Адреналин
------
Universität---------
Sympathoadrenerges
System und Katecholamine im Sport
Dozent:
Hr. Dr.----------
HS:
---------------
Referent:
----------
Imtr.Nr.(--):
-------- --------- den 31.03.2004
Bei körperlicher Arbeit oder bei
einer intensiven sportlichen Belastung kann der Energiebedarf einzelner
besonders beanspruchter Muskeln auf das Zweihundertfache des Ruhewertes
ansteigen, was zu einer entsprechenden Erhöhung des Sauerstoff- und
Energiebedarfs führt. Um diesen gesteigerten Bedarf zu decken, müssen
sich alle Versorgungssysteme des Körpers auf die Belastungssituation
umstellen. Das Herz muss schneller und kräftiger schlagen, die Lunge muss
tiefer und schneller atmen, die Gefäße der arbeitenden Muskulatur
müssen sich erweitern usw.
Die Regelung all
dieser Anpassungsvorgange übernimmt das vegetative Nervensystem, dessen
oberstes Integrations- und Befehlszentrurn im zentralen Nervensystem der
Hypothalamus ist.
Das periphere
vegetative Nervensystem besteht aus zwei anatomisch und funktionell weitgehend
getrennten Anteilen, dem Sympathikus und dem Parasympathikus.
Für die
Anpassungsvorgänge der inneren Organe an akute sportliche
Belastungssituationen spielt der Sympathikus die wichtigere Rolle, während
manche Trainingsveränderungen dem Parasympathikus zugeschrieben werden.
Anatomische Grundlagen
Die vegetativen
Zentren des Sympathikus liegen im Rückenmark der Brustwirbelsäule und
der oberen Lendenwirbelsäule. Die kurzen Fasern der sympathischen Neurone
verlassen das Rückenmark durch die Zwischenwirbellöcher und enden an
den Ganglien (Nervenzellansammlungen) des Grenzstranges. Der Grenzstrang verbindet
die 22 rechts und links der Wirbelsäule angeordneten Ganglienknotenpaare
durch längs verlaufende Nervenstränge.
Ein Teil der sympathischen
Fasern zieht durch die Grenzstrangganglien hindurch und endet in den
sogenannten terminalen Ganglien, dessen bekanntestes das Sonnengeflecht ist.
Das Sonnengeflecht liegt in der Tiefe der Magengegend und versorgt sympathisch
sämtliche Organe der Bauchhöhle. Bei Gewalteinwirkung auf das
Sonnengeflecht kommt es zur Bewusstlosigkeit infolge reflektorischer
Fehlschaltungen der Blutverteilung (wahrscheinlich K. O. beim Boxen).
Übertragungswege
Während die
präganglionaren Fasern ihre Impulse in den Ganglien mit Hilfe des
Azetylcholins auf die postganglionären Fasern übertragen,
kontrollieren die postganglionären Fasern das Erfolgsorgan durch einen
anderen Überträgerstoff, das Noradrenalin.
Wenn das zentrale
Nervensystem die Ausführung einer Bewegung plant, informiert es sofort die
vegetativen Zentren über diese Absicht. So kamt es schon vor dem Start zu
entsprechenden Funktionsanpassungen der inneren Organe kommen, die man
zusammengefasst als zentrale Mitinnervation bezeichnet.
Die durch das
vegetative Nervensystem ausgelösten Umstellungsvorgänge
(Herzfrequenzsteigerung, Blutdrücksteigerung, Atemfrequenzsteigerung,
Blutumverteilung usw.)
Im Zusammenhang mit
der Aktivität des sympathischen Anteils des vegetativen Nervensystems
spielt das Nebennierenmark eine besondere Rolle. Das Nebennierenmark ist
ein umgewandeltes sympathisches Ganglion, aus dem in Notfallsituationen
(Blutverlust, Unterkühlung, extreme körperliche Belastung)
große Mengen von Adrenalin (80 Prozent) und Noradrenalin (20 Prozent),
die man zusammen als Katecholamine bezeichnet, in die Blutbahn
ausgeschüttet werden. Adrenalin und Noradrenalin werden von verschiedenen
NNM-Zellen produziert. Die Ruheausschüttung beträgt etwa
8—10 ng je kg Körpergewicht und Minute. Sie ist zentralnervös bedingt
und hängt von der Ruheaktivität in den präganglionären
Fasern ab. In Körperruhe sind über 80% der zirkulierenden Katecholamine
sulfatgebunden. Während der Arbeit vermindert sich dieser Prozentsatz aus
unbekannten Gründen.
