Освобождение от уголовной ответственности
Прикладные схемы определения метрологических
характеристик ядерно-геофизических методов исследования скважин.
Красноперов Владимир Анатольевич, доктор геол.-мин.
наук, профессор, академик РАЕН, Кульдеев Ержан Итеменович, инженер, Университет
Сулеймана Демиреля, г. Алматы, Казахстан
С
позиций метрологии опробование - процесс получения информации о составе и
свойствах вещества, управляемый вероятностными и систематическими законами.
Каждый метод опробования реализуется в два этапа: на первом создают
благоприятные условия измерений, по возможности исключают источники снижения
качества; на втором - проводят окончательное измерение, т.е. устанавливают
числовую характеристику аналитического свойства. Из отмеченных обстоятельств
вытекают важные следствия:
а)
количественный анализ - процесс измерительный;
б)
для него характерны своеобразные и сложные способы устранения факторов, снижающих
достоверность результатов;
в)
при измерениях в естественном залегании (in situ) и неразрушающих испытаниях
образцов процесс измерений дополнительно осложняется тем, что среда (образец)
не может быть подвергнута дополнительной обработке с целью уменьшения влияния
неоднородности состава;
г)
в различных методах опробования содержания в пробах малых объемов по
"аналогии" распространяются на большие объемы, не всегда достаточно
обоснованно;
д)
при использовании физических методов важной особенностью
процесса
анализа является необходимость градуировки: установления зависимости между
содержанием элемента и числовой характеристикой аналитического свойства, что
служит специфическим источником погрешностей.
Все
отмеченное делает правомерным метрологический подход к проблеме с определением
таких характеристик, как избирательность, чувствительность, пределы обнаружения
и определения, сходимость и воспроизводимость, представительность, правильность
и точность [3,6,7,14,15,32,33].
Понятие
избирательности (однозначности, специфичности) характеризует способность метода
- выделить измеряемое аналитическое свойство элемента на фоне аналогичного от
мешающих элементов. В ЯГФМ опробования однозначность определяется
специфичностью свойств измеряемого параметра (определенного элемента),
заложенной в физическом процессе для определения аналитической характеристики,
связанной с измеряемым параметром. В общем случае подход заключается в
оптимизации различных параметров инструментального метода для снижения влияния
помех. Избирательность повышается применением более подходящего источника
ядерных излучений, селективного анализатора, эффективного датчика и т.д.
Чувствительность,
пределы обнаружения и определения. В ЯГФМ мерой количества определяемого
элемента служит величина физического эффекта в показаниях измерительного
прибора. Регистрируемый сигнал пропорционален количеству определяемого
элемента. Поскольку все измерения выполняются при наличии фона, то мерой
количества является разность двух сигналов.
Чувствительность
- определяет способность метода измерений обнаружить с заданной надежностью или
вероятностью разницу между очень малыми количествами вещества [28,30].
Существует также понятие - "разрешение метода измерений", т.е.
способность с заданной надежностью или вероятностью различать близкие значения
измеряемой величины в рабочем диапазоне измерений. Эти понятия специальным
ГОСТ-ом не предусматриваются [7]. В проекте рекомендаций [34] понятия
чувствительности и разрешения метода также отсутствуют. Даются лишь определения
чувствительности и порога чувствительности для измерительного прибора. Понятия
точности измерений [7] и чувствительности в рабочем диапазоне измерений
практически имеют одинаковый смысл. В области малых значений концентраций
введены понятия пределов обнаружения и определения [7] ,имеющие тот же смысл,
что и порог чувствительности метода [20, 24, 29, 30].
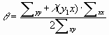
Предел
обнаружения характеризует способность метода обнаружить минимальное количество
полезной информации (химического элемента) с надежностью, не превышающей заданную.
Это практически предел, к которому нужно стремиться при разработке методики
измерений. Он зависит лишь от соотношения между полезным эффектом и фоном.
