Кліматичні фактори

  • Вид работы:
    Курсовая работа (т)
  • Предмет:
    География, экономическая география
  • Язык:
    Украинский
    ,
    Формат файла:
    MS Word
    1,63 Мб
  • Опубликовано:
    2013-01-18
Вы можете узнать стоимость помощи в написании студенческой работы.
Помощь в написании работы, которую точно примут!

Кліматичні фактори

ЗМІСТ

Вступ         2

1. Головні фактори клімату  4

2. Промениста енергія 6

3. Температура   12

4. Освітлюваність        16

5. Відносна вологість і опади        19

6. Екологічна класифікація кліматів       23

7. Поняття про мега-, мезо-, і мікроклімат      26

8. Мезоклімат гірських екосистем 28

Висновок   31

Список використаної літератури   32

Вступ

Актуальність теми. Клімат - багатолітній режим погоди, характерний для якої-небудь місцевості. Він виявляється в закономірній зміні погоди. Як і погода, клімат залежить від кількості сонячної радіації (від широти), від переміщення повітряних мас, і від властивостей підстилаючої поверхні.

Будь-який елемент (температура повітря, тиск, вітер, хмарність, опади і т.д.) характеризує один з кліматотвірних процесів. Величезна різноманітність кліматів земної кулі зумовлена такою самою різноманітністю процесів тепло- і вологообміну, циркуляція атмосфери. Причини, що визначають такі відмінності клімату у різних точках Землі, називають географічними факторами клімату.

Географічним факторами клімату можна назвати той елемент географічної оболонки, який впливає на клімат, але сам не є кліматотвірним процесом чи його складовою частиною. Основних таких факторів є сім: географічна широта, абсолютна висота, рельєф, що оточує дану територію, її віддаленість від морів і океанів, наявність океанічних течій, розміщення на материку (розміри і частини материка), характер підстилаючої поверхні (колір, рослинність, мікроформи рельєфу).

Клімат має величезне значення, оскільки під впливом основних факторів кліматоутворення - тепла, вологи, тривалості світлового дня - формується відповідна рослинність. З рослинами тісно пов’язані тварини. Господарська діяльність людини також обумовлюється кліматичними факторами. В більш сприятливих кліматичних умовах вища щільність населення, концентрація промисловості.

Об’єкт дослідження - характеристика кліматичних факторів.

Предмет дослідження - вплив кліматичних факторів на людину та навколишнє середовище.

Структура і об'єм роботи. Курсова робота включає 34 сторінки друкованого тексту. Складається з вступу, восьми пунктів, висновків і списку використаної літератури, що містить 10 джерел.

1. Головні фактори клімату

Головним із факторів, що обумовлює особливості розвитку клімату, є географічна широта. Від неї залежить кількість сонячної енергії, що потрапляє на земну поверхню. Вологообмін, будучи залежним від двох інших кліматоутворюючих процесів, теж розвивається під впливом географічної широти. Тому клімат в цілому має добре виражені зональні закономірності.

Вплив віддаленості від океанів пов'язаний з тим, що висока теплоємність води і постійне її перемішування забезпечують нагромадження запасів тепла в океанах. Воно поступово надходить в атмосферу і повітряними потоками переносяться на континент. Сформовані над океаном повітряні маси, наситившись вологою, що випаровується з океану, віддають їх континентам, сприяючи цим їхньому зволоженню. Чим дальше від океану вглиб материка, тим збільшується амплітуда температур і зменшується зволоження. [1]

Океанічні течії впливають на клімат тим, що переносять тепло з низьких широт у високі, і навпаки. Морські течії охолоджуються або роблять теплішим клімат території, біля яких проходять, впливають на розподіл атмосферних опадів (теплі течії збільшують, а холодні зменшують). На західних узбережжях материків, які омиваються холодними течіями, опадів часто так мало, що там утворюються пустелі (Атакама, Наміб та ін.).

Вплив абсолютної висоти поверхні на клімат проявляється у тому, що у горах температура з висотою зменшується приблизно на 6° С на кілометр, а на певній висоті (висоті снігової лінії) навіть влітку дорівнює нулю. Вище цієї уявної лінії починається царство снігів і льоду.

Характер підстилаючої поверхні впливає на величину відбитої і поглинутої сонячної енергії. [1,2]

Карти, на яких нанесені показники клімату, називаються кліматичними (карта ізотерм, карта ізогієт, карта ізобар та ін.).

На картах клімату виділяються простори, в межах яких основні показники клімату змінюються порівняно мало, це - кліматичні пояси і області. Ці показники характеризують також і повітряні маси, тому зональні типи повітряних мас можуть бути поставлені в основу виділення кліматичних поясів. Виділяються сім основних кліматичних поясів: екваторіальний, два тропічних, два помірних, два полярних (арктичні і антарктичні).

Між основними знаходяться перехідні кліматичні пояси: два субекваторіальних, два субтропічних і два субполярних. Вони відрізняються зміною повітряних мас: взимку панує повітряна маса основного поясу, сусіднього з боку полюса, влітку - із боку екватора.

Екваторіальний пояс - пояс панування екваторіального повітря. Переважає його висхідний рух. Температура цілий рік висока. Добові її коливання більші від річних. Опадів багато.

Тропічні пояси - пояси формування тропічних повітряних мас. Переважає низхідний рух повітря. Повітря тепле (особливо влітку) і сухе (особливо над материками). Панівні вітри - пасати.

Помірні пояси - пояси панування повітряних мас помірних широт. Переважають західне перенесення, фронтальні процеси, циклони, антициклони. Температура влітку помірно тепла, взимку - негативна. Річні амплітуди її коливань більші від добових. Опади переважно фронтальні, взимку - у твердому вигляді.

