Создание проекта планово-высотного обоснования для стереотопографической съемки в масштабе 1:5000 с высотой сечения рельефа 1 метр

  • Вид работы:
    Курсовая работа (т)
  • Предмет:
    Геология
  • Язык:
    Русский
    ,
    Формат файла:
    MS Word
    353,23 Кб
  • Опубликовано:
    2013-02-10
Вы можете узнать стоимость помощи в написании студенческой работы.
Помощь в написании работы, которую точно примут!

Создание проекта планово-высотного обоснования для стереотопографической съемки в масштабе 1:5000 с высотой сечения рельефа 1 метр

Министерство Образования РФ

Сибирская Государственная Геодезическая Академия

Кафедра геодезии









КУРСОВАЯ РАБОТА

по теме: «Создание проекта планово-высотного обоснования для стереотопографической съемки в масштабе 1:5000 с высотой сечения рельефа 1 метр»



Выполнил: ст. гр. 2СПГ-с

Исаев Б.З.

Проверила: Любивая Л.С.




Новосибирск 2011

Содержание

Индивидуальное задание

Введение

. Определение географических координат углов рамки исходной трапеции: У-41-84-Г-в-3.4. Определение номенклатуры и географических координат листов карты масштаба 1:5000, покрывающих исходную карту

. Характеристика плановых и высотных геодезических сетей на участке

. Применение аэрофототопографической съемки для создания планов крупных масштабов

. Проектирование

. Процесс вычисления с системой GPS (Глобальная Система Позиционирования)

Заключение

Литература

Индивидуальное задание

Факультет ____заочный ________________ курс________2_______

Фамилия. Имя, Отчество ___Исаев Б.З.

Составить проект геодезического обоснования в плане и по высоте, руководствуясь методическими указаниями по курсовой работе

ИСХОДНЫЕ ДАННЫЕ

Масштаб съемки ______М_1:_5000______________________________

Номенклатура листов ___Снов У-41-84-Г-в-3,4____________________

Метод съемки стереотопографический ___________________________

Местоположение объекта (по административному делению) ____Тюменская область_____

Назначение плана ______для строительства______________________

Виды и объем топографо-геодезических работ, подлежащих выполнению ___полигонометрия 4 класса и полигонометрия I и II_разряда _

Система координат __1942 г. Система высот Балтийская.

Картографические и аэрофотосъемочные материалы для проектирования __карта М 1 : 25 000

Топографическая карта __М 1 : 25 000 У-41-84-Г-в-3,4______________

 

Введение

Топографические карта - подробная карта местности, позволяющая определять как плановое так и высотное положение точек. Топографические карты объединяют в себе совокупность математических элементов (масштаб, система координат, проекция, рамки, разграфка листов, номенклатура, координатная сетка и геодезическая основа).

Топографические карты предназначаются для использования: при изучении природных условий и строения земной поверхности: в качестве основного картографического материала при создании карт более мелких масштабов: в качестве топографической основы для съемок и карт: для обороны страны.

Топографические съемки выполняются следующими методами: стереотопографическим, аэрофототопографическим, комбинированным, мензульным, наземным фототопографическим, тахеометрическим и теодолитным. Основными методами являются стереотопографический и комбинированный.

Выбор масштаба топографических карт зависит от размеров картографируемой территории, степени ее освоения и уровня развития производительных сил. Разнообразные требования, предъявляемые к топографическим картам различными отраслями народного хозяйства, не могут быть удовлетворены картами одного масштаба. Необходимы серии карт определенного масштабного ряда. В каждом таком ряду существенное значение имеют коэффициенты перехода от одного масштаба к другому, они должны сохранять постоянство или быть достаточно близкими между собой.

Соразмерность масштабов позволяет сопоставлять топографические карты друг с другом и использовать их в картосоставительских работах.

Целью данного проекта является создание планово-высотного обоснования стереотопографической съемки в масштабе 1:5000 с высотой сечения 1 метр.

