диаметром насадки гидромонитора 100 мм., необходимый напор равен 90 м.вод.ст. Тогда водопроизводительность гидромонитора с насадкой 100 мм и напором перед насадкой 90 м.вод.ст. составит

Таблица 1.4

Напор перед насадкой, атм.

Диаметр насадки, мм


50

62,5

75

87,5

100

125

150

175

200


Водопроизводительность гидромонитора

90

284

439

630

868

1134

1764

25989

3420

4500


.

Принимаем гидромонитор марки ГМН-250С (таблица 12.4 [1]).

Определение расстояния от насадки до забоя () (формула 12.14 [1]):

,

где  - минимальное расстояние гидромонитора от забоя, м;  - шаг передвижки гидромонитора (), м.

,

где  - высота уступа, м;  - коэффициент, приближения (  = 0,8-1,2 при ручном управлении;  = 0,3-0,4 при дистанционном управлении).

,

.

Гидравлический расчет гидромонитора

Определение скорости вылета струи из насадки (, м/с):

,

где φ - коэффициент скорости (φ = 0,95); g - ускорение свободного падения, м/с 2.

.

Диаметр насадки (d, м)

,

.

Принимаем стандартный диаметр насадки .

Уточняем фактический расход воды

,

где μ - коэффициент расхода (μ = 0,95); ω - площадь поперечного сечения насадки, м 2.

,

,

.

Потери напора в коленах и стволе гидромонитора (, м.вод.ст.):

,

где k - коэффициент потерь напора, зависящий от конструкции гидромонитора (k=14,2).

Потери напора в насадке (, м.вод.ст.):

,

Определение общих потерь напора в гидромониторе (, м.вод.ст.):

,

Длина начального участка струи (, м):

,

где А,В - эмпирические коэффициенты, зависящие от типа гидромонитора и конструктивных особенностей насадки (для ГМН-250С: А = 76, В = );  - число Рейнольдса для начального сечения струи.

,

где ν - кинематический коэффициент вязкости ( при температуре воды t=200 C), .

.

Осевое динамическое давление (, МПа):

,

где P0 - давление перед насадкой, МПа; k - показатель степени (при , k = 0,5).

,

.

Среднее динамическое давление струи на расстоянии 18 м от насадки ():

,

где  - коэффициент ().

.

Диаметр струи у забоя (D, м):

,

где μ - коэффициент, учитывающий расход насадки (μ = 0,95).

.

Площадь поперечного сечения струи в месте удара о забой (ω, ):

,

.

Сила удара струи о наклонную преграду (R, кН):

,

.

Определение необходимой часовой производительности гидромонитора по воде (необходимая часовая потребность карьера в воде - производительность насосной станции):

,

где  - коэффициент запаса ().

.

. Водоснабжение гидроустановок

Способ водоснабжения выбирается в зависимости от наличия воды и ее расхода в каждом конкретном случае. В данном случае расход воды 2 гидромониторов ГМН-250С с диаметром насадки 100 мм составляет 2240 м3/ч, а дебит водоисточника равен 900 м3/ч. Следовательно, принимаем схему водоснабжения с кругооборотом воды и подпиткой.

Расчет диаметров водоводов и потерь напора для разветвленной сети (рисунок 3.1.)

Рис. 3.1. Схема к расчету водовода

Необходимый расход воды по участкам трубопровода:

магистральном - Qм = ;

разводящем - Qр = ;

забойном - Qз = .

Диаметры отдельных участков водоводов составят:

магистрального

,

где  - скорость течения воды в водоводе (для магистральных и разводящих водоводов ; для забойных водоводов ), м/с.

.

Принимаем диаметр магистрального водовода равным 700 мм, тогда фактическая скорость течения воды в магистральном водоводе составит

,

.

разводящего

Принимаем диаметр разводящего водовода равным 600 мм, фактическая скорость течения воды в разводящем водоводе составит

.

забойного

.

