Небесномеханические аспекты задачи четырех тел

  • Вид работы:
    Дипломная (ВКР)
  • Предмет:
    Авиация и космонавтика
  • Язык:
    Русский
    ,
    Формат файла:
    MS Word
    939,73 Кб
  • Опубликовано:
    2013-02-11
Вы можете узнать стоимость помощи в написании студенческой работы.
Помощь в написании работы, которую точно примут!

Небесномеханические аспекты задачи четырех тел

Министерство образования и науки Российской Федерации

ФГБОУ ВПО "Ярославский государственный педагогический университет им. К. Д. Ушинского"

Кафедра информационных технологий и теории и методики обучения физике

Специальность 050203.65, физика с дополнительной специальностью





Выпускная квалификационная работа

на тему: "Небесномеханические аспекты задачи четырех тел"


Работа выполнена студентом

Кондратьевой Аленой Викторовной






Ярославль

г

Содержание

Введение

Глава I. Модельная задача четырех тел

1.1 Описание конфигураций небесных тел

1.2 Уравнения движения системы в инерциальной системе отсчета

1.3 Уравнения движения системы в неинерциальной системе отсчета

Выводы по главе I

Глава II. Небесномеханические аспекты задачи четырех тел

2.1 Исследование зависимости расстояния между основными телами системы от их массы и температуры тела m0

2.1.1 Оценка области местонахождения планет земного типа в тройной системе тел

2.1.2 Оценка области местонахождения планет земного типа в четырехкратной системе звезд

2.2 Исследование устойчивости точек либрации

2.2.1 Первая небесномеханическая модель движения частиц в дугах колец планет

2.2.2 Вторая небесномеханическая модель движения частиц в дугах колец планет

2.3 Исследование зависимости траектории тела малой массы от его начальной скорости

2.3.1 К проекту создания группировки космических станций в окололунном пространстве

Выводы по главе II

Заключение

Библиографический список

Приложение

 


Введение


Актуальность исследования небесномеханической задачи 4-х тел обусловлена ее многочисленными приложениями. В настоящее время исследование свойств траекторий различных динамических систем, выделение семейств хаотических и регулярных движений, доказательство интегрируемости или неинтегрируемости динамической системы - популярная тема исследований.

Актуальные объекты исследования (многочисленные приложения к модельной задаче) - экзопланетные системы, в частности, их динамика и устойчивость; траектории космических аппаратов со многими гравитационными маневрами у планет; астероиды, сближающиеся с Землей (не рассматривается в данной работе) и т. д..

Целью данной работы является исследование небесномеханических аспектов модельной задачи четырех тел.

Основные задачи, направленные на достижение цели:

)        Исследовать зависимость расстояния между основным телами системы от их массы и температуры тела m0. Рассмотреть тройную статическую систему тел и четырехкратную динамическую систему (центральную конфигурацию четырех тел). Для центральной конфигурации четырех тел записать уравнения движения в инерциальной и неинерциальной системе отсчета, вывести основные расчетные формулы (для модулей радиус-векторов, направленных от центра масс до основных тел системы, для квадрата угловой скорости, для расчета косинусов углов). Выведенные соотношения понадобятся в каждом аспекте задачи для расчета величин и для построения соответствующих графиков. В качестве приложения к этому аспекту задачи предполагается оценка области местонахождения экзопланет земного типа в устойчивых кратных системах звезд.

)        Исследовать устойчивость точек либрации (точек Лагранжа) в центральной конфигурации четырех тел. При разном соотношении масс компонент системы построить траектории движения тела, помещенного в начальный момент времени в одну из точек либрации. В качестве приложения предлагается использовать поиск устойчивых траекторий частиц в арках и дугах планет-гигантов.

)        Исследовать зависимость траектории тела малой массы m0 от его начальной скорости. Построить графики движения тела при разных значениях скоростей. Проанализировать результаты численных экспериментов. Приложение к данному аспекту задачи - транспортная система из трех окололунных космических аппаратов.

Метод исследования - численное интегрирование дифференциальных уравнений движения методом Рунге-Кутта четвертого порядка с использованием пакета прикладных программ MapleTM13. То есть, исследование динамических систем осуществляется численными методами. Используемые приемы: аналитическое описание физического процесса (движение небесных тел в ИСО и НСО), моделирование физических процессов с помощью прикладных программ.

