Метод радиокомпарации и пеленгации

  • Вид работы:
    Реферат
  • Предмет:
    Геология
  • Язык:
    Русский
    ,
    Формат файла:
    MS Word
    411,08 Кб
  • Опубликовано:
    2013-03-28
Вы можете узнать стоимость помощи в написании студенческой работы.
Помощь в написании работы, которую точно примут!

Метод радиокомпарации и пеленгации

Министерство образования и науки Российской Федерации

Федеральное государственное бюджетное образовательное учреждение высшего профессионального образования

«КУБАНСКИЙ ГОСУДАРСТВЕННЫЙ УНИВЕРСИТЕТ»

Кафедра Геофизических методов поиска и разведки полезных ископаемых








Реферат

по дисциплине по «Электроразведка»

Метод радиокомпарации









Краснодар

Содержание

Введение

Метод радиокип и его наземное использование

Аэроэлектроразведка методом радиокип

Метод радиокип в шахтах

Методика работы

Аппаратура

Заключение

Список используемой литературы

Введение

Под высокочастотными (ВЧ) методами электроразведки обычно понимают исследования с помощью электрических и магнитных диполей на частотах выше звуковых (от 15 кГц до десятков МГц). Электромагнитные волны этих частот относятся к разряду радиоволн, и подчиняются их законам распространения, поглощения и отражения. Возбуждающие и приемные диполи здесь часто называют антеннами, т.к. они мало чем отличаются от подобных радиотехнических устройств. Радиоволны сильно затухают в земле, поэтому ВЧ методы - малоглубинные: от первых метров до 100-120 м.

Метод радиокомпарации и пеленгации (радиокип) основан на изучении полей удаленных радиостанций. Для реализации его используется портативная приемная аппаратура. Измерения проводят в дальней зоне излучения на частотах 8-25 кГц, где на фоне первичного поля облегчается выделение аномалий. Методом изучают как магнитное, так и электрическое поле. По аномалиям магнитного поля осуществляют, главным образом, поиск локальных проводящих объектов, электрического поля, в м (ДВ), поскольку с понижением частоты увеличивается глубина электромагнитного поля в землю, поэтому его используют для геологического структурного картирования рудных полей и месторождений, а также для поисков контрастных по электропроводности полезных ископаемых

Метод радиокип и его наземное использование

Метод радиокип основан на использовании полей широковещательных либо специальных радиостанций мощностью десятки и сотни киловатт. Антенны таких радиостанций представляют собой вертикальные электрические вибраторы высотой в сотни метров с емкостной нагрузкой и противовесами. В зависимости от рабочей частоты станции, на которой проводятся исследования, выделяются две модификации метода РК: длинноволновая модификация РК-СДВ(частота от 120 до 450 кГц, длина волны в воздухе от 10 до 1 км) и сверхдлинноволновые модификации РК-СДВ(частота от 10 до 30 кГц, длина волны в воздухе от 100 до 10 км). Расстояние до передающей радиостанции модификации РК-ДВ не должно превышать 1 тыс.км, а в модификации РК-СДВ оно может достигать 10000-12000 км(в северных районах оно уменьшается вследствие высокоомного характера разрезов и ввиду этого оттока электромагнитной энергии в землю).

При решении рудных задач обычно применяется модификация РК-СДВ как более глубинная. В благоприятных условиях высокоомных разрезов при поисках рудных залежей низкого(менее 1 Ом·м) удельного сопротивления предельная глубина исследований РК-СДВ может достигать 50-100 м. Модификация РК-ДВ из-за малой глубинности исследований применяется только при решении задач картирования приповерхностных частей геоэлектрического разреза: выявление карста, картирования рыхлых отложений, таликов и других контрастных по удельному сопротивлению объектов.