Принимаем диаметр забойного водовода равным 400 мм, фактическая скорость течения воды в забойном водоводе составит

.

Потери напора за счет трения в сети водоснабжения будет складываться из потерь на отдельных участках водовода

,

Где  - потери напора за счет трения по длине водовода, м;  - потери напора за счет трения в магистральном водоводе, м;  - потери напора за счет трения в разводящем водоводе , м;  - потери напора за счет трения в забойном водоводе , м.

Потери напора в магистральном, разводящем и забойном (т.к. ) водоводах определяем по формуле Н.Н.Павловского:

для магистрального водовода

,

где  - потери напора на 1 пог.м трубопровода за счет трения, м/м.

.

.

для разводящего водовода

.

для забойного водовода

.

Принимаем наибольшее из них . Тогда потери напора за счет трения в сети водоснабжения составят

.

Местные потери напора принимаем равными 10% от общих потерь:

,

.

Полный напор определяется с учетом геодезических отметок рельефа местности, потерь напора в гидромониторе и насадке, а также напора, необходимого для эффективного размыва пород:

,

где hг - геометрическая высота подъёма воды (разность отметок оси насоса и гидромонитора), м;  - геометрическая высота всасывания (), м;  - потери напора во всасывающем трубопроводе (hв=1,5 м).

.

Для обеспечения необходимого напора и расхода (Н=127,85м, Qм =  м3/ч) принимаем насосы марок Д6300-27 и Д6300-80 (техническая характеристика насосов представлена в таблице 3.1.), соединенные последовательно (рисунок 3.2.).

Таблица 3.1. Техническая характеристика насосов

Марка насоса

Характеристика насоса

Характеристика электродвигателя

Масса насоса, кг


Расход, м3

Напор, м

Диаметр рабочего колеса, мм

Частота вращения, об/мин

Мощность, кВт


Д6300-80

6300

80

900

750

2000

8766

Д6300-27

6300

27

740

750

630

5000



Рисунок 3.2. Схема соединения насосов

По характеру работы насосная станция - непосредственно питающая гидроустановки в забоях, является основной. Станция расположена в подводящем канале на отстойнике. Дно подводящего канала покрывается изолирующим слоем. Насосная станция располагается в деревянном здании простейшего типа (рисунок 3.3).

Водозабор в водоподводящем канале устраивают при надежном укреплении канала. Около водозабора водохранилище должно иметь глубину 2-3 м. Входящее отверстие водоприемников от горизонта воды должно быть на расстоянии не менее 1,25 м.

Прокладка трубопровода

Подготовка труб к прокладке осуществляется на специальных трубозаготовительных площадках.

Подготовка заключается в следующем:

в выправлении концов труб;

в снятии фасок;

в устройстве односторонних скосов на кромках;

в приваривании фланцев ( при фланцевых соединениях , d < 400 - 500 мм );

в приваривании буртика или раструба при быстроразъемных соединениях (при d<900 мм).

После предварительной подготовки трубы раскладываются по трассе, которая готовится заблаговременно (планируется, укладываются деревянные или железобетонные подкладки).

Если трасса проходит по ровной местности, то трубы укладываются просто на подкладках (рисунок 3.4, а). При сложном рельефе местности для создания необходимых уклонов и для исключения резких перегибов трубопроводы прокладываются по насыпи (рисунок 3.4, б), выемке (рисунок 3.4, в).

Пульповоды прокладываются с уклоном, достаточным для стока пульпы при остановке гидротранспортного агрегата.

В местах пересечения трубопроводами наземных коммуникаций (автодорог, железных дорог и др.) трубы прокладываются в кожухе (рисунок 3.5).

При укладке трубопроводов на опорах расстояние между опорами должно быть 20-23 м, на закруглениях 10-12 м.

При укладке трубопроводов необходимо избегать и крутых изломов в плане. Рекомендуемые радиусы закруглений составляют:

для труб диаметром d<600 мм/d=6-8,

где R - радиус закругления, м; d - диаметр трубопровода, м;

для труб диаметром d>700 мм/d>=12.