Предел
определения характеризует способность метода определить минимальное количество
полезной информации (химического элемента) с заданной надежностью и зависит от
суммарной погрешности измерений в области малых содержаний:
,
(I.I)
где
Р - предел определения;
K
- коэффициент надежности;
M
-величина полезного сигнала на единицу содержания;
s
å и s i - погрешности измерений.
Для
ЯГФМ наиболее оптимален случай, когда сумма аппаратурных, физических и
технических погрешностей близка к статистической ошибке измерения фона и
распределение информации при достаточно большом количестве измеряемых актов
подчиняется нормальному закону:

. В этом случае предел определения можно оценить
как:
(1.2)
где
Ja и Jф - интенсивности полезного сигнала на единицу содержания и фона; h
=Ja/Jф контрастность; t-время измерения.
Окончательно
величина Р оценивается по сходимости результатов ЯГФМ в области забалансовых
содержаний (< 0,3 бортового для за балансовых руд) на длину единичной
геологической пробы – L (1-2 м) для t =L /V, где V - скорость каротажа.
В
радиохимии, активационном анализе используются следующие характеристики:
критический уровень сигнала, на котором могут основываться решения; нижний
предел детектирования, чувствительность детектирования, минимальная
определяемая активность (или масса), предел гарантии чистоты [30]. К этому
нужно добавить критерии, в которых предел обнаружения принят эквивалентным фону
или превышает фон на заданную величину. В работе [30] проведена оценка
различных критериев обнаружения, показано, что полученные значения составляют
1-20 стандартных отклонений фона. В ядерной геофизике порог чувствительности
обычно оценивают лишь с учетом статистической ошибки [5, 31]. Поэтому
определенный интерес представляет разработка способов оценки порога
чувствительности, как предела определения, при конкретном использовании
измерений с учетом главных действующих факторов.
В
соответствии с [7] качество измерений характеризуется сходимостью и
воспроизводимостью.
Сходимость
измерений - качество, отражающее близость друг к другу результатов измерений,
выполняемых в одинаковых условиях.
Воспроизводимость
измерений - качество, отражающее близость друг к другу результатов измерений,
выполняемых в различных условиях (в разное время, в различных местах,
различными методами и средствами). Следует отметить, что для рентгеновских и
гамма-гамма методов, обладающих малой глубинностью, расхождения при повторных
измерениях лучше характеризовать понятием воспроизводимость, т.к. информация
поступает с различных частей поверхности скважины (выносной блок датчика
описывает различные образующие), что при неравномерном распределении оруденения
вносит весьма существенную дополнительную погрешность за счет при родной
дисперсии содержаний. В то же время повторение результатов в условиях скважин
для методов с большей глубинностью (активационных, нейтронных и
гамма-радиационных), характеризуется понятием сходимости, т.к. информация
поступает практически равномерно из окружающего объема породы, а глубинность
исследований соизмерима с диаметром скважин. Поэтому при выполнении контрольных
измерений в скважинах с неравномерным оруднением малоглубинными методами при
оценке сходимости необходимо учитывать дисперсию содержаний по данным половин
кернов. При этом дополнительным способом контроля служат измерения на
специальных эталонах до и после записи диаграммы каротажа.
В
опробовании понятие представительность имеет ряд толкований, сводящихся к тому,
на какой геологический объем распространяется информация от пробы [33]. Для
геофизического опробования существует понятие глубинности метода, за которую
принимается толщина насыщенного по мощности слоя исследуемой среда, дающая 90%
полезной информации [31].
Понятие
глубинности отвечает представительности пробы лишь в первом толковании, когда
проба представляет собственную область замера. Для ЯГФМ глубинность изменяется
от долей мм до десятков см.