Полярні пояси (арктичний і антарктичний) - пояси формування холодних і сухих повітряних мас. Для них характерне опускання повітря в центрі областей високого тиску, переважання від'ємних температур. Опадів мало, сніговий покрив постійний.

У одному і тому ж поясі клімат над океанами і на материках неоднаковий. Відповідно виділяється материковий і морський (океанічний) клімат. Вони розрізняються річними амплітудами температур і кількістю опадів. Ці відмінності різко виявляються в тих поясах, де є суша, там добре виражені сезони року: у тропічному, субтропічному, помірному Північної півкулі. У екваторіальному, субекваторіальному і помірному поясі Південної півкулі ці відмінності слабо виражені. [2]

Клімат Антарктиди повністю материковий; Арктики, за винятком Гренландії і великих островів, океанічний.

На межі материків і океанів, де за сезонами вітри змінюють напрям майже на протилежний (взимку - з суші, влітку - з океану), панує мусонний клімат. Його характеризує тепле, дощове літо і холодна, суха зима. Особливо добре цей клімат виражений на східному узбережжі Євразії.

. Промениста енергія

Сонячна радіація - енергія випромінювання Сонця - є основним джерелом енергії атмосферних процесів; вона вимірюється кількістю тепла і виражається в мегаджоулях на 1 кв.м. Промениста енергія Сонця досягає земної поверхні, проникаючи через шари атмосфери, що частково поглинає, відбиває і розсіює сонячну радіацію.

Пряма радіація - сонячна радіація, що доходить до земної поверхні у виді пучка паралельних променів, що виходять безпосередньо від сонячного диска.

Розсіяна радіація - сонячна радіація, що перетерпіла розсіювання в атмосфері, надходить на земну поверхню з усього небесного зводу. У похмурі дні вона є єдиним джерелом енергії в приземних шарах атмосфери.

Сумарна сонячна радіація - сукупність прямої і розсіяної сонячної радіації, що надходить у природних умовах на земну поверхню. Вона залежить від географічної широти, висоти над рівнем моря, прозорості атмосфери і хмарності.

У гірських районах розподіл сонячної радіації дуже складний, тому що її величина визначається також ще експозицією і крутістю схилів. Розподіл сумарної радіації представлено для рівнин і передгір'їв з абсолютними висотами до 600 м.[3]


На всій території, крім деяких районів Середньої Азії, півдня Східного Сибіру і Далекого Сходу, узимку переважає розсіяна радіація, улітку - пряма сонячна радіація.

Карта розподілу сумарної сонячної радіації в січні місяці на території СНД дає інформацію про кількість енергії, що досягає поверхні грунту в найхолодніший період року.


Карта розподілу сумарної сонячної радіації в липні місяці на території СНД дає інформацію про кількість енергії, що досягає поверхні грунту в найтепліший період року.


Карта розподілу сумарної сонячної радіації в січні місяці на території України.

Червоними лініями з цифрами позначені ізолінії сумарної сонячної радіації в МДж/кв.м.


Карта розподілу сумарної сонячної радіації в липні місяці на території України.

Червоними лініями з цифрами позначені ізолінії сумарної сонячної радіації в МДж/кв.м.

Розрахунок сонячного енергетичного потенціалу України

Площа території України - 603,7 тис.кв.км

Таблиця 1

Період

Сонячна радіація, яка досягає поверхні грунту в Україні


МДж/кв.м

кВт•год/кв.м

Січень

75

21

Липень

600

167

Рік

4 050

1 125


Таблиця 2

*Питома теплота спалювання

МДж/кг

кВт•год/кг

Газ природний

45

12,5

Кам'яне вугілля

27

7,5

Нафта

45

12,5

* Дані наведені згідно зі Справочником по физике и технике. Москва, Просвещение, 1989

Таблиця 3

Період

Сумарна сонячна радіація, яка досягає поверні грунту в Україні

Еквівалентна кількість палива, млн.т


МДж

кВт•год

Газ природний

Кам'яне вугілля

Нафта

Січень

4,53E+10

1,26E+10

1 006

1 677

1 006

Липень

3,62E+11

1,01E+11

8 049

13 416

8 049

Рік

2,44E+12

6,79E+11

54 333

90 555

54 333


Сонячне випромінювання складається з трьох частин, які мають різне енергетичне значення для біологічних процесів: ультрафіолетового випромінювання; випромінювання у видимій частині спектра; інфрачервоного випромінювання.

На хвилю завдовжки 0,1-0,4 мкм припадає 99 % всієї енергії сонячного випромінювання, яке досягає поверхні Землі.

На випромінювання меншої від 0,1-0,4 мкм хвилі і більшої від неї припадає 1 %. Хоч видима область знаходиться у вузькому діапазоні довжини хвиль, проте на неї припадає 40 % енергії сонячного випромінювання, 47 % припадає на інфрачервону область, 7 % - на фіолетову.[3,4]

Випромінювання, яке безпосередньо надходить до організмів, модифікується у приземному шарі. Чим потужніше угруповання рослин і чим складніша його ярусність, тим значнішою є диференціація сонячного спектра. Лише частина (10-12 %) ввібраної рослинами енергії Сонця використовується в процесі фотосинтезу. Решта її йде на транспірацію.

Рослини найсильніше відбивають червоне світло, що запобігає їх перегріванню. Кількість відбитого світла залежить від виду рослин. Досліджено, що листя вбирає 75 % падаючого на нього проміння, а 25 °/о відбиває.

