Разработка состава грунтобетона модифицированного французскими углеродными нанотрубками фирмы 'Arkema'

  • Вид работы:
    Дипломная (ВКР)
  • Предмет:
    Геология
  • Язык:
    Русский
    ,
    Формат файла:
    MS Word
    979,67 Кб
  • Опубликовано:
    2013-04-06
Вы можете узнать стоимость помощи в написании студенческой работы.
Помощь в написании работы, которую точно примут!

Разработка состава грунтобетона модифицированного французскими углеродными нанотрубками фирмы 'Arkema'

Содержание

Введение

Глава 1. Современное состояние проблемы

.1 Состояние глинистых грунтов

.2 Технологии глубинного закрепления глинистых грунтов

.3 Материалы, применяемые при глубинном закреплении грунтов

Глава 2. Материалы и методы исследований

.1 Грунт

.2 Исследование грунтов

.2.1 Классификация грунтов

.2.2 Определение физико-механических свойств грунтов

.2.3 Порядок определения физических свойств связных (глинистых) грунтов

.3 Метод лабораторного определения характеристик просадочности по ГОСТ 23161-78

.3.1 Общие положения

.3.2 Аппаратура

.3.3 Подготовка к испытаниям

.3.4 Проведение испытаний

.3.5 Обработка результатов испытаний

.4 Методы лабораторного определения характеристик прочности и деформируемости грунтов по ГОСТ 12248-96

.4.1 Сущность метода

.4.2 Оборудование и приборы

.4.3 Подготовка к испытанию

.4.5 Проведение неконсолидированно-недренированного испытания

.4.6 Обработка результатов

.5 Многослойные углеродные нанотрубки

.5.1 Влияние углеродных нанотрубок на цементный камень

Глава 3. Экспериментальная часть (Результаты исследований)

.1 Экспериментальное определение характеристик грунта

.1.1 Определение плотности грунта(естественной ненарушенной структуры) ρ и удельного веса грунта ɣ

.1.2 Определение природной влажности грунта W

.1.3 Определение влажности глинистого грунта на границе текучести Wl

.1.4 Определение влажности глинистого грунта на границе раскатывания Wp

.1.5 Определение расчетных характеристик

.2 Результаты определения показателей деформируемости грунта способом компрессии в одометре

.3 Результаты определения показателей прочности грунта в приборе одноплоскостного среза ГГП-30

.4 Испытания грунтобетона. Результаты закрепления грунта методом цементации

.5 Результаты закрепления грунта цементом модифицированным углеродными нанотрубками

Заключение

Список литературы

Введение

Актуальность работы

Большой класс структурно-неустойчивых грунтов составляют лессовые просадочные грунты, в которых нарушение структуры с возникновением значительных просадок происходит при замачивании их под нагрузкой.

Просадками называются местные быстро протекающие вертикальные деформации грунтов, обусловленные резким коренным нарушением структуры и сопровождающиеся частичной или полной потерей сопротивляемости нарушенных масс грунта, а при избыточном увлажнении - выдавливанием грунтов в стороны.

Практика строительства на лессовых грунтах показала, что просадки могут достигать значительной величины. Так, стена рудного крана Кузнецкого завода примерно за один год осела на 37 см. Свойство лессовых грунтов терять устойчивость своей структуры при увлажнении обусловливает настолько своеобразные строительные качества этих грунтов, что требует особого рассмотрения.

Лессовые грунты залегают на значительной части территории России, более 16% континентальной поверхности. Для практики строительства весьма важно уметь отличать просадочные лессовые грунты от обычных, знать особенности механических свойств просадочных грунтов и предусмотреть влияние этих свойств на возводимые сооружения.

Рис. 1. Карта развития лёссовых пород на территории СНГ ("Лёссовые породы", 1986, т. 1)

- лёссы и лёссовые породы большой мощности (более 10 м), проявляющие просадку под собственным весом; 2 - лёссовые породы и лёссы мощные (более 5 м), проявляющие значительные просадочные деформации при дополнительных нагрузках; 3 - лёссовые породы средней мощности (5 - 10 м), проявляющие незначительные просадочные деформации при дополнительных нагрузках; 4 - лёссовые породы прерывистого распространения (3 - 5 м), непросадочные; 5 - лёссовые породы прерывистого и островного распространения изменчивой мощности, неоднородные по просадочности; 6 - лёссовидные и покровные глинистые породы островного и прерывистого распространения, маломощные, непросадочные; 7 - мерзлые покровные пылеватые глинистые породы, проявляющие термопросадки в результате оттаивания.

На данный момент существует достаточно способов решения проблемы просадочности грунтов. В основоном эти способы заключаются в искусственном преобразовании строительных свойств грунтов физико-химическими методами в условиях их естественного залегания для повышения прочности или связности и придания водонепроницаемости. В результате закрепления грунтов увеличивается несущая способность оснований сооружений. Закрепление грунтов применяется также для укрепления стенок котлованов, горных выработок и пр., для создания водонепроницаемых завес и т. д. Закрепление грунтов осуществляется нагнетанием в грунт вяжущих материалов и химических растворов, а такжё воздействием на грунт электрического тока, нагреванием и охлаждением грунта.

В соответствии с видом применяемых средств различают следующие способы закрепления грунтов: цементация, глинизация, битумизация, силикатизация, смолизация, термический и электрохимический способы. Пределы применимости каждого из способов закрепления грунтов определяются требованиями, предъявляемыми к закрепленному грунту, и свойствами самих грунтов: водопроницаемостью, скоростью фильтрационного потока, однородностью грунтов и т. д.

Цели исследования

В данной работе мы не будем опровергать общепринятые дефениции, а будем разрабатывать состав грунтобетона модифицированного многослойными углеродными нанотрубками.

Мы будем исследовать прочностные характеристики просадочных грунтов при добавлении к ним в определенных пропорциях портландцемента и многослойных углеродных нанотрубок. При положительных результатах, а именно: увеличении прочностных характеристик и не сильно затратных экономических вложений можно будет считать исследования успешными и возможными к применению в строительном производстве.

Задачи исследования

Для решения поставленной цели необходимо решить следующие задачи:

подбор просадочного грунта и определение его физико-механических, деформационных и прочностных характеристик

разработка состава грунтобетона;

оптимизация состава грунтобетона модифицированного углеродными наноструктурами;

исследование физико-технических свойств грунтобетона;

анализ эффективности модификации грунтобетона углеродными нанотрубками.

Научная новизна

Разработан состав грунтобетона модифицированный французскими углеродными нанотрубками фирмы «Arkema»

Практическая значимость

Увеличение прочностных характеристик за счет структурирования матрицы грунтобетона углеродными нанотрубками. Как следствие расширение диапазона применения грунтобетона при небольших объемах дополнительных вложений к первоначальной стоимости грунтобетона.