В
соответствии с [7] правильность результатов измерений (данных опробования)
определяется как качество, отражающее близость к нулю систематических
погрешностей в их результатах. Оценка величины систематических расхождений
проводится по сопоставлению средних значений подсчетных параметров: содержаний,
мощностей и линейных запасов по ЯГФМ и геологическому опробованию. В
сопоставлениях не должны участвовать данные геологического опробования,
использованные ранее для получения рабочей эталонной зависимости (пересчетного
коэффициента) для перевода показаний ЯГФМ в значения определяемого признака.
Оценка
правильности результатов наиболее важна для относительных измерений, к которым
относятся ЯГФМ. Специфичность оценки правильности результатов при опробовании в
естественном залегании, в том числе и ЯГФМ, заключается в отсутствии
"абсолютных" эталонов для сравнения. Принято считать, что результаты
по пробам большого объема (валовым) обладают большей надежностью, чем результаты
оперативных рядовых методик опробования бороздой, затиркой, горстью, с помощью
извлечения керна, шлама и т.п. ЯГФМ по объемной представительности
(глубинности) принадлежат к группе рядовых, оперативных.
Практика
показывает, что на большинстве геологических объектов, разведуемых бурением,
исполнители-геофизики имеют возможность сравнивать свои результаты с данными
рядового опробования керна, отвечающими определенным инструктивным требованиям
к качеству исполнения (весовой выход керна не менее допустимого, обычно 70%;
точность химического анализа в соответствии с допусками [18]. Причем рядовое
опробование зачастую обладает систематическими расхождениями за счет
избирательных потерь материала геологических проб.
В
заключительную стадию разведки результаты оперативных методов опробования, в
т.ч. ЯГФМ, имеющих эталоном рядовое геологическое опробование, могут быть
"заверены" данными по пробам большого объема (вал, опытная
отработка), если это предусмотрено проектом на разведку с целью повышения строгости
оценки правильности результатов.
Месторождения
с весьма неравномерным распределением полезного компонента (золото, ртуть,
вольфрам и т.д.) требуют специальных исследований для обоснования надежности
опробования рядовыми геологическими методами. Полученные выводы
распространяются и на ЯГФМ [13, 14, 15] .
В
соответствии с [7] понятие точность измерений трактуется как качество,
отражающее близость результатов к истинному значению измеряемой величины.
Причем понятие истинного значения принимается как идеальное. В реальных
условиях действует понятие действительного значения измеряемой величины, т.е.
найденного экспериментальным путем и настолько приближающегося к истинному
значению, что может быть использовано вместо последнего.
Точность
является основной метрологической характеристикой метода измерений (методики
опробования). Высокая (достаточная) точность соответствует малым погрешностям
всех видов, как систематических, так и случайных. Поэтому за главный критерий
при оценке точности ЯГФМ следует принять то, что их результаты на длину
единичной пробы (по пределу определения, сходимости и правильности) должны быть
не хуже оперативных геологических методов с близкой геометрией проб.
Относительно предела определения ЯГФМ отметим следующее: предел должен
обеспечить надежное (К=2, V=0,95) выделение забалансовых содержаний в единичной
пробе.
ЯГФМ
каротажа обладают физической однозначностью и во многих случаях решают задачу
количественной оценки признака. По своей метрологической сущности они являются
относительными и требуют специальных мер по градуировке, которая выполняется
статистическим сравнением с кондиционным керном, с данными опробования
околоствольного пространства скважин в горных выработках и с искусственными и
естественными моделями - эталонами.
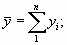
Зависимости
между геофизическим параметром и определяемым признаком, в частности
содержанием, можно рассматривать как функциональные с "шумами".
Сравниваемые величины по своей природе не случайны, но измерены с некоторыми
случайными и систематическими ошибками. Систематические ошибки в сравниваемых
выборках должны быть учтены, а уровень случайных - сведен к разумному минимуму.