При съемках методом радиокип изучают компоненты напряженности магнитного и электрического поля. Полный набор изучаемых параметров следующий: Hx(горизонтальная компонента напряженности магнитного поля, рамка вертикальна, ее плоскость перпендикулярна профилю); Hy(горизонтальная компонента напряженности магнитного поля, рамка вертикальна, ее плоскость параллельна профилю); H(максимальное значение горизонтальной составляющей напряженности магнитного поля, определяемое путем вращения рамки вокруг оси); Нz(вертикальная компонента напряженности магнитного поля, рамка горизонтальна);(угол наклона вектроа Н к горизонту)Ex , Ey (горизонтальные составляющие электрического поля, измеряемые с помощью заземленных на концах электрических линий длиной 10-2- м).В зависимости от задач съемки методом РК может измеряться весь комплекс параметров или только некоторые из них.

По аномалиям составляющих магнитного поля осуществляется, главным образом, поиск проводящих объектов непроводящей среде. По измерениям горизонтальных составляющих электрического поля ведут картирование комплексов горных пород с различным удельным сопротивлением о поиски жил с высоким удельным сопротивлением (обычно - кварцевых жил). По результатам измерений компонент напряженности электрического и магнитного полей может вычисляться электромагнитный импеданс и через него - эффективное удельное сопротивление (которое имеет смысл кажущегося):


Где -магнитная проницаемость; - круговая частота (=2); -амплитудное значение напряженности электрического поля.

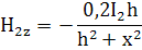
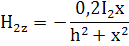
На достаточно большем расстоянии от передающей радиостанции ее поле можно рассматривать как плоскую электромагнитную волну, поляризованную в плоскости, перпендикулярной направлению распространения волны, таким образом, что вектор Е почти вертикален, а вектор Н горизонтален. Предположим, что проводящая крутопадающая залежь в виде вертикального маломощного пласта имеет простирание, совпадающее с направлением на передающую радиостанцию. В этом случае первичное электромагнитное поле, перпендикулярное к простиранию пласта, индуцирует в нем вихревые токи, циркулирующие параллельно боковым его сторонам. При этом компоненты вторичного магнитного поля Н будут определяться законом Био-Савара:


Где -ток, индуцируемый в пласте высокой проводимости (направление распространения волны совпадает с простиранием пласта); h - глубина залегания верхней кромки пласта; x- расстояние от эпицентра пласта. Полевые съемки методом радиокип обычно ведутся по системе заранее подготовленных профилей, допускается съемка и по отдельным маршрутам, прокладываемых в ходе самой съемки. В зависимости от необходимой детальности исследований применяются масштабы 1 : 1000 до 1 : 50000, шаг наблюдений при исследовании магнитного поля СДВ - от 20 до 50 м, магнитного поля ДВ- от 10 до 20 м, электрического поля - от 5 до 50 м. Полевые съемки начинаются с опытных работ, в процессе которых выбирается радиостанция, при этом направление на радиостанцию должно совпадать с ожидаемым простиранием искомых геологических объектов высокой проводимости либо быть перпендикулярным этому направлению при поисках объектов высокого сопротивления, например кварцевых жил.

Высокоомные разрезы благоприятны для исследований методом радиокип. В чачтности довольно широко данный метод в сверхдлинноволновой модификации (РК-СДВ) применяется для наземной заверки аэроаномалий «трубочного» типа при поисках кимберлитовых тел в Якутской кимберлитовой провинции. Недостаток метода - его небольшая глубинность (зависит как от частоты, так и от удельных электрических сопротивлений геоэлектрических разрезов), а также помехи геологического и негеологического плана (аномалии от рельефа, трубопроводов, ЛЭП и т.д.)

Результаты полевых измерений методом РК представляют в виде графиков составляющих магнитного поля(при поисках объектов низкого удельного сопротивления и импеданса) или эффективного удельного сопротивления (при поисках объектоввысокого удельного сопротивления). Для вычисления импеданса( в омах) используется формула:


Где  и  - отсчеты по амплитудному измерителю, мкВ; hi- коэффициент преобразования (действующая длина) приемной линии, м (для заземленных линий hi =l , где l -длина линии, для стелющихся изолированных линий hi=0,5l ).

