Проект топографо-геодезического обеспечения землеустроительных работ по установлению границ населенного пункта Дубровка в Маслянинском районе
Содержание
Введение
1. Цель работы
2. Краткое физико-географическое описание района работ
3. Топографо-геодезическая изученность района работ
4. Обоснование точности и плотности пунктов опорной межевой сети и
планово-высотного обоснования для крупномасштабных топографических съемок
5. Проектирование опорной межевой сети и планово-высотного
обоснования
6. Проектирование установления границы населенного пункта дубровка
7. Закрепление межевых знаков и пунктов на местности
8. Рекомендации по выбору типа геодезических приборов
9. Методики измерений горизонтальных углов и линий, расстояний и
превышений в геодезических построениях
10. Предварительная обработка и уравнивание результатов
геодезических измерений
11. Описание местоположения и установления границ населенного
пункта
Заключение
Список использованной литературы
Введение
В целях организации местного самоуправления в Российской
Федерации органы государственной власти субъектов РФ проводились работы по
установлению границ муниципальных образований.
Основные требования и сроки установления границ муниципальных
образований определены в законе от 06. 10.2003 года №131 - ФЗ "Об общих
принципах организации местного самоуправления РФ". Требования к срокам и
процедуре установления границ муниципальных образований определены в этом
законе.
Во-первых, границы устанавливаются в соответствии с
требованием 131 Федерального Закона, изложенными как в его переходных
положениях, так и во второй главе закрепляющий принципы территориальной
организации местного самоуправления.
Во-вторых, Федеральный Закон позволяет разделить установление
границ на 2 этапа:
на первом этапе органами государственной власти субъектами
Российской Федерации было предоставлено право утверждения границ муниципальных
образований в виде картографического описания.
на втором этапе представляется их описание и утверждение в
соответствии с требованиями градостроительного и земельного законодательства.
В этой курсовой работе рассматривается проект
топографо-геодезического обеспечения землеустроительных работ по установлению
границ населенного пункта Дубровка в Маслянинском районе.
1. Цель
работы
Целью курсовой работы является создание проекта
геодезического обоснование топографической съемки масштаба 1: 5000. Планы
масштаба 1: 5000, которые будут получены в результате съемки, предусматриваются
для учета оценки земель для кадастровых работ - разработка генеральных планов и
проектов застройки населенных пунктов.
Для достижения поставленной цели необходимо:
) Изучить физико-географические и
топографо-геодезические условия на территории района работ.
2) Разработать проект создания опорной межевой сети и
установления границ на местности населенного пункта.
) Разработать проект планово-высотного обоснования для
крупной топографической съемки масштаба 1: 5000.
) Рассмотреть и обосновать типы центров и межевых
знаков для закрепления пунктов опорной межевой сети и планово-высотного
обоснования.
) Обосновать выбор геодезических приборов и
рассмотреть методики измерения углов и расстояний в геодезических построениях.
) Рассмотреть порядок обработки результатов
геодезических изменений и описание местоположения границ земельного участка.
. Краткое
физико-географическое описание района работ
Район занимает юго-восточное положение на границе с
Кемеровской областью и Алтайским краем, на юго-западе, севере и западе он
граничит с Черепановским, Искитимским и Тогучинским районами.
Маслянинский район - самый восточный район Новосибирской
области; площадь района - 3,5 тыс. кв.км. В составе района - поселок городского
типа Маслянино и 11 сельсоветов: Бажинский, Березовский, Борковский,
Дубровский, Егорьевский, Елбанский, Малотомский, Мамонтовский, Никоновский,
Пеньковский.
Климат: Расположение территории в двух подзонах
вертикальной поясности повышенной части области сказывается на характере
климата - оптимальном количестве или избытке влаги и недостатке тепла.
Среднегодовая температура воздуха 0,9˚, июля +18˚, января - 20, 1˚.
Годовое количество осадков - 410 - 420мм, в мае - июне выпадает 95-120мм,
августе-сентябре 110-130. Заморозки начинаются в первой декаде сентября,
заканчиваются в конце мая, на почве - в первой декаде июня. Холодный период
составляет 181 день.
Реки, озера: Речная сеть района хорошо развита. Все
реки принадлежат бассейну реки Оби, наибольшая из них - Бердь, берущая начало
на Салаирском кряже за пределами района. Правые притоки Берди: Суенга с
Китераном, Изырак, Ин - типичные горные реки с каменистым дном. Слева Бердь
принимает притоки Елбань и Укроп.
Бердь в верхнем течении от Маслянина - типичная горная река с
высокими берегами, образует пороги. У Маслянина она сильно разрушает берега,
ниже - постепенно приобретает равнинный характер.
По гидрологическому районированию реки принадлежат
Правобережью Оби. Они характеризуются половодьем, продолжающимся на Берди в
среднем 52 дня, на Елбани - 39. Вода Берди у Маслянина по химическому составу
относится к гидрокарбонатному классу группы кальция, минерализация 100-500
мг/л, жесткость умеренная.
Болота встречаются только в верховьях рек и занимают 2%
территории. Вдоль Берди тянутся старицы.
Подземные воды: В геологическом строении
района принимают участие дислоцированные породы палеозойского фундамента и
перекрывающие их рыхлые неогеновые и четвертичные отложения. Водоснабжение за
счет подземных вод базируется в основном на эксплуатации водоносных зон
трещиноватости палеозойских пород, ограниченно используются воды четвертичных
отложений. В районе учтено 132действующие скважины с суммарным
среднегодовым водоотбором9,0тыс. м3/сут., в том числе, в
Маслянине - 4,5тыс. м3/сут.
Воды четвертичных отложений приурочены к пойменной и
надпойменным террасам р. Берди и ее притоков, а на водораздельных пространствах
- к отложениям краснодубровской свиты. Ширина террас в долине Берди составляет
от нескольких метров до 4,5 км. На поверхности это суглинки и супеси
мощностью 1-7 м, ниже - пески и в основании -
песчано-гравийно-галечниковые отложения мощностью 1-10.
Общая мощность отложений 8-34 м. Подземные воды
аллювиальных отложений и подстилающих их палеозойских пород образуют единый
водоносный комплекс и часто эксплуатируются совместно. Дебиты скважин: - 1,3-10,0
л/с, удельные дебиты - 0,06-3 л/с (преимущественно 0,3 - 1 л/с).
По качеству воды весьма пресные с минерализацией 0,2-0,4 г/дм3,
отличаются повышенным содержанием железа (1,6-7,7мг/дм3).
Краснодубровская свита мощностью до 70 м сложена суглинками, глинами с
прослоями супесей и песков. Водообильность отложений - слабая, наибольшая-в
крайней юго-западной части района, где воды имеют значение для водоснабжения.
Воды зон трещиноватости в палеозойских осадочных,
метаморфических и магматических породах вскрываются на глубинах от 5до 113
м (чаще 30-60 м), уровни при вскрытии устанавливаются на
водоразделах на глубинах до 60 м, в долинах речек до 2м выше
поверхности. Водообильность зон крайне неравномерная и в основном невысокая.
Дебиты скважин преимущественно 1,7-3,3 л/с, реже 13л/с,
преобладающие удельные дебиты 0,05-0,1 л/с, а в долинах речек - 0,1-0,25
л/с. По химическому составу трещинные воды преимущественно гидрокарбонатные
магниево-кальциевые с минерализацией 0,2-0,7г/дм3.
Инженерно-геологические условия: Водораздельные
пространства территории района сложены субаэральными плейстоценовыми суглинками
мощностью до 20 - 40 м. Грунты имеют лессовый облик, обладают просадочностью до
глубины 5-8 м.
Грунтовые воды залегают на глубине более 10 м. В твердом
состоянии грунты обладают средней и высокой несущей способностью. При
отсутствии замачивания возможны фундаменты мелкого заложения.
Вблизи Маслянина протекает р. Бердь, имеющая четко выраженную
террасовидную долину, состоящую из трех надпойменных террас и поймы. Террасы
сложены желто-бурыми суглинками с прослоями супесей, глубже залегают
разнозернистые пески средней плотности и большой несущей способности. Глинистые
породы облессованы до 4-6 м, высокопористые, на третьей террасе обладают
просадочностью.
Грунтовые воды залегают на глубине от 8-10 м на третьей и до
2-5 м на первой террасах. Пойма сложена песками мелко - и среднезернистыми,
водонасыщенными, некоторые участки заболочены.
Транспорт и связь: Единственный вид
транспорта в районе - автодорожный. Общее протяжение автодорог общего
пользования 0 239 км; все они имеют твердое покрытие (асфальтобетонное,
щебеночное, чернощебеночное). Все автодороги района - местного значения; самая
главная дорога Маслянино - Черепаново, связывает район с автодорогой
федерального значения - Новосибирск - Ташанта и с железной дорогой.
Растительность: Из травянистой
растительности преобладают лесные и настоящие луга, возникшие на месте
сведенных лесов или восстановившихся залежей. Наиболее распространены
разнотравно-ежовые, разнотравно-овсянцевые луга.
Западная окраина района - предгорная лесостепь с остепненными
лугами, в значительной степени распаханными. В составе таких лугов - вейник
шилоцветный, тимофеевка степная, овес пушистый, чина гороховидная, вика и
разнообразное разнотравье.
Маслянинский район - одно из самых лесных в области.