Глава I. Модельная задача четырех тел

 

.1 Описание конфигураций небесных тел


В 2008 году появилось несколько интересных работ, посвященных центральным конфигурациям [1], [2]. Авторы этих работ рассмотрели новые центральные конфигурации, как правило, не уделяя внимания исследованию устойчивости этих динамических систем, определению соответствующих точек либрации, приложению этих динамических моделей для реальных небесномеханических систем.

В работе [3] исследованы центральные конфигурации N тел, но особое внимание обращается на устойчивые центральные конфигурации 4-х тел.

Рассмотрим четырехкратную гравитирующую систему тел. m1 -самое массивное тело системы, m2 = m3<m1, m0 - пробное тело, масса которого очень мала, и ею можно пренебречь. Тела m1, m2, m3 расположены в вершинах равностороннего треугольника со стороной а. Тело массой m0 лежит на прямой, соединяющей m1 и середину противолежащей стороны.

В поле тяготения больших масс есть особые точки, где пробное тело может находиться неограниченно долго, если его движение не возмущать, они называются точками либрации или точками Лагранжа. В начальный момент времени тело m0 лежит в точке либрации L1 (Рис. 1а).

Полагаем, что данная конфигурация является центральной, то есть расстояния между телами со временем не изменяются, и все они вращаются относительно центра масс с одной и той же угловой скоростью ω.

Рис. 1 (а, б). Центральные конфигурации четырех тел, где m1 - самое массивное тело, m2, m3 - два тела одинаковой массы, m0 - тело малой массы.

С - центр масс системы; R1, R2, R3, R0 - радиус-векторы от центра масс до тел; x, y - координатные оси; L1, L2 - точки либрации. Система равномерно вращается

Вторая конфигурация отличается от первой тем, что тело m0 в начальный момент времени лежит в точке либрации L2 (Рис. 1б).

 

.2 Уравнения движения системы в инерциальной системе отсчета


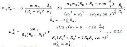
Запишем уравнения движения тел в инерциальной системе отсчета. Начало системы координат лежит в центре масс системы тел (С). Уравнения движения первого тела имеют вид:


Первое уравнение системы описывает гравитационные силы, действующие на тело массой m1 со стороны тел m2 и m3, второе уравнение - центробежные силы.

Выразим отсюда квадрат угловой скорости


Начало координат находится в центре масс системы, поэтому


В проекциях на ось Ox:


Из геометрии


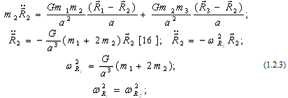
Для тела массой m2 (m3) справедливо


Исходя из этого равенства, учитывая (1.2.1) и (1.2.3)


Из уравнения (1.2.2), подставляя (1.2.4) и (1.2.5), выразим


Для тела малой массы запишем


Приравняем (1.2.1) и (1.2.6), получим уравнение для расчета R0


Получены основные расчетные формулы в инерциальной системе отсчета. Это выражения для расчета R1 (1.2.4), R2=R3 (1.2.5), R0 (1.2.8), ω2 (1.2.3), cos γ (1.2.6).

 

.3 Уравнения движения системы в неинерциальной системе отсчета


Для исследования устойчивости точек либрации L1 и L2 (в малой окрестности) нужно записать уравнения движения в неинерциальной системе отсчета (). Начало соответствующей системы координат Lxy лежит в точке либрации (См. Рис. 1 (а, б)).


Если среди корней характеристического уравнения, вытекающего из системы уравнений (1.3.1), нет корней с положительными вещественными частями, то точка либрации будет устойчивой, в противном случае - неустойчивой.

 


Выводы по главе I


В данной главе были рассмотрены две центральные конфигурации четырех тел (Рис. 1 (а, б)). Записаны уравнения движения системы в инерциальной системе отсчета, получены основные расчетные формулы: выражения для расчета R1 (1.2.4), R2=R3 (1.2.5), R0 (1.2.8), ω2 (1.2.3), cos γ (1.2.6). Записаны уравнения в неинерциальной системе отсчета (1.3.1). То есть, получены все необходимые выражения для дальнейших численных экспериментов.

Глава II. Небесномеханические аспекты задачи четырех тел

 

.1 Исследование зависимости расстояния между основными телами системы от их массы и температуры тела m0


Во времена Дж. Х. Джинса (1877 - 1946), известного английского астрофизика, в астрономии и космогонии господствовало представление о том, что планетные системы во Вселенной величайшая редкость, поскольку считалось, что они образуются в результате катастрофических сближений пар звезд, а такие звездные столкновения характеризуются чрезвычайно малой вероятностью (величина межзвездных расстояний огромна по сравнению с размерами звезд). Не случайно астрофизик И. С. Шкловский (МГУ) ставил задачу поиска планет около звезд первой в цепи грядущих фундаментальных проблем в одном ряду с такой грандиозной проблемой астрофизики, как сингулярность Вселенной.

