|
Федеральный
закон "Об охране окружающей среды".
|
N
7-ФЗ от 10.01.2002г.
|
Настоящий
Федеральный закон определяет правовые основы государственной политики в
области охраны окружающей среды <#"608935.files/image001.gif">
Организация зимней уборки.
С 16 октября по 15 апреля устанавливается период
зимней уборки. В зависимости от погодных условий указанный период может быть
сокращен или продлен по решению городской администрации.
Основной задачей зимней уборки улично-дорожной
сети является обеспечение такого состояния дорог и тротуаров, технологических
тротуаров и велодорожек, при котором достигается беспрепятственность работы
городского транспорта, безопасное движение пешеходов и транспортных средств.
Перечень технологических операций и видов работ,
производимых в зимний период:
. уборка дорог:
очистка дорог от снежно - ледяных образований;
удаление снежно - ледяных образований;
устранение гололеда и скользкости;
подметание дорог в период отсутствия снега и
благоприятных погодных условий;
уборка разделительных полос и островков
безопасности;
погрузка и вывоз смета с пунктов перегруза на
полигоны ТБО с учетом утилизации смета;
. уборка тротуаров, технологических тротуаров и
велодорожек:
очистка тротуаров и велодорожек от
снежно-ледяных образований;
удаление снежно-ледяных образований;
устранение гололеда и скользкости;
подметание тротуаров и велодорожек в период
отсутствия снега и благоприятных погодных условий;
ручная уборка тротуаров и технологических
тротуаров;
. прочие виды работ:
содержание снегоприемных и снегоплавильных
пунктов;
содержание пескобаз;
содержание пунктов перегруза смета на полигоны ТБО
с учетом утилизации смета;
погрузка и вывоз мусора с пунктов перегруза
специализированным транспортом на заводы переработки бытовых отходов для
утилизации;
содержание пунктов перегруза смета и мусора;
дежурство.
В период зимней уборки для своевременного
обеспечения работ по устранению скользкости на дорогах и оперативного принятия
мер по устранению последствий стихийных бедствий, чрезвычайных ситуаций и иных
погодных явлений на предприятиях организуется круглосуточное дежурство
уборочной техники, в котором задействуется до 50% машин от количества
работающих на линии.
Организация летней уборки.
С 16 апреля по 15 октября устанавливается период
летней уборки. В зависимости от погодных условий указанный период может быть
сокращен или продлен по решению городской администрации.
Основной задачей летней уборки дорог и
тротуаров, технологических тротуаров и велодорожек является удаление
загрязнений, накапливающихся на городских территориях и приводящих к
возникновению скользкости, запыленности воздуха, ухудшению чистоты атмосферы и
эстетического вида города.
Перечень технологических операций и видов работ,
производимых в летний период:
. Уборка дорог:
подметание дорог;
мойка дорог;
поливка дорог;
уборка разделительных полос и островков
безопасности.
. Уборка тротуаров, технологических тротуаров и
велодорожек:
подметание тротуаров и велодорожек;
мойка тротуаров и велодорожек;
поливка тротуаров и велодорожек;
ручная уборка тротуаров и технологических
тротуаров.
. Прочие виды работ:
уборка опавших листьев на дорогах, велодорожках
и тротуарах;
уборка куч загрязнений на дорогах, велодорожках
и тротуарах;
уборка грунтовых наносов межсезонного
образования и после ливневых дождей на дорогах, велодорожках и тротуарах;
содержание пунктов перегруза смета;
погрузка и вывоз смета с пунктов перегруза на
полигон ТБО с учетом утилизации смета;
погрузка и вывоз мусора с пунктов перегруза
специализированным автотранспортом на полигон ТБО для утилизации;
содержание пескобаз;
приготовление песко - соляной смеси;
содержание гидрантов для заправки водой
поливомоечных и подметальных машин;
дежурство.
В целях оперативного принятия мер по устранению
последствий стихийных бедствий, чрезвычайных ситуаций и иных погодных явлений
на предприятиях в ночное время с 1-00 до 5-00 организуется дежурство уборочной
техники, в котором задействуется до 40% машин от количества работающих на
линии. Таким образом, существующий перечень мероприятий по уборке, способен
поддерживать в чистоте территорию города.
Благоустройство территории города.
Перечень технологических операций и видов работ,
производимых по
благоустройству территории:
уход за деревьями одиночными, свободно
растущими, групповыми, аллейными с формирующими кронами, (санитарная обрезка
веток с вывозом материала на полигон, рыхление приствольных кругов с закупкой и
внесением удобрений, покраска стволов);
уход за кустарниками в группах (прочистка и
удаление большой поросли с вывозом веток на полигон);
уход за кустарниками в «живой изгороди»
(прочистка и удаление большой поросли с вывозом сухостоя на полигон);
уход за газонами (окос, сгребание и вывоз
скошенной травы на полигон);
уход за цветниками (прополка, полив, весенняя
уборка сухостоя с вывозом на полигон);
благоустройство территории между силовыми
ограждениями и тротуаром (приобретение и завоз грунта, приобретение и посадка
деревьев, пересадка кустарника);
устройство цветников из многолетников и
однолетников (приобретение и завоз грунта, перекапывание, формирование,
посадка);
Таким образом, состояние улиц города в летний и
зимний период, целиком зависит от оснащённости предприятия спецтранспортом, его
состоянием, качества оборудования и материалов, проессионализма руководящего
звена и квалификации рабочих и служащих предприятия, а так же состояния дорог.
Нельзя не отметить, что большую роль в поддержании порядка на улицах города
играет сознательность горожан.
1.3 Зарубежный опыт благоустройства и уборки
территории в летний и зимний периоды
В Финляндии принято чистить трассы со скоростью
80-90 км/ч. И это лишь один из секретов их работы. Большинство жителей этого
государства живет обособленно - на хуторах. Поэтому и сеть дорог там гораздо
разветвлённее, в отличии от континентальной Европы, и много дорог с грунтовым
покрытием. Однако все они содержатся, в том числе зимой, в исключительном
состоянии.
Снег убирают непосредственно после его
выпадения. Государственная компания Destia, которая занимается проектированием,
строительством и содержанием дорог: следит за разметкой, устанавливает дорожные
знаки. В зимний период - убирает снег. Очисткой 600 километров дорог,
закрепленных за отделением, занимаются всего 25 снегоуборочных машин. Из них
самой компании принадлежат всего четыре автомобиля. На штате восемь водителей и
три бригадира. Остальной техникой владеют частные водители, по контракту. И у
всех в любое время суток есть «one hour alert limit» - один час на то, чтобы по
сигналу тревоги выйти на уборку дорог.
Что касается самой технологии, то в городах она
похожа на нашу: снег сгребают тракторами и ссыпают погрузчиками в самосвалы.
При этом финны широко используют специализированную минитехнику марок Wilma и
Hako (Мультикары). Чисткой подъездных дорог от шоссе к отдельным домам
занимаются сами хозяева - хуторяне: либо покупают маленькие снежные фрезы, либо
просто закрепляют отвалы на собственных джипах.
Для очистки шоссе используются специальные
грузовики. Модель называется Sisu Works: завод Sisu поставляет дорожные машины
«в комплекте» со всем необходимым оборудованием.
Характеристика: - Полная масса - 32 тонны,
коробка передач - 16-ступенчатая ZF;
двигатель Caterpillar мощность 500 л.с.
Такой автомобиль развивает скорость при уборке
снега до 90 км/час. Еще одна особенность - разветвленная гидросистема.