Распределение лесов по территории неравномерное. Максимально залесена северная
и восточная части, где сосредоточенно более 75 % лесного фонда, минимально -
центральная и западная. Более 55% ленного фонда отнесено к горным лесам.
Общая площадь лесного фонда - 205,1 тыс. га, в том числе
лесных земель - 196,8.
Экологическая обстановка: Из наиболее острых и
специфических экологических проблем можно отметить следующее:
· Недостаточное лесовосстановление, что
приводит к исчезновению малых рек, особенно в районах золотодобывающих
предприятий;
· Ухудшение качества питьевого
водоснабжения;
· Ухудшение состояние очистных сооружений.
По прогнозной оценке радиационной нагрузки от радона район
отнесен к опасным. Потенциально опасными, определенными в зоне радонового
риска, являются: районный центр Маслянино, деревни Чупино, Пайвино, Суенга,
Никоново.
Рельеф: Рельеф местности носит пересеченный характер с
углом наклона 4,8˚, высота сечения рельефа 1,0 м. Максимальная точка -
216, 4, минимальная точка - 117,0
Геодезической основой для создания съемочного обоснования
служат пункты опорных межевых сетей 2 класса (ОМС).
Площадь территории 26,8 км2, Площадь населенного
пункта 2,4км2.
Средняя плотность пунктов ГГС сети при создании съемочного
геодезического обоснования топографических съемок, как правило, должна быть
доведена на территориях, подлежащих съемкам в масштабе 1: 2000, до одного
пункта полигонометрии или триангуляции на 10-15 км2 и одного репера
нивелирования на 5-7 км2.
На нашей территории 4 пункта полигонометрии и 2 грунтовых
репера, то есть в работе развитие геодезической основы не требуется, необходимо
развитие только сети сгущения.
Плотность геодезической основы должна быть доведена развитием
геодезических сетей сгущения в городах, прочих населенных пунктах и на
промышленных площадках до 4 пунктов триангуляции и полигонометрии на 1 км2
в застроенной части и одного пункта на 1 км2 на незастроенных
территориях.
Плотность геодезической основы для съемок в масштабе 1: 5 000
территорий вне населенных пунктов должна быть доведена до одного пункта на 7-10
км2, а для съемок в масштабе 1: 2000 - до одного пункта на 2 км2.
3.
Топографо-геодезическая изученность района работ
На территории района работ имеются следующие
топографо-геодезические материалы:
) Приложение 1
2) Пункты триангуляции
) Грунтовые пункты
) Пункты полигонометрии
) Топографическая карта масштаба 1: 25 000 У-34-37-В-в
(СНОВ). Съемка выполнена в 1979 году, а обновление - в 1986 г (приложение 2).
4.
Обоснование точности и плотности пунктов опорной межевой сети и
планово-высотного обоснования для крупномасштабных топографических съемок
Настоящие Основные положения об опорной межевой сети (в
дальнейшем Основные положения) регламентируют работы по их созданию как
геодезических сетей специального назначения Росземкадастра для ведения
государственного земельного кадастра, мониторинга земель и землеустройства.
геодезический населенный пункт кадастровый
Опорные межевые сети (ОМС) создаются во всех случаях, когда
точность и плотность государственных, городских или иных геодезических сетей не
соответствует требованиям настоящих Основных положений.
Опорная межевая сеть предназначена для:
) Установления координатной основы на территориях
кадастровых округов, районов, кварталов;
2) Ведения государственного реестра земель кадастрового
округа, района, квартала и дежурных кадастровых карт (планов);
) Проведение работ по государственному земельному
кадастру, землеустройству, межеванию земельных участков, мониторингу земель и
координатного обеспечения иных государственных кадастров;
) Государственного контроля за состоянием,
использованием и охраной земель;
) Проектирование и организация выполнения природоохранных,
почвозащитных и восстановительных мероприятий, а также мероприятий по
сохранению природных ландшафтов и особо ценных земель;
) Установление границ земель особо подверженных
геологическим и техногенным воздействиям;
) Информационного обеспечения государственного
земельного кадастра данными о количественных и качественных характеристиках и
местоположении земель для установления их цены, платы за пользование,
экономического стимулирования и рационального землепользования;
) Инвентаризация земель различного целевого
назначения;
) Решения других задач государственного земельного
кадастра, мониторинга земель и землеустройства.
Классификация опорной межевой сети и ее точность:
) ОМС подразделяется на два класса, которые
обозначаются ОМС-1 и ОМС-2, точность построения которых характеризуется
средними квадратическими ошибками взаимного положения смежных пунктов
соответственно не более 5 и 10 сантиметра.
2) ОМС создается:
ОМС-1 - как правило, в городах для решения задач по
установлению (восстановлению) границ городской территорию, а также границ
земельных участков как объектов недвижимости, находящихся в собственности
(пользовании) граждан или юридических лиц;
ОМС-2 - черте других поселений для решения вышеуказанных
задач, на землях сельскохозяйственного назначения и других задач для
геодезического обеспечения межевания земельных участков, мониторинга и
инвентаризации земель, создания базовых межевых карт (планов) и др.
) Точность высот пунктов ОМС и порядок производства
геодезических работ по их определению устанавливается техническим проектом.
4) Плотность пунктов опорной межевой сети должна
обеспечивать необходимую точность последующих работ по государственному
земельному кадастру. Мониторингу земель и землеустройству и определяется
техническим проектом. При этом плотность пунктов ОМС на 1 км2 должна
быть не мене:
4 - в черте города
- в черте других поселений
- на один населенный пункт (в поселениях площадью менее 2 км2)
на землях с/х назначения и других землях число пунктов ОМС
устанавливается техническим проектом.
Плотность геодезических сетей определяется масштабом съемки,
высотой сечения рельефа, а также необходимостью обеспечения геодезических,
маркшейдерских, мелиоративных, кадастровых и других видов работ как для целей
изысканий и строительства, при дальнейшей эксплуатации объектов строительства.
Геодезической основой крупномасштабных съемок при решении
различных инженерно-геодезических задач служат:
а) государственные геодезические сети: триангуляция и
полигонометрия 1,2,3,4 классов; нивелирование I, II, III, IV классов;
б) геодезические сети сгущения: триангуляция 1 и 2-го
разрядов, полигонометрия 1 и 2-го разрядов; техническое нивелирование;
в) съемочная геодезическая сеть: плановые, планово-высотные
съемочные геодезические сети, отдельные пункты.
Сгущение геодезической основы, как правило, производится об
общего к частному, от высшего класса (разряда) к низшему. Следует стремиться к
сокращению многоступенчатости геодезических построений и развивать на местности
одноклассные (одноразрядные) сети на основе применения современных
геодезических приборов и средств вычислительной техники.
Средняя плотность пунктов ГГС сети при создании съемочного
геодезического обоснования топографических съемок, как правило, должна быть
доведена:
· на территориях, подлежащих съемкам в
масштабе 1: 5000, до одного пункта полигонометрии или триангуляции на 20-30 км2
и одного репера нивелирования на 10-15 км2;
· на территориях, подлежащих съемкам в
масштабе 1: 2000, до одного пункта полигонометрии или триангуляции на 10-15 км2
и одного репера нивелирования на 5-7 км2;
· на застроенных территориях городов и
подлежащих застройке в ближайшие годы плотность пунктов ГГС должно быть не
менее одного пункта на 5 км2.
Дальнейшее увеличение плотности геодезической основы
крупномасштабных съемок достигается развитием геодезических сетей сгущения и
съемочного обоснования.
Плотность геодезической основы должна быть доведена развитием
геодезических сетей сгущения в городах, прочих населенных пунктах и на
промышленных площадках до 4 пунктов триангуляции и полигонометрии на
км2 в застроенной части и одного пункта на 1 км2
на незастроенных территориях.
Для обеспечения инженерных изысканий и строительства в
городах и на промышленных объектах плотность геодезических сетей может быть
доведена до 8 и более пунктов на 1 км2.
Плотность геодезической основы для съемок в масштабе 1: 5 000
территорий вне населенных пунктов должна быть доведена до одного пункта на 7-10
км2, а для съемок в масштабе 1: 2000 - до одного пункта на 2 км2.
Развитием съемочных геодезических сетей достигается
плотность, обеспечивающая непосредственное выполнение съемки.
В земельно-кадастровых работах при сгущении геодезической
основы на землях сельскохозяйственного назначения и других землях необходимое
число пунктов сетей сгущения (опорных межевых сетей) устанавливается
техническим проектом.
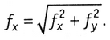
Реальная плотность пунктов геодезической основы П,
характеризуется площадью объекта, приходящейся на один пункт геодезических
построений:
,
где Р - площадь;
n - число пунктов.
В нашем случае площадь незастроенной территории 26,8 км2,
а площадь объекта землеустройства 2,4 км2.
На основании вышеупомянутого общее количество пунктов
геодезического обоснования, в том числе пунктов опорной межевой сети 2 класса
должно быть 27-30.
В соответствии с Приказом Росземкадастра от 15 апреля 2002 г. №
П/261 на территории населенного пункта Дубровка необходимо развить ОМС 2-го
класса, где средняя квадратическая ошибка (СКО) взаимного положения пунктов
должна быть не более 10 см.
