Хватит сюрпризов, или Как добиться постоянства цвета

  • Вид работы:
    Статья
  • Предмет:
    Журналистика
  • Язык:
    Русский
    ,
    Формат файла:
    MS Word
    595,17 kb
  • Опубликовано:
    2009-01-12
Вы можете узнать стоимость помощи в написании студенческой работы.
Помощь в написании работы, которую точно примут!

Хватит сюрпризов, или Как добиться постоянства цвета

Хватит сюрпризов, или Как добиться постоянства цвета

С. Бачурин

Предвидеть - значит управлять. Блез Паскаль

Для того, чтобы результаты печати можно было прогнозировать, дизайнер должен точно знать, какой цвет под силу воспроизвести типографии, и учитывать это в своей работе. При этом важно осознавать, что даже самое высокое качество готовой продукции - всегда вопрос допусков (а точнее их величины).

Под качеством печати в контексте этой статьи мы будем понимать точность воспроизведения заранее оговоренного цвета, а также его возможное отклонение от оттиска к оттиску в процессе тиража, то есть предсказуемость и стабильность результата.

Высокое качество - это минимальные допуски, но тем не менее они всегда присутствуют и, к сожалению, без них не обойтись. Такова объективная реальность.

Печатники во многом схожи с дизайнерами, они тоже творцы. Они работают на различных машинах и в разных условиях, привнося в работу элементы индивидуальности. Поэтому неудивительно, что, размещая работу в разных типографиях, дизайнер может получить отличающуюся друг от друга продукцию.

Общие правила игры

Можно ли решить эту проблему? Или придется мириться с подобной ситуацией? Выход есть. Обеим заинтересованным сторонам (дизайнерам и печатникам) надо заранее договориться о правилах игры. Типографии — печатать всегда одинаково, исключительно в соответствии с установленными параметрами, и контролировать их при помощи определенной методики. Об этом надо рассказать дизайнеру. Если параметры и методика их измерений будут индивидуальны для каждой типографии, дизайнеру придется учитывать это, каждый раз меняя установки при смене типографии. В идеале: печатникам надо договориться между собой и всегда печатать с одинаковыми для всех нормами.

Это вовсе не утопия. Более того, весь цивилизованный мир уже решил этот вопрос: разработан и используется отраслевой стандарт — свод правил, которым необходимо следовать всем участникам процесса создания полиграфической продукции. При его разработке воедино было собрано все самое лучшее, что достигнуто на определенном этапе развития полиграфии во всем мире. Это позволило придать документу статус международного, объединив тем самым достижения не только отдельных типографий, но и целых стран и континентов.

Как мы уже говорили в прошлом номере, основным для офсетной печати является международный стандарт ISO 12647–2, изданный в 1996 г. Но его следует рассматривать в контексте других документов ISO, в которых раскрываются используемые понятия и подходы. Одно из основных достоинств отраслевого стандарта — его практическая направленность. Он отражает огромный статистический материал, накопленный в результате измерений в реальных условиях многих офсетных типографий. Это та самая практика, которая подтверждает теорию. Стандарт ISO описывает тот уровень техники, который достигнут на момент его издания. Так что это не просто некий абстрактный идеал, к которому надо стремиться, а то, что действительно можно воспроизвести на современных печатных машинах.

Неоспоримым преимуществом стандартизации вообще является единый подход к методике измерений, что делает возможным сопоставлять результаты. Крайне важно, что в этом отраслевом стандарте сформулированы требования к условиям измерений. Приборы должны быть с геометрией 45\0 или 0\45 и углом стандартного наблюдателя в 2о, а образцы необходимо располагать на черной подложке под источником нормированного света 5000о К (D50).

Обращаем внимание, что ISO, пожалуй, единственный стандарт, в котором рекомендуется использовать черную подложку. В авторитетных американских стандартах SWOP и GRACOL (см. о них в «Курсиве» №6–03) в качестве подложки применяются листы аналогичной бумаги — «белая подложка». Предполагается, что черная подложка должна устранить просвечивание изображения на обратной стороне листа. Если использовать ее, то влияние изображения будет незначительным, а с белой бумагой яркие цвета на обороте листа могут изменить результаты измерения. Впрочем, споры об эффективности подобного подхода ведутся до сих пор. Хотя у полиграфического стандарта 12647, по-видимому, просто не было выбора — он стал своеобразным заложником самой системы методологии ISO, в которой предусматривается единый подход к измерениям (черная подложка уже давно использовалась в других стандартах). В документе присутствуют оговорки, касающиеся применения белой подложки. Эти особенности имеют значение в основном для тонких бумаг.

Денситометрия - не для цвета!

Отметим, что при описании цвета стандарт опирается исключительно на колориметрические измерения CIELAB, а цветовые отличия определяются как deltaE*ab. Денситометричекие плотности плашек на отражение приводятся не в основной части, а в приложении, как вторичная ссылка, и то - только информативно. Эти значения характеризуют процесс печати красками, с жестко установленными ISO колориметрическими координатами плашек на определенных сортах бумаги. Не факт, что тираж, отпечатанный произвольно выбранными красками в соответствии с приведенными в приложении значениями денситометрической плотности плашек, будет соответствовать требованиям ISO. В этом легко убедиться, открыв несколько банок с красками разных производителей: невооруженным взглядом видно, как они отличаются. Однако в последнее время в литературе при упоминании стандарта ISO 12647 все, словно сговорившись, делают ссылку именно на денситометрические плотности плашек. Это некорректно и противоречит первоисточнику. В ISO денситометрии нет! Да она и не нужна, пос кольку непонятно, что с ней делать дизайнеру. Другое дело - колориметрические координаты бумаги и красок. Но об этом чуть позже.

Авторская справка

Какими должны быть фотоформы?

Для обеспечения качества конечного результата стандарт формулирует требования к цветоделенным фотоформам. Допускается использование круглого, квадратного или эллиптического растровых элементов. В документе даны некоторые определения. Так, под углом установки растра понимается наименьший положительный угол между главной или просто осью растра и реперным направлением, измеренный против часовой стрелки. Реперное направление изображения - горизонтальное направление, рассматриваемое конечным пользователем. Ось растра - одно из двух направлений, в котором растровая структура показывает наибольшее количество элементов на единицу длины. Главная ось — ось растра, которая совпадает с направлением наибольшего диаметра растрового элемента продолговатой формы (например, эллиптической или ромбовидной). Круглые и квадратные растровые элементы не имеют главной оси.

Для растровых элементов без главной оси номинальная разность между углами установки растра для голубого, пурпурного и черного цветов должна быть 30°, с главной осью — соответственно 60°, при этом угол установки растра желтого отделен на 15° от другого цвета. Угол установки растра доминирующего цвета должен быть 45°. Для растровых элементов с главной осью первое соединение должно произойти не ниже, чем в 40%, второе — не выше, чем в 60%. Для черного цвета может быть использована линиатура растра, существенно более тонкая, чем номинальная линиатура растра для хроматических цветов. Например, 80 см -1 для K и 60 см -1 для CMY.

На оттиск должны передаваться следующие значения эквивалентных площадей растровых элементов при различных линиатурах:

линиатура растра 40–70 см –1 : 3–97%;

n линиатура растра 80 см -1 : 5–95 %.

Никакие существенные части изображения не должны быть вне пределов указанных диапазонов тоновой градации на пленке цветоделения. Суммарная тоновая градация не должна превышать 350%, при этом следует стремиться к ее уменьшению.

Длины диагоналей для комплекта цветоделенных пленок не должны отличаться более чем на 0,02%. Этот процент получается путем наилучшего выравнивания соответствующих изображений на всех четырех фотоформах цветоделения по верхней кромке и левому верхнему углу. Затем измеряется максимальная разница размера в нижнем правом углу и выражается как процент от диагонали. Этот допуск включает повторяемость фотонабора и стабильность пленки. Максимальное отклонение между центрами изображений на фотоформах любых двух цветов не должно быть больше, чем половина наименьшей ширины растра всего комплекта фотоформ.

Оптическая плотность в проходящем свете прозрачной пленки, используемой для фотоформ, не должна быть выше, чем 0,15. Требование ISO о превышении плотности ядра над плотностью прозрачной пленки на 2,5 обычно достигается, если плотность плашки более чем на 3,5 выше плотности прозрачной пленки. Под плотностью ядра понимается плотность на просвет в центре изолированного непрозрачного растрового элемента изображения. Растровый элемент не должен быть расщеплен на явные части, при этом ширина его ореола не должна быть больше, чем 1/40 ширины растра. Ширина ореола отдельного непрозрачного растрового элемента изображения — это среднее расстояние между контурными линиями плотности, соответствующими 10% и 90% минимальной плотности ядра, выраженное в мкм.

Вышеуказанные требования ISO к фотоформам фактически не отличаются от рекомендуемых и широко используемых на практике.

Тем не менее, в практических целях на производстве для контроля фотоформ и самого процесса печати использование денситометров полезно. В этом случае при измерениях необходимо оговаривать, относительная или абсолютная плотность имеется в виду, проводились измерения с поляризационным фильтром или без, какова апертура прибора, полоса пропускания светофильтров или статус. Желательно также указать марку прибора и фирму-изготовителя. Наличие этих сведений позволит достоверно оценить результаты измерений и делать сравнения.

Известно, что по мере высыхания и закрепления денситометрическая плотность краски уменьшается. Для того, чтобы сопоставить сырые оттиски с высохшими, используются приборы с поляризационным фильтром. Однако не надо думать, что такой фильтр приближает значения измерений сырого оттиска к сухому или наоборот. Измерения с поляризационным фильтром не соответствуют ни тому, ни другому. Это некое третье, виртуальное значение плотности, одинаковое как для сырого, так и для сухого оттиска. Более того, измеренное таким образом значение плотности может отличаться от значений плотности сырого и сухого оттисков без фильтра на более существенную величину, чем просто разница между последнми. Использование же фильтра при колориметрических измерениях некорректно. Точно так же нельзя пытаться сравнивать печатные оттиски и цветопробу при помощи денситометра в силу разной природы формирования цвета.

Стандарт также оговаривает требования к фотоформам, которые должны обеспечивать заданный уровень качества. Даже идеально выполненные цветокоррекция и обработка изображений могут быть испорчены неудачно сделанными цветоделенными фотоформами.

Методика определения толщины красочного слоя

Одна из важнейших задач ISO - выделить минимальный набор параметров, однозначно определяющих визуальные характеристики изображения. В полиграфическом стандарте это, прежде всего, колориметрические координаты плашек CMYK и их бинары. В основе подхода по установлению цвета краски на разных бумагах лежит принцип обеспечения одинаковой толщины красочного слоя, передаваемого с офсетного полотна на печатную основу. А еще точнее, важно, чтобы в момент прохождения запечатываемой основы через печатную секцию на офсетной резине был красочный слой такой же толщины, как и в момент прохождения через нее эталонной бумаги. Это связано с тем, что в зависимости от свойств поверхности разные бумаги воспринимают большее или меньшее количество краски с резинового полотна. Таким образом, предполагается, что слой краски, передаваемой на испытуемую бумагу, а тем более ее цвет, могут отличаться от характеристик для эталонной бумаги. В качестве эталонной принимается глянцевая бумага без древесины, свободная от оптического отбеливателя. Реально существует только один поставщик этого материала, и он стал фактическим стандартом. Это бумага Рhoenix Imperial АРСО II/II, производимая в Германии. Ее характеристики, а также стандартизованные колориметрические координаты плашек красок на ней приводятся в ISO 2846–1. Предполагается, что толщина красочной пленки соответствует данным, приведенным в табл. 1.

Табл. 1. Диапазон толщин красочной пленки, мкм

RUPRINT.RU - Мир Полиграфии, Полиграфия в статьях, Диапазон толщин красочной пленки, мкм

Таким образом, не нужно добиваться эквивалентности цвета на эталонной и испытуемой бумагах. Эти цвета могут отличаться. Поскольку на практике приходится печатать отнюдь не на эталонной бумаге, то для установления стандартных колориметрических координат CMYK для бумаг, используемых непосредственно на производстве, предлагается использовать следующий метод. Пачка эталонной бумаги готовится к печати на листовой печатной машине и перекладывается вручную единичными маркированными листами испытуемых бумаг других типов с интервалом приблизительно 100 листов. Толщины бумаг разных типов должны быть приблизительно равны. Толщина красочного слоя на эталонной бумаге контролируется таким образом, чтобы голубые, пурпурные, желтые и черные плашки соответствовали колориметрическим координатам ISO 2846–1. После сушки вставленные листы испытуемых бумаг достают из пачки — они показывают установленные стандартом цвета красок для этих бумаг.

Колориметрические характеристики бумаги и базовых цветов

В большинстве случаев на практике, если, конечно, речь не идет о так называемых дизайнерских бумагах, нет необходимости применения описанного выше способа установления цвета. Существующее многообразие используемых бумаг предлагается свести к пяти обобщенным типам (табл. 2).

Табл. 2. Величины CIELAB L*, а *, b*, глянец, белизна и допуски для типичных бумаг

Величины CIELAB L*, а *, b*, глянец, белизна и допуски для типичных бумаг

Значения L*, а*, b*, в случае использования белой подложки, согласовываются с определенными в табл. 2 в пределах, установленных в ней допусков.

Первые три типа бумаги из табл. 2 наиболее характерны для современной листовой офсетной печати. Первые два из них очень близки друг другу, являются бумагами двойного мелования, и (с учетом возможных допусков) с ними может ассоциироваться все многообразие бумаг коммерческой полиграфии. Колориметрические координаты CIELAB L*, а*, b* плашек цветопробы на описываемых выше бумагах должны точно соответствовать значениям, приведенным в табл. 3, в пределах соответствующих допусков на отклонение, приведенных в табл. 4. Цветовые координаты плашек двух последовательных наложений без черной краски должны быть такие, как в табл. 3.

Табл. 3. CIELAB-координаты цветов для цветовой последовательности «голубая-пурпурная-желтая»

CIELAB-координаты цветов для цветовой

Если белая подложка использована вместо черной, цветовые координаты a* и b* табл. 3 остаются по существу теми же. Однако значения L* будут на 2–3 выше в зависимости от прозрачности бумаги. Вторичные цвета (красный, зеленый, синий) могут изменяться при разных условиях (механика печатной машины, характеристики поверхности основы оттиска, реологические свойства красок и их прозрачность). Соответствия основных цветов CМY спецификациям недостаточно, чтобы отвечать значениям вторичных цветов, приведенных в табл. 3.

Цветовые отклонения

Надо стремиться, чтобы цветопроба и тиражный оттиск были близки значениям колориметрических координат плашек контрольной шкалы, приведенных в табл. 3. При этом проба должна выполняться на бумаге, максимально приближенной по своим свойствам к типам бумаг, описанных в табл. 2, и соответственно к тиражной. В пределах допусков должны совпадать как колориметрические координаты, так и глянец.

Предсказуемость тиража складывается из двух факторов. Первый — это заведомо установленный точный цвет плашек (а не все многообразие его оттенков), второй — может ли цвет изменяться в процессе тиража, и если может, то как. Одними из самых важных сведений, содержащихся в ISO 12647, являются требования толерантности. В стандарте приводятся допустимые отклонения deltaE*ab цветов триады (табл. 4) от заданных параметров (табл. 3). Это не значит, что плашки на контрольной шкале могут колебаться в таком широком диапазоне значений. Нет, имеется в виду, что при всем разнообразии современных красок, выбрав какую-то одну, которой возможно воспроизвести цвет в допустимом коридоре значений, печатник старается удержать его постоянным на всем протяжении тиража.

Табл. 4. CIELAB delta(E)*ab допуски для цветных плашек

CIELAB delta(E)*ab допуски для цветных плашек

Впервые фактически признается возможность несовпадения цветопробы и ОК-листа и определяется допуск на отклонение между ними, а также определяется такое понятие как «разнотон» тиража. Цветовое отличие deltaE*ab между цветопробой и ОК-листом не должно превышать соответствующие допуски на отклонение, установленные в табл. 4. Эти значения соответствуют возможным колебаниям цветов используемых красок. Достаточно широкий диапазон разрешенных отклонений цветопробы от тиражного оттиска объясняется поправкой на несовершенство аналоговых цветопроб, доминирующих во времена разработки стандарта. Таким образом, даже столь отдаленное приближение к цветопробе считается нормой. В настоящее время при использовании цифровых цветопроб возможно добиваться более высоких показателей «попадания» в цвет.

Очень важным для каждого печатника параметром (это предмет постоянных разногласий с дизайнерами) является допустимая цветовая изменчивость плашек CMYK в процессе тиража. Она не должна превышать соответствующих допусков на вариацию, установленных в табл. 4. Надо понимать, что полностью исключить так называемого «разнотона» невозможно. В офсете из-за его технологических особенностей каждый лист в стопе отличается как от предыдущего, так и от последующего. Вопрос только — насколько. Бросается ли это в глаза или заметить отличия можно только с помощью прибора?

Цветовая изменчивость плашек в процессе тиража ограничена следующим условием. По крайней мере, для 68% оттисков цветовое отличие deltaE*ab от ОК-листа не должно ни при каких условиях превышать соответствующие допуски на вариацию, установленные в табл. 4. При этом желательно (но не обязательно), чтобы они составляли лишь половину от приведенных в этой таблице значений. Последнее пожелание, скорее, осуществимо при так называемой классической офсетной печати, когда тираж насчитывает несколько тысяч оттисков. В настоящее время, когда наблюдается устойчивая тенденция к уменьшению тиражей и офсетные машины все чаще отбивают хлеб у цифровых, говорить о снижении вариационного допуска не приходится. Допуск на специальные (пантонные) цвета должен быть ниже, чем данные в табл. 4, особенно цветовые отличия, формирующиеся за счет значений L*. Необходимо также иметь в виду, что если изделие должно быть подвергнуто конечной поверхностной обработке, например, покрыто лаком или заламинировано, цвета могут заметно отклоняться от тех, что без обработки.

Растискивание

Вторым показателем, отвечающим за цветовоспроизведение, помимо цвета плашек, является увеличение эквивалентной площади растрового элемента, то есть растискивание. Для хроматических цветов оно определяется путем выбора наиболее подходящего варианта для имеющегося процесса печати и изготовления цветопробы (см. категории от А до H в табл. 5).

Табл. 5. Растискивание на контрольной шкале, %

Растискивание на контрольной шкале, %

Если реальные значения не совпадают с приведенными в табл. 5, необходимая величина растискивания для 50% поля контрольной шкалы (полутона) для хроматических цветов коммерческой печати при использовании позитивных пластин для бумаг 1 и 2 типов должна быть 17% и соответственно 23% для бумаги 3 типа. Приведенные величины растискивания относятся к измерению на контрольной шкале с линиатурой растра 60 см-1, с DIN E с поляризацией. Таким образом, кривые растискивания для двух наиболее часто встречающихся случаев применения разных бумаг характеризуются данными, приведенными для категорий В и D.

Увеличение эквивалентной площади растрового элемента черного цвета, как правило, на 2–3% выше, чем хроматических цветов. Черная краска обычно печатается на первой секции печатной машины и с большей толщиной красочного слоя.

Так же, как и для колориметрических координат цвета, стандарт определяет возможное колебание растискивания. Отклонение в значениях растискивания пробы или ОК-листа от установленных значений не должно превышать допуски на отклонение, определенные в табл. 6. В худшем случае эти допуски могут привести к разности в 7% между пробой и ОК-листом в полутонах. Считается допустимым изменение растискивания в процессе тиража (табл. 6), что тоже приводит к образованию «разнотона».

Табл. 6. Допуски на растискивание для пробы и тиражной продукции, %

Допуски на растискивание для пробы и тиражной продукции, %

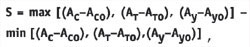
Впрочем, стандарт не ограничивается определением допусков на отклонение и вариацию для растискивания. Изменение величины растровых элементов оказывает очень значительное влияние на точность цветовоспроизведения. Порой даже более существенное, чем изменение толщины красочного слоя. Так, например, известно, что одного и того же эффекта в изменении тоновой градации можно достичь уменьшением растискивания на 5% или денситометрической плотности на 0,35. При этом есть ситуации, когда за счет увеличения растикивания увеличить тоновую градацию можно, а за счет толщины красочного слоя — нет, поскольку ее верхний предел ограничен. Так как диапазон колебания растискивания по стандарту довольно широк, а его значения для различных цветов CMYK могут быть к тому же разнонаправленными, возможно возникновение серьезного дисбаланса. Если, например, в процессе тиража растискивание для всех цветов увеличится даже на максимальную величину допуска в 4%, то это будет не очень заметно, поскольку такое изменение сбалансировано. Хуже другой случай, когда, скажем, для пурпурной краски величина растискивания будет превышать рекомендованную и составлять 21% (17%+4), а для голубой, напротив, будет меньше — 13% (17%–4). Стандарт не допускает подобной ситуации дисбаланса и вводит новое для отечественной полиграфии понятие — «спред полутона» — от английского mid-tone spread. По сути, это разница максимальной и минимальной величины разницы между измеренными и заданными значениями растискивания хроматических цветов. Спред полутона S — величина, определяемая следующим уравнением:

где Ас — измеренное значение растискивания голубого цвета;

Асо — заданное значение растискивания голубого цвета;

Ат — измеренное значение растискивания пурпурного цвета;

Атo — заданное значение растискивания пурпурного цвета;

Ау — измеренное значение растискивания желтого цвета;

Ауо — заданное значение растискивания желтого цвета.

Пример вычисления «спреда полутона». Если измеренные значения растискивания (C, M, Y) = (20, 16, 15), а заданные значения растискивания (C, M, Y) = (17, 17, 17), то:

mах[(20–17), (16–17), (15–17)]= 3

S= (max – min) = 5

Табл. 7. Допуски на «спред полутона», %

RUPRINT.RU - Мир Полиграфии, Допуски на «спред полутона», %

ISO оговаривает, что «спред полутона» для пробы не должен превышать 4%, для тиражной продукции соответственно — 5%, то есть величин, установленных в табл. 7. При этом измерения могут проводиться на контрольной шкале со значениями растрового поля 40 или 50%. Величины в табл. 6 и 7 относятся к измерениям, сделанным на контрольной шкале с линиатурой 50–70 см-1, с DIN E с поляризацией.

"Лишние" характеристики печати

При измерении оттисков используется много параметров (контраст печати, баланс по серому и т. д). Однако, согласно ISO, колориметричекие координаты плашек и растискивание являются необходимыми и достаточными параметрами для контроля цветовоспроизведения на оттиске. Контраст, как вторичное понятие, не используется. Баланс по серому определяется градацией тонового изображения голубой, пурпурной и желтой красок, их цветом и цветом их наложений. Так как эти параметры уже определены в табл. 3, отдельная спецификация для баланса по серому не очень необходима и может излишне переопределить спецификацию процесса. Однако, по практическим причинам, она полезна при цветоделении, особенно, если проба не совсем близка к значениям, получаемым на печатной машине (см. табл. 8).

Табл. 8. Баланс по-серому: комбинации

Полиграфия в статьях, Баланс по-серому: комбинации

эквивалентных площадей растровых элементов Подчеркиваем, что все приведенные значения параметров относятся к измерениям, проведенным на соответствующих полях контрольной шкалы, а не в любом произвольном месте оттиска или цветопробы. Безусловно, остается возможность измерять цветовые отличия между цветопробой и ОК-листом, или между тиражной продукцией в поисках «разнотона» не на плашках контрольной шкалы, а в любом месте на оттиске. Например, в 5 см от края или в центре конкретного сюжета — это не важно. Дизайнер может заранее договориться с печатником о любом виде контроля. Подобный подход, может, и лучше, но к международному стандарту не имеет никакого отношения.

Фотоформы цветоделения контрольной шкалы должны содержать четкие контрольные поля со значениями эквивалентной площади растровых элементов с точностью ± 1%. Форма растрового элемента должна быть круглой. Линиатура растра контрольной шкалы может не соответствовать линиатуре основного изображения, но должна быть в пределах 1/6 среднего номинального значения линиатуры фотоформ цветоделения основного изображения.

Авторская справка

Методика настройки печатного процесса

Международный стандарт подробно описывает параметры качества печатной продукции с точки зрения правильности воспроизведения цвета, но носит рекомендательный характер. В соответствии с современными требованиями весь контроль цвета, а также цветовых отличий осуществляется исключительно спектрофотометром, а критерием является ЖЕ*ab. При этом надо отметить, что все приведенные значения относятся к сухим оттискам.

На практике реализация описанных в статье рекомендаций может выглядеть следующим образом:

Технолог проверяет на соответствие стандарту цветоделенные фотоформы и при необходимости вносит коррективы в процесс их изготовления;

В процессе пробной печати путем спектральных измерений технолог подбирает необходимую толщину красочного слоя сухого оттиска и только потом определяет, какая денситометрическая плотность ему соответствует. Здесь очень пригодится денситометр с поляризационным фильтром. Измеренные им значения на отобранных технологом эталонных плашках могут служить руководством к действию непосредственно для печатника;

Аналогичным образом могут быть установлены и возможные денситометрические допуски на отклонение и вариацию. Значения денсинтометрических плотностей и их отклонения жестко контролируются на протяжении всего тиража, при этом печатник не забывает следить за тем, чтобы величины растискивания, а также «спред полутона» не выходили из разрешенного коридора. Описанный подход позволяет расширить круг используемых для печати материалов, которые все шире используются в полиграфии, и не ограничиваться только бумагой, на которую ориентирован стандарт ISO.

Благодаря международному стандарту мы получаем в руки инструментарий, с помощью которого, наконец-то, можем решить проблему качества печати. Для этого нужно просто взять и измерить прибором необходимые параметры, а потом сверить их с нормативными значениями и допусками международного стандарта. Даже если цветопроба и тиражный оттиск не идентичны, первый и последний оттиски в тираже не точно соответствуют друг другу, но все значения вписываются в жесткие нормативы, продукция признается качественной.

Направление развития

Согласно правилам ISO, стандарты подвергаются ревизии каждые пять лет. В настоящее время готовится к выходу в свет новая редакция стандарта ISO 12647–2, которая сейчас — на стадии голосования и, возможно, будет издана в конце с. г. Старую пока никто не отменял. Известны некоторые изменения, которые могут быть включены в новую редакцию документа. Так, предполагается уменьшить на 3% норму растискивания на 50% поле и, а также изменить допуски цветовых отличий deltaE*ab, которые будут составлять, по предварительным данным: 1) на отклонение 5 для всех цветов; 2) на вариацию 4 для СМК и 5 для Y (соответствует ± 8% плотности). Предполагается также изменить колориметрические координаты всех цветов CMYK и объединить 1 и 2 типы бумаг. Подчеркнем, что приведенные данные — лишь проект. Что будет в реальности — покажет время.

При соблюдении печатником описанных выше параметров становится возможным предсказывать результат цветовоспроизведения. Осталось замкнуть круг и сделать эти параметры доступными в самом начале процесса производства полиграфической продукции, то есть довести их до сведения дизайнера. Конечно, все это имеет смысл в том случае, если последний заинтересован получить предсказуемый результат. Колориметрические координаты цветов плашек так же, как и растискивание, могут быть легко интегрированы в современные программы пре-пресса. Однако диапазон допуска на отклонения цветов CMYK достаточно широк, из-за большого колебания цвета бинаров на них он вообще отсутствует, а величина растискивания зависит от очень многих факторов и почти не поддается регулированию. Поэтому для более эффективного управления цветовоспроизведением целесообразно получить ICC-профиль конкретной печатной машины, работающей в определенных условиях. Наличие такой характеристики печатного процесса даст возможность дизайнеру еще на этапе рождения творческого замысла пользоваться не абстрактным «евростандартом», а конкретным цветовым охватом печатной машины с учетом всей специфики ее работы. А при наличии калибровки можно еще и увидеть все это на мониторе.

Роль цветопробы

Более того, появляется уникальная возможность получения контрактной цифровой цветопробы. Следует отметить, что по идеологии ISO цветопробе отводится главенствующая роль. Ее цветовой охват должен строго соответствовать определенным величинам, то есть цветовому охвату офсетной печати на используемых бумагах. Все допустимые отклонения задаются, отталкиваясь от пробы. Если уже на этапе изготовления цветопроба не отвечает значениям колориметрических координат, растискивания и «спреда полутона» с учетом возможных допусков на отклонение, не за чем даже говорить о соответствии стандарту будущего тиража. Печатник окажется на распутье — ориентироваться ли ему на нормированные значения и печатать по стандарту или стараться «попасть» в пробу? В то же время дизайнер уже подписал у заказчика пробу, и, по большому счету, последнему нет дела до каких-то там норм. И тут начинается шаманство, избежать которого можно, лишь повысив требования к качеству изготовления самих цветопроб.

Рис. 1. Цветовой охват различных устройств:

цифровая цветопроба на базе Epson 7600;

аналоговая цветопроба Mach-print;

печатная машина Shino-hara 52–4 (ISO 12647–2);

аналоговая цветопроба Cromalin

Полиграфия в статьях, Цветовой охват различных устройств, цифровая цветопроба на базе Epson, аналоговая цветопроба Mach-print

Если исходить из того факта, что цветопроба должна быть не просто красивой, яркой, высокоглянцевой картинкой, а должна максимально имитировать реальный процесс офсетной печати, то следует признать, что в настоящее время только цифровая цветопроба может претендовать на роль контрактной. Однако не следует поддаваться эйфории. Процесс становления цифровой пробы в настоящее время в самом разгаре, и, к сожалению, пока она не лишена недостатков. К реальным иногда добавляют надуманные — свойственные не пробе, а самой специфике офсетной печати. Но следует иметь в виду — там, где не справляется цифровая, аналоговой вообще нечего делать. Со всеми присущими ей на сегодня огрехами у цифровой пробы есть один очень важный плюс — в ней можно менять все установки, что дает практически неограниченные возможности.

Разработанная более 30 лет назад и в свое время явившаяся революционным шагом вперед на этапе замены пробопечатного станка, при современном обилии красок и запечатываемых материалов аналоговая цветопроба безвозвратно сдает позиции. Заложенные в нее ограничения оставляют ее контрактной только в умах закоренелых консерваторов. Цветовой охват используемых материалов, рассчитанный на некий усредненный печатный процесс, фиксированные значения растискивания, ограниченный перечень подложек, наличие слоя защитного ламината, искажающего цветовоспроизведение, имитация по существу печати «по сухому» и неучет реального красковосприятия — все это, помноженное на часто встречающиеся нарушения технологии изготовления в отсутствие контрольных шкал, делают аналоговую цветопробу всего лишь красивой картинкой. Картинкой, имеющей довольно отдаленное отношение к изображению, которое можно получить средствами офсетной печати, особенно если это печать не на бумаге. Подтверждение тому: производители аналоговых проб один за другим снимают их с производства, перепрофилируясь на цифровые. Тем не менее, нередки случаи, когда дизайнер заявляет, что не смог подписать у заказчика контрактную цифровую пробу, поскольку она тому не понравилась. А вот удачно «подсунутую» красивую картинку аналоговой заказчик утвердил. Такой подход таит в себе огромные проблемы.

Проведенные исследования показывают, что цветовой охват известных аналоговых цветопроб смещен по отношению к охвату стандарта ISO 12647. На рис. 1 показан частный случай (для определенного значения параметра L*) цветовых охватов аналоговых цветопроб Machprint и Cromalin, цифровой цветопробы на базе Epson 7600 и печатной машины Shinohara 52–4, отрегулированной в соответствии со стандартом ISO. Как это ни парадоксально звучит, самое ужасное в том, что где-то цветовой охват аналоговых цветопроб совпадает с охватом стандарта. Ужасно именно из-за этой своей неопределенности. То ли совпадет, то ли нет. Не надо думать, что в аналоговую цветопробу вообще невозможно «попасть». Иногда и даже часто можно, если цветовой охват изображения окажется в пределах охвата пробы. Попадали и попадают до сих пор. Однако сплошь и рядом встречаются иные случаи, когда, потеряв массу времени и материалов, печатник беспомощно разводит руками. Ну никак! А в это время дизайнер, присутствующий на приладке, терзается сомнениями: то ли печатник неквалифицированный, и этот мучительный процесс следует продолжать до победного конца, то ли действительно в пробу невозможно попасть, потому что невозможно по определению. Глядя на броские, сочные под ламинатом цвета аналоговой цветопробы, это невозможно предугадать. По большому счету, дизайнер настаивает на своем присутствии на приладке именно потому, что заведомо не уверен в возможности попадания в аналоговую цветопробу и хочет лично подтвердить, какая степень «непопадания» его устроит.

Иное дело цифровая цветопроба, со всем комплексом необходимых для ее изготовления приборов и устройств, программного обеспечения и, самое главное, знаний, а не просто отпечаток на цветном принтере. Она не требует изготовления фотоформ, значительно быстрее в изготовлении и дешевле аналоговой, по цене сопоставима с выводом самих фотоформ, за счет широкого цветового охвата может имитировать практически любой процесс офсетной печати разными красками и на любых материалах. Сама методика изготовления цифровой цветопробы, в обязательном порядке предусматривающая наличие профиля печатного процесса, предполагает своеобразную пробную печать в реальных условиях. Машина, однажды сумевшая воспроизвести определенный цвет при печатании специальных тестовых таблиц, необходимых для построения ICC-профиля, просто обязана повторять его раз за разом, если ей в этом не мешать. Единственно, что требуется от печатника - соблюдать условия печати и строго придерживаться заданных параметров, то есть следовать определенному стандарту. И лучше, если это будет международный стандарт ISO 12647–2.

Список литературы

Для подготовки данной работы были использованы материалы с сайта http://publish.ruprint.ru/

Похожие работы на - Хватит сюрпризов, или Как добиться постоянства цвета

 

Не нашли материал для своей работы?
Поможем написать уникальную работу
Без плагиата!
Без нейросетей!