Гидравлика отвечает за множество рабочих операций: перемещение отвалов, прижим
ножа, подъем кузова (и отдельно заднего борта), опускание мостов и «медведок»,
наконец, работу пескоразбрасывателя. Это устройство правильнее называть
«граниторазбрасывателем»: в Финляндии рассыпают гранитную крошку, причем
применяют ее многократно:
весной собирают с обочин, очищают - и берегут до
следующей зимы.
Так же бережно финны используют и саму машину. В
теплое время плуги меняют на щетку, в кузов устанавливают бочку - и грузовик
отправляется мыть дорожное полотно. Если к переднему бамперу крепится плунжер
высокого давления, та же машина отмывает дорожные знаки и указатели. А в
свободное время грузовик освобождается от всех навесок и работает обычным
самосвалом. Универсальная машина заменяет сразу несколько
узкоспециализированных. Поэтому применяется качественное и быстросменное
навесное оборудование: его установка и съем занимают несколько минут. Стоимость
Sisu Works в полной комплектации стоит 230 тысяч евро, из них 50 тысяч евро -
передний отвал и разбрасыватель. И следят за такими машинами крайне тщательно:
хранят в отапливаемом ангаре, там же меняют оборудование и проводят
техобслуживание. Ремонт осуществляется только на дилерской станции. Средний
срок службы такого автомобиля 20 лет. Чтобы обозначить края заснеженных дорог и
облегчить работу уборщиков, применяются красные полутораметровые пластиковые
вешки, закрепленные у основания в резиновых вставках (чтобы вешки гнулись, но
не ломались). Установка производится автоматически с помощью специального
оборудования.
Уборка опавшей листвы за границей
Если мы обратимся к западному опыту сбора
листьев в городах, то увидим интересную вещь: опавшую листву собирают только
один раз в год, когда все деревья полностью сбрасывают листья. Очень экономично
и разумно. Причем, листва в парках и садах практически не убирается, т.к.
служит естественным удобрением земли. Например, в Швеции листву обычно убирают
машинами Leafeater. Кроме того, если для сбора сухой листвы и травы также
используют:
Ø Ручной воздуходув с трубой, который
носится на спине (кстати, он вскоре будет запрещен из-за вреда для здоровья
человека, носящего его);
Ø Пылесос, всасывающий листья. Имеет
маленький загрузочный бункер, может быть ручным или буксируется садовой
техникой. Засор в трубе всасывания - обычная проблема для подобных машин. При
необходимости уборки листьев с больших, сравнительно плоских территорий
используются пылесосы с большим приемным бункером, которые размещаются на
специальных шасси и буксируются тракторами. У таких машин также часто
засоряется всасывающая труба. Последний вариант используется довольно редко.
Ø Обычные ручные грабли.
Новое оборудование для сбора листьев - Leafeater
(Швеция). Leafeater способен справляться с любым мусором - сухим и мокрым,
заметая в свой бункер помимо листвы и травы бутылки, окурки, бумажки и проч.
Механическая машина проста в управлении, надежна и вынослива. Буксируемый любым
садовым трактором, Leafeater имеет маленький поворотный радиус и небольшой вес
- около 150 кг*, благодаря чему не повреждает газон и не захватывает землю.
Leafeater имеет вместительный бункер для загрузки листьев. Инновационная
конструкция машины полностью исключает возможность блокировки механизма.
В Швеции Leafeater используются в городских
парках, садах, зоопарках, на кладбищах, на частных участках, фермах и проч.,
т.е. в стране эти машины уже очень распространены и уже завоевывают другие
европейские страны - сейчас Leafeater работает также в Эстонии и Финляндии.
Уборка улиц в Финляндии
В Финляндии четкое разделение - есть бригады,
которые занимаются только уборкой территорий предпринимательского рынка, и
такие, которые убирают только дворовые и магистральные улицы. Да и работников
на улице меньше - им в подмогу дается техника. Например, двери и окна магазинов
и киосков моет с шампунем специальная машина.
В апреле в Хельсинки начинается весенняя уборка
улиц от песка и гравия, которыми их посыпали зимой, а также от накопившейся
грязи. Она продлится весь месяц. Узнать о предстоящем графике уборки горожане
могут при помощи sms-сообщения. Такую услугу предоставляет Строительный
департамент Хельсинки. Услуга предназначена, в первую очередь, для
автовладельцев, которые заранее смогут убрать свою машину с улицы, освободив
дорогу уборочной технике. Информация может быть полезна также аллергикам,
страдающим от пыли. Эксперимент был начат в прошлом году в двух районах
Хельсинки, а в нынешнем сезоне охватил уже почти весь город.
Информацию об уборке горожане могут получить
также на сайте Строительного департамента. А автомобилистов предупредят
специальные переносные дорожные знаки. Если машина будет припаркована после
установки подобного знака, то расходы за ее эвакуацию (80 евро) придется
заплатить владельцу.
В Строительном департаменте подсчитали, что
ежегодно при уборке улиц с них приходится перемещать почти 20 000 транспортных
средств. Это не только влечет за собой дополнительные расходы, но и замедляет
осуществление работ.
Сбор мусора за рубежом.
За рубежом очень давно распространен раздельный
сбор мусора. В Швейцарии, например, это даже закреплено законом. Так, каждый
житель Швейцарии обязан сортировать мусор. Нарушителям - крупный штраф.
За соблюдением закона следит «мусорная полиция»,
которая способна найти и привлечь к суду даже человека, выбросившего из окна
машины окурок.
В США для борьбы с пластиковым мусором мэр
Сиэтла запретил продавать в городе воду в полиэтиленовых бутылках. Благодаря
этой мере, по расчетам, Сиэтл сможет ежегодно экономить до 60 тыс. долларов на
уборке и утилизации мусора.
В Германии на каждого жителя приходится 25
килограммов мусора в месяц. Тем не менее, Германия - одна из наиболее опрятных
стран мира. В каждом доме есть экологически безвредные, саморазлагающиеся от
солнечного света пакеты для биомусора. На улицах и во дворах - ряды
контейнеров: отдельно для пластика, отдельно для жестянок, для коричневых и
зеленых бутылок. Это позволяет не только поддерживать чистоту, но и снижает
издержки по утилизации отходов на 40%.
Жители же Великобритании используют продуктовые
пакеты из сырья, подлежащего вторичной переработке. Премьер-министр Джордж
Гордон Браун еще в 2007 году призвал все британские магазины заменить вредные
пластиковые пакеты на бумажные.
Контейнеры для раздельного сбора должны
выполняться закрытыми, и оборудованы «приемными щелями», в которые не проходит
пакет со смешанными отходами. Недостатком предложенной конструкции является
невозможность сбора в контейнер больших картонных коробок, которые, однако,
можно складировать рядом с контейнером для бумаги. Такая схема принята во
многих городах Европы и Северной Америки.
Японская фирма Хонда широко известна в России,
однако наша страна еще мало знакома со снегоуборочными миниагрегатами,
выпускаемыми фирмой. Между тем во многих странах, где существует проблема
борьбы со снегом, эта первоклассная техника уже давно пользуется заслуженной
популярностью.
Машины фирмы Хонда применяются для уборки снега
в средних и крупных частных владениях, на улицах, на территории санаториев,
клиник, пансионатов, горнолыжных курортов и др. Такой широкий диапазон
применения объясняется тем, что агрегаты фирмы Хонда могут применяться и там,
где использование обычной техники становится затруднительным из-за ее габаритов
(малые площади, интенсивное дорожное движение).
Рисунок. Машины фирмы Хонда.
Фирмы Германии выпускают различную коммунальную
и другую технику.