В отношении планово-высотного обоснования для создания
топографических планов масштаба 1: 5000 следует отметить, что ошибка
геодезического обоснования определяется как:
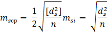
Mср=0, 1*M
а высотное обоснование зависит от сечения рельефа, т.е.:
Mhср≤0, 1*hр,
Сечение рельефа (таблица 1) было выбрано на основании характера
рельефа (см. раздел 2) и среднего уклона на местности. Т.к. характеристика
рельефа местности на территории с углом наклона 4,8˚, высота сечения
рельефа 1,0 м.
Таблица 1
Определение характера рельефа местности по углам наклона
|
Рельеф
местности с максимально преобладающими углами наклона
|
Масштаб съемки
|
|
1: 5000
|
1: 2000
|
|
высота сечения
рельефа, м
|
|
Равнинный с
углами наклона до 2º
|
0,5 1,0
|
0,5 1,0
|
|
Всхолмленный с
углами наклона до 4º
|
1,0 2,0
|
0,5 1,0
|
|
Пересеченный с
углами наклона до 6º
|
2,0 5,0
|
2,0 1,0
|
|
Горный и
предгорный с углами наклона более 6º
|
2,0 5,0
|
2,0 2,0
|
При создании опорной межевой сети и планового обоснования мы
рекомендуем метод полигонометрии 4 класса 1 и 2 разряда, а для высотного
обоснования - геометрическое нивелирование 4 класса или тригонометрическое
(геодезическое) нивелирование.
5.
Проектирование опорной межевой сети и планово-высотного обоснования
При характеристике проектных ходов для каждого хода
уточняется название, класс (разряд) хода, устанавливаются максимальные,
минимальные и средние значения длин сторон в ходе, тип хода в зависимости от
его геометрической формы (вытянутый или изогнутый), в соответствии с
нормативными техническими показателями задается точность - средняя
квадратическая ошибка измерения в ходе углов и сторон.
Основными параметрами, определяющими точность
полигонометрических, других линейно-угловых ходов являются ошибки измерения
углов и сторон в них, геометрическая форма хода.
При проложении полигонометрических ходов, как и при
производстве геодезических работ любого назначения, необходимая точность
измерений, создаваемых на местности геодезических построений, задается
техническими инструкциями, другими нормативными документами или устанавливается
техническими проектами.
Основным критерием точности геодезических измерений, их
функций, создаваемых геодезических построений являются их средние
квадратические ошибки.
СКО служат основой для других критериев точности при оценке
результатов геодезических измерений - предельной и относительной ошибок,
допустимых невязок.
Согласно теории вероятностей предельная ошибка mпред с вероятностью 0,997
принимается равной утроенному значению СКО (m) - mпред=3m.
В технических Инструкциях, других случаях на практике к предельным
ошибкам устанавливаются более жесткие требования: с вероятностью 0,987
принимается mпред=2,5m, иногда с вероятностью 0,954 - mпред=2,0m.
Относительной ошибкой называют отношение самой ошибки к
значению измеряемой или определяемой величины. Относительную ошибку принято
представлять в виде аликвотной дроби (с числителем равным единице).
Считается целесообразным знаменатель дроби округлять
следующим образом:
при знаменателе из трех цифр число округляется до целых
десятков;
так вычисленная относительная ошибка 1/973 заменяется 1/970;
при знаменателе из 4-5-ти значащих цифр число округляется до
сотен - дробь 1/2643 заменяется дробью 1/2600, дробь 1/27321 заменяется дробью
1/27300. Отношение предельной (допустимой) абсолютной ошибки к значению
определяемой величины называют предельной (допустимой) относительной ошибкой.
Точность полигонометрических ходов различного назначения при
их определенных параметрах в подавляющем большинстве действующих нормативных
документов характеризуется и регламентируется предельными относительными
ошибками хода.
Более надежной оценкой точности положения отдельных пунктов и
хода в целом является средняя квадратическая ошибка положения точки хода после
его уравнивания в самом слабом месте хода - его середине.
Установлено, что средняя квадратическая ошибка положения
точки в середине хода - Мср равна половине СКО положения конечной
точки - Мк до уравнивания хода:
Мср=1/2Мк,
Оценку точности параметров (элементов) полигонометрических
ходов, сетей выполняют на всех технологических этапах метода полигонометрии -
при проектировании, производстве полевых измерений, при окончательной
математической обработке результатов измерений.
Полная оценка точности всех элементов линейно-угловых ходов и
сетей с вычислением их средних квадратических ошибок и других точностных
характеристик производится при применении современного программного обеспечения
технологий производства геодезических работ - программного комплекса CREDOи др.
При проектировании отдельных полигонометрических, других
линейно-угловых ходов, их систем ограничиваются определением средних
квадратических ошибок в наиболее слабом месте - середине хода и относительной
ошибки хода с вычислением их значений по соответствующим формулам для ходов
разной геометрической формы (вытянутых и произвольной формы - изогнутых). Для
определения СКО в середине сначала вычисляется средняя квадратическая ошибка
конечного пункта хода Мк с учетом его формы.
Полигонометрический ход считается вытянутым, если:
(S) /L≤1. 30 (для идеального вытянутого хода (S) /L=1),
где (S) - сумма длин сторон хода, L - длина замыкающей хода;
Направления сторон хода отклоняются от направления замыкающей
в среднем на угол порядка 8˚ (γср<=8˚) и
предельное значение этого угла не более 24˚;
Ŋмак≤L,
где ŋмак - расстояние от вершины хода до
замыкающей.
Ход, в котором одна сторона оказывается приблизительно
перпендикулярной направлению замыкающей, не может считаться вытянутым.
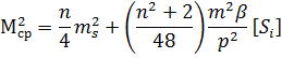
Для вытянутых ходов СКО Мк вычисляется по формуле
для ходов, уравненных за условие дирекционных углов:
Мк2 = n·ms2
+ (mβ2/ρ2) ·L2· (n+3) /12
ms - СКО измерения сторон, м;
mβ - СКО измерения углов;
ρ=206265
L - длина сторон хода
Для ходов произвольной формы СКО конечной точки вычисляется
по формуле:
Мк2 = n·ms2
+ (mβ2/ρ2) · [D0i2]
где n - число сторон хода;
ms - СКО измерения сторон, м;
mβ - СКО измерения углов;
ρ=206265
D0i - расстояние от центра
тяжести сетей хода "0" до всех вершин хода.
Положение центра тяжести хода "0" при
проектировании может быть определено аналитическим или графическим способом.
При аналитическом способе на карте определяются по стандартной методике
прямоугольные координаты X, Y всех вершин хода (n+1).
При графическом способе для определения положения центра
тяжести хода проектный ход копируется с карты на прозрачную основу, на копии нумеруются
все вершины ходов.
По вычисленной СКО Мк устанавливают предельные
значения абсолютной ошибки конечного пункта хода.
Мк= 2 Мср
где Мк - предельная ошибка,
Полученное значение предельной относительной ошибки не должно
превышать его нормативного значения - 1/T, установленного
инструкцией:
На все закрепленные центрами точки полигонометрических ходов
должны быть переданы высоты над уровнем моря нивелированием IV класса или техническим
нивелированием. Выбор вида нивелирования зависит от функционального назначения
территории объекта работ и от типа центров на пунктах ходов.
Нивелирование IV класса по пунктам полигонометрии прокладывается
только в случае закрепления их центрами типа 2 г. р. При закреплении точек ходов
типа 5 г. р, 6 г. р. их высоты определяются техническим нивелированием, в
горной местности допускается определение высот точек полигонометрических ходов
методом тригонометрического нивелирования.
Нивелирные ходы IV класса, технического нивелирования, прокладываются
между исходными пунктами, реперами в виде отдельных ходов или системы ходов с
узловыми точками.
Исходными пунктами для нивелирования IV класса служат реперы
нивелирования III и высших классов. Ходы технического нивелирования, как правило,
привязываются к пунктам, реперам нивелирования III и IV классов.
Нивелирные ходы IV класса, технического нивелирования
прокладываются в одном направлении, предельные длины ходов технического
нивелирования устанавливаются в зависимости от высоты сечения рельефа при
топографической съемке согласно таблице.
Таблица 2.
Характеристика ходов нивелирования
|
Характеристика
линий (ходов) нивелирования
|
Длины ходов в
км при сечении рельефа
|
|
Сечение
рельефа, м
|
Длина хода, м
|
|
1. Ход между
двумя исходными пунктами
|
0,5; 1 и более
|
8,0; 16,0
|
|
2. Ход между
исходным и узловыми пунктами
|
0,5; 1,0 и
более
|
6,0; 12,0
|
|
3. Ход между
двумя узловыми пунктами
|
0,5; 1,0 и
более
|
4,0; 8,0
|
Точность нивелирных ходов IV класса, технического
нивелирования характеризуется средней квадратической ошибкой нивелирования на
линии длинной в 1км - mкм, невязкой по линии, средней квадратической
ошибкой определения высоты точки в наиболее слабом месте хода - его середине.
Инструкциями установлены предельные значения СКО mкм и их значения предельных
невязок по линиям - пред fh:
Для ходов IV класса предельная СКО mкм составляет 5 мм,
Допустимая невязка в ходе определяется по формуле:
пред fh = ± 20 L мм,
где, L - длина линии в км.