1. Определение географических координат углов рамки исходной трапеции: У-41-84-Г-в-3.4. Определение номенклатуры и географических координат листов карты масштаба 1:5000, покрывающих исходную карту

Для реализации поставленной задачи прежде всего требуется определить географические координаты углов рамки исходной трапеции карты масштаба 1:25000, а также найти номенклатуры и географические координаты углов рамок трапеций карт масштаба 1:5000, покрывающих исходный двадцатипятитысячный лист, то есть тех, которые получатся в результате съемки.

Разграфка топографических карт основывается на листе карты масштаба 1:1000000. Поверхность Земли в равноугольной поперечно - цилиндрической проекции Гаусса поделена по широте на четырехградусные пояса, каждый из которых обозначаются заглавной латинской буквой от экватора к полюсам (A, B, C,...,V); и на шестиградусные зоны по долготе, которые обозначаются цифрами от единицы до шестидесяти в направлении от гринвичского меридиана на восток. Однако непосредственно в номенклатуре миллионного листа присутствует не номер зоны, а номер колонны, который отличается от последнего на 30.


На рис. 1 показаны 4 листа карты масштаба 1:1000000, у которых обозначены географические координаты углов рамок. Таким образом, исходная трапеция карты 1:25000 с номенклатурой У-41-84-Г-в-3.4 имеет в своей основе лист карты миллионного масштаба У-34. По приведенным выше положениям были найдены географические координаты углов рамки его трапеции (рис. 2)


Листы карт крупных масштабов (в том числе и масштаба 1:25000) имеют в основе лист масштаба 1:100000, который получается путем деления миллионного листа на 144 части. Таким образом лист карты масштаба 1:1000000 размером 4х6 градусов содержит в себе 144 стотысячных листа с размерами рамок 20х30 минут (каждый из них пронумерован от 1 до 144). На рис. 3 показан лист масштаба 1:1000000 и процесс получения из него листа масштаба 1:100000.


Далее, получили лист карты масштаба 1:50000 (рис. 4), поделив стотысячный лист на 4 части (пятидесятитысячные листы обозначаются заглавными русскими буквами от А до Г), размерами 10х15 минут.


И, наконец, делением листа карты масштаба 1:50000 на 4 части размерами 5х7.5 минут (обозначаются строчными русскими буквами а,...,г), определили географические координаты исходной карты масштаба 1:25000 (рис. 5).


Топографические карты масштаба 1:5000, как было сказано выше, получаются непосредственно из листа стотысячной карты, путем деления его на 256 частей (размерами 1'15"х1'52.5"). При этом, полученные пятитысячные листы нумеруются от 1 до 256 и этот номер в номенклатуре берется в скобки. На рис. 6 показан фрагмент листа карты масштаба 1:100000 (его юго-западный угол) с покрывающими ее пятитысячными листами. Двойной линией показан лист исходной карты масштаба 1:25000.



2. Характеристика плановых и высотных геодезических сетей на участке

Методы построения плановых сетей сгущения.

Геодезические сети сгущения - триангуляция 1 и 2 разрядов, полигонометрия 1 и 2 разрядов, техническое нивелирование. Плотность геодезической основы должна быть доведена развитием геодезических сетей сгущения в городах, прочих населенных пунктах и на промплощадках не менее чем до 4 пунктов триангуляции и полигонометрии на 1 км2 в застроенной части и 1 пункта на 1 км2 на незастроенных территориях. Плотность геодезической основы для съёмки в масштабе 1:5000 территорий вне населенных пунктов должна быть доведена не менее чем до 1 пункта на 7-10 км2.

Триангуляция 1 и 2 разрядов развивается с целью сгущения геодезических сетей до плотности, обеспечивающей развитие съёмочного обоснования крупномасштабных съёмок. Исходными пунктами для развития триангуляции 1 разряда служат пункты ГГС 1-4 классов, а триангуляции 2 разряда - пункты ГГС и пункты триангуляции и полигонометрии 1 разряда. Каждый пункт триангуляции 1 и 2 разрядов должен определяться из треугольников, в которых измеряются все углы. Засечками с числом измеренных направлений не меньше трех определяются только местные предметы, не доступные для наблюдения. Примерные схемы построения триангуляции 1 и 2 разрядов приведены в приложении 3. Сплошная сеть триангуляции должна опираться не менее чем на три исходных геодезических пункта и не менее чем на две исходные стороны.