На защиту выносятся:

- состав грунтобетона с повышенными прочностными характеристиками;

результаты исследования влияния углеродных нанотрубок на структуру и свойства грунтобетона;

Глава 1. Современное состояние проблемы

.1 Состояние глинистых грунтов

Последние годы активно ведутся строительство и реконструкция зданий в центре города, к уже существующим зданиям пристраиваются новые - здания-«встройки», в которых часто предусматривается строительство подземных гаражей. Однако физико-механические, в частности, деформационные свойства слабых глинистых грунтов, зачастую не отвечают требованиям проектировщиков. Такие грунты не могут рассматриваться в качестве надежного основания. В большинстве случаев непосредственно под слоем техногенных грунтов залегают водонасыщенные слабые глинистые отложения. Их мощность может доходить до полутора десятков метров. При строительстве новых зданий и сооружений эти грунты неизбежно вовлекаются в зону техногенного воздействия. Они характеризуются наличием слоистости, повышенной деформативностью, анизотропией свойств и фракционно изменяются от глин до супесей. В среднем по гранулометрическому составу они содержат: глинистых фракций - 17-53%, пылеватых - 36-67%, песчаных - 8-16%, естественная влажность грунтов изменяется от 20 до 35%. Глинистые отложения представляют собой, как правило, агломераты, состоящие из полевого шпата, кварца, хлорита, каолинита, гидроокислов железа и алюминия, апатита, гипса и др. [1].

В результате техногенных воздействий строительные свойства слабых грунтов существенно ухудшаются, что негативно сказывается на окружающей застройке. Для стабилизации слабых грунтов необходимо проведение превентивных мероприятий.

Вопросами стабилизации слабых грунтов в нашей стране занимались Ю.М. Абелев, С.Д. Воронкевич, Г.Н. Жинкин, В.Ф. Калганов, М.Н. Першин, Б.А. Ржаницин, А.Н. Соколовский, В.Е. Соколович, А.Н. Токин, а за рубежом - А. Добсон, Л. Казагранде и др.

Стабилизация грунтов в условиях нового строительства существенно проще, чем при реконструкции, и может быть достигнута различными путями. Один из них предусматривает создание системы «грунт-вяжущее» путем использования природного грунта в качестве наполнителя и сырья при обезвоживании и уплотнении массива грунта, другой - коренное видоизменение исходного грунта. В нашей стране разработаны и реально внедрялись различные методы улучшения свойств грунтов: силикатизация, замораживание, кольматация, электрохимическое закрепление, электроискровая обработка, цементация, битумизация, смолизация, термическое упрочнение, известкование. С.В. Воронкевич для нужд технической мелиорации грунтов разработал классификацию методов их искусственного улучшения, в которой в зависимости от исходных природных свойств грунтов предусмотрены мероприятия по их изменению [3]. Однако не все из вышеприведенных методов применимы для производства реконструкционных работ в условиях плотной городской застройки. На успешность их применения существенно влияют исходные свойства грунтов площадки - проницаемость, пористость, гранулометрический состав, обводненность, активность породообразующих минералов.

Для закрепления глинистых грунтов широко используется цементация, реже - электросиликатизация и известкование грунтов. Для обработки тяжелых суглинков и глин в строительстве в качестве вяжущего широко применяются портландцемент и известь. Регулируя свойства и содержание вяжущего, повышая степень его дисперсности и активности, можно существенно повышать прочность и водоустойчивость слабых глинистых грунтов. Для улучшения свойств и качества твердеющих смесей при введении в грунты вяжущих материалов необходимо использовать специальные химические добавки.

При обработке глинистых грунтов известью обеспечивается коагуляция глинистых частиц, понижается липкость грунтов, устраняются усадка и набухание грунтов. Традиционно при известковании глинистых пород расход извести находится в пределах 5-10% от массы смеси, для закрепления пылеватых грунтов необходимо 8-12%. Обработанные известью глинистые грунты набирают прочность медленнее, чем грунты, обработанные цементом, из-за длительности процессов кристаллизации Ca(OH)2 и карбонизации породы, что необходимо учитывать при проектировании работ.

1.2 Технологии глубинного закрепления глинистых грунтов

В условиях слабых грунтов площадки строительства проектировщики, как правило, применяют свайные фундаменты, с опиранием острия свай на плотные слои грунта. Стоимость такого фундамента сравнительно высока. Появление на строительном рынке современной техники по надежному закреплению слабых глинистых грунтов может позволить проектировщикам уменьшить конечную стоимость проекта.

Для глубинного закрепления лессовидных суглинков цементами в нашей стране в 1950-70-е гг. достаточно широко применялся буросмесительный способ, разработанный в НИИОСП по предложению В.Е. Соколовича [4]. Специально для изготовления цементогрунтовых свай на Кунгурском машиностроительном заводе был изготовлен буровой агрегат IБА-15В. Буросмесительный метод закрепления разрабатывался СибЗНИЭПом, однако, технология и оборудование для устройства цементогрунтовых свай буросмесительным методом не получили широкого применения.

Для глубинного закрепления слабых водонасыщенных глинистых грунтов перспективно применение метода струйного перемешивания вяжущего с исходным грунтом - технология Jet Grouting. При этой технологии традиционно для закрепления грунтов используется цементное молоко. При выполнении закрепления грунта по струйной технологии диаметр получаемой грунтоцементной колонны зависит от свойств грунта и большого числа технологических параметров: давления, расхода, скоростей вращения струи и подъема из скважины бурового инструмента и др. Отсутствие надежной инженерной методики определения диаметра закрепляемого грунта и повышенный расход цемента сдерживают широкое применение этой технологии.

Представляет интерес буросмесительное оборудование по введению в предварительно разрыхленный слабый грунт сухого вяжущего в соответствии с технологией Dry Jet Method (рис. 2).

Рис. 2. Буросмесительный инструмент установки для стабилизации слабых грунтов. (Япония, 1996 г.) а - внешний вид рабочего органа; б - схема закрепления грунта (1- защитный кожух; 2 - канал для подачи воздухом вяжущего; 3 - колонна закрепленного грунта.

По этой технологии, широко применяемой в Японии, вяжущее вводится в грунт в сухом состоянии, подача его осуществляется воздухом через специальные воздушные сопла. Применение бурового инструмента (рис. 3) позволяет вводить вяжущее и в затворенном водой состоянии. Расположенные на буровом инструменте-смесителе лопасти жестко определяют диаметр закрепляемой колонны и служат для измельчения и перемешивания исходного грунта с поданным в скважину вяжущим. При использовании технологии Dry Jet Method (DJM) количественная подача вяжущего синхронизирована применением ЭВМ и микропроцессорной техники с вращением и вертикальным перемещением бурового инструмента. Японские геотехнические фирмы «Sanva Ciszal» и «Cocken Boring» на базе серийно выпускаемых буровых установок создали ряд агрегатов для изготовления грунтобетонных свай диаметром до 1,0 м и глубиной до 35,0 м буросмесительным методом [2]. Слабый грунт площадки перемешивается лопастями, а через воздушные сопла вяжущее может подаваться при погружении или при извлечении бурового инструмента. Исходя из проектных требований, предъявляемых к закрепленному грунту, назначаются технологические параметры: необходимое количество вяжущего, скорость подъема и число оборотов бурового инструмента.

Качество закрепления контролируется с помощью автоматизированной системы сбора и обработки данных (глубина погружения, число оборотов, скорость подъема и опускания бурового смесителя, поинтервальное количество вводимого в грунт вяжущего). Скорости первичного погружения бурового смесителя в грунт и подъема с введением вяжущего могут изменяться от 0,5 до 1,0 м/мин в зависимости от свойств грунта площадки. Эти параметры могут быть заложены в систему контроля как стандартные для данной площадки, и при их несоблюдении включается сигнализация, при этом все данные сохраняются для последующего отчета на бортовом компьютере. Объем и свойства вяжущего назначаются после проведения специальных лабораторных опытов с образцами грунта реальной площадки. Производительность такой установки может составлять до пяти-шести 30-метровых колонн закрепленного грунта в смену. Для устройства «стен в грунте» из закрепленного грунта уже давно применяются буровые установки с одновременным бурением 2-4 буровыми штангами (см. рис. 3, б).