У видимій частині спектра промені довжиною хвилі 0,55 мкм вільно проникають через листя багатьох рослин. Інфрачервоні промені проникають через листя легше, ніж короткохвильові. Хлорофіл найбільш інтенсивно вбирає фіолетові, оранжеві і червоні промені, тобто видиму частину спектра. Хлорофіл бактерій краще вбирає зелені і жовті промені. Рослини, які ростуть у глибоких шарах води, вбирають найкоротшу частину видимого спектра - зелені, блакитні, фіолетові і частково ультрафіолетові промені.

Рослини вибірково вбирають інфрачервону частину сонячного спектра, джерело теплової енергії. Частина спектра сонячного світла, яке бере участь у фотосинтезі, вбирається повністю. У глибоких шарах води основним носієм енергії є блакитні і фіолетові промені,-енергія яких вбирається спеціальними пігментами і передається до хлорофілу.

Кількість акумульованої рослиною енергії не переважає 1 % загальної кількості, що надійшла на її поверхню.

Щоб фотосинтез дорівнював диханню, для більшості рослин наших широт щонайменше потрібно 1-5% прямого світла, а для секвойї вічнозеленої, що характеризується дуже високою фотосинтетичною продуктивністю, ще менше -0,7 %. Фотосинтетична активність рослин збільшується одночасно із зростанням інтенсивності освітлення. Інтенсивність освітлення 100 люксів становить межу, або поріг, за яким фотосинтез переважає над диханням.[4]

Сонячне пряме світло безпосередньо потрапляє на поверхню Землі тільки в ясні та безхмарні дні. Світло, що його дістає рослина, є частково прямим, частково відбитим. Кількість відбитого сонячного світла залежить від товщини шару атмосфери, через який проходять промені, та від забрудненості атмосфери. Товщина атмосферного шару, через який проходять сонячні промені, залежить від "висоти Сонця, від висоти місцевості над рівнем моря, від пори року і доби. Сонячне світло сильніше розсіюється біля полюсів, у долинах, взимку, восени, вранці і перед заходом сонця. У зв'язку з цим змінюється співвідношення прямого і відбитого світла (альбедо). На півночі, де небо часто захмарене і в атмосфері багато водяної пари, переважає розсіяне світло. На нього тут припадає 70 % сонячного світла, а на пряме- 30 %. На півдні спостерігається зворотнє співвідношення. На Україні кількість розсіяного сонячного світла становить 25 % влітку і 75 % - взимку.

Для рослин значно корисніше розсіяне світло, інтенсивність якого коливається від 13 (коли безхмарне небо) до 50 % (коли захмарене) загальної інтенсивності освітлення.

Розсіюються всі види сонячного світла, хоч і в неоднаковій мірі: найбільше розсіюються блакитні і фіолетові промені, тобто короткохвильові, найменше - інфрачервоні, тобто довгохвильові. Тому відбите світло складається переважно з блакитних і фіолетових променів і в меншій мірі - з інфрачервоних.

Енергія сонячного світла втрачається в точці його розсіювання і вбирання атмосферою. Найбільше світла (до 99 %) вбирають хмари, насичені вологою. Інтенсивно вбирає сонячну енергію оксид вуглецю (IV). Кисень вбирає дуже мало, азот зовсім не вбирає. У цілому атмосфера вбирає до 16 % сонячної енергії. При цьому енергія сонячного випромінювання переходить у теплову енергію.

. Температура

Температура - один з важливих абіотичних чинників, що впливають на всі фізіологічні функції всіх живих організмів. Температура на земній поверхні залежить від географічної широти і висоти над рівнем моря, а також пори року.

Для людини в легкому одязі комфортною буде температура повітря + 19 ... 20о С, без одягу - + 28 … 31о С.

Ознайомлення з річними ізотермами планети, які розташовані паралельно екватору, дає уявлення про температурний режим земної кулі. Північна півкуля тепліша південної, а термічний екватор знаходиться майже весь у північній півкулі. Середньорічні ізотерми 30° проходять лише в північній і центральній Африці, у зв'язку з чим цей материк вирізняється жарким кліматом.

У тропічних районах добові коливання температури перевершують річні (тобто різницю між середніми температурами найтеплішого і найхолоднішого місяців), що визначає важливі біологічні наслідки: в широколистяних дощових лісах різноманіття життя досягає максимуму. В позатропічних районах, навпаки, тепловий режим протягом року виражений чітко: в північній півкулі січень найхолодніший місяць, а липень, навпаки, найтепліший; в південній півкулі спостерігаємо протилежне. Врахування цих крайніх температур у біології є дуже важливим.

У південній півкулі, більша частина якої зайнята океаном, ізотерми січня і липня майже прямі. В північній півкулі, навпаки, наявність потужних материкових мас сильно порушує хід ізотерм.[5]

Наприклад, січнева ізотерма 0° практично перетинає Європу в напрямку північ-південь від 46° до 71° північної широти, а вздовж 60-ї паралелі середня температура змінюється від +50°С на півдні Норвегії до -38°С в Сибіру, що становить різницю в 43°.

Рис. 1. Денний (а) та нічний (б) баланс випромінювання.

Річним ізотермам відповідають ті чи інші біоми наземної рослинності (рис.1). Відправною точкою у їх розмежуванні і розпізнанні є життєві форми - біоморфи рослинності (трави, чагарники, листопадні і хвойні дерева тощо).

Серед кліматичних показників температура є найважливішим екологічним фактором. Вона зумовлює всі життєво важливі процеси організмів - асиміляцію і дисиміляцію, дихання і транспірацію, ріст і розвиток. В основі цього впливу лежать біохімічні процеси. Швидкість їx в основному відповідає правилу Вант-Гоффа, за яким з підвищенням температури на 10 °С швидкість реакції пришвидшується вдвічі або втричі.