В качестве исходных сторон используются стороны полигонометрии или триангуляции 3-4 классов, а также развиваемой триангуляции не короче 1 км, измеренные с относительной погрешностью не ниже указанной в таблице 1.

Если расстояние между пунктом триангуляции 1 разряда и пунктом сети более высокого класса точности менее 2 км, то должна быть предусмотрена их связь. Полигонометрические сети 4 класса, 1 и 2 разрядов создаются в виде отдельных ходов или различных систем ходов. Примерные схемы сетей полигонометрии приведены в приложении 4.

Отдельный ход полигонометрии должен опираться на 2 исходных пункта. На исходных пунктах необходимо измерять примычные углы. В исключительных случаях при отсутствии между исходными пунктами видимости с земли допускается:

проложение хода полигонометрии, опирающегося на 2 исходных пункта, без угловой привязки на одном из них;

проложение замкнутого хода полигонометрии 1, 2 разрядов опирающегося, на один исходный пункт, при условии передачи или измерения с точек хода двух дирекционных углов с точностью 5-7¢¢ на две смежные стороны по возможности в слабом месте (середине) хода;

координатная привязка к пунктам геодезической сети;

проложение висячих ходов не допускается.

 

Таблица 1

Показатели

2 разряд

Длинна стороны треугольника, км, не более

5,0

3,0

Минимальная допустимая величина угла, угл. градусы: в сплошной сети связующего в цепочке треугольников во вставке

 20 30 30

 20 30 20

Число треугольников между исходными сторонами или между исходными пунктом и исходной стороной, не более

 10

 10

Минимальная длинна исходной стороны, км

1

1

Предельное значение средней квадратической погрешности угла,, вычисленной по невязкам в треугольниках, угл. с

 5

 10

Предельная допустимая невязка в треугольнике, угл. с

20

40

Относительная погрешность исходной стороны, не более

1/50000

1/20000

Относительная погрешность определения длины стороны в наиболее слабом месте, не более

 1/20000

 1/10000


При построении полигонометрических сетей 4 класса, 1 и 2 разрядов должны соблюдаться требования, приведенные в таблице 2. Расстояние между пунктами параллельных полигонометрических ходов данного класса (разряда), по длине близких к предельным, должно быть не менее:

в полигонометрии 4 класса - 2,5 км;

в полигонометрии 1 разряда - 1,5 км.

При меньших расстояниях ближайшие пункты должны быть связаны ходом полигонометрии данного класса (разряда). При проложении полигонометрических ходов 1 и 2 разрядов больше указанной в таблице 2 протяженностью необходимо определять дирекционные углы сторон хода с точностью 5-7¢¢ не реже, чем через 15 сторон и не реже чем через 3 км.

С целью обеспечения большей жесткости сети следует стремится к сокращению многоступенчатой сети, ограничиваясь развитием полигонометрии 4 класса и 1 разряда.

Все пункты сетей сгущения закрепляются центрами 5 г.р. или 6 г.р. На поверхности над пунктами полигонометрии устанавливаются пирамиды высотой 6-8 м.

Таблица 2

Показатели

4 класс

1 разряд

2 разряд

Предельная длинна хода, км: отдельного между исходной и узловой точками между узловыми точками

 15 10 7

 5 3 2

 3 2 1,5

Предельный периметр полигона, км

30

15

9

Длины сторон хода, км: наибольшая наименьшая средняя расчётная

 2,00 0,25 0,50

 0,80 0,12 0,30

 0,35 0,08 0,20

Число сторон в ходе, не более

15

15

15

Относительная погрешность хода, не более

1/25000

1/10000

1/5000

Средняя квадратическая погрешность измерения угла (по невязкам в ходах и полигонах) угл. с, не более

3

5

10

Угловая невязка хода или полигона, угл. с, не более, где n - число углов в ходе

5 10 20




Приборы и методы для угловых и линейных измерений.

