Применение горизонтальных скважин на начальном этапе разработки Оренбургского нефтегазоконденсатного месторождения
Содержание
Введение
. Краткая геолого-промысловая характеристика Оренбургского
НГКМ
.1 Общие сведения
.2 Тектоника
.3 Литолого-стратиграфическая характеристика
.4 Фильтрационно - емкостные свойства коллекторов
.5 Устойчивость коллекторов к деформации и разрушению
.6 Начальные термобарические параметры пласта
.7 Состав и свойства пластового газа
.8 Общие сведения о водоносном бассейне, физико - химическия
характеристикапластовых вод
.9 Тип залежи, запасы газа и конденсата в зоне УКПГ - 14
. Газогидродинамические исследования газовых и
газоконденсатных скважин
.1 Цели, задачи и классификация методов газогидродинамических
исследований вертикальных скважин
.2 Технологические режимы работы скважин №№ 14003, 285, 386
.3 Результаты газогидродинамических исследований скважин №№
14003, 285, 386
.4 Коэффициенты фильтрационного сопротивления вертикальных
скважин 14003, 285, 386. Их использование для пересчета на аналогичные
коэффициенты горизонтальных скважин
. Методы определения забойного давления в горизонтальных скважинах
различных конструкций
.1 Определение давления у башмака фонтанных труб в
горизонтальных скважинах с большим и со средним радиусами кривизны при
отсутствии жидкости в продукции скважины и фонтанных труб в горизонтальном
участке ствола
.2 Определение давления у башмака фонтанных труб в
горизонтальных скважинах с малым радиусом кривизны при отсутствии жидкости в ее
продукции и фонтанных труб в горизонтальном участке ствола
.3 Методика определения давления у башмака фонтанных труб для
различных длин и диаметров на горизонтальном участке
.4 Методика определения устьевого давления в горизонтальных
скважинах при различных длинах и диаметрах обсадных колонн, фонтанных труб,
дебитах и радиусах кривизны
.5 Определение устьевого давления при отсутствии фонтанных
труб в горизонтальном участке и наличии жидкости в продукции скважины
.6 Определение устьевого давления при различных дебитах и
длинах горизонтального ствола, отсутствии жидкости в продукции скважины и
фонтанных труб в горизонтальном участке ствола
. Безопасность и экологичность проекта
.1 Основные виды техногенного воздействия при строительстве
скважин
.2 Предпосылки возникновения возможных нештатных ситуаций на
буровой установке
.3 Обоснование преимущества строительства горизонтальных
скважин
.4 Расчет предотвращенного экологического ущерба при
строительстве горизонтальных скважин
.5 Предотвращенный ущерб окружающей природной среде в
результате размещения отходов на специализированной площадке захоронения
.6 Предотвращенный ущерб окружающей природной среде в
результате загрязнения атмосферного воздуха стационарными и передвижными
источниками выбросов
. Оценка эффективности бурения горизонтальных скважин
.1 Оценка экономической эффективности мероприятий
.2 Порядок расчета экономической эффективности мероприятий
.3 Расчет экономической эффективности бурения горизонтальных
скважин
Заключение
Список использованных источников
Введение
Оренбургское нефтегазоконденсатное месторождение (ОНГКМ) является одним
из крупнейших месторождений. Оно введено в промышленную эксплуатацию в 1974
году и занимает важное место в системе газоснабжения страны.
ОНГКМ - источник ценного углеводородного и не углеводородного сырья.
Продуктами переработки сырья ОНГКМ являются товарный (метановый) газ, широкая
фракция легких углеводородов, этан, гелий, стабильный конденсат, нефть и сера.
Целью работы является применение горизонтальных скважин на начальном
этапе разработки Оренбургского ОНГКМ.
В данном проекте рассмотрена возможность использования результатов
исследования высокодебитных вертикальных скважин УКПГ-14 (№№ 14003, 285, 386)
для определения коэффициентов фильтрационного сопротивления ав, bв и пересчет этих коэффициентов на
коэффициенты горизонтальных скважин aг и bг.
Представлены методики определения давления у башмака фонтанных труб при
различных дебитах горизонтальных скважин и различных длинах и диаметрах
горизонтального ствола.
В дипломном проекте приведена методика определения устьевого давления при
различных длинах и диаметрах обсадных колонн, фонтанных труб и радиусах кривизны,
обеспечивающих минимальные потери давления по стволу горизонтальной скважины.
Определены оптимальные варианты соотношения этих параметров с технологической и
экономической точки зрения и предложен наиболее экономически целесообразный
вариант.
Также в проекте выполнено задание по разделу «Безопасность и
экологичность проекта».
Дипломный проект выполнен в соответствии с заданием на дипломный проект
«Определение влияния длины и диаметра обсадных колонн и фонтанных труб на
горизонтальном участке, а также радиуса кривизны на устьевое давление при
различных дебитах горизонтальной скважины, на начальном этапе разработки
Оренбургского ОНГКМ»
1. Краткая геологическая характеристика месторождения
1.1 Общие сведения о месторождении
устьевой давление горизонтальный скважина
Оренбургское нефтегазоконденсатное месторождение (ОНГКМ) в
административном отношении расположено в непосредственной близости от
областного центра - г. Оренбурга и занимает территорию Оренбургского,
Переволоцкого и Илекского районов Оренбургской области.
ОНГКМ в географическом отношении расположено в широкой, хорошо
разработанной долине реки Урала, имеющей асимметричное строение. Левый склон
долины пологий, плавно понижающийся в северном направлении. Он изрезан редкими
и, в основном, неглубокими оврагами. Максимальные отметки рельефа отмечаются в
юго-восточной части площади, где пологий рельеф сменяется грядово-холмистым.
Правый склон долины более крутой и изрезан оврагами и балками. Максимальные
абсолютные отметки на правом склоне в пределах месторождения достигают от 180
до 193 м. Через всю площадь место-рождения с востока на запад в близком к
широтному направлению протекает река Урал. Обзорная карта расположения
Оренбургского НГКМ представлена на рисунке 1.1.
Общая площадь ОНГКМ составляет 1438 км2. Около 80 % площади приходится на
пашни, 11 % - на леса и водоемы, 9 % - на государственные заказники,
автомобильные и железнодорожные магистрали.
Артинско-среднекаменноугольная (основная) залежь ОНГКМ находится в
промышленной эксплуатации с 1974 года. С 1985 года начался период падающей
добычи.
Газонефтеносные горизонты приурочены к подсолевой толще от филипповского
горизонта кунгура и ниже.
Рисунок 1.1 - Обзорная карта Оренбургского нефтегазохимического комплекса
Вышележащие соленосные образования кунгура и надсолевые терригенные
отложения перми и мезозоя практического интереса не представляют.
Природный резервуар основной залежи имеет очень сложное строение. Залежь
подстилается нефтяной оторочкой небольшой толщины (около 25 м), распространение
которой по площади имеет сложный зонально-мозаичный характер, обусловленный
литологической неоднородностью строения продуктивной толщи.
Абсолютные отметки газожидкостного контакта колеблются в широких
пределах: для газонефтяного контакта (ГНК) от 1 715 до 1 750 м, для
водонефтяного контакта (ВНК) от 1 735 до 1 784 м.
1.2 Тектоника
Оренбургский вал, с которым связано ОНГКМ, имеет достаточно сложное
строение в связи с проявлением в его пределах тектонических и седиментационных
структуроформирующих факторов. Простираясь с запада на восток, структура имеет
протяженность более 100 км и ширину от 10 до 20 км.
По площади ОНГКМ выделены тектонические нарушения и органогенные
постройки. Центральный и Восточный купола разделяются системой тектонических
нарушений.
По кровле артинской карбонатной толщи структура выделяется в виде единого
поднятия (типа брахиантиклинали) и оконтуривается изогипсами минус 1600 м,
минус 1650 м и минус 1700 м. Наиболее высокие отметки (от минус 1230 до минус
1240 м) в пределах поднятия приурочены к его сводовой части.
На севере структуры, где поднятие контролируется крутым крылом (от 10 до
15), отметки достигают от минус 1800 до минус 1840 м в западной части поднятия
и почти минус 1900 м - в восточной.
Структура Оренбургского месторождения изучена по более чем тысячи
скважинам и представлена на рисунке 1.2.
На южном крыле, характеризующемся погружением не более чем на 2°,
наиболее глубокие абсолютные отметки равны минус 1760 м на западе, минус 1780 м
- в центре и минус 1825 м - на востоке. Из-за различной крутизны крыльев
поднятие приобретает форму явно асимметричной структуры.
Рисунок 1.2 - Структура Оренбургского месторождения
В пределах поднятия выделяются три купола: Западный, Центральный и
Восточный.
Западный купол, выделяющийся как обособленное поднятие с размерами 20 км
на 6 км и амплитудой 120 м по кровле III объекта, по кровле артинской
карбонатной толщи отмечается в виде обширной периклинали (25 на 12 км).
Амплитуда в районе Западного купола (относительно северного и южного
погружений) достигает 300 м.
Центральный купол, как и Западный, выделяющийся в виде самостоятельного
поднятия (40 на 13 км, амплитуда 280 м) по III объекту, по артинской
карбонатной толще образует наиболее крупную (50 на 18 км) и наиболее
приподнятую часть Оренбургского поднятия. В своде купола, являющегося
одновременно и сводом всего поднятия, отметки равны от минус 1230 до минус 1240
м. Амплитуда купола достигает почти 500 м. На востоке Центральный купол
отделяется от Восточного неглубоким прогибом (с погружением до минус 1590 м).
Восточный купол в своде имеет абсолютные отметки от минус 1460 до минус
1470 м, что ниже относительно свода Центрального купола более чем на 200 м.
Свод купола вырисовывается по изогипсе минус 1650 м в виде поднятия, имеющего
почти изометрическую вершину (изогипса минус 1550 м), и протяженную (на восток)
периклиналь. Размеры свода 16 на 6 км. С
юга к своду примыкает сравнительно широкое (более 3 км) моноклинальное крыло, а
с востока - обширная (14 на 8 км) террасообразная площадка.
1.3 Литолого - стратеграфическая характеристика вскрытых
отложений
В таблице 1.1 приведен стратиграфический разрез ОНГКМ.
Залежь расположена на глубине от 1945 до 2175 м, общая мощность осадочного
чехла в районе месторождения по данным геофизической разведки составляет от
5000 до 5500 м. Кунгурские хемогенные образования делят разрез месторождения на
две части, надсолевую и подсолевую продуктивную.
Основная газоконденсатная залежь приурочена к мощной
карбонатной толще артинско-среднекаменноугольного возраста. Она уникальна по
размерам. В пределах контура газоносности площадь газоносности составляет около
1400 км2 (по изогипсе 1750 м, имеет размеры 105·20 км). Этаж газоносности в центральной
части залежи (район УКПГ-1) достигает 525 м, в западной части 275 м, восточной
280 м. Природный резервуар основной залежи имеет очень сложное строение. Залежь
подстилается нефтяной оторочкой небольшой толщины (20 м), распространение
которой по площади имеет сложный зональный характер, обусловленный
литологической неоднородностью строения продуктивной толщи. Абсолютные отметки
газожидкостного контакта колеблются в широких пределах: для ГНК от 1715 до 1750
м, для ВНК от 1735 до 1784 м.
Тип залежи - массивно-пластовый. Каждый укрупненный
блок-пласт представлен интервалами газоносных коллекторов и плотных
известняков. Представленных в основном породами с низкой пористостью в верхней
части Сакмарского яруса (средняя толщина от 40 до 45 м) и в ассельско-верхнекаменноугольных
отложениях (средняя толщина от 70 до 80 м). Эти интервалы разобщают три толщи с
улучшенными фильтрационно-емкостными свойствами, которые рассматриваются в
качестве эксплуатационных объектов:
I объект выделен и прослежен в пределах Западного и
Центрального куполов. Он включает породы артинского и сакмарского ярусов.
В литологическом отношении объект представлен известняками, в верхней
части участками значительно сульфатизированными и доломи-тизированными. Общие
толщины пласта, закономерно увеличиваясь по направлению с запада на восток,
изменяются от 60-70 до 100-150 м.геологический объект объединяет нижнюю
часть сакмарского яруса, а также ассельские и частично верхнекаменноугольные
отложения.
Последний включает пачку плотных пород, нередко начиная с кровли
сакмарского яруса или чуть выше. И в этом случае толщина раздела как перемычки
достигает от 20 до 30 м. Но на западных склонах куполов (Западного и
Центрального) верхняя, большая часть R1 замещена проницаемыми разностями,
перемычкой, отделяющей II объект от I, служит лишь нижняя часть раздела
толщиной в несколько метров.
Общая толщина II объекта изменяется от 70 до 150 м, чаще всего от 100 до
120 м.
III геологический объект включает
отложения верхнего и частично среднего карбона. Развит на Западном и
Центральном куполах. Его толщины изменяются от 40 до 200 м.
Таблица 1.1 - Литолого-стратиграфический разрез
От II объекта III объект отделяется плотными породами раздела R2, толщина
которого и как геологического тела и, одновременно, как перемычек между
объектами, достигает иногда нескольких десятков метров и даже более 100 м
(например, в прогибе между Западным и Центральным куполами или в своде купола,
в районе скважины 204-д и 2014).
1.4 Фильтрационно - емкостные свойства коллекторов
Вся продуктивная толща основной залежи по данным
промысловой геофизики и результатам анализа керна представлена чрезвычайно
сложным чередованием пористых, порово-каверно-трещиноватых и плотных разностей
карбонатных пород.
Продуктивная толща месторождения сложена карбонатными породами с
различными коллекторскими свойствами, различными как по площади месторождения,
так и по разрезу.
Характерная особенность Оренбургского месторождения и зоны УКПГ-14 явно
выраженная пластовость и наличие прослоев значительной толщины, имеющих
региональное распространение. Глубины залегания основной залежи от 1350 до 1900
м, этаж газоносности - 514 м.
Газоносный массив месторождения сложен толщей
плитчатых и тонкоплитчатых светло-серых, серых, темно-серых и черных
известняков с прослоями сульфатизированных доломитизированных известняков и
доломитов, прослои глин мощностью от 1 до 1,5 м встречаются в кровле среднего и
верхнего карбона, выше по разрезу встречены отдельные линзы и очень тонкие прослои
глин. Для артинских и сакмарских известняков характерна
повышенная доломитизация и сульфатизация пород. В продуктивной толще выделяются
четыре основных типа коллекторов: поровый; кавернозный (смешанный поровый
(порово-трещиноватый); трещиноватый.
При подсчете запасов продуктивный разрез разделен на
два типа коллекторов: поровый и трещиноватый. Основной тип коллектора,
встречающийся по всему продуктивному разрезу и площади месторождения - поровый.
Максимальная суммарная мощность коллекторов порового типа
приурочена к центральной части месторождения (ассельскому ярусу и среднему
карбону). Каналами фильтрации и основной емкостью, содержащей запасы пластового
флюида, является межзернистая пористость. Нижний предел пористости 6 %,
проницаемости 0,1∙10-15 м2. Коллекторские свойства изменяются в широких
пределах, преобладают размеры пор от 0,01 до 0,5 мм. Поровые коллекторы
составляют 35 % от газонасыщенного объема. Газонасыщенность порового коллектора
принята 0,65.
Весьма характерна для карбонатного массива сильная
трещиноватость пород. Есть в керне открытые трещины, по которым видны
интенсивные выделения пузырьков газа и конденсата. Визуально в керне видны и
минеральные трещины заполненные кальцитом, битумом, глиной, толщина таких
трещин от 0,5 до 1 см. Между этими двумя видами трещин часто встречается
переход одних в другие. Существуют сети трещин, которые способствуют
сообщаемости отдельных пластов, что является благоприятным фактором,
обеспечивающим гидродинамическую связь всей продуктивной толщи.
В толще карбонатных пород выделено 36 укрупненных
пород (пластов), с различными фильтрационно-емкостными свойствами, в том числе
14 пластов плотных. Худшие продуктивные свойства имеют артинские отложения по
сравнению с продуктивными отложениями сакмары и карбона, это низкая
проницаемость коллекторов при отсутствии ощутимых различий по пористости. Для
них характерна тонкопористая структура пространства, повышенная
нефтенасыщенность, сульфатизация и доломитизация пород. Доминирующим фактором
продуктивности артинских отложений является отсутствие трещиноватости. Как
следствие, скважины, работающие на эти отложения, имеют низкие дебиты при
высокой депрессии. Следующей особенностью, ухудшающей коллекторские свойства,
является наличие остаточной нефти и битумов в поровом пространстве коллекторов.
При изучении распространения их по площади выявлено закономерное возрастание
остаточной нефти к востоку.
Лучшие коллекторские свойства имеют известняки
сакмарских, ассельских отложений верхнего и среднего карбона. Проницаемость этих
пород значительно выше, поэтому средние дебиты скважин выше, отложения
продуктивной толщи представлены чистыми известняками с единичными маломощными
прослоями доломитов и глин.
Характиристика эксплуатационных объектов ОНГКМ
представлены в таблице 1.2.
объект I объединяет продуктивную часть артинского
яруса и верхнюю часть сакмарского яруса. Общая мощность в пределах
месторождения значительно меняется. В западной части месторождения она
составляет от 60 до 90 м, в центральной части в районе УКПГ - 2, 3, 6 - от 90
до 110 м, в районе УКПГ - 7, 8, 9 - от 110 до 180 м, в восточной части
увеличивается от 200 до 250 м (скв. №63). В среднем эффективная мощность
составляет 29,2 % от общей мощности объекта. Характеризуется:
коэффициент пористости…………….12,3 % (от 1,7 % до 13,6 %)
проницаемость………………………...2,3∙10-15 м2
газонасыщенность…………………….от 0,15 до 0,75
общая мощность……………………...75,5 м
эффективная мощность (ср.)………...12 м.
Отличается наихудшими продуктивными свойствами. Для него характерна
тонко-поровая структура, а также повышенная нефтенасыщенность, сульфатизация и
доломитизация пород.
Пачка плотных пород верхней толщи сакмарского яруса (Iраздел):
коэффициент пористости………………..1,3 %
проницаемость……………………………от 0,025∙10-15 до 4∙10-15 м2
газонасыщенность………………………...от 0,24 до 0,7
объект II включает отложения нижней части сакмарского
яруса и наиболее пористые пласты верхней части ассельского яруса. Общая
мощность отложений изменяется от 27 до 75 м.
Характеризуется:
коэффициент пористости…………..12,6 % (от 2,5 % до 15,7 %)
проницаемость……………………...от 0,05∙10-15 м2 до 47,6 ∙10-15 м2
газонасыщенность…………………..0,36-0,83
общая мощность…………………….57 м
эффективная мощность (ср.)………. 23,2 м
раздел II приурочен к нижней части ассельского
яруса и отложения верхнего карбона. Общая мощность ее изменяется от
50 м до 100 м. Отложения второго раздела в основном представлены плотными
непроницаемыми породами:
коэффициент пористости…………….от 1,1 до 11,6 %
проницаемость………………………..от 0,035∙10-15 м2 до 16,7∙10-15 м2
газонасыщенность…………………….от 0,36 до 0,84
объект III включает отложения нижней части верхнего
и среднего карбона. Вскрытая мощность отложений составляет от 100 до 224 м.
Средняя эффективная мощность около 40 м.
Характеризуется:
коэффициент пористости……….11,4 % (от 1% до 13,8%)
проницаемость…………………..от 0,01∙10-15м2 до 53,8∙10-15 м2
газонасыщенность……………….от 0,32 до 0,9
общая мощность………………...121 м
эффективная мощность (ср.)…... 57 м
Породы-коллекторы характеризуются хорошими емкостными и фильтрационными
свойствами, но более низкими, чем породы второго объекта.
Несмотря на значительный диапазон
газоконденсатонасыщенности вся толща известняков, благодаря наличию
трещиноватости, представляет собой единый сообщающийся резервуар, хотя
гидродинамическая связь по разрезу и площади затруднена ввиду резкой
неоднородности фильтрационно-емкостных свойств карбонатных пород
коллекторов.[1]
Таблица 1.2 -
Характеристика эксплуатационных объектов ОНГКМ
|
Параметры
|
I объект
|
II объект
|
III объект
|
|
Площадь, км2
|
1215
|
728
|
463
|
|
Пористость, %
|
12,3
|
12,6
|
11,4
|
|
Проницаемость, ∙10-15
м2
|
2,3
|
15,0
|
20,5
|
|
Общая мощность, м
|
75,5
|
57,0
|
121,4
|
|
Эффективная мощность, м
|
12,3
|
23,2
|
34,0
|
|
Нэф/Нобщ, %
|
16,0
|
40,7
|
16,0
|
.5 Устойчивость коллекторов к деформации и разрушению
Устойчивость горных пород в призабойной зоне зависит от глубины и условий
залегания пласта, воздействия бокового и горного давления, физико-механических
свойств пород, свойств насыщающих пород жидкости и газа, величины депрессии,
условий вскрытия, освоения и эксплуатации пласта, скорости потока в призабойной
зоне и других факторов. Находясь на больших глубинах, коллекторы испытывают
действие давления и температуры. Поэтому при изменении давления и температуры
изменяются физические, емкостные и фильтрационные свойства горных пород. Эти
изменения в ряде случаев существенно влияют на показатели разработки газовых и
газоконденсатных месторождений и на технологический режим эксплуатации скважин.
Встречаемые на практике газоносные коллекторы по прочностной
характеристике настолько разнообразны, что до настоящего времени нет единой
методики, позволяющей определить допустимую депрессию на пласт в условиях его
разрушения. Это обстоятельство требует экспериментального определения
допустимой депрессии на каждом месторождении по каждому газоносному пропластку,
вскрытому отдельно или совместно с другими.
Главная трудность заключается в том, что проведение экспериментов для
определения допустимой депрессии не всегда возможно, так как иногда отбор
предоставленных проб керна без нарушения истиной характеристики пород практически
невыполним.
Ниже приводятся условная градация пород А.А. Шахназарова по величине
градиентов давления, вызывающих разрушение:
- неустойчивые породы, которые при размокании переходят в состояние
текучести. Такие породы разрушаются без приложения внешней нагрузки до 0,005
(МПа/см2)/см
слабоустойчивые породы, разрушающиеся при градиентах давления от 0,05 до
1,0 (МПа/см2)/см
среднеустойчивые породы, разрушающиеся при градиентах давления от 1,0 до
1,5 (МПа/см2)/см
устойчивые породы, разрушающиеся при градиентах давления свыше 1,5
(МПа/см2)/см.
Газоносные коллекторы Основной газоконденсатной залежи ОНГКМ представлены
карбонатными породами и относятся к устойчивым породам. Однако можно
предположить, что за период эксплуатации происходит частичное разрушение
призабойной зоны. Подтверждение этому - уменьшение глубины забоя скважин.
.6 Начальные термобарические параметры пласта
Начальное давление в залежи на контакте газ - нефть принимают 20,64 МПа.
Средневзвешенное по запасам начальное пластовое давление составляет 20,33 МПа.
Давление в кровле сводовой части основной залежи составляет 19,47 МПа.
На начало разработки - октябрь 1978 г., пластовое давление по зоне УКПГ-
14 принято Рпл = 19,05 МПа.
Для определения пластовой температуры использованы наиболее достоверные
данные по водяным и газовым скважинам.
Принимая температуру на глубине 20 м от поверхности земли 8 °С, и
градиент температуры в терригенной толще таким же, как и в водяной части
продуктивной толщи, имеем: пластовая температура на контакте газ-нефть 32 °С,
пластовая температура в кровле сводовой части основной толщи 25 °С, - градиент
температуры по всему разрезу составляет 1,31 °С на 100 м и в газовой части 1,44
°С на 100 м, средняя температура, взвешенная по залежи 32,2 °С.
На начало разработки - 1978 г., принята пластовая температура по зоне
УКПГ - 14 Тпл=305 К.
1.7 Состав и свойства пластового газа
Оренбургское нефтегазоконденсатное месторождение
относится к уникальным месторождениям не только по запасам газа, но и по
наличию в газе таких дорогих составляющих, как конденсат (76,3 г/м3), гелий
(0,06 % об.), а также азот и сероводород.
Добываемый газ ОНГКМ содержит предельные углеводороды
- метан (СН4), этан (С2Н6), пропан (С3Н8), бутан (С4Н10) и растворенные в этих
углеводородах С5+в - тяжелые углеводороды. Наличие всех этих составляющих и
предопределило строительство Оренбургского газоперерабатывающего завода, на
котором при очистке газа получают серу, азот и другие компоненты, необходимые в
народно-хозяйственных отраслях страны. Позже введен в эксплуатацию и гелиевый
завод.
Газы, добываемые на ОНГКМ, состоят из сухого газа и
жидкого углеводородного конденсата. Характерной особенностью данного
месторождения, являются условия залегания пластового газа с неравномерностью
пространственного распределения углеводородных компонентов. В настоящее время
выявлено отличие объектов по содержанию конденсата:
I объект - 64 г/м3;
II и III
объекты - 72 г/м3.
По свойствам наиболее токсичным компонентом является сероводород (H2S). Содержание его в природном газе 1,52 % об. Это бесцветный
газ с запахом тухлых яиц, при попадании в организм человека действует на
дыхательную и нервную системы, как нервно - паралитический яд. По действию на
газовое оборудование являются высоко коррозирующим веществом. Предельно допустимая
концентрация в рабочей зоне - 10 мг/м3, а в смеси с углеводородами - 3 мг/м3.
Рассматривая исходный состав газа по зонам ОНГКМ
получаем, что наименьшее содержание Н2S - от 1,46 до 1,48 % объёмных отмечается
в западной части месторождения, дренируемой скважинами УКПГ-14 и УКПГ-15.
В зоне дренируемой скважинами УКПГ-14 содержание
следующих компонентов составляет:
- H2S - от 1,46 до 1,68 % об.;
- СО2 - от 0,52 до 0,62 % об.;
N2 - от 5,34 до 5,83 % об.
Начальное содержание высококипящих углеводородов С5Н12+В
в пластовом газе по всем УКПГ, кроме УКПГ-10 принято как одинаковое и равное 76
г/м3.
Давление начала конденсации равно начальному Рпл= 20,6
МПа.
Пластовая температура 31°С.
Температура газа, поступающего на технологические
установки от 0 до 100С.
1.8 Общие сведения о водоносном бассейне, физико - химическая
характеристика пластовых вод
Гидрологические условия района ОНГКМ определяются
особенностями его геологического строения, среди которых важную роль играет
наличие в разрезе мощной толщи соленосных отложений.
Эти соленосные отложения являются региональным
экраном, который делит разрез на два изолированных друг от друга
гидрологических этажа.
Верхний этаж включает подземные воды надсолевых,
преимущественно терригенных отложений. К нижнему гидрологическому этажу
приурочены пластовые воды подсолевых, в основном карбонатных отложений. Нижний
гидрологический этаж представляет собой водонапорный бассейн, контролирующий
