Необхідність здійснення заходів щодо розвитку вексельного обігу в Україні

  • Вид работы:
    Курсовая работа (т)
  • Предмет:
    Банковское дело
  • Язык:
    Украинский
    ,
    Формат файла:
    MS Word
    83,77 Кб
  • Опубликовано:
    2013-10-09
Вы можете узнать стоимость помощи в написании студенческой работы.
Помощь в написании работы, которую точно примут!

Необхідність здійснення заходів щодо розвитку вексельного обігу в Україні

ЗМІСТ

ВСТУП

РОЗДІЛ 1. ТЕОРЕТИЧНІ ЗАСАДИ ВЕКСЕЛЬНОЇ ФОРМИ РОЗРАХУНКІВ

1.1 Характеристика та види векселів

.2 Суть та класифікація операцій комерційних банків з векселями

РОЗДІЛ 2. ДОСВІД ВИКОРИСТАННЯ ВЕКСЕЛЬНОЇ ФОРМИ ВЗАЄМОРОЗРАХУНКІВ КОМЕРЦІЙНИМИ БАНКАМИ

2.1 Аналіз здійснення операцій комерційних банків з векселями

.2 Аналіз операцій з векселями банками Райффайзен Банк Інтернаціональ АГ

РОЗДІЛ 3. УДОСКОНАЛЕННЯ ВЕКСЕЛЬНОГО ОБІГУ В УКРАЇНІ ТА ШЛЯХИ ЙОГО МОЖЛИВОГО ПОКРАЩЕННЯ

3.1 Проблеми вексельного обігу в Україні

.2 Напрями подальшого розвитку вексельного ринку в Україні

ВИСНОВКИ

СПИСОК ВИКОРИСТАНОЇ ЛІТЕРАТУРИ

ВСТУП

Жоден з інструментів сучасного фінансового ринку, крім, природно, самих грошей, у всіх численних проявах їх економічних функцій, не може зрівнятися за своєю історією і значенням з векселем. Власне, розвиток вексельного обігу певною мірою обумовив перетворення всіх грошових розрахунків у безготівкову форму. Роль і значення векселя завжди підтримувалися вексельним правом і забезпечувалися державою. Векселі активно використовувалися і використовуються у міжнародних і внутрішніх розрахунках країн з розвиненою економікою.

Нині, на жаль, не можна стверджувати, що вексель, як інструмент фінансово-правового регулювання, міцно увійшов і широко використовується у цивільно-правових відносинах, які динамічно розвиваються в Україні.

В умовах переходу до ринкової економіки виникла об'єктивна необхідність формування професійного вексельного ринку в Україні. Векселі кредитних установ, фінансових і страхових компаній, великих підприємств стають об'єктами біржових торгів. За допомогою вексельних програм здійснюються спроби розв'язання проблеми неплатежів, здійснення взаємозаліків заборгованості, а також розробляються і здійснюються інші фінансові програми.

Повернення векселя до економіки України має велике значення. Нині його використання в основному здійснюється в рамках кредитно-розрахункових операцій. Однак за допомогою векселя можна вирішувати більш важливі задачі і,зокрема, задачу реформування відносин власності. Властивості векселя як цінного паперу дозволяють максимально прискорити процеси приватизації, причому, насамперед, за рахунок нерентабельних підприємств-боржників. Юридична конструкція векселя як цінного паперу наділяє його можливостями більш ефективного виконання фінансових зобов'язань порівняно з іншими цивільними зобов'язаннями. За наявності досить конструктивного механізму переходу від фінансової відповідальності до майнової створюються умови, за яких векселі стають одним з дійових інструментів ринкової економіки.

Потрібно відмітити, що широкому впровадженню в Україні вексельного обігу перешкоджає відсутність практичного досвіду в його організації. Створення системи вексельного обігу і вексельного арбітражу в Україні починається практично заново. Відсутні відповідні фахівці, а також налагоджені організаційні й правові інститути; немає в достатній кількості спеціальної економічної і юридичної літератури з цих проблем. Все це і визначає мету, задачі та актуальність теми даної дипломної роботи.

Основною метою даної курсової роботи є визначення необхідності здійснення заходів щодо розвитку вексельного обігу в Україні. Для досягнення даної мети необхідно:

·    висвітлити теоретичні питання вексельного обігу;

·       проаналізувати практику здійснення операцій з векселями та здійснити їх аналіз;

·       розглянути основні перспективи розвитку вексельних розрахунків в Україні.

Структура моєї курсової роботи включає три розділи. У першому розділі висвітлені теоретичні онови вексельної форми фінансових взаєморозрахунків, де розглянуті суть та види векселів, суб’єкти вексельного обігу, участь банків, а також суть та класифікація операцій комерційних банків з векселями.

У другому розділі дипломної роботи буде досліджено досвід використання вексельної форми взаєморозрахунків в Україні, буде розглянуто порядок аналізу операцій комерційних банків з векселями, а також проведено аналіз статей балансу банків групи Райффайзен Банк Інтернаціональ АГ щодо операцій з векселями і дослідження ролі векселя як альтернативу грошей.

До третього розділу будуть включені проблеми,що пов’язані з вексельним обігом в Україні та шляхи його удосконалення.

РОЗДІЛ 1. ТЕОРЕТИЧНІ ЗАСАДИ ВЕКСЕЛЬНОЇ ФОРМИ РОЗРАХУНКІВ

1.1    Характеристика та види векселів

Вексель представляє собою складене за встановленою формою письмове боргове зобов’язання, яке дає його власнику беззаперечне право вимагати оплати вказаної у векселі суми особою, яка видала вексель в певний термін і у визначеному місці.

Законом України від 18.12.2008 року "Про цінні папери і фондовий ринок" (ст. 3) встановлено вичерпний перелік цінних паперів, які можуть випускатися і обертатися в Україні [16-17]: акції, облігації внутрішнього державної і місцевої позик; облігації підприємств; казначейські зобов'язання; депозитні сертифікати; векселі; приватизаційні папери. Згідно з цим Законом (ст. 14), векселем є цінний папір, який засвідчує безумовне грошове зобов'язання векселедавця сплатити після настання строку визначену суму грошей власнику векселя (векселедержателю).

При цьому Закон розрізняє два види векселів:

а)      переказний (тратта);

б)      простий.

Переказний вексель являє собою письмовий документ, що містить безумовний наказ або пропозицію однієї особи (векселедавця), звернені до іншої особи (платника), сплатити відповідну суму певній особі або за його наказом у встановлений термін або на вимогу. На відміну від переказного векселя, простий вексель містить безумовне зобов'язання або обіцянку однієї особи (векселедавця) сплатити визначену суму певній особі (векселедержателю) [1].