Таблица 3. Снегоуборочная техника
|
Модель
|
База
|
Дополнительная
информация
|
|
Роторный
очиститель снега SCHMIDT S3.1
|
Unimog
1400-1450
|
Привод
центрифуги - спереди. Диаметр рабочего колеса - 1100 мм. Размер выброса: 22м
|
Таблица 4. Тротуаро-уборочные машины
|
Модель
|
Емкость
мусорного бака
|
Дополнительная
информация
|
|
SCHMIDT
SK 150,SK151-S
|
2
м3
|
Дизель
VW, подметалки, бак самовысыпной (опрокидывающийся) ,полная гидравлика,
поливомойка
|
Таблица 5. Дорожно-уборочные машины
|
Модель
|
База
|
Емкость
мусорного бака
|
Дополнительная
информация
|
|
MAN
14.136
|
MAN
|
|
2
подметалки, пылесос
|
|
SCHMIDT
SK340
|
UNIMOG
U 1650
|
3,4
м3
|
2
подметалки, пылесос, возможность навешивания другого оборудования
|
|
SCHMIDT
SK 320
|
UNIMOG
U 1000, U 1200
|
2,5
м3
|
2
подметалки, пылесос, возможность навешивания другого оборудования
|
Таблица 6. Автомобили-мусоровозы
|
База
|
Грузоподъемность
|
Грузоподъемность
манипулятора
|
Объем
кузова
|
Дополнительная
информация
|
|
МВ
2222
|
11
т
|
800
кг
|
24
м3
|
Мусорные
контейнеры с прессом фирмы FAUN, аналоги КО 41 5А
|
Примеры систем раздельного сбора
мусора за рубежом
Каждый житель Швейцарии обязан
сортировать мусор - это закон. Нарушителям - крупный штраф. За соблюдением
закона следит мусорная полиция, которая способная найти и привлечь к суду даже
человека, выбросившего из окна машины окурок. Тот же, кто не желает «пачкать
руки», должен заплатить налог, чтобы его отходами занялся специалист. Еще одна
прямая обязанность каждого <#"608935.files/image003.gif">
Рисунок 6. План финансирования
предприятия на 2010 год.
Рисунок 7. Смета доходов и расходов
муниципального унитарного казенного предприятия «ЧИСТЫЙ ГОРОД» на 2010 год.
Таким образом, на диаграммах видно, что
финансирование в 2010 году согласно плана составляет 28270800 руб. (Из бюджета
и Муниципального контракта). Общие расходы предприятия в 2010 году составили
30228500 руб. Следовательно, для выполнения плана работ по благоустройству и
уборке территории, предприятию необходимо организовать деятельность по
получению прочих доходов.
Сравнительный анализ финансовой деятельности
предприятия по благоустройству и озеленению за 2009г.-2010г.
Рассмотрев сметы на уборку территории и её
благоустройство получаем сводные данные доходов и расходов муниципального
унитарного казенного предприятия «ЧИСТЫЙ ГОРОД» за данный период.
Таблица 10. Смета доходов и расходов
муниципального унитарного казенного предприятия «ЧИСТЫЙ ГОРОД» на 2010 год
Таблица 11. Сводные данные сметы за 2009 год
(тыс. рублей).
|
Наименование
|
1кв
|
2кв
|
3кв
|
4кв
|
год
|
|
Всего
доходов
|
2479,0
|
4351,3
|
4337,9
|
3640,7
|
14809,0
|
|
Всего
расходов
|
2320,9
|
3746,3
|
3053,6
|
3090,0
|
12210,8
|
|
Финансовый
результат
|
158,1
|
605,0
|
1284,4
|
550,7
|
2598,2
|
Таблица 12. Сводные данные сметы за 2010 год
(тыс. рублей).
|
Наименование
|
1кв
|
2кв
|
3кв
|
4кв
|
год
|
|
Всего
доходов
|
2568,2
|
4348,2
|
4236,5
|
3752,0
|
14904,9
|
|
Всего
расходов
|
2544,8
|
4107,8
|
3348,2
|
3388,2
|
13389,0
|
|
Финансовый
результат
|
173,4
|
663,4
|
1408,3
|
603,8
|
2848,9
|
Мы видим, что доходы предприятия на период с
2009г. по 2010г. выросли на 8,8 %. Финансовый результат показывает нам, что
доходы предприятия превышают расходы. На основании этого можно сделать вывод о
том, что предприятие стабильно, экономически устойчиво, расходы в текущем году
не превышают планируемые расходы на отчётный период.
Таблица 13. Смета доходов и расходов
муниципального унитарного казенного предприятия «ЧИСТЫЙ ГОРОД» на 2010 год по
содержанию улично-дорожной сети в летний и зимний период.
Сравнительный анализ финансовой деятельности по
содержанию улично-дорожной сети за 2009г.-2010г.
Таблица 14. Сводные данные сметы за 2009 год
(тыс. рублей).
|
Наименование
|
1кв
|
2кв
|
3кв
|
4кв
|
год
|
|
Всего
доходов
|
3037,9
|
2717,9
|
2430,2
|
3062,9
|
11248,8
|
|
Всего
расходов
|
2233,5
|
1920,6
|
1926,1
|
2190,7
|
8270,9
|
|
Финансовый
результат
|
804,4
|
797,3
|
504,1
|
872,1
|
3160,3
|
Таблица 15. Сводные данные сметы за 2010 год
(тыс. рублей).
|
Наименование
|
1кв
|
2кв
|
3кв
|
4кв
|
год
|
|
Всего
доходов
|
3331
|
2980,1
|
2664,7
|
3358,4
|
12334,2
|
|
Всего
расходов
|
2449,0
|
2105,9
|
2112,0
|
2402,1
|
9069,0
|
|
Финансовый
результат
|
882,0
|
874,2
|
552,7
|
956,3
|
3465,2
|
Мы видим, что доходы и финансирование дорог в
летний и зимний период 2009г.-2010г. превышают расходы на их содержание.
У предприятия остаются денежные средства на внедрение
инновационных проектов, закупки новых видов техники, для усовершенствования
уборки.
Таблица 16. Смета доходов и расходов
муниципального унитарного казенного предприятия «ЧИСТЫЙ ГОРОД» на 2010 год по
вывозу отходов
Сравнительный анализ финансовой деятельности по
вывозу отходов за 2009г-1010г.
Таблица 17. Сводные данные сметы за 2009 год
(тыс. рублей).
|
Наименование
|
1кв
|
2кв
|
3кв
|
4кв
|
год
|
|
Всего
доходов
|
1751,7
|
2332,9
|
2261,8
|
1833,1
|
8179,5
|
|
Всего
расходов
|
1667,8
|
1925,1
|
1844,8
|
1649,0
|
7086,7
|
|
Финансовый
результат
|
83,9
|
407,8
|
417,0
|
184,1
|
1092,8
|
Таблица 18. Сводные данные сметы за 2010 год
(тыс. рублей).
|
Наименование
|
1кв
|
2кв
|
3кв
|
4кв
|
год
|
|
Всего
доходов
|
1920,7
|
2558
|
2480,0
|
2010,0
|
8968,7
|
|
Всего
расходов
|
1828,7
|
2110,9
|
2022,8
|
1808,1
|
7770,5
|
|
Финансовый
результат
|
92,0
|
447,1
|
457,2
|
201,9
|
1198,2
По стабильно положительному финансовому
результату видно, что предприятие получает стабильную прибыль, оно рентабельно
и финансово устойчиво. Стабильность показателей в исследуемый период
сказывается и на экономической устойчивости предприятия в условиях нестабильной
экономики государства. Появляется возможность материального стимулирования
сотрудников предприятия.
.3 Сравнительный анализ финансово-хозяйственной
деятельности предприятия по уборке и благоустройству территории 2009 - 2010 гг.
.3.1 Анализ финансового состояния муниципального
унитарного казенного предприятия «ЧИСТЫЙ ГОРОД» за 2009 - 2010 года
Производственная деятельность предприятия - это
сложный процесс, охватывающий снабжение, производство и реализацию.