Для построения геодезических сетей сгущения 1 и 2 разрядов требуются точные приборы, позволяющие измерять углы с точностью от 5 до 10", а длины линий с погрешностью от 1 до 4 см. В настоящее время получение высокой точности линейных измерений стало возможным благодаря использованию электрооптических дальномеров небольшого радиуса действия. Также углы и длины линий можно измерять тахеометрами.

Технические характеристики некоторых дальномеров и тахеометров приведены в таблице 3.

Таблица 3

Наименование

Погрешность расстояние

Измерения углов

Диапазон расстояний

10 мм

-

до 500м

ЕОК-2000

10мм

-

до 500м

СП-2(прикладной)

3-5мм

-

до 500м

2ТА-5

5+3*5км

5"

1600м

МАК землемер

5+3*5км

5"

1600м

ТА-10

10+3*5км

10"

1600м

Углы на пунктах полигонометрии и триангуляции 1 и 2 разрядов измеряют оптическими теодолитами типа: Т2, 2Т2, Т5, Т5А, Т5К, 2Т5К, и другими равноточными им.

Измерения углов выполняют способом круговых приемов или способом измерения отдельного угла. Для ослабления влияния погрешностей центрировок и редукций в полигонометрии применяют трехштативную систему измерения углов. Такая система измерения возможна с использованием теодолитов со съемными подставками и специальных визирных марок.

Технические данные теодолитов приведены в таблице 4.

Таблица 4.

Характеристики

Т2

Т2А

2Т2

Т5

Т5К

Т5А

2Т5

2Т5К

Точность отсчета.

0,1"

0,1"

0,1"

0,1"

0,1"

0,1"

0,1"

0,1"

Средняя квадратическая погрешность измерения угла одним приемом

3"

3"

2"

6"

5"

6"

5"

5"

Масса теодолита, кг

5,2

5,2

4,8

3,5

3,5

3,6

3,7

3,5


Построение высотной основы топографических съемок.

Высотная основа топографических съемок создается путем проложения ходов III, IV классов, а также технического нивелирования. При этом ставится условие обеспечить необходимую точность определения отметок нивелирных реперов для съемочных работ, а также инженерно-геодезических и других работ, которые могут производиться после окончания съемок.

Нивелирование III класса выполняют в прямом и обратном направлении по линиям, образующим замкнутые и разомкнутые полигоны. Причем невязка не должна превышать .

Нивелирование IV класса выполняют в одном направлении. Причем невязка не должна превышать .

Для определения высот пунктов крупных масштабов прокладывают одиночные ходы или сети технического нивелирования. Невязки ходов и полигонов технического нивелирования не должны превышать .

При топографических съемках с сечением рельефа 2 и 5м высоты пунктов могут быть определены из тригонометрического нивелирования. В этом случае невязки полигонов, а также расхождения превышений, измеренных по разным линиям тригонометрического нивелирования, не должны превышать .

Приборы и методы для нивелирных работ

Для нивелирных работ при крупномасштабных съемках получили распространение точные и технические нивелиры. При нивелировании IV класса могут быть использованы серийно выпускаемые нивелиры Н3, НС3, НС4, и другие.

Техническое нивелирование производят с помощью следующих нивелиров: НСК4, НТ, Ni-050, и другие.

Некоторые характеристики нивелиров представлены в таблице 5.

Таблица 5

Тип нивелира

Увеличение зрительной трубы, крат

Средняя квадратическая погрешность на 1 км хода, мм

Масса нивелира, кг

Н2

40

2

6

Н3

30

3

1,8

НС4

30

6

2,5

НТ

23

10-15

1,2

НТС

20

15

1

Ni-050

16-18

5-10

1


Для нивелирования III и IV классов двусторонние трехметровые деревянные рейки с сантиметровыми делениями, при этом случайные погрешности метровых интервалов допускают 0,5 и 1,0мм.