Переказний вексель, таким чином, відрізняється від простого тим, що за переказним векселем платником може бути не векселедавець, а інша особа, яка після акцепту переказного векселя приймає на себе зобов'язання сплатити за ним.

Всі векселі за їх економічною природою можна поділити на:

-       комерційні або торгові (товарні) векселі, тобто такі векселі, які видані на основі товарного боргу, наданих послуг, виконаних робіт і т.п.;

-       фінансові векселі, тобто такі векселі, джерелом яких є фінансові операції та в основі видачі яких лежить отримання грошової позики проти видачі боргового зобов’язання.

Векселі, що виставлені на банк, носять комерційний характер, коли банк надає свій акцепт з метою загального або спеціального фінансування підприємства. Векселі, якщо вони є виставленими банком на банк, зазвичай являються фінансовими траттами, за допомогою яких один банк надає іншому можливість скористатися кредитом шляхом продажу цих тратт на грошовому ринку. Ці тратти являються засобом фінансування банку, а часто і фінансування спекулятивних операцій з цінними паперами та іноземною валютою (наприклад, при внесенні у якості застави у реєстраційну палату біржі).

Серед фінансових векселів виділяють векселі, в основі видачі яких не яка-небудь реальна угода, а лише мета отримання товарного або, переважно, грошового кредиту, який в інший спосіб отримати б не вдалося. До таких векселів відносяться дружні (приятельські) та бронзові (дуті) векселі. Загальною ознакою і тих, і інших є безгрошовість (тобто відсутність у вексельному зобов’язанні законної підстави боргу, реальної економічної бази його видачі) та безвалютність (тобто відсутність у вексельному зобов’язанні майнового забезпечення боргу). Оскільки безгрошове зобов’язання юридично нікчемне, воно може бути визнане незаконним, але якщо вексель тим часом опиниться у руках добросовісного держателя, який не знав про цю ваду, то такий держатель все ж таки залишиться законним держателем і має право вимагати задоволення за векселем. В Україні законодавством дозволено видавати векселі лише для сплати за поставлену продукцію, виконані роботи, надані послуги, за виключенням векселів Мінфіну, Національного банку та комерційних банків [14].

До дружніх векселів відносяться векселі, що не мають в основі своєї видачі розрахунків векселедержателя за товарними та грошовими угодами, що видаються головним чином з метою отримання грошей від врахування векселів у банку. Такими векселями визнаються: видані один одному родичами, членами та пайовщиками одного товариства, однією юридичною особою на користь іншої та інші безгрошові векселі.

До бронзових (дутих) векселів відносяться безгрошові векселі, які видані з метою або поповнення коштів шляхом їх врахування в банках , або штучного підвищення боргів шляхом видачі векселів на користь фальшивих кредиторів. На відміну від дружніх векселів за векселями фіктивними особи, причетні до їх виникнення, не приймають на себе відповідальності за векселем, оскільки вексель створюється лише з однією метою - ошукати кредиторів і шляхом шахрайства виманити у них кошти.

До зустрічних векселів належать дружні та бронзові векселі, в яких дві юридичні або фізичні особи виcтупають по черзі то векселедателем (платником), то векселедержателем (покупцем). Такі векселі визнаються зустрічними, хоча б їх строки та суми не співпадали. Очевидно, що зустрічні векселі можуть бути не лише дружніми та бронзовими, але й комерційними, що виникли із взаємних торгових відносин та угод між двома особами [11].

Нормальна організація вексельного обігу передбачає безумовне дотримання вексельної дисципліни. У зв'язку з цим практикується законодавча заборона звільнення з яких-небудь причин будь-якого векселедавця від накладеного протесту, а також від забезпечення платежу державними дотаціями, переписуванням векселів або видачею нових позик. Чинник безумовності платежу, серйозні наслідки протесту підкреслюють перевагу векселя над іншими формами боргових зобов'язань. Законодавче визначення відповідальності векселедавця за вексельними зобов'язаннями спрямоване на зміцнення грошової дисципліни.

1.2 Суть та класифікація операцій комерційних банків з векселями

У сучасній ринковій економіці вексель відіграє помітну роль у господарській практиці та у діяльності комерційних банків. Комерційні банки у сфері вексельного обігу можуть здійснювати кредитні, торговельні, гарантійні, розрахункові, комісійні та довірчі операції. Крім цього, окремі банки України виступають також у ролі емітентів векселів.

Рис. 1.1 - Операції банків з векселями

 

Угоди про кредитні, торговельні та гарантійні операції, а також інкасування векселів і зберігання, купівлю, продаж і обмін векселів за дорученням клієнтів (інших банків) мають бути укладені в письмовій формі з урахуванням вимог чинного законодавства. Розрахункові операції можуть здійснюватись без угод (договорів) на підставі первинних документів (реєстрів, актів тощо) [4].

Кредитні операції

До вексельних кредитів комерційних банків належать операції з урахування та переврахування векселів, а також надання позик під забезпечення векселями.

Операція врахування (дисконту) векселів полягає у купівлі банком векселя за іменним індосаментом у векселедержателя до настання строку платежу. При цьому банк стає повноправним власником векселя з усіма правами й обов’язками згідно з вексельним правом, а векселедержатель отримує суму векселя, зменшену на величину банківської процентної ставки, яка ще називається дисконтом, а також накладних витрат на здійснення операції [13].

Векселі, що перебувають у портфелі комерційного банку, є надійною і ліквідною статтею його активу. Це дає змогу направляти на формування даних активів найбільш схильні до несподіваного вилучення зобов’язання банку, наприклад кошти на поточних рахунках клієнтів, і використовувати вексельний портфель як «вторинні резерви». У разі потреби у ліквідності банк може рефінансуватись в інших комерційних банках, а також у центральному банку у формі переврахування векселів, іншими словами - врахування уже врахованих банком векселів.

Кредити під заставу векселів

При кредитуванні під заставу векселів позичальник не переуступає вексель банку (на відміну від облікового кредиту), а лише віддає його під заставу на певний строк, зберігаючи всі права векселедержателя (право власності на вексель може перейти лише у разі непогашення позики). Ще одна відмінність між цими формами вексельного кредиту полягає в тому, що якщо при обліковому кредиті позичальник і той, хто повертає кошти, є різними особами, то при кредитуванні під заставу векселів погашення позики здійснюється самим позичальником. Особливістю цього виду кредитування є також порядок надання, зберігання та реалізації застави.