Надлишок або нестача тепла гальмують розвиток живих організмів і спричиняють їх загибель. Поширення видів залежить від температурних умов, в основному від мінімальних і максимальних температур. Наприклад, в умовах нашого континентального клімату обмежуючим фактором поширення бука і ялиці є низькі (35 °С) зимові температури. Поширення граба на східній його межі ареалу обмежується зимовими мінімумами температур (-37-40°С). На середземноморському узбережжі північна межа поширення оливкового дерева обмежується ізотермою 12 °С. Північна межа поширення лісу у північній півкулі збігається з ізотермою липня +10 °С.

Існує також залежність між поширенням деревних порід і кількістю днів протягом року, що мають певні середні і максимальні температури. Наприклад, клен звичайний поширений там, де близько 160 днів триває температура понад 5 °С, для липи потрібно 150 таких днів. Для ялини найменше 65 днів з температурою понад 12,5 °С.

Поширення видів рослин і тварин залежить від певних типів температур. Найчастіше розрізняють три категорії температур: мінімальну, при якій може розвиватися життя, оптимальну, або найсприятливішу для розвитку видів, і максимальну, при якій життя не може існувати.[6]

Кожний з видів рослин і тварин має свої оптимальні, мінімальні і максимальні значення температур, від яких і залежить поширеність видів. Для рослин можна прийняти такі значення порогових температур: мінімальна -0,5 °С, оптимальна ЗО °С. При інтенсивній інсоляції (припливі сонячної радіації) асиміляційні органи рослин нагріваються до температури, що на 10° (а в окремих випадках на 15-20 °С) вища за температуру навколишнього середовища, за стійкістю проти високих температур всі види поділяють на дві групи - стійкі і нестійкі. До першої групи належать рослини, що ростуть на відкритій місцевості. Вони здатні переносити короткочасне нагрівання (протягом не більш, як 30 хв.) до 50-60 °С. Окремі стійкі види з нижчих рослин переносять надзвичайно високі температури: бактерії -до 90 °С, синьо-зелені водорості -70 °С.

До нестійких належать всі види, які не поширюються вже при температурі 20-30 °С.В основному це широколисті та деякі водяні рослини.

Для екологічної характеристики видів користуються різними температурними показниками. До найважливіших з них належать такі: діапазон температур, в межах якого може існувати вид; оптимальний для асиміляційних, ростових та інших процесів діапазон температур; сума ефективних температур.

Переважна більшість рослин наших лісів витримує, зимові морози до -ЗО °С. Якщо такі морози супроводжуються сильними і тривалими вітрами, то дерева можуть загинути від зневоднення тканин (ялиця, бук, дуб, граб).

Максимальні температури, характерні для наших широт, не мають важливого значення для розвитку рослин, клітини яких починають відмирати звичайно при температурі + 40 °С. Верхня температурна межа для більшості рослин не переважає +45 °С. На Україні температура рідко піднімається за ЗО °С. Добре висушене насіння витримує +70 °С і навіть+100 °С.

Адаптація організмів до температурних умов залежить від того, яким термобіологічним типом є даний організм.

Види, що мають сталу температуру тіла (гомойотерми), адаптуються, віддаючи тепло відповідно до температури зовнішнього середовища. Переважна частина тварин належить до видів, температура тіла яких мало відрізняється від температури навколишнього середовища. Це - пойкілотерми. Кожний вид характеризується певним діапазоном температур, у межах якого зберігається його активність. Цей діапазон називають областю термічної толерантності організму. У його межах відбувається ряд характерних біологічних реакцій організмів. Проте тільки в діапазоні оптимальних температур всі життєві процеси здійснюються найбільш економно і з найбільшою ефективністю.[7]

Стійкість рослин проти низьких температур залежить від вмісту води в них, від здатності нагромаджувати в клітинах цукор і жири. Дерева, що нагромаджують жири (хвойні, береза), можуть жити в дуже холодному кліматі. Велике значення для морозостійкості тварин має характер термоізоляційного покриву тіла. Наприклад, качка без шкоди може витримувати температуру-100 °С протягом 1 год, людина - тільки - 1 °С протягом 1 год, горобець -30 °С, курка -50 °С, песець - також - 50 °С.

Стійкість організмів проти високих температур пов'язана з властивостями їхнього білка.

Відомо, що денатурація білка в пойкілотермів відбувається при температурі 40-50 °С. Деякі морські організми гинуть при температурі +30 °С. Рекордну стійкість ( + 93 °С) проти високих температур зафіксовано серед організмів, поширених у природних водоймах з гарячою водою.

. Освітлюваність

Екологічне значення освітлюваності характеризується трьома аспектами - тривалістю, інтенсивністю і характером (тобто довжиною хвилі світлового потоку). Інтенсивність і характер освітлюваності піддані сильній мінливості під впливом місцевих факторів і відбиваються в основному на мезо- і мікрокліматі.

Рис. 2. Класифікація типів рослинності за методом Р. Уіттекера, накладена па співвідношення середньої річної температури і суми опадів

Зупинимося лише на тривалості дії світла. Відомо, що вісь Землі нахилена до площини екліптики під кутом 66° 33'. Цей нахил зумовлює неоднаковість тривалості дня та ночі. Якщо взяти для прикладу 40° північної широти, яка знаходиться недалеко від Львова, то тривалість дня тут розподіляється таким чином: січень - 9,5 год, лютий - 10,5, березень - 11,9, квітень - 13,2, травень - 14,3 год, червень - 18,8 год, а ночі відповідно - 14,7 год, 13,7, 12,4, 11,1, 9,9, 8,8 год. У період рівнодення 21 березня і 23 вересня день і ніч на всій Землі мають однакову тривалість.