Соответственно коэффициенты корреляции и корреляционные отношения должны быть
близки к единице (не хуже 0,8). Лишь в этом случае градировочные зависимости
могут служить для количественных определений. В каротаже практически
используются одно- и двухкомпонентные зависимости. Первые - полностью или по
частям аппроксимируются набором линейных функций или полиномами до 3-го
порядка, вторые - решаются чаще номографически, а также с помощью эмпирических
уравнений. Для оценки надежности однокомпонентной градировочной зависимости по
среднему колебанию линии регрессии используется линейная связь. В общем
содержание (С) и геофизический параметр (J) не случайны, но измерены с
некоторыми случайным ошибками (систематические незначимы); x =С± s с; h = J± s
J.
Выборочные
значения случайных величин с математическими ожиданиями М(s J)=М (s с)=0. Связь
между h и x можно представить в виде:
она
обусловлена определенной функциональной зависимостью между неслучайными
"структурными" компонентами J и С: J=а+в× с. Запишем
приближенные равенства через относительные погрешности:
т.к
J И С измеряются независимо;
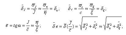
Преобразуем
связь между h и x :
, откуда:
(1.3)
Полученное
выражение позволяет с достаточной точностью оценить средние колебания линии
регрессии при линейной аппроксимации градировочной зависимости [1]. Значения
величин, входящих в (1.3) определяются из известных соотношений:
При
опробовании в естественном залегании вопрос правильности результатов имеет
принципиальное значение (естественная боязнь систематических отклонений в подсчете
запасов). Идеальных способов контроля правильности опробования практически не
существует, т.к. при опробовании постоянно действует фактор неполноты
информации из-за отсутствия "абсолютно правильных" эталонов, а
процесс пробоотбора контролируется не полностью. Существует чисто эмпирическая
иерархия "здравого смысла" в правильности результатов по пробам
различной величины (валовые и групповые пробы считаются более правильными и
представительными). Ведомственные руководства лимитируют лишь величину случайных
и систематических погрешностей при аналитических исследованиях проб, а
остальные операции, дающие как правило большие отклонения, лишь
регламентируются технологически.
Для
ЯФГМ с их относительной градуировкой оценка правильности результатов проводится
в два этапа: на первом выявляются систематические расхождения с рядовым
геологическим методом керн-каротаж, борозда - геофизический замер по
представительным классам (не менее 20 единичных сравнений в каждом); на втором
- в сравнении с данными "заверочного" опробования большеобъемными
контрольными пробами, если специфика объекта по природной дисперсии в рядовых
геологических и геофизических пробах не дает основания считать правильными
данные рядового опробования. Субъективизм такого подхода очевиден, т.к. само
опробование, точнее его математическая модель предусматривает решение
некорректной задачи: определение характеристики целого по его частям, без
знания законов изменения признака в объеме исследований. Отсюда
структурно-системный подход и относительность оценок.
Для
ЯГФМ в зависимости от задач и структурного уровня исследования объекта базой
для оценки правильности служат результаты геологических методов, обладающие
погрешностями, определенными не всегда корректно из-за неповторимости
вещественных проб ввиду повышенной природной дисперсии содержаний в смежных
элементарных объемах (особенно для ртути, вольфрама, золота). Из различных
способов проверки правильности измерений в практике опробования получили
распространение способы выявления систематических ошибок по сопоставлению
результатов основного и контрольного методов. При этом полагают, что полученные
контрольные результаты (геологическое опробование) не имеют систематических
ошибок [2, 4, 8, 9, 10, 11, 12, 19, 20, 23, 25].