С 1995 года до 2010 года вблизи других звёзд из наблюдений обнаружена 461 планета типа Юпитера и Сатурна. В настоящее время ещё не разработаны теоретические методы открытия внесолнечных планет. Значительный объём наблюдательной информации требует систематизации этих тел на основе физических законов и ставит задачу о разработке теоретических методов их происхождения и открытия.

Актуальность и фундаментальность проблемы поиска жизни во Вселенной [6] подтверждает открытие NASA (США) Института астробиологии в 1998 году. Его цель - исследование возможных проявлений жизни на других телах Солнечной системы и особенностей образования органических веществ, изучение живых существ, потенциально способных обитать на других небесных телах, а также другие вопросы, связанные с зарождением и развитием жизни в Метагалактике.

2.1.1 Оценка области местонахождения планет земного типа в тройной системе тел

Рассмотрим систему из трех небесных тел: две звезды, температуры и радиусы которых равны), и планета с температурой  и радиусом  соответственно (рис. 2). Предположим, что расстояние (2a) между звёздами не изменяется. Определим расстояние r(φ), при котором температура планеты равна заданному значению Tp.

Рис. 2. Система трех тел: Z1, Z2 - две звезды типа Солнца, P - планета земного типа

На основании закона Стефана - Больцмана, запишем


Произведем замену переменных


С учетом замены, уравнение примет вид


Находим корни квадратного уравнения (2.1.1.1), возвращаемся к прежним переменным и выражаем зависимость :


Полагая, что


Таб. 1. Расстояние (от начала координат) "планеты земного типа" с жидкой водой в системе двух звёзд, подобных Солнцу

φ˚

15˚

30˚

45˚

60˚

75˚

90˚

r/a(φ) при β(Tp1)

5,90036

5,87816

5,81720

5,73297

5,64761

5,58440

5,56111

r/a(φ) при β(Tp2)

4,36966

4,34012

4,25866

4,14523

4,02926

3,94268

3,91062


Используя данные таблицы 1, строим график функции (2.1.1.2) - (φ) при  и при  в полярных координатах.

Рис. 3. Область, заключенная между двумя эллипсами, является зоной местонахождения планет, пригодных для жизни земного типа (по температуре на поверхности)

 

.1.2 Оценка области местонахождения планет земного типа в четырехкратной системе звезд

Рассматриваем центральную конфигурацию Рис. 1 (а). В данном приложении к задаче m1 - скопление звезд, m2 , m3 - две звезды типа Солнца, m0 - экзопланета.

Произведем поиск изотермических областей с температурами  и  - практически предельными для земной жизни. Найдём расстояния между основными телами (а1 и a2) для этих значений температур.

Рассмотрим три случая отношения масс компонент системы:

1. m2=m3=m sun; m1=368m sun (планета, две звезды типа Солнца и рассеянное скопление звёзд - типа Солнца). Из уравнения теплового баланса, принимая альбедо планеты A=0.3, с учётом закона Стефана - Больцмана и известной светимости Солнца ; находим для , =35.39327 а. е.; для , =16.87100 а. е..

2. m2=m3=m sun; m1=106 m sun (планета, две звезды типа Солнца и шаровое скопление звёзд - типа Солнца). Аналогично случаю 1, находим расстояния a1,2 при . =13000.17067 а. е.; =6196.81467 а. е..

3. m2=m3=m sun; m1=2*1011 m sun (планета, две звезды типа Солнца и галактика, состоящая из звезд типа Солнца). = 579328.6667 а. е.; = 276149.3333 а. е..

При увеличении отношения m1/m2 параметр а (сторона треугольника) увеличивается.

Область местонахождения экзопланет земного типа все более отдаляется от центра масс системы тел.

В трех случаях были рассчитаны расстояния между телами при двух критических температурах. При изображении двух треугольников в одной системе координат, получится область, заключенная между внешним и внутренним треугольником. Она и является зоной местонахождения экзопланет земного типа.

