Расчет потребности в водоснабжении, численности городского транспорта и технико-технологического обеспечения

  • Вид работы:
    Курсовая работа (т)
  • Предмет:
    Эктеория
  • Язык:
    Русский
    ,
    Формат файла:
    MS Word
    226,12 Кб
  • Опубликовано:
    2013-02-13
Вы можете узнать стоимость помощи в написании студенческой работы.
Помощь в написании работы, которую точно примут!

Расчет потребности в водоснабжении, численности городского транспорта и технико-технологического обеспечения

Содержание

Введение

1. Расчет водоснабжения города

1.1 Определение среднесуточного расхода воды в городе

1.2 Определение расчетного расхода воды

2. Городской транспорт

1.   Выбор вида городского пассажирского транспорта на вновь открываемый маршрут

2.   Построение рациональных маршрутов грузовых перевозок (увязка поездок)

3. Санитарная очистка городов

3.1 Определение объемов накопления твердых бытовых отходов, потребного количества спецтехники и очередности объезда домовладений мусоровозами

3.2. Сравнение технологических схем сбора и транспортировки твердых бытовых