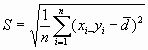
Сопоставления
выполняются по группам (классам), на которые разбивается весь диапазон
оцениваемых содержаний. В каждом классе результаты характеризуются близостью
значений содержаний и сходимостью измерений. Систематические ошибки
устанавливают, проверяя статистическую значимость различия между средними
результатами по основным и контрольным измерениям в каждом классе [12]. Схема
следующая:


(1.4)
Надежность
полученного расхождения между средними оценивают по статистике:
(1.5)
где
,
путем
сравнения V с табличным VT для соответствующих величин
n
и
Таблица
1. Значения VT статистики при доверительной вероятности 95%.
|
n
|
Р
|
|
0,0
|
0,1
|
0,2
|
0,3
|
0,4
|
0,5
|
2,31
|
2,25
|
2,20
|
2,14
|
2,10
|
2,08
|
|
10
|
2,23
|
2,18
|
2,14
|
2,11
|
2,08
|
2,06
|
|
12
|
2,18
|
2,14
|
2,11
|
2,08
|
2,06
|
2,05
|
|
15
|
2,13
|
2,10
|
2,08
|
2,05
|
2,04
|
2,03
|
|
20
|
2,09
|
2,06
|
2,05
|
2,03
|
2,02
|
2,02
|
|
|
1,96
|
1,96
|
1,96
|
1,96
|
1,96
|
1,96
|
При
V < VT, считается, что разность d – случайна, т.е. при данном уровне
случайных ошибок, значения систематических незначимы. В случае V > VT
анализируют выборку на наличие членов (хі-уі) > ` d и исключают из
рассмотрения “промахи” по статистике:
,
(1.6)
и
оценкой x по таблицам для доверительной вероятности 95% в зависимости от n
[22]. При n =20 , x £ 62,62.
Оперативная
оценка наличия "системы" в парных наблюдениях проводится графически в
координатах (x, y).
В
геолого-геофизической практике получил распространение метод выявления
систематических ошибок, состоящий в определении уравнения линейной регрессии y
на x ( x -основные геофизические, y - контрольные геологические измерения) и в
оценке существенного отличия коэффициента регрессии и свободного члена от
единицы и нуля соответственно [12, 17, 20, 21]. Однако, как показано в [26]
уравнение регрессии в общем случае не описывает зависимости между точными
результатами измерений, и, следовательно, не может быть использовано для корректного
выявления систематических ошибок. Действительно, сравнивая два ряда измерений:
основной (Xi) и контрольный (Уi), выполненные без случайных ошибок можно
записать:
Уi=a
у/х× Xi +b (1.7)
Это
уравнение определяет функциональное соотношение между точными результатами
измерений и условием отсутствия систематических ошибок является выполнение
равенств:
a
= 1, b = 0 (1.8)
В
случае опробования оба ряда отягощены случайными погрешностями, как основной,
так и контрольный. Причем считается, что последний не имеет систематических
ошибок. Задача состоит в том, чтобы определить величину и значимость
систематических расхождений при заданном уровне случайных ошибок в каждом
сравниваемом ряде измерений. В этом случае связь между xi и уi может быть
представлена линейным уравнением регрессии:
уi
= a у/х× xi + ву/х (1.9)
При
этом, если s 2 (x ), s 2( e (Х)), s 2( e (У)) - дисперсии истинных содержаний и
ошибок измерений соответственно, то дисперсии результатов измерений,
коэффициенты регрессии и корреляции будут равны [27]:
s
2 (х)= s 2 (x )+s 2( e (Х)), s 2 (у)= s 2 (x )+s 2( e (У)),

(1.10)
Откуда
получим:
где
(1.11)
Из
(1.11) следует, что если результаты основного метода содержат случайные ошибки
измерения, то ау/х £ a у/х=1, аналогично b у/х=0, ву/х¹ 0 т.е. при
отсутствии систематических ошибок в результатах основного метода коэффициенты
уравнения регрессии могут отличаться от 1 и 0. Лишь в случае, когда диапазон
изменения истинных содержаний достаточно широк, а ошибки измерений
незначительны, различие между (1.9) и (1.7) может быть практически
незначительным (К(х)< < 1).