Важливу роль тут відіграє падіння сонячного проміння, поглинання якого атмосферою тим більше, чим менший кут.

Сонячне світло належить до категорії космічних факторів, які впливають на ріст і розвиток живих організмів. Світло впливає на розвиток, морфологію, анатомічну будову, фізіологічні та біохімічні процеси організмів. Зміна освітлення зумовлює перебудову екологічного середовища. Проте як екологічний фактор світло набагато поступається перед температурою і вологою. Існує чимало видів, які розвиваються у повній темряві. Це гриби, бактерії.

Сонячне світло викликає світлові, теплові, хімічні та електромагнітні явища. Динаміка розвитку листків лісових дерев спричиняє зміну режиму освітленості в лісі і як наслідок цього - сезонні зміни рослинності, які є характерними для даної пори року. Такі рослини-світлолюби, як анемона дібровна, ряст рутковий, медунка лікарська, печіночниця звичайна, відцвітають раніше, ніж ліс покривається листям. Тіньовитривалі рослини, як наприклад маренка запашна, переліска багаторічна, ростуть у лісі протягом усього вегетаційного періоду. Ще більшого затінення потребує цирцея звичайна.

Належність рослин до світлолюбів чи тіньовитривалих визначається за так званим пороговим значенням інтенсивності освітлення, при якому фотосинтез гальмується або припиняється зовсім. Вважають, що основою фізіологічного механізму цього явища є процес синтезу білків, який у тіньовитривалих рослин гальмується при інтенсивному освітленні, оскільки при фотоокисленні багато ферментів руйнується.

У холодних зонах, де мало тепла, рослини потребують більше світла. У теплих зонах, де його забагато, рослини краще переносять затінення. Тому в північних районах земної кулі поширені рослини, які в середній Європі ростуть у затінених місцях. З цієї ж причини в умовах високих гір на відкритих місцях розповсюджені рослини, які на рівнинах зустрічаються тільки в затінку.[6,7]

Але найбільше екологічне значення має тривалість дня і ночі протягом року, яка змінюється відповідно до зміни географічної широти. Тривалість дня називають фотоперіодом, а реакцію розвитку рослин на неї- фотоперіодизмом. Фотоперіодизм впливає на процес туберизації (утворення бульб), опадання листя. Найважливішою фотоперіодичною реакцією є цвітіння рослин. За цією ознакою всі рослини поділяють на такі групи: рослини довгого дня (фотоперіод у них триває понад 12 год, на продовження фотоперіоду реагують пришвидшеним цвітінням), рослини короткого дня (фотоперіод триває менш 12 год, на скорочення фотоперіоду реагують аналогічно), рослини середнього дня (розцвітають лише тоді, коли фотоперіод триває 12- 14 год), нейтральні (цвітуть незалежно від тривалості фотоперіоду).

Природне розповсюдження рослин довгого дня і рослин короткого дня значною мірою залежить від добового фотоперіодизму. Явище фотоперіодизму має велике значення для інтродукції рослин. Перенесення рослин тривалого дня на північ не пов'язане з принциповими труднощами, оскільки довгий літній день пришвидшує розвиток цих рослин. Завдяки тривалому освітленню (кілька місяців) злаки на півночі дозрівають швидше, ніж у середній смузі. Значно складніше поширювати на півночі рослини короткого дня; оскільки їхній розвиток гальмується не тільки коротким літом, а й довгим днем. Явище фотоперіодизму має менше значення для. деревних порід (берези, ясена, модрини, ялини, сосни, в'яза, ялиці), хоч і серед них поширені фотоперіодичні екотипи.

З фотоперіодизмом у тварин пов'язані такі явища, як розмноження багатьох видів ссавців і птахів, розвиток зимового хутряного покриву, переліт багатьох птахів тощо. Механізм дії фотоперіодизму у тварин вивчено недостатньо. Вважається, що в тварин є спектральний світлосприй-мальний орган, який регулює утворення гормонів.

. Відносна вологість і опади

Вологість повітря - вміст водяної пари в повітрі, характеризується пружністю водяної пари, відносною вологістю, дефіцитом вологи, точкою роси, - є одним з найважливіших параметрів атмосфери, що визначає погоду, а також те, наскільки комфортно почуває себе людина в даний момент часу.

Відносна вологість повітря у процентах визначається як відношення фактичної пружності водяної пари, яка міститься в повітрі, до пружності насиченої пари при тій же температурі. Наприклад, у січні в Україні вона коливається в межах 80-85%.

Є два способи кількісної оцінки вологості:

Абсолютна вологість - маса водяної пари, що утримується в одиницях об'єму повітря.

Відносна вологість - відношення абсолютної вологості до її максимального значення при даній температури. При 100% відносній вологості в повітрі може відбутися конденсація водяних пар з утворенням туману, випаданням води. Температура, при якій це трапляється, називається точкою роси.

Оптимальна для людини вологість 40-60%

Вода в атмосфері міститься у вигляді молекул (пари), крапельок і кристалів, вологість повітря характеризується вмістом водяної пари в г/м3 (абсолютна вологість - "а" 4м3) або пружністю-"з" мм р.с., мб, г п ). Кількість водяної пари, що може утримуватися в повітрі при даній температурі, - максимальне вологовмісткість (або максимальна пружність) водяної пари (Е). Процентне відношення кількості водяної пари, що міститься в повітрі, до тієї кількості, яка може міститися при даній температурі, - відносна вологість (%). Вона показує ступінь насичення повітря водяною парою. Різниця між максимальною (Е) і фактичної пружністю водяної пари - дефіцит 4 (Д).