Экономические явления рассматриваются в экономическом анализе в тесной связи с
техникой, организацией и технологией производства. В условиях товарно -
денежных отношений производственная деятельность предприятия осуществляется с
использованием таких рычагов как себестоимость, рентабельность, прибыль. В
содержание экономического анализа входит изучение данных о том, как
используются эти экономические рычаги и какие достигнуты результаты
деятельности. Действенность анализа состоит в использовании результатов для
разработки мероприятий, направленных на использование выявленных в процессе
анализа, резервов повышения эффективности производства.[15]
Таблица 19. Анализ состояния основных средств и
иных внеоборотных активов.
|
наименование
|
Остаток
на конец 2009 года
|
Поступило
в 2010 году
|
Выбыло
в 2010 году
|
Остаток
на конец 2010 года
|
изменение
|
|
|
|
|
|
тыс.
руб.
|
%
к итогу
|
|
Основные
средства
|
6000
|
500
|
-
|
6500
|
+500
|
≈
8%
|
Таким образом, увеличение внеоборотных активов
на 8% в 2010 году (обновление основных средств) говорит о способности к
укреплению экономики предприятия и стабильности его финансового состояния.
2.3.2 Анализ состояния запасов и затрат
В процессе анализа состояния запасов и затрат
необходимо установить обеспеченность предприятия запасами сырья и т.п.
Таблица 20. Анализ состояния запасов и затрат.
|
Наименование
|
Остаток
на конец 2009 года
|
Изменение
в 2010 году, тыс. руб.
|
Остаток
на конец 2010 года
|
|
|
|
тыс.
руб.
|
%
к итогу
|
|
Оборотные
активы
|
1000
|
+200
|
1200
|
20%
|
|
сырье,
материалы и другие аналогичные ценности
|
650
|
+50
|
700
|
7,7%
|
|
расходы
будущих периодов
|
350
|
+150
|
500
|
42,8%
|
Таким образом, повышение роста запасов и затрат
приводит к повышению на некоторое время степени ликвидности текущих активов,
что свидетельствует о наращивании производственного потенциала предприятия.
.3.3 Анализ ликвидности и платёжеспособности
предприятия.
Ликвидность баланса определяется как степень
покрытия обязательств предприятия его активами, срок превращения которых в
деньги соответствует сроку погашения обязательств. Это величина, обратная
времени - чем меньше время, которое потребуется, чтобы данный вид активов
превратился в деньги, тем выше ликвидность. Для расчёта следующих показателей
необходим бухгалтерский баланс (Приложение 1. -форма №1). [18]
1. Коэффициент абсолютной ликвидности Кал
Показывает, какая доля текущих долговых
обязательств (кредиторская задолженность, краткосрочные банковские кредиты и
другие обязательства) может быть немедленно погашена за счёт денежных средств и
их эквивалентов.
Кал =  (2)
Рекомендуемые значения: 0,2 - 0,5
На конец 2009 года
Кал =  = 0,8
На конец 2010 года
Кал =  = 1,27
Из анализа видно, что коэффициент ликвидности
довольно высок. На конец года Кал = 1,27, выше рекомендуемого, что
свидетельствует о финансовой устойчивости предприятия.
2. Коэффициент текущей ликвидности Ктл.
Показывает, какая доля текущих долговых
обязательств может быть погашена в короткие сроки за счёт ликвидных оборотных
активов.
Ктл = 
Рекомендуемые значения: 2 - 3;
На конец 2009 года
Ктл =  = 1,55
На конец 2010 года
Ктл =  = 2,8
Таким образом, величина Ктл
на протяжении двух исследуемых лет устойчиво находится в рекомендуемом
интервале. Причём к концу 2010 года коэффициент текущей ликвидности существенно
возрос, что так же свидетельствует о финансовой устойчивости предприятия.
3. Собственные оборотные средства СОС.
Показывает в каком объёме оборотные активы
сформированы за счёт собственного капитала.
Коэффициент обеспеченности
собственными оборотными средствами Косс
Косс = 
Минимальное рекомендуемое значение:
0,2;
На конец 2009 года
Косс =  = 0,35
На конец 2010 года
Косс =  = 0,64
Таким образом, предприятие финансово
достаточно устойчиво и к концу 2010 года запас прочности по этому показателю
существенно возрос.
4. Коэффициент финансовой автономии
(финансовой независимости) КА
Данный коэффициент показывает, в какой степени
активы предприятия сформированы за счёт собственного капитала и на сколько
предприятие независимо от внешних источников финансирования.
КА =  (6)
рекомендуемое значение: 0,5 - 0,6;
На конец 2009 года
КА =  = 0,66
На конец 2010 года
КА =  = 0,77
5. Коэффициент текущей задолженности КТЗ.
Характеризует долю краткосрочного заёмного
капитала в общей сумме капитала.
КТЗ =  (7)
рекомендуемое значение: 0,1 - 0,2;
На конец 2009 года
КТЗ =  = 0,34
На конец 2010 года
КТЗ =  = 0,23
Таким образом, коэффициенты
финансовой устойчивости предприятия показывают, что предприятие в анализируемом
периоде финансово устойчиво.
6. Коэффициент рентабельности продаж, ROS,
%
ROS
демонстрирует долю чистой прибыли в объёме продаж предприятия.
Для определения коэффициента рентабельности
используем форму № 2 бухгалтерской отчётности. (Приложение 2.)[18]
ROS =  (8)
На конец 2009 года
ROS =  = 15,50%
На конец 2010 года
ROS =  = 15,49%
Высокие показатели рентабельности за исследуемый
период - более 15%, стабильны, и показывают уровень прибыли на затраченные
средства.
Предприятие финансово устойчиво.
Рисунок 7. Изменение чистой прибыли за год.
Таким образом, исследовав основные показатели
экономического анализа, можно сделать вывод, что на муниципальном унитарном
казенном предприятии «ЧИСТЫЙ ГОРОД» обеспечивается рост объёма чистой прибыли,
предприятие финансово устойчиво и имеет тенденцию к развитию.
Однако, 510000 рублей прибыли, полученной за
один год, конечно же недостаточно для качественного развития предприятия,
замены устаревшей и неисправной техники, для роста заработной платы и т.п.
Поэтому без долгосрочного кредитования и инвестиций не обойтись.
Одним из методов развития производства является
разработка предложений по его совершенствованию.
III. Разработка
предложений по совершенствованию благоустройства и уборки территории города
.1 Приобретение усовершенствованных образцов
техники
Обновление автопарка связано, прежде всего, с
новыми экономическими условиями, а также с необходимостью замены морально и
физически устаревшей техники. В лизинг приобретается большинство машин.
Техника, бывшая в употреблении, непопулярна. Подержанные автомобили часто
приходится ремонтировать. Это не только требует средств, но и ведет к срыву
заказов вследствие простоя техники. Запчасти или блоки для импортных машин
порой стоят дороже той суммы дохода, которую эта машина приносит за месяц.
Так же, двигатели с большим моторесурсом
являются одним из факторов загрязнения окружающей среды. Забота предприятия
должна быть не только о чистоте улиц, но и о чистоте городского воздуха.
Затраты предприятия, содержащего собственный автопарк, минимизируются
несколькими путями. Прежде всего - это подбор и обучение водительского
персонала, грамотная эксплуатация транспорта, поддержание собственной ремонтной
базы (это дешевле, чем привлекать сторонних специалистов), рациональная
организация функционирования транспорта. В связи с ростом площадей, подлежащих
уборке возникает экономическая целесообразность замены ручного труда на
механизированный.