При соблюдении этих рекомендаций не возникает дополнительных сопротивлений течению жидкости.

Исходя из условий наибольшей эффективности применяем схему гидромониторного размыва пород встречным забоем, так как струя разрабатывает породу с подбойкой. Недостаток размыва встречным забоем - увлажнение рабочей площадки.

Процесс размыва пород включает следующие операции: образование вруба (подрезку), способствующего обрушения забоя, смыв обрушенной породы, промывку пульпоприемной канавы. Размыв породы с подбойкой уступа чаще осуществляется при минимальной высоте вруба, которая должна составлять не более 0,2-0,4 м. Подрезка должна осуществляться при плавном повороте гидромонитора, чтобы скапливалась вода во врубе. Размыв несвязных пород может осуществляться без подрезки. Обрушенная порода смывается равномерно. Операция по смыву обычно совмещается с операцией по подрезке забоя с таким расчетом, чтобы вода после подрезки использовалась на смыве. Смыв ведется при равномерной консистенции пульпы во избежание оседания твердого по пути движения к землесосу.

Определение максимального расстояния гидромонитора от забоя () (формула 12.14 [1]):

,

где  - минимальное расстояние гидромонитора от забоя, м;  - шаг передвижки гидромонитора (), м.

,

где  - высота уступа, м;  - коэффициент, приближения (  = 0,8-1,2 при ручном управлении;  = 0,3-0,4 при дистанционном управлении).

.

.

Величина недомыва зависит от характера транспортируемых пород и принятой организации работ. Недомыв может достигать 35% от общего объема вскрыши. Удаление недомыва непосредственным размывом породы является не эффективным. Обычно его разрабатывают экскаваторами или тракторными стругами и, после концентрации в одном месте, размывают гидромониторами. Для уменьшения недомыва удлиняют всасывающую трубу землесоса. В этом случае на расстояние одного шага передвижки землесоса предусматривают не один, а два зумпфа (через 15-20 м). В результате расстояние стекания пульпы укорачивается, а объем недомыва и число передвижек землесоса уменьшается.

Исходя из горно-геологических и горнотехнических условий (тип разрабатываемых пород, количество уступов, тип и количество гидромониторов) принимаем «технологическую схему разработки уступа продольными заходками гидромониторами с жестким присоединением к водоводу» (схема 2, ст. 353 [3]).

Элементы системы разработки приведены в таблице 4.1.

Таблица 4.1. Элементы системы разработки

Показатели

Обозначения

Величина

Ширина заходки, м

Шаг передвижки гидромонитора, м

Длина блока, м

Ширина блока, м


Ширина гидромониторной заходки (формулы 23.1-23.7, ст. 319 [1]):

,

где  - длина рабочего участка гидромониторной струи, зависящая от категории разрабатываемых пород и напора на насадке гидромонитора, м;

 - коэффициент, учитывающий приближение гидромонитора к забою (для гидромонитора с ручным управлением );  - шаг передвижки гидромонитора, м.

,

где  - напор на насадке гидромонитора (принимаем ), м;  - необходимый напор для размыва пород;  - коэффициент, зависящий от типа пород, ).

 м,

,

.

Принимаем  ( равняется двум длинам трубы).

.

- Длина фронта работ гидромонитора должна удовлетворять условию:

,

где  - коэффициент, учитывающий недомыв уступа по высоте ();

 - коэффициент, учитывающий глубину пульповодной канавы ();

 - глубина зумпфа (), м;

 - уклон пульповодной канавы ().

.

Ширина рабочей площадки определяется по формуле:

,

где  - число отрабатываемых заходок на одно положение землесосной станции (n=3);

 - расстояние от нижней бровки уступа до зумпфа, м;  - ширина зумпфа (), м;

 - ширина землесосной установки (), м;

 - ширина транспортной полосы (при одностороннем движении ), м;

 - ширина призмы возможного обрушения, м.