Температура, за якої знаходиться в повітрі водяна пара наситить його і почнеться конденсація - точка роси (Т0). Чим вище температура повітря, тим більше водяної пари він може містити, тим вище точка роси. Водяна пара поступає в атмосферу в результаті процесу випаровування з поверхні. Випаровування залежить від температури випаровуючий поверхні і від відносної вологості повітря. Насичений повітря не може вмістити більше пара, якщо температура його не підвищиться. При підвищенні температури, він віддаляється від насичення, при зниженні, навпаки, у ньому може початися конденсація. Так відбувається, наприклад, літньої ночі при ясній погоді, стикаючись з холодною поверхнею, залишає на ній крапельки роси. При негативній температурі випадає іній. У повітрі, охолоджується від поверхні або від прийшов холодного повітря, утворюється туман. Він складається з дрібних крапельок або кристалів, зважених у повітрі. У сильно забрудненому повітрі утворюється густий туман з домішкою диму - зміг. [7]

Хмари утворюються при конденсації водяної пари в повітрі піднімається внаслідок його охолодження. Висота їх утворення залежить від температури відносної вологості повітря. При досягненні ним висоти, на якій насичення стане повним (100%) починається конденсація і облакообразованіе. Якщо висхідний повітря зустріне теплий шар (інверсія), підйом припиняється, повітря не досягає межі конденсації і хмари не утворюються.

Хмари знаходяться в постійному русі, опускаючись нижче межі конденсації, вони випаровуються ("тануть"). Хмари можуть складатися з дрібних крапельок або кристалів, найчастіше вони змішані. За формою (по виду) розрізняють хмари перисті, шаруваті і купчасті. Перисті хмари-хмари верхнього ярусу (вище 6000 м), напівпрозорі, крижані. Опади з них неї випадають. Шаруваті хмари середнього (від 2000 до 6000 м) і нижнього (нижче 2000 м) ярусів. В основному вони і дають опади, зазвичай тривалі, буря. Купчасті хмари можуть утворитися в нижньому ярусі і досягати дуже великої висоти. Часто вони мають вигляд башт і складаються внизу з крапельок, угорі-з кристалів. З ними пов'язані зливи, град, грози. Крім трьох основних форм хмар, виникає багато комбінованих. Наприклад, перисто-шаруваті, шарувато-купчасті, перисто-купчасті і.т.д. Форма хмар пояснюється їхнім походженням. Хмарний покрив зазвичай складається з різних хмар. Ступінь покриття неба хмарами - хмарність вимірюється в балах. Повна хмарність - 10 балів. У середньому на Землі половина неба закрита хмарами. Найбільша хмарність там, де повітря піднімається, то є в хмарах зниженого тиску. Найменша хмарність відповідно в областях підвищеного тиску. Над океаном вона більше, ніж над сушею, тому що там більше вологи в повітрі. Абсолютний максимум хмарності - над Північною Атлантикою (9 балів), абсолютний мінімум - над Антарктидою і над тропічними пустелями (0,2 бали). Хмарний покрив затримує сонячну радіацію, що йде до земної поверхні, відбиває і розсіює її. Одночасно хмари затримую теплові випромінювання земної поверхні в атмосфері. Тому вплив хмарності на клімат велике. Від вологості залежить інтенсивність випаровування вологи з поверхні шкіри людини. А випаровування вологи має велике значення для підтримки температури тіла постійною. У космічних кораблях підтримується найбільш сприятлива для людини відносна вологість повітря (40-60%). Велике значення має знання вологості в метеорології для передбачення погоди. Хоча кількість водяної пари в атмосфері порівняно невелика (близько 1%), роль його в атмосферні явища значна. Конденсація водяної пари приводить до утворення хмар і подальшого випадання опадів. При цьому виділяється велика кількість теплоти, і навпаки, випаровування води супроводжується поглинанням теплоти. У ткацькому, кондитерському та інших виробництвах для нормального перебігу процесу необхідна певна вологість. Зберігання творів мистецтво та книги вимагають підтримки вологості повітря на необхідному рівні.

Зростання температури відбувається одночасно зі спадом відносної вологості. В полудень літнього сонячного дня спостерігається найнижчий показник відносної вологості. Вологість вимірюють психометром Асмана або ж волосяним гігрометром, який відрізняється меншою надійністю.

Найбільша кількість опадів випадає в тропіках. Індонезія, басейн Амазонки і частина Африки одержують понад 2 тис. мм опадів на рік. Однак у тропічній зоні трапляються і дуже посушливі райони, зокрема, пустеля Сахара і північна частина Чилі. В окремих регіонах Африки, розташованих у прибережній пустелі, за 10 років випадало всього 1,8 мм опадів. Поза тропіками опадів менше, за винятком гірських масивів - Альп, Карпат, Піренеїв, Скандинавських гір, Гімалаїв, Анд. В Азії - між Каспійським морем і східним Китаєм, а також на крайній півночі Америки й Азії опадів випадає менше 250 мм.

Неважко виявити, що зони з невеликою кількістю опадів характерні для посушливих районів, де відносна вологість становить менше 50%. Райони пустель, аридні (посушливі), напіваридні і дуже посушливі, також збігаються зі слабо зволоженими областями. Вони розташовані або по сусідству з холодними морськими течіями, якщо ці райони прибережні, або в центрі крупних материків (пустеля Сахара в Центральній Азії).[8]

. Екологічна класифікація кліматів

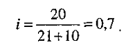
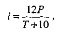
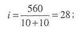
Екологічна класифікація кліматів базується головним чином на використанні двох найважливіших і найкраще вивчених факторів - температури та кількості опадів. Щоб краще зрозуміти характер розміщення на планеті рослинності, звернімось до такого показника, як індекс аридності (посушливості). Цей показник, за Мартонном, дорівнює


де Р - річна кількість опадів, мм; Т - середньорічна температура, °С.