Wirkungen der Katecholamine aus dem NNM
Der Reiz für
Katecholaminfreisetzung aus dem Nebennierenniark ist immer ein Impuls aus den
präganglionären sympathischen Fasern bei erhöhter
Sympathikusaktivität, die wiederum zentral durch den Hypothalamus
gesteuert wird.
Diese sind
normalerweise wahrscheinlich nur für Organe oder Organbereiche wichtig,
die wenig oder nicht durch postganglionäre Neurone innerviert sind (z. B.
Arterien mit großem Durchmesser). Für Organe mit dichter noradrenerger
Innervation (z. B. kleine Arteriolen) spielt sie kaum eine Rolle, weil relativ
wenige extrasynaptische Adrenozeptoren vorhanden sind. Die aus dem
Nebennierenmark ausgeschütteten Katecholamine scheinen überwiegend
der Regulation metabolischer Prozesse zu dienen. Sie mobilisieren
katalytisch freie Fettsäuren aus Fettgewebe, ferner Glukose und
Laktat aus Glykogen. Die Katecholamine des NNM sind also in ersten Linie
als Stoffwechselhormone zu betrachten. Diese metabolischen Wirkungen der
Katecholamine werden durch (ß) -Adrenozeptoren vermittelt.
In
Notfallsituationen, wie bei Blutverlust, Unterkühlung,
Hypoglykämie, Hypoxie, Verbrennung oder bei extremer körperlicher
Belastung, erhöht sich die Ausschüttung von Katecholaminen aus dein
NNM.
Die Reaktionen der
Effektororgane, die in Notfallsituationen und bei starkem emotionalem Stress
durch die Aktivierung der postganglionären sympathischen Neurone und des
NNM zustande kommen, werden auch Notfallreaktionen genannt. Während
dieser Reaktionen scheinen nahezu alle Ausgänge des sympathischen Nervensystems
einheitlich aktiviert zu werden. Deshalb spricht man in diesem
Zusammenhang auch vom svtnpathikaadrenalen System. Diese einheitliche
Reaktion des sympathischen Nervensystems unter Extrembedingungen wird besonders
vom Hypothalamus ausgelöst, z.B. beim Abwehrverhalten.
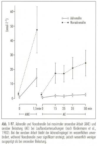
Es bestehen enge
Beziehungen zwischen dem belastungsbedingten Anstieg des Lactatspiegels im
arteriellen Blut und der Zunahme von Noradrenalin und Adrenalin. Der
belastungsbedingte Anstieg des Noradrenalins entstammt vermutlich dem Skelettmuskel.
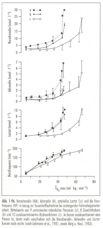
Bei intensiver Arbeit kleiner Muskelgruppen mit entsprechend geringer maximaler
Sauerstoffaufnahme steigen die Katecholamine höher an als bei der Arbeit
mit großen Muskelgruppen mit hoher maximaler 02-Aufnahme. Der
Plasma- Adrenalinaufstieg ist in Relation zu dem des Noradrenalin bei
statischer Arbeit stärker als bei dynamischer. Bei konstanter
Größe der Sauerstoffaufnahme steigen Noradrenalin und besonders
Adrenalin bis zum Zeitpunkt der Erschöpfung an. Auch bei Hypoxie nimmt auf
gegebenen Belastungsstufen und damit unveränderter Größe der
Sauerstoffaufnahme der Katecholaminspiegel stärker zu als unter
Normalverhältnissen. Umgekehrt bewirkt Hyperoxie eine geringe Reduzierung
des Katecholaminspiegels.
Bei der
allgemeinen aeroben Langzeitausdauer nimmt die hormonelle Regulation eine
zentrale Bedeutung ein. Die Katecholamine Adrenalin, Noradrenalin und
Dopamin steigen in Abhängigkeit von der Belastungsintensität und
-dauer an. Die Arbeitsreaktion wird auch von der Körpertemperatur
beeinflusst, welche vor allem Noradrenalin zunehmen lässt. Bei Frauen
fällt die Belastungsreaktion in der Follikelphase höher aus als in
der Lutealphase.