В настоящее время существуют экономичные машины
и механизмы для уборки тротуаров, пешеходных и велосипедных дорожек, участков с
труднодоступными местами. С помощью таких механизмов повышается
производительность труда и освобождается часть рабочих ручного труда для других
видов работ.
Приобретение
многофункциональных машин позволит предприятию сократить расходы на
обслуживание механических средств и экономить расход горюче - смазочных
материалов (ГСМ), что в конечном счёте приведёт к укреплению экономической
составляющей предприятия и увеличению прибыли. КО-829А1 предназначена для
круглогодичного использования по содержанию городских дорог с твердым
покрытием. В летний период машина используется с поливомоечным оборудованием
для мойки и поливки дорожных покрытий, мойки прилотковой полосы и поливки
зеленых насаждений. В зимний период машина используется с пескоразбрасывающим
оборудованием для посыпки инертными материалами или антигололедными реагентами,
полива жидкими антигололедными реагентами поверхности тротуаров и дорог, а
также для очистки дорожного полотна от свежевыпавшего снега плужно-щеточным
оборудованием.
В состав оборудования входят: цистерна, кузов с
транспортером и разбрасывающим диском, центробежный насос с коробкой отбора
мощности, плуг с системой навески, щетка с гидравлическим приводом,
гидросистема и электрооборудование. Особенности: - усиленный гидропривод
щетки; - маневренность, быстросъемное оборудование; - незаменимая техника для
уборки дорог с твердым покрытием; - многовариантность комплектаций навесного
оборудования; Технические характеристики:
Вместимость, м3. - цистерны 6,0. -
кузова пескоразбрасывателя 3,1. Ширина рабочей зоны, м - при поливке 2,5-20 -
при посыпке 9 - при снегоочистке, подметании 2,5 Рабочая скорость, км/ч, не
более 20
Машины КО-823-03 (поливомоечное, щеточное
оборудование) - это: - подметание снега;
мойка и поливка дорожных покрытий и прилотковой
полосы;
поливка зеленых насаждений;
Включает в себя оборудование:
поливомоечное;
щетка в межбазовом пространстве;
Полная масса автомобиля, кг 20500.
Объем цистерны, - 11м3.
Специальное оборудование:
Цистерна поливомоечного оборудования
представляет собой сварную конструкцию из двух днищ и обечайки, изготовленных
из листового проката. Сверху в передней части расположен люк с крышкой для
доступа внутрь цистерны. Внутри цистерны установлены контрольная труба и
закрепленные на каркасах волнорезы. Цистерна крепится к кронштейнам,
установленным на раме шасси. Заполнение цистерны водой может осуществляться из
водопроводной сети, пожарных гидрантов или на специальном заправочном пункте.
Щеточное оборудование состоит из рамы щетки, цепной передачи, щетки и механизма
подъема щетки гидравлическим цилиндром. Привод вращения щетки гидравлический.
Очистка дороги от свежевыпавшего снега производится передним плугом. Плуг -
поворотный с постоянным сечением формы отвала, с резиновым лемехом. В рабочем
режиме плуг опирается на лемех. Отвал плуга через верхнюю и нижнюю рамы
крепится к специальным удлинителям лонжеронов шасси. Управление плугом
осуществляется с пульта из кабины водителя. Ширина рабочей зоны:
при мойке - 8.5 м.
при поливке - 20 0м.
щетки - 2.3 м.
Скорость при мойке проезжей части - 20 км/ч.
Окупаемость новых образцов техники можно
рассчитать по формуле 9.[15]
О =  (9) ,
где
О - Окупаемость
Ст - Стоимость техники
ЗП - Заработная плата
Д - Дворники
ЗПв - Заработная
плата водителя
Расчет окупаемости автомобиля
КО-823-03 на шасси КамАЗ-65115:
О =  = = 1,04 ≈ 1 год
Расчет окупаемости комбинированной
дорожной машины КО-829А1:
О =  = = 1,11 ≈
1 год 1 мес.
Из расчётов видно, что окупаемость
одной машины произойдет уже через 1 год эксплуатации.
Срок службы такого автомобиля
составляет 15 лет.
Для повышения эффективности и производительности
труда необходимо отметить, что в настоящее время существует ряд средств малой
механизации. Таким образом, необходимость совершенствования механизированного
парка обуславливается развитием экономических отношений в государстве,
требованиями нормативно - правовых актов к повышению качества оказания услуг и
стремлением предприятий к прогрессу. В настоящее время, в связи с развитием
производства специализированной техники и возможностью закупок импортных
образцов, такая возможность реальна. Переход предприятия на новую техническую
базу позволит ему повысить эффективность производства работ, освободив при этом
большую часть персонала для производства работ по благоустройству территории.
Что в конечном итоге приведёт к улучшению эстетического вида города.
3.2 Разработка системы дорожных знаков,
регламентирующих стоянку транспортных средств на улицах города
Установление причин необходимости
установки дорожных знаков.
С каждым годом в России увеличивается количество
автомобилей, вследствии чего возрастает проблемма с их парковкой. Жители города
оставляют свои автомобили возле домов, на проезжей части дорог. В летний период
это мешает качественной уборке уличного смета. А зимний период это препятствует
качественной уборке снега, его вывоза на специализированные площадки. Особую
проблемму для уборки снега создают неисправные, аварийные автомобили, которые
стоят весь зимний период без движения на проезжей части. Борьбу
с этим явлением можно вести совместно с Управлением ГИБДД. В целях организации
безопасности дорожного движения и обеспечения уборки проезжей части дорог в
зимних условиях необходимо рассмотреть возможность дополнительной установки на
улично-дорожной сети знаков Правил дорожного движения 3.29, 3.30, запрещающих
стоянку автотранспорта по четным и нечетным числам месяца.
Разработка проекта дислокации
дорожных знаков.
Рассмотрим вариант проекта дислокации дорожных
знаков на примере проспекта Ленина в г.Тосно Ленинградской области.
Проект организации дорожного движения по
проспекту Ленина города Тосно Тосненского района Ленинградской области.
Целью разработки настоящего проекта является
оптимизация методов организации дорожного движения на проспекте Ленина города
Тосно для повышения пропускной способности и безопасности движения транспортных
средств и пешеходов. Данный проект соответствует требованиям действующих
нормативных документов и направлен на решение следующих задач:
обеспечение безопасности участников движения;
· введение
необходимых режимов движения в соответствии с категорией улицы, ее
конструктивными элементами, искусственными сооружениями и другими факторами;
· своевременное
информирование участников движения о дорожных условиях, расположении населенных
пунктов, маршрутах проезда транзитных автомобилей через крупные населенные
пункты;
- обеспечение правильного использования
водителями транспортных средств ширины проезжей части дороги и т.д.
Дислокация дорожных знаков привязана к
проектному километражу.
Номера существующих дорожных знаков на схемах
обозначены черным цветом. Дорожные знаки должны быть установлены на
индивидуальных опорах или столбах освещения. Расстояние от нижнего края знака
(без учета таблички) до поверхности дорожного покрытия должна составлять от 2
до 4м. Знаки должны быть удалены от проводов осветительной сети не менее чем на
1 м. Знаки дорожные должны соответствовать ГОСТ 52290-2004. Установка дорожных
знаков должна производиться в присутствии представителя ОГИБДД Тосненского ОВД.
Схема установки дорожных знаков на проспекте Ленина приведена в приложении 3.
Введение системы дорожных знаков 3.29 и 3.30 (Стоянка запрещена по нечётным и
чётным числам месяца) даст возможность сделать уборку проезжей части
качественнее, что позволит снизить процент дорожно - транспортных происшествий
в городе и приведет к повышению пропускной способности и безопасности движения
транспортных средств и пешеходов.