3. Применение аэрофототопографической съемки для создания планов крупных масштабов

геодезический сеть аэрофототопографический съемка

Краткие сведения об аэрофототопографической съемке.

В настоящее время создание планов крупных масштабов, как правило, производят на основе материалов аэрофотосъемки. При этом основными способами составления крупномасштабных планов являются стереотопографический и комбинированный.

Стереотопографический способ создания планов применяют, в основном, для открытых, незаселенных участков местности. Сущность стереотопографического способа заключается в создании контурной части плана на основе материала аэрофотосъемки и в рисовке рельефа.

Комбинированный способ создания планов применяют для заселенных участков местности. При комбинированном способе, контурную часть плана создают на основе материалов аэрофотосъемки, а дешифрирование участка и рисовку рельефа выполняют на фотопланах непосредственно на местности обычными способами.

Последовательности работ при комбинированном и стереотопографическом способе создания планов определена технологической схемой (приложение 7).

Аэрофотосъемку выполняют с самолета специальными аэрофотоаппаратами. В результате аэрофотосъемки получают ряд взаимно перекрывающихся аэрофотоснимков вдоль каждого маршрута. Необходимым условием аэрофотоснимков является их перекрытие поперек маршрутов.

Величины перекрытий устанавливают в зависимости от масштаба создаваемого плана и рельефа местности, технических средств и условий выполнения аэрофотосъемки.

При выборе масштаба аэрофотосъемки учитывают высоту сечения рельефа и фокусное расстояние объектива аэрофотоаппарата. При этом высоту полета самолета можно подсчитать по формуле:

H=fоб*m

знаменатель масштаба аэрофотосъемки.

Составление проекта размещения и маркировки опознаков.

Перед выполнением полевых работ составляют проект размещения и геодезической привязки плановых и высотных опознаков, а также проект маркирования опознаков. Опознаки проектируют в дополнение к геодезическим пунктам, имеющимся на местности. При выборе места положения опознаков учитывают следующие требования:

обеспечить опознаками наибольшее количество аэрофотоснимков;

облегчить геодезическую привязку аэрофотоснимков.

С этой целью опознаки размещают в зонах поперечного перекрытия аэрофотоснимков по обе стороны от оси аэрофотосъемочного маршрута не ближе 4 См от линии базисов. Кроме того, опознаки должны располагаться на местности, удобной для измерений, а также поблизости от исходных пунктов, но не ближе 1 См от края аэрофотоснимка.

Плановые опознаки.

Плановые опознаки являются геодезическим обоснованием аэрофототопографических съемок. Они служат исходными данными для развития фототриангуляционных сетей.

Количество плановых опознаков зависит от масштаба съемки. В качестве плановых опознаков выбирают контурные точки местности, которые можно определить на аэрофотоснимке с погрешностью не более 0,1 мм. Опознаками могут служить пункты исходной геодезической сети, хорошо опознающиеся на аэрофотоснимках, а также точки четких контуров, удобные для определения геодезическими способами.

Высотные опознаки

Для обработки аэрофотоснимков и стереотопографической рисовки рельефа на универсальных приборах служат высотные опознаки.

При разрешенной высотной подготовке высотных опознаков различают рядами поперек аэрофотосъемочных маршрутов в зонах поперечного перекрытия. Границы участков съемки вдоль аэрофотосъемочных маршрутов обеспечивают дополнительными высотными точками. В этом случае высотные опознаки размещают через два базиса фотографирования.

В качестве высотных опознаков принимают точки местности, хорошо изобразившиеся на аэрофотоснимках. При проектировании необходимо учитывать, что высотные опознаки располагают на местности с незначительным уклоном.

В ряде случаев высотные опознаки совмещают с плановыми. Тогда привязка аэроснимков заключается в определении трех координат точек, представляющих планово-высотные опознаки.

При составлении проекта привязки аэрофотоснимков на участке с нечеткими контурами предусматривают маркировку опознаков. Вид маркировочного знака должен надежно определять положение опознака.