Рис. 3. Буросмесительный инструмент (Япония, пат. №64-11769, 1982 г.): а - схема инструмента; б - формирование «стены в грунте»; 1 - буровая штанга; 2 - лопасти для перемешивания грунта; 3 - внутренняя труба; 4 - породоразрушающий инструмент; 5 - вертикальное сопло; 6 - горизонтальные сопла; 7 - уплотнение; 8 - струя; 9 - канал для подачи вяжущего; 10 - вращатель

Безусловный интерес представляют разработки геоинженеров из фирмы «Soil-Mec» по объединению преимуществ буросмесительной и струйной технологий. Это технология «Turbojet», при которой диаметр закрепляемой колонны жестко обеспечивается механическим путем, а однородность материала и конечная прочность - высоконапорной струей цементного раствора. Прочность грунта, закрепленного буросмесительным методом, может варьироваться от 30 до 90 кг/см2.

Однако при внедрении этих геотехнологий на отечественных стройплощадках необходимо учитывать: возможные осложнения при проходке крупнообломочных включений в техногенных грунтах; необходимость полной герметичности всех соединений в нагнетательной линии в случае подачи вяжущего в грунт воздухом; проведение операции по очистке выбуренного из скважин грунта, при использовании извести - следует учесть удлинение сроков набора прочности. При использовании соответствующего оборудования потребуются строительные площадки значительных размеров.

1.3 Материалы, применяемые при глубинном закреплении грунтов

При использовании цементного молока для закрепления слабых грунтов значения конечной прочности полученного материала могут иметь большой разброс. Глинистые частицы, попадающие в цементный раствор, способствуют снижению механической прочности цементного камня. При закреплении грунтов зачастую нужна не высокая прочность, а стабильные проектные значения.

При введении в исходный цементный раствор добавки извести до 2% в виде известкового молока (по данным, полученным в ВИТР) увеличивается прочность цементного раствора и уменьшается размокающее действие на окружающие глинистые грунты (табл. 1 ). Обработанные известковым раствором глинистые грунты снижают гидратацию и пептизацию глинистых частиц, а также набухание и вспучивание.

Таблица 1. Показатели цементных растворов

Состав смеси, масс. %

Водоцементное отношение

Стабильность через 2 ч., г/см3

Набухание образца глинистого грунта в фильтрате раствора, %

Предел прочности на сжатие в возрасте 7сут., кг/см2

Цемент 100 Суглинок 50

1

0,20

80

30

Цемент 100 Суглинок 50 Известь 2

1

0,30

46

42

Цемент 100 Суглинок 50 Na2SiO3 2

1

0,31

48

32

Цемент 100 Суглинок 50 Сульфат алюминия 2

1

0,32

51

32


Применение извести в качестве вяжущего в наших условиях сдерживается рядом факторов: ее стоимость близка к стоимости цемента, а закрепленный известью (без добавок) грунт набирает прочность значительно дольше. При проектировании закрепления грунтов известкованием необходимо учитывать, что известково-глинистые грунты как конструкционный материал не получили широкой апробации и для их промышленного применения необходимо проведение дополнительных исследований.

При введении нанотрубок в бетонную смесь они «армируют» цементный камень, превращая его в композиционный материал. С точки зрения здравого смысла, такой процент армирования (0,01-0,1 %) кажется явно недостаточным и не способным существенно повлиять на прочностные характеристики. Тем не менее стойкий эффект присутствует, но возникает он не за счет непосредственного армирования, которое действительно ничтожно, а за счет направленного регулирования кристаллизационных процессов. Данный метод вмешательства в процессы структурообразования позволяет на 30-40 процентов усилить прочность цементного камня и почти в три раза увеличить работу, затрачиваемую на его разрушение.

Появление на строительном рынке техники и технологий по надежному глубинному закреплению слабых глинистых грунтов в отдельных случаях позволит проектировщикам отказаться от дорогих буровых свай.

Глубинное закрепление грунтов буросмесительным способом для строительных целей в прошлом широко использовалось в нашей стране, однако, невысокий уровень оборудования не позволил занять этому методу должное положение в арсенале геоинженеров. Западные компании довели оборудование для закрепления грунтов до практического применения. Представляется перспективным использовать эти возможности для подготовки основания при строительстве новых зданий и устройстве ограждений котлованов (см. рис. 4), противофильтрационных завес. Даже в стесненных условиях городской застройки приведенные выше технологии могут эффективно применяться для закрепления слабых глинистых грунтов. Перспективно также их применение и в дорожном строительстве (см. рис. 4, а). Непременным условием внедрения современных геотехнологий является обязательное ведение пооперационного контроля качества всех проводимых работ на строительной площадке и правильность подобраных материалов для проведения работ по закреплению слабых грунтов.

Рис. 4. Глубинное закрепление грунтов DJM: а - расположение закрепленных колонн в плане; б - откопанные тангенциальные колонны закрепленного грунта

Глава 2. Материалы и методы исследований

.1 Грунт

Грунты отобраны из геологических выработок в д. Лып-Булатово Кезского района УР.

Лабораторными испытаниями будут установлены: наименование грунтов, физико-механические характеристики, и прочностно-деформационные свойства.

.2 Исследование грунтов

.2.1 Классификация грунтов

Согласно ГОСТ 25100-95 «Грунты. Классификация» все грунты по общему характеру структурных связей делятся на четыре класса:

I. Класс природных скальных грунтов (с жесткими структурными связями - кристаллизационными и цементационными) - магматические, метаморфические и прочные осадочные грунты;

II. Класс природных дисперсных грунтов (с механическими и водно-коллоидными структурными связями) - рыхлые осадочные грунты;

III. Класс природных мерзлых грунтов (с криогенными структурными связями, т.е. с наличием льда и отрицательной температурой) - скальные и дисперсные грунты;

IV. Класс техногенных грунтов (с различными структурными связями, возникшими в результате деятельности человека) - скальные, дисперсные и мерзлые грунты.

Классы грунтов согласно ГОСТ 25100-95 подразделяются на пять таксономических единиц, по следующим признакам:

- группа - по характеру структурных связей (с учетом их прочности) - скальные, полускальные; связные, несвязные;

- подгруппа - по происхождению и условиям образования (магматические, метаморфические, осадочные);

- тип - по вещественному составу (силикаты, карбонаты, сульфаты и т.д.);

- вид - по наименованию грунтов (с учетом размеров частиц и показателей свойств) - песок, глина, известняк, галечниковый грунт и т.д.;

- разновидности - по количественным показателям вещественного состава, свойств и структуры грунтов.

2.2.2 Определение физико-механических свойств грунтов

Все грунты различаются по структуре, текстуре, условиям залегания, минералогическому и петрографическому составу, что обуславливает различие их физико-механических свойств.

Физические свойства характеризуют физическое состояние грунтов. Важнейшие физические свойства: плотность, влажность, пористость, пластичность и т.д.

Водные свойства проявляются в отношении горных пород к воде. Они характеризуют способность породы изменить состояние, прочность и деформируемость при взаимодействии с водой, поглощать и удерживать воду, фильтровать ее. Важнейшие водные свойства: водоустойчивость, влагоемкость, водоотдача, капиллярность, водопроницаемость и др.