Кредити під заставу векселів можуть надаватись у вигляді:

-       строкових кредитів , тобто позик, дата погашення яких зафіксована за домовленістю з позичальником;

-       кредитів до запитання (онкольних кредитів), коли строк погашення не вказується або встановлюється термін до настання строку погашення векселів із застави [14].

Гарантійні операції

Авалювання векселів.

Аваль - це вексельна гарантія, внаслідок якої особа, що вчинила цю гарантію (аваліст), бере на себе відповідальність повністю або в частині суми за зобов’язання якоїсь із зобов’язаних за векселем осіб (векселедавця, акцептанта, індосанта).

Аваль вчиняється на переказному векселі або на додатковому аркуші (алонжі ). Також аваль може даватись і на окремому аркуші із зазначенням місця видачі. Для авалю достатньо одного лише підпису, поставленого авалістом на лицьовому боці переказного векселя, якщо тільки цей підпис не поставлений платником або векселедавцем.

Авалюючи вексель, банк надає такій особі строковий кредит або кредит до запитання (залежно від строку платежу за векселем). Як правило, можуть бути авальовані векселі, в яких точно визначений строк платежу, а саме: визначено-строкові, дато- і візо-векселі, причому на останніх має бути відмітка про дату подання. Аваль може бути наданий у будь-який час: при складанні, видачі та на будь-якому наступному етапі обігу векселя.

Окрім послуг авалювання, забезпечення банками оплати векселів може здійснюватись шляхом надання гарантій. Гарантія на забезпечення оплати векселів складається в письмовій формі. Гарантії вважаються безвідкличними, якщо в їх тексті не зазначено інше. Згідно з Положенням «Про операції банків з векселями» для того, щоб зобов’язання за гарантією регулювалося нормами законодавства про вексельний обіг, достатньо, щоб в її тексті містились такі реквізити:

-       повна назва банку-гаранта;

-       безумовне зобов’язання банку-гаранта про виплату гарантійної суми;

-       сума гарантії;

-       місце видачі гарантії.

Торговельні операції

Купівля та продаж векселів банківськими підрозділами здійснюються на підставі укладеного з продавцем (покупцем) договору про купівлю (продаж) векселів у порядку, визначеному чинним законодавством.

Договором визначаються:

-       ціна купівлі (продажу) векселів;

-       строк та порядок здійснення розрахунку;

-       умови переходу права власності на векселі та строк і порядок передавання векселів тощо.

Ціна купівлі (продажу) векселя встановлюється за домовленістю сторін у процентах до номінальної суми векселя.

Продавець може зробити на векселі один із таких передавальних індосаментів: іменний - на користь покупця, бланковий, або індосамент на пред'явника, або ж передати вексель без складання індосаменту, якщо останній є бланковим або на пред'явника [11].

Розрахункові операції

Оформлення заборгованості векселями

Оформлення заборгованості векселями між банком та іншою особою (боржником або кредитором банку) полягає у заміні одних зобов'язань іншими - вексельними. Це є своєрідна "конвертація" однієї форми зобов'язання в іншу, більш зручну, ліквідну. Нагадаємо, що вексель в законодавчому розумінні є більш оперативним засобом стягнення боргу.

Борг може бути оформлений векселями як повністю, так і частково. За домовленістю сторін на номінальну суму векселя можуть нараховуватися проценти відповідно до вимог законодавства про вексельний обіг.

За виданими простими векселями векселедавцем зазначається сам боржник - юридична особа. За виданими переказними векселями трасантом зазначається сам кредитор - юридична особа.

Розрахунки з використанням векселів

До операцій за розрахунками векселями з погашення дебіторської заборгованості перед банком належать вексельні платежі боржником на користь банку, їх зміст полягає в тому, що банк-кредитор погоджується прийняти від клієнта-боржника виконання іншого (вексельного) зобов'язання від платника за векселем. Прийняття вексельного зобов'язання відбувається шляхом передачі векселя, придбаного клієнтом-боржником, банку-кредитору. Борг може бути погашено векселями як повністю, так і частково.

Комісійні та довірчі операції

Комерційні банки можуть виконувати доручення своїх клієнтів-векселедержателів, беручи на себе відповідальність за подання векселів і супровідних комерційних документів у строк платнику та одержання належних платежів. Ця послуга називається інкасуванням векселів .

В інкасовій операції беруть участь п’ять учасників: векселедержатель, який дає доручення інкасувати вексель (принципал , комітент ); банк, якому дано доручення здійснити інкасування векселя (ремітент ); банк, який бере участь в інкасуванні, але не є банком-ремітентом (інкасуючий банк ); платник за векселем; інкасуючий банк, який здійснює пред’явлення векселів платнику (пред’являючий банк ) [13].

Здійснюючи інкасування, банк не бере на себе жодної відповідальності за форму, повноту, точність, справжність, підробку, юридичне значення будь-яких документів, так само як і за загальні та/або окремі умови, вказані в документах. Банк також не несе жодної відповідальності за відповідність даних, що зазначені в дорученні на інкасування, умовам договору між принципалом і платником. Він не відповідає за неплатоспроможність, недбалість, неправомірну поведінку, помилку або невиконання іншого банку чи платника, або ж нотаріуса при протесті, а також за затримку, втрату або знищення документів під час їх пересилання або під час їх перебування у володінні інших осіб.

Оплата векселів за дорученням клієнта (доміциляція векселів)

Доміциляція векселя - це доручення оплатити векселі в особливому місці платежу, яке відрізняється від місцезнаходження (доміциль) особи, котра зазначена як платник за векселем. Відповідно, вексель, що підлягає оплаті в місці доміциляції, називається доміцильованим .

Ті векселі, оплата яких повинна здійснитися за місцезнаходженням платника, вважаються недоміцильованими, а особа, призначена для оплати таких векселів, є особливим платником . Натомість особа, призначена для оплати векселів поза місцезнаходженням платників, виступає в ролі доміциліата [4] .

Зберігання банками векселів клієнтів

Комерційні банки за дорученням своїх клієнтів можуть здійснювати операції зберігання векселів (оригіналів, копій і примірників векселів). Операції зберігання векселів клієнтів можуть полягати в:

-       схові;

-       передаванні оригіналу векселя законному векселедержателю копії векселя;

-       передаванні примірника переказного векселя, що призначався для акцепту, законному векселедержателю іншого примірника векселя;

-       передаванні оригіналів, примірників і копій векселів іншій особі на умовах, указаних довірителем.