,

,

,

где  - угол естественного откоса уступа, град;  - угол откоса рабочего уступа, град.

,

.

- Объем пород, разрабатываемый с одного положения гидромонитора:

,

.

- Длина блока, разрабатываемого одной гидромониторной установкой:

,

где  - глубина пульповодной канавы в месте ее примыкания к зумпфу (), м;

 - уклон недомыва ();

 - отношение высоты недомыва к высоте уступа.

Ширина блока

,

.

Объем недомыва (недомыв породы в забое убирается через две передвижки гидромонитора):

,

где  - коэффициент недомыва ().

.

. Гидротранспорт вскрыши

Расчет напорного гидротранспорта твердого материала состоит из выбора диаметра трубопровода и соответствующего оборудования для обеспечения заданной производительности гидромониторной установки (расчет производится по методике В.В. Трайниса, ст.1-5 ).

Приближенный расчет

. Определение часовой производительности землесосной установки по пульпе:

,

где  - производительность гидромониторной установки по твердому, ;  - пористость грунта.

,

где  - годовой объем вскрыши,;

 - число рабочих дней в году, сут.;

 - число рабочих смен в сутки ();

 - продолжительность рабочей смены (), ч;

 - коэффициент использования гидромонитора во времени ( при применении напорного гидротранспорта и отвала с устройством дамб обвалования (безэстакадный намыв) (таблица 12.6 [1])).

.

. Плотность пульпы:

,

где  - плотность воды, ;  - удельный вес породы, .

.

. Консистенцию пульпы принимаем по удельному расходу воды, т.е. Т:Ж = 1:7.

. Концентрация (объемная) твердых частиц в пульпе:

,

.

. Ориентировочное значение диаметра пульповода определяем на основании данных таблицы 1.7.().

Необходимо, чтобы при выбранном диаметре пульповода фактическая скорость была на 10-20% выше значения критической скорости, т.е. .

Задаемся рядом значений диаметров пульповода, при этом значение фактической скорости определится по формуле:

, м/с.

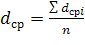
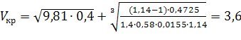
при диаметре пульповода 400мм ()

,

.

при диаметре пульповода 600мм ()

Таблица 1.5 Критические скорости движения пульпы Vкр, м/с

Грунт

Диаметр пульповода, мм,

Консистенция пульпы



T:Ж=1:5

T:Ж=1:10

T:Ж=1:15

Лессовидные суглинки

400

1,88

1,68

1,57


500

2,12

1,88

1,77


600

2,32

2,07

1,94


,

 на 20%, следовательно, принимаем диаметр пульповода .

. Потери напора при гидротранспорте

Потери напора при гидротранспорте определяют из выражения:

, м,

где  - потери напора обусловленные высотой подъема пульпы, м.вод.ст.;

 - потери напора, расходуемые на всасывание пульпы, м.вод.ст.;

 - потери напора во всасывающем трубопроводе (), м.вод.ст.;

 - потери напора по длине пульповода, м.вод.ст.;

 - местные потери (), м.вод.ст.;

 - остаточный напор ().

,

где  - разность отметок оси землесоса в карьере и оси трубопровода на гидроотвале, м.


,

где  - высота всасывания пульпы (), м.

 м.вод.ст.

,

где  - потери напора на 1м длины пульповода, м; L - длина пульповода, м.

,

где  - потери напора при движении чистой воды, м/м;

К - коэффициент, учитывающий консистенцию пульпы (К=1,2).

,

где  - коэффициент гидравлических сопротивлений

 - скорость движения чистой воды (), м/с.

 м/м,

 м/м,

 м.вод.ст.

 м.вод.ст.

 м. вод. ст.

7. По производительности  и напору Н = 45,8 м.вод.ст. определяем тип и количество землесосов для землесосной установки.

Принимаем 2 землесоса марки 16Р9-М 1 землесос марки ГРТ 1600/50. Землесосы соединяем параллельно. Техническая характеристика землесосов приведена в таблице 5.1. Схема соединения землесосов показана на рисунке 5.1.