Метод радиокомпарации весьма эффективен при изучении геологических структур, сложенных метаморфическими изверженными породами, поскольку более дифференцированы электрическим свойствам так, например, удельное сопротивление пород колеблется около единиц у морских засоленных глин, и тысячи у скальных пород. Рыхлые четвертичные отложения в этом отношении менее благоприятны, небольшие различия электрических характеристиках отдельных разностей пород недостаточны того, чтобы вызвать искажения электромагнитного поля, превышающие уровень наблюдающихся помех.

Использование радиовещательных станции значительно упрощает и оснащение партии, которая может обходиться лишь приемными устройствами, достаточно чувствительными, устойчиво работающими и весьма портативными, и позволяет использовать более удобную методику измерений. Идея подобного метода разведки принадлежит А. Г. Тархову.

Рисунок 1 Метод радиокомпарации

На небольшом расстоянии r от радиостанции ее электромагнитное поле можно считать плоским, убывающим по экспоненциальному закону

Поскольку у границы раздела в воздухе Ег поле радиостанций достаточно велико, то будет велика и составляющая Ну. Поэтому для изучения поля радиостанций целесообразно изучать его магнитную составляющую, так как измерение магнитного поля можно проводить при помощи компактных рамок-катушек, в то время как датчиком электрического поля служит относительно громоздкая антенна.

Если поле распространяется вдоль границы среды, электромагнитные характеристики которой меняются от места к месту, то это находит свое отражение на величинах и ориентировке составляющих. Если, например, в толще земной коры имеется крутопадающий пласт повышенной проводимости, рудное тело или карстовая полость, заполненная проводящим электрический ток материалом, то под действием электромагнитного поля, пришедшего от радиостанции, в этой проводящей области появляются токи индукции. Эти токи создают свое магнитное поле, оно, складываясь с магнитной составляющей поля радиостанции, определит негоризонтальность суммарного поля, подобную той, которая отмечается в методе индукции. Чтобы эффект был особенно четким, необходимо лишь изучать поле той радиостанции, направление на которую лучше всего совпадает с простиранием объекта поисков. Аппаратура для таких исследований представляет собой радиоприемник с относительно большим коэффициентом усиления. На входе приемника стоит магнитная антенна, которую можно изготовить весьма компактной, если использовать феррит в качестве сердечника. На выходе можно иметь либо телефон, либо милливольтметр для количественной характеристики изучаемого поля. Одним из измерителей такого вида является прибор, разработанный А. Д. Фроловым, представляющий собой приемник супергетеродинного типа, работающий на транзисторах и потому не требующий источников питания с высоким напряжением. Ферритовая антенна может вращаться на шарнире, поэтому можно измерять как угловые характеристики поля, так и величины, пропорциональные напряженностям различных компонент магнитной составляющей поля.

Интерпретация результатов измерений методом радиокип проводится теми же способами, что и в методе индукции. В качестве генератора сигнала используют широковещательные станции ДВ (150-450 кГц) - СВ (525-1200 кГц) диапазона и специальные (навигационные) СДВ (15-30 кГц) станции. Приемник может быть специальным (ПИНП-2, СДВР-3(4), много зарубежных образцов метода СДВ - VLF), либо доработанным бытовым радиоприемником с миливольтметром. Основной способ - определение импеданса (волнового сопротивления среды), путем измерения напряженности электрического и магнитного поля радиостанции

В качестве магнитной рамки обычно используют ферритовую антенну, расчет чувствительности для нее, при известных параметрах, можно найти в радиотехническом справочнике. Если характеристики антенны неизвестны, то можно строить графики и карты.