 

.2 Исследование устойчивости точек либрации


В XX столетии кольца, состоящие из пыли и каменисто-ледяных малых тел, диаметром менее 10 метров, были обнаружены около всех планет-гигантов. Кроме того, все планеты-гиганты обладают системами колец [4]. Простые аналитические модели движения этих небесномеханических систем не найдены [9, 10]. Авторы работ [7] и [8] предлагают использовать различные модели центральных конфигураций для удовлетворительного описания данных динамических систем. Будем рассматривать две центральные конфигурации: Рис. 1 (а) и Рис. 1 (б).

На основании методов и теорем А. М. Ляпунова значение центральной массы, при которой среди корней Ω характеристического уравнения, вытекающего из системы уравнений (1.3.1),


нет корней с положительными вещественными частями, mmax/mmin = 367.0540108. Движение тела m0 будет устойчивым при отношении масс m1/m2 > 367 [3].

 

.2.1 Первая небесномеханическая модель движения частиц в дугах колец планет

Исследуем устойчивость точки либрации L1 [5]. Рассмотрим Рис. 1 (а). Для проведения численных экспериментов ( численное интегрирование системы уравнений (1.3.1) методом Рунге-Кутта 4 порядка, с использованием пакетов прикладных программ "MAPLETM13") за единицу длины выберем расстояние между телами a, за единицу массы примем массу второго тела m2=m3, за единицу времени возьмём такое значение, при котором гравитационная постоянная G=1. При начальных условиях и отношении масс m1/m2 = 365, точка либрации L1 является неустойчивой.

На Рис. 4 показано, что тело с нулевой массой m0 (частица), удаляясь от точки либрации L1, может перейти на траекторию временного спутникового захвата вокруг тела m3 (спутник), сблизиться с телом массы m2 (спутник) и снова сблизиться с точкой либрации L1.

Рис. 4. Неустойчивое движение тела частицы массой m0 в окрестности точки либрации L1 при m1/m2=365. R1=0.004719484, R2=0.9959156, ω2=367.00000, t=38 единиц времени (число оборотов основных тел 115, 86)

При тех же начальных условиях, но при отношении масс m1/m2 = 370, движение частицы происходит только в малой окрестности точки L1.(рис. 5, 6).

Рис. 5. Устойчивое движение частицы массой m0 в окрестности точки либрации L1 при m1/m2=370. t=5 единиц времени (число оборотов основных тел 15.348)

В системе Lxy частица, после удаления от точки либрации, периодически возвращается к ней. R1=0.0046566050, R2=0.9959704627, ω2=372.00000, RL =0.9968581786.

Рис. 6. Устойчивое движение частицы массой m0 в окрестности точки либрации L1 при m1/m2=370. t=400 единиц времени (число оборотов основных тел 1227.87). R1=0.0046566050, R2=0.9959704627, ω2=372.00000, RL =0.9968581786

Исходя из проведенных численных экспериментов, можно сделать вывод о том, что точка либрации L1 является устойчивой.

 

.2.2 Вторая небесномеханическая модель движения частиц в дугах колец планет

Исследуем устойчивость точки либрации L2 [11]. Рассмотрим центральную конфигурацию Рис. 1 (б). Для нее справедливы формулы для вычисления R1 (1.2.4), R2=R3 (1.2.5), ω2 (1.2.3). Уравнение движения частицы m0, помещенной в точку либрации L, в инерциальной системе координат (С) имеет вид (2.2.2.1)


Уравнения движения в неинерциальной системе отсчета будут иметь вид (1.3.1). Система координат Lxy равномерно вращается с угловой скоростью ω; m2=m3=1; G=1; a=1; x(0)=y(0)=0; (dx/dt)0=(dy/dt)0=10-9 ед. скорости; t=20 ед. времени; (x2, y2 ), (x3, y3 ) - координаты тел с массами m2, m3 в системе Lxy; y2 = y3 = 0.5.

Рис. 7. m1/m2=1100, ω2=1102, R/a = 1.0005993527, R1 = 0.0015717339,2 = R3 = 0.9986391476, x2=x3=-1.8650530225. Хаотическое движение частицы массой m0 при данном отношении масс

Рис. 8. m1/m2=1250, ω2=1252, R/a =1.0005275542, R1 = 0.0013834272,

2 = R3 = 0.9988021565, x2=x3=-1.8651695309

Рис. 9. m1/m2=1300, ω2=1302, R/a =1.0005072973, R1 = 0.0013303002,

2 = R3 = 0.9988481477, x2=x3=-1.8652024009

При таком отношении масс (Рис. 9, 10) движение частицы упорядоченно.