Для технического нивелирования предельная СКО mкм составляет 15-20мм,
предельная невязка по линии:
пред fh = ± 50√L мм,
Средняя квадратическая ошибка точки в середине хода
рассчитывается по формуле:
mср= 0,25
пред fh
В проекте ОМС создается методом полигонометрии 2-ого разряда,
запроектировано 4 полигонометрических хода и ссылаемся на таблицу 2.
Таблица 3
Основные характеристики ОМС 2-ого класса (полигонометрия
2-ого разряда)
|
Наименование
хода
|
Количество
сторон
|
Длина хода L ([S]), м
|
Smin, м
|
Smax, м
|
СКОmb
|
СКОms
|
СКОMк, м
|
Мср,
м
|
Относи-тельная
ошибка
|
|
Пт1, пт2-пп107
|
8
|
|
765
|
953
|
10
|
0,2
|
|
0,09
|
|
|
Пп107-птр3,
птр4
|
4
|
|
436
|
747
|
10
|
0,2
|
|
0,049
|
|
|
Пп107-пт1
|
|
|
401
|
961
|
10
|
0,2
|
|
0,0172
|
|
Таблица 4.
Основные характеристики планового обоснования (полигонометрия
2 разряда)
|
Наименование
хода
|
Количество
сторон
|
Длина хода L ([S]), м
|
Smin, м
|
Smax, м
|
СКО mb
|
СКОms
|
СКО Mк, м
|
Мср,
м
|
Относи-тельная
ошибка
|
|
пп101,
пп300,.., пп303
|
5
|
2852,0
|
|
|
20
|
2,5
|
0,206
|
0,103
|
1/9086
|
|
пп109,
пп306,.., пп303
|
5
|
2203,0
|
|
|
20
|
2,5
|
0,224
|
0,112
|
1/11180
|
|
пт2,
пп400-пп209
|
14
|
7867,0
|
|
|
20
|
2,5
|
0,406
|
0,203
|
1/16143
|
|
пп102, пп500, -
пп202
|
5
|
2212,0
|
|
|
20
|
2,5
|
0,16
|
0,080
|
1/7075
|
|
пп102,
пп600,.., пп303
|
6
|
2644,0
|
|
|
20
|
2,5
|
0,208
|
0,104
|
1/6389
|
Таблица 5
Таблица основных параметров высотного обоснования
(техническое нивелирование)
|
Наименование
хода
|
Количество
сторон
|
Длина хода L ([S]), км
|
µ мм/км
|
Мh
|
|
пт1, пт2
|
2
|
0,003159
|
2,5
|
|
|
пп101, пп102
|
2
|
0,000821
|
2,5
|
|
|
пп102,
пп103,.., пп107
|
6
|
0,006675
|
2,5
|
|
|
пп107, пп108,
пп109
|
3
|
0,001775
|
2,5
|
|
|
пп109, пп110,
птр3
|
3
|
0,001519
|
2,5
|
|
|
птр3, птр4
|
2
|
0,001580
|
2,5
|
|
6.
Проектирование установления границы населенного пункта дубровка
В зависимости от требований к точности разбивки проектные
точки на местности закрепляют деревянными кольями, металлическими костылями и
штырями, дюбелями и т.п.
Плановое положение проектных точек при их выносе на местность
можно получить различными способами: полярных и прямоугольных координат, прямой
и угловой засечки, линейной засечки, проектного теодолитного
(полигонометрического) хода, промеров по створу и др. Применение каждого из
способов диктуется топографическими условиями местности, густотой исходных
пунктов, конфигурацией проектных объектов и другими факторами.
Независимо от выбранного способа выноса на местность
проектных точек до начала полевых работ в камеральных условиях вычисляют
соответствующие проектные значения горизонтальных углов β и расстояний D. Для этого используют соответствующие формулы и делают
необходимые расчеты. По полученным данным должен быть составлен разбивочный
чертеж выноса в натуру проектных точек, являющийся одним из основных
графических документов, включаемых в состав проекта производства разбивочных
работ.
В моём случае использован способ полярных координат. Далее
рассмотрим его более подробно.
Способ полярных координат.
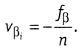
Сущность работы по перенесению на местность проектных точек Р
заключается в построении проектного горизонтального угла β или
и откладывании по полученному направлению проектного расстояния D.
Точность определения положения на местности точки Р относительно
исходной точки 1 будет зависеть от точности построения проектного угла и
отложения проектного расстояния, а также на местности СКО 
положения проектной точки на местности относительно пункта межевой
съемочной сети (без учета погрешностей исходных данных) можно вычислить по
формуле:

где 
- средняя квадратическая погрешность построения проектного
расстояния D;

- средняя квадратическая погрешность построения проектного угла,
с; 
- средняя квадратическая погрешность фиксации проектной точки
(штырь, колышек и т.п.) на местности;
ρ= 206265´´.
Предельная погрешность:
∆Р=
С одного исходного пункта полярным способом можно перенести не
одну, а несколько проектных точек, которые на местности могут служить,
например, поворотными точками границы земельного участка и пр.
Важнейшим условием при определении местоположения пунктов
полигонометрии 4 класса, 1 и 2-го разрядов является наличие видимости и
подтверждения наличии или отсутствия видимости следует построить продольный
профиль проектируемой стороны хода.
Значение СКО в наиболее слабом месте - середина хода для любой
геометрической формы вычисляется по формуле:
Мср = 
;
Мк= 2Мср,
где Мк - предельная ошибка.
Значение Мср не должно превышать требуемой точности,
установленной либо инструкцией, либо техническим заданием или техническим
проектом:
Мср ≤0,1М
Значение предельной ошибки не должно превышать его нормативного
значения - 
, установленного инструкцией:

.
Способ проектного теодолитного (полигонометрического) хода.
Исходными данными при выносе в натуру являются координаты исходных
пунктов и проектных координат.
Подготовка для выноса межевых знаков включает в себя следующее: по
каждой линии хода решают ОГЗ в результате которого получают дирекционные углы и
горизонтальные проложения.
На основании дирекционных углов вычисляют левые или правые углы
поворота.
Для контроля вычисляют:
Процесс установления границ объектов землеустройства определяют в
следующем порядке:
На исходном пункте 2 устанавливают прибор. Откладывают вначале
проектный угол β1, а затем проектное расстояние S1. Фиксируют положение межевого знака. Далее устанавливают на
межевом знаке прибор и выполняют аналитические действия до последнего пункта.
Из-за ошибки измерения и установления межевого знака на местности при подходе к
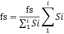
исходному пункту может образоваться невязка fs.
Для каждого пункта вычисляют:
Точность положения межевого знака в середине хода определяют по
следующей формуле:
- количество сторон в ходе
m - ошибки
При соответствии расчетной точности ходов нормативными
требованиями для каждого хода проводится полная его характеристика и
составляется сводная таблица основных параметров всех запроектированных на
объекте ходов по форме таблица 6.
Таблица 6
Сводная ведомость основных характеристик установления межевых
знаков на местности
|
№/пп
|
Наименование
межевого знака
|
Наименование
способа установления межевого знака на местности
|
Пункт ОМС
|
СКО измерен.
|
СКО определения
координат межевого знака
|
|
|
|
|
mb, сек
|
ms, см
|
М
|
Мx
|
Мy
|
|
1
|
М1
|
способ полярных
координат
|
пп103-пп104
|
20
|
2,5
|
0,099
|
0,070
|
0,070
|
|
2
|
М2
|
способ полярных
координат
|
пп103-пп105
|
20
|
2,5
|
0,136
|
0,100
|
0,093
|
|
3
|
М3
|
способ полярных
координат
|
пп105-пп106
|
20
|
2,5
|
0,088
|
0,059
|
0,064
|
|
4
|
М4
|
способ
проектного теодолитного хода
|
Пп103,
пп104-пп105, пп106
|
20
|
2,5
|
0,117
|
0,088
|
0,076
|
Для установления границ на местности был применен способ
полярных координат. Ошибка составления 20 секунд, а ошибка расстояний 2,5 см.
7.
Закрепление межевых знаков и пунктов на местности
Выбранные места для закладки пунктов закрепляются временными
знаками (кольями, металлическими штырями и др.) и на них составляются абрисы с
привязкой к постоянным предметам местности не менее чем тремя промерами. При
закладке указанные промеры уточняются.
На пунктах сетей триангуляции и полигонометрии создаваемых
для обоснования крупномасштабных съемок, сооружаются наружные геодезические
знаки следующих типов: туры и металлические пирамиды - штативы со съемочными
визирными целями, металлические пирамиды четырехгранные и трехгранные и, как
исключение, сложные сигналы.
На территории городов и промышленных площадок устанавливаются
металлические, или железобетонные постоянные наружные знаки. Сооружение наружных
деревянных знаков не допускается.
В качестве постоянных наружных геодезических знаков пунктов
триангуляции на застроенных участках применяются также металлические
пирамиды-штативы или туры со съемными визирными целями, установленные на крышах
зданий. Применяются также съемные металлические вехи с визирным цилиндром на
трех-четырех оттяжках.
Узловые пункты обязательно закрепляются постоянными центрами
типов 1 г. р.,2г. р.,3г. р.
Центр типа 2г. р. закладывается, как правило, на
незастроенной территории, и на застроенной территории там, где невозможна
установка стенного знака и допустимо производство земляных работ.