Таблица 5.1. Техническая характеристика землесосов

Марка землесоса

Характеристика насоса

Характеристика электродвигателя

Масса насоса, кг


Подача, м3

Напор, м

Диаметр рабочего колеса, мм

Частота вращения, об/мин

Мощность, кВт


16Р9-М

2500

45

960

740

630

-

ГРТ 1600/50

1600

50

840

740

500

3570



Рис. 5.1. Схема соединения землесосов

. Детальный расчет напорного гидротранспорта

При детальном расчете производим проверку и уточнение выбранных приближенным методом диаметра пульповода и грунтовых насосов по действительному значению критической скорости.

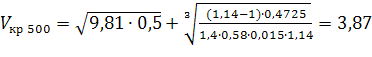
Расчет производим по методике В.В. Трайниса для гидротранспорта кусковатых смесей.

Критическую скорость при движении гидросмеси по трубопроводам в турбулентном потоке рассчитывают по формуле:

,

где С - коэффициент, учитывающий содержание R мелких частиц по массе (породные частицы менее 2 мм);

 - эмпирический коэффициент (для породы Кэ =1,4);

 - коэффициент сопротивления при свободном падении твёрдых частиц в жидкой среде;

 - коэффициент гидравлических сопротивлений (при,

Таблица 5.2

D, м

0,3

0,35

0,4

0,45

0,5

0,6

0,0165

0,0160

0,0155

0,0155

0,015


при

,

,

,

,

 м/с.

Так как фактическая скорость течения пульпы значительно превышает критическую (6,7>3,6), проверяем режим течения пульпы в пульповодах диаметром 500мм.

 м/с,

м/с.

Окончательно принимаем диаметр пульповода 500 мм.

6. Гидроотвалообразование

Исходя из расположения проектируемого гидроотвала и надежности пород в основании, данный отвал, по классу ответственности, относится к III классу группе Б. По приемной способности, отвал относится к III категории.

В случае полного использования вместимости гидроотвала, его объем определяется по формуле:

,

где  - объем укладываемых пород в массиве, ;

 - коэффициент набухания породы

 - объем воды в отстойнике, равный 5-10-дневному расходу гидросмеси, подаваемой в отвал, ;

 - объем стока водосбора (), .

,

где Т - время намыва отвала, лет;  - годовой объем вскрыши, млн..

Таблица 6

Породы

Коэффициент набухания

Суглинок

1,2-1,5


,

,

,

Ориентировочный объем начального обвалования

,

где  - коэффициент начального обвалования (для гидроотвала на равниной местности ).

.

Размеры дамбы обвалования устанавливают исходя из физико-механических свойств укладываемых в отвал пород (таблица 14.3 ).Высота дамбы 4м; ширина гребня 1,5; заложение откосов: внутреннего 1:1,5; наружного 1:1,75.

Принимаем длину пляжа (надводной его поверхности) равной 200м.

Определение уклона поверхности пляжа:

,

где  - Коэффициент, зависящий от состава породы ();

 - расход гидросмеси, подаваемой в отвал, л/с;

 - весовая консистенция гидросмеси при выпуске, %.

,

,

3

Исходя из класса ответственности гидроотвала, по данным ВНИПИИстромсырья, возвышение гребня призмы над горизонтом воды в прудке должно составлять не менее 0,8м.

Исходя из физико-механических свойств разрабатываемых пород применяем безэстакадный способ намыва при непрерывной переукладке намывного пульповода сосредоточенном способом выпуска пульпы из торца пульповода (таблица 14.6. ). В связи с расположением гидроотвала на равнине, принимаем кольцевую схему заполнения емкости отвала с намывом по всему периметру гидроотвала и параллельным перемещением фронта работ.