Механические свойства определяют поведение грунтов при воздействии на них внешних нагрузок (усилий). Различают прочностные и деформационные и свойства.

.2.3 Порядок определения физических свойств связных (глинистых) грунтов

Основным критерием для определения группы дисперсного грунта - связный или несвязный, является число пластичности. Если Ip≤0,01 (1%), то дисперсный грунт является несвязным (песчаным или крупнообломочным), если Ip>0,01, то грунт связный, глинистый (супесь, суглинок или глина). Для глинистых грунтов классификационными характеристиками являются: число пластичности, показатель текучести, просадочность, набухаемость, водопроницаемость, наличие органики, степень водонасыщения, степень морозной пучинистости.

1.      Наименование (разновидность) глинистого грунта определяют по числу пластичности (таблица 2).

Число пластичности Ip - разность влажностей, соответствующая двум состояниям грунта: на границе текучести WL и на границе раскатывания Wp. WL и Wp определяют по ГОСТ 5180 (таблица 1).

 (1)

Основные разновидности грунтов по Ip (по ГОСТ 25100-95, табл.Б.11)

Таблица 2

Разновидность глинистых грунтов

Чисто пластичности, д.ед.

Супесь

0,01-0,07

Суглинок

0,07-0,17

Глина

>0,17


Примечание: Илы подразделяют по значениям числа пластичности, указанным в таблице, на супесчаные, суглинистые и глинистые.

Если Ip<0,01 (1%), то дисперсный грунт является несвязным (песчаным или крупнообломочным).

2.      Для характеристики консистенции глинистого грунта в строительных целях используют показатель текучести (консистенции) IL:

 (2)

где W - естественная влажность грунта, д.ед.;

Wp - нижний предел пластичности (влажность на границе раскатывания), д.ед.;

Ip - число пластичности, д.ед.

Основные разновидности глинистых грунтов по IL(по ГОСТ 25100-95, табл.Б.14)

Таблица 3.

Разновидность глинистых грунтов

Показатель текучести IL

Супесь:


- твердая

< 0

- пластичная

0–1

-текучая

> 1

Суглинки и глины: - твердые

 <0

- полутвердые

0–0,25

- тугопластичные

0,25–0,50

- мягкопластичные

0,50–0,75

- текучепластичиые

0,75–1,00

- текучие

> 1,00


3. По гранулометрическому составу и числу пластичности Ip глинистые группы подразделяют согласно таблице 3 (ГОСТ 25100-95, табл.Б.12).

Таблица 4

Разновидность глинистых грунтов

Число пластичности Ip

Содержание песчаных частиц (2-0,05 мм), % по массе

Супесь:



- песчанистая

0,01¾0,07

³ 50

- пылеватая

0,01¾0,07

< 50

Суглинок:



- легкий песчанистый

0,07¾0,12

³ 40

- легкий пылеватый

0,07¾0,12

< 40

- тяжелый песчанистый

0,12¾0,17

³ 40

- тяжелый пылеватый

0,12¾0,17

< 40

Глина:



- легкая песчанистая

0,17¾0,27

³ 40

- легкая пылеватая

0,17¾0,27

< 40

-тяжелая

> 0,27

Не регламентируется


4. По наличию включений глинистые грунты подразделяют согласно таблице 4 (ГОСТ 25100-95, табл.Б.13).

Таблица 5.

Разновидность глинистых грунтов

Содержание частиц крупнее 2 мм, % по массе

Супесь, суглинок, глина с галькой (щебнем)

15¾25

Супесь, суглинок, глина галечниковые (щебенистые) или гравелистые (дресвяные)

25¾50


6. По относительной деформации просадочности esl глинистые грунты подразделяют согласно таблице 6 (ГОСТ 25100-95, табл.Б.16).

Грунт просадочный - грунт, который под действием внешней нагрузки и собственного веса или только от собственного веса при замачивании водой или другой жидкостью претерпевает вертикальную деформацию (просадку) и имеет относительную деформацию просадки esl ³ 0,01.

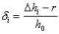
Относительная деформация просадочности , д. е. - отношение разности высот образцов, соответственно, природной влажности и после его полного водонасыщения при определенном давлении к высоте образца природной влажности. Определяется по ГОСТ 23161.

глинистый грунтобетон деформационный модифицированный

(4)

где  - дополнительное сжатие (просадка) грунта в результате замачивания, мм;

 - высота образца грунта с природной влажностью при природном давлении (на глубине отбора образца), мм;

Для расчетов h0 =50мм.

Таблица 6

Разновидность глинистых грунтов

Относительная деформация просадочности esl, д. е.

Непросадочный

<0,01

Просадочный

³0,01


7.      Рассчитывают плотность сухого грунта rd, г/см3 - отношение массы грунта (за вычетом массы воды и льда) к его объему:

 (5)

где r - плотность грунта, г/см3;

W - влажность грунта, д. е.

8.      Пористость грунта n, %, доли ед., - отношение объема пор ко всему объему грунта:

 (6)

где ρs - плотность частиц грунта - масса единицы объема минеральной части, г/см3; rd - плотность сухого грунта, г/см3. Средние значения ρs песчаных и пылевато-глинистых грунтов следующие (в г/см3): песок - 2,66; супесь - 2,70; суглинок - 2,71; глина - 2,74.

9.      Коэффициент пористости е, доли ед., - отношение объема пор к объему твердой части скелета грунта:

или (7)

10.    Коэффициент водонасыщения (степень влажности) Sr, доли ед., - степень заполнения объема пор водой:

 (8)

где ρs - плотность частиц грунта, г/см3;

W - природная влажность, доли ед.; е - коэффициент пористости, доли ед.; ρw - плотность воды, принимаемая равной 1,0г/см3.

2.3 Метод лабораторного определения характеристик просадочности по ГОСТ 23161-78

.3.1   Общие положения

Характеристики просадочности следует определять по относительной деформации, полученной по результатам испытаний образцов грунта ненарушенного сложения в компрессионных приборах. Испытания надлежит проводить на образцах грунта с замачиванием их водой при давлении, последовательно увеличиваемом ступенями. Испытания просадочных грунтов в компрессионных приборах следует выполнять по схемам:

«одной кривой» - для определения относительной просадочности при одной заданной величине давления;

«двух кривых» - для определения относительной просадочности при различных давлениях и начального просадочного давления.

Образцы грунтов (монолиты) для испытаний следует отбирать из открытых выработок - шурфов, котлованов, расчисток и т.д.

2.3.2 Аппаратура

Для испытаний просадочных грунтов надлежит применять компрессионные приборы, состоящие из следующих основных узлов и деталей:

рабочего кольца с внутренним диаметром 70-90 мм и высотой от 20 до 30 мм;

цилиндрической обоймы;

перфорированного штампа;

поддона с емкостью для воды и перфорированной крышкой;

двух индикаторов с ценой деления шкалы 0,01 мм для измерений вертикальных деформаций образца грунта;

механизма вертикальной нагрузки образца грунта.

.3.3 Подготовка к испытаниям

Образцы грунта для испытаний следует отбирать из монолита рабочим кольцом компрессионного прибора методом режущего кольца по ГОСТ 5180-84 с учетом выполнения следующего требования: подготовленные образцы грунта при испытании должны иметь по отношению к направлению нагрузки ориентировку, соответствующую залеганию грунта в массиве.

Подготовленный образец грунта в рабочем кольце следует сразу же взвесить с точностью 0,01 гс и поместить в компрессионный прибор.