.3 Улучшение системы учёта и контроля за
техническими средствами муниципального унитарного казенного предприятия «ЧИСТЫЙ
ГОРОД» путём внедрения спутниковой системы «ГЛОНАСС/GPS»
Использование космических навигационных
технологий ГЛОНАСС/GPS является наиболее эффективным и перспективным
направлением в создании систем управления на предприятии.
Внедрение навигационных спутниковых систем
позволяет решать ряд задач:
контроль посещения объектов
вывоза;
контроль места выгрузки
контейнера;
контроль ненормативных
простоев;
контроль количества поездок на
полигон захоронения;
контроль времени выхода на
линию;
контроль возвращения в парк;
отсечение ненормативного
использования транспортного средства;
оперативное управление
(возможность направить на задание ближайшее транспортное средство);
контроль пробега и расхода
топлива.
Рисунок. сотовая
система мониторинга и управления транспортом.
Решение предназначено для обеспечения
мониторинга местоположения и состояния транспортных средств и иных контролируемых
объектов, а так же эффективного управления ими.
Внедрение системы - качественно новый уровень
управления транспортом, перевозки грузов и контроля над работой специального
оборудования.
Функциональные возможности:
v ежеминутное определение местоположения
транспортных средств в режиме реального времени;
v контроль прохождения установленных точек в
заданный период времени;
v отображение местоположения и маршрутов движения
за любой промежуток времени на подробной карте города на экране монитора;
v определение состояния транспорта, работы
специальных систем и оборудования на основе показаний датчиков;
v «спутниковый электронный одометр» - контроль
реального пробега автомобиля;
v при отсутствии сети GSM запись местоположений
ведется в «Черный ящик» и при входе в сеть информация передается автоматически;
v контроль времени и места погрузки и выгрузки
грузов;
v контроль начала и окончания работы специальной
техники и оборудования;
v формирование отчетов о движении транспорта;
v хранение полученной информации в базе данных.
Достоинства и преимущества:
ü непрерывный контроль движения
транспортного средства по маршруту;
ü широкие возможности контроля
оборудования: подъем кузова, открытие/закрытие дверей кабины и кузова,
срабатывание штатной сигнализации, отключение аккумуляторной батареи, нажатие
тревожной кнопки и др.;
ü многообразие возможностей применения
- контроль времени и места погрузки/выгрузки, начала/окончания движения, работы
спецтехники и устройств, нарушение условий аренды автомобиля и т.п.;
ü непрерывность поступления информации
во время движения транспортных средств;
ü передача в «спящем» режиме сигналов
от сработавших датчиков с данными о текущем местоположении;
ü высокая оперативность доставки
сообщений;
ü низкая стоимость оборудования;
ü минимальные затраты на эксплуатацию
системы;
ü кредитная система оплаты трафика;
ü возможна скрытая установка;
ü охранно - поисковые функции.
Внедрение навигационных спутниковых
систем позволяет решать ряд задач:
•Контроль посещения объектов вывоза;
•Контроль места выгрузки контейнера;
•Контроль ненормативных простоев;
•Контроль количества поездок на полигон
захоронения;
•Контроль времени выхода на линию;
•Контроль возвращения в парк;
•Отсечение ненормативного использования
транспортного средства
•Оперативное управление (возможность направить
на задание ближайшее транспортное средство).
Подключение датчиков расхода топлива (ДРТ) и
датчиков уровня топлива (ДУТ) позволяет спутниковой системе мониторинга
контролировать как неэффективное расходование горюче-смазочных материалов
(ГСМ), так и хищения, сливы и заправки. Записанные данные защищены от внешних
воздействий: преднамеренного искажения (исправления), магнитных и электрических
полей, вибрации. Длительность хранения данных - не ограничена. В штатном режиме
работы фальсификация данных - невозможна.
Практическое применение.
Работа системы сводится к фиксации времени
начала движения и времени стоянки транспортного средства, а так же скорости
движения. При установке дополнительных датчиков есть возможность контроля
расхода топлива. Отчет по пробегу и перемещению транспортного средства имеет
следующий вид.
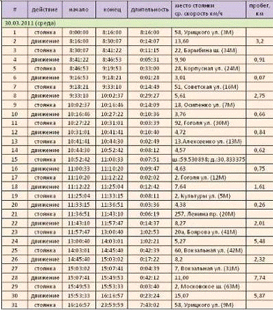
Таблица 22. Отчёт по пробегу Отчётный период: 30
Мар 2011 00:00:00 - 30 Мар 2011 23:59:59
Таблица 23. Отчёт по движению/стоянкам. Отчётный
период: 30 Map 2011
00:00:00 - 30 Map 2011
23:59:59
ИТОГ:
Общее время 1
сут.
Время стоянок 19
ч. 33 мин.58 сек. (81,52%)
Время движения 4
ч. 26 мин. 2 сек. (18. 47%)
Общий пробег, км 35.15
Расчётный расход, л 0 (0
л/ч)
Расчётный расход, л 0 (0
л/100км)
Ср. скорость, км/ч 7.92
Макс, скорость, км/ч 21.21
Таким образом, внедрение спутниковой системы
«ГЛОНАСС/GPS» позволит предприятию МКУП «ЧИСТЫЙ ГОРОД» получить полный контроль
над использованием техники, повысить экономичность и рентабельность
производства.
Заключение
Данный дипломный проект предполагал рассмотреть
организацию современного благоустройства и уборки территории города в зимний и
летний периоды. В ходе его написания исследованы сущность, цели, задачи уборки
и благоустройства территории города на примере муниципального унитарного
казённого предприятия «Чистый город», нормативно-правовые и законодательные
акты регулирующие его деятельность. Приведены примеры уборки территории, сбора
ТБО и благоустройства в зарубежных странах.
В данном дипломном проекте проведён расчёт
окупаемости новых образцов техники: автомобиль КО-823-03 на шасси КамАЗ-65115
за 1 год, а
комбинированная дорожная машина КО-829А1 за 1
год 1 месяц. Предложено заменить 30% автомобилей парка предприятия, выслуживших
установленные сроки эксплуатации. Это позволит значительно поднять
производительность труда, эффективность производства и рентабельность.
Проанализирована финансово-хозяйственная
деятельность предприятия по уборке и благосостоянию города. Установлено, что
предприятие имеет стабильную финансовую устойчивость, обладает собственными
средствами и полностью покрывает запасы и затраты. Основной причиной снижения
финансовой устойчивости предприятия может послужить: не эффективное
использование собственных средств, рост дебиторской задолженности.
Разработаны:
предложения по совершенствованию благоустройства
и уборки территории в виде приобретения новых образцов техники;
система дорожных знаков, регламентирующая
стоянку транспортных средств, с целью беспрепятственной уборки проезжей части;
внедрение спутниковой системы «ГЛОНАСС» для
оперативного, экономичного и эффективного использования транспортных средств
предприятия.
Таким образом, благоустройство города, уборка
его территории - важные задачи в процветании и развитии города. Огромную роль в
этом играет совершенная правовая база государства и органов местного
самоуправления.
Жить в красивом, чистом городе должно быть целью
каждого гражданина. Забота о чистоте города - это забота о своем здоровье и о
здоровье будущих поколений, в частности о своих детях.
Роль санитара города в Тосно взяло на себя
муниципальное унитарное казённое предприятие «ЧИСТЫЙ ГОРОД».
Рассмотрев организацию работы этого предприятия
по благоустройству и уборке территории города Тосно Ленинградской области,
проанализировав экономическую составляющую данного производства, можно сделать
следующие выводы:
Предприятие молодое, развивающееся, однако
экономически стабильное, прибыльное и рентабельное - способно выполнять
возложенные на неё обязательства по муниципальному контракту.