Рис. 10. m1/m2=10000, ω2=10002, R/a =1.0000660438, R1 = 0.0001731705,2 = R3 = 0.9998500338, x2=x3=-1.8659182771

Из численных экспериментов видно, что точка либрации L2 является неустойчивой.

При дальнейшем увеличении отношения масс m1/m2, область движения тела с нулевой массой (частицы на дуге кольца) будет сужаться. Поиск дуг колец в планетарных системах с устойчивыми орбитами, должен производиться при заметном различии масс планеты и ее спутников (m1/m2 > 1000).

Рассмотренную модель движения пробной частицы предлагается использовать для описания особенностей строения кольцевых структур планет-гигантов.

 

.3 Исследование зависимости траектории тела малой массы от его начальной скорости


2.3.1 К проекту создания группировки космических станций в окололунном пространстве

На ближайшие десятилетия намечено активное освоение Луны.

Во-первых, на прошедших в Москве XXXV Академических чтениях по космонавтике ("Королёвские чтения"), ГКНПЦ имени М.В.Хруничева представил весьма амбициозные планы покорения космоса. В программе, рассчитанной на 30 лет, прописано полноценное освоение Луны и Марса. По мнению специалистов ведущего космического предприятия России, завоевание других планет должно начаться с создания сборочной платформы на низкой околоземной орбите. Следующий этап - развертывание лунной орбитальной станции (ЛОС). База на орбите естественного спутника позволит исследовать Луну и управлять автоматами на ее поверхности без запаздывания сигнала. В наиболее интересных с точки зрения науки областях Луны будут созданы посещаемые базы. Со временем базы станут постоянно обитаемыми, начнется следующий этап - развертывания промышленности, с целью использования местных ресурсов для жизнеобеспечения космонавтов и заправки кораблей.

Во-вторых, один из двух билетов в первый коммерческий космический полет вокруг Луны на российском пилотируемом корабле "Союз" продан. Глава компании Space Adventures Эрик Андерсон отметил, что первый коммерческий пилотируемый космический полет к Луне и обратно на корабле "Союз" состоится примерно в 2015 году.

В-третьих, осенью была опубликована подробная карта распределения воды на Луне, составленная по данным прибора LEND, сконструированного российскими учеными. Сейчас готовится экспедиция к воде в приполярных областях. Впервые за тридцать с лишним лет Россия летит на Луну.

Исходя из вышесказанного, исследования в данной области в настоящее время весьма актуальны.

Вновь обратимся к центральной конфигурации на Рис. 1 (а) [5]. В данном приложении m1 - Луна, m2, m3 - две космические станции, m0 - космический аппарат (КА). Возьмем отношение масс m1/m2=106 (движение тела в окрестности точки либрации L1 будет устойчивым) и исследуем зависимость максимального смещения (отклонения от положения равновесия) устойчивой точки либрации L1 от величины dx/dt=dy/dt (начальной скорости тела). Исследуем траектории движения КА вблизи устойчивой точки либрации L1 при разной начальной скорости тела.

Рис. 11. Траектории движения спутника вблизи устойчивой точки либрации в зависимости от его начальной скорости.

dx/dt=dy/dt изменяется от 10-10 до 10-2 ед. скорости (9 графиков)

Таб.2. Обобщение полученных результатов

Скорость, v (ед. скорости)

Время, t (ед. времени)

Число оборотов, N

xmax (ед. длины)

ymax (ед. длины)

10-10

14

2228,17

3*10-11

9*10-11

10-9

14

2228,17

2,5*10-11

4*10-10

10-8

14

2228,17

5*10-11

3,5*10-9

10-7

14

2228,17

4*10-10

3,3*10-8

10-6

4

636,62

3,8*10-8

4*10-7

10-5

3

477,47

6,5*10-8

3,5*10-6

10-4

2

318,31

4,5*10-7

3,5*10-5

10-3

159,16

4,3*10-6

3,5*10-4

10-2

1

159,16

4,25*10-5

3,5*10-3

Рис. 12. График зависимости смещения по оси OY от начальной скорости (в логарифмическом масштабе)

планета либрация космический окололунный

Рис. 13. График зависимости смещения по оси OX от начальной скорости (в логарифмическом масштабе)

Рис. 14. "Сглаживание" графика (логарифмический масштаб)

С ростом начальной скорости увеличивается площадь, которую "заполняет" тело (КА) при движении. Но из-за малого времени движения, траектории тела покрывают площадь неоднородно. При скорости dx/dt=10-5 наблюдается выпавшее значение X, полученный результат пока не нашел объяснения. На основе рассмотренной модели, представляющей собой центральную конфигурацию четырех тел, возможно прогнозирование и получение траекторий движения КА (спутника) вблизи точек либрации в похожих системах тел. Полученные результаты предлагается использовать при полетах КА, проводящихся с целью исследования и дальнейшего освоения Луны.