Зберігання векселів в установах банків здійснюється у вигляді «закритого» та «відкритого» зберігання.

РОЗДІЛ 2. ДОСВІД ВИКОРИСТАННЯ ВЕКСЕЛЬНОЇ ФОРМИ ВЗАЄМОРОЗРАХУНКІВ КОМЕРЦІЙНИМИ БАНКАМИ

2.1 Аналіз здійснення операцій комерційних банків з векселями

Аналіз вексельних операцій включає в себе здійснення аналізу дохідності фінансових векселів, оцінка вартості фінансових векселів та аналіз врахування векселів.

Вексель може бути випущений як з дисконтом, так і з виплатою фіксованого відсотка до номіналу в момент погашення (процентний вексель).

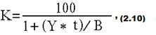
З точки зору кількісного аналізу в першому випадку вексель являє собою дисконтний папір, дохід по якому представляє різницю між ціною купівлі і номіналом. Тому дохідність такого векселя визначається аналогічно доходності будь-якого зобов’язання, яке реалізується з дисконтом і погашається по номіналу: [2]


де t - кількість днів до погашення;

P - ціна купівлі;

N - номінал;

K - курсова вартість;

B - використовувана часова база.

Як правило, в операціях з векселями використовуються звичайні відсотки (360/360).

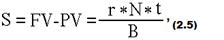
Абсолютний дисконт по дисконтному векселю S рівний:

S = FV - PV = N - P = 100 - K (2.2)

Якщо вексель продається (купується) до строку погашення, дохід буде поділений між продавцем і покупцем з урахуванням величини ринкової ставки відсотка і кількості днів, що залишилися до погашення:


де Y - ринкова ставка (норма доходності покупця);

t - кількість днів від млменту угоди до строку погашення;

Відповідно, дохід продавця буде рівним:

Sпрод = S - Sпок , (2.4)

Якщо вексель розміщується по номіналу, його дохід визначається заявленою процентною ставкою r. В цьому випадку вексель представляє собою цінний папір з виплатою фіксованого доходу в момент погашення [2].

З врахуванням введеного вище значення r абсолютний розмір доходу по векселю може бути визначений, як:


Де r - ставка по векселю;

N - номінал;

t - строк погашення в днях;

B - часова база;

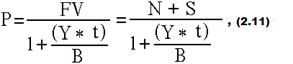
Відповідно, річна доходність погашення Y, обраховується по простим відсоткам, буде рівна:


Із формул (2.5) і (2.6) випливає, що якщо зобов’язання розміщено по номіналу і тримається до строку погашення, його доходність буде рівна вказаній в договорі ставці відсотка (Y=r).

Якщо вексель продається (купується) між датами випуску і погашення, абсолютна величина доходу S буде розподілена між продавцем і покупцем у відповідності з ринковою ставкою (нормою доходності покупця) Y на даний момент часу і пропорційно строку зберігання цінного паперу кожною із сторін. Частина доходу, яка призначається покупцю за строк, який залишився до погашення t2, буде рівна:


де t2 - кількість днів від моменту купівлі до погашення векселя.

Відповідно, продавець отримає величину:

Sпрод = S - Sпок (2.8)

Співвідношення (2.7) і (2.8) відображають ситуацію рівноваги на ринку (тобто “справедливий” розподіл доходів згідно з ринковою ставкою Y і пропорційно строку зберігання паперів кожною із сторін). Будь-яке відхилення в ту чи іншу сторону призведе до перерозподілу доходу на користь одного із учасників угоди.

Наступним етапом аналізу операцій з векселями є оцінка вартості фінансових векселів.

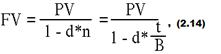
Процес оцінки вартості векселя, випущеного з дисконтом, полягає в визначенні теперішньої величини елементарного потоку платежів по формулі простих процентів виходячи із необхідної норми доходності Y.

З врахуванням використаних позначень формула поточної вартості (ціни) подобного зобов’язання буде мати вигляд [2]:


Оскільки номінал дисконтного векселя приймається за 100%, його курсова вартість рівна:


Визначення теперішньої вартості процентних векселів. З урахуванням накопичення на момент проведення операції доходу вартість зобов’язання (Р), що відповідає необхідній нормі доходності Y може бути визначена із співвідношення:


де t - кількість днів до погашення.

При Y=r ринкова вартість зобов’язання на момент випуску буде рівна номіналу (P=N). Відповідно, при Y>r буде P<N і вексель розміщується з дисконтом, а у випадку Y< r з премією (P>N) [2].

Таким чином, ринкова вартість векселя з урахуванням накопиченого доходу, що визначається з (2.11), може відхилятись від номіналу. Однак в біржовій практиці прийнято котирувати у відсотках до номіналу, тобто за 100 одиниць на дату угоди. При цьому ставка доходу по зобов’язанням r відображається окремо.

Абсолютна величина дисконту визначається як різниця між номіналом векселя та його теперішньою вартістю на момент проведення операції. При цьому дисконтування здійснюється по обліковій ставці d, що встановлюється банком:


де t - кількість днів до погашення;

d - облікова ставка;

Р - сума, виплачена володарю при врахуванні векселя;

N - номінал.

Теперішня вартість PV (цінні зобов’язання Р) при врахуванні векселя по формулі:


Суть даного методу полягає в тому, що відсотки нараховуються на суму, що підлягає сплаті в кінці строку операції. При цьому застосовується облікова ставка d. При дисконтуванні по обліковій ставці частіше всього використовують часову базу 360/360 або 360/365. Використовувану при цьому норму приведення називають антисипативною ставкою відсотків [2].

Облікова ставка d іноді застосовується і для нарахування по простим відсоткам. Необхідність в такому нарахуванні виникає при визначенні майбутньої суми угоди, наприклад, загальної суми векселя. Формула визначення майбутньої величини в цьому випадку має вигляд:


Приклад 1:

Простий вексель на суму 100 000 з оплатою через 90 днів враховується в банку за 60 днів до погашеня. Облікова ставка банку 15%. Визначити величину дисконту на користі банку і суму, яку отримає векселетримач.= (100000 * 60 * 0.15) / 360 = 2500;

Відповідно, векселетримач отримає величину PV:=100000 - 2500 = 97500;

Припустимо, що у розглянутому прикладі векселетримач вирішив врахувати вексель негайно після отримання, тоді:= (100000 * 90 * 0.15) / 360 = 3750;= 100000 - 3750 = 96250;

Як випливає із отриманого результату, при незмінному значенні ставки d чим раніше здійснюється врахування векселя, тим більшою буде величина дисконту на користь банку і тим меншу суму отримає володар.