При этом способе для намыва применяются пульповоды из труб с быстроразъемными раструбными соединениями. Порядок работы при этом следующий. По длине фронта намывных работ, при помощи бульдозера, возводится небольшая дамба попутного обвалования (без перерыва в намывных работах). Высота такой дамбы принимается 0,6-0,8м. На расстоянии 6-10м от дамбы укладывается пульповод с быстроразъемными соединениями. Намыв начинается из торца последнего звена пульповода, поддерживаемого краном. Выпускаемая из трубы пульпа укладывается под углом тонким слоем (25-30см при гидротехнических работах и до 1-1,5м при гидроотвальных работах). Трубы наращиваются без остановки работ. После намыва слоя кран опускает звено пульповода на намытую породу. В дальнейшем кран поднимает заранее подготовленное следующее звено и присоединяет его к пульповоду без остановки работ. Далее пульповод наращивается в той же последовательности. Когда пульповод достигает границы укладки, начинают вести намыв в обратном порядке, последовательно отсоединяя крайние звенья. Торец крайней трубы, оставшейся на породе, поднимают на 25-30см, а намыв продолжают от конечной к начальной границе отвала. С целью избежания намыва породы на уложенный пульповод при обратном порядке намыва применяют вторую линию пульповода, а первую демонтируют, укладывая ее для последующего намыва. Для переукладки звеньев применяют краны, смонтированные на базе экскаватора ТЭ-2М, или специальные краны. Данный способ намыва характеризуется малой трудоемкостью, небольшими затратами и незначительными простоями гидроустановок.

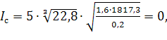
Для отвода отработанной воды применяем водосбросные колодцы шандорного типа.

Число одновременно работающих на площадке намыва колодцев определяется по формуле 14.5 (ст.211 ):

,

где  - коэффициент, учитывающий потери воды ();

 - расход воды, подаваемой на карту намыва (принимается с запасом, равным общему расходу потока гидросмеси), ;

 - расход воды, пропускаемой водосливом колодца, .

 колодца.

Принимаем расчетное число колодцев 2шт.- упрощенной конструкции и небольшой высоты (таблица 14.8 ).

Исходя из класса ответственности гидроотвала (III классу группе Б) принимаем 1 резервный колодец (таблица 14.9 ).

Расход воды, сбрасываемой шандорным колодцем:

,

где  - коэффициент расхода ();

 - ширина водосливной части колодца, м;

 - высота слоя сливающейся воды над стенкой шандора (), м.

.

Расход воды, пропускаемой водосбросной трубой колодца:

,

где  - коэффициент расхода при истечении в атмосферу;

 - площадь поперечного сечения трубы, ;

Н - напор воды над осью трубы, м.

,

где  - коэффициент сопротивления ( (таблица 14.10 ));

 - длина трубы, м;  - диаметр трубы, м.

,

.

Водоотводные трубы водосборных колодцев уложены без опор, звеньями длиной 12 м непосредственно на поверхности отвала. Для предупреждения всплывания труб в первоначальный период ведения намывных работ засыпку труб рекомендуется производить в соответствии со следующими рекомендациями Гипромехпроекта:

Условный диаметр водосборной трубы, мм500

Ширина засыпки поверху, м0,9

Высота засыпки над верхом трубы, м0,2.

Список литературы

1. Нурок, Г.А. Процессы и технология гидромеханизации открытых горных работ. / Г.А.Нурок - М.: Недра, 1985.- 470 с.

. Ташкинов, А.С. Гидравлический расчет гидромониторов, напорного и самотечного гидротранспорта воды: лаб. Практикум / А.С. Ташкинов, КузГТУ. - Кемерово, 1997. - 28 с.

. Типовые технологические схемы ведения горных работ на угольных разрезах - М.: Недра, 1982.- 410 с.

. Ташкинов, А.С. Расчет напорного и самотечного гидротранспорта твердых материалов: лаб. практикум/ А.С. Ташкинов; КузГТУ. - Кемерово, 2000. - 30 с.


Не нашли материал для своей работы?
Поможем написать уникальную работу
Без плагиата!
Без нейросетей!