основную разрабатываемую залежь.
Мощность водоносного бассейна составляет 500 м. Он простирается
на восток примерно на 140 км до складчатого Урала, где водовмещающие породы
нижней перми и карбона выходят на поверхность.
По фактическим данным на Оренбургском
нефтегазоконденсатном месторождении в настоящее время наблюдаются следующие
схемы обводнения:
по тектоническим нарушениям или зонам повышенной
трещиноватости подошвенная вода поднимается к забоям скважин и обводняет их;
подъем по тем же каналам подошвенной воды и растекание
ее к забоям скважин по простиранию пластов;
обводнение скважин краевыми водами.
На месторождении водонапорный бассейн в
гидрогеологическом отношении изучен до глубины 3470 м. Начальное пластовое
давление на абсолютной отметке ГВК (-1750 м.) до начала разработки
месторождения в среднем составляло 20,6 МПа. Большинство опробованных скважин
характеризуются невысокими дебитами воды от 0,2 до 10 м3/сут. и от 10 до 50
м3/сут, при депрессии до от 10 до 12 МПа. В ряде случаев приток воды не
получен, но на фоне общей невысокой водоносности встречаются более обводненные
зоны от 50 до 141 м3/сут.
По химическому составу и физическим свойствам
пластовые воды надсолевых, солевых и подсолевых отложений резко различаются
между собой.
В верхнем (надсолевом) гидрогеологическом этаже
наблюдается быстрое нарастание минерализации подземных вод с глубиной и
последовательная смена пресных вод солеными и рассолами.
Пресные воды с минерализацией до 2 г/л и преобладанием
в ионном составе гидрокарбонат-иона, кальция и магния развиты в терригенных
породах только до глубины первых десятков метров.
Пластовые воды филиповского горизонта кунгурского
яруса нижней Перми имеют плотность от 1,203 до 1,207 г/см3, минерализацию от
280 до 310 г/л и относятся к хлоркальциевому типу.
Пластовые воды продуктивных отложений среднего и
верхнего карбона, ассельского, сакмарского и артинского ярусов нижней перми,
имеют плотность в стандартных условиях от 1,160 до 1,180 г/см3, в среднем 1,170
г/см3, а в пластовых условиях средняя плотность составляет 1,150 г/см3.
Вязкость воды в пластовых условиях 0,964 мПа∙с, объемный коэффициент
1,06.
Общая минерализация пластовых вод в среднем равна 260
г/л. В ионном составе доминируют хлор и натрий, причем хлора больше, чем
натрия, коэффициент (rNа +
rК): rСl = 0,72 - 0,84. Кальция (в мг-экв/л) в 2 - 4 раза больше, чем магния.
Отношение: r[Сl-(Nа+К)]:rMg=3-5, следовательно, гидрохимический тип вод
хлоркальциевый.
Пластовые воды характеризуются высоким содержанием
сероводорода, от 750 до 2100 мг/л (в среднем 1420 мг/л). Железа в воде немного,
от 0,8 до 4,0 мг/л (в среднем 2 мг/л). Хлорбромное отношение равно от 200 до
400 (в среднем 300).
Количество растворенного в воде газа (газосодержание
пластовой воды) колеблется от 1,5 до 3,8 м3/м3 и в среднем равно 2,6 м3/м3.
Состав водорастворенных газов специфический. Характерным является высокое
содержание кислых газов, сероводорода и двуокиси углерода. Среди углеводородных
газов преобладает метан. Содержание тяжелых углеводородов составляет обычно от
2 до 3 %, азота от 5 до 10%.
По результатам химических анализов, выполненных на
месторождении, определены основные гидрохимические показатели пластовых вод
средне-каменноугольно-артинских отложений. Данные приведены в таблице 1.4.
Таблица 1.4 - Основные гидрохимические показатели
пластовых вод
|
Показатели
|
Среднее значение
|
Пределы значений
|
|
К+
|
1836
|
1406 - 2266
|
|
Nа+
|
71804
|
60535 - 83073
|
|
Са2+
|
12625
|
8559 - 16691
|
|
Мg2+
|
2726
|
1361 - 4091
|
|
Се-
|
143553
|
133453 - 153653
|
|
SО42-
|
866
|
645 - 1087
|
|
НСО3 + СО3
|
300
|
104 - 496
|
|
Общая минерализация
|
232
|
218 - 246
|
|
Плотность
|
1,156
|
1,146 - 1,166
|
.9 Тип залежи, запасы газа и конденсата в зоне УКПГ - 14
Генеральный пересчет запасов газа Оренбургского месторождения произведен
в 1995 году Оренбургским территориальным геологическим управлением и
производственным объединением «Оренбурггазпром».
Утвержденные запасы составили:
сырого газа - 1815 млрд.м3;
сухого газа - 1781 млрд.м3;
конденсата - 137,240 млн. т;
извлекаемого конденсата - 96,736 млн. т;
принятый коэффициент извлечения - 0,71.
Дренируемые запасы по УКПГ и по ОНГКМ в целом на протяжении ряда лет определяются
двумя способами:
как сумма удельных (объёмов) дренируемых запасов скважин;
по зависимости приведенного средневзвешенного пластового давления в зоне
от суммарного накопленного (объёма) отбора.
В первом и во втором случае расчет ведется по последнему прямолинейному
участкам. По проведенным в настоящее время расчетам дренируемые запасы ОНГКМ
оцениваются в интервале от 1471 млрд.м3 до 1595 млрд.м3.
В пределах зоны УКПГ - 14 газонасыщенными являются все отложения
продуктивной толщи ОНГКМ.
УКПГ - 14 введена в эксплуатацию в 1978 г. с действующим фондом - 5
скважин.
На 01.10.2009 года эксплуатационный фонд составил 101 скважины,
действующий - 101 скважины.
По состоянию на 01.01.2009 г. балансовые запасы газа составляли 167,9
млрд.м3., дренируемые запасы составляли 234,4 млрд.м3.
2.
Газогидродинамические исследования газовых и газоконденсатных скважин
2.1 Цели,
задачи и классификация методов газогидродинамических исследований вертикальных
скважин
Источником информации о газоносном пласте и скважинах газовых и
газоконденсатных месторождений являются газогидродинамические методы
исследования (ГДИ) скважин при стационарных и нестационарных режимах
фильтрации.
Газогидродинамическими методами исследования скважин и пластов называются
методы, теоретически основанные на так называемых «обратных» задачах подземной
газогидродинамики. При этом с помощью характеристики выходящего из пласта газа
(давления, расхода, качественного и количественного анализа продукции)
определяются осредненные, по дренажной зоне скважины, параметры пласта:
неоднородность его по мощности и площади;
параметры призабойной зоны скважины, зависящие от условий вскрытия пласта
и ряда факторов при эксплуатации;
максимально возможные дебиты скважин с учетом предохранения призабойной
зоны от разрушения и проникновения в нее конусов и языков нефти.
Задача прогнозирования разработки газового месторождения сводится к
предсказанию характера изменения технологических параметров системы на основе
исходной информации об ее структурных параметрах.
Целью исследований газовых скважин как раз и является определение
исходных параметров разрабатываемой системы.
Задачи и объем ГДИ газовых и газоконденсатных скважин определяются
стадией освоения месторождения и его геолого-промысловой характеристикой.
Частота проведения газогидродинамических исследований при стационарных и
нестационарных режимах фильтрации определяется изменчивостью устанавливаемых
параметров.
Промысловые исследования скважин позволяют определить:
общие размеры газоносных залежей, изменение толщины пласта по площади и
разрезу, наличие экранов и непроницаемых включений, положение газоводяного
контакта (ГВК) и газонефтяного контакта (ГНК) и их изменения в процессе
разработки;
коллекторские и фильтрационные свойства отдельных пропластков: пористость,
проницаемость, гидропроводность, пьезопроводность, газонасыщенность, а также
пластовое, забойное и устьевое давления и температуры, и характер изменения
этих параметров по площади и по разрезу залежи;
физико-химические свойства газа, нефти (при наличии оторочки), конденсата
и воды: вязкость, плотность, коэффициенты сжимаемости, влажность газов,
давление начала конденсации и максимальной конденсации, состав газа, нефти,
конденсата и воды, минерализация воды, наличие корро-зионно-активных
компонентов в составе добываемой продукции, а также характер изменения
перечисленных параметров при различных давлениях и температурах;
термобарические условия эксплуатации в стволе скважины, условия
разрушения, скопления и выноса твердых частиц и скопления и выноса жидкости,
условия гидратообразования;
технологический режим эксплуатации скважин при влиянии различных
факторов: деформации пласта, подошвенной воды, температуры газа и окружающий
ствол среды, неоднородности, многопластовости, типа конструкции и свойств
применяемого оборудования для скважин и наземных коммуникаций и др.
В целом все методы исследований, позволяющие получать информацию о
залежи, можно разделить на:
прямые, изучающие непосредственно образцы пород и содержащиеся в них
флюиды;
косвенные, изучающие физические свойства продуктивных пластов с
использованием связи между параметрами пласта и поддающимися измерению
величинами.
К косвенным исследованиям относятся геофизические и газогидродинамические
методы исследования скважин. Значительную часть информации получают
газогидродинамическими методами исследования газовых и газоконденсатных скважин
при стационарных и нестационарных режимах фильтрации.
Газогидродинамические методы исследования делятся на:
первичные;
текущие;
специальные;
комплексные.
Первичные исследования проводятся на всех разведочных и добывающих
скважинах и позволяют определить: параметры пласта, его продуктивную
характеристику, установить добычные возможности скважины, а также связь между
дебитом, забойным и устьевым давлениями и температурой, режим эксплуатации
скважины, с учетом наличия и выноса жидких и твердых частиц в потоке, начальное
пластовое давление, степень и качество вскрытия пласта и др.
Текущие исследования проводятся на добывающих скважинах в процессе
разработки месторождения, основная цель этих исследований заключается в
получении информации, необходимой для анализа и контроля за разработкой. Такие
исследования проводятся также до, и после проведения в скважинах
интенсификационных или ремонтно-профилактических работ.
Специальные исследования проводятся для определения отдельных параметров,
обусловленных специфическими условиями данного месторождения, к специальным
исследованиям относятся: исследования по контролю за положением ГВК, изучение
степени коррозии скважинного оборудования, определение степени истощения
отдельных пластов в процессе разработки, изучение влияния влаги и разрушения
пласта на производительность скважины и др.
Комплексные исследования включают: газогидродинамические исследования при
стационарных и нестационарных режимах фильтрации, промыслово-геофизичестке
исследования продуктивного разреза, определение продуктивной толщины пласта,
газоконденсатные исследования в промысловых и лабораторных условиях,
исследования образцов керна из различных интервалов, исследования проб газа,
нефти, воды и др.
Такие исследования позволяют:
определить неоднородность продуктивного разреза и использовать эту
информацию при прогнозировании добычи газа, конденсата, нефти, воды;
оценить возможность обводнения скважин и степень истощения всего
эксплуатируемого объекта;
- прогнозировать потери и извлечение конденсата, возможные улучшения и
ухудшения продуктивности скважин, необходимость ингибирования скважин,
необходимость проведения таких мероприятий как перевод на вышележащий горизонт,
перфорация хвостовиков, дополнительная перфорация обсадных колонн, зарезка
горизонтальных боковых стволов, гидроразрывы и др.
Также ГДИ скважин делят на 2 вида, согласно перечислению а) и б)
а) при стационарных режимах фильтрации - базируются на связи между Рз и
дебитом на различных режимах работы и позволяют определить:
) изменение давления, температуры и дебита на различных режимах;
) коэффициенты фильтрационного и гидравлического сопротивления;
) количество жидких и твердых примесей в продукции скважины;
) технологический режим эксплуатации;
) эффективность проведения ремонтно-профилактических работ и др.
б) при нестационарных режимах фильтрации - базируются на процессах
перераспределения давления в пласте и позволяют определить:
) среднюю проницаемость в дренируемой области независимо от степени
несовершенства скважины;
) проницаемость призабойной зоны;
) степень засорения этой зоны в процессе бурения и после проведения
ремонтно-профилактических работ;
) выделить область пласта с ухудшенной проницаемостью, наличие экранов.
В процессе разведки исследуются все без исключения скважины, для
выяснения промышленной газоносности залежи и ввода ее в дальнейшую разработку.
В период опытной эксплуатации исследуются все пробуренные разведочные и
эксплутационные скважины.
В период разработки залежи объем исследований можно сократить путем
подбора необходимого числа разнохарактерных скважин, представляющих все
разнообразие скважин данного месторождения. Геологическая служба месторождения
совместно с проектным институтом определяет объем и частоту исследования
эксплуатационных, наблюдательных и пьезометрических скважин.[2]
2.2 Технологические режимы работы скважин №№ 14003, 285, 386
При проектировании разработки газовых и газоконденсатных месторождений
особое внимание уделяется выбору технологического режима эксплуатации скважин.
Технологический режим работы газовых скважин - это определенные условия
движения газа в призабойной зоне и по стволу скважины, характеризуемые
значениями дебита и забойного давления (или его градиента) и определяемые
некоторыми естественными ограничениями (например, возможность разрушения пород
забоя при высоких депрессиях и др.).
Под технологическим режимом эксплуатации газовых и газоконденсатных
скважин понимается поддержание на забое или устье скважины заданных условий
изменения дебита или (и) давления, осуществляемых в результате их регулирования
и обеспечивающих соблюдение правил охраны недр, окружающей среды и безаварийную
эксплуатацию скважин. Режим эксплуатации считается оптимальным, если его
изменение, т.е. увеличение или уменьшение дебита или депрессии на пласт для
заданных геолого-технических условий пласта и скважины, приводит к
преждевременному нарушению работы одного из звеньев системы пласт - скважин -
наземные промысловые сору-жения. Выбор оптимального технологического режима
эксплуатации может быть осуществлен при наличии теоретически обоснованных и
проверенных на практике методов, учитывающих огромное число факторов, связанных
с геолого-техническими условиями пластов и скважин.
В процессе разработки происходят изменения технологического режима
эксплуатации скважин. Эти изменения могут быть связаны как с самим фактором, по
которому устанавливается технологический режим, так и со стадией разработки и
различными работами в скважине.
Происходящие изменения могут быть учтены и прогнозированы в зависимости
от различных факторов и должны быть включены в проект разработки месторождения.
Приток газа к забою скважины из пласта описывается уравнением
(2.1)
где Рпл и Рз - соответственно пластовое и забойное
давления;
а
и b - коэффициенты фильтрационного
сопротивления;
Q - дебит скважины.
Из этого уравнения видно, что чем больше разность между пластовым и
забойным давлениями, тем больше дебит. Неограниченное увеличение дебита скважин
может привести к осложнениям в процессе эксплуатации.
Ниже проанализированы данные технологического режима работы
газо-конденсатных скважин УКПГ-14 на 4 квартал 2009 года, полученые в ГПУ ООО
”Газпром добыча Оренбург”. Основные параметры существующих технологических
режимов вертикальных скважин, (№№ 14003, 285 и 386) приведены в таблице 2.1.
Среди множества различных факторов, определяющих режим работы скважины в
условиях ОНГКМ определяющими являются те, которые обеспечивают безгидратную
работу скважин, вынос механических примесей и жид-кости с забоя скважин и
борьбу с коррозией оборудования.
Из анализа существующего технологического режима выбранных вертикальных
скважин следует, что скважины работают с высокими дебитами.
Скважина №14003 вскрывает 2-й эксплуатационный объект, имеет открытый
ствол, диаметр эксплуатационной колонны 177,8 мм, диаметр НКТ 100 мм.
Скважины №285 и 386 вскрывают 1 и 2-й эксплуатационные объекты, имеют
открытый ствол, диаметр эксплуатационной колонны 177,8 мм, диаметр НКТ 100 мм.
Воды в продукции не наблюдается, осуществляется подача метанола.
На рисунке 2.1 представлена схема подземного оборудования вертикальной
скважины.
Таблица 2.1 - Технологический режим работы газоконденсатных скважин
14003, 285 и 386 на 4 квартал 2009 года
|
№ скв.
|
Эксплуатационный объект
|
Пробуренный забой
|
Проход по НКТ
|
Интервал вскрытия
|
Вид вскрытия
|
Эксплуатационная колонна
|
НКТ
|
Р стат
|
Р пласт
|
Существующий режим
|
Намеченный режим
|
|
|
|
|
|
|
Диаметр
|
Глубина
|
Диаметр
|
Глубина
|
|
|
Р буф
|
Фактический дебит
|
Р заб
|
Депрессия
|
Давление
|
Намеченный дебит
|
Метанол
|
|
|
|
|
|
|
|
|
|
|
|
|
|
газа
|
конденсата
|
воды
|
|
|
Р буф
|
Р шлейф
|
Р бвн
|
газа
|
конденсата
|
воды
|
м
|
м
|
|
мм
|
м
|
мм
|
м
|
атм
|
атм
|
атм
|
т.м3/с
|
т/с
|
м3/с
|
атм
|
атм
|
атм
|
атм
|
атм
|
т.м3/с
|
т/с
|
м3/с
|
м3/с
|
|
14003
|
2
|
1693
|
1667
|
1606-1670
|
ствол
|
177,8
|
1693
|
100
|
1636
|
59
|
71
|
48
|
380
|
6,09
|
0,0
|
63
|
8,0
|
48
|
45
|
44
|
380
|
7,60
|
0,0
|
0,97
|
|
285
|
1,2
|
1787
|
1722
|
1550-1787
|
ствол
|
177,8
|
1550
|
100
|
1715
|
62
|
72
|
47
|
420
|
6,7
|
0,0
|
66
|
6,0
|
47
|
45
|
44
|
420
|
7,98
|
0,0
|
1,07
|
|
386
|
1,2
|
1760
|
1718
|
1549-1760
|
ствол
|
177,8
|
1549
|
100
|
1711
|
62
|
75
|
49
|
460
|
7,4
|
0,0
|
62
|
13,0
|
48
|
45
|
44
|
520
|
9,88
|
0,0
|
1,32
|
Рисунок 2.1 - Схема подземного оборудования вертикальной скважины
2.3 Результаты газогидродинамических исследований скважин №№
14003,285,386
Скважины №№ 14003, 285, 386 были исследованы на 4-х стационарных режимах
фильтрации. По результатам обработки и интерпретации данных, полученных во
время исследований, которые приведены в таблице 2.2, построены индикаторные
кривые (рисунки 2.2, 2.3, 2.4) и определены коэффициенты фильтрационных
сопротивлений а и b,
по которым в дальнейшем будут рассчитаны основные фильтрационно-емкостные
параметры
Таблица 2.2 - Данные полученные при исследовании скважин на стационарных
режимах
|
№ скважины
|
№ режима
|
Рпл
|
Рз
|
Qi
|
∆P2
|
∆P2/Qi
|
|
|
МПа
|
МПа
|
Тыс.м3/сут
|
МПа2
|
МПа2·сут/тыс.м3
|
|
|
|
|
|
|
|
|
14003
|
1
|
6,963
|
6,804
|
110
|
2,179
|
0,019
|
|
2
|
6,963
|
6,656
|
190
|
4,175
|
0,022
|
|
3
|
6,963
|
6,441
|
285
|
6,997
|
0,025
|
|
4
|
6,963
|
6,178
|
380
|
10,309
|
0,027
|
|
285
|
1
|
7,061
|
6,964
|
105
|
1,364
|
0,013
|
|
2
|
7,061
|
6,834
|
210
|
3,145
|
0,015
|
|
3
|
7,061
|
6,672
|
315
|
5,345
|
0,017
|
|
4
|
7,061
|
6,472
|
420
|
7,963
|
0,019
|
|
386
|
1
|
7,355
|
7,162
|
115
|
2,805
|
0,024
|
|
2
|
7,355
|
6,892
|
230
|
6,594
|
0,029
|
|
3
|
7,355
|
6,537
|
345
|
11,369
|
0,033
|
|
4
|
7,355
|
6,080
|
460
|
17,128
|
0,037
|
По результатам исследований на стационарных режимах фильтрации получены
коэффициенты фильтрационного сопротивлений для скважин № 14003 (ав=0,016821
и bв=0,000027), № 285 (ав=0,010996 и bв=0,000019), № 386 (ав=0,020107 и bв=0,000037).
Рисунок 2.2 - Зависимость ∆Р2 и ∆Р2/Q от Q по
скважине № 14003
Рисунок 2.3 - Зависимость ∆Р2 и ∆Р2/Q от Q по
скважине № 285.
Рисунок 2.4 - Зависимость ∆Р2 и ∆Р2/Q от Q по
скважине № 386
2.4
Коэффициенты фильтрационного сопротивления вертикальных скважин 14003, 285,
386. Их использование для пересчета на аналогичные коэффициенты горизонтальных
скважин
Коэффициенты фильтрационного сопротивления характеризуют физические
свойства газа, фильтрационные свойства пористой среды и геометрические
параметры фильтрации. Значения коэффициентов фильтрационного сопротивления
используются при проектировании и анализе разработки газовых и газоконденсатных
месторождений приближенным методом. Коэффициенты фильтрационного сопротивления
зависят от:
состава и свойств газа, фазовых переходов в процессах испытания и
эксплуатации скважин;
законов фильтрации;
устойчивости, емкостных и фильтрационных свойств пористой среды,
анизотропии пласта;
продолжительности процесса испытания на отдельных режимах;
термобарических параметров пористой среды и газа;
конструкции скважины и степени совершенства вскрытия пласта;
качества вскрытия продуктивного разреза, промывочного раствора и
проведения ремонтно-профилактических работ в скважине;
величины газонасыщенности (газонефтенасыщенности при наличии нефтяной
оторочки) пласта и других факторов и параметров.
Все параметры, входящие в формулы для определения коэффициентов a и b зависят от давления, продолжительности испытания,
насыщенности пористой среды газом и водой, наличия соседних скважин и
расстояния до них, величины депрессии на пласт, условия выпадения, накопления и
выноса конденсата, тепловых свойств пористой среды и т.д.
Без знания величин коэффициентов a и b
невозможен приближенный прогноз дебитов скважин в процессе разработки,
следовательно, и добывные возможности месторождения в целом. Поэтому
определение коэффициентов a
и b является одной из основных задач при
подготовке месторождения к разработке. По результатам исследования скважин
определяются величины коэффициентов a и b,
и при проектировании разработки месторождений они считаются известными.
Естественно, что каждая скважина имеет свой коэффициент фильтрационного
сопротивления. Поэтому при проектировании разработки месторождения определяются
осредненные (арифметическое или по дебитам и, желательно, при одинаковых
депрессиях на пласт по тем скважинам, по которым усредняются эти коэффициенты)
значения коэффициентов a
и b.
Из формулы притока газа к вертикальной скважине следует, что в одном
уравнении имеются два неизвестных коэффициента сопротивлений, а именно a и b.
При известных значениях величин пластового и забойного давлений и дебитов
для определения коэффициентов a
и b необходимо как минимум два уравнения
притока с одинаковыми значениями a и b.Однако, учитывая возможные ошибки
при определении пластовых и забойных давлений и дебитов, приводящие к большим
погрешностям в величинах a
и b, двухрежимный метод не получил
широкого распространения, хотя математически такой метод не требует
дополнительного обоснования.
Широкое применение получил графический метод определения коэффициентов a и b, требующий исследовать скважины на не менее чем пяти
режимах. При этом от двух до трех режимов из них должны проводиться повторно
обратным ходом, то есть с большего дебита на меньший, с целью про-верки данных,
полученных при сравнительно небольших дебитах, когда возможны наличие столба
жидкости на забое. Очень часто на промыслах число режимов, особенно если они
охватывали весь диапазон изменения дебита с минимального до максимального,
приводит к неправильной интерпретации результатов.
Коэффициенты фильтрационного сопротивления, определяются по формулам
(2.2)
Где μ (P,T) - коэффициент вязкости газа, зависящий от давления и
температуры;
z(P,T) - коэффициент сверхсжимаемости газа, зависящий от давления
и температуры;
Pат -
атмосферное давление;
Tпл -
температура пласта;(P) - коэффициент проницаемости пласта;- толщина пласта;ст -
стандартная температура;
Rк и Rc - радиусы контура питания и
скважины;
C1-
коэффициент несовершенства по степени вскрытия пласта;
C2 -
коэффициент несовершенства по характеру вскрытия пласта.
(2.3)
Где ρат - плотность газа при атмосферных условиях;
l -
коэффициент макрошероховатости пласта;
C3 -
коэффициент несовершенства по степени вскрытия пласта при квадратичной
составляющей в формуле 2.1;
C4 - коэффициент
несовершенства по характеру вскрытия пласт при квадратичной составляющей в
формуле 2.1.[3]
Формулы (2.2) и (2.3) характеризуют структуры коэффициентов a и b.
2.4.1
Пересчет коэффициентов фильтрационного сопротивления вертикальных скважин на
горизонтальные скважины
На практике зачастую требуется провести предварительную оценку
целесообразности бурения горизонтальной скважины на месторождении, которое
разрабатывается сеткой вертикальных скважин и, следовательно, информации о
горизонтальной проводимости пласта нет.
В таких случаях допустимо использование метода пересчета коэффициентов
фильтрационного сопротивления вертикальных скважин на горизонтальные скважины,
предложенного профессором З.С. Алиевым в работе.
Неоднородность пласта в вертикальном и горизонтальном направлениях
характеризуется параметром анизотропии, то есть отношением вертикальной
проницаемости к горизонтальной. Параметр анизотропии пласта имеет существенное
значение при прогнозировании технологического режима эксплуатации скважин, вскрывших
пласты с подошвенной водой или нефтяной оторочкой, при оценке возможности
прорыва газа в скважину через перфорированный нефтенасыщенный интервал, при
изучении взаимодействия пропластков многопластовых залежей и др. Неоднородность
пласта по проницаемости в вертикальном и горизонтальном направлениях изучается
в основном экспериментальным путем. В настоящее время в работе предложен метод
определения параметра анизотропии, в частности вертикальной проницаемости
пласта по данным КВД расчетным путем. Оценить величину параметра анизотропии
пласта позволяет кривая восстановления давления (КВД), снятая в скважинах,
вскрывших анизотропный пласт.
В случае если же пласт изотропен, а также уже определены коэффициенты
фильтрационного сопротивления вертикальной скважины aв и bв
необходимость обработки КВД в других координатах не требуется.
Используя результаты исследования вертикальных скважин по известным
коэффициентам фильтрационного сопротивления вертикальной скважины aв и bв можно
определить коэффициенты фильтрационного сопротивления горизонтальной скважины aг и bг
(2.4)
где Rк и Rс - радиусы контура питания и скважины;
C1-
коэффициент несовершенства по степени вскрытия пласта;
a*
- определяется по формуле
(2.5)
где μ - коэффициент вязкости газа;- коэффициент сверхсжимаемости
газа;ат - атмосферное давление;пл - температура пласта;- коэффициент
проницаемости пласта;ст - стандартная температура;
(2.6)
гдеC2 - коэффициент несовершенства по
степени вскрытия пласта;
b*
- определяется по формуле
(2.7)
где ρ - плотность газа;
l - коэффициент макрошероховатости пласта.
По известным коэффициентам фильтрационного сопротивления вертикальной
скважины aв и bв из уравнений
(2.4) и (2.6) определяют параметры a*и b*. Далее используя
значения параметров a*, b*и аналитические структуры коэффициентов
фильтрационного сопротивления aг
и bг. В формуле притока газа к горизонтальной
скважине полностью вскрывшей полосообразный фрагмент залежи определяется
значения aг и bг.
(2.8)
где Рпл и Рз - соответственно пластовое и забойное
давления;