 

Выводы по главе II


В главе II представлены некоторые аспекты задачи четырех тел и найдены их возможные приложения.

аспект 1: Исследование зависимости расстояния между основными телами системы от их массы и температуры тела m0 (приложение - оценка области местонахождения планет земного типа в тройной и четырехкратной системах тел);

аспект 2: Исследование устойчивости точек либрации (приложение - движение частиц в дугах колец планет);

аспект 3: Исследование зависимости траектории тела малой массы от его начальной скорости (приложение - к проекту создания группировки космических станций в окололунном пространстве).

Заключение


В ходе выполнения работы были получены следующие результаты:

)        исследована зависимость расстояния между основным телами системы от их массы и температуры тела m0;

)        исследована устойчивость точек либрации;

)        исследована зависимость траектории тела малой массы от его начальной скорости.

Найдены решения данных задач. Подобраны соответствующие приложения к каждому из рассмотренных аспектов, сделаны выводы. В результате работы реализована поставленная цель.

Библиографический список


.        Aribas M. et. al. Homographic solutions in the planar n + 1 body problem with quasi-homogeneous potentials // Celestial Mechanics, 2007. V. 99. N 1. P. 1 - 12.

.        Marshal, H., Manuele, S. Seven-body central configurations: a family of central configurations in the spatial seven-body problem // Celestial Mechanics, 2007. V. 99. N 4. P. 293-305.

.        Perov, N. I., Medvedev, Yu. D. Central configurations of N bodies as models of secondary coorbital planets and planetary rings. Abstr. of 39-th Lunar-Planetary Science Conference (Houston, USA, March, 2008). Houston: LPI, 2008. Abstr. N 1029.

.        Planetary Fact Sheets [Электронный ресурс]. URL : http://nssdc.gsfc.ov/ planetary/ factsheet (дата обращения 22.04.2011).

.        Perov N. I., Kondratieva A. V. Localization of boundaries of life of the Earth’s type in the star clusters // Abstr. of the 41-st Lunar- Planetary Science Conference (The Woodlands, Texas, USA, March 1-5, 2010). Abstract #1028.

6.      Радзиевский, В. В., Перов, Н. И. Фундаментальная проблема астрофизики [Текст] // Ярославский педагогический вестник. Ярославль: ЯГПУ, 2002. №1. (30). С. 142-148.

7.      Corbera, M., Cors, J. M., Llibre, J. On the central configurations of the planar

.        1 + 3 body problem // Celestial Mechanics and Dynamical Astronomy. 2011. V. 109. N. 1. P. 27-43.

.        Winter A. The Analytical Foundations of Celestial Mechanics. Prinston. New York, 1941.

10.    Горькавый, Н. Н., Тайдакова, Т. А. Многокомпонентный эпитон и Галатея [Текст] // Н. Н. Горькавый, Т. А. Тайдакова // Письма в астрономический журнал - 1993. - Т. 19, № 4.- С. 375-384.

.        Горькавый, Н. Н., Фридман, А. М. Физика планетных колец: небесная механика сплошной среды [Текст] // Н. Н. Горькавый, А. М. Фридман. -

.        М.: Наука, 1994. - 348 с.

.        Медведев, Ю. Д., Перов, Н. И. Ограниченная задача четырех тел. Случай центральной конфигурации: точки либрации, устойчивость [Текст] // Ю. Д. Медведев, Н. И. Перов // Письма в астрономический журнал РАН. - 2008. - Т. 34, № 5. - С. 392-400.

.        Перышкин, А. В., Гутник, Е. М. Физика 9 класс [Текст]. - М: Дрофа, 2005. 58 - 61 с.

.        Касьянов, В. А Физика 10 класс [Текст]. - М: Дрофа, 2003. 108 - 111 с., 163 - 168 с.

.        Левитан, Е. П. Астрономия 11 [Текст]. - М: Просвещение, 2006. 35 - 40 с.