Während
Adrenalin vornehmlich die Glykogenolyse und die Glukoneogenese in der
Muskulatur und in der Leber sowie die Lipolyse im Muskel- und Fettgewebe
bewirkt, ist Noradrenalin vornehmlich für die Lipolyse im Fettgewebe
verantwortlich, weniger in den Muskelzellen. Zusätzlich fördert es
die muskuläre Glukoseaufnahme.
Zur
Katecholaminfreisetzung kommt es nicht nur, wenn das sympathische Nervensystem
die Organsysteme des Körpers auf die Abwehr äußerer
Belastungssituationen vorbereitet, sondern auch bei emotionaler Belastung. Es
ist denkbar, dass durch zu oft auftretende emotionale Belastungen
(Stress-Situationen) im Alltag und Berufsleben der Katecholaminspiegel im Blut
oft unnötig ansteigt und so das Entstehen verschiedener Erkrankungen
begünstigt.
Parasympathikus
Die vegetativen
Zentren des Parasympathikus liegen im Hirnstamm und im Sacralmark. 75 Prozent
der parasympathischen Nervenfasern verlassen den Hirnstamm mit dem 10.
Gehirnnerv, dem Vagus. Deswegen wird der Parasympathikus oft
vereinfachend als Vagus bezeichnet.
Die Umschaltstellen —
die Ganglien des Parasympathikus liegen in der Nähe oder sogar innerhalb
der Erfolgsorgane. Überträgerstoff des parasympathischen
Nervensystems ist das Acetylcholin, und zwar an den präganglionären
wie an den postganglionären Nervenendigungen. Die meisten inneren Organe
werden sowohl vom Sympathikus als auch vom Parasympathikus innerviert. Die
Wirkung des Parasympathikus ist derjenigen des Sympathikus zumeist
entgegengesetzt. So fördert zum Beispiel der Parasympathikus den Aufbau
der Energiereserven in der Leber und in der Muskulatur. er intensiviert die
Verdauungsvorgänge und ökonomisiert die Herzarbeit.
Während bei
körperlicher Arbeit der Sympathikuseinfluss auf alle Organe
überwiegt, ist die Aufgabe des Parasympathikus die schnelle
Wiederauffüllung des Energiedepots und die Einregulierung der
Organfunktionen auf die Ausgangsleistung. Deswegen wird der Parasympathikus
auch als Erholungsnerv bezeichnet.
Herz
Sympathikus und
Parasympathikus (N.vagus) beeinflussen das Herz vermittels ihrer
Überträgerstoffe Noradrenalin bzw. Azetylcholin. Einflüsse auf
die Erregungsbildung (positiv bzw. negativ chronotrope Wirkung) greifen vor
allem an den langsamen diastolischen Depolarisationen in den
Schrittmacherzellen an. Noradrenalin bewirkt eine Versteilung, Azetylchoin eine
Abflachung der diastolischen Depolarisationen. Der Vagus vermindert die Kontraktionskraft
vor allem in den Vorhöfen (negativ inotrope Wirkung). Der Sympathikus
verstärkt sie in Vorhöfen und Ventrikeln (positiv inotrope Wirkung).
Einflüsse der vegetativen Herznerven auf die Erregungsleitung betreffen
nur die AV-Region. Der Sympathikus beschleunigt die atrioventrikuläre
Leitung, der Vagus verlangsamt sie.
Katecholaminwirkungen. Für die
Wirkungen des Sympathikus bzw. seines Überträgerstoffes
Noradrenalin ist eine Verstärkung des langsamen Ca2+
Einwärtsstroms infolge Erhöhung der Ca2+ Leitfähigkeit
experimentell gut gesichert. Dasselbe gilt für Adrenalin aus dem
Nebennierenmark. Dieser Effekt erklärt die positiv inotrope Wirkung durch
eine Intensivierung der elektromechanischen Koppelung. Die mit der positiv
inotropen Wirkung einhergehende Beschleunigung der Erschlaffung wird dagegen
auf eine Stimulation der Ca2+ Aufnahme die
intrazellularen Speicher zurückgeführt. Noch etwas umstritten ist
bis heute der Mechanismus der positiv chronotropen Sympathikuswirkung.