и 
-
коэффициенты фильтрационного сопротивления;
Q - дебит
скважины.
(2.9)
(2.10)
где
L - длина горизонтального участка.
(2.11)
Это
означает, что параметры a*и b*, найдены по результатам исследования
вертикальной скважины могут быть использованы и для горизонтальных скважин.
C учетом формул
(2.9) и (2.10) получим следующую формулу для определения дебита горизонтальной
газовой скважины, полностью вскрывшей изотропный полосообразный пласт
(2.12)
Результаты
расчета aг и bг
для скважин приведены в таблице 2.3.
Таблица 2.3 -
Исходные данные и результаты расчетов производительности горизонтальных скважин
№№ 14003, 285, 386 в случае изотропного пласта, при различных длинах
горизонтального ствола
|
№ скв.
|
Рпл
|
Рз
|
Qг
|
Qв
|
aв
|
bв
|
а*
|
b*
|
aг
|
bг
|
Rк
|
Rс
|
h
|
π
|
h1
|
L
|
|
МПа
|
МПа
|
тыс.м³/сут
|
тыс.м³/сут
|
МПа^2*сут/тыс.м3
|
(МПа сут/тыс.м3)^2
|
|
|
МПа^2*сут/тыс.м3
|
(МПа сут/тыс.м3)^2
|
м
|
м
|
м
|
|
м
|
м
|
|
14003
|
6,9627
|
6,1782
|
393
|
380
|
0,01682
|
0,000027
|
0,2079
|
0,0487
|
0,025860
|
0,00000090
|
500
|
0,076
|
34,6
|
3,14
|
17,2
|
120
|
|
285
|
7,0608
|
6,4724
|
466
|
420
|
0,01100
|
0,000019
|
0,1123
|
0,0232
|
0,016809
|
0,00000060
|
500
|
0,076
|
28,6
|
3,14
|
14,2
|
120
|
|
386
|
7,3550
|
6,0801
|
540
|
460
|
0,02011
|
0,000037
|
0,2750
|
0,0819
|
0,031022
|
0,00000127
|
500
|
0,076
|
38,3
|
3,14
|
19,1
|
120
|
|
№ скв.
|
Рпл
|
Рз
|
Qг
|
Qв
|
aв
|
bв
|
а*
|
b*
|
aг
|
Rк
|
Rс
|
h
|
π
|
h1
|
L
|
|
МПа
|
МПа
|
тыс.м³/сут
|
тыс.м³/сут
|
МПа^2*сут/тыс.м3
|
(МПа сут/тыс.м3)^2
|
|
|
МПа^2*сут/тыс.м3
|
(МПа сут/тыс.м3)^2
|
м
|
м
|
м
|
|
м
|
м
|
|
14003
|
6,9627
|
6,1782
|
492
|
380
|
0,01682
|
0,000027
|
0,2079
|
0,0487
|
0,020688
|
0,00000058
|
500
|
0,076
|
34,6
|
3,14
|
17,2
|
150
|
|
285
|
7,0608
|
6,4724
|
582
|
420
|
0,01100
|
0,000019
|
0,1123
|
0,0232
|
0,013447
|
0,00000038
|
500
|
0,076
|
28,6
|
3,14
|
14,2
|
150
|
|
386
|
7,3550
|
6,0801
|
675
|
460
|
0,02011
|
0,000037
|
0,2750
|
0,0819
|
0,024817
|
0,00000081
|
500
|
0,076
|
38,3
|
3,14
|
19,1
|
150
|
|
№ скв.
|
Рпл
|
Рз
|
Qг
|
Qв
|
aв
|
bв
|
а*
|
b*
|
aг
|
bг
|
Rк
|
Rс
|
h
|
π
|
h1
|
L
|
|
МПа
|
МПа
|
тыс.м³/сут
|
тыс.м³/сут
|
МПа^2*сут/тыс.м3
|
(МПа сут/тыс.м3)^2
|
|
|
МПа^2*сут/тыс.м3
|
(МПа сут/тыс.м3)^2
|
м
|
м
|
м
|
|
м
|
м
|
|
14003
|
6,9627
|
6,1782
|
655
|
380
|
0,01682
|
0,000027
|
0,2079
|
0,0487
|
0,015516
|
0,00000032
|
500
|
0,076
|
34,6
|
3,14
|
17,2
|
200
|
|
285
|
7,0608
|
6,4724
|
777
|
420
|
0,01100
|
0,000019
|
0,1123
|
0,0232
|
0,010085
|
0,00000022
|
500
|
0,076
|
28,6
|
3,14
|
14,2
|
200
|
|
386
|
7,3550
|
6,0801
|
900
|
460
|
0,02011
|
0,000037
|
0,2750
|
0,0819
|
0,018613
|
0,00000046
|
500
|
0,076
|
38,3
|
3,14
|
19,1
|
200
|
Из результатов расчетов видно, что при небольшой длине горизонтального
участка ствола дебита вертикальных и горизонтальных скважин близки с
увеличением Lг от Lг =120 до Lг = 200 происходит существенный рост дебита
скважины.
Если пласт анизотропный, то коэффициенты aг и bг
будут иметь вид
(2.13)
(2.14)
(2.15)
(2.16)
Различие вертикальной и горизонтальной проницаемостей оценивается
параметром анизотропии т. е. отношением вертикальной проницаемости (Kв) к горизонтальной (Kг)
(2.17)
где Kв- вертикальная проницаемость;г - горизонтальная проницаемость.
Используя коэффициенты aг
и bг можно оценить текущую производительность
проектных горизонтальных скважин при различных длинах горизонтального ствола и
значениях анизотропии (таблицы 2.4 - 2.6).
Таблица 2.4 - Зависимость дебита горизонтальной скважины №14003 от длины
и параметра анизотропии
|
коэффициент анизотропии
|
L
|
а*
|
b*
|
aг
|
bг
|
Q
|
|
м
|
|
|
МПа^2*сут/тыс.м3
|
(МПа сут/тыс.м3)^2
|
тыс.м³/сут
|
|
1
|
120
|
0,20786
|
0,04868
|
0,025860
|
0,6·10-6
|
393
|
|
1
|
150
|
0,20786
|
0,04868
|
0,020688
|
0,38·10-6
|
492
|
|
1
|
200
|
0,20786
|
0,04868
|
0,015516
|
0,22·10-6
|
655
|
|
0,5
|
120
|
0,20786
|
0,04868
|
0,050645
|
2,13·10-6
|
201
|
|
0,5
|
150
|
0,20786
|
0,04868
|
0,040516
|
1,36·10-6
|
251
|
|
0,5
|
200
|
0,20786
|
0,04868
|
0,030387
|
0,76·10-6
|
335
|
|
0,3
|
120
|
0,20786
|
0,04868
|
0,083363
|
5,59·10-6
|
122
|
|
0,3
|
150
|
0,20786
|
0,04868
|
0,066690
|
3,58·10-6
|
153
|
|
0,3
|
200
|
0,20786
|
0,04868
|
0,050018
|
2,01·10-6
|
204
|
|
0,1
|
120
|
0,20786
|
0,04868
|
0,241457
|
4,54·10-5
|
42
|
|
0,1
|
150
|
0,20786
|
0,04868
|
0,193165
|
2,91·10-5
|
53
|
|
0,1
|
200
|
0,20786
|
0,04868
|
0,144874
|
1,6·10-5
|
70
|
Таблица 2.5 - Зависимость дебита горизонтальной скважины № 285 от длины и
параметра анизотропии
|
коэффициент анизотропии
|
L
|
а*
|
b*
|
aг
|
bг
|
Q
|
|
м
|
|
|
МПа^2*сут/тыс.м3
|
(МПа сут/тыс.м3)^2
|
тыс.м³/сут
|
|
1
|
120
|
0,11232
|
0,0232
|
0,016809
|
0,6·10-6
|
466
|
|
1
|
150
|
0,11232
|
0,0232
|
0,013447
|
0,38·10-6
|
582
|
|
1
|
200
|
0,11232
|
0,0232
|
0,010085
|
0,22·10-6
|
777
|
|
0,5
|
120
|
0,11232
|
0,0232
|
0,032983
|
2,13·10-6
|
238
|
|
0,5
|
150
|
0,11232
|
0,0232
|
0,026386
|
1,36·10-6
|
297
|
|
0,5
|
200
|
0,11232
|
0,0232
|
0,019790
|
0,76·10-6
|
396
|
|
0,3
|
120
|
0,11232
|
0,0232
|
0,054288
|
5,59·10-6
|
145
|
|
0,3
|
150
|
0,11232
|
0,0232
|
0,043430
|
3,58·10-6
|
181
|
|
0,3
|
200
|
0,11232
|
0,0232
|
0,032573
|
2,01·10-6
|
241
|
|
0,1
|
120
|
0,11232
|
0,0232
|
0,156515
|
4,54·10-5
|
50
|
|
0,1
|
150
|
0,11232
|
0,0232
|
0,125212
|
63
|
|
0,1
|
200
|
0,11232
|
0,0232
|
0,093909
|
1,6·10-5
|
84
|
Таблица 2.6 - Зависимость дебита горизонтальной скважины № 386 от длины и
параметра анизотропии
|
коэффициент анизотропии
|
L
|
а*
|
b*
|
aг
|
bг
|
Q
|
|
м
|
|
|
МПа^2*сут/тыс.м3
|
(МПа сут/тыс.м3)^2
|
тыс.м³/сут
|
|
1
|
120
|
0,275
|
0,0819
|
0,031022
|
1,27·10-6
|
540
|
|
1
|
150
|
0,275
|
0,0819
|
0,024817
|
0,81·10-6
|
675
|
|
1
|
200
|
0,275
|
0,0819
|
0,018613
|
0,46·10-6
|
900
|
|
0,5
|
120
|
0,275
|
0,0819
|
0,060673
|
4,35·10-6
|
277
|
|
0,5
|
150
|
0,275
|
0,0819
|
0,048539
|
2,78·10-6
|
346
|
|
0,5
|
200
|
0,275
|
0,0819
|
0,036404
|
1,56·10-6
|
461
|
|
0,3
|
120
|
0,275
|
0,0819
|
0,099853
|
1,13·10-5
|
168
|
|
0,3
|
150
|
0,275
|
0,0819
|
0,079882
|
0,72·10-5
|
210
|
|
0,3
|
200
|
0,275
|
0,0819
|
0,059912
|
0,41·10-5
|
281
|
|
0,1
|
120
|
0,275
|
0,0819
|
0,28979
|
9,17·10-5
|
58
|
|
0,1
|
150
|
0,275
|
0,0819
|
0,231832
|
5,87·10-5
|
73
|
|
0,1
|
200
|
0,275
|
0,0819
|
0,173874
|
3,30·10-5
|
97
|
Рисунок 2.5 - Зависимость производительности скважины №14003 от длины
горизонтального ствола и значении коэффициента анизотропии
Рисунок 2.6 - Зависимость производительности скважины №285 от длины
горизонтального ствола и значении коэффициента анизотропии
Рисунок 2.7 - Зависимость производительности скважины №386 от длины
горизонтального ствола и значении коэффициента анизотропии
Из приведенных графиков зависимостей следует, что существенное увеличение
дебита происходит при увеличении длины горизонтального ствола и величины
коэффициента анизотропии [4].
3. Методы
определения забойного давления в горизонтальных скважинах различных конструкций
Конструктивные особенности горизонтальных скважин, к которым относятся:
радиус кривизны для перехода ствола от вертикального направления к
горизонтальному, наличие фонтанных труб в горизонтальном участке ствола, а
также профиль вскрытия пласта требуют учета этих особенностей при раз-работке
методов определения забойного давления таких скважин. Наличие жидкой фазы в
продукции скважин из-за их конструктивных особенностей, связанных с профилем
ствола, является существенным фактором, влияющим на точность определения
забойного давления горизонтальных скважин. Из изложенного выше следует, что при
разработке методов для определения забойного давления горизонтальных скважин
необходимо учесть следующие факторы:
радиус кривизны, используемый для перехода ствола от
вертикального направления к горизонтальному
профиль горизонтального участка ствола.
оборудование горизонтального участка, частично или полностью вскрытого
фонтанными трубами
наличие в продукции скважины жидкой фазы.
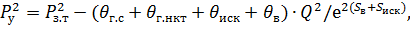
В реальных условиях имеются горизонтальные скважины с большим, средним и
малым радиусом кривизны Rкрi, в частности, условно принято, что Rкр б ≥150 м, Rкр ср =(12-150) м и Rкр м=(4-12) м. Теоретически общий вид
формулы для определения забойного давления горизонтальных скважин с различными
радиусами кривизны должен быть единым. Однако, для практических расчетов
использование общей методики определения забойного давления, разработанной для
любой величины радиуса кривизны при малом радиусе кривизны нецелесообразно, так
как при величине радиуса кривизны 4 м ≤ Rкр м ≤ 12 м потери давления на этом участке составляют
сотые доли атмосфер.
Поэтому по величине радиуса кривизны ствола рекомендуется два метода:
расчет забойного давления горизонтальной скважины с большим и со средним
радиусами кривизны;
расчет забойного давления горизонтальной скважины с малым радиусом
кривизны.
Схемы горизонтальных скважин с различными радиусами кривизны представлены
на рисунке 3.1.[5]
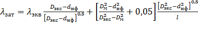
Ниже приведены методы определения забойного давления в горизонтальной
скважине различных конструкций при наличии и отсутствии в ее продукции
жидкости.
Рисунок 3.1. Схемы горизонтальных скважин: а - с большим; б - со средним;
в - с малым радиусом кривизны
3.1
Определение давления у башмака фонтанных труб в горизонтальных скважинах с
большим и со средним радиусами кривизны при отсутствии жидкости в продукции
скважины и фонтанных труб в горизонтальном участке ствола
Определение давления у башмака фонтанных труб горизонтальной скважины с
большим или со средним радиусом кривизны при отсутствии в продукции скважины
жидкой фазы и фонтанных труб в горизонтальном участке ствола должно
определяться по формуле