Для испытываемых образцов грунта необходимо определить физические характеристики: влажность, плотность, плотность скелета, влажность на границах раскатывания и текучести - по ГОСТ 5180-84, а также вычислить коэффициент пористости, степень влажности и число пластичности.

Рабочее кольцо с образцом грунта следует поместить на крышку поддона компрессионного прибора острым краем вверх (предварительно торцы образца покрыть бумажным фильтром) и затем произвести сборку компрессионного прибора: завинтить соединительную муфту и установить штамп. К собранному прибору необходимо присоединить механизм нагрузки, далее следует укрепить индикаторы и записать их начальные показания в рабочем журнале.

.3.4 Проведение испытаний

При испытаниях по схеме «одной кривой» нагрузку штампа на образец грунта с природной влажностью следует производить ступенями до заданного давления Р3. Величину Р3 следует принимать равной (с погрешностью (10%) суммарному давлению от собственной массы грунта в водонасыщенном состоянии и от проектируемого фундамента или только от массы грунта (в зависимости от вида просадочных деформаций, для расчета которых определяются характеристики просадочности) на глубине отбора образца.

После условной стабилизации осадки образца грунта на последней ступени давления, соответствующей Р3, образец грунта необходимо замочить водой, продолжая замачивание до условной стабилизации просадки.

.3.5 Обработка результатов испытаний

По результатам испытаний просадочного грунта в компрессионном приборе следует определять с соответствующими записями в журнале испытаний:

а) величины абсолютного сжатия (осадки) образца грунта hi в мм с точностью 0,01, вычисленные как средние арифметические значения показаний индикаторов;

б) величины относительного сжатия образцов грунта с точностью 0,001 при соответствующих значениях давления Pi и условно стабилизированных деформациях по формуле

, (1)

где r - поправка на упругую деформацию прибора при давлении Рi, определяемая по результатам тарировки (п. 3.1), мм;0 - высота образца грунта с природной влажностью при природном давлении (на глубине отбора образца), равная

(2)

где hн - начальная высота образца грунта (высота рабочего кольца), мм;

- абсолютное сжатие образца грунта с природной влажностью при природном давлении, мм.

По величинам относительного сжатия образцов следует строить график зависимости с отображением просадочных деформаций.

2.4 Методы лабораторного определения характеристик прочности и деформируемости грунтов по ГОСТ 12248-96

.4.1 Сущность метода

Испытание грунта методом одноплоскостного среза проводят для определения следующих характеристик прочности: сопротивление грунта срезу угла внутреннего трения удельного сцепления для песков (кроме гравелистых и крупных), глинистых и органо-минеральных грунтов.

Эти характеристики определяют по результатам испытаний образцов грунта в одноплоскостных срезных приборах с фиксированной плоскостью среза путем сдвига одной части образца относительно другой его части касательной нагрузкой при одновременном нагружении образца нагрузкой, нормальной к плоскости среза. Сопротивление грунта срезу определяют как предельное среднее касательное напряжение, при котором образец грунта срезается по фиксированной плоскости при заданном нормальном напряжении. Для определения и необходимо провести не менее трех испытаний при различных значениях нормального напряжения.

Испытания проводят по следующим схемам:

консолидированно-дренированное испытание - для песков и глинистых грунтов независимо от их степени влажности в стабилизированном состоянии;

неконсолидированно-недренированное испытание - для водонасыщенных глинистых и органо-минеральных грунтов в нестабилизированном состоянии и просадочных грунтов, приведенных в водонасыщенное состояние замачиванием без приложения нагрузки.

Для испытаний используют образцы грунта ненарушенного сложения с природной влажностью или в водонасыщенном состоянии, или образцы нарушенного сложения с заданными значениями плотности и влажности (в т.ч. при полном водонасыщении), или образцы, отобранные из уплотненного массива, для искусственно уплотненных грунтов.

При этом образцы просадочных грунтов испытывают в водонасыщенном состоянии, а набухающих - при природной влажности.

Образцы должны иметь форму цилиндра диаметром не менее 70 мм и высотой от 1/2 до 1/3 диаметра.

.4.2 Оборудование и приборы

В состав установки для испытания грунта методом одноплоскостного среза должны входить:

срезная коробка, состоящая из подвижной и неподвижной частей, включающая рабочее кольцо, жестких сплошного и перфорированного штампов;

механизм для вертикального нагружения образца;

механизм создания касательной нагрузки;

устройства для измерения деформаций образца и прикладываемой нагрузки.

Конструкция срезного прибора должна обеспечивать первоначальное вертикальное давление на образец (от веса штампа и измерительных приборов на нем) не более 0,025 МПа.

2.4.3 Подготовка к испытанию

Изготовленный образец взвешивают и в зависимости от схемы испытания и вида грунта приступают или к его предварительному уплотнению, или сразу к испытанию на срез.

Далее необходимо установить на образец перфорированный штамп, произвести регулировку механизма нагрузки, установить приборы для измерения вертикальных деформаций грунта и записать их начальные показания.

Для испытаний образцов грунта в условиях полного водонасыщения необходимо предварительно замочить образцы, заполнив ванну уплотнителя водой.

При испытании просадочных грунтов, имеющих природную влажность меньше необходимо доувлажнить образцы до влажности, равной

При проведении испытаний на повторный срез образец грунта разрезают на две части острым ножом или леской по плоскости первого среза, тщательно заравнивают торцевые поверхности обеих половин, соединяют их между собой и помещают в рабочее кольцо срезного прибора.

2.4.4 Проведение неконсолидированно-недренированного испытания

Рабочее кольцо с образцом грунта помещают в срезную коробку и закрепляют в ней. Далее устанавливают сплошной штамп, производят регулировку механизма нагрузки, устанавливают зазор 0,5-1 мм между подвижной и неподвижной частями срезной коробки, устанавливают приборы для измерения деформации среза и записывают начальные показания.

На образец грунта передают сразу в одну ступень нормальное давление при котором будет производиться срез образца. Значения  принимают по таблице 7

Таблица 7

Грунты

Нормальное давление МПа

Глинистые и органо-минеральные грунты с показателем текучести:


0,5

0,1; 0,15; 0,2

0,51,0

0,05; 0,1; 0,15

1,0

0,025; 0,075; 0,125


Если при давлениях 0,125 и 0,15 МПа происходит выдавливание грунта в зазор между подвижной и неподвижной частями срезной коробки, необходимо их уменьшить на 0,025 МПа.

Сразу после передачи нормальной нагрузки приводят в действие механизм для создания касательной нагрузки и производят срез образца грунта не более чем за 2 мин с момента приложения нормальной нагрузки.

При передаче касательной нагрузки ступенями их значения не должны превышать 10% значения нормального давления, при котором производится срез, и приложение ступеней должно следовать через каждые 10-15 с.

При передаче непрерывно возрастающей касательной нагрузки скорость среза принимают в интервале 2-3 мм/мин так, чтобы срез проходил в течение указанного времени. Испытание следует считать законченным, если при приложении очередной ступени касательной нагрузки происходит мгновенный срез (срыв) одной части образца по отношению к другой или общая деформация среза превысит 5 мм.

2.4.5 Обработка результатов

По измеренным в процессе испытания значениям касательной и нормальной нагрузок вычисляют касательные и нормальные напряжения и , МПа, по формулам*:

; (5.1)

, (5.2)

где и - соответственно касательная и нормальная силы к плоскости среза, кН; - площадь среза, см * Здесь и далее 1 кН/см=10 МПа.