В
общем случае, для определения коэффициентов (1.9) применяются методы
конфлюэнтного анализа [16, 27, 35], позволяющие анализировать априори
постулируемые функциональные связи между переменными, в условиях, когда
наблюдаются не сами переменные, а случайные величины. Наиболее полно
разработаны способы оценки линейного соотношения, из которых интересен для
оценки систематических ошибок способ нахождения коэффициентов a и b при наличии
дополнительной (по отношению к двум сопоставляемым рядам) информации о
характеристиках ошибок измерений [35]. Для этого по экспериментальным данным
получают оценки
и
и проверяют статистическую
значимость отличия их от 1 и 0 соответственно. Следуя [27], опишем схему
оценки:
1.
Имеется n пар измерений (xi /yi) для n проб с истинными (но неизвестными нам)
содержаниями искомого элемента x i.
2.
Ошибки измерений распределены нормально, так что результаты измерений xi и yi
могут рассматриваться как выборочные значения из нормальных совокупностей со
средними значениями Xi и Yi соответственно.
3.
Дисперсии ошибок основных и контрольных измерений одинаково зависят от
измеряемой величины или постоянны.
4.
Имеется дополнительная информация: известно отношение дисперсий ошибок
сопоставляемых методов:
(1.12)
либо
одно из значений d 2.
Исходные
статистики определяются по формулам:



(1.13)
Оценки
и
определяются по формулам:
,
(1.14)

;
(1.15)
Если
известна величина
или
=0, то
;
(1.16)
где
- оценка коэффициента
регрессии у на х.
Получаемые
оценки
и
являются состоятельными и несмещенными
при любом характере распределения истинных содержаний в пробах и любой l . Для
оценки возможной величины невыявленной систематической ошибки следует найти
доверительные интервалы для истинных значений a и b . Если эти интервалы
настолько широки, что могут маскировать недопустимые по величине
систематические ошибки, необходимо увеличить объем сопоставляемого материала (в
разумных пределах) или усовершенствовать методику измерений [ 9, 27].
В
соответствии с характером обсуждаемых в настоящей работе задач и практического
опыта применения ЯГФМ на месторождениях Южного Казахстана метрологические
требования сводятся к следующему:
1.
Фторометрия высоких содержаний, определение подсчетных параметров (содержания и
мощности) при разведке флюоритов. В соответствии с требованиями кондиций пласт
минимальной промышленной мощности с содержанием для оконтуривания забалансовых
руд должен надежно фиксироваться по мощности и содержанию (10% СаF2 на 2 м.
интервал). Сходимость результатов повторного и контрольного cпектрометрического
нейтронного активационного каротажа ( СНАК ) по содержаниям в промышленных
классах по величине среднеквадратической ошибки должна быть меньше
среднеквадратических расхождений по половинам керна в промышленных по мощности
пересечениях. Правильность СНАК оценивается по массовому сравнению с данными
керна, имеющего повышенный выход (в соответствии с геологическим проектом).
2.
Фторометрия малых (0,2-3,3% F2 ) и близких к кларковым (0,05-0,2% F2)
содержаний (фосфориты, апатиты и геохимические первичные ореолы на
месторождениях). Для фосфоритов и апатитов схема подхода остается как в пункте
1, соответственно содержания фтора 1,0% и 0,28% при мощностях 3 и 10 м. т.е.
при близких линейных запасах (3 и 2,8 м*%). Для непрерывных и точечных
измерений главным требованием становится предел определения (не хуже 0,1% F2).
3.
Определение технологических компонент руд горно-химического сырья. Для
флюоритов - это CaCO3 и SiО2 , для фосфоритов –это SiО2 в каждой пробе и Al2O3,
СaО, CО2, MgO в подсечении или блоке. Сходимость результатов ЯГФМ по классам
содержаний на длину указанных интервалов должна быть не хуже данных по
сравнению этих параметров по половинам керна. Систематические погрешности
оцениваются и при необходимости учитываются сравнением с результатами кернового
химического опробования по опорным скважинам, имеющим кондиционный выход керна.
4.
Для фторсодержащих сред с полиметаллическим, баритовым и редкометальным
орудеяением требования к ЯГФМ можно конкретизировать следующим образом.