(3.1)
где безразмерные параметры Sв и Sиск определяются из равенств

(3.2)
ρ - относительная плотность газа;
Нв
- глубина вертикального участка ствола;
Ниск - вертикальная составляющая искривленного участка.
Значения
параметров
и 
определяются
из зависимостей:

, (3.3)

, (3.4)
где Ту - температура газа на устье скважины;
Тк.в. Тк.иск. - температура газа у конечных сечений вертикального и
искривленного участков;
Ркв, Рк.иск, и Ркр - соответственно давление на концах вертикального,
искривленного, критическое давление газа.
Входящие в формулу (3.1) параметры qв, и qиск
определяются по формулам

, (3.5)
где dв, dиск, Dэкс -
внутренние диаметры фонтанных труб и эксплуатационной колонны по которым
движется газ;
λв, λиск, - коэффициенты гидравлического
сопротивления труб.
Значение параметра

, (3.6)
где Lиск - длина участка дуги с радиусом Rиск, равная Lиск = 2p Rискa/360 a - угол образующегося между начальным и конечным сечениями искривленного
участка. При a =900 длина
будет Lиск = 2p Rиск/4
и эта величина больше, чем вертикальная составляющая искривленного участка Ниск
, входящая в формулу (3.2). Расчет забойного давления в горизонтальной скважине
по формулам (3.1) - (3.6) ведется методом последовательных приближений, так как
в реальных условиях значения давлений и температур на конечных сечениях
вертикального и искривленного участков неизвестны. Результаты расчетов давления
у башмака фонтанных труб трех горизонтальных скважин с большим и средним
радиусами кривизны представлены в таблице 3.1.[6]
Таблица 3.1 - Результаты расчетов давления у башмака фонтанных труб
скважин № 14060,15072,15073
|
№ скв.
|
Q
|
Pу
|
Hв
|
Rкр
|
dк
|
dНКТ
|
Pб
|
|
|
|
|
|
|
|
|
|
тыс.м³/сут
|
МПа
|
м
|
м
|
м
|
м
|
МПа
|
|
14060
|
120
|
4,118
|
1000
|
700
|
0,178
|
0,1
|
4,932
|
|
|
|
|
|
|
0,088
|
5,044
|
|
|
|
|
|
|
0,076
|
5,297
|
|
|
|
|
|
|
0,062
|
6,109
|
|
14060
|
120
|
4,118
|
1200
|
500
|
0,178
|
0,1
|
4,925
|
|
|
|
|
|
|
0,088
|
5,030
|
|
|
|
|
|
|
0,076
|
5,297
|
|
|
|
|
|
|
0,062
|
6,039
|
|
14060
|
120
|
4,118
|
1450
|
250
|
0,178
|
0,1
|
4,917
|
|
|
|
|
|
|
0,088
|
5,015
|
|
|
|
|
|
|
0,076
|
5,237
|
|
|
|
|
|
|
0,062
|
5,958
|
|
15072
|
100
|
5,982
|
1000
|
700
|
0,178
|
0,1
|
7,092
|
|
|
|
|
|
|
0,088
|
7,145
|
|
|
|
|
|
|
0,076
|
7,267
|
|
|
|
|
|
|
0,062
|
7,687
|
|
15072
|
100
|
5,982
|
1200
|
500
|
0,178
|
0,1
|
7,089
|
|
|
|
|
|
|
0,088
|
7,138
|
|
|
|
|
|
|
0,076
|
7,254
|
|
|
|
|
|
|
0,062
|
7,649
|
|
15072
|
100
|
5,982
|
1450
|
250
|
0,178
|
0,1
|
7,086
|
|
|
|
|
|
|
0,088
|
7,131
|
|
|
|
|
|
|
0,076
|
7,238
|
|
|
|
|
|
|
0,062
|
7,607
|
|
15073
|
125
|
8,041
|
1000
|
700
|
0,178
|
0,1
|
9,579
|
|
|
|
|
|
|
0,088
|
9,638
|
|
|
|
|
|
|
0,076
|
9,776
|
|
|
|
|
|
|
0,062
|
10,252
|
|
15073
|
125
|
8,041
|
1200
|
500
|
0,178
|
0,1
|
9,599
|
|
|
|
|
|
|
0,088
|
9,653
|
|
|
|
|
|
|
0,076
|
9,782
|
|
|
|
|
|
|
0,062
|
10,224
|
|
15073
|
125
|
8,041
|
1450
|
250
|
0,178
|
0,1
|
9,572
|
|
|
|
|
|
|
0,088
|
9,623
|
|
|
|
|
|
|
0,076
|
9,744
|
|
|
|
|
|
|
0,062
|
10,161
|
3.2
Определение давления у башмака фонтанных труб в горизонтальных скважин с малым
радиусом кривизны при отсутствии жидкости в ее продукции и фонтанных труб в
горизонтальном участке ствола
Как было отмечено выше, в настоящее время горизонтальный участок ствола
может быть пробурен при радиусе кривизны Rиск = (4-12) м. Теоретически для определения забойного
давления у башмака с любым радиусом кривизны следует использовать формулу
(3.1). В частности, формула (3.1) при расчете давления у башмака фонтанных труб
в горизонтальной скважине с малым радиусом кривизны может быть заменена на

, (3.7)
где параметр S¢в определяется из равенства

. (3.8)
Это означает, что при малом радиусе кривизны существует возможность
исключать из расчета слагаемое, связанное с искривленным участком, но при этом
добавлять к глубине вертикального участка ствола Нв радиус кривизны Rиск , т.е. вместо Нв использовать
величину Нв + Rиск , как это сделано в формуле
(3.8). При определении Z¢ср в и Т¢ср в необходимо учесть дополнение к вертикальной глубине Нв следующим образом


(3.9)
С
учетом этих поправок значения параметра q¢в должен быть
определен по формуле

, (3.10)
где
dф - внутренние диаметры фонтанных труб;
lв - коэффициенты
гидравлического сопротивления фонтанных труб; Тср.в. - средняя температура на
вертикальном участке ствола;
Zср.в. - коэффициент
сверхсжимаемости газа при средних по длине вертикального участка давления и
температуры.
Результаты
расчетов давления у башмака фонтанных труб трех горизонтальных скважин с малым
радиусом кривизны представлены в таблице 3.2.
Следует отметить, что значения коэффициента гидравлического сопротивления
труб li , входящие в формулы (3.5) и (3.10)
зависят от диаметра и шероховатости труб, скорости движения потока, режима
течения и др.
Таблица 3.2 - Результаты расчетов давления у башмака фонтанных труб скважин
№14060,15072,15073
|
№ скв.
|
Q
|
Pу
|
Hв
|
Rкр
|
dк
|
dНКТ
|
Pб
|
|
|
|
|
|
|
|
|
|
тыс.м³/сут
|
МПа
|
м
|
м
|
м
|
м
|
МПа
|
|
14060
|
120
|
4,118
|
1700
|
8
|
0,1778
|
0,1
|
4,915
|
|
|
|
|
|
|
0,088
|
5,006
|
|
|
|
|
|
|
0,076
|
5,214
|
|
|
|
|
|
|
0,062
|
5,893
|
|
15072
|
100
|
5,982
|
1700
|
8
|
0,1778
|
0,1
|
7,089
|
|
|
|
|
|
|
0,088
|
7,132
|
|
|
|
|
|
|
0,076
|
7,232
|
|
|
|
|
|
|
0,062
|
7,577
|
|
15073
|
125
|
8,041
|
1700
|
8
|
0,1778
|
9,578
|
|
|
|
|
|
|
0,088
|
9,626
|
|
|
|
|
|
|
0,076
|
9,738
|
|
|
|
|
|
|
0,062
|
10,128
|
3.3
Методика определения давления у башмака фонтанных труб для различных длин и
диаметров на горизонтальном участке
3.3.1 Определение
забойного давления в горизонтальных скважинах с большим и средним радиусами
кривизны при отсутствии в их продукции жидкости и частично оборудованных
фонтанными трубами
В горизонтальных скважинах, частично оборудованных в горизонтальном
участке фонтанными трубами необходимы методы, позволяющие определить забойное
давление у башмака фонтанных труб, у торца ствола и в затрубном пространстве.
Забойное давление у башмака фонтанных труб в горизонтальной скважине (рисунок
3.3) необходимо определить по формуле

, (3.11)

;
;

, (3.12)
где
hфi - отклонение башмака фонтанных труб от горизонтали
вверх или вниз (рисунок 3.3). Если профиль горизонтального участка ствола не
восходящий или не нисходящий, то hфi будет равным hфг = 0, и,
следовательно, параметр Sбфi также будет равен нулю, т.е. Sбфi =
0.
Рисунок 3.2 - Схема горизонтальной скважины, частично оборудованной
фонтанными трубами на горизонтальном участке ствола
Входящие в формулу (3.11) параметры qв, qиск
и qг.бф должны определяться по формулам

, (3.13)

, (3.14)

, (3.15)

, (3.16)
где
dгф - диаметр фонтанных труб в горизонтальном участке
ствола;
Zср гф -
коэффициент сверхсжимаемости газа при средних значениях давления и температуры
в пределах длины фонтанных труб в горизонтальном участке;
Тср.гф
- температура газа в пределах длины фонтанных труб в горизонтальном участке.
Значения
Zср гф и Тср гф определяются по равенствам

,

(3.17)
где Тк иск и Рк иск - температура и давление на конечном сечении
искривленного участка;
Тбф и Рбф - температура и давление у башмака фонтанных труб;
lгф - коэффициент гидравлического сопротивления фонтанных труб в
горизонтальном участке ствола;
Lгф -
длина фонтанных труб в горизонтальном участке [7].
3.3.2
Определение давления в затрубном пространстве горизонтальных скважин с большим
и со средним радиусами кривизны, частично оборудованных фонтанными трубами при
отсутствии жидкости в их продукции
Суммарный дебит горизонтальной скважины, частично оборудованной
фонтанными трубами у башмака, состоит из притока газа в затрубное пространство
и от башмака этих труб до торца к горизонтальной скважине, т.е.