По измеренным в процессе испытания значениям деформаций среза соответствующим различным напряжениям строят график зависимости .

За сопротивление грунта срезу принимают максимальное значение полученное по графику или диаграмме среза на отрезке не превышающем 5 мм.

Если возрастает монотонно, то за сопротивление грунта срезу следует принимать при =5 мм.

Угол внутреннего трения и удельное сцепление определяют как параметры линейной зависимости

, (5.3)

где и определяют по формулам (5.1), (5.2).

При проведении повторных срезов зависимость (5.3) записывают в виде

, (5.4)

где - удельное сцепление, определяемое по испытанию на повторный срез;

- часть общего удельного сцепления  за вычетом .

Угол внутреннего трения и удельное сцепление МПа, вычисляют по формулам:

; (5.5)


где - опытные значения сопротивления срезу, определенные при различных значениях и относящиеся к одному инженерно-геологическому элементу или отдельному монолиту грунта (при 3);

- число испытаний.

Примечание - Для оценки разброса экспериментальных данных и выявления ошибок испытаний перед вычислением и строят график зависимости

2.5    Многослойные углеродные нанотрубки

.5.1 Влияние углеродных нанотрубок на цементный камень

Углеродные нанотрубки - это протяжённые цилиндрические структуры диаметром от одного до нескольких десятков нанометров и длиной до нескольких сантиметров, состоящие из одной или нескольких свёрнутых в трубку гексагональных графитовых плоскостей и заканчивающиеся обычно полусферической головкой, которая может рассматриваться как половина молекулы фуллерена. При введении нанотрубок в бетонную смесь они «армируют» цементный камень, превращая его в композиционный материал. С точки зрения здравого смысла, такой процент армирования (0,01-0,1 %) кажется явно недостаточным и не способным существенно повлиять на прочностные характеристики. Тем не менее стойкий эффект присутствует, но возникает он не за счет непосредственного армирования, которое действительно ничтожно, а за счет направленного регулирования кристаллизационных процессов. Данный метод вмешательства в процессы структурообразования позволяет на 30-40 процентов усилить прочность цементного камня и почти в три раза увеличить работу, затрачиваемую на его разрушение.

2.5.2 Французские многослойные углеродные нанотрубки

Для структурообразования грунтобетонной матрицы использовался углеродный наноматериал «GraphistrenghtTM» фирмы «Arkema», Франция, которые имеют от 10 до 15 слоев трубок с внешним диаметром от 10 до 15 нм, длиной от 1 до 15 мкм со средней плотностью от 50 - 150 кг/м3 (рис. 5).

Рис. 5 Синтезированные углеродные наноструктуры: (а) - общий вид гранул с нанотрубками GraphistrenghtTM со средним размером частиц 400 мкм, (б) - фрагмент углеродных нанотрубок GraphistrenghtTM, (в) - многослойная углеродная нанотрубка

2.6 Грунтобетон

После лабораторных испытаний по определению физических свойств грунта подбираем оптимальное соотношение цемента, углеродных нанотрубок и грунта для получения грунтобетонной смеси.

стадия заключается в определении максимальной прочности грунтобетона в водонасыщенном состоянии. Изготавливаются стандартные образцы кубической формы размерами 2,0*2,0*2,0 см и выдерживаются в водонасыщенном состоянии 28 суток, после чего проверяется их прочность на сжатие на гидравлическом прессе ПМГ-100МГ4

стадия заключается в определении максимальной прочности грунтобетона в водонасыщенном состоянии с введенными в него гомеопатичными дозами 2% раствора углеродных нанотрубок. Изготавливаются стандартные образцы кубической формы размерами 2,0*2,0*2,0 см и выдерживаются в водонасыщенном состоянии 28 суток, после чего проверяется их прочность на сжатие на гидравлическом прессе ПМГ-100МГ4

стадия - сравнение и анализ прочностных характеристик грунтобетона с углеродными нанотрубками и без

Глава 3. Экспериментальная часть (Результаты исследований)

.1 Экспериментальное определение характеристик грунта

для использования грунтов в инженерно-строительных целях, необходимо знать основные характеристики, определяющие их состояние и возможное его изменение под влиянием различных факторов. Физическое состояние грунтов устанавливается по основным физическим характеристикам(плотность грунта, плотность частиц грунта, природная влажность, границы пластичности)

.1.1 Определение плотности грунта(естественной ненарушенной структуры) ρ и удельного веса грунта ɣ

Плотностью грунта называется отношение массы грунта к занимаемому им объему(г/см3;т/м3), удельным весом грунта называется вес единицы объема грунта в его естественном состоянии(кН/м3)

Таблица 8.

№ п/п

размеры режущего кольца

масса, г

плотность, г/см3


высота, см

диаметр, см

объем, см3

кольца

кольца с грунтом

грунта


1

4

4

50,24

42,5

96,2

53,7

1,069

2

4

4

50,24

42,5

110,2

67,7

1,348

3

4

4

50,24

42,5

108,5

66,0

1,314


Плотность грунта = 1,243г/см3 Удельный вес грунта = 12,197кН/м3

.1.2 Определение природной влажности грунта W

Влажностью грунта называется отношение массы воды, содержащейся в порах грунта, к массе частиц грунта исследуемого образца.

Таблица 9.

№ бюксов


Масса бюкса, г



Масса, г

Влажность грунта % W = 100m1/m2


Пустого

С влажным грунтом

С сухим грунтом

Воды в грунте, m1

Сухого грунта, m2


13

7,9

52,1

43,9

8,2

36

22,778

16

11,4

58,4

51,7

6,7

40,3

16,625

31

7,6

58,4

52,0

6,4

44,4

14,414


Влажность грунта W=17,939%

В относительных единицах =0,17939

.1.3 Определение влажности глинистого грунта на границе текучести Wl

Влажность грунта на границе текучести соответствует влажности, при которой грунт переходит из пластичного состояния в текучее. Эта влажность соответствует такой влажности грунтовой пасты при которой стандартный балансирный конус (массой 76г с углом при вершине 300) погружается в грунт от собственного веса на 10мм.

Таблица 10.

№ бюксов


Масса бюкса, г



Масса, г

Влажность грунта % Wl = 100m1/m2


Пустого

С влажным грунтом

С сухим грунтом

Воды в грунте, m1

Сухого грунта m2


7

8,1

41,3

33,7

7,6

25,6

29,688

10

11,9

35,2

30,6

4,6

18,7

24,599

28

8,0

23,1

19,4

3,7

11,4

32,456


влажность грунта Wl=28,914%

в относительных единицах = 0,28914

.1.4 Определение влажности глинистого грунта на границе раскатывания Wp

Влажность на границе раскатывания соответствует влажности при которой грунт теряет пластичность и переходит в твердое состояние. Влажность на границе раскатывания определяется раскатыванием грунта в шнур. Качественно Wp соответствует такому состоянию когда шнур, сделанный из влажного грунта, при раскатывании до диаметра 3 мм (подсыхая при раскатывании) начинает крошиться на отдельные кусочки по 1 см длинной. Кусочки потерявшие пластичность, собирают и помещают в подготовленные для опытов бюксы.

Таблица 11.