Fehlsteuerungen
So kann eine Überempfindlichkeit
(Allergie) gegenüber bestimmten Eiweißen (z. B. Pollen) zum
Bronchialasthma führen. In dem Falle überwiegt der Parasympathikus
gegenüber dein Sympathikus so stark, dass daraus eine krankhafte Verengung
der Bronchien mit Luftnot und Absonderung eines zähen Sekrets resultiert.
Krampfartige Verengungen der Herzkranzgefäße durch Erhöhung der
Aktivität des Parasympathikus können eine akute Sauerstoffnot am
Herzmuskel oder sogar den Eintritt von Gewebstod (Myokardinfarkt) zur Folge haben.
Die Ursachen dafür sind meistens Bewegungsarmut in Verbindung mit
psychischer Überbelastung, Fehlernährung und Genussmittelmissbrauch.
Aber auch eine
Dominanz des Sympathikus kann Störungen verursachen oder Ausdruck von
Krankheiten sein. Die Fehlsteuerung äußert sich hier in
Nervosität, Unruhe und fehlender Ausgeglichenheit. Wie ein mit zu hoher
Ruhedrehzahl laufender Motor arbeiten hier Herzkreislaufsystem, Atmung und
Stoffwechsel auf einem viel zu hohen Niveau auch in der Ruhephase. Häufig
wird eine solche sympathikotone Lage durch eine Überfunktion der
Schilddrüse erzeugt. Eine Verbesserung des Ausdauertrainingszustandes
führt aufgegebenen submaximalen Belastungsstufen zu einer Reduktion der
Katecholammausschüttung. Sie bezieht sich vor allem auf Noradrenalin.
Übertraining
Bei Sportlergruppen,
in denen systematisch ein Übertrainingszustand angestrebt wurde, eine
vorübergehende «Erschöpfung« des sympathoadrenergen Systems
beobachten. Die Untersuchungen bezogen sich auf 8 erfahrene Mittel- und Langstreckenläufer,
deren Trainingsumfang von 86km/Woche 4 Wochen lang auf 175 km/Woche gesteigert
wurde. Davon lagen stets ungefähr 80% der Belastung im Bereich von 50 70%
der maximalen Sauerstoffaufnahme. Nach Ende der Übertrainingsphase sanken
die Dopaminplasmaspiegel signifikant ab, ebenso die nächtliche
Ausscheidung von Adrenalin, Noradrenalin und Dopamin. Je schlechter das
subjektive Befinden der Probanden war, desto stärker nahm die
Noradrenalinausseheidung ab. Wichtiger als der Absolutwert der Hormone erschien
die Änderung der Ausscheidungsrate.
Immunsystem
(psychophysiologischer Effekt)
Die Abb. 1 (unten)
stellt den Schaltplan dar, wie das Gehirn auf Stress reagiert. Signale aus der
Umwelt werden nach der Reizverarbeitung und Verwertung im Gehirn, besonders im
Hippokampus, anschließend im Hypothalamus in chemische Aktivität
verwandelt. Der Corticotropin-releasing-Faktor (CRH) und Vasopressin werden vom
Hvpothalamus freigesetzt. Es handelt sich um Neuropeptide, welche die
Produktion von ACTH veranlassen. Dieses wiederum stimuliert die Bildung von
Kortisol, einem Stresshormon. Es hemmt in einer Rückkopplungsschleife die
weitere Freisetzung von CRH und ACTH. Viele Neurotransmitter und andere
Neuropeptide wirken auf verschiedenen Wegen regulierend. lmntunopeptide sind
dabei von besonderer Bedeutung. Kortisol kann die Rezeptoren für Serotonin
und Noradrenalin ebenso verändern (erhöhen) wie die
Produktionsgroße dieser Neurotransmitter.