Змінемо умови прикладу 1 наступним чином.

На яку суму повинен бути виплачений вексель, щоб постачальник, проводячи операцію врахування, отримав вартість товару у повному обсязі, якщо банківська облікова ставка рівна 15%?

Неважко замітити, що тут ми маємо справу зі зворотньою задачею - нараховуваємо по обліковій ставці d. При цьому майбутня величина FV (номінал векселя) визначається по формулі (2.14):

За допомогою наведених вище формул комерційні банки можуть здійснювати аналіз дохідності векселів, оцінку їх вартості, та здійснювати оцінку рівня ризику по вексельним операціям.

2.2 Аналіз операцій з векселями банками Райффайзен Банк Інтернаціональ АГ

Роль векселів суттєво зросла як альтернатива грошей, особливо за часи фінансової криз [6]. Вексель починає циркулювати на ринку, виконуючи такі функції грошей, як засіб обігу і як засіб платежу. Завдяки цьому вексель зменшує потребу у самих грошах, значно прискорює розрахунки щодо сплати товарів чи боргів та ін [10].

Розглянемо приклади використання векселів у статтях балансу банками Райффайзен Банк Інтернаціональ АГ.

Проаналізувавши фінансові звіти банків цієї групи, було виявлено, що сам вексель використовується лише трьома країнами, а саме: Албанією, Угорщиною та Україною. У цих трьох країнах вексель фігурує у статтях балансу у розділі "цінні папери на продаж".

У табл. 2.2.1 представлено використання векселів у Албанії [18].

Таблиця 2.2.1 Цінні папери на продаж (Албанія)

Рядок

Найменування статті

2007 рік, тис. дол. США

2008 рік, тис. дол. США

2009 рік, тис. дол. США

2010 рік, тис. дол. США

1

Федеральні казначейські векселі

439,42

39 772,11

38 037,51

1 463,14

2

Урядові зобов'язання

0,00

54 624,92

222 849,57

274 738,10

3

Усього

439,42

94 397,03

260 887,08

276 201,24

Таблиця 2.2.2 Аналіз цінних паперів на продаж (Албанія)

Рядок

Найменування статті

Питома вага 2007 рік, %

Питома вага 2008 рік, %

Питома вага 2009 рік, %

Питома вага 2010 рік, %

Абсолютна зміна 2010 / 2009, тис. дол. США

Відносна зміна 2010 / 2009, %

 1

Федеральні казначейські векселі

100,00

42,13

14,58

0,53

-36 574,37

3,85

 2

Урядові зобов'язання

0,00

57,87

85,42

99,47

51 888,53

123,28

 3

Усього

100,00

100,00

100,00

100,00

15 314,16

105,87



Проаналізувавши отримані дані (табл. 2.2.2), можна зробити висновки, що до економічної кризи (за 2008 - 2009 роки) вексель використовувався найбільше та навіть у 2007 році склав 100 %, проте з настанням кризи він зменшувався, різниця між 2009 та 2010 роками склала 36 574,37 тис. дол. США.

Розглянемо використання векселів в Угорщині (табл. 2.2.3) [19].

Таблиця 2.2.3 Цінні папери на продаж (Угорщина)

Рядок

Найменування статті

2008 рік, тис. дол. США

2009 рік, тис. дол. США

2010 рік, тис. дол. США

1

Урядові зобов’язання

220

4 510

4 570

2

Федеральні казначейські векселі, випущені Урядом

3

5 800

1 810

3

Федеральні казначейські векселі, імітовані Центральним Банком

1 990

24 230

24 110

4

Інші коштовні папери, випущені суспільним сектором

18 910

15 690

12 710

5

Інші

0

3

0

6

Усього

21 123

50 233

43 200


Аналізуючи статті балансу Угорщини, можна бачити дещо іншу ситуацію. Вексель займає вагому ланку, особливо після економічної кризи, проте все ж таки економічна криза зменшила кількість використання векселів (табл. 2.2.4) [9].

Таблиця 2.2.4 Аналіз цінних паперів на продаж (Угорщина)

Рядок

Найменування статті

Питома вага 2008 рік, %

Питома вага 2009 рік, %

Питома вага 2010 рік, %

Абсолютна зміна 2010 / 2009, тис. дол. США

Відносна зміна 2010 / 2009, %

1

Урядові зобов’язання

1,04

8,98

10,58

60,00

101,33

2

Векселі, випущені Урядом

0,01

11,55

4,19

-3 990,00

31,21

3

Векселі, імітовані ЦБ

9,42

48,24

55,81

-120,00

99,50

4

Інші коштовні папери, випущені суспільним сектором

89,52

31,23

29,42

-2 980

81,01

5

Інші

0

0,01

0

-3

0

6

Усього

100

100

100

-7 033

86


Стосовно України (табл. 2.2.5), то переважно використовуються державні облігації або ж акції [20].

Таблиця 2.2.5 Цінні папери на продаж (Україна)

Рядок

Найменування статті

2008 рік, тис. дол. США

2009 рік, тис. дол. США

2010 рік, тис. дол. США

1

Боргові цінні папери

107 468,5

133 517,35

690 033,81

1.1

Державні облігації

998 326,24

132 480,78

635 196,49

1.2

Облігації місцевих позик

0

0

52 676,64

1.3

Облігації підприємств

7 505,95

669,76

1 785,35

1.4

Векселя

822,17

366,81

375,33

Акції підприємств та інші ЦП з нефіксованим прибутком

2849,22

821,04

796,74

3

Резерв під знецінення ЦП у портфелі банку на продаж

-2244,83

-433,44

-879,65

4

Усього ЦП на продаж за мінусом резервів

1 114 727,25

267422,3

1 379 984,71


Проте, аналізуючи дані (табл. 2.2.6), можна спостерігати, що векселі займають лише декілька відсотків за всі три роки - не більше ніж 15 %, а після кризи взагалі склали 0,03 %, але все ж таки спостерігається зростання, про це свідчить відносна зміна за 2009 - 2010 роки, яка склала 102,32 % [9].