.        Рымкевич, А. П. Задачник 10-11 классы [Текст]. - М: Дрофа, 2006. 169 - 180 с.

.        Рой, А. Движение по орбитам [Текст]. - М.: Мир, 1981. 139 - 142 с.

.        Дубошин, Г. Н. Небесная механика. Основные задачи и методы [Текст]. - М.: Наука, 1975. 387 - 417 с., 575 - 777 с.

.       

Приложение

 

Список публикаций Кондратьевой А.В.

Наименование работы

Характер работы

Выходные данные

Объем

Соавторы

1

5 раздел: Поиск устойчивых орбит в "зоне жизни" для частных случаев задачи N тел (N≥3)

Рук.

5 раздел отчета по проекту - по Государственному контракту № П539 "Разработка теоретических методов локализации в пространстве-времени неоткрытых небесных тел (I этап: интегрируемые в замкнутой форме новые модельные задачи небесной механики)" Федеральной целевой программы "Научные и научно-педагогические кадры инновационной России на 2009-2013 годы". Направление: "Астрономия, астрофизика, исследования космического пространства". Вид отчета: промежуточный. Научный руководитель: кандидат физико-математических наук, доцент, Перов Н. И. С. 70-76.

7 с

Перов Н.И.

2

Localization of boundaries of life of the earth’s type in the star clusters (тезисы)

www.lpi.usra.edu (PDF- формат)

41th Lunar and Planetary Science Conference. League City, Texas. March, 2010. http://www.lpi.usra.edu/meetings/lpsc2010/pdf/1028 .pdf

2 с

Перов Н.И.

3

On habitability of exoplanetary systems (тезисы)

www.lpi.usra.edu (PDF- формат)

Astrobiology Scientist Conference. Evolution and life, surviving catastrophes and extremes on Earth and beyond. League City, Texas. April, 2010. http://www.lpi.usra.edu/meetings/abscicon2010/pdf/5032.pdf

2 с

Перов Н.И.

4

www.sworld.com.ua Печ.

Сборник материалов международной научно - практической конференции "Современные проблемы и пути их решения в науке, транспорте, производстве и образовании’2009". Одесса: Научно-исследовательский проектно-конструкторский институт морского флота Украины, Одесский национальный морской университет, 2009. Том 22 "Физика и математика, география". С.38-41. http://www.sworld.com.ua/konfer17/260.htm

4 с

Перов Н.И.

5

Поиск жизни земного типа на планетах с устойчивыми орбитами в скоплениях звёзд

Печ.

Материалы конференции  "Чтения Ушинского" физико-математического факультета ЯГПУ. "Математика и физика, экономика и технология и совершенствование их преподавания". Ярославль: ЯГПУ им. К.Д.Ушинского, 2010. Часть I. Раздел II "Физика и астрономия". С.66-73.

7 с

Перов Н.И.

 6

Метод поиска планет земного типа в звездных скоплениях (тезисы)

Печ.

Вестник студенческого научного общества. Материалы 65-й студенческой конференции. Ярославль: ЯГПУ им. К.Д. Ушинского, 2010. Физико-математический факультет. Физика и математика. С.34-36.

2 с.

__

7

Поиск планет земного типа в звездных скоплениях (тезисы)

Печ.

Сборник материалов 63-й региональной научно-технической конференции студентов, магистрантов и аспирантов высших учебных заведений с международным участием, посвященная 1000-летию Ярославля (тезисы докладов). Ярославль: ЯГТУ,2010. Часть I. Секция "Физика и математика". С. 257.

1 с.

__

8

Поиск жизни земного типа в центральной конфигурации многих тел

Печ.

Сборник лучших студенческих научных работ городского конкурса "Ярославль на пороге тысячелетия". Ярославль, 2010. Научное направление "Физика и астрономия". С.24-27.

4 с.

__

9

Поиск жизни земного типа в устойчивых кратных системах звезд

Печ.

Межвузовский сборник научных и научно-методических трудов (посвященный 85-летию со дня рожденья Г.И.Малаховой) "Инновационная деятельность в астрономии, астрономическом образовании и просвещении". Ярославль: ЯГПУ им. К.Д.Ушинского, 2010. С.128-139.

10 с.

Перов Н.И.

10

On the model of motion of the giant planets rings arcs (тезисы)

www.lpi.usra.edu (PDF- формат)

42th Lunar and Planetary Science Conference. League City, Texas. March, 2011. http://www.lpi.usra.edu/meetings/lpsc2010/pdf/1685.pdf

2 с.