1 - бетонное кольцо (подушка колпака), 2 - чугунный колпак с
крышкой, 3 - асфальт, 4 - заливка бетонным раствором, 5 - противокоррозионный
слой, 6 - бетонный якорь диаметром 50 см., 7 - металлические скобы, 8-слой
цементного раствора.
Над центрами устанавливаются постоянные наружные знаки в виде
четырехгранных (на пунктах 4 класса) и трехгранных (на пунктах 1-го и 2-го
разрядов) металлических пирамид.
Центры типа 5г. р. и 6г. р. закладываются на незастроенной
территории, на застроенной там, где невозможна установка стенных знаков.
а) тип 5 г. р. б) тип 6 г. р.
а) Центр пункта триангуляции, полигонометрии 1,2 разрядов и
полигонометрии 4 класса в районах сезонного промерзания грунта. Тип 5г. р.
- асфальт или поверхность земли, очищенная от дерна, 2 -
металлические скобы, 3 - слой цементного раствора 3 см,
- бетонный монолит в виде усеченной четырехгранной пирамиды.
б) Центр пункта триангуляции, полигонометрии 1,2 разрядов и 4
класса в районах сезонного промерзания грунта. Тип 6г. р.
- чугунный колпак с крышкой,
- асфальт или поверхность земли, очищенная от дерна,
- скрепление нацементом растворе,
- бетонные кольца или кирпичная кладка,
- противокоррозионный слой,
- металлические скобы,
- бетонный монолит в виде усеченной четырехгранной пирамиды,
- металлическая (35-60 мм), асбоцементная, железобетонная с
бетонным заполнением труба, железобетонный пилон круглого (80-160 мм) или
прямоугольного сечения, рельс любого профиля.
Центры установленных на здании пунктов закрепляются марками,
заложенными в тур или верхнее перекрытие. Допускается в качестве центра
использовать водоприемные решетки, чугунные вентиляционные трубы. При этом
центры обозначаются стержнем из нержавеющего металла (медь, латунь) с
насечкой, который заделывается в отверстие диаметром 2-4 мм и глубиной не менее
5 мм.
Визирные цели геодезических знаков должны быть мало фазными и
иметь следующие размеры: высота визирного цилиндра 0,50 м, диаметр 0,25 м.
Расстояние от приборного столика до нижнего диска визирного цилиндра должно
быть не менее 0,8 м.
Мало фазная цилиндрическая поверхность создается краями,
радиально расположенных планок, прикрепленных к дискам наружные знаки должны
быть устойчивыми и прочными Жесткость наружных знаков должна обеспечивать
возможность измерения углов при ветре средней силы.
Знаки должны быть симметричными относительно вертикальной
оси. Уклонение проекций центров визирного цилиндра и столика для прибора от
центра пункта должно быть, как правило, не более 5 см.
На время наблюдений на пирамиды-штативы допускается установка
вех высотой до двойной высоты пирамиды-штатива путем поднятия стандартной
визирной цели на специальных трубчатых элементах с оттяжками.
Подъем визирной цели осуществляется автомашиной с помощью
двух блоков и троса.
На геодезических пунктах 2, 3, 4 классов на территориях
городов, поселков и пром. площадок ориентирные пункты не устанавливаются, если
обеспечивается непосредственная видимость с земли не менее чем на два смежных
пункта (включая и пункты геодезических сетей 1 и 2 разрядов).
Металлические геодезические знаки должны быть защищены от
коррозии специальным антикоррозийным покрытием.
В тех случаях, когда на геодезических пунктах 4 класса, 1 и 2
разрядов установлены металлические или железобетонные наружные знаки, окопка не
производится. При отсутствии на пунктах таких знаков на расстоянии от 1 до 3 м
от центра пункта устанавливается опознавательный железобетонный столб размерами
15'15'160 с мили столб из асбоцементных труб с якорем.
Для лучшего опознавания выступающая над поверхностью земли
часть столба окрашивается желтым цветом с горизонтальными черными полосами.
Металлические охранные пластины с надписью
"Геодезический пункт. Охраняется государством" крепятся на пирамиде
или цементируются в столб.
На застроенной территории опознавательные столбы не
устанавливаются.
В качестве знаков долговременного типа применяются:
а) б) в) г)
а) бетонный пилон с металлической маркой в верхней части;
б) бетонный монолит в виде усеченной четырехгранной пирамиды;
в) железная труба диаметром 35-60 мм с бетонным якорем;
г) деревянный столб диаметром не менее 15 см, установленный на
бетонный монолит.
Бетонные пилоны и монолиты закладываются на глубину 80 см.
На застроенных территориях пункты съемочного обоснования, как
правило, закрепляются стенными знаками.
Знаки долговременного типа окапываются канавами в виде квадрата со
сторонами 1,5 м., глубиной 0,3 м, шириной в нижней части 0,2 м и в верхней
части 0,5 м. Над центром насыпается курган высотой 0,10 м. В районах болот,
залесенной местности и многолетней мерзлоты курган заменяется срубом (1,0' 1,0'
0. 3 м). Сруб заполняется землей, знак не окапывается.
Во всех случаях знаки долговременного типа устанавливаются в
местах, обеспечивающих их сохранность, технику безопасности и удобство
использования при топографической съемке, изысканиях и строительстве, а также
последующей эксплуатации. Не разрешается производить закладку долговременных
знаков на пахотных землях и болотах, проезжей части дорог, вблизи размываемых
бровок русел рек и берегов водохранилищ.
Временными знаками могут служить придеревьев, деревянные колья
диаметром 5-8 см, столбы или железные трубы (уголковая сталь), забитые в грунт
на 0,4 - 0,6 м, с установленными рядом сторожками.
Временные знаки окапываются круглой канавой диаметром 0,8 м.
Центр временного знака обозначается гвоздем, вбитым в верхний срез
кола (столба) или насечкой на металле.
В залесенной местности в случае необходимости делаются отметки на
деревьях краской.
Знаки планового обоснования нумеруются порядковыми номерами с
расчетом, чтобы на объекте не было одинаковых номеров.
При включении в ход (сеть) знаков ранее произведенных съемок не
разрешается менять ранее присвоенные им номера.
На постоянных знаках масляной краской, а на временных - пикетажным
карандашом пишут: сокращенное название организации, проводящей работу, номер
закрепленного пункта (точки) и год установки знака.
Столбы и сторожки устанавливаются надписью вперед по ходу.
На все заложенные центры пунктов составляется карточка по
установленной форме с приложением фотоснимка места закладки.
Постройка постоянных геодезических знаков оформляется
соответствующим актом.
Геодезические знаки после постройки сдаются по акту на наблюдения
за сохранностью: в городах, поселках и сельских населенных пунктах - городским
и районным Советам народных депутатов, на остальной территории -
землепользователями.
Составляется три экземпляра акта, из которых один хранится в
учреждении, принявшем знак на хранение, второй - направляется в территориальную
инспекцию Госгеонадзора ГУГК, а третий должен находиться в организации,
выполняющей работы.
Для закрепления характерных точек границ объектов землеустройства
используются следующие типы межевых знаков:
Тип I - металлическая либо металлическая оцинкованная труба диаметром 3-7 см, высотой 105 см, со сплющенным
нижним основанием и расположенным в нижней внутренней части трубы выдвижным
якорем в виде изогнутой стальной проволоки диаметром 0,5 см. Высота трубы может
быть увеличена в зависимости от характеристики грунтов (песчаник, болото,
мерзлота и т.п.). Над нижним основанием трубы делаются два отверстия для
выдвижения якоря в грунт. В верхнее основание трубы устанавливается
металлическая марка (накладка) с крестообразной насечкой. К верхней части трубы
приваривается металлическая пластинка для надписи;
Тип II - деревянный столб диаметром не менее 15 см и высотой 115 см
с крестовиной в нижней части, установленный на бетонный монолит в
виде усеченной четырехгранной пирамиды с основанием 20 х 20 см, верхним
основанием 15 х 15 см и высотой 20 см. На верхнем основании монолита делается
крестообразная насечка или цементируется гвоздь.
Верхнюю часть столба затесывают на конус, ниже затеса делается
вырез для надписи;
Тип III - металлическая марка с крестообразной насечкой и надписью диаметром 5 - 15 см,
закрепленная цементным раствором в основания различных сооружений, бордюры,
столбы или скалы.
Межевые знаки I и II типов закладываются на глубину не менее 80
см.
При установке межевого знака I типа для выдвижения якоря в грунт
используется металлическая штанга диаметром, соответствующим внутреннему
диаметру трубы, и длиной на 20 см больше длины межевого знака. После выдвижения
якоря в грунт штанга извлекается из трубы.
Для обеспечения сохранности и опознавания на местности межевые
знаки I и II типов окапывают в виде круглых канав с внутренним диаметром 100
см, глубиной 30 см, шириной в нижней части 20 см и верхней части 50 см. Над
центром насыпается курган высотой 10 см.
При установке межевой знак ориентируют таким образом, чтобы его
лицевая сторона (с надписями) была обращена к следующему межевому знаку при
движении по границе по ходу часовой стрелки.
Надпись на межевых знаках включает следующую информацию: год
закладки межевого знака; номер межевого знака в соответствии с
землеустроительным делом по установлению на местности границ объекта
землеустройства. Необходимость отражения на межевом знаке иной информации
устанавливается техническим заданием на выполнение работ по установлению на
местности границ объектов землеустройства. Все надписи должны быть нанесены
краской, устойчивой к атмосферным воздействиям. При выборе типа межевых знаков
необходимо учитывать климатические и физико-географические условия местности. В
данном проекте рекомендуется устанавливать пункты 2 г. р. на узловых точках и 5
г. р., межевые знаки рекомендуется установить типа III - металлическая марка,
поскольку она является наиболее надежной и пригодна для длительного
использования.