Предоставляемые материалы (графики и карты) в РадиоКИП носят качественный характер, поэтому точного расчета параметров установки не требуется. Ошибки метода обусловлены изменчивостью поля, нестабильностью аппаратуры, влиянием рельефа и методическими просчетами (ориентация антенн, не идентичность наблюдений и т.п.). Для уменьшения погрешностей необходимо проводить учет вариации поля станции и контрольные измерения. Глубинность исследований методом РадиоКИП зависит от частоты радиосигнала: чем она больше, тем меньше проникающая глубина электромагнитного поля. Ориентировочную глубину определяют по величине скин-слоя, в котором амплитуда волн данной частоты ослабляется в 2,7 раза.

Проводя съемку на двух и более частотах можно судить об изменении электросопротивления с глубиной, вплоть до построения качественных геоэлектрических разрезов.

Методика работ определяется используемой аппаратурой. Кроме амплитудных измерений, возможны определения компонент наклона магнитного эллипса поляризации, вещественных и мнимых составляющих электромагнитного поля, амплитудно-фазовые измерения. При амплитудных измерениях желательно исследовать все три компоненты магнитного поля: Hj , Hr, Hz , электрическую составляющую Er , и по возможности Ez (вертикальная телескопическая антенна). Тогда по Hj , Er можно судить об эффективном сопротивлении; по Hr (минимальный сигнал магнитной антенны в горизонтальной плоскости) - контролировать помехи; Hz служит показателем неоднородности разреза, т.к. над горизонтально-слоистой средой эта составляющая отсутствует; по Ez - следить за мощностью и дрейфом сигнала станции. Профиля работ необходимо намечать в направлении на радиостанцию, это необходимо для удобства ориентации электрической антенны (Er), в виде незаземленного провода. При отклонении от пеленга не более 30 градусов, провод (антенна) просто тянется вдоль профиля, не требуя дополнительной ориентации. Длина изолированной линии обычно равняется шагу съемки (от 5 до 20м); точка наблюдения относится к концу стелющейся линии, противоположной подключаемой к измерителю.

РадиоКИП является самым экспрессным методом электроразведки, аппаратура легко носимая, работа ведется одним оператором; при этом метод решает практически все задачи профилирования. Им прекрасно выделяются обводненные зоны, выходы коренных пород к поверхности, вечная мерзлота и валунистость. Методу не требуется хорошее заземление, поэтому он может использоваться в любой сезон и на любой местности. К недостаткам относятся: нестабильность приема радиостанций (особенно в удаленных местностях), зависимость разбивки профилей от направления на станцию, влияние рельефа профиля и окружающей местности (в горных районах).

Аэроэлектроразведка методом радиокип

Аэровариант метода радиокип в диапазоне сверхдлинных волн (СДВР-А) является одним из методов аэроэлектроразведки. Съемки проводятся в рудных районах с целью поиска контрастных по удельному сопротивлению залежей полезных ископаемых и решения задач геологического картирования. По своей физической сущности СДВР-А аналогичен наземному варианту. В качестве источника используются поля широковещательных и специальных радиостанций, работающие в сверхдлинноволновом диапазоне частот (10-30 кГц). На больших расстояниях от излучающих радиостанций, т.е. в волновой зоне, поле этих станций довольно однородное. При распространении радиоволн вдоль поверхности Земли электромагнитное поле проникает в верхние части разреза. В проводящих его частях возникают индукционные токи, вызывающие вторичное магнитное поле. Наибольший аномальный эффект возникает в том случае, если простирание объектов высокой электропроводности совпадает с направлением распространения первичного поля радиостанций.