(3.18)
При
этом существенный интерес представляет характер изменения дебита в затрубном
пространстве и от башмака фонтанных труб до торца скважины.
Для
определения давления в затрубном пространстве горизонтального участка ствола
необходимо сначала определить по известным устьевым давлениям и дебитам
забойное давление у башмака фонтанных труб, используя при этом формулы (3.11) -
(3.17). Далее, ориентируясь на результаты расчетов по распределению дебита, как
линейной связи между длиной ствола и дебитом, полученной для принятого
постоянного значения коэффициента продуктивности, разделить суммарный дебит,
использованный при определении забойного давления у башмака фонтанных труб на
две части пропорционально длине горизонтального ствола. С таким предположением,
в зависимости от длины фонтанных труб в горизонтальном участке ствола, был
разделен дебит горизонтальной скважины и использован для определения давления в
затрубном пространстве. Таким образом, при предположении о том, что дебит газа
из затрубного пространства известен, забойное давление в этом пространстве
должно определяться следующим образом. Кольцевое затрубное пространство
заменяется круговым сечением с эквивалентным диаметром Dэкв через
равенство

(3.19)
где Dв.экс, dн.ф - внутренний диаметр эксплуатационной колонны и наружный
диаметр фонтанных труб, а гидравлический диаметр из равенства

(3.20)
Тогда,
вместо d5ф вставим следующую формулу

(3.21)
С
учетом формул (3.19)¸(3.21) давление в затрубном пространстве
горизонтальной скважины должно определяться по формуле

, (3.22)
где Рз бф - давление у башмака фонтанных труб;
qг зат - параметр, определяемый по формуле

, (3.23)
где lзат -
коэффициент гидравлического сопротивления при движении газа по затрубному
пространству;
Lгф -
длина фонтанных труб, т.е. затрубного пространства в горизонтальном участке
ствола;
Тср заб - средняя температура газа на участке с длиной Lгф определяемая по формуле

(3.24)
Zср
заб - коэффициент сверхсжимаемости газа в интервале с длиной Lгф и определяется в зависимости от

, (3.25)
где
Рвход, Твход - давление и температура у входа горизонтального ствола в
продуктивный пласт;
Рзбф,
Тбф - давление и температура у башмака фонтанных труб.
Величина
коэффициента гидравлического сопротивления lзат при движении
газа по затрубному пространству с учетом потерь давления на местные
сопротивления в соединительных узлах фонтанных труб может быть оценена по
формуле

, (3.26)
где
lэкв - коэффициент гидравлического сопротивления труб с
эквивалентным диаметром;
Dэкв; Dэкс,
dнф - соответственно диаметр эксплуатационной колонны и
внешний диаметр фонтанных труб;
Dм - диаметр
соединительных муфт;
l - длина
одной фонтанной трубы.
Значение
lэкв, т.е. коэффициента гидравлического сопротивления
труб с эквивалентным диаметром Dэкв, определяемый по формуле (3.19). Таким образом,
для определения давления в затрубном пространстве горизонтальных скважин с
большим и со средним радиусами кривизны частично оборудованных фонтанными
трубами при отсутствии в их продукции жидкости сначала необходимо вычислить
давление у башмака фонтанных труб, а затем, используя формулы (3.19) ¸ (3.26), давление в затрубном пространстве на любом
сечении длиной Lфi при соответствующих знаках Тср заб, Zср
заб, dнф, Dв обс, Dм и Qзат ф.
3.3.3
Определение забойного давления в горизонтальных скважинах с малым радиусом
кривизны и частично оборудованных фонтанными трубами при отсутствии в их
продукции жидкости
Как было отмечено, при малом радиусе кривизны ствола существует
возможность упростить формулу (3.11), сохраняя при этом высокую точность
определения забойного давления. Такое упрощение возможно путем исключения из
формулы (3.11) слагаемых, связанных с радиусом кривизны, в частности,
параметров Sиск и qиск. Тогда для горизонтальной скважины с малым
радиусом кривизны формула (3.11) примет вид

, (3.27)
где

;
Rиск.м - радиус
кривизны искривленного участка, используемого для перехода ствола от
вертикального направления к горизонтальному с малым радиусом.
Величина
Sбфi связана с профилем горизонтального участка, который
может быть восходящий, горизонтальный и нисходящий и определяется по формуле
(3.12). Если профиль горизонтального участка восходящий, то знак параметра Sбфв
будет отрицательный, а если нисходящий, то положительный. Параметры q¢в и qгф должны быть определены по
формулам

, (3.28)


, (3.29)

, (3.30)
Тсрг - средняя температура газа в пределах горизонтального участка
фонтанных труб и должна определяться по формуле

, (3.31)
где Тк.иск, Тбф - соответственно температура газа у конца
искривленного участка и башмака фонтанных труб;
Lгф -
длина фонтанных труб в горизонтальном участке;
lгф - коэффициент гидравлического сопротивления фонтанных труб в
горизонтальном участке ствола;
Zср.гф - коэффициент сверхсжимаемости газа при условиях Рср.гф и
Тср.гф.[8].
3.4 Методика определения устьевого давления в горизонтальных
скважинах при различных длинах и диаметрах обсадных колонн, фонтанных труб,
дебитах скважины и радиусах кривизны
.4.1 Определение устьевого давления при отсутствии на
горизонтальном участке фонтанных труб и жидкости в продукции
Для расчета устьевого давления в горизонтальных скважинах не
оборудованных фонтанными трубами на горизонтальном участке (рисунок 3.3),
необходимо определить: забойное давление по известным пластовому давлению Рпл.
и депрессии на пласт ∆Р по следующей формуле

(3.32)
Далее по формулам для определения устьевого давления при отсутствии на
горизонтальном участке фонтанных труб и жидкости в добываемом газе

(3.33)
Где

, (3.34)

, (3.35)

, (3.36)

, (3.37)
где

-
относительная плотность газа по воздуху;
Hвер -
глубина вертикального участка;
Ниск - вертикальная составляющая искривленного участка, равная Rиск;.
Lгор -
длина горизонтального участка.
Рисунок 3.3 - Схема горизонтальной скважины, не оборудованной на
горизонтальной участке фонтанными трубами
Тср.вер., Тср.иск., Zср.вер.,
Zср.иск., Рср.вер., Рср.иск..
необходимо определять по следующим формулам

;
; 
(3.38)

;
;

(3.39)
λвер, λиск., λгор. -
коэффициенты гидравлического сопротивления труб.
Как
правило dфт.вер., dфт.иск., dфт.гор.
При отсутствии фонтанных труб на горизонтальном участке λгор ≠ λвер и λгор ≠ λиск.

, (3.40)
где

Результаты
расчетов зависимости устьевого давления от радиуса кривизны и диаметра НКТ, при
отсутствии жидкости в продукции скважины представлены в таблице 3.5 и рисунках
3.4 - 3.6.
Таблица 3.5 - Результаты расчетов зависимости устьевого давления от
радиуса кривизны и диаметра НКТ скважин №№ 14060,15072, 15073
|
14060
|
15072
|
15073
|
|
Pпл
|
6,570
|
Pпл
|
10,0
|
Pпл
|
15,98
|
|
∆Р
|
0,686
|
∆Р
|
2,65
|
∆Р
|
4,7
|
|
Pу
|
Rкр
|
dнкт
|
Pу
|
Rкр
|
dнкт
|
Pу
|
Rкр
|
dнкт
|
|
МПа
|
м
|
мм
|
МПа
|
м
|
мм
|
МПа
|
м
|
мм
|
|
4,186
|
100
|
0,062
|
5,637
|
100
|
0,062
|
8,892
|
100
|
0,062
|
|
4,780
|
|
0,076
|
5,982
|
|
0,076
|
9,215
|
|
0,076
|
|
4,934
|
|
0,088
|
6,076
|
|
0,088
|
9,304
|
|
0,088
|
|
4,076
|
300
|
0,062
|
5,508
|
300
|
0,062
|
8,692
|
300
|
0,062
|
|
4,680
|
|
0,076
|
5,859
|
|
0,076
|
9,020
|
|
0,076
|
|
4,835
|
|
0,088
|
5,954
|
|
0,088
|
9,110
|
|
0,088
|
|
3,966
|
500
|
0,062
|
5,381
|
500
|
0,062
|
8,495
|
500
|
0,062
|
|
4,581
|
|
0,076
|
5,737
|
|
0,076
|
8,828
|
|
0,076
|
|
4,738
|
|
0,088
|
5,833
|
|
0,088
|
8,920
|
|
0,088
|
Рисунок 3.4 - Зависимость устьевого давления от радиуса кривизны скважины
№ 14060
Рисунок 3.5 - Зависимость устьевого давления от радиуса кривизны скважины
№ 15072
Рисунок 3.6 - Зависимость устьевого давления от радиуса кривизны скважины
№ 15073
3.4.2 Определение устьевого давления при наличии на
горизонтальном участке фонтанных труб и отсутствии жидкости в продукции
скважины
При расчёте устьевого давления горизонтальной скважины большую роль
играет её конструкция. В основном это касается глубины спуска НКТ.
Принципиальная схема горизонтальной скважины с частично оборудованным
фонтанными трубами горизонтальным стволом представлена на рисунке 3.7.
Рисунок 3.7 - Схема горизонтальной скважины частично оборудованной
фонтанными трубами на горизонтальном участке
Устьевое давление горизонтальной скважины частично оборудованной
фонтанными трубами на горизонтальном участке определяется по формуле

(3.41)
параметры Sв, Sиск определяются из равенств:

, (3.42)

, (3.43)
ρ̅ - относительная плотность
газа;
Нв - глубина вертикального участка ствола;
Ниск - вертикальная составляющая искривленного участка;
Zср.в,
Тср.в, Zср.иск., Тср.иск. - средневзвешенные
коэффициенты сверхсжимаемости и температуры газа на вертикальном и искривленном
участке. Значения этих параметров определяются из зависимостей


, (3.44)

, (3.45)

(3.46)
где Ту - температура газа на устье скважины;
Тк.в. Тк.иск. - температура газа у конечных сечений вертикального и
искри-вленного участков;
Ркв, Рк иск и Ркр - соответственно давление на концах вертикального,
искривленного участков и критическое давление газа.
Параметры qв, qиск, qг, qг.нкт определяются по формулам

, (3.47)

, (3.48)

, (3.49)

, (3.50)
где dв, dиск, dг.нкт,
Dэкс - внутренние диаметры фонтанных
труб и эксплуата-ционной колонны;
λв, λиск, λг, λг.нкт - коэффициенты гидравлического
сопротивления НКТ и эксплуатационной колонны.
Значение параметра

(3.51)
где
Lиск - длина дуги с радиусом Rиск,
Рассмотрим
случай, когда НКТ спущены до конца искривлённого участка.
Расчёт
устьевого давления для скважины такой конструкции аналогичен приведенному выше.
Исключение составит лишь слагаемое, характеризующее потери давления на
горизонтальном участке.

(3.52)
Параметр
θг рассчитывается по формуле (3.39). Параметры qв, qиск, Sв, Sиск определяются по формулам (3.37), (3.38), (3.33) и
(3.34) соответственно.
Результаты расчета зависимости устьевого давления от длины и диаметра
фонтанных труб, при отсутствии жидкости в продукции скважины представлены в
таблице 3.6 и рисунке 3.8.
Таблица 3.6 - Результаты расчета зависимости устьевого давления от длины
и диаметра фонтанных труб скважины №14060
|
dнкт
|
0,062
|
0,062
|
0,062
|
0,076
|
0,076
|
0,076
|
0,088
|
0,088
|
0,088
|
|
Lнкт
|
100
|
250
|
350
|
100
|
250
|
350
|
100
|
250
|
350
|
|
Pу
|
4,1002
|
4,0200
|
3,9655
|
4,7517
|
4,7288
|
4,7134
|
4,9181
|
4,9080
|
4,9012
|
|
Pз
|
5,884
|
|
Рисунок 3.8 - Зависимость устьевого давления от длины и диаметра
фонтанных труб скважины №14060
.5 Определение устьевого давления при отсутствии фонтанных
труб в горизонтальном участке и наличии жидкости в продукции скважины
Устьевое давление в горизонтальной скважине с большим и со средним
радиусами кривизны при наличии жидкости в ее продукции и отсутствии фонтанных
труб в горизонтальном участке может быть определено по формуле (3.33), но с
учетом наличия жидкости в потоке газа:

, (3.53)

(3.54)
Все
параметры, входящие в формулу (3.54), остаются прежними, с добавлением параметра
r, связанного с истинным газосодержанием
газожидкостного потока. Величина истинного газосодержания j, входящего в структуру формулы параметра r, определяемого из равенства

, (3.55)
где
j - истинное газосодержание потока на произвольном
сечении горизонтального участка ствола длиной Lг практически
всегда неизвестно, так как его величина тесно связана с термобарическими
условиями, т.е. Р и Т, которые являются переменными по длине ствола. Поэтому
для практических расчетов, в частности для определения устьевого давления по
стволу скважины различных конструкций истинное газосодержание потока заменяется
расходным газосодержанием, обозначенным в данном случае через b. Это означает, что

, (3.56)
где
Qж и Qгр - объемные расходы жидкости и газа в рабочих
условиях Р и Т. Объемный расход газа в данном случае имеет размерность
тыс.м3/сут при Рср и Тср в пределах длины горизонтального участка и
определяется по формуле:

(3.57)
Параметры
qв¢, qиск¢ и qг¢ в
формуле (3.62) определяются по равенствам

,

, (3.58)

,
где
lсм.в, lсм.иск и lсм.г -коэффициенты гидравлического сопротивления труб, в зависимости от
диаметра фонтанных труб в вертикальном и искривленном участках и обсадных
колонн на горизонтальном участке, определяемые на горизонтальном участке по
формуле:

(3.59)
Для
вертикального и искривленного участков величины lсм.в и lсм.иск должны быть также определены по формуле (3.38), но при условии,
что Dэкс заменена на dф.в и dф.иск,
т.е. диаметры фонтанных труб на этих участках. Рср.г, Тср.г - средние по длине
горизонтального участка давление и температура. Qсм - объемный
расход газожидкостной смеси, определяемый по формуле

, (3.60)
где
Gг и Gж - массовые расходы газа и жидкости; rсм - плотность смеси. Величины Gг и Gж
определяются равенствами

; 
(3.61)
Используя
формулы (3.34) ¸ (3.40), по исходному
равенству (3.32) можно приближенно вычислить устьевое давление в горизонтальной
скважине с большим и со средним радиусами кривизны при наличии жидкости в
продукции скважин [9].
Результаты расчетов зависимости устьевого давления от радиуса кривизны и
диаметра НКТ, при наличии жидкости в продукции скважин представлены в таблице
3.7.
Таблица 3.7 - Результаты расчетов зависимости устьевого давления от
радиуса кривизны и диаметра НКТ, при наличии жидкости в продукции скважин №№
14060,15072,1573
|
14060
|
15072
|
15073
|
|
без жидкости
|
Pпл
|
6,570
|
без жидкости
|
Pпл
|
10,0
|
без жидкости
|
Pпл
|
15,98
|
|
∆Р
|
0,686
|
|
∆Р
|
2,65
|
|
∆Р
|
4,7
|
|
Pу
|
Pу
|
Rкр
|
dнкт
|
Pу
|
Pу
|
Rкр
|
dнкт
|
Pу
|
Pу
|
Rкр
|
dнкт
|
|
МПа
|
МПа
|
м
|
мм
|
МПа
|
МПа
|
м
|
мм
|
МПа
|
МПа
|
м
|
мм
|
|
4,186
|
4,075
|
100
|
0,062
|
5,637
|
5,411
|
100
|
0,062
|
8,892
|
8,549
|
0,062
|
|
4,780
|
4,610
|
|
0,076
|
5,982
|
5,757
|
|
0,076
|
9,215
|
8,875
|
|
0,076
|
|
4,934
|
4,772
|
|
0,088
|
6,076
|
5,855
|
|
0,088
|
9,304
|
8,966
|
|
0,088
|
|
4,076
|
3,897
|
300
|
0,062
|
5,508
|
5,285
|
300
|
0,062
|
8,692
|
8,353
|
300
|
0,062
|
|
4,680
|
4,511
|
|
0,076
|
5,859
|
5,636
|
|
0,076
|
9,020
|
8,685
|
|
0,076
|
|
4,835
|
4,675
|
|
0,088
|
5,954
|
5,735
|
|
0,088
|
9,110
|
8,777
|
|
0,088
|
|
3,966
|
3,787
|
500
|
0,062
|
5,381
|
5,160
|
500
|
0,062
|
8,495
|
8,161
|
500
|
0,062
|
|
4,581
|
4,413
|
|
0,076
|
5,737
|
5,517
|
|
0,076
|
8,828
|
8,498
|
|
0,076
|
|
4,738
|
4,579
|
|
0,088
|
5,833
|
5,617
|
|
0,088
|
8,920
|
8,591
|
|
0,088
|
.6 Определение устьевого давления при различных дебитах и
длинах горизонтального ствола, отсутствии жидкости в продукции скважины и
фонтанных труб на горизонтальном участке ствола
Устьевое давление горизонтальной скважины не оборудованной фонтанными
трубами на горизонтальном участке определяется по формуле:

, (3.62)
где
Qг - дебит горизонтальной скважины
C учетом формул
(3.42) и (3.43) получим следующую формулу для определения дебита горизонтальной
газовой скважины
(3.63)
(3.64)
где
L - длина горизонтального участка;
(3.65)
Результаты
расчетов устьевого давления при различных дебитах и длинах горизонтального
ствола представлены в таблице 3.8 и рисунках 3.10, 3.11.
Таблица
3.8 - Результаты расчетов устьевого давления при различных дебитах и длинах
горизонтального ствола скважины № 14003
|
Рпл
|
Рз
|
Qг
|
Ру
|
aг
|
bг
|
Rк
|
h
|
L
|
|
МПа
|
МПа
|
тыс.м³/сут
|
тыс.м³/сут
|
МПа^2*сут/тыс.м3
|
(МПа сут/тыс.м3)^2
|
м
|
м
|
м
|
|
20
|
19
|
1436
|
13,535
|
0,0259
|
8,99·10-7
|
500
|
34,6
|
120
|
|
15
|
14
|
1081
|
9,925
|
0,0259
|
8,99·10-7
|
500
|
34,6
|
120
|
|
11
|
10
|
790
|
7,048
|
0,0259
|
8,99·10-7
|
500
|
34,6
|
120
|
|
7
|
6
|
494
|
4,183
|
0,0259
|
8,99·10-7
|
500
|
34,6
|
120
|
|
4
|
3
|
268
|
2,038
|
0,0259
|
8,99·10-7
|
500
|
34,6
|
120
|
|
20
|
19
|
1795
|
12,643
|
0,0207
|
5,75·10-7
|
500
|
34,6
|
150
|
|
15
|
14
|
1351
|
9,234
|
0,0207
|
5,75·10-7
|
500
|
34,6
|
150
|
|
11
|
10
|
988
|
6,527
|
0,0207
|
5,75·10-7
|
500
|
34,6
|
150
|
|
7
|
6
|
618
|
3,838
|
0,0207
|
5,75·10-7
|
500
|
34,6
|
150
|
|
4
|
3
|
335
|
1,828
|
0,0207
|
5,75·10-7
|
500
|
34,6
|
150
|
|
20
|
19
|
2394
|
10,458
|
0,0155
|
3,24·10-7
|
500
|
34,6
|
200
|
|
15
|
14
|
1801
|
7,530
|
0,0155
|
3,24·10-7
|
500
|
34,6
|
200
|
|
11
|
10
|
1317
|
5,227
|
0,0155
|
3,24·10-7
|
500
|
34,6
|
200
|
|
7
|
6
|
824
|
2,959
|
0,0155
|
3,24·10-7
|
500
|
34,6
|
200
|
|
4
|
3
|
447
|
1,257
|
0,0155
|
3,24·10-7
|
500
|
34,6
|
200
|
Рисунок 3.9 - Зависимость устьевого давления от длины горизонтального
ствола скважины № 14003
Рисунок 3.10 - Зависимость дебита от длины горизонтального ствола
скважины № 14003
Из таблицы 3.8 и рисунка 3.9 выбираем оптимальную длину горизонтального
ствола равную 150 м.
Для оценки влияния устьевого давления на конструкцию горизонтальных
скважин следует исходить из реальной пропускной возможности вертикальной части
ствола, обеспечивающей необходимое устьевое давление при дебитах, получаемых из
горизонтальной части ствола.
Если ввод ДКС при освоении месторождения вертикальными скважинами связан
либо с низким начальным пластовым давлением то при использовании горизонтальных
скважин ввод ДКС возможен даже при достаточно высоком пластовом давлении. Из
расчетов видно что при падении пластового давления до 11МПа при длине
горизонтального ствола 150 м необходимо вводить ДКС.
Причиной необходимости ввода ДКС в случае применения горизонтальных скважин
является высокая производительность таких скважин и отсутствие возможности
бурения скважин больших диаметров, позволяющих оборудовать такие скважины
фонтанными трубами больших диаметров и снизить потери давления по стволу
скважины.
Таким образом, применение горизонтальных скважин при освоении газовых
месторождений приводит к закономерному снижению устьевого давления по двум
причинам: из-за большого дебита горизонтальных скважин и из-за потерь давления
в горизонтальной части ствола вследствие ее значительной длины.
Таблицы и графики наглядно показывают существенное приращение дебита при
увеличении длины горизонтального ствола от 120 м до 200м.
Выполнен расчет устьевого давления скважины №14003 при различных дебитах
и длинах горизонтального ствола, из которого выбираем оптимальную длину равную
150 м.
Так же, по трем горизонтальным скважинам выполнили расчет устьевого
давления при различных радиусах кривизны и диаметрах НКТ. Из которого выбираем
радиус кривизны равный 100 м и диаметр НКТ равный 0,088, обеспечивающие
минимальные потери давления по стволу горизонтальной скважины.
Прежде чем дать окончательные рекомендации по выбору длины
горизонтального участка необходимо провести экономический расчет, который
позволит выявить соотношение затрат и доходов при соответствующих изменениях
параметров скважин и оценить экономическую целесообразность выбора того или
иного варианта.
4.
Безопасность и экологичность проекта
4.1 Основные
виды техногенного воздействия при строительстве скважин
Цикл строительства одной скважины обычно включает в себя следующие этапы:
подготовительные работы к строительству;
монтаж сооружений и оборудования;
подготовительные работы к бурению;
бурение и крепление скважины;
испытание продуктивных пластов;
демонтаж сооружений и оборудования;
рекультивация нарушенных земель на территории пункта бурения.
В настоящем разделе приведена оценка техногенного воздействия на
окружающую среду (ОС) с учетом характера работ, выполняемых на каждом из
перечисленных этапов строительства скважины.
4.1.1
Подготовительные работы к строительству
Подготовительные работы к строительству заключаются в подготовке
территории к приему и размещению грузов, монтажу буровой установки,
оборудования, вспомогательных сооружений, инженерных коммуникаций. На
территории бурения проводятся: поверхностная планировка площадки
механизированным способом; обваловка блока ГСМ с перемещением грунта 30 м;
строительство гравийной площадки для размещения спецтехники; гравийная подушка
под блочный фундамент; гравийная площадка под передвижную модульную
сепарационную установку; содержание подъездных путей в зимний период (ширина 6
м, протяженность 4000 м), переброска строймеханизмов на 20 км.
На этом этапе будет выполнен основной объем работ по обустройству дорог и
сооружению насыпных площадок для размещения сооружений. Если подготовительные
работы осуществлять в зимний период, то значительного механического повреждения
растительного покрова и верхнего слоя грунта не будет. Основным видом
воздействия будет загрязнение атмосферного воздуха выхлопными газами
строительной техники и изменение микрорельефа территории.
4.1.2
Монтаж сооружений и оборудования
Этот этап строительства скважины заключается в обустройстве насыпных
оснований под сооружения, фундаментов под оборудование, монтаже буровой
установки, оборудования, вспомогательных сооружений, инженерных коммуникаций,
создании запасов материальных ресурсов. Указанные работы характеризуются
интенсивным использованием техники. Однако механического повреждения грунта не
предполагается, так как производственные площадки на территории к этому времени
будут покрыты гравием, а движение транспорта между ними будет осуществляться по
внутриобъектным дорогам. Следовательно, основными видами воздействия на ОС
будут загрязнение атмосферного воздуха выхлопными газами строительной техники и
изъятие ограниченной площади земель под временное функциональное использование.
На территории в толще насыпного основания с переходом в естественный
минеральный грунт будет сооружен земляной амбар для сбора и хранения бурового
шлама, а также захоронения на этапе демонтажа оборудования твердых
производственных отходов. Извлеченный грунт будет использован для обваловки
амбара.
Таким образом, выполняются следующие работы по охране почв и водных
ресурсов: снятие плодородного слоя почвы на глубину 30 см с перемещением грунта
на 65 м; обваловка площадки со стороны блока ГСМ и емкости под ГСМ котельной с
перемещением грунта на 50 м; гравийная подушка под бетонную площадку под
емкости ГСМ; бетонирование площадки под емкости ГСМ для котельной установки и
склада ГСМ буровой; гидроизоляция амбаров глинистой коркой для исключения
фильтрации жидких отходов.
4.1.3
Подготовительные работы к бурению, бурение и крепление скважины
Подготовительные работы к бурению, бурение и крепление скважины являются
самым продолжительным этапом строительства скважины. Источниками техногенного
воздействия на ОС на этом этапе являются:
передвижные и стационарные двигатели внутреннего сгорания;
парокотельные установки;
горюче-смазочные материалы;
технологическое оборудование;
вещества и материалы, используемые для приготовления и кондиционирования
буровых технологических жидкостей (бурового и тампонажного растворов, буферных
жидкостей);
технологические отходы бурения;
хозяйственно-бытовые отходы;
пластовые флюиды, в том числе углеводородные (в случае
нефтегазоводопроявления).
В процессе подготовительных работ к бурению, бурения и крепления скважины
наиболее существенны химический и физический (тепловой) виды воздействия на ОС.
Этот этап строительства каждой скважины характеризуется интенсивным
водопользованием.
4.1.4
Испытание продуктивных пластов
Испытание продуктивных пластов заключается во вторичном вскрытии
потенциально продуктивных нефтяных пластов и вызове притока пластовых флюидов.
Источники техногенного воздействия на ОС при испытании продуктивных
пластов те же, что и на предыдущем этапе строительства скважины. Дополнительным
источником загрязнения атмосферного воздуха явится установка сжигания нефти и
газа, получаемых в процессе испытании продуктивных пластов.
По завершении испытания продуктивных пластов осуществляется перфорация
крепи скважины и закачка в поглощающий пласт осветленных буровых и сточных вод.
По вопросам закачки в поглощающие пласты необходимы дополнительные исследования
под конкретные горно-геологические условия.
4.1.5
Демонтаж сооружений и оборудования
По завершению испытания пласта и проведению перфорации проводится
демонтаж буровой установки и всей инфраструктуры буровой площадки (сооружения,
оборудование, фундаменты, инженерные коммуникации). Основными источниками
техногенного воздействия на ОС на этом этапе являются используемая техника
(загрязнение атмосферного воздуха выхлопными газами) и демонтируемое
технологическое оборудование (возможны проливы технологических жидкостей, горюче-смазочных
материалов). В процессе демонтажа образуются твердые отходы производства и
металлолом.
Перечень вредных веществ, выбрасываемых в атмосферу на разных этапах
строительства скважин представлен в таблице 4.1.
Типичные источники выделения загрязняющих веществ и пути их
распространения в атмосфере, гидросфере и литосфере при строительстве скважин и
подземных емкостей представлены на рисунке 4.1.
Таблица 4.1 - Перечень вредных веществ, выбрасываемых в атмосферу на
разных этапах строительства скважин
|
Наименование этапов работ
|
Источники выделения вредных
веществ в атмосферу
|
Перечень вредных веществ,
выбрасываемых в атмосферу
|
Примечания
|
|
Iэтап. Строительно-монтажные работы (Планировка и
обустройство площадки под буровую, установка вышки и оборудования,
продуктопроводов и т.д.)
|
Транспорт, спецтехника,
дизель-электростанция, материалы (цемент и пр.), емкости хранения ГСМ,
сварочные работы
|
Оксид углерода, оксиды
азота, углеводороды (дизельное топливо), сажа (в пересчете на углерод),
диоксид серы, глинопорошок, цемент, КМЦ, недифференцированный остаток, окись
марганца, окись хрома, фториды бензапирен, фтористый водород
|
|
|
II этап. Бурение, крепление
|
Дизельная электростанция,
ДВС, транспорт (ДВС), емкости ГСМ, емкости мазута, котельная (котлы),
материалы, циркуляционная система, шламовый амбар
|
Оксид углерода, оксиды
азота, углеводороды, сажа, (в пересчете на углерод), диоксид серы,
глинопорошок, цемент, барит, КМЦ, бензапирен, сероводород, сажа (в пересчете
на C2O5)
|
При использовании бурового
оборудования с электроприводом перечень выбрасываемых в атмосферу веществ
значительно уменьшится
|
|
III этап. Испытание
скважины (сжигание газа на факеле)
|
Сепаратор (факел),
дизельная электростанция, котельная (котлы), емкости ГСМ, склад материалов и
реагентов, транспорт
|
Оксид углерода, оксиды
азота, углеводороды (метан), сажа, бензапирен, диоксид серы, углеводороды (в
пересчете на углерод)
|
|
|
IV этап. Демонтаж
установки, консервация и ликвидация скважины
|
Транспорт, дизельная
электростанция, газорезательный аппарат, емкости хранения ГСМ, котельная,
циркуляционная система, шламовый амбар, превенторный амбар и т.д.
|
Оксид углерода, оксиды
азота, углеводороды (метан), углеводороды (дизельное топливо и бензин), сажа
(в пересчете на углерод[4]), бензапирен, диоксид серы, сероводород, цемент,
пыль (барит)
|
Выделение сероводорода
возможно при консервации и ликвидации скважин в период строительства
|
4.1.6
Рекультивация нарушенных земель
Обычно проектом на бурение предусмотрено проведение технического и
биологического этапов рекультивации.
На этапе технической рекультивации проводится: разбивка бетонных
площадок; засыпка больших углублений, амбаров, разравнивание обваловок и т.д. с
перемещением грунта на 100 м; вывоз металлолома на базу; нанесение
потенциально-плодородного слоя почвы с перемещением грунта на 100 м; нанесение
плодородного слоя почвы с перемещением грунта на 65 м; планировка площадки
механизированная с целью выравнивания и уплотнения нанесенного грунта.
Рисунок
4.1 - Типичные источники выделения загрязняющих веществ и пути их
распространения в атмосфере, гидросфере и литосфере при строительстве скважин и
подземных емкостей
Биологический
этап рекультивации, заключается в восстановлении растительного покрова на
территории буровой площадки и проводится в летний период года.
4.2
Предпосылки возникновения возможных нештатных ситуаций на буровой установке
В настоящее время накоплено достаточно нормативной и методической
документации по предотвращению нештатных ситуаций на буровой установке. Соблюдение
основных регламентирующих нормативных документов позволяет проводить работы по
строительству горизонтальных скважин с достаточной степенью безопасности.
Приведем основные положения безопасного ведения работ на буровой
площадке, которые позволяют избежать нештатных ситуаций.
Месторождения углеводородного сырья поликомпонентного состава, в том
числе сероводородсодержащего, располагающиеся на территориях с высокими
степенями риска реализации природно-техногенной опасности выхода флюидов на
земную поверхность по причине активного флюидодинамического вертикального
массопереноса, присутствия в разрезе нескольких напорных флюидонасыщенных
горизонтов с различным агрегатным и химическим составом, высокой аномальности
разнонаправленных градиентов давлений по вскрываемой толще пород, в целях
охраны окружающей среды, сохранения здоровья рабочего персонала и населения
должны разрабатываться в сопровождении системы эколого-геодинамического
мониторинга, а проекты строительства каждой новой скважины должны включать
сведения о напряженно-деформированном состоянии массива горных пород,
активности современных тектонических движений и степени развитости техногенеза
недр и территории.
При прогнозируемой вероятности рапопроявления из гидрохимической толщи (с
аномально высоким пластовым давлением (АВПД)) рекомендуется предусмотреть
расчетную равновесную разгрузку флюида, что позволяет предотвратить ухудшение
свойств бурового раствора из-за введения избытка утяжелителя; минимизировать
загрязнение экосистемы недр при разбуривании нижележащих горизонтов, не имеющих
АВПД; улучшить качество вытеснения технической суспензии тампонажным раствором
при последующем цементировании.
Для снижения развития вторичных геохимических и деформационных процессов,
следствием которых могут стать нарушения в крепи скважин, процессы бурения
должны вестись строго равновесно, без проявления флюидов или поглощения
технологических (буровых, тампонажных и др.) суспензий, что достигается путем
системного подбора компонентов, реализации оптимальных реологических программ,
дифференцированного учета литогенетических преобразований глинистых пород и
неоднородности хемогенных толщ.
С целью снижения вероятности возникновения межколонных давлений из-за
термобарического и газогидрохимического воздействия флюидов на тампонажный
камень его формирование должно происходить при минимальном объемном захвате
газожидкостных флюидов; минимизированном содержании реагентов, подверженных
термодеструкции с выделением вторичных компонентов в поровое пространство
изоляционного комплекса крепи и сопредельные породы.
При образовании флюидопроводящих зазоров на контакте «цементный камень -
горная порода» вследствие объемных преобразований не полностью вытесненного
бурового раствора или снижения гидростатического давления после схватывания
тампонажного раствора, деформаций горных пород по техническим и геодинамическим
причинам необходимо установить природу источника притока, его
емкостно-энергетический потенциал и провести восстановительные работы в крепи
скважины до ее передачи в эксплуатационный фонд.
При источнике притока с невысоким емкостно-энергетическим потенциалом и
низким дебитом, а также появлении газообразного флюида рекомендуется
осуществить устьевую закачку через отводы межколонного пространства стабильных
подвижных реологических смесей (щелочных кремнезолей), предотвращающих выходы
сероводорода и кольматирующих тонкопористое пространство флюидопроводящей
системы.
В случае невозможности продолжения бурения по геологическим, техническим
(аварийные ситуации) или иным причинам ликвидация скважин осуществляется по
дополнительным планам, утвержденным головной организацией и согласованным с
аварийно-спасательной службой и Госгортехнадзором.
При ликвидации скважин необходимость и глубина установки цементных мостов
определяется из расчета перекрытия нефтегазонасыщенных пластов, зон
водонапорных комплексов или зон, содержащих токсичные компоненты.
Высота цементного моста для ликвидируемых скважин, законченных или
прекращенных строительством и вскрывших высоконапорные газонефтеводоносные или
содержащие более 6% сероводорода горизонты, должна быть выше кровли верхнего
горизонта на 100 метров.
При ликвидации скважин, обсаженных эксплуатационной колонной,
продуктивный пласт перекрывается цементным мостом по всей мощности плюс 100
метров выше «кровли» пласта.
В случае, когда по техническим причинам вскрытые горизонты изолировать
друг от друга не представляется возможным, цементный мост устанавливается на
максимально достижимой глубине, последовательно изолируя все вышележащие
проницаемые пласты, не перекрытые обсадной колонной.
Цементный мост при изоляции зоны нарушения колонны (смятия, потертости,
обрыва и т.д.) должен располагаться на 100 метров выше и на 50 метров ниже
места нарушения.
Цемент для установки цементных мостов и ведения ремонтно-изоляционных
работ, должен соответствовать геолого-техническим условиям и обладать
коррозионной устойчивостью к агрессивным средам. Жидкость, которой выполняется
ствол скважины, должна быть обработана ингибитором коррозии и нейтрализатором
сероводорода.
После проведения изоляционно-ликвидационных работ через месяц, через 6
месяцев и далее с периодичностью не реже одного раза в год осуществляется
проверка состояния устья скважины, фиксируется отсутствие давления в затрубном
и межколонном пространстве, осуществляется последующий контроль воздуха вокруг
устья скважины и в близлежащих низинах на содержание сероводорода и других
агрессивных газов, токсичных компонентов.
В случае обнаружения выходов нефти, газа и/или пластовых вод в районе
устья ликвидированной скважины, а также загрязнения пресных вод или наличия в
них нефти и газа применяются срочные меры по выявлению источника и его
ликвидации по дополнительному плану.
Над интервалом перфорации устанавливается отсекающий мост высотой не
менее 100 метров, выполненный из сероводородостойкого безусадочного цемента,
либо съемное неразбуриваемое пакерующее устройство в сероводородостойком
исполнении, согласованное с местными органами Госгортехнадзора.
Ликвидация скважин с межколонными давлениями осуществляется по индивидуальным
планам, согласованным с местными органами Госгортехнадзора и предваряется
следующими операциями.
Исследуется состояние крепи скважины с определением класса опасности
(технологической и экологической).
Разгружаются межколонные давления и источники (генераторы) притока.
Проводятся изоляционные и ремонтные работы по восстановлению
герметичности крепи.
4.3
Обоснование преимущества строительства горизонтальных скважин
Экологическое обоснование преимущества строительства горизонтальных
скважин.
Горизонтальная скважина - это такая скважина, которая имеет достаточно
протяженную фильтровую зону, соизмеримую по длине с вертикальной частью ствола,
пробуренную преимущественно вдоль напластования между кровлей и подошвой
нефтяной или газовой залежи в определенном азимутальном направлении. Основное
преимущество горизонтальных скважин по сравнению с вертикальными состоит в
увеличении дебита от 2 до 10 раз за счет расширения области дренирования и
увеличения фильтрационной поверхности.
Основываясь на статистической отчетности по фактическим режимам работы
скважин Оренбургского НГКМ, можно сделать вывод о том, что пробуренные в
настоящее время горизонтальные скважины по добычным характеристикам в среднем в
2 раза предпочтительнее нежели вертикальные.
Экологические преимущества строительства горизонтальных скважин
обусловлены снижением техногенного воздействия на окружающую среду, сокращением
убытков и ущерба окружающей природной среде.
При строительстве одной горизонтальной (условно-горизонтальной) скважины
взамен двух вертикальных сокращаются:
площади изымаемых земель;
объемы образования отходов производства и потребления;
выбросы вредных веществ в атмосферный воздух.
4.3.1
Характеристика буровой установки как источника техногенного воздействия на
окружающую природную среду
Строительство скважин оказывает техногенное воздействие на окружающую
природную среду, начиная от поверхности земли до самых глубоких недр.
Поверхностное воздействие на окружающую среду при строительстве скважин
связано с изъятием и нарушением земель, образованием и размещением отходов
производства и потребления, а также выбросами загрязняющих веществ в
атмосферный воздух.
Выделяются следующие основные этапы строительства скважин:
строительно-монтажные работы;
непосредственно бурение скважин;
вызов притока газа и исследование скважины на продуктивность, при
которых, превалируют те или иные виды поверхностного воздействия на природную
среду.
При строительно-монтажных работах происходит нарушение земель. В этой
связи, основным мероприятием по снижению техногенного воздействия на почвы
является сокращение площадей изымаемых земель, за счет рационального
(компактного) размещения оборудования буровой установки.
На этапе бурения скважин основное техногенное воздействие на окружающую
среду оказывают буровые шламы, промывочные жидкости, буровые сточные воды,
горюче-смазочные материалы и химические реагенты.
В целях снижения техногенного воздействия на окружающую среду на этом
этапе строительства скважин выполняются мероприятия, исключающие растекание промывочных
жидкостей и буровых растворов по территории буровой и их проникновение в
верхние водоносные горизонты.
В этот период, основным источником выбросов загрязняющих веществ является
факельная установка и дизельная электростанция. В атмосферный воздух поступают
загрязняющие вещества: оксиды азота, диоксид серы, оксид углерода, сероводород,
углеводороды, меркаптаны, сажа.
Для строительства одной скважины (как вертикальной, так и
условно-горизонтальной) отводится 3,5 га земель во временное пользование сроком
на 2 года. По истечению срока пользования, земли должны быть восстановлены до
первоначального состояния и переданы землепользователю для дальнейшего
использования по назначению.
С целью снижения негативного воздействия на почвы, после окончания
строительства скважины на землях, отведенных во временное пользование,
проводятся техническая и биологическая рекультивации.
Техническая рекультивация включает в себя:
- очистку территории от мусора, бетона,
загрязненного грунта;
- выравнивание рытвин и ям;
- нанесение и разравнивание
плодородного слоя;
- уплотнение плодородного слоя;
- весеннюю вспашку и боронование полосы
строительства.
Работы по технической рекультивации должны быть закончены в течение года
после окончания буровых работ и демонтажа оборудования.
Биологическая рекультивация земель проводится с целью полного
восстановления плодородия земель для дальнейшего их использования по
назначению. Для этого, проводят обработку нанесенного слоя почвы:
вносят минеральные удобрения для улучшения пищевого режима почв
(суперфосфат, комплексные удобрения, калий сернокислый);
вносят органические удобрения для увеличения содержания органического
вещества и повышения микробиологической активности почв;
сеют травы (в кормовых севооборотах) однолетние, многолетние, злаковые и
бобовые культуры для восстановления или формирования корнеобитаемого слоя и его
обогащения органическими веществами.
проводят глубокое рыхление, закрытие влаги, культивацию посевов.
В процессе строительства скважин образуются отходы производства и
потребления в объемах, представленных в таблице 4.2.
Таблица 4.2 - Объемы образования отходов производства и потребления при
строительстве скважин на ОНГКМ
|
Класс опасности отходов
|
Объемы образования отходов,
тон
|
|
Вертикальная скважина
|
Условно-горизонтальная
скважина (отклонение 500 м.)
|
|
I
|
0,002
|
0,002
|
|
II
|
-
|
-
|
|
III
|
0,5
|
0,51
|
|
IV
|
122,5
|
135,2
|
|
V
|
7,1
|
7,15
|
Как видно из таблицы 4.2, основную массу отходов (до 94,5%) составляют
отходы четвертого класса опасности, представляющие собой буровые шламы и
отработанные буровые растворы. Причем, при строительстве условно-горизонтальных
скважин, со смещением забоя по горизонтали на 500 м, объемы образования буровых
шламов и отработанных буровых растворов на 7 % превышает объемы образования
отходов при строительстве вертикальных скважин. Это связано с дополнительными
буровыми работами по вскрытию продуктивного пласта горизонтальным стволом
скважины.
В целях снижения техногенного воздействия на окружающую среду отходы
производства и потребления, образующиеся в процессе строительства скважин,
размещаются на специализированных площадках захоронения.
Выбросы вредных веществ, при строительстве скважин, носят кратковременный
характер и зависят от продолжительности строительства, которое определяется
проектами на бурение скважин.
В период строительно-монтажных работ и бурения скважин источниками
выбросов загрязняющих веществ являются: автотранспорт, дизельная
электростанция, дымовая труба котельной установки, выхлопные трубы дизельных
агрегатов (при использовании станков с дизельным приводом), дыхательные клапаны
емкостей ГСМ, вентиляционная система помещения насосной и узел приготовления
бурового раствора.
На этом этапе строительства скважин, для уменьшения выбросов загрязняющих
веществ в атмосферу, бурение скважин рекомендуется осуществлять преимущественно
буровыми станками с электроприводом.
На заключительном этапе строительства скважины проводятся освоение и
исследование скважины на продуктивность. Освоение и исследование скважин после
бурения проводится на трех режимах. Продолжительность исследований не зависит
от типа скважин и составляет - 72 часа.
Этот период сопровождается кратковременным, но довольно мощным выбросом
вредных веществ в атмосферу от всех типов исследуемых скважин. Источником
выбросов загрязняющих веществ является факельная установка, от которой в
атмосферный воздух поступают загрязняющие вещества: оксиды азота, диоксид серы,
оксид углерода, сероводород, углеводороды, меркаптаны, сажа.
Наиболее эффективным мероприятием по снижению техногенного воздействия на
данном этапе строительства скважины является внедрение новой технологии
освоения скважин с применением передвижных сепарационных установок, например,
«Гео-Тест».
Выбросы загрязняющих веществ в атмосферу при строительстве новых скважин,
приведены в таблице 4.3.
Таблица 4.3- Объемы выбросов загрязняющих веществ в атмосферу при
строительстве скважин
|
Наименование загрязняющих
веществ
|
Выбросы загрязняющих
веществ от одной скважины, тонн/год
|
|
вертикальной
|
условно-горизонтальной
|
|
Окислы азота
|
2,16
|
2,92
|
|
Диоксид серы
|
12,67
|
17,11
|
|
Сероводород
|
0,007
|
0,009
|
|
Оксид углерода
|
4,37
|
5,91
|
|
Углеводороды
|
0,20
|
0,27
|
|
Сажа
|
0,25
|
0,34
|
|
Бензапирен
|
0,000005
|
0,0000055
|
|
Зола мазутная
|
0,041
|
0,045
|
|
Взвешенные вещества
|
0,055
|
0,06
|
|
Керосин
|
0,36
|
0,39
|
|
Всего:
|
20,12
|
27,05
|
4.4 Расчет
предотвращенного экологического ущерба при строительстве горизонтальных скважин
Расчет предотвращенного экологического ущерба при строительстве
горизонтальных скважин выполнен в соответствии с действующей методикой [10]
4.4.1
Предотвращенные убытки от изъятия земель во временное пользование
Расчет убытков за изъятие земель во временное пользование определяется по
соответствующим методикам и нормативам
(4.1)
где
- потери
сельскохозяйственного производства, вызванные изъятием земель, выражаются в
безвозвратной потере площадей используемых сельскохозяйственных угодий и
возмещаются в целях сохранения уровня сельскохозяйственного производства путем
восстановления площадей сельскохозяйственных угодий и их качества. Потери
возмещаются в размере стоимости освоения равновеликой изъятию площади
сельскохозяйственных угодий;
Уд
-потери сельскохозяйственного производства от деградации земель;
S = 3,5га -
площадь земель, изъятых во временное пользование;
Кз
= 1,7 - коэффициент значимости почв и земель Оренбургской области.
Уув
- упущенная выгода исчисляется умножением величины недополученного ежегодного
дохода на коэффициент, соответствующий периоду восстановления нарушенного
производства, по ценам, действующим на момент изъятия земель.
По
данным Министерства сельского хозяйства Оренбургской области за 2008 год
величина недополученного ежегодного дохода землепользователей составляет:
- Уд = 26 000 руб./га;
- Уув = 9100 руб./га.
Общая сумма предотвращенных убытков за изъятие земель во временное
пользование для строительства одной вертикальной либо условно-горизонтальной
скважины, в пересчете на 1 год, составит
4.5
Предотвращенный ущерб окружающей природной среде в результате размещения
отходов на специализированной площадке захоронения
Предотвращенный ущерб окружающей природной среде в результате размещения
отходов на специализированной площадке захоронения, определяется в соответствии
с «Методикой определения предотвращенного экологического ущерба», утвержденной
Председателем Государственного комитета Российской Федерации по охране
окружающей среды В.И. Даниловым-Данильяном 30 ноября 1999 г.
Оценка величины ущерба окружающей природной среде в результате размещения
отходов
-го класса опасности определяется по
формуле
(4.2)
где
- ущерб в
результате размещения 1 тонны отходов i-го класса опасности;