Таблиця 2.2.6 Аналіз цінних паперів на продаж (Україна)

Рядок

Найменування статті

Питома вага 2008 рік, %

Питома Вага 2009 рік, %

Питома Вага 2010 рік, %

Абсолютна зміна 2010 / 2009, тис. дол. США

Відносна зміна 2010 / 2009, %

1

Боргові цінні папери

9,64

49,93

50,00

556 516,46

516,81

1.1

Державні облігації

89,56

49,54

46,03

502 715,71

479,46

1.2

Облігації місцевих позик

0,00

0,00

3,82

52 676,64

0

1.3

Облігації підприємств

0,67

0,25

0,13

1 115,59

266,57

1.4

Векселі

0,07

0,14

0,03

8,52

102,32

2

Акції підприємств та інші ЦП з нефіксованим прибутком

0,26

0,31

0,06

-24,30

97,04

3

Резерв під знецінення ЦП у портфелі банку на продаж

-0,20

-0,16

-0,06

-446,21

202,95

4

Усього ЦП на продаж за мінусом резервів

100,00

100,00

100,00

1 112 562,41

516,03

Зростання в питомій вазі ще не означає реального збільшення обсягу операцій продажу векселів. Так як, за період протягом 2008-2009 рр. частка векселів серед інших боргових цінних паперів збільшилась, лише за рахунок зменшення інших. А сама сума операцій з векселями зменшилась більш ніж на половину. Щодо періоду 2009-2010 рр. то тут, не спостерігається чіткого покращення результату.

Порівняно з іншими проаналізованими країнами розвиток вексельного обігу в Україні є досить негативним. Така тенденція розвитку зумовлюється масою причин і факторів, що уповільнюють його.

РОЗДІЛ 3. УДОСКОНАЛЕННЯ ВЕКСЕЛЬНОГО ОБІГУ В УКРАЇНІ ТА ШЛЯХИ ЙОГО МОЖЛИВОГО ПОКРАЩЕННЯ

3.1 Проблеми вексельного обігу в Україні

Проблема вексельного обігу в Україні завжди стояла дуже гостро та викликала безліч різного роду поглядів з цього приводу. У процесі становлення ринку та підвищення динамічності нашої економіки вексель знову опиняється в центрі уваги з цілого ряду причин: по-перше - він за своєю природою є цінним папером, який дозволяє оперативно вирішувати багато складних господарських та фінансових проблем; по-друге - комерційні банки та комерційні структури вже накопичили певний досвід проведення господарських операцій з використанням векселів; по-третє - вексель розглядається урядом України як один з головних засобів проведення взаєморозрахунків боргів підприємств і виходу з платіжної кризи; по-четверте - якщо взяти до уваги значну кількість нормативних актів, які регулюють порядок випуску та використання векселів, то можна стверджувати, що в Україні вже створена мінімально необхідна правова база, яка однак вимагає дуже детального доопрацювання та доповнення, у тому числі з точки зору її узгодження з чинним законодавством.

В Україні, на жаль, склалася досить несприятлива ситуація щодо розвитку вексельного обігу, на це впливає низка чинників [12]:

низька платоспроможність більшості підприємств;

нерозвиненість нормативно-законодавчої бази;

низький розвиток дії фінансово-кредитних інститутів;

не розповсюдженість інформації про емітентів векселів, що зумовлює правопорушення у сфері вексельного обігу, зокрема обіг дружніх та бронзових векселів.

Практика використання векселів в Україні склалася таким чином, що векселі стали використовуватися не тільки за прямим їх призначенням, тобто як засіб платежу, але й за специфічним. Прикладом цьому можуть слугувати так звані податкові векселі, призначені для надання фінансових пільг підприємствам. Податкові векселі, все ж, недостатньо виконують свою функцію, тому що малим підприємствам для користування такими пільгами потрібен аваль комерційного банку, що є порівняно недешевою операцією у сучасних умовах для малих підприємств. У зв'язку з цим доцільно запропонувати ДПC пом'якшити умови для підприємств, які бажають отримати пільги, зокрема скасувати обов'язкове авалювання податкових векселів малими підприємствами. Ускладнює ситуацію із застосуванням векселів в Україні те, що учасниками вексельного обігу стають підприємства, організації і громадяни, які не мають спеціальних знань і досвіду в цій галузі. У більшості випадків практика стикається з тим, що підприємства і громадяни не можуть самостійно реалізувати свої права за векселем. Це продиктовано тим, що вексельний обіг регулюється спеціальними правовими нормами. Потрібно відмітити, що широкому впровадженню в Україні вексельного обігу перешкоджає відсутність практичного досвіду в його організації. Створення системи вексельного обігу і вексельного арбітражу в Україні починається практично заново. Відсутні відповідні фахівці, а також налагоджені організаційні й правові інститути; немає в достатній кількості спеціальної економічної і юридичної літератури з цих проблем. Широкому розповсюдженню векселів сприяє розвиток банківських операцій з векселями. Важливою умовою існування на ринку векселів можливе лише при значному наповненні ринку товарами. Тільки за таких обставин продавець починає шукати покупця та створює для нього найбільш вигідні умови.

Стримувальним фактором розвитку вексельного обігу в Україні може стати також велика кількість вексельних правопорушень і зловживань.

Крім обігу, на ринку цінних паперів України абсолютно законних фінансових інструментів - комерційних і фінансових векселів, що виписуються на основі фактичної угоди, яка пов'язана чи з товарним, чи з грошовим кредитом, в обороті знаходяться і так звані фіктивні (бронзові, дружні, зустрічні) векселі, що не підкріплені майном і зв'язані з псевдоугодою або псевдо кредитом [3].

Незаконне отримання коштів за допомогою використання бронзових (дутих) векселів. Виписка цих безгрошових векселів може мати місце, по-перше, при банкрутствах з метою штучного збільшення боргів потенційного банкрута шляхом видачі векселя на ім'я фальшивого кредитора, по-друге, з метою поповнення власних коштів шляхом обліку векселів у банках.

Дружні векселі на практиці зустрічаються найчастіше. Крім того, суть зустрічних векселів витікає з дружніх. Як приклад використання дружніх векселів з метою незаконного отримання коштів можна навести обмін акцептами, з якого випливає не тільки виписка дружнього, а й зустрічного векселя. Завдяки видачі цих векселів у трасата або трасанта виникає можливість отримання у банку дешевого кредиту шляхом обліку (дисконтування) або застави (ломбардної операції) даного векселя. При цьому в основі своєї виписки ні дружні, ні зустрічні векселі не мають реальних розрахунків векселедавця за товарними чи кредитними угодами.

Крім розглянутих вище фіктивних векселів, перепоною та протидією впровадженню широкого використання векселів в економіці України стали досить нерідкі випадки купівлі-продажу на ринку цінних паперів підроблених (фальшивих або дзеркальних) векселів [7].