Проект плановой и высотной подготовки аэрофотоснимков составляют в соответствии со схемой аэрофотосъемочных маршрутов на основе топографической карты.

. Проектирование

Проектирование плановых геодезических сетей сгущения.

Сгущение главной геодезической основы на объектах крупномасштабных съемок производится методом полигонометрии 4 класса.

При построении полигонометрических сетей 4 класса были соблюдены требования, указанные в таблице 6:

Таблица 6

Показатели

4 класс

Фактически



1 ход

2 ход

Предельная длина хода, км: отдельного между исходной и узловой точками между узловыми точками

 15 10 7

 11.21

 5.55

 12.12

Предельный периметр полигона, км

30

5.12

2.19

5.12

Длины сторон хода, км: наибольшая наименьшая средняя расчетная

 2,00 0,25 0,50

 1.477 0.267 -

 1.426 0.539 0.983

 1.567 0.669 1.01

Число сторон в ходе, не более

15

15

7

12

Относительная погрешность хода, не более

1/25000

-

-

1/44233

Средняя квадратическая погрешность измерения угла (по невязкам в ходах и полигонах) угл. с, не более

3

-

-

3

Угловая невязка хода или полигона, угл. с, не более, где n - число углов в ходе

5---





Отдельный ход полигонометрии 4 класса должен опираться на два исходных пункта с обязательным измерением примычных углов. На основании этих требований были запроектированы 3 полигонометрических хода:

.        11.21 км;

.        5.55 км;

.        12.12 км;

Как известно, более длинный ход менее надежный, поэтому расчет точности будем вести по III.

Полигонометрические ходы в общем случае имеют произвольную изогнутую форму. Однако, в некоторых случаях ходы могут иметь вытянутую форму - как частный случай изогнутых ходов. Поэтому проводимый расчет точности начинался с установления формы хода. Это связано с фактом существования упрощенных расчетных формул для ходов вытянутой формы.

Ход считается вытянутым, если он одновременно удовлетворяет трем критериям вытянутости полигонометрического хода. Если хотя бы одно из требований критериев не выполняется, то ход нельзя считать вытянутым.

Критерий №1: «отношение периметра хода к длине замыкающей не должно превышать 1,3».

Проверка: периметр равен 12.12км, а длина замыкающей - 7.3 км. Их отношение составляет примерно 1.66, отсюда получили, что ход не удовлетворяет критерию №1, а следовательно, дальнейшая проверка хода по остальным критериям не имеет смысла. Ход не оказался вытянутым, и для его расчета были использованы формулы для ходов произвольной изогнутой формы.

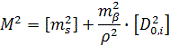
Определение ожидаемых погрешностей положения пунктов выполнялось по формулам, используя измеренные на карте длины линий полигонометрии Si, расстояния от центра тяжести до пунктов хода Do,i, средние квадратические погрешности измерения углов mb и линий ms соответствующие принятым приборам.

При измерении длин сторон ходов светодальномером 2СМ-2 средняя квадратическая погрешность ms составляет 2 см, а при определении величины горизонтальных углов теодолитом средняя квадратическая погрешность mb для полигонометрии 4 класса составляет 3’’.

Относительная невязка хода:


Где Т - знаменатель предельной относительной погрешности хода, установленной инструкцией для полигонометрии 4 класса составляет - 1/25000;  - длина всего хода в метрах на местности, а М - средняя квадратическая погрешность конечной точки хода.

Определение центра тяжести «0» хода произвольной формы в проекте проводилось аналитическим методом. По карте или схеме определяют прямоугольные координаты всех вершин хода с помощью миллиметровой линейки. Начало оси координат совмещают с началом точки хода, а ось абсцисс - замыкающей, соединяющей начальную и конечную точку. Центр тяжести в данном способе вычисляют по формулам:


ms = 0,02 м; mb = 3"; угловых секунд; S=12.12 км.