= 162,4
руб./тонну - показатель удельного ущерба окружающей среде для Оренбургской
области;

- объем
образующихся отходов i-го класса опасности;

- коэффициент,
учитывающий класс опасности i-го вида отходов.
Расчет
ущерба окружающей природной среде в результате размещения отходов, образующихся
при строительстве скважин, представлен в таблице 4.5.
Таблица
4.5 - Расчет предотвращенного ущерба окружающей природной среде в результате
недопущения к размещению отходов на специализированной площадке захоронения
|
Класс опасности отходов
|
руб./ тонну
|
|
 -
предотвращенный объем образования отходов, тоннПредотвращенный ущерб
окружающей среде, руб.
|
|
|
I
|
162,4
|
7
|
0,002
|
2,27
|
|
III
|
162,4
|
2
|
0,49
|
159,15
|
|
IV
|
162,4
|
1
|
109,8
|
17831,52
|
|
V
|
162,4
|
0,2
|
7,05
|
228,98
|
|
ВСЕГО:
|
18221,93
|
4.6
Предотвращенный ущерб окружающей природной среде в результате загрязнения
атмосферного воздуха стационарными и передвижными источниками выбросов
Размер ущерба от негативного воздействия на атмосферный воздух выбросов
вредных веществ определяется в соответствии с «Методикой определения
предотвращенного экологического ущерба», утвержденной Председателем
Государственного комитета Российской Федерации по охране окружающей среды В.И.
Даниловым-Данильяном 30 ноября 1999 г.
(4.3)
где
-ущерб от
негативного воздействия на атмосферный воздух выбросов вредных веществ,
руб./год;

= 67,4 -
показатель удельного ущерба атмосферному воздуху, наносимого выбросами
загрязняющих веществ для Оренбургской области, руб./усл.тонн;

-
приведенная масса выбросов загрязняющих веществ в атмосферный воздух,
усл.тонн/год

(4.4)
где
- фактическая масса i-го загрязняющего вещества,
тонн/год;
-
коэффициент относительной эколого-экономической опасности i-го загрязняющего
вещества;
= 2 -
коэффициент экологической ситуации и экологической значимости состояния
атмосферного воздуха для Оренбургской области.
Расчет
предотвращенного ущерба от негативного воздействия на атмосферный воздух при
строительстве скважин на Оренбургском НГКМ приведены в таблице 4.6.
Предотвращенный
экологический ущерб от загрязнения окружающей природной среды представляет
собой оценку в денежной форме отрицательных последствий, которые удалось
избежать и определяется как доля ущерба, предотвращенного в результате строительства
одной горизонтальной (условно-горизонтальной) взамен двух вертикальных скважин.
Приведенный
расчет показывает, что строительство условно - горизонтальных скважин, кроме
технологических преимуществ значительно снижает техногенное воздействие на окружающую
природную среду.
Таблица
4.6 - Расчет предотвращенного ущерба от негативного воздействия на атмосферный
воздух при строительстве скважин на Оренбургском НГКМ
|
Наименование загрязняющих
веществ
|
    
|
|
|
|
|
|
|
Окислы азота
|
1,40
|
16,50
|
23,10
|
67,40
|
2,00
|
3 113,88
|
|
Диоксид серы
|
8,23
|
20,00
|
164,60
|
67,40
|
2,00
|
22 188,08
|
|
Сероводород
|
0,01
|
110,00
|
0,55
|
67,40
|
2,00
|
74,14
|
|
Оксид углерода
|
2,83
|
0,40
|
1,13
|
67,40
|
2,00
|
152,59
|
|
Углеводороды
|
0,13
|
0,70
|
0,09
|
67,40
|
2,00
|
12,27
|
|
Сажа
|
0,16
|
33,50
|
5,36
|
67,40
|
2,00
|
722,53
|
|
Бензапирен
|
0,00
|
12 500,00
|
0,06
|
67,40
|
2,00
|
7,58
|
|
Зола мазутная
|
0,04
|
10,00
|
0,37
|
67,40
|
2,00
|
49,88
|
|
Взвешенные вещества
|
0,05
|
1,20
|
0,06
|
67,40
|
2,00
|
8,09
|
|
Керосин
|
0,33
|
1,20
|
0,40
|
67,40
|
2,00
|
53,38
|
|
ВсегоУусл.гор
|
|
|
195,72
|
|
|
26 382,42
|
В соответствии с выполненными расчётами, предотвращенный экологический
ущерб при строительстве одной горизонтальной скважины, взамен двух
вертикальных, составит:

26 382,42
= 208 404,35 руб./год.
5.
Оценка эффективности бурения горизонтальных скважин
5.1
Оценка экономической эффективности мероприятий
Оценка
эффективности представляет собой отношение затрат и результатов реализации
мероприятий, проектов.
Основными
критериями оценки эффективности мероприятий, проектов являются:
чистый
доход (ЧД);
индекс
доходности (ИД);
срок
окупаемости (СО).
Чистый
доход, чистый денежный поток - это накопленный поток денежных средств за
расчетный период. Если принять, что притоки - достигнутые результаты реализации
проекта, а оттоки - затраты, то разность этих величин будет составлять
экономический эффект или чистый доход, который характеризует превышение суммарных
денежных поступлений над суммарными затратами для данного проекта, таким
образом чистый денежный поток характеризует финансовый итог
производственно-хозяйственной деятельности в периоде и вычисляется как разница
между суммами притоков и оттоков средств.
Индекс
доходности характеризует относительную "отдачу проекта" на вложенные
в него средства. Индекс доходности представляет собой отношение суммы
приведенных эффектов к величине капиталовложений - отношение суммы денежных
притоков (накопленных поступлений) к сумме денежных оттоков (накопленных
платежей).
Срок
окупаемости - минимальный временной интервал (от начала осуществления проекта),
за пределами которого эффект становится и в дальнейшем остается
неотрицательным. Это период, измеряемый в месяцах, кварталах, годах, начиная с
которого первоначальные капитальные вложения и другие затраты, связанные с
проектом, покрываются суммарными результатами его осуществления. Это
продолжительность периода от начального момента до момента окупаемости.
Моментом окупаемости называется тот наиболее ранний момент времени в расчетном
периоде, после которого текущий чистый доход становится положительным.
5.2 Порядок расчета экономической эффективности мероприятий
Для расчета экономической эффективности мероприятий определяются основные
и оценочные показатели.
К основным показателям эффективности относятся:
чистый доход;
индекс доходности;
срок окупаемости.
К оценочным показателям эффективности относятся:
объем капитальных вложений;
выручка от реализации продукции;
эксплуатационные расходы;
налог на имущество;
налог на прибыль;
чистая прибыль;
Расчетный период для оценки экономической эффективности мероприятия - 10
лет.
Выручка от реализации продукции (В) рассчитывается как произведение
объема произведенной продукции (Q) на
цену продукции (Ц)
В = Q * Ц
Эксплуатационные расходы рассчитываются как произведение объема
произведенной продукции (Q) на
себестоимость продукции (S)
ЭР = Q * S
Затраты на производство продукции (З) определяются как сумма
эксплуатационных расходов (ЭР) и амортизационных отчислений (АО)
З = ЭР + АО
Валовая прибыль рассчитывается как разность между выручкой от реализации
продукции (В) и затратами, связанными с производством этой продукции (З).
ВП = В - З
Налог на имущество (Н1) рассчитывается как 2,2 % от среднегодовой
остаточной стоимости основных фондов.
Н1 = (КВ - АО) * 2,2%
Налогооблагаемая прибыль (НП) определяется как разница между валовой
прибылью (ВП) и налогом на имущество (Н1)
НП = ВП - Н1
Налог на прибыль (Н2) определяется как 20 % от налогооблагаемой прибыли
Н2 = НП * 20 %
Чистая прибыль (ЧП) определяется как разница между налогооблагаемой
прибылью (НП) и налогом на прибыль (Н2)
ЧП = НП - Н2
Чистый доход (ЧД) определяется как сумма прироста чистой прибыли (ЧП) и
амортизационных отчислений (А) за минусом капитальных вложений (КВ).
ЧД = ЧП + АО - КВ
Накопленный чистый доход (∑ЧД) определяется суммированием чистого
дохода за период.
Срок окупаемости показывает число лет, за которые капитальные вложения
(КВ) окупятся через накопленный чистый доход.
СО =КВ/∑ЧД
Индекс доходности (ИД) - отношение суммы денежных притоков к сумме
денежных оттоков. В состав притоков денежных средств включаются выручка от
реализации продукции (В) и амортизационные отчисления (АО), в состав оттоков
денежных средств включаются капитальные вложения (КВ) и производственные
затраты (ЭР), связанные с реализацией мероприятия, налог на имущество (Н1),
налог на прибыль (Н2).
ИД
=
.3 Расчет экономической эффективности бурения горизонтальных
и вертикальных скважин
Экономическая эффективность рассмотрена на примере одной скважины №14003.
Изменение технологических показателей при различном соотношении длины
горизонтального ствола по двум другим скважинам имеют схожий характер. Таким
образом, экономический расчет был проведен по данным одной скважины. Полученная
зависимость экономической эффективности от различных условий по вариантам
применима и к двум другим скважинам.[11]
Расчет экономической эффективности был проведен по трем вариантам:
вариант 1 - длина горизонтального участка 120 м
вариант 2 - длина горизонтального участка 150 м
- вариант 3 - длина горизонтального участка 200 м
Потребность в капитальных вложениях при бурении горизонтальных стволов
различной длины представлена в таблице 5.1.
Таблица 5.1 - Капитальные затраты при бурении горизонтальных скважин
|
Бурение ГС
|
Ед. изм.
|
Сумма капитальных вложений
|
|
Длина горизонтального
ствола
|
|
|
|
- 120 м
|
тыс.руб.
|
21 300
|
|
- 150 м
|
тыс.руб.
|
26 625
|
|
- 200 м
|
тыс.руб.
|
35 500
|
Расчеты экономической эффективности бурения скважин представлены в
таблицах 5.2 - 5.3.
Итоговые экономические показатели по рассмотренным вариантам длины ствола
представлены в таблице № 5.5
Таблица 5.5 - Итоговые экономические показатели по рассмотренным вариантам
|
№ п/п
|
Наименование показателя
|
Усл. обозн.
|
Ед. изм.
|
120 м
|
150 м
|
200 м
|
|
1
|
Капитальные вложения
|
КВ
|
тыс.руб.
|
21 300
|
26 625
|
35 500
|
|
2
|
Чистый дисконтированный
доход
|
ЧДД
|
тыс.руб.
|
1307
|
31 914
|
82 925
|
|
3
|
Индекс доходности
|
ИД
|
-
|
1,06
|
1,06
|
1,05
|
|
4
|
Срок окупаемости
|
СО
|
годы
|
8,9
|
3,3
|
2,0
|
Таблица 5.2 - Расчет экономической эффективности бурения (длина
горизонтального участка 120 м)
|
№
|
Показатели
|
Ед. изм.
|
1
|
2
|
3
|
4
|
5
|
6
|
7
|
8
|
9
|
10
|
|
1
|
Затраты на проведение работ
|
тыс. руб.
|
21 300
|
0
|
0
|
0
|
0
|
0
|
0
|
0
|
0
|
0
|
21 300
|
|
|
в том числе:
|
|
|
|
|
|
|
|
|
|
|
|
|
|
|
- капитального характера
|
тыс. руб.
|
21 300
|
|
|
|
|
|
|
|
|
|
21 300
|
|
2
|
Выручка от реализации
продукции
|
тыс. руб.
|
65 629
|
65 629
|
65 629
|
65 629
|
65 629
|
61 035
|
56 762
|
52 789
|
49 094
|
45 657
|
593 482
|
|
3
|
Затраты на производство
продукции и проведение работ
|
тыс. руб.
|
63 574
|
63 574
|
63 574
|
63 574
|
63 574
|
59 273
|
55 273
|
51 553
|
48 094
|
44 876
|
576 941
|
|
|
в том числе:
|
|
|
|
|
|
|
|
|
|
|
|
|
|
|
- эксплуатационные расходы
|
тыс. руб.
|
61 444
|
61 444
|
61 444
|
61 444
|
61 444
|
57 143
|
53 143
|
49 423
|
45 964
|
42 746
|
555 641
|
|
|
- амортизация
|
тыс. руб.
|
2 130
|
2 130
|
2 130
|
2 130
|
2 130
|
2 130
|
2 130
|
2 130
|
2 130
|
2 130
|
21 300
|
|
4
|
Валовая прибыль
|
тыс. руб.
|
2 055
|
2 055
|
2 055
|
2 055
|
2 055
|
1 762
|
1 489
|
1 236
|
1 000
|
781
|
16 541
|
|
5
|
Ставка налога на имущество
|
%
|
2,2
|
2,2
|
2,2
|
2,2
|
2,2
|
2,2
|
2,2
|
2,2
|
2,2
|
2,2
|
22
|
|
6
|
Налог на имущество
|
тыс. руб.
|
422
|
375
|
328
|
281
|
234
|
187
|
141
|
94
|
47
|
0
|
2 109
|
|
7
|
Налогооблагаемая прибыль
|
тыс. руб.
|
1 633
|
1 680
|
1 727
|
1 773
|
1 820
|
1 574
|
1 349
|
1 142
|
953
|
781
|
14 432
|
|
8
|
Ставка налога на прибыль
|
%
|
20
|
20
|
20
|
20
|
20
|
20
|
20
|
20
|
20
|
20
|
|
|
9
|
Налог на прибыль
|
тыс. руб.
|
327
|
336
|
345
|
355
|
364
|
315
|
270
|
228
|
191
|
156
|
2 886
|
|
10
|
Чистая прибыль
|
тыс. руб.
|
1 306
|
1 344
|
1 381
|
1 419
|
1 456
|
1 259
|
1 079
|
914
|
763
|
625
|
11 546
|
|
11
|
Чистый поток денежных
средств
|
тыс. руб.
|
-17 864
|
3 474
|
3 511
|
3 549
|
3 586
|
3 389
|
3 209
|
3 044
|
2 893
|
2 755
|
11 546
|
|
12
|
Накопленный чистый поток
денежных средств
|
тыс. руб.
|
-17 864
|
-14 390
|
-10 879
|
-7 330
|
-3 744
|
-355
|
2 854
|
5 898
|
8 791
|
11 546
|
|
|
13
|
Норма дисконта
|
%
|
10
|
10
|
10
|
10
|
10
|
10
|
10
|
10
|
10
|
10
|
|
|
14
|
Коэффициент дисконтирования
|
|
1
|
0,909
|
0,826
|
0,751
|
0,683
|
0,621
|
0,564
|
0,513
|
0,467
|
0,424
|
|
|
15
|
Дисконтированный чистый
поток денежных средств
|
тыс. руб.
|
-17 864
|
3 158
|
2 902
|
2 666
|
2 449
|
2 105
|
1 811
|
1 562
|
1 349
|
1 168
|
1 307
|
|
16
|
Накопленный
дисконтированный чистый поток денежных средств
|
тыс. руб.
|
-17 864
|
-14 706
|
-11 804
|
-9 138
|
-6 688
|
-4 584
|
-2 773
|
-1 211
|
139
|
1 307
|
|
|
Чистый доход
|
тыс. руб.
|
11 546
|
|
Чистый дисконтированный
доход
|
тыс. руб.
|
1 307
|
|
Индекс доходности за период
|
|
1,06
|
|
Срок окупаемости
|
год
|
8,9
|
Таблица 5.3 - Расчет экономической эффективности бурения (длина
горизонтального участка 150 м)
|
№
|
Показатели
|
Ед. изм.
|
1
|
2
|
3
|
4
|
5
|
6
|
7
|
8
|
9
|
10
|
ИТОГО
|
|
1
|
Затраты на проведение работ
|
тыс. руб.
|
26 625
|
0
|
0
|
0
|
0
|
0
|
0
|
0
|
0
|
0
|
26 625
|
|
|
в том числе:
|
|
|
|
|
|
|
|
|
|
|
|
|
|
|
- капитального характера
|
тыс. руб.
|
26 625
|
|
|
|
|
|
|
|
|
26 625
|
|
2
|
Выручка от реализации
продукции
|
тыс. руб.
|
176 378
|
176 378
|
176 378
|
176 378
|
176 378
|
164 031
|
152 549
|
141 871
|
131 940
|
122 704
|
1 594 984
|
|
3
|
Затраты на производство
продукции и проведение работ
|
тыс. руб.
|
167 794
|
167 794
|
167 794
|
167 794
|
167 794
|
156 235
|
145 485
|
135 487
|
126 190
|
117 543
|
1 519 912
|
|
|
в том числе:
|
|
|
|
|
|
|
|
|
|
|
|
|
|
|
- эксплуатационные расходы
|
тыс. руб.
|
165 132
|
165 132
|
165 132
|
165 132
|
165 132
|
153 573
|
142 823
|
132 825
|
123 527
|
114 880
|
1 493 287
|
|
|
- амортизация
|
тыс. руб.
|
2 663
|
2 663
|
2 663
|
2 663
|
2 663
|
2 663
|
2 663
|
2 663
|
2 663
|
2 663
|
26 625
|
|
4
|
Валовая прибыль
|
тыс. руб.
|
8 583
|
8 583
|
8 583
|
8 583
|
8 583
|
7 796
|
7 064
|
6 383
|
5 750
|
5 161
|
75 072
|
|
5
|
Ставка налога на имущество
|
%
|
2,2
|
2,2
|
2,2
|
2,2
|
2,2
|
2,2
|
2,2
|
2,2
|
2,2
|
2,2
|
22
|
|
6
|
Налог на имущество
|
тыс. руб.
|
527
|
469
|
410
|
351
|
293
|
234
|
176
|
117
|
59
|
0
|
2 636
|
|
7
|
Налогооблагаемая прибыль
|
тыс. руб.
|
8 056
|
8 115
|
8 173
|
8 232
|
8 291
|
7 562
|
6 888
|
6 266
|
5 691
|
5 161
|
72 436
|
|
8
|
Ставка налога на прибыль
|
%
|
20
|
20
|
20
|
20
|
20
|
20
|
20
|
20
|
20
|
20
|
|
|
9
|
Налог на прибыль
|
тыс. руб.
|
1 611
|
1 623
|
1 635
|
1 646
|
1 658
|
1 512
|
1 378
|
1 253
|
1 138
|
1 032
|
14 487
|
|
10
|
Чистая прибыль
|
тыс. руб.
|
6 445
|
6 492
|
6 539
|
6 586
|
6 632
|
6 050
|
5 511
|
5 013
|
4 553
|
4 129
|
57 949
|
|
11
|
Чистый поток денежных
средств
|
тыс. руб.
|
-17 517
|
9 154
|
9 201
|
9 248
|
9 295
|
8 712
|
8 173
|
7 675
|
7 216
|
6 791
|
57 949
|
|
12
|
Накопленный чистый поток
денежных средств
|
тыс. руб.
|
-17 517
|
-8 363
|
838
|
10 086
|
19 381
|
28 093
|
36 266
|
43 942
|
51 157
|
57 949
|
|
|
13
|
Норма дисконта
|
%
|
10
|
10
|
10
|
10
|
10
|
10
|
10
|
10
|
10
|
10
|
|
|
14
|
Коэффициент дисконтирования
|
|
1
|
0,909
|
0,826
|
0,751
|
0,683
|
0,621
|
0,564
|
0,513
|
0,467
|
0,424
|
|
|
15
|
Дисконтированный чистый
поток денежных средств
|
тыс. руб.
|
-17 517
|
8 322
|
7 604
|
6 948
|
6 349
|
5 409
|
4 614
|
3 939
|
3 366
|
2 880
|
31 914
|
|
16
|
Накопленный
дисконтированный чистый поток денежных средств
|
тыс. руб.
|
-17 517
|
-9 195
|
-1 591
|
5 357
|
11 706
|
17 115
|
21 729
|
25 668
|
29 034
|
31 914
|
|
|
Чистый доход
|
тыс. руб.
|
57 949
|
|
Чистый дисконтированный
доход
|
тыс. руб.
|
31 914
|
|
Индекс доходности за период
|
|
1,06
|
|
Срок окупаемости
|
год
|
3,3
|
Таблица 5.4 - Расчет экономической эффективности бурения (длина
горизонтального участка 200 м)
|
№
|
Показатели
|
Ед. изм.
|
1
|
2
|
3
|
4
|
5
|
6
|
7
|
8
|
9
|
10
|
ИТОГО
|
|
1
|
Затраты на проведение работ
|
тыс. руб.
|
35 500
|
0
|
0
|
0
|
0
|
0
|
0
|
0
|
0
|
0
|
35 500
|
|
|
в том числе:
|
|
|
|
|
|
|
|
|
|
|
|
|
|
|
- капитального характера
|
тыс. руб.
|
35 500
|
|
|
|
|
|
|
|
|
|
35 500
|
|
2
|
Выручка от реализации
продукции
|
тыс. руб.
|
360 959
|
360 959
|
360 959
|
360 959
|
360 959
|
335 692
|
312 194
|
290 340
|
270 016
|
251 115
|
3 264 152
|
|
3
|
Затраты на производство
продукции и проведение работ
|
тыс. руб.
|
341 494
|
341 494
|
341 494
|
341 494
|
341 494
|
317 838
|
295 838
|
275 378
|
256 350
|
238 654
|
3 091 528
|
|
|
в том числе:
|
|
|
|
|
|
|
|
|
|
|
|
|
|
- эксплуатационные расходы
|
тыс. руб.
|
337 944
|
337 944
|
337 944
|
337 944
|
337 944
|
314 288
|
292 288
|
271 828
|
252 800
|
235 104
|
3 056 028
|
|
|
- амортизация
|
тыс. руб.
|
3 550
|
3 550
|
3 550
|
3 550
|
3 550
|
3 550
|
3 550
|
3 550
|
3 550
|
3 550
|
35 500
|
|
4
|
Валовая прибыль
|
тыс. руб.
|
19 465
|
19 465
|
19 465
|
19 465
|
19 465
|
17 854
|
16 356
|
14 962
|
13 666
|
12 461
|
172 624
|
|
5
|
Ставка налога на имущество
|
%
|
2,2
|
2,2
|
2,2
|
2,2
|
2,2
|
2,2
|
2,2
|
2,2
|
2,2
|
2,2
|
22
|
|
6
|
Налог на имущество
|
тыс. руб.
|
703
|
625
|
547
|
469
|
391
|
312
|
234
|
156
|
78
|
0
|
3 515
|
|
7
|
Налогооблагаемая прибыль
|
тыс. руб.
|
18 762
|
18 840
|
18 918
|
18 996
|
19 074
|
17 542
|
16 121
|
14 806
|
13 588
|
12 461
|
169 110
|
|
8
|
Ставка налога на прибыль
|
%
|
20
|
20
|
20
|
20
|
20
|
20
|
20
|
20
|
20
|
20
|
|
|
9
|
Налог на прибыль
|
тыс. руб.
|
3 752
|
3 768
|
3 784
|
3 799
|
3 815
|
3 508
|
3 224
|
2 961
|
2 718
|
2 492
|
33 822
|
|
10
|
Чистая прибыль
|
тыс. руб.
|
15 010
|
15 072
|
15 135
|
15 197
|
15 260
|
14 033
|
12 897
|
11 845
|
10 871
|
9 969
|
135 288
|
|
11
|
Чистый поток денежных
средств
|
тыс. руб.
|
-16 940
|
18 622
|
18 685
|
18 747
|
18 810
|
17 583
|
16 447
|
15 395
|
14 421
|
13 519
|
135 288
|
|
12
|
Накопленный чистый поток
денежных средств
|
тыс. руб.
|
-16 940
|
1 682
|
20 366
|
39 113
|
57 923
|
75 506
|
91 953
|
107 348
|
121 769
|
135 288
|
|
|
13
|
Норма дисконта
|
%
|
10
|
10
|
10
|
10
|
10
|
10
|
10
|
10
|
10
|
10
|
|
|
14
|
Коэффициент дисконтирования
|
|
1
|
0,909
|
0,826
|
0,751
|
0,683
|
0,621
|
0,564
|
0,513
|
0,467
|
0,424
|
|
|
15
|
Дисконтированный чистый
поток денежных средств
|
тыс. руб.
|
-16 940
|
16 929
|
15 442
|
14 085
|
12 847
|
10 918
|
9 284
|
7 900
|
6 727
|
5 733
|
82 925
|
|
16
|
Накопленный
дисконтированный чистый поток денежных средств
|
тыс. руб.
|
-16 940
|
-11
|
15 431
|
29 516
|
42 363
|
53 281
|
62 565
|
70 464
|
77 192
|
82 925
|
|
|
Чистый доход
|
тыс. руб.
|
135 288
|
|
Чистый дисконтированный
доход
|
тыс. руб.
|
82 925
|
|
Индекс доходности за период
|
|
1,05
|
|
Срок окупаемости
|
год
|
2,0
|
Показатели эффективности бурения горизонтальных скважин выше, чем
показатели эффективности бурения вертикальных скважин, поэтому предпочтительнее
бурение горизонтальных скважин, при этом, не смотря на рост стоимости работ в
зависимости от длины ствола выгоднее увеличение длины ствола, при этом
необходимо учитывать и технические условия бурения.
По данным таблицы 5.5 можно сделать вывод о самом рентабельном варианте
сочетания рассматриваемых параметров для скважины № 14003. Данная зависимость
будет наблюдаться и для двух других скважин.
Ранее самым оптимальным был выбран вариант с длинной горизонтального
ствола равной 150 м. Результаты расчетов экономической эффективности
показывают, что оптимальным будет вариант с длинной горизонтального ствола 200
м. Так как он имеет самый короткий срок окупаемости - 2 года, наибольший чистых
доход - 82 925 тыс. руб. и индекс доходности -1,05.
Заключение
В данной работе проведен анализ влияния длины и диаметра обсадных колонн
и фонтанных труб горизонтального ствола, а также радиуса кривизны на устьевое
давление при различных дебитах горизонтальной скважины на начальном этапе
разработки Оренбургского ОНГКМ.
Дана краткая характеристика Оренбургского НГКМ с точки зрения
строительства горизонтальных скважин, а также обзор существующих методов
газогидродинамических исследований горизонтальных скважин, необходимых для
определения параметров пласта.
Проведен анализ технологических режимов и результатов
газогидродинамических исследований трех высокодебитных вертикальных скважин
зоны УКПГ-14. По результатам исследований определены коэффициенты
фильтрационного сопротивления (aв и bв).
Выполнен пересчет этих коэффициентов на коэффициенты горизонтальных
скважин (aг и bг).
По трем горизонтальным скажинам (№№ 14060, 15072, 15073) определена
зависимость устьевого давления от различных параметров (длины и диаметра
обсадных колонн и фонтанных труб, дебита скважины и радиусах кривизны). Выбраны
и обоснованы оптимальные длина и диаметр горизонтального ствола, радиуса
кривизны и диаметра фонтанных труб, обеспечивающих минимальные потери давления
по стволу горизонтальной скважины. Кроме того, проведен экономический анализ
полученных вариантов. Рассчитаны основные показатели экономической
эффективности каждого варианта и проведено их сравнение.
Также оценена безопасность и экологичность проекта. Определены основные
виды техногенного воздействия при строительстве скважин на каждом из этапов
строительства.
Описаны предпосылки возникновения возможных нештатных ситуаций на буровой
установке и дано обоснование преимущества строительства горизонтальных скважин
с экологической точки зрения.
С целью комплексного анализа преимущества строительства горизонтальных
скважин выполнен расчет предотвращенного экологического ущерба.
Список использованных источников
1 Газопромысловое управления ООО «Газпром добыча Оренбург».
Геологический отчет. Оренбург : s.n., 2009.
Алиев З.С., Шеремет В.В. Определение производительности
горизонтальных скавжин вскрывших газовые и газоконденсатные пласты. 1995.
Алиев З.С., Бондаренко В.В. Исследование горизонтальных
скважин. 2004.
Алиев З.С., Бондаренко В.В,. Технология применения
горизонтальных скважин. 2006.
Алиев З.С., Самуйлова Л.В., Котлярова Е.М., Мараков Д.А. Определение основных
параметров горизонтальных газовых скважин. 2010.
6 Алиев З.С., Самуйлова Л.В., Котлярова Е.М., Гончаров С.В.
Методы определения пластового и забойного давлений в горизонтальных скважинах
различной конструкции. Оренбург : s.n., 2010.
Алиев З.С. Разработка и эксплуатация газовых и
газоконденсатных месторождений. М. : ГАНГ, 1992.
Закиров С.Н. Теория и проектирование разработки газовых и
газо-конденсатных месторождений. М. : Недра, 1989.
Зотов Г.А., Алиев З.С. Инструкция по комплексному
исследованию газовых и газоконденсатных пластов и скважин. М. : Недра, 1980.
РД 51-1-96. Инструкция по охране окружающей среды при
строительстве скважин на суше на месторождениях углеводородов поликомпонентного
состава, в том числе сероводородосодержащих. М. : s.n., 1996 г., - 80 с.
Методические рекомендации по оценке эффективности
инвестцион-ных проектов. М.: 2000.