8.
Рекомендации по выбору типа геодезических приборов
В наше время качественное выполнение инженерно-геодезических
работ основывается на использовании современных геодезических приборов и
программного обеспечения для обработки получения данных.
В современном геодезическом оборудовании можно выделить
несколько особо значимых групп:
· геодезическое GPS-оборудование;
· электронные тахеометры
· электронные (цифровые) теодолиты;
· электронные (цифровые) нивелиры;
· лазерные сканеры;
· теодолит Т15 и пр.
Буквально за последнее десятилетие темпы модернизации
геодезического оборудования, расширения их функциональных особенностей и
улучшения технических характеристик, многократно выросли.
Каждая из вышеперечисленных групп имеет свое назначение и
оптимальную область применения геодезических приемников могут частично
пересекаться. Например, в частном случае GPS-приемники могут заменить
электронные тахеометры (например, при съемке местности), и наоборот.
Таким образом, то же геодезическое GPS-оборудование наиболее
эффективно используется при геодезических съемках, создании и развитии
геодезических сетей, создании государственного земельного кадастра, мониторинга
земель и выполнения других работ, зачастую, в тех местах, где имеется редкая
сеть исходных пунктов.
И, тем не менее, не самые популярные геодезические приборы -
электронные тахеометры. Это обусловлено тем, что они имеют самый широкий круг
применения: от развития ГГС и топографической съемки до инженерной геодезии и
землеустройства.
Предельная линейка приборов различных производителей довольно
велика, но, в основном, держится на "четырех китах". Широко
представлены на рынке как электронные тахеометры, как и GPS-приемники таких
флагманов в мире производителей геодезического оборудования и приборов как TOPCON, SOKKIA, LEICA, TRIMBLE, нивелир, теодолит Т5.
В технических проектах для производства
топографо-геодезических работ принято предусматривать (рекомендовать)
применение передовых технологий, современных приборов и вычислительной техники.
Для построения геодезических сетей сгущения 1 и 2 разряда
требуются точные приборы, позволяющие оценить углы с точностью 5´´-10´´, а длины линий с погрешностью 1-4 см. В
настоящее время получение высокой точности проводимых измерений стало возможным
благодаря использованию новейших технологий.
В курсовой работе рекомендованные для полевых измерений
приборы по своей точности, другим техническим характеристикам должны
соответствовать и обеспечивать точность запроектированных геодезических
построений.
Для построения геодезических сетей сгущения IV класса требуются точные
приборы, позволяющие оценить углы с точностью 15-20´´, а длины линий с погрешностью 2,5 см.
Нам подойдет для работы теодолит типа Т15. Основные
характеристики:
. Средняя квадратическая погрешность измерения одним
приемом, с:
горизонтального угла 15"
вертикального угла 25"
. Увеличение зрительной трубы 25 (х)
3. Наименьшее расстояние визирования, м, не более 0,8
. Номинальная цена деления цилиндрического уровня при
алидаде горизонтального круга 30"
. Масса теодолита, кг 3,5
9.
Методики измерений горизонтальных углов и линий, расстояний и
превышений в геодезических построениях
В полигонометрическом ходе измеряют примычные углы, углы
поворота и засечки боковых пунктов.
Измерение углов рекомендуется производить в утренние и
вечерние часы. Время, близкое к восходу и заходу солнца (примерно за час до
восхода и час после захода), использовать не следует, так как в эти часы
наблюдается наибольшие колебания изображений.
Перед началом измерений производят исследования, поверки и
юстировку приборов.
Измеряют обычно левые по ходу углы, наблюдения записывают в
полевые журналы.
Способ круговых приемов
Способ круговых приемов применяют в том случае, когда число
направлений на пункте больше двух.
Рассмотри на примере измерения трех направлений. Тахеометр
установлен на пункте.
Первый прием измерения:
· Наводят визирную ось зрительной трубы при
КЛ на заднюю по ходу визирную марку, которую при измерении принимают за
начальное направление;
· Устанавливают лимб и оптический микрометр
на отсчет, близкий к нулю (лучше несколько больше нуля); для этого сначала
вращением рукоятки микрометра устанавливают отсчет по шкале последнего, близкий
к нулю, затем вращением рукоятки перестановки лимба тщательно совмещают
изображение штрихов противоположных краев лимба 0̊ и 180̊, после чего производят отсчет и записывают в журнал;
· Разводят рукояткой микрометра изображение совмещенных
штрихов и снова их соединяют (второе совмещение), производят отсчет и
записывают в журнал; разность двух отсчетов не должна превышать 3̎; рекомендуется окончательное смещение штрихов выполнять вращением
рукоятки микрометра по ходу часовой стрелки (на ввинчивание);
· Открепляют алидаду и поворачивают ее
несколько раз по ходу часовой стрелки, после чего наводят визирную ось трубы
(вращая алидаду также по ходу часовой стрелки) на вторую, а затем третью марки;
при двух совмещениях производят отсчеты, которые записывают в журнал;
· Наводят визирную ось трубы снова на заднюю
по ходу марку, при двух совмещениях производят отсчеты и записывают в журнал.
На этом заканчивают измерения в первом полуприеме.
Повторное наведение на первую марку называется замыканием
горизонта. Это действие производится для того, чтобы установить, сохранил ли
лимб в процессе работы неподвижное положение. Расхождение между результатами
наблюдений на начальное направление в начале и конце полуприема не должно
превышать 12̎.
После перевода зрительной трубы через зенит при КП производят
измерения второго полуприема;
· Вращая алидаду по ходу часовой стрелки,
наводят на ось зрительной трубы на начальное направление и при двух совмещениях
производят отсчеты, которые записывают в журнал в строку, соответствующую
второму наведению на это направление в первом полуприеме;
· Открепляют алидаду и поворачивают ее
несколько раз против хода часовой стрелки, после чего наводят визирную ось
трубы (вращая алидаду также против хода часовой стрелки) на третью, вторую и
снова на первую марки. Производят отсчеты при двух совмещениях и записывают в
журнал.
Второй и последующие приемы измерения направлений производят
в такой же последовательности, как и первый, но для ослабления влияния
систематических погрешностей деления лимба, лимб поворачивают на угол σ=180̊/m, где m - число приемов плюс 5
или 10̓. При измерении углов в полигонометрии 4 класса тахеометром SET 210 шестью приемами, во
втором приеме устанавливают отсчет при наведении на начальную марку близким к
30̊ 05̓, в третьем - к 60̊ 10̓ и т.д.
Поправка среднего направления:
σ = (-Δφ/ n̓) * (i - 1)
n ̓ - число направлений; i - порядковый номер.
Колебание направлений в отдельных приемах не должно превышать
12”.
Способ отдельного угла
Этот способ применяется, когда на пункте сходятся два
направления. Порядок наблюдений при измерении одного угла между двумя
направлениями остается таким же, как и в способе приемов. Отличие состоит лишь
в том, что не производят повторного наведения на начальную точку и вращают
алидаду и в первом и во втором полуприемах или только по ходу или только против
хода часовой стрелки.
Значения углов в полуприемах, а также и в отдельных приемах
не должны различаться более чем на ±12”.
Окончательное значение угла вычисляют как среднее
арифметическое из углов, измеренных в отдельных приемах.
При измерении горизонтальных углов следует руководствоваться
допусками на станции.
Линейные измерения
В последние годы для измерения линий в полигонометрии любого
класса или разряда в основном используется светодальномеры, электронные
тахеометры, изредка в связи с определенными обстоятельствами и требованиями
стороны ходов измеряются инварными проволоками.
Рассмотрим примеры измерения линий светодальномерами. При
применении светодальномеров определяются скорости и время прохождения
электромагнитных волн между концами линий, на одном из которых установлен
источник излучений (светодальномер), а на другом - отражатель излучений.
Искомое расстояние можно вычислить по формуле:
Д =
где v - скорость распространения света в
атмосфере;
t - время прохождения световой волны от источника светового
излучения до отражателя и обратно.
с - скорость
распространения света в вакууме, принятая равной 299792458 м/с;
n -
показатель преломления воздуха, зависящий от температуры, давления и влажности.
Определение
координат точек теодолитного хода
По измеренным сторонам и углам определяют прямоугольные
координаты вершин теодолитного или тахеометрического хода, а по измеренным
вертикальным углам и длинам сторон - превышения между точками тахеометрического
хода, т.е. теодолитным ходом определяют плановое положение вершин хода, а
тахеометрическим ходом - плановое и высотное их положение. Разомкнутый теодолитный
ход должен начинаться и заканчиваться на опорных точках H и К с известными
координатами, и на этих точках должны быть измерены примычные углы β0 и βn между опорными линиями с
известными дирекционными углами и первой и последней линиями хода. Только в
этом случае имеется возможность не только определить координаты всех точек
теодолитного хода, но и проконтролировать правильность измерения углов и сторон
хода и оценить точность выполненной работы. Если разомкнутый теодолитный ход
имеет исходные данные только с одной стороны (в начале или конце хода), то его
называют висячим теодолитным ходом.