Таблица 7. Расчет суммы квадратов расстояний от центра тяжести "О" до всех точек хода

точки

D, м

D2 м

Do1

4635.9

21491568.81

Do2

3568.2

12732051.24

Do3

2911.13

8474677.877

Do4

2212.48

4895067.75

Do5

910.6

829192.36

Do6

539.5

Do7

1181.6

1396178.56

Do8

1918.175

3679395.33

Do9

3109.225

9667280.10

Do10

2915.35

8499265.623

Do11

1456.825

2122339.081

Do12

2015.65

4062844.92

Do13

2952.5

8717256.25

Сумма

30327,14

86858126,92


Для хода произвольной формы:

где М - средняя квадратическая погрешность положения конечной точки хода;S- средняя квадратическая погрешность измерения длин линий;b- средняя квадратическая погрешность измерения углов;

[D2o,i]- сумма квадратов расстояний от центра тяжести "О" до всех точек хода;

Подставив числовые значения, получили:2=0.0187

M=0,14м=14 см.

M/S=(2*0.14)/12120=1/44233<1/25000

следовательно, условие верно.

Вывод: На основе выполненного предвычисления точности полигонометрического хода следует, что точность запроектированного хода соответствует требованиям Инструкции.

Поэтому в качестве измерительных приборов вполне могут выступить оптический теодолит Т2 и светодальномер 2СМ-2, а также геодезические приборы им равноточные.

Высотная привязка опознаков.

Для передачи высот пунктов ходов полигонометрии применяют нивелирование 4 класса или техническое нивелирование. Расчет точности обычно сводится к тому, что устанавливают обеспечивает ли нивелирование 4 класса заданной точности.

Расчет производится следующим образом : предельная невязка хода

Длина хода составляет 12120 м. рассчитанная величина предельной ошибки составляет 69 мм, в то время как инструкция устанавливает эту величину равной 0.4 м. Отсюда логично сделать вывод о том, что нивелирование 4 класса полностью обеспечивает заданную точность высотного положения опознака.

Для нивелирования 4 класса применяются нивелиры типа Н-3 или Н-3К и шашечные нивелирные рейки типа РН-3, нормальная длина визирного луча 100 метров.

Заключение:

Высоты ОПВ-1,ОПВ-2 и ОПВ-3 будут определены со средней ошибкой не более 0,16 м. В качестве измерительных приборов вполне могут выступить нивелиры Н2 и Н3, а также им равноточные.

По результатам предрасчета точности можно сделать вывод о том, что тригонометрическое нивелирование полностью обеспечивает заданную точность высотного положения опознака.

5. Процесс вычисления с системой GPS (Глобальная Система Позиционирования)

В начале приемник будет определять примерные координаты и высоты наземных пунктов в заданной для определенного региона системе координат (географической и прямоугольной), которую вводят в память приемника. А вычислительная обработка данных для точного местоположения проводится уже камерально, плюс с применением поправок за приведение от общемировой системы координат и высот к местной системе, с учетом положения «твердых» пунктов. А также уравнивается геодезическое построение.

Вычисление в самой программе идет по таким уравнениям:

) Измеряется псевдорасстояние по такой функции

S=R(X,Y,Z,) - Nλ+d+D+l,

 

где S - функция от координат;

R - геометрическая дальность от спутника, определяется из произведения

С - скорости распространения света в вакууме и τ-времени прохождения сигнала (t1изл. - t2получ.);

X,Y,Z - координаты точек в геоцентрической системе (по Эллипсоиду Красовского);

N - количество повторений длин волн;

λ - волна; - аппаратные задержки спутника;

D - аппаратные задержки приемника;

l - атмосферные задержки;

Измеряется псевдорасстояние до пункта А:

а=Rа(X,Y,Z,) - Nаλ+d+Dа+lа,

и также аналогично до пункта В:

Sв=Rв(X,Y,Z,) - Nвλ+d+Dв+lв,

) Вычисляется геометрическая псевдоразность между пунктами А и В

Из-за длительных наблюдений спутников и получения большого количества информации с совпадающими некоторыми параметрами радиоволн, число последних сокращается, то есть они исключают друг друга из общего числа вычисляемых уравнений со множеством неизвестных параметров.