Таблиця 4


Для визначення індексу аридності (табл. 4.) лише для одного місяця користуються формулою


де Р - кількість опадів за даний місяць, Т - середня температура місяця. Цей індекс тим нижчий, чим сухіший клімат. Наприклад, середньорічна кількість опадів в Парижі становить 560 мм, температура 10°С, індекс аридності

для Орана (Алжир):

для Орана (Алжир):

Часто показовішим для еколога є не річний, а місячний індекс аридності, наприклад липня, коли в розпалі сезон вегетації рослин.

Рис. 3 Кліматограми деяких метеостанцій

Французький кліматолог Емберже запропонував класифікацію кліматів на основі режиму кліматичних факторів - кількості опадів, температури, вологості, освітленості, що, напевно, правильно з екологічної точки зору, якщо враховувати значення мінливості екологічних факторів, на що звертає увагу Мончадський.[1,2]

Емберже виділяє такі типи кліматів:

пустельний - дощі випадкові і бувають не щороку. Це клімат екваторіальних і позатропічних районів;

позапустельний - опади підпорядковуються правильному річному режиму;

тропічні клімати - одні ізотермні із вираженим сухим сезоном або без нього - це клімати екваторіальні та субекваторіальні; інші - з проявами термічних сезонів - тропічні клімати;

позатропічні - у деяких виражений добовий і сезонний фотоперіодизм (таким є океанічні клімати без посушливого сезону, континентальні з посушливою зимою, середземноморські клімати з посушливим літом). Інші клімати відрізняються лише сезонним фотоперіодизмом, сюди належать клімати субполярні та полярні.

Кожний тип клімату характеризується вологістю, висотою місця і середньою температурою найхолоднішого місяця.

Побудова кліматограм є класичним способом представлення клімату даної місцевості (рис.3.6). Порівнюючи кліматограми різних місць, можна швидко виявити їх кліматичні розбіжності і подібність.

Вивчивши кліматограму, можна пояснити можливість поширення і адаптації нового виду, наприклад, шкідника плодів, яким є середземноморська плодова муха. Ця комаха інтенсивно розмножується лише при відповідній температурі і вологості повітря.

. Поняття про мега-, мезо-, і мікроклімат

Мегаклімат (від грецьк. мега - великий) - клімат великих територій: суші, океану, частини півкулі (континентальний, морський, ариднийтощо). Основні особливості мегаклімату визначаються надходженням с знячної радіації, процесами циркуляції повітряних мас, характером підстилаючої поверхні.

Мега-, або макроклімат (регіональний клімат, за Мартонномі і великий клімат - за Гейгером), є наслідком географічного й орографічного місцерозташування. Можна говорити про мега- чи макроклімат Західного Лісостепу або Прикарпаття, Полісся чи Карпат. Але цей мегаклімат знаходиться під впливом деяких власних компонентів, які визначають мезоклімат (місцевий клімат Мартонна і малий клімат Гейгера). Клімат лісу, долини, схилу чи вершини гори - це мезоклімат (рис.4).

Мікроклімат (за Уваровим - екоклімат) - це клімат на рівні організмів. Його вивчення на противагу мега- і мезоклімату має виявити значення середовища для організму чи угруповання організмів. Ці властивості можуть бути виявлені лише за допомогою спеціальної апаратури.

Рис. 4. Мезоклімати різних місцезростань

Рис. 5. Схема зміни температури повітря в масштабах мегаклімату (1), мезоклімату (2) та макроклімату (3) на прикладі середньої максимальної температури повітря в червні

Залежно від величини досліджуваного біоценозу розглянуті кліматичні фактори можуть бути віднесені до мега-, мезо- і мікроклімату (рис.5).


Розрізняють дві основні категорії гірського клімату: ксеротермальний і гідротермальний. У першому випадку в окремих районах в горах спостерігається сухий період, протягом якого середньомісячна кількість опадів (у міліметрах) нижча подвійного ходу температур. У другому випадку сухий період не виражений. Першу категорію спостерігаємо, наприклад, поблизу тропіків або в Північній Африці (Атлаські гори в межах Марокко), другу - в помірному поясі Європи (Карпати).

Рис. 6. Схема взаємозв'язків між різноманітними кліматичними факторами в горах

Атмосферний тиск зумовлює всі інші фактори (рис.3.9), що змінюються з висотою над рівнем моря (висота, м) - 0, атмосферний тиск (в мм рт. ст.) - 760, відсоток кисню порівняно з рівнем моря - 100, для 1000 м відповідно: 674 і 89; для 2000 м: 595 і 89. В зв'язку з тим, що в основному хімічний склад повітря (4/5 азоту і 1/5 кисню) практично постійні, з висотою спостерігається значне падіння парціального тиску кисню. Це особливо відчувають люди і теплокровні тварини, які тому і не можуть підніматися порівняно з комахами і рослинами на значну висоту.[9]

Розрідження повітря на великій висоті впливає на інші кліматичні фактори й особливо на сонячну радіацію, температуру і відносну вологість. Як відомо, сонячна радіація з висотою дещо підвищується. Одночасно сильно зростає частка ультрафіолетового та інфрачервоного проміння. Крім того, на висоті спостерігається триваліша інсоляція, що пояснює підвищену температуру ґрунту альпійських лук: на висоті 1800 м вона на 2-3°С вища, ніж температура повітря.