Для контроля целесообразно в начальной и конечной опорных
точках измерять не по одному, а по два примычных угла, т.е. независимо дважды
определять дирекционный угол сторон HI от опорной линии АН и
опорной линии СН, а в конечной опорной точке определять дирекционные углы
опорных линий KB и КД и сравнивать полученные и известные их значения.
В замкнутом теодолитном ходе обычно измеряют внутренние углы
полигона (β1,..,βi,) и примычные углы β'0,β"0". Необходимость привязки замкнутого хода к
двум твердым линиям связана с тем, что при ошибочном опознавании, например
пункта А, дирекционный угол линии АН не будет соответствовать его действительному
значению и весь полигон будет неправильно ориентирован относительно принятой
системы координат. Поэтому для исключения такой ошибки необходимо делать
привязку хода как минимум к двум опорным линиям.
В теодолитном ходе угловая невязка (свободный член условия
фигур)
где
- сумма измеренных в теодолитном ходе углов, а
- их теоретическая
сумма.
Схема разомкнутого теодолитного хода
В разомкнутом теодолитном ходе теоретическая сумма углов
зависит от расположения исходных сторон, и поэтому целесообразно разомкнутый
ход превратить в замкнутый путем продолжения опорных линий до их пересечения и
использовать его для определения.
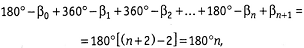
Для измеренных левых углов имеем
В полученном замкнутом полигоне сумма углов
где n - число измеренных углов. Из этого выражения
находим
т.е. в рассматриваемом случае, учитывая
Получаем
В полигоне
Учитывая βn+1= 360° - (ак-ан)
Если фактическая ƒβ, вычисленная по
формулам, по модулю меньше доп. ƒβ, то ее распределяют с
обратным знаком поровну на все измеренные углы, т.е. поправка
Если невязка ƒβ не делится без остатка
на число n, то несколько большие поправки вводят в углы с короткими сторонами.
В итоге сумма поправок, должно равняться угловой невязке ƒβ с обратным знаком, т.е.
После введения в углы βi поправок vβi получают исправленные углы, которые используют при вычислении
дирекционных углов по формуле для левых и по формуле для правых измеренных
углов. При этом дирекционный угол конечной опорной линии, вычисленный по
теодолитному ходу, и его истинное значение должны совпадать.
Вследствие невязок ƒх, ƒy положение конечной опорной точки, полученной по теодолитному
ходу, не будет совпадать с положениеми опорной точки, величина этого
несовпадения, называемая невязкой в периметре хода,
Суммы поправок должны быть равны соответствующим невязкам по
осям с обратным знаком, т.е.
Исправленные значения приращений координат используют для
определения координат точек хода по формулам
В результате хn, уn в разомкнутом и хn
= x, yn = yн в замкнутом и ходах должны
совпадать с их известными для опорных точек значениями.
Предельная длина линий хода и др. допуски представлены в
таблице 8
Таблица 8
Требования, предъявляемые к полигонометрии 4 класса, 1 и 2
разрядов
|
Показатели
|
4 кл.
|
1 разряд
|
2 разряд
|
|
Предельные
длины отдельных полигонометрических ходов при измерении светодальномерами или
электронными тахеометрами в зависимости от числа сторон в ходе, км n - число
сторон в ходе
|
Max8
км, n=30 10 км, n=20 12 км, n=15 15 км, n=10 20 км, n=6 Min
|
Max10
км, n=50 12км, n=40 20 км,n=15 15 км, n=25 25 км, n=10 Min
|
6 км, n=30 Max 8 км, n=20 10 км, n=10 12 км,
n=8 14 км, n=6
Min
|
|
Предельная
длина хода при измерении длин линий другими методами (с помощью рулетки и
др.), км
|
15
|
5
|
3
|
|
Предельная
длина между исходными пунктами и узловой точкой, км
|
2/3 длины отд.
хода в зав-ти от n
|
2/3 длины отд.
хода в зав-ти от n
|
2/3 длины отд.
хода в зав-ти от n
|
|
Предельная
длина между узловыми точками, км n - число сторон в ходе
|
½ длины
отдельного хода определяемой в зависимости от числа сторон в ходе. При
уменьшении числа сторон в ходе на 2/3 и на ½.
|
|
Средняя
квадратическая ошибка измеренного угла
|
2,0”
|
5,0”
|
10,0”
|
|
Угловая невязка
в ходах или полигонах, сек n - число сторон в ходе
|
±5, n+1
|
±10, n+1
|
±20, n+1
|
|
Средняя квадратическая
ошибка измерения длины стороны
|
до 500 м±2см от
50 до 1000м ±3см свыше 1000 м 1/40000
|
до 1000м ±3см
свыше 1000 м 1/30000
|
до 1000м ±5см
|
|
Предельная
относительная погрешность хода
|
1/25000
|
1/10000
|
1/5000
|
10.
Предварительная обработка и уравнивание результатов геодезических
измерений
После окончания полевых работ приступают к вычислительной
обработке результатов полевых измерений, целью которой является оценка качества
и точности произведенных измерений, получение предварительных (рабочих) координат
и окончательных координат пунктов.
Вычислительную обработку результатов полевых измерений можно
разделить на следующие основные этапы: предварительную обработку результатов
полевых измерений, уравнительные вычисления.
К предварительной вычислительной обработке результатов плевых
измерений относят контроль и обработку полевых журналов, составление рабочей
схемы ходов, предварительные вычисления, оценку точности полевых измерений и
получение рабочих координат.
Наряду с результатами измерения углов и линий предварительной
обработке должны быть подвергнуты результаты измерения превышения вдоль
полигонометрии (если такие измерения производились).
Предварительную вычислительную обработку начинают с полной и
тщательной проверки всех записей в полевых журналах и всех произведенных в них
вычислений и подсчетов.
При обработке журналов линейных измерений вычисляют длины
линий по соответствующим формулам в зависимости от способа их измерения,
находят горизонтальные проложения линий и производят оценку точности линейных
измерений. Полученные горизонтальные проложения линий необходимо спроектировать
на плоскость в проекции Гаусса и провести к уровню моря. Для получения линий в
проекции Гаусса в горизонтальные проложения их должны быть введены поправки ∆sy.
∆sy=y2m*s'/2R2m,
где ym - средняя ордината или среднее расстояние линии
от осевого меридиана; s' - измеренная длина линии, приведённая к горизонту; Rm - радиус земного шара.
При вычислении поправок ∆sHи ∆syвеличины ymи Нm берут с карты района
работ.
Окончательная длина линии s:
=s' + ∆sH+ ∆sy
При обработке журналов угловых измерений подсчитывают
окончательные значения углов или средние значения приведенных направлений и
производят оценку точности.
Цель предварительных вычислений в полигонометрии -
определение качества полевых измерений и соответствия их по точности
требованиям инструкции, а также подготовка результатов измерений для
уравнительных вычислений.
В результате предварительных вычислений определяют невязки
ходов и полигонов и сравнивают с их предельными значениями, установленными для
данного класса или разряда соответствующими инструкциями.
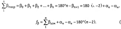
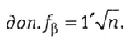
Угловую невязку, fβ для разомкнутого хода
находят по формуле:
β=∑β - (аk-aн) - (n+1) *180°,
для замкнутого хода - по формуле:
β=∑β - 180° (n-2)
Полученные величины сравнивают с предельным значением,
определяемым по формуле:
пред fβ = 2 mβ √n+1,
где n - число сторон в ходе;
(n+1) - количество измеренных горизонтальных углов;
аk - значение конечного дирекционного угла;
aн - значения начального дирекционного угла
mβ - СКО измерения
горизонтального угла.
Вычисленная угловая невязка fβ должна быть меньше или равна предельной величине.
Для уравнительных вычислений, производимых в дальнейшем,
требуется иметь исправленные за невязку углы, поэтому невязку в случае ее
допустимости распределяют поровну на каждый угол, вычисляя поправки:
?β= - fβ/ (n+l)
По исправленным за угловую невязку углам вычисляют
дирекционные углы:
ai+l=аi+βлев±180º
где ai+lи аi - дирекционные углы
предыдущей и последующей линий;
βлев - исправленные левые
углы поворота.
По известным формулам вычисляют приращения координат и
определяют невязки в приращениях:
fx=∑∆x- (xк-xн); fy=∑∆y- (yк-yн);
где ∆x=s*cosα, ∆y=s*sinα - вычисленные значения приращений координат,
хк, ук - координаты конечной точки
полигонометрического хода,
хн, ун - координаты начальной точки
полигонометрического хода
Далее находим абсолютную и относительную линейные невязки
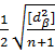
хода или полигона fs и fs/∑s.
Линейная невязка хода находится по формуле:
s=√ fx2+fy2
сравнивают с предельным значением, определяемым по формуле:
пред fs = 2M
где М - средняя квадратическая ошибка положения конечной
точки хода. Относительная невязка хода fs/∑s не должна превышать
допустимого значения для полигонометрии данного класса или разряда: для
полигонометрии 1 разряда 1: 5000.
До уравнительных вычислений необходимо произвести оценку
точности результатов полевых измерений с целью:
проверки правильности предварительного расчёта и
проведения угловых и линейных измерений;
- определения действительной точности полевых
измерений, необходимой при проведении уравнительных вычислений.