№ бюксов


Масса бюкса, г



Масса, г

Влажность грунта % Wp = 100m1/m2


Пустого

С влажным грунтом

С сухим грунтом

Воды в грунте, m1

Сухого грунта m2


4

7,7

19,9

17,7

2,2

10

22,000

23

12,1

22

20,3

1,7

8,2

20,732

26

7,9

21,3

19

2,3

11,1

20,721


влажность грунта Wp=21,151%

в относительных единицах = 0,21151

3.1.5 Определение расчетных характеристик

1. Число пластичности грунта характеризует величину интервала влажности, в пределах которого грунт сохраняет пластичное состояние. Величина числа пластичности грунта отражает «глинистость» грунта, т.е. содержание в нем глинистых и коллоидных частиц.

По ГОСТ 25100-82 глинистые грунты в зависимости от числа пластичности подразделяются на:

.        супесиIp<0,7

.        суглинки Ip=0,7-0,17

.        глиныIp>0,17

Число пластичности грунта Ip=Wl-Wp=0,28914-0,21151=0,078

По ГОСТ 25100-82 определяем наименование грунта: исследуемый грунт-суглинок.

.        Показателем консистенции называют числовую характеристику, показывающую, в каком состоянии находится грунт в условиях естественного залегания.

Таблица 12. Классификация глинистых грунтов по консистенции

супеси

суглинки и глины

консистенция

Il

консистенция

Il

твердая

<0

твердая

<0

пластичная

0-1

полутвердая

0-0,25

текучая

>1

тугопластичная

0,25-0,50



мягкопластичная

0,50-0,75



текучепластичная

0,75-1,00



текучая

>1,00


Показателем консистенции или индексом текучести служит выражение Il=(W-Wp)/Ip=(0,17939-0,21151)/0,078= -0,41179 По ГОСТ 25100-82 определяем, что исследуемый грунт имеет твердую консистенцию. По результатам исследований получаем полное наименование грунта - твердый суглинок. Плотность сухого грунта ρd (скелета грунта) - отношение массы образца грунта, высушенного при температуре 105оС до постоянной массы, к объему образца ненарушенной структуры до высушивания

ρd= ρ/(1+W)=1,243/(1+0,17939)=1,054 г/см3

где W - влажность в относительных единицах

.        Коэффициент пористости грунта е - отношение объема пор к объему твердых частиц грунта

е= (ρs- ρd)/ ρd=(2,71-1,054)/2,71=1,57

.        Пористость грунта n - отношение объема пор к объему всего образца

n=e/(1+e)·100%=1,57/(1+1,57)·100%=61,13%

.        Степень влажности грунта - отношение природной влажности грунта к его полной влагоемкости , соответствующей полному заполнению пор грунта водой.

Sr=(W· ρs)/(e· ρw)=(0,179·2,71)/(1,57·1)=0,310

3.2 Результаты определения показателей деформируемости грунта способом компрессии в одометре

Одним из основных видов общей деформируемости грунтов является их сжимаемость в условиях невозможности бокового расширения. При этом деформации уплотнения происходят вследствие уменьшения пористости грунта за счет более компактного размещения частиц при приложении сжимающих усилий.

В состоянии естественной влажности

График 1. Планомерная осадка штампа при увеличении нагрузки.

В водонасыщеном состоянии

График 2. Резкое увеличение осадки штампа от давления при замачивании данного штампа

3.3 Результаты определения показателей прочности грунта в приборе одноплоскостного среза ГГП-30

Разрушение грунтовых оснований или сооружений из грунта под действием касательных напряжений являются характерной формой потери ими прочности вследствие слабой сопротивляемости грунта сдвигу.

В состоянии природной влажности

График 3.

График 4

В состоянии полного водонасыщения

График 5.

График 6.

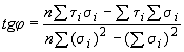
Из таблиц и графиков получаем значения с, ϕ

c=

0,86

tg(ϕ)=

0,36

ϕ=

20°


Расчетным методом определяем значения с, ϕ

.        Удельное сцепление грунта:

с=[∑τi·∑σi2-∑σi·∑(τi·σi)]/Δ

.        Коэффициент трения:

tg(ϕ)=[n·∑(τi · σi)-∑τi ·∑σi]/Δ

.        Угол внутреннего трения:

ϕ=arctg(tg(ϕ))

∑σi=

600

кПа

∑τi=

180

кПа

∑(τi*σi)=

42000

кПа²

∑τ*∑σ=

108000

кПа²

∑(σ²¡)=

140000

кПа²

(∑σi)²=

360000

кПа²

Δ=

60000

кПа²

c=

1,00


tg(ϕ)=

0,30


ϕ=

17°09´



Выводы: грунт суглинок просадочный с удельным сцеплением с=0,93; и углом внутреннего трения ϕ=18°

3.4 Испытания грунтобетона. Результаты закрепления грунта методом цементации

Замешиваемый раствор грунтобетона, с концентрациями вяжущего 15%, 20%, 25% был отформован в кубики, выдержан в водонасыщенном состоянии и проверен на прочность прессом ПГМ-100МГ4

Таблица 13.


цемент 15%

цемент 20%

цемент 25%


Рк, кН

R, Мпа

Рк, кН

R, Мпа

Рк, кН

R, Мпа

1

0,53

0,736

0,94

1,506

1,08

1,313

2

0,91

1,271

1,19

1,558

1,11

1,659

3

0,89

1,239

0,98

1,329

0,95

1,365

4

0,80

1,116

0,83

1,289

0,92

1,168

5

0,77

1,077

0,78

1,443

1,03

1,085

6







ср. значение

0,78


0,944


1,018


отношение прочностей



1,210


1,305



Диаграмма 1.


Прочность кубиков по опытным образцам

График 7. Средняя прочность грунтобетона в зависимости от % содержания вяжущего

3.5 Результаты закрепления грунта цементом модифицированным углеродными нанотрубками

Замешиваемый раствор грунтобетона, с концентрациями вяжущего 25% и различными концентрациями углеродных нанотрубок был отформован в кубики, выдержан в водонасыщенном состоянии и проверен на прочность прессом ПГМ-100МГ4

Таблица 14.


цемент 25%

цемент 25% наноструктур 0,01%

цемент 25% наноструктур 0,03%

цемент 25% наноструктур 0,05%

цемент 25% наноструктур 0,08%

цемент 25% наноструктур 0,1%


Рк, кН

R, Мпа

Рк, кН

R, Мпа

Рк, кН

R, Мпа

Рк, кН

R, Мпа

Рк, кН

R, Мпа

Рк, кН

R, Мпа

1

1,08

1,313

0,998

0,98

1,376

1,47

2,052

1,090

1,525

1,11

1,543

2

1,11

1,659

0,70

0,976

0,80

1,113

1,61

2,257

1,130

1,562

1,28

1,796

3

0,95

1,365

1,13

1,575

1,09

1,522

1,23

1,721

0,970

1,363

1,06

1,472

4

0,92

1,168

0,37

0,517

1,20

1,684

0,81

1,130

1,050

1,450

1,17

1,584

5

1,03

1,085

0,62

0,865

1,23

1,722

1,35

1,883

1,320

1,873

1,01

1,063

6



0,50

0,700

1,04

1,457

1,52

2,124

0,860

1,233

1,13

1,565

ср. значение

1,018


0,672


1,057


1,332


1,070


1,127


отношение прочностей



0,660


1,038


1,308


1,051


1,107


Диаграмма 2.