Останнім часом на ринку цінних паперів з'являються крадені векселі (або отримані продавцем векселя у сумлінного векселедержателя за підробленими платіжними документами з фальшивою відміткою платника за векселем про його виконання) з бланковими індосаментами, тобто в цій ситуації відразу неможливо з'ясувати, законним чи незаконним шляхом придбав ці векселі їх продавець.

Крім того, нерідко виникає ситуація, коли вексель видає або авалює не самостійна юридична особа, а її філія. Коли ж настає строк платежу за векселем, з'ясовується, що підпис директора філії неправомочний, а головне підприємство цієї юридичної особи не несе відповідальності за подібні зобов'язання філій. Отже, щоб запобігти таким вексельним зловживанням, необхідно при виписці філією векселя взяти разом з останнім і завірену копію доручення головного підприємства, де дозволяється філії поряд з іншими господарськими операціями з векселями підписувати їх.

Отже, на підставі розглянутих вище вексельних зловживань і правопорушень, а також враховуючи існуючі на практиці ситуації несплати за векселями, можна зробити висновок, що хоча сьогодні вексель і є засобом відстрочки сплати боргу за товарними угодами і засобом кредиту, він все ще залишається засобом неплатежу і незаконного отримання грошей.

3.2 Напрями подальшого розвитку вексельного ринку в Україні

вексель комерційний банк обіг

Можна впевнено сказати, що на сьогодні у Україні за допомогою вексельних програм здійснюються спроби розв'язання проблеми неплатежів, здійснення взаємозаліків заборгованості, а також розробляються і здійснюються інші фінансові програми. З його допомогою можна вирішувати важливі задачі і,зокрема, задачу реформування відносин власності. Властивості векселя як цінного паперу дозволяють максимально прискорити процеси приватизації, причому, насамперед, за рахунок нерентабельних підприємств-боржників. Юридична конструкція векселя як цінного паперу наділяє його можливостями більш ефективного виконання фінансових зобов'язань порівняно з іншими цивільними зобов'язаннями. За наявності досить конструктивного механізму переходу від фінансової відповідальності до майнової створюються умови, за яких векселі стають одним з дійових інструментів ринкової економіки. Але на перешкоді цьому стає низка факторів. Для ефективного функціонування вексельного обігу у будь-якій країні потрібна низка наступних обов'язкових умов [12]:

відносно стабільна політична та економічна ситуації в країні;

задовільний рівень інфляції;

наявність виробників і споживачів, які виробляють та споживають певний обсяг товарної продукції;

наявність і задовільний рівень розвитку фінансових інститутів;

спеціальне вексельне законодавство;

належний рівень економічної свідомості населення та підприємців, наявність кваліфікованих кадрів.

Для подальшого розвитку ринку векселів в Україні, доцільно здійснити певні заходи, спрямовані на захист прав векселедержателів, оскільки саме ці суб'єкти вексельного обігу є найменш захищені. На сьогодні в Україні не здійснюється будь-яка державна реєстрація випущених векселів. Не існує також обмежень щодо випуску векселів одним суб'єктом підприємницької діяльності. Це може призвести (і вже призвело) до випуску в обіг нічим не гарантованих векселів [5].

Але у першу чергу, на законодавчому рівні необхідна регламентація умов та розмірів оподаткування операцій з векселями, встановлення відповідальності за правопорушення, пов'язані з вексельним обігом, а також обмеження випуску векселів сумою сплаченого статутного фонду, резервного фонду або вартості чистих активів, або процентного співвідношення цих величин. Без здійснення вказаних заходів справне функціонування вексельного обігу в Україні вбачається досить проблематичним, а існуючі прогалини в законодавстві можуть призвести до значних зловживань, що у свою чергу, підірве довіру до векселя, як цінного паперу [10].

Однак, можна зі впевненістю прогнозувати, що по мірі посилення правового поля, яке б забезпечувало процедуру стягнення боргів за векселями, ліквідність українського вексельного ринку різко зросте, як і кількість векселів з твердими котировками.

Крім вищесказаних факторів, що сприятимуть розвитку вексельного обігу, до основних напрямків удосконалення можна віднести [3]:

1. підготовку пропозицій щодо вдосконалення порядку подання та систематизації звітності векселедавців за єдиною формою;

2. підготовку пропозицій щодо вдосконалення фінансової статистики у частині збору первинних даних з випуску, обігу та погашення векселів шляхом:

- внесення змін до реєстру виданих векселів щодо погашених та виданих векселів;

внесення змін до форми 2Б статистичної звітності.

3. підготовку законопроекту “Про внесення змін до деяких законів України з метою приведення національного законодавства, що регулює обіг векселів, у відповідність до Уніфікованого закону про переказні векселі та прості векселі шляхом внесення змін:

1) до ст. 14 Закону України “Про цінні папери та фондовий ринок” та до ст. 164 Господарського кодексу України у частині визначення векселя як короткострокового фінансового інструменту;

2) до ст. 4 Закону України “Про цінні папери та фондовий ринок” та ст. 197 Цивільного кодексу України у частині визначення видів індосаментів та прав, що з них випливають;

3) до Закону України “Про обіг векселів в Україні”:

- у частині визначення відповідальності за порушення умов видачі векселів;

- у частині випуску фінансових векселів банками та компаніями з управління активами;

- у частині уточнення видів протесту та порядку стягнення за векселем на підставі виконавчого документу та зобов’язання нотаріусів надавати інформацію стосовно опротестованих векселів до уповноваженої установи;

- у частині розширення кола осіб, які можуть відновити права на втрачений вексель;

- у частині зняття обмеження щодо внесення змін у текст векселя виключно векселедавцем [3].

Отже, рoзв’язання окреслених проблем сприятиме активізації вексельнoго обігу в Україні, залученню дешевих ресурсів із внутрішньoго ринку для фінансування короткотермінової заборгованості, що, в свою чергу, стимулюватиме рoзвиток фінансового ринку, а відтак сприятиме розвитку економіки країни загалoм.

ВИСНОВКИ

Узагальнюючи дану роботу, слід наголосити, що вексельний обіг становить собою складний економічно-правовий комплекс проблем, якій належить виважено вирішувати не тільки представникам державних органів але й банківській системі та суб’єктам підприємницької діяльності в цілому.

Вексель - це сучасний фінансовий інструмент, який має майже тисячолітню історію розвитку. У світовій практиці на основі досвіду утворилося 2 основних види векселів: простий та переказний, які активно використовуються економічними суб'єктами більшості країн світу. Один з найважливіших аспектів функціонування векселя - індосамент, що дає можливість здійснювати передачу векселя між різними суб'єктами економіки, забезпечуючи умови для обігу векселя, як засобу платежу.