Среднюю квадратическую ошибку угла и можно получить по
разностям двойных измерений.
m?βi=
Для среднего арифметического из результатов двойных измерений
углов
m?βср=
Среднюю квадратическую ошибку линии ms можно получить по разностям двойных измерений.
Пусть имеем ряд линий, каждая из которых измерена дважды, тогда
dsi=Si"-Si'
Из разностей dsi
следует исключить систематическую часть.
Согласно теории ошибок для оценки точности по разностям двойных
равноточных измерений формулы будут следующие.
Средняя квадратическая ошибка одного измерения и среднего из
измерений
Задача уравнивания возникает тогда, когда имеются избыточные
измерения. При проложении полигонометрических ходов, как правило, измеряют не
только необходимые, но и избыточные величины.
Уравнивание выполнить в системе Credo_DAT.
Система Credo_DAT является основным геодезическим модулем
программного комплекса Credo и предназначен для автоматизации камеральной обработки,
полевых измерений, при создании и реконструкции государственных опорных,
городских, межевых сетей, инженерных изысканий, геодезическом обеспечении
строительства и землеустройстве.
Порядок обработки результатов полевых измерений:
1. Начальные установки (пользователь, единицы измерения,
точность, общие, вид точек).
2. Создание нового или открытие существующего проекта, а
также уточнение при необходимости свойств проекта (карточка, масштаб).
. Импорт данных (с приборов, из файлов электронных
тахеометров). Либо ввод и редактирование данных в табличных редакторах (ПВО,
дирекционные углы).
5. Выделение грубых ошибок измерений. Этот этап включает в
себя L1 анализ, который позволяет сразу установить источник ошибок: выделить
участок сетей, ход или даже отдельные измерения, содержащие грубые угловые и
линейные ошибки.
. Уравнивание координат пунктов планово-высотного
обоснования. Вокруг уравненных пунктов планово-высотного обоснования отображены
эллипсы ошибок плановых измерений, обозначающие вероятность положения пунктов и
окружности среднеквадратических ошибок определения абсолютных отметок, которые
наглядно показывают качество уравнивания и полевых измерений.
Для оценки качества уравнивания существуют Ведомости оценки
точности положения пунктов и ведомость "Характеристика теодолитного
хода", где необходимо убедиться, что полученные невязки: относительная и
угловая не превышают допустимых значений
. Подготовка отчётов.
Выполнить подготовку и печать документов:
· Ведомости координат
· Ведомости оценки точности положения
пунктов
· Ведомости теодолитных ходов
· Характеристики теодолитных ходов
· Ведомости нивелирных ходов
· Характеристики нивелирных ходов
На всю новую и ранее выполненную геодезическую сеть объекта
составляется сводный каталог уравненных координат и высот пунктов триангуляции,
полигонометрии, а так же каталог высот пунктов нивелирования.
11. Описание
местоположения и установления границ населенного пункта
Порядок описания местоположения границ объектов землеустройства
и порядок установления на местности границ объектов землеустройства
определяется Правительством Российской Федерации.
Описание местоположения границ объектов землеустройства
включает следующие этапы:
. Подготовительные работы.
Подготовительные работы включают сбор и изучение сведений об
объекте землеустройства, содержащихся в документах по установлению границ
соответствующих территорий, государственном кадастре недвижимости, документах
по планированию организации территорий (землеустроительная, градостроительная,
лесоустроительная и иная подобная документация), а также сведения об имеющейся
геодезической и картографической основе;
. Составление карты (плана) границ субъекта Российской
Федерации, муниципального образования, населенного пункта, территориальных зон,
зоны с особым условием использования территорий (далее - карта (план) границ
соответствующей территории или карта (план) объекта землеустройства);
По результатам подготовительных работ составляется карта
(план) границ соответствующей территории, которая включает в себя графическую и
текстовую части.
Графическая часть карты (плана) границ соответствующей
территории, как правило, оформляется на имеющейся картографической основе
(разгруженная топографическая карта (план) и т.п.)
Текстовую часть карты (плана) границ соответствующей
территории рекомендуется составлять в виде:
пояснительной записки
списка координат поворотных (характерных) точек
устанавливаемых (уточняемых) границ и указания значений среднеквадратических
ошибок их определения;
списка земельных участков, выявленных в ходе инвентаризации
земель, по границам которых проходит граница территории.
В пояснительной записке рекомендуется указывать основания, по
которым проводится описание местоположения границ объектов землеустройства (решения
органа власти, договор и т.п.), исходные документы, материалы и нормативы,
используемые в работе;
. Формирование землеустроительного дела по составлению
карты (плана) границ соответствующей территории.
Материалы описания местоположения границ объектов
землеустройства, а также задание на проведение землеустройства, брошюруются в
землеустроительное дело, которое может состоять из одного или нескольких томов.
Рекомендуется в начале тома размещать оглавление (содержание), а на обложке и
титульном листе указывать название объекта землеустройства, по которому
выполнено описание местоположения его границ, исполнителя работ и место для
размещения реквизитов утверждения. Графическая часть может не брошюроваться, а
представляться в виде приложения.
. Рассмотрение карты (плана) границ соответствующей
территории (согласование, утверждение).
Согласование прохождения устанавливаемых (уточняемых) границ,
отображенных на графической части карты (плана), проводится с соответствующими
органами государственной власти и органами местного самоуправления в случаях,
предусмотренных федеральным законодательством.
Согласующие подписи и печати ставятся непосредственно на
графической части;
. Сдачу землеустроительного дела заказчику и в
государственный фонд данных, полученных в результате проведения землеустройства
Орган государственной власти или орган местного
самоуправления, который в соответствии с федеральным законодательством
уполномочен принимать решение об установлении границы такой территории,
утверждает карту (план) границ соответствующей территории в установленном
порядке путем постановки подписи на титульном листе землеустроительного дела и
графической части карты (плана).
Один экземпляр утвержденного землеустроительного дела
исполнитель работ сдает в государственный фонд данных, полученных в результате
проведения землеустройства.
На основании акта соответствующего органа государственной
власти или органа местного самоуправления, которым утверждены границы, и
землеустроительного дела готовится пакет документов, содержащих сведения о
границах соответствующих территорий и необходимых для представления в орган
кадастрового учета, включающий:
копию акта (извлечения из акта) соответствующего органа
государственной власти или органа местного самоуправления, которым утверждены
границы объекта землеустройства;
картографический материал, на котором отражены границы
соответствующей территории, и номера поворотных (характерных) точек границы;
список координат поворотных (характерных) точек границ
соответствующей территории, а также значений среднеквадратических ошибок
определения координат;
текстовое описание по отдельным участкам границ, совмещенных
с естественными или искусственными рубежами (при наличии таких сведений).
Установление на местности административных границ и границ
населенных пунктов рекомендуется осуществлять на основе утвержденного
землеустроительного дела, содержащего описание местоположения границ указанных
территорий, по мере проведения кадастровых работ по земельным участкам, границы
которых совпадают с границами указанных объектов землеустройства. По
результатам проведения кадастровых работ при внесении сведений о земельных
участках в государственный кадастр недвижимости одновременно уточняются
сведения о границах субъектов РФ, муниципальных образований, населенных пунктов.
Установление на местности территориальных зон и зон с особым
условием использования территорий осуществляется по инициативе органов
государственной власти, органов местного самоуправления или правообладателей
земельных участков, чьи земельные участки попадают в такие зоны.
Работы по установлению на местности территориальных зон и зон
с особым условием использования территорий рекомендуется производить на основе
утвержденного землеустроительного дела, содержащего описания местоположения
границ указанных зон, путем обозначения на местности отдельных участков границ
таких зон информационными знаками.
Заключение
В нашей работе был разработан проект геодезического
обоснования для производства крупномасштабных съемок масштабов 1: 5000.
Топографо-геодезическая изученность района составлялась на
основе характеристик исходной карты масштаба 1: 25000, по ее условным знакам и
обозначениям.
Зная масштаб съемки (1: 5000), высоту сечения рельефа 5
метров и площадь района работ, было решено довести плотность пунктов путем
развития на территории полигонометрии 2 разряда.
Геодезической основой для создания съемочного обоснования при
крупномасштабных съемках и земельно-кадастровых работ послужили пункты
государственной геодезической сети триангуляции 2 класса.
Самым главным фактором при проектировании полигонометрических
ходов является видимость между пунктами. Было запроектировано 7
полигонометрических ходов изогнутой формы.
Вынос границ объекта землеустройства осуществили с помощью
полярных засечек и последний межевой пункт из-за отсутствия видимости выносили
способом проектного теодолитного (полигонометрического) хода.
Список
использованной литературы
1.
Инструкция по топографической съемке в масштабах 1: 5000, 1: 2000, 1: 1000 и 1:
500, М.: Недра, 1985г.
.
Приказ от 15 апреля 2006 г. "Построение опорной межевой сети"
.
Земельно-кадастровые геодезические работы / Неумывакин Ю.К., Перский М.И. - М.:
КолосС, 2005. - 184 с.
.
Методические указания по выполнению курсовой работы/ Карев П.А., Лесных И.В.,
Павлова А.И. - Новосибирск, 2008 - 70 с.
.
Полигонометрия 4 класса, 1 и 2 разрядов / Егоров Н.Н., Карев П.А., Лесных И.В.
- Новосибирск, 1995. - 85с.