Прочность кубиков по опытным образцам

График 8

1-25% цемента от массы грунта; 2-25% цемента, 0,01% наноструктур от массы вяжущего; 3-25% цемента, 0,03% наноструктур; 4-25% цемента, 0,05% наноструктур; 5-25% цемента, 0,08% наноструктур; 6-25% цемента, 0,1% наноструктур.

Заключение

В результате проведенной работы был разработан модифицированный грунтобетон.

Основные выводы:

Увеличение прочностных свойств на 30% по сравнению с немодифицированным грунтобетоном, увеличение сцепления грунта уменьшение деформационных свойств грунта, уменьшение просадочности.

Грунтобетон может быть использован для создания укрепленного основания под автодороги, фундамента под здания, подпорных стенок, стен в грунте. Метод струйной цементации грунтов (Jet grouting) уже давно используется в строительстве, и применение нового модифицированного материала только поспособствует распространению данного метода. Хорошо подойдет для реконструкции зданий при укреплении оснований и фундаментов.

Введение в грунтобетонную матрицу нанодисперсных структур типа углеродных нанотрубок позволяет стимулировать структурообразование композиций и улучшать его физико-технические свойства.

Полученный материал имеет стоимость немного превыщающую первоначальную за счет добавления наноструктур. Дальнейшая работа будет направлена на исследование морозостойкости.

Список литературы

1. Жинкин Г.Н., Калганов В.Ф. Закрепление слабых грунтов в условиях Ленинграда. Л.: Стройиздат, 1967.

. Шапошников А.В. Разработка расчетных параметров закрепления просадочных грунтов цементом: Дисс. . . канд. техн. наук. М., 1986.

. Гончарова Л.В. Основы искусственного улучшения грунтов. М., 1973.

. А.Н. Токин. Фундаменты из цементогрунта. М.: Стройиздат, 1984

5. Богов С.Г. ГЛУБИННОЕ ЗАКРЕПЛЕНИЕ ГЛИНИСТЫХ ГРУНТОВ. N5, 2002

6. В. Н. Соколов <http://geo.web.ru/db/msg.html?not_mid=1158503&words=%C2.%20%CD.%20%D1%CE%CA%CE%CB%CE%C2>. ПРОБЛЕМА ЛЁССОВ. Московский государственный университет им. М.В. Ломоносова <http://geo.web.ru/db/share/go.html?to=http%3A%2F%2Fwww.geol.msu.ru>; Соросовский Образовательный Журнал <http://geo.web.ru/db/share/go.html?to=http%3A%2F%2Fwww.issep.rssi.ru%2F>, N9, 1996, cтр.86-93

. А.Г.Малинин, C.А.Чернопазов, П.А.Малинин. Усиление фундаментов при реконструкции зданий

8. Лебешев И.М., Львович Ю.М., Малинин А.Г., Фельдман А.П., УКРЕПЛЕНИЕ СЛАБЫХ ГРУНТОВ В ОСНОВАНИИ НАСЫПИ

. Малинин А.Г. Применение струйной цементации в подземном строительстве // Подземное пространство мира, 2000, №2.

. Малинин А.Г. Применение технологии струйной цементации грунтов в транспортном строительстве // Метро и тоннели. 2001, №6.

11. <http://www.bibliotekar.ru/spravochnik-181-2/64.htm> ЗАКРЕПЛЕНИЕ ГРУНТОВ

12. http://bibliotekar.ru/spravochnik-165-vozvedenie-podzemnoy-chasti/21.htm Глава 5. Устройство оснований., Закрепление грунтов оснований

.Пособие к СНиП 3.02.01-83 Пособие по химическому закреплению грунтов инъекцией в промышленном и гражданском строительстве

14. ВСН 40-88. ПРОЕКТИРОВАНИЕ И УСТРОЙСТВО ФУНДАМЕНТОВ ИЗ ЦЕМЕНТОГРУНТА ДЛЯ МАЛОЭТАЖНЫХ СЕЛЬСКИХ ЗДАНИЙ., МОСКВА-1988

. РЕКОМЕНДАЦИИ ПО ПРОЕКТИРОВАНИЮ И УСТРОЙСТВУ ФУНДАМЕНТОВ ИЗ ЦЕМЕНТОГРУНТА М.: НИИОСП им. М.Герсеванова Госстроя СССР, 1986

16. <http://www.ibeton.ru/a179.php> Грунтобетон - современный композиционный материал

17. ПОСОБИЕ ПО ПРОИЗВОДСТВУ РАБОТ ПРИ УСТРОЙСТВЕ ОСНОВАНИЙ И ФУНДАМЕНТОВ (к СНиП 3.02.01-83) № 22 от 20 февраля 1984 г.

18. Крутов. В.И., Основания и фундаменты на просадочных грунтах., Киев- Будивельник 1982г.

19. ВСН 34-83 Цементация скальных оснований гидротехнических сооружений ЛЕНИНГРАД - 1984

20. Л. И. НАСИБУЛИНА, П. Р. МУДИМЕЛА, А. Г. НАСИБУЛИН,

Т. С. КОЛЬЦОВА, О. В. ТОЛОЧКО, Э. И. КАУППИНЕН

СИНТЕЗ УГЛЕРОДНЫХ НАНОТРУБОК И НАНОВОЛОКОН

НА ЧАСТИЦАХ КРЕМНЕЗЕМА И ЦЕМЕНТА, Вопросы материаловедения, 2010, № 1(61)

21. Владислав Фельдблюм. Маленькие частицы с большими возможностями (популярный очерк о наночастицах и нанотехнологиях), Ярославль, август 2011 г. <http://www.alternativy.ru/ru/node/1830>

22. УДК 53.086 Многослойные углеродные нанотрубки и их применение М. М. Томишко, О. В. Демичева, А. М. Алексеев, А. Г. Томишко, Л. Л. Клинова, О. Е. Фетисова Рос. хим. ж., 2008, т. LII, №5

. Балоян Б. М., Колмаков А. Г., Алымов М. И., Кротов А. М. Наноматериалы. Классификация, особенности свойств, применение и технологии получения. Уч. Пособие. М., 2007. - 125 с

. Справочник по общестроительньш работам. Основания и фундаменты. Под общ. ред. М. И. Смородинова. М., Стройиздат, 1974, 372 с. (Науч.-исслед. ин-т оснований и подземных сооружений). Авт.М. И. Смородинов, Б. С. Федоров, Б. А. Ржаницын и др.

. Макаров С.П. Журнал лабораторных робот по курсу "механика грунтов". - Ижевск, 1997. - 32 с.

. ГОСТ 12071-2000. Грунты. Отбор, упаковка, транспортирование, хранение образцов. - М.: ГУП ЦПП. - 2001. - 13 с.

. ГОСТ 5180-84. Грунты. Методы лабораторного определения физических характеристик. - М.: Изд-во стандартов. - 1993. - 21 с

. ГОСТ 5180-84. Грунты. Методы лабораторного определения физических характеристик. -М.: Изд-во стандартов. - 1993. - 21 с.

. ГОСТ 25100-95. Грунты. Классификация. - М.: Изд-во стандартов. - 1997. - 34 с.

. ГОСТ 12248-96. Грунты. Методы лабораторного определения характеристик прочности и деформируемости. - М.: ИПК Изд-во стандартов, 1997. - 78 с.

Похожие работы на - Разработка состава грунтобетона модифицированного французскими углеродными нанотрубками фирмы 'Arkema'

 

Не нашли материал для своей работы?
Поможем написать уникальную работу
Без плагиата!
Без нейросетей!