Температура повітря на кожні 100 м висоти над рівнем моря знижується на 0,5°С. Підйом у гори на 1000 м в зміні температури рівноцінний переміщенню на 1000 км на північ. Якщо взяти до уваги, що сніг на висоті 2500 м (Альпи) тане лише в кінці червня і навіть в липні, то зрозуміло, що період вегетації й активності тварин тут скорочується до трьох місяців.

У високих горах, починаючи з певної висоти, не існує такої чіткої сезонної зміни, як на рівнині. Зауважимо, що річна амплітуда, тобто різниця між найвищими і найнижчими середніми значеннями найтеплішого і найхолоднішого місяців, з висотою зменшується: на висотах 460 м - 19,4'С, 880 - 17,1, 1800 - 14,5, 2500 - 13,8, на 7700 м - усього 2°С.

У горах дуже велика різниця між температурами дня і ночі. За ніч відбувається сильне охолодження. Ці температурні скачки, які періодично в липні призводять до заморозків, відіграють важливу роль в житті організмів. Своєрідний морфологічний габітус високогірних рослин (сосна гірська сланка) вчені пояснюють впливом нічних заморозків.

Високо в горах спостерігаються часті зміни вологості і сухості повітря, причому сухість буває майже абсолютною. Цим можна пояснити ксерофільні адаптації гірських рослин і той факт, що багато комах ховаються під камінням, де не так сухо. На висоті 2000 м вологість повітря в 2 рази менша, ніж на рівнині, а на висоті 4000 м вона становить лише 1/4 частину від неї.

Значну роль у горах відіграє експозиція. Наприклад, різниця в рослинності добре освітленого південного і слабше північного схилів доводить це твердження. В Карпатах південні мегасхили вкривають букові ліси, а північні - ялицеві. Наприклад, межа вічних снігів в Альпах на південних схилах вища, ніж на північних.

Сніг у горах є важливим екологічним фактором. Сніговий покрив охороняє ґрунт від промерзання: під метровим шаром снігу температура -0,6°С, а на поверхні -33,7°С (Швейцарія). Різниця між нижньою межею вічних снігів і верхньою межею деревної рослинності становить приблизно 800 м. Межа вічних снігів залежить від широтності. В Альпах і Піренеях вона проходить приблизно на висоті 2500 м, а в горах тропічної зони піднімається до 5000 м.[10]

Вітер є суттєвим кліматичним фактором, який часто досягає великої сили. Особливо це характерно для гірсько-долинних вітрів, які утворюються внаслідок стікання в гірські долини холодних мас повітря.

Висновок

кліматичний радіація екватор ізотерма

Для існування живих організмів найбільше значення мають такі кліматичні фактори, як температура, вологість, світло.

Температура на земній поверхні залежить від географічної широти місцевості та її висоти над рівнем моря. Крім того, вона змінюється з порами року. В зв'язку з цим у тварин і рослин виробились різні пристосування до температурних умов. У більшості організмів процеси життєдіяльності відбуваються в інтервалі температур від 4 °С до +40-45 °С. Цим пояснюють бідність форм життя в арктичних районах і тундрі.

Без води життя неможливе. Більшість рослин і тварин вологолюбні. У мешканців посушливих місць виробилась низка пристосувань для існування в умовах водного дефіциту. Рослини степів і пустель (ксерофіти) можуть мати видозмінені листки (колючки у кактуса) або бути безлистими (саксаул). Деякі мають дуже глибокі корені (наприклад, верблюжа колючка - до 16 м). У ковили листки складаються в трубочки, продихами всередину, що сприяє зменшенню випаровування. Випаровуванню запобігають і такі пристосування, як щільна кутикула, восковий наліт, вирости шкірки - волоски на поверхні листків.

Світло - один з найважливіших факторів, з яким пов'язане все життя на Землі. В спектрі сонячного світла виділяють три біологічно нерівнозначні зони: ультрафіолетову, видиму та інфрачервону.

Ультрафіолетове випромінювання згубне для всього живого. Життя на поверхні Землі можливе завдяки озоновому екрану, який не пропускає основну масу цього випромінювання. Невеликі їх кількості, що досягають поверхні Землі, необхідні для життя, з ними, зокрема, пов'язаний синтез кальциферолів (віт. D) в організмі людини й тварин.

Список використаної літератури

1.      Матвеев Л.Т. Курс общей метеорологии. Физика атмосферы. - Л.: Гидрометеоиздат, 1984. - 751 с.

.        Хргиан А.Х. Физика атмосферы. Т. 1, 2. - Л.: Гидрометеоиздат, 1978. - 247 с., 319 с.

.        Хромов С.П. Метеорология и климатология для географических факультетов. - Л.: Гидрометеоиздат, 1983. - 455 с.

.        Агроклиматический справочник по Харьковской области. - Л.: Гидрометеоиздат, 1957.-179 с.

.        Александров Э.Л., Израэль Ю.А., Кароль И.Л., Хргиан А.Х. Озонный щит Земли и его изменения.- С.-Пб., Гидрометеоиздат, 1992. - 288 с.

.        Архангельский А.М. и др. Методика полевых физико-географических исследований. Учебное пособие для университетов и педвузов. - М.: Высшая школа, 1972. - 304 с.

.        Астапенко П.Д. Вопросы о погоде. - Л.: Гидрометеоиздат, 1982. - 240 с.

.        Атлас облаков. - Л.: Гидрометеоиздат, 1957.

.        Атлас составляющих теплового и водного баланса Украины. -Л.: Гидрометеоиздат, 1966. - 170 с.

.        Баранов А.М., Соломин С.В. Авиационная метеорология. - Л.: Гидрометеоиздат, 1975. - 391 с.


Не нашли материал для своей работы?
Поможем написать уникальную работу
Без плагиата!
Без нейросетей!