В
поисковых скважинах интерес представляют визуально отмечаемые в керне включения
рудных минералов: вольфрамита, шеелита, галенита, сфалерита и барита. В этих
случаях минимальные содержания вольфрама, свинца, цинка не превышают одну
десятую и первые десятые доли процента, а барита первые проценты на длину
керновой пробы (0,5; 1,0; 2,0 м). РРК должен обладать пределом определения не
хуже 0,1% W03, Pb; 0,2% Zn. и 2,0 BaSO4 с надежностью 95% на единичный интервал
опробования. Для разведочных скважин РРК должен надежно выделять и
количественно оценивать содержания рудных компонентов, начиная с забалансовых в
единичных интервалах; для вольфрама - 0,17% W03 на мощность 6 м, для
полиметаллов - 0,35% Рb и 0,60% Zn. на мощность 3 м, для баритов - 10% на 3 м.
5.
При расчленении карбонатно-терригенно-глинистых резрезов по петрогенным
составляющим – SiO2, Al2O3, СaCО3 и (Ca,Mg) (CО3)2 должны быть найдены бескерновые
способы однозначной оценки с пределами определения не выше 0,4% Al2O3, l% SiO2
и первые проценты для кальцита и доломита с обеспечением градаций расчленения
по Al2O3, через 0,5-1%, а для других через 5%.
6.
При расчленении пород разреза: по эффективному атомному номеру разрешение
метода должно быть не выше 0,2 ед. в диапазоне 9,2-18 ед.; по плотности
надтепловых нейтронов (общее водородосодержания) в относительных условных
единицах разрешение метода должно быть не выше 0,2 усл.ед.; по содержанию урана,
тория и калия основное внимание должно быть акцентировано на измерении малых
активностей с пределами определения на интервал 5м не выше 0,2-0,3% калия и
1.10(-6)% урана и тория.
Список литературы
1.
Айвазян С.А. Статистическое исследование зависимостей. М.: Металлургия, 1968.-
227 с.
2.
Алексеев Р.И., Коровин Ю.И. Руководство по вычислению и обработке результатов
количественного анализа,- М.: Атомиздат, 1972,- 72 с.
3.
Блюменцев A.M., Краснопёров В.А., Ратников В.М. О терминологии
ядерно-геофизических методов рудного каротажа и опробования, - Сб.:
Ядерно-геофизические методы при поисках и разведке рудных месторождений, - М.,
ВНИИЯГГ, 1980, с.196-199.
4.
Ван Дер Варден Б.Л. Математическая статистика,- М.: ИЛ, 1960,-434 с.
5.
Голъданский В.И., Куценко А.В., Подгорецкий М.И. Статистика отсчетов при
регистрации ядерных частиц.- Физматгиз,1959,-412 с.
6.
ГОСТ 16263-70. Государственная система обеспечения единства измерений.
Метрология. Термины и определения. - М.,1982.-54 с.
ГОСТ
14263-69. Государственная система обеспечения единства измерений. Общие
требования к стандартным образцам веществ и материалов. - М., 1970.- 8 с.
Гутер
Р.С., Овчинский Б.В. Элементы численного анализа и математической обработки
результатов опыта,- Физматгиз, 1970,-432 с.
Давис
М. Геостатистические методы при оценке запасов руд, -Пер. с англ,- М.: Недра,
1980,- 360 с.
Зайдель
А.П. Ошибки измерений физических величин,- Наука, 1974.- 108 с.
Инструкция
по гамма каротажу при поисках и разведке урановых месторождений,- М.: Госгеолтехиздат,
1963,- 103 с.
Инструкция
по гамма-каротажу при поисках и разведке урановых месторождений,- М.: Недра,
1974.- 108 с.
Какдан
А.Б. Разведка месторождений полезных ископаемых. -М.: Недра, 1977,- 327 с.