Метод СДВР-А обладает меньшей глубинностью исследований по сравнению с наземным вариантом в связи с тем ,что измерения проводятся на некоторой высоте относительно поверхности Земли (рабочая высота съемки - 100 м) , аномальные поля затухают с высотой. Согласно опыта работ, с помощью СДВР-А могут быть обнаружены электропроводные объекты, залегающие на глубине до 20-30 метров и перекрытые отложениями с достаточно высоким удельным сопротивлением (сотни-тысячи Ом·м). При проведении съемок СДВР-А и интерпретации их результатов необходимо учитывать также следующие факторы: возможность искажения аномальной картины поля вследствие вариаций поля радиостанций во времени (особенно в северных районах, а также в периоды ионосферных возмущений и магнитных бурь); влияние на результаты измерения проводников негеологического происхождения; влияние на результаты измерения элементов рельефа местности и геоэлектрических неоднородностей верхней части разреза и, как следствие, высокий уровень помех; влияние модуляции сигнала радиостанций. Сравнительно невысокая глубинность съемки, а также довольно высокий уровень помех геологического и негеологического происхождения обуславливают относительно низкую эффективность съемки СДВР-А, вследствие чего самостоятельно она примеряется крайне редко, обычно - в комплексе с другими геофизическими аэрометодами. Так, электроразведочный канал СДВР-А входит в состав отечественных аэрогеофизических станций СКАТ-77 и СТК, предназначенных для работ методами аэромагниторазведки и аэрогаммааспектрометрии.

Метод радиокип в шахтах

Метод радиокомпарации и пеленгации (радиокип-РК) в сверхдлинноволновой модификации (РК-СДВ) довольно широко используется в шахтном варианте (РК-Ш) с целью выявления и оценки пространственного положения аномалиеобразующих тел в межвыработочном пространстве. Сверхдлинноволновой диапазон частот составляет 10-30 кГц.

Аномальные, или вторичные поля возникают за счет индуктивного и кондуктивного, т.е. электрического, возбуждения неоднородности. Последнее проявляется в том, что неоднородность концентрирует или, наоборот, разрежает токовые линии поля Er . При этом в верхних частях проводящих неоднородностей возникает избыточная плотность тока, а на боковых поверхностях контакта для случая непроводящих неоднородностей вследствие разрыва поля Er-электрические заряды. Величины суммарного тока в первом случае и суммарного заряда во втором случае определяются главным образом электрической контрастностью неоднородности (относительно среды) и ее геометрическими параметрами.

При реализации подземного варианта РК-СДВ наряду с вертикальной составляющей Hz измеряют Н - полное значение горизонтальной проекции вектора поля, а не её компоненты Н y и Н x как это принято в наземном варианте РК-СДВ. Такой выбор измеряемых компонент обосновывается тем, что горные выработки обычно сильно искривлены, а рудные тела могут располагаться вокруг точки наблюдения как в горизонтальной, так и в вертикальной плоскости.

Методика работы

Методика полевых работ заключается в измерении вертикальной и горизонтальной компонент поля по сети профилей. Оптимальной считается ориентировка приемного диполя, совпадающая с преимущественным направлением простирания пород. Интерпретация результатов наблюдений качественная, изредка проводится полуколичественная интерпретация для оценки мощности и глубины залегания объекта. Целесообразно применять статистические приемы обработки данных, что позволяет избавиться от помех и в дальнейшем проводить корреляцию аномалий по площади. Методы радиокомпарации, использующие различные частоты, обладают и разной глубинностью (от первых метров до десятков метров). Высокая производительность (СДВР используется и в аэроварианте), экономичность метода и портативность аппаратуры позволяют проводить работу в труднодоступных районах. По отношению горизонтальных составляющих электрического и магнитного полей определяют эффективное удельное сопротивление пород. Сверхдлинноволновый (СДВ) вариант метода является более глубинным, чем длинноволновый. Метод реализуется следующим образом, в начале полевых исследований проводят выбор частоты, определяемый стабильностью работы радиостанции, достаточно высокой по отношению к помехам напряженностью поля, благоприятным пеленгом, который не должен превышать с их простиранием угол, больший 70°. В методе радиокип используют поля радиостанций мощностью десятки и сотни киловатт. Для измерений аномалий магнитного поля используются магнитные антенны, окруженные электростатическим экраном, а электрического поля - заземляемые на концах или изолированные от среды открытые линии или электрические антенны типа диполь. Метод применяется при исследованиях на поверхности Земли, при аэросъемках, а также при изучении скважин и горных выработок.