Слабая материальная база, в основном из-за
старой, требующей постоянного ремонта, техники, низкий уровень внедрения по
объективным причинам передовых технологий, не высокая заработная плата рабочих
и руководящего состава, отсутствие высокой культуры у большинства населения, по
сравнению с зарубежными странами, всё это тормозит развитие благосостояния и
процветание города.
Одно предприятие физически не сможет справиться
с проблемами чистоты в городе. Нужно стремление каждого жителя бороться за
чистоту, за здоровый образ жизни.
Список
литературы
1. Аксёнов П.Н., Пивоваров
В.Ф., Реформа ЖКХ в Москве - проблемы и пути решения., ГУП Академия коммунального
хозяйства имени К.Д. Памфилова - М.: 2005 г.
. ГОСТ 2.105-95 ЕСКД «Общие
требования к текстовым документам»
. ГОСТ 7.32-2001 «Отчет о
научно-исследовательской работе».
4. «Гарант»
- информационно - правовой портал [электронный ресурс // www.garant.ru
<#"608935.files/image036.gif">
Бухгалтерский
баланс
|
на
|
31
декабря
|
20
|
10
|
г.
|
Коды
|
|
Форма
№ 1 по ОКУД
|
0710001
|
|
Дата
(год, месяц, число)
|
29
|
03
|
2011
|
|
Организация
|
МУКП
ТГП ТР ЛО "Чистый город"
|
по
ОКПО
|
96154340
|
|
Идентификационный
номер налогоплательщика ИНН
|
4716026992
|
|
Вид
деятельности
|
|
по
ОКВЭД
|
90.00.3
|
|
Организационно-правовая
форма/форма собственности
|
Муниципальное
|
|
41
|
14
|
|
Унитарное
казенное предприятие
|
по
ОКОПФ/ОКФС
|
|
|
|
Единица
измерения: тыс. руб. по ОКЕИ
|
384/385
|
|
Местонахождение
(адрес)
|
187000,
47 Тосненский район г. Тосно
|
|
|
|
Ул.
Боярова 20
|
|
|
|
Дата
утверждения
|
29.03.2011
|
|
Дата
отправки (принятия)
|
|
|
Актив
|
Код
по- казателя
|
На
начало отчетного года
|
На
конец отчет- ного периода
|
|
1
|
2
|
3
|
4
|
|
I.
ВНЕОБОРОТНЫЕ АКТИВЫ Нематериальные активы
|
110
|
-
|
-
|
|
Основные
средства
|
120
|
6000
|
6500
|
|
Незавершенное
строительство
|
130
|
-
|
-
|
|
Доходные
вложения в материальные ценности
|
135
|
-
|
-
|
|
Долгосрочные
финансовые вложения
|
140
|
-
|
-
|
|
Отложенные
налоговые активы
|
145
|
-
|
-
|
|
Прочие
внеоборотные активы
|
150
|
-
|
-
|
|
Итого
по разделу I
|
190
|
6000
|
6500
|
|
II.
ОБОРОТНЫЕ АКТИВЫ Запасы
|
210
|
1000
|
1200
|
|
в
том числе: сырье, материалы и другие аналогичные ценности
|
211
|
650
|
700
|
|
животные
на выращивании и откорме
|
212
|
-
|
|
|
затраты
в незавершенном производстве
|
213
|
-
|
|
|
готовая
продукция и товары для перепродажи
|
214
|
-
|
|
|
товары
отгруженные
|
215
|
-
|
|
|
расходы
будущих периодов
|
216
|
350
|
500
|
|
прочие
запасы и затраты
|
217
|
|
|
Налог
на добавленную стоимость по приобретенным ценностям
|
220
|
-
|
|
|
Дебиторская
задолженность (платежи по которой ожидаются более чем через 12 месяцев после
отчетной даты)
|
230
|
-
|
|
|
в
том числе покупатели и заказчики
|
231
|
-
|
|
|
Дебиторская
задолженность (платежи по которой ожидаются в течение 12 месяцев после
отчетной даты)
|
240
|
2000
|
5265
|
|
в
том числе покупатели и заказчики
|
241
|
1200
|
4950
|
|
Краткосрочные
финансовые вложения
|
250
|
--
|
--
|
|
Денежные
средства
|
260
|
3500
|
5291
|
|
Прочие
оборотные активы
|
270
|
30
|
20
|
|
Итого
по разделу II
|
290
|
6530
|
11776
|
|
БАЛАНС
|
300
|
12530
|
18276
|
|
Форма
007Пассив
|
Код
по- казателя
|
На
начало отчетного периода
|
На
конец отчет- ного периода
|
|
1
|
2
|
3
|
4
|
|
III.
КАПИТАЛ И РЕЗЕРВЫ Уставный капитал
|
410
|
3000
|
3000
|
|
Собственные
акции, выкупленные у акционеров
|
411
|
|
|
|
Добавочный
капитал
|
420
|
|
|
|
Резервный
капитал
|
430
|
|
|
|
в
том числе: резервы, образованные в соответствии с законодательством
|
431
|
|
|
|
резервы,
образованные в соответствии с учредительными документами
|
432
|
|
|
|
Нераспределенная
прибыль (непокрытый убыток)
|
470
|
5308
|
11126
|
|
Итого
по разделу III
|
490
|
8308
|
14126
|
|
IV.
ДОЛГОСРОЧНЫЕ ОБЯЗАТЕЛЬСТВА Займы и кредиты
|
510
|
|
|
|
Отложенные
налоговые обязательства
|
515
|
|
|
|
Прочие
долгосрочные обязательства
|
520
|
|
|
|
Итого
по разделу IV
|
590
|
|
|
|
V.
КРАТКОСРОЧНЫЕ ОБЯЗАТЕЛЬСТВА Займы и кредиты
|
610
|
|
|
|
Кредиторская
задолженность
|
620
|
3822
|
3750
|
|
в
том числе: поставщики и подрядчики
|
621
|
1372
|
1400
|
|
задолженность
перед персоналом организации
|
622
|
650
|
700
|
|
задолженность
перед государственными внебюджетными фондами
|
623
|
230
|
250
|
|
задолженность
по налогам и сборам
|
624
|
1420
|
1310
|
|
прочие
кредиторы
|
625
|
150
|
90
|
|
Задолженность
перед участниками (учредителями) по выплате доходов
|
630
|
|
|
|
Доходы
будущих периодов
|
640
|
400
|
400
|
|
Резервы
предстоящих расходов
|
650
|
|
|
|
Прочие
краткосрочные обязательства
|
660
|
|
|
|
Итого
по разделу V
|
690
|
4222
|
4150
|
|
БАЛАНС
|
700
|
12530
|
18276
|
|
СПРАВКА
о наличии ценностей, учитываемых на забалансовых счетах
|
|
|
|
|
Арендованные
основные средства
|
910
|
3600
|
4000
|
|
в
том числе по лизингу
|
911
|
|
|
|
Товарно-материальные
ценности, принятые на ответственное хранение
|
920
|
270
|
270
|
|
Товары,
принятые на комиссию
|
930
|
|
|
|
Списанная
в убыток задолженность неплатежеспособность дебиторов
|
940
|
|
|
|
Обеспечения
обязательств и платежей полученные
|
950
|
|
|
|
Обеспечения
обязательств и платежей выданные
|
960
|
|
|
|
Износ
жилищного фонда
|
970
|
|
|
|
Износ
объектов внешнего благоустройства и других аналогичных объектов
|
980
|
|
|
|
Нематериальные
активы, полученные в пользование
|
990
|
|
|
|
|
|
|
|
|
|
|
|
|
|
|
|
|
|
|
|
|
|
|
|
Руководитель
|
|
|
|
Главный
|
|
|
|
|
(подпись)
|
|
(расшифровка
подписи)
|
бухгалтер
|
(подпись)
|
|
(расшифровка
подписи)
|
Приложение 3
Приложение
к приказу Минфина РФ от 22 июля 2003 г. № 67н
(с учетом приказа Госкомстата РФ и Минфина РФ
от 14 ноября 2003 г. № 475/102н)
(в ред. от 18 сентября 2006 г.)