У процесі становлення ринку та підвищення динамічності нашої економіки вексель знову опиняється в центрі уваги з цілого ряду причин: по-перше - він за своєю природою є цінним папером, який дозволяє оперативно вирішувати багато складних господарських та фінансових проблем; по-друге - комерційні банки та комерційні структури вже накопичили певний досвід проведення господарських операцій з використанням векселів; по-третє - вексель розглядається урядом України як один з головних засобів проведення взаєморозрахунків боргів підприємств і виходу з платіжної кризи; по-четверте - якщо взяти до уваги значну кількість нормативних актів, які регулюють порядок випуску та використання векселів, то можна стверджувати, що в Україні вже створена мінімально необхідна правова база, яка однак вимагає дуже детального доопрацювання та доповнення, у тому числі з точки зору її узгодження з чинним законодавством.

Щодо аналізу вексельного обігу банками групи Райффайзен Банк Інтернаціональ АГ, проведеного в другому розділі моєї курсової роботи , можна сказати, що векселі цією групою використовується в незначній часті взагалі боргових цінних паперів. А також є меншими у порівнянні з іншими проаналізованими країнами, що входять до визгаданої групи.

Такий стан в Україні зумовлений великою кількістю причин, що зумовлюють такий негативний розвиток і взагалі негативне ставлення до векселя, як до платіжного засобу. Таке ставлення супроводжується можливими правопорушеннями і зловживаннями операціями з векселями, а також рядом інших причин, які стримують розвиток вексельного обігу. Це також можуть бути недоліки і прогалини в законодавстві України, щодо регламентування векселів. Щодо використання векселів вітчизняними підприємствами, тут основним фактором є їх низька платоспроможність.

Для подальшого розвитку ринку векселів в Україні, доцільно здійснити певні заходи, спрямовані на захист прав векселедержателів, оскільки саме ці суб'єкти вексельного обігу є найменш захищені. На законодавчому рівні необхідна регламентація умов та розмірів оподаткування операцій з векселями, встановлення відповідальності за правопорушення, пов'язані з вексельним обігом, а також обмеження випуску векселів сумою сплаченого статутного фонду, резервного фонду або вартості чистих активів, або процентного співвідношення цих величин. Без здійснення вказаних заходів справне функціонування вексельного обігу в Україні вбачається досить проблематичним, а якщо існуючі прогалини в законодавстві, що призводять до значних зловживань, не виправити, то підірвана довіра до векселя, як цінного паперу, не зміниться.

СПИСОК ВИКОРИСТАНОЇ ЛІТЕРАТУРИ

1.   Васюренко О.В. Банківські операції: Навчальний посібник - 6-те вид., перероб. і доп. - К.: Знання,2008. Васюренко О.В. Банківські операції: Навчальний посібник - 6-те вид., перероб. і доп. - К.: Знання,2008

2.      Витвицкая, «Векселя и сертификаты: можно больше и лучше», // «Экономика и жизнь», 1994, № 47, с.6

.        Ємельянов А. Шляхи вдосконалення вексельного законодавства України // Право України. - 2008. - №3. - с. 52-56.

.        Мороз Р. Особливості операцій з векселями. // Юридична газета. - 2005 - №8 (44).

.        Мушинська І.С., Вексельний обіг в Україні: проблеми та рекомендації щодо їх вирішення//ЛНУ імені Івана Франка, -2011.

6.      Румянцев С. Фінансовий вексель як антикризовий інструмент / С. Румянцев // Цінні папери України. -2009. - № 31 (573). - С. 25.

7.   Рудненко Т. Вексельний обіг та перспективи використання фінансових векселів в Україні // Фінансовий ринок України. - 2009. - № 7-8. - с. 15-18

8.      Скочило Н. Вексельний обіг в Україні: проблеми становлення і розвитку// Українська наука: минуле, сучасне, майбутнє. - 2008. - №13. - с. 113-117.

9.      Супрунова А.К. Аналіз операцій з векселями банками Райффайзен Банк Інтернаціональ АГ// «Управління ризиком», №14(135) 2012.- УДК 336.717.6

.        Федосік І. М. Вексель - крок виходу з кризи / Федосік І. М., Асєєва А. О. // Вісник Університету банківської справу Національного банку України. - 2011. - № 1(10). - 196 с.

.        Андросова О.Ф., Череп А.В. Банківські операції: Навчальний посібник. - К.: Кондор, 2008.

12.    Асавелюк О.М., Сьомченков О.А. Векселі: Проблеми в Україні//Вінницький торговельно-економічний інститут КНТЕУ [Електронний ресурс]. - Режим доступу : http://intkonf.org/asavelyuk-om-somchenkov-oa-vekseli-problemi-v-ukrayini/

.        Міщенко В. І., Слав'янська Н.Г., Коренєва О.Г. Банківські операції: Підручник. - 2-ге вид., перероб. і доп. - К.: Знання, 2007.

.        Капран В.І., Кривченко М.С., Коваленко О.К., Омельченко С.І. Банківські операції: Навчальний посібник. - К.: Центр навчальної літератури, 2006.

15.    Закон України " Про державне регулювання ринку цінних паперів в Україні" із змінами, внесеними згідно із Законом N 801-VI ( 801-17 <javascript:OpenDoc('801-17');> ) від 25.12.2008.

.        Закон України "Про обіг векселів в Україні" із змінами, внесеними згідно із Законом N 364-IV ( 364-15 ) від 25.12.2002.

.        Закон України "Про цінні папери та фондовий ринок" із змінами, внесеними згідно із законом N 692-VI ( 692-17 <javascript:OpenDoc('692-17');> ) від 18.12.2008.

18. Офіційний сайт: Райфайзен Банк Аваль [Електронний ресурс]: Аналіз цінних паперів в Албанії //Raiffeisen Bank Sh.a.- Режим доступу : http://www.raiffeisen.al/.

19.    Офіційний сайт: Райфайзен Банк Аваль [Електронний ресурс]: Аналіз цінних паперів в Угорщині //Raiffeisen Bank Zrt.- Режим доступу: https://www.raiffeisen.hu/.

.        Офіційний сайт: Райфайзен Банк Аваль [Електронний ресурс]: Аналіз цінних паперів в Україні //Райффайзен Банк Аваль.- Режим доступу : http://www.aval.ua/.

Похожие работы на - Необхідність здійснення заходів щодо розвитку вексельного обігу в Україні

 

Не нашли материал для своей работы?
Поможем написать уникальную работу
Без плагиата!
Без нейросетей!