Перов Н.И.

11

Поиск устойчивых траекторий частиц в арках и дугах планет - гигантов численными методами

Печ.

Материалы конференции "Чтения Ушинского" физико-математического факультета ЯГПУ. "Математика и физика, астрономия, экономика и технология и совершенствование их преподавания". Ярославль: ЯГПУ им. К.Д.Ушинского, 2011. Часть I. Раздел II "Астрономия". С. 96 - 107.

11 с.

Перов Н.И.

12

2 раздел: Поиск устойчивых орбит в "зоне жизни" для частных случаев задачи N тел (N≥3): аналитические и численные методы

Рук.

2 раздел отчета по проекту - по Государственному контракту № П539 "Разработка теоретических методов локализации в пространстве-времени неоткрытых небесных тел (II этап: исследование центральных конфигураций: поиск новых центральных конфигураций, точек либрации и исследование их устойчивости)" Федеральной целевой программы "Научные и научно-педагогические кадры инновационной России на 2009-2013 годы". Направление: "Астрономия, астрофизика, исследования космического пространства". Вид отчета: промежуточный. Научный руководитель: кандидат физико-математических наук, доцент, Перов Н.И. С. 72-79.

10 с.

Перов Н.И.

13

Эксплуатация Луны с помощью связки спутников (тезисы)

Печ.

Сборник материалов 64-й региональной научно-технической конференции студентов, магистрантов и аспирантов высших учебных заведений с международным участием (тезисы докладов). Ярославль: ЯГТУ, 2011. Часть I. Секция "Физика и математика". С. 295.

1 с.

__

14

Unstable motion and regular orbits of Lunar artificial satellites for monitoring of the Moon (тезисы)

Печ.

International astronomical congress "ASTROKAZAN-2011". August 22-30, Kazan, Russia. (Russian Academy of Science. Government of the Republic of Tatarstan. Tatarstan Academy of Science. Kazan Federal University. Russian Foundation for Basic Research). Казань: изд-во Казанского федерального университета, 2011. С. 255-257.

2 с.

Перов Н.И.

15

Модель движения дуг колец планет

Печ.

Ярославский педагогический вестник. №2. том 3 (естественные науки). Ярославль: ЯГПУ им. К.Д.Ушинского, 2011. С. 12-15.

3 с.

Перов Н.И.

Мониторинг Луны с помощью связки спутников (тезисы)

Печ.

Сборник трудов научно-практической конференции "Инновации в науке, производстве и образовании". Рязань: РГУ им. С.А.Есенина, 2011. Секция "Проблемы экологии. Экология космического пространства". С. 226 - 227.

1 с.

___

17

Метод поиска малых тел в небесно-механической системе 4-х тел

Печ.

Коллективная монография (Посвящается 100-летию со дня рождения В.В.Радзиевского) "Теоретические методы локализации в пространстве - времени неоткрытых небесных тел". Ярославль: ЯГПУ им. К.Д.Ушинского, 2011. С. 115 - 130.

15 с.

Перов Н.И.

18

Транспортная система из трех окололунных космических аппаратов

Гот. к печ.

Материалы конференции "Чтения Ушинского" физико-математического факультета ЯГПУ. "Математика и физика, астрономия, экономика и технология и совершенствование их преподавания". Ярославль: ЯГПУ им. К.Д.Ушинского, 2012. Часть I. Раздел II "Астрономия". С. .


Перов Н.И.

 19

Метод поиска планет земного типа в звездных скоплениях (тезисы)

Печ.

Вестник студенческого научного общества. Материалы 65-й студенческой конференции. Ярославль: ЯГПУ им. К. Д. Ушинского, 2010. C. .

2 с.

___

20

К проекту создания группировки космических станций в окололунном пространстве (тезисы)

Гот. к печ.

Вестник студенческого научного общества. Материалы 67-й студенческой конференции. Ярославль: ЯГПУ им. К. Д. Ушинского, 2012. C. .

2 с.

___

21

Транспортная система из трех окололунных космических аппаратов (тезисы)

Гот. к печ.

Материалы XV Всероссийских чтений - конкурса памяти С. А. Каплана. Н. Новгород: ПОЦАКО, 2012. С. .

2 с.

___


Похожие работы на - Небесномеханические аспекты задачи четырех тел

 

Не нашли материал для своей работы?
Поможем написать уникальную работу
Без плагиата!
Без нейросетей!