Отчет
о прибылях и убытках
|
за
|
|
|
2010
|
г.
|
Коды
|
|
Форма
№ 2 по ОКУД
|
0710002
|
|
Дата
(год, месяц, число)
|
29
|
03
|
2011
|
|
Организация
|
МУКП
ТГП ТР ЛО "Чистый город"
|
по
ОКПО
|
96154340
|
|
Идентификационный
номер налогоплательщика ИНН
|
4716026991
|
|
Вид
деятельности
|
|
по
ОКВЭД
|
90.00.3
|
|
Организационно-правовая
форма/форма собственности
|
Муниципальное
|
|
41
|
14
|
|
Унитарное
казенное предприятие
|
по
ОКОПФ/ОКФС
|
|
|
|
Единица
измерения: тыс. руб. по ОКЕИ
|
384/385
|
|
Показатель
|
За
отчетный период
|
За
аналогичный период преды- дущего года
|
|
|
наименование
|
код
|
|
|
|
|
1
|
2
|
3
|
4
|
|
|
Доходы
и расходы по обычным видам деятельности Выручка (нетто) от продажи товаров,
продукции, работ, услуг (за минусом налога на добавленную стоимость, акцизов
и аналогичных обязательных платежей)
|
010
|
37541
|
34237
|
|
|
Себестоимость
проданных товаров, продукции, работ, услуг
|
020
|
(30229)
|
(27568)
|
|
|
Валовая
прибыль
|
029
|
7312
|
6669
|
|
|
Коммерческие
расходы
|
030
|
-
|
-
|
|
|
Управленческие
расходы
|
040
|
-
|
-
|
|
|
Прибыль
(убыток) от продаж
|
050
|
7312
|
6669
|
|
|
Прочие
доходы и расходы Проценты к получению
|
060
|
-
|
-
|
|
|
Проценты
к уплате
|
070
|
-
|
-
|
|
|
Доходы
от участия в других организациях
|
080
|
-
|
-
|
|
|
Прочие
доходы
|
090
|
125
|
114
|
|
|
Прочие
расходы
|
100
|
(164)
|
(148)
|
|
|
Прибыль
(убыток) до налогообложения
|
140
|
7273
|
6635
|
|
|
Отложенные
налоговые активы
|
141
|
|
|
|
|
Отложенные
налоговые обязательства
|
142
|
|
|
|
|
Текущий
налог на прибыль
|
150
|
(1455)
|
(1327)
|
|
|
Чистая
прибыль (убыток) отчетного периода
|
190
|
5818
|
5308
|
|
|
СПРАВОЧНО.Постоянные
налоговые обязательства (активы)
|
200
|
|
|
|
|
Базовая
прибыль (убыток) на акцию
|
|
|
|
|
|
Разводненная
прибыль (убыток) на акцию
|
|
|
|
|
|
|
|
|
|
|
|
|
|
|
|
|
|
|
|
|
|
|
Приложение 4
Схема расстановки дорожных знаков на проспекте
Ленина г. Тосно
Приложение 5
Таблица 21. Ведомость размещения дорожных знаков
на проспекте Ленина города Тосно Ленинградской области.
Приложение 6
размещение
искусственного освещения. Проспект Ленина
|
Начало
участка, км+м
|
Конец
участка, км+м
|
Объект
установки
|
Количество
опор
|
протяжённость
|
расположение
|
|
|
|
|
|
|
Проектир.
в соответствии с нормат. документ., м/шт
|
Фактически
установленные
|
|
|
|
0+000
|
1+095
|
Населённый
пункт
|
27
|
|
1095/27
|
справа
|
|
|
наличие
пешеходных переходов. Проспект Ленина.
|
|
|
№
п/п
|
Адрес,
км+м
|
Вид
перехода
|
Расположение
перехода
|
Наличие
пеш. дорожек от места остановки общ-го транспорта до пешеходного перехода
|
|
|
1
|
0+206
|
наземный
|
в
одном уровне
|
есть
|
|
|
2
|
0+462
|
наземный
|
в
одном уровне
|
есть
|
|
|
3
|
0+491
|
наземный
|
в
одном уровне
|
есть
|
|
|
4
|
0+670
|
наземный
|
в
одном уровне
|
есть
|
|
|
5
|
0+699
|
наземный
|
в
одном уровне
|
есть
|
|
|
6
|
0+828
|
наземный
|
в
одном уровне
|
есть
|
|
|
размещение
пешеходных дорожек (тротуаров). Проспект Ленина.
|
|
№
п/п
|
Начало
участка, км+м
|
Конец
участка, км+м
|
протяжённость
|
расположение
|
Объект
устройства
|
Обоснование
устройства
|
|
|
|
Проектир.
в соответствии с нормат. документ., м/шт
|
Фактически
устроенные
|
|
|
|
|
1
|
0+30
|
1+095
|
|
1095
|
справа
|
Населённый
пункт
|
СНиП
2.07.01-89
|
|
2
|
0+161
|
1+095
|
|
934
|
слева
|
Населённый
пункт
|
СНиП
2.07.01-89
|
|
размещение
удерживающих пешеходных ограждений. Проспект Ленина.
|
|
№
п/п
|
Начало
участка, км+м
|
Конец
участка, км+м
|
протяжённость
|
Дата
установки, год
|
Обоснование
устройства
|
тип
|
Уровень
сдерживания
|
Высота,
м
|
Зона
распол.
|
материал
|
|
|
|
|
Проектир.
|
Фактически
устроенные
|
|
|
|
|
|
|
|
|
|
1
|
0+162
|
0+206
|
44
|
|
|
ГОСТ
Р 52289-204 п.8.1.27
|
слева
|
перила
|
1,27
кН
|
1,1
|
тротуар
|
Мет.
оцинк.
|
|
2
|
0+210
|
0+240
|
|
30
|
|
ГОСТ
Р 52289-204 п.8.1.27
|
слева
|
перила
|
1,27
кН
|
1,1
|
тротуар
|
Мет.
оцинк.
|
|
3
|
0+826
|
0+863
|
37
|
|
|
ГОСТ
Р 52289-204 п.8.1.27
|
слева
|
перила
|
1,27
кН
|
1,1
|
тротуар
|
Мет.
оцинк.
|
|
4
|
0+170
|
0+192
|
|
22
|
|
ГОСТ
Р 52289-204 п.8.1.27
|
справа
|
перила
|
1,27
кН
|
1,1
|
тротуар
|
Мет.
оцинк.
|
|
5
|
0+210
|
0+313
|
|
103
|
|
ГОСТ
Р 52289-204 п.8.1.27
|
справа
|
перила
|
1,27
кН
|
1,1
|
тротуар
|
Мет.
оцинк.
|
|
6
|
0+806
|
0+856
|
24
|
|
|
ГОСТ
Р 52289-204 п.8.1.27
|
справа
|
перила
|
1,27
кН
|
1,1
|
тротуар
|
Мет.
оцинк.
|
|
|
|
|
|
|
|
|
|
|
|
|
|
|
|
|
|
|
|
|
|
|
|
|
|
|
|
|
|
|
|
|
Похожие работы на - Повышение эффективности деятельности предприятия в сфере благоустройства территорий (на примере города Тосно ЛО)
| |