S1=ΔR1(Xв - Xа, Yв - Yа, Zв - Zа,) - N1λ+ Dв - Dа+ l1,

где ΔR1 - геометрическая разность дальностей на один спутник с пунктов А и В в один момент времени.

Аналогично и со вторым спутником и с остальными:

S2=ΔR2(Xв - Xа, Yв - Yа, Zв - Zа,) - N2λ+ Dв - Dа+ l2,

3) при большем количестве спутников исключаются почти все неизвестные величины, остаётся только такой вид:

S(t2 - t1)=ΔR(Xв - Xа, Yв - Yа, Zв - Zа,) + l(t2 - t1),

4) зная фактическую разность между двумя твердыми пунктами (фактическое местоположение пунктов), можно найти координаты и высоту определяемой точки. Обязательно для пересчитывания вводят высоту прибора над поверхностью земли.

Применяются три типа приемников: одночастотные; двухчастотные; и одночастотные приемники, использующие сигналы спутников разных систем глобального спутникового позиционирования (GPS).

Используют приемники фирмы Ashtech, Trimble, Garmin, Leica, Magellan. Двухчастотные более надежны и точнее.

Аппаратура состоит из:

1)   антенны;

2)   блока приема радиосигналов (1 - 12 каналов (количество принимаемых сигналов со спутников);

3)   Контроллер

-микропроцессор,

блока управления;

блока индикации с дисплеем;

запоминающего устройства;

устройства связи с внешней ЭВМ;

4)   блока питания (аккумуляторная батарея).

Основы технологии работы MapInfo

MapInfo относится к классу векторных ГИС. Это означает, что основными объектами, с которыми оперирует система, являются векторные объекты. Построение карты в MapInfo заключается в создании совокупности векторных объектов, отображающих необходимые объекты местности и привязки векторных данных к таблицам, в которых хранится атрибутивная информация.

Основные технологические процессы в MapInfo можно разделить на четыре группы: ввод данных, графическое редактирование, геоинформационное моделирование, подготовка данных к печати. В данной части пособия будут рассмотрены ввод, графическое редактирование и вывод данных, что требуется для начального освоения системы

Построение карты может быть реализовано тремя путями:

Создание новой карты на основе информации, которая вводится оператором,

Создание новой карты на основе существующей векторной карты путем ее модификации или обновления,

Создание новой карты на основе трассировки растровых изображений, которые могут представлять собой сканированные снимки или карты.

Создание новой карты на основе информации вводимой оператором с клавиатуры наименее производительно и на практике не применяется. Технологически этот процесс совпадает с процессом редактирования карт и будет рассмотрен в разделе, посвященному графическому редактированию.

Заключение

В результате проделанной работы был создан проект аэрофотосъемочных и наземных геодезических работ для создания карт масштаба 1:5000. Для этого запроектированы маршруты аэрофотосъемки, зоны перекрытий, 13 планово-высотных опознаков, 3 полигонометрических хода 4 класса для сгущения геодезической основы в районе съемки и для привязки опознаков в плане и по высоте.

Составлен проект и предрасчет точности для проложения полигонометрических и теодолитных ходов, сделаны выводы о рассчитанной точности и даны рекомендации по выбору инструментов для проведения работ.

После проведения работ местным властям будут сданы по акту на сохранность 6 пунктов полигонометрии 4 класса, которые в дальнейшем могут использоваться в качестве геодезического обоснования для производства крупномасштабных съемок и других инженерно-геодезических работ.

Литература

1.   А.Г. Неволин "Курсовая работа: Проект геодезического обоснования стереотопографической съемки масштаба 1:5000"

2.      Инструкция по топографической съемке в масштабах 1:5000, 1:2000, 1:1000, 1:500.

.        Инструкция по нивелированию I, II, III, IV классов.

Похожие работы на - Создание проекта планово-высотного обоснования для стереотопографической съемки в масштабе 1:5000 с высотой сечения рельефа 1 метр

 

Не нашли материал для своей работы?
Поможем написать уникальную работу
Без плагиата!
Без нейросетей!