Über den
Hippokampus, den Organisator für das Langzeitgedächtnis und einer Schaltstelle
für Gefühle, kann in Verbindung mit dem limbischen System die
Gefühlswelt geprägt werden. Gleichzeitig werden Herzschlagzahl,
Blutdruck, Eß-, Sexual- und Schlafverhalten beeinflusst. z.T. über
die Adrenalinausschüttung im Nebennierenmark. Die initiale Aktivierung des
vegetativen Nervensystems und damit von Adrenalin und Noradrenalin erfolgt
wiedertun im Hypothalanius und im limbischen System. Adrenalin und Noradrenalin
erweitern die Bronchien und die arteriellen Gefäße der Skelettmuskulatur,
ferner mobilisieren sie Glykogen- und Fettdepots. Im Gehirn und im
Nebennierenmark gebildete Endorphine und Enkephaline wirken
schinerzdämpfend. Akuter Schmerz löst spontan die Ausschüttung
von Substanz P und Glutamat aus. Die Information wird der Formatio reticularis
und dem Locus coeruleus zugeleitet. während die Schmerzwahrnehrung im
Großhirn erfolgt in Verbindung mit dem limbischen System. Endorphine
hemmen die Reizübertragung im Rückenmark.
In
tierexperimentellen Untersuchungen konnte nachgewiesen werden, dass durch
klassische Konditionierung analog Pawlow nicht nur Ernährungsweisen von
Tieren beeinflusst werden können, sondern sie gegebenenfalls auch durch
psychisch ausgelöste Schwächung des Immunsystems
Infektionskrankheiten zum Opfer fallen. Sicherlich kommt dabei auch
Glukokortikoiden wie Kortisol mit ihren hemmenden Effekten auf Immunzellen eine
maßgebliche Bedeutung zu. Damit war aber erstmals die
Psychoneuroimmunologie auf eine naturwissenschaftlich fassbare Basis gestellt.
Auch das vom Gehirn
produzierte Stresshormon CRH kann die Funktion der natürlichen
Killerzellen im Blut unterdrücken, ohne eine Erhöhung von ACTH oder
eines der anderen Stresshormone.
Eine zu schwache
Stressreaktion aufgrund einer zu geringen Funktion der Achse
Hvpothalamus-Hypophyse-Nebenniere haben manche depressive Personen, die sich
meist müde und affektlos fühlen. Ähnliche Symptome finden sich
beim „chronischen Müdigkeitssyndrom“ und bei lichtabhängigen
Winterdepressionen. Hierfür sind gleichzeitig Esslust und Gewichtszunahme
charakteristisch. Gleichzeitig ist ein Mangel an Kortisol vorhanden.
Inaktivierung adrenerger Transmitter
Die Beendigung der Wirkung adrenerger
Transmitter erfolgt vor allem durch eine rasche Wiederaufnahme (,,reuptake“ der
frei gesetzten Überträgersubstanz in die präsynaptischen
Endigungen. Dies ist ein energiefordernder Prozess, durch den innerhalb weniger
Sekunden bis zu 80% der adrenergen Transmitter aus dem synaptischen Spalt
wieder entfernt werden. Ein Teil des freigesetzten Transmitters diffundiert
rasch in die umgebende Interzellularflüssigkeit und verliert dadurch seine
Bedeutung für die synaptische Erregungsübertragung. Der gleichzeitig
mit diesen beiden Inaktivierungsvorgängen ablaufende enzymatische Abbau
von Adrenalin und Noradrenalin im synaptischen Spalt durch die
Katechol-O-Methyltransferase (COMT) und Monoaminoxidase (MAO) zu
Vanillinmandelsäure spielt dagegen für die Beendigung der
Erregungsübertragung im sympathischen Nervensystem nur eine geringe Rolle.
Anders ist dies heim Abbau von adrenergen Transmittern, die in großer
Menge aus dein Nebennierenmark freigesetzt werden. Allerdings hält die
Wirkung der aus dein Nebennierenmark frei gesetzten Katecholamine zirka 10 mal
so lang (10 bis 30 Sekunden) an. Ihre Inaktivierung erfolgt in der Leber. Sie
werden dort aus dein Blut aufgenommen und durch COMT und MAO enzymatisch
abgeballt.
R.F. Schmidt, G. Thews, „Physiologie
des Menschen“ springer-Verlag Berlin Heidelberg, 1997.
W. Hollmann, T.Hettinger,
„Sportmedizin“, Schattauer Verlag, 2000.