Метод радиокомпарации с 1995 года применяется в аэроварианте для картирования в России. Для борьбы с временными вариациями используется мнения данных двух или более измерительных приемников.

Аппаратура

геофизический рудный разведка картирование

Для радиокомпарационного (радиоэлектромагнитного) профилирования путем изучения сверхдлинноволновых полей радиостанций используют радиоприемник типа СДВР-3. Он представляет собой транзисторный радиоприемник-компаратор. От обычных радиоприемников СДВР-3 отличает наличие вращающейся ферритовой антенны, устройства для оценки цены деления шкалы прибора (компаратора) и стрелочного индикатора.

Рисунок 2 Получено аппаратуры «РадиоКИП-2» на плотине Городского пруда в Екатерибурге

Технические характеристики СДВР-3:

-измеряемые величины- вертикальная и горизонтальные составляющие вектора напряженности магнитного поля, пеленг на источник поля, угол наклона вектора магнитного поля к горизонту, горизонтальная составляющая вектора напряженности электрического поля;

источник поля- навигационные и связные радиостанции диапазона сверхдлинных волн;

расстояние от источника поля- более 10 тыс.км;

диапазоны частот (настойка плавная) - 10-20 кГц, 19-30 кГц;

чувствительность по магнитному полю- 4.5* А/м;

пределы измерения напряжений- 0-3; 0-10; 0-30; 0-100; 0-300;

-1000 мкВ;

относительная погрешность- 3%;

-масса-11 кг.

К радиоволновому профилированию (РВП) относят радиокомпарационную съемку на сверхдлинных волнах (СДВР) или радиоэлектромагнитное профилирование (РЭМП). При радиокомпарационной съемке на каждой точке измеряют вертикальную Hz и максимальную горизонтальную Нp составляющие радиополя. Профили разбивают вкрест предполагаемого простирания слоев. Расстояние между точками измерений изменяется от 20 до 50 м, а при детализации может быть и меньшим. Замеры на каждой точке проводят быстро (около 1 мин), поэтому производительность радиокомпарационного метода велика (100-300 точек в смену). Съемку можно вести и с движущегося транспорта (машины, самолета).

В результате строят графики Hz, Hp вдоль профилей наблюдений. Над однородной по электромагнитным свойствам (ρ, ε, μ) средой Ну остается постоянной, a Hz=0.

Наличие границ раздела слоев с разными электромагнитными свойствами или проводящих ток рудных жил приведет к искажению поля.

Заключение

Метод радиокомпарации и пеленгации (радиокип) основан на изучении полей удаленных радиостанций. Для реализации его используется портативная приемная аппаратура. Методом изучают как магнитное, так и электрическое поле. По аномалиям магнитного поля осуществляют, главным образом, поиск локальных проводящих объектов, электрического поля, в м (ДВ), поскольку с понижением частоты увеличивается глубина электромагнитного поля в землю, поэтому его используют для геологического структурного картирования рудных полей и месторождений, а также для поисков контрастных по электропроводности полезных ископаемых

Список используемой литературы

Абрамов В.Ю., Бровкин В.И., Бродовой В.В. «Основы геофизики и интерпретации геофизических методов» Москва Изд-во РУДН, 2008 г.

Доброхотова И.А., Новиков К.В. «Электроразведка. Учебное пособие» Москва Изд-во РГГРУ, 2009 г

Заборовский А.И. «Электроразведка» Москва Изд-во Государственное научно-техническое издательство нефтяной и горно-топливной литературы, 1968 г.

Стогний В.В. «Электроразведка: принципы измерения и аппаратура» Краснодар Изд-во Кубанский гос. Ун-т, 2009 г.

Стогний В.В., Стогний Вас.В. «Рудная электроразведка: электрические профилирования» Москва Изд-во Вузовская книга 2008 г.

Похожие работы на - Метод радиокомпарации и пеленгации

 

Не нашли материал для своей работы?
Поможем написать уникальную работу
Без плагиата!
Без нейросетей!