Краснопёров
В.А. Об основных определениях опробования и метрологических характеристиках в
приложении к ядерно-физическим методам каротажа:/Тез.УI конф.: Математические
методы при прямых поисках месторождений полезных ископаемых .-Новосибирск: ВЦ
СО АН СССР, 1979, с.83-85.
Краснопёров
В.А. К вопросу оценки достоверности результатов ядерногеофизических методов
опробования разрезов скважин на твердые полезные ископаемые. - Изв. АН KaзCCP.
Сер.геол., 1982, № 2, с.80.- Полностью статья депонирована в КазНИИНТИ, №322-82
Деп.- 12 с.
Маслов
И.А. Лукницкий В.А. Справочник по нейтронному активационному анализу.-
Л.:Наука, 1971,- 312 с.
Методические
рекомендации МУ 41-06-027-83. Оценка достоверности опробования на
месторождениях твердых полезных ископаемых. - М.: Мингео СССР, НПО
"Нефтегеофизика", ВНИИЯГГ, 1983,-34 с.
Методы
лабораторного контроля качества аналитических работ: Методические указания. -М.
:Мингео СССР, ВИМС, 1975, вып.9,- 40 с.
Митропольский
А.К. Техника статистических вычислений. - М.: Наука, 1971,- 576 с.
Новиков
Г.Ф.,Капков Ю.Н. Радиоактивные методы разведки. -М.: Недра, 1965.-650 с.
Налимов
В.В. Применение математической статистики при анализе вещества.- М.: Физматгиз,
I960,- 431 с.
Оуэн
Д.Б. Сборник статистических таблиц. - М., Вычислительный Центр АН СССР, 1966.-
586 с.
Первичная
статистическая обработка аналитических данных (методические указания № 13): М.,
ВИМС, 1977,- 50 с.
Рабинович
С.Г. Погрешности измерений, - Л.: Энергия, 1978,-262 с.
Романовский
В.И. Математическая статистика, - М.-Л.: ГОНТИ, 1938,- 528 с.
Рощин
Ю.В. Об использовании уравнения регрессии с целью выявления систематических
ошибок при сопоставлении рядов основных и контрольных измерений.- Сб.: Вопросы
рудной радиометрии, вып. 2.-М.: Атомиздат, 1968, с.108-120,
Рощин
Ю.В. Способы конфлюэнтного анализа и выявление систематических ошибок по
сопоставлению рядов измерений. Там же. с.120-132.
Таблицы
физических величин. Справочник./Под ред.акад. И.К.Кикоина.- Л.: Атомиздат,
1976.-1008 с.
Ферсман
А.Е. Геохимия. Избр.тр.Изд.АН СССР; т.П, 1953,- 768 с.; т.Ш, 1955.- 799 с.;
т.II, 1958,- 588 с.
Физические
методы анализа следов элементов.Пер. с англ. /Под ред.И.П.Алимарина,-
М.:Мир,1967.-416 с.
Филиппов
Е.М. Прикладная ядерная геофизика.- АН СССР, 1962.- 580 с.
Четвериков
Я.И. Теоретические основы моделирования тел твердых полезных ископаемых,-
Воронеж,ВГУ,1968,- 158 с.
Четвериков
Я.И. Теоретические основы пробы, - Сб.: Применение математических методов при
поиске полезных ископаемых. -Новосибирск, 1974, с.73-91.
Широков
К.П. О проекте рекомендаций ВНИИМ: Основные метрологические термины и
определения.- Сб.: Исследования по методике оценки погрешностей измерений,
вып.57(117).- М.-Д.: Стандартиздат, 1962, с.101-122.
Turckian
K.K., Wedepohl K.H. Distribution of the elements in sone major units of the
Barth. “The Geol. Sos. of Am. ” Bull., 1961, v. 72, N 2, p.p. 175-191.
Список литературы
Для
подготовки данной работы были использованы материалы с сайта http://www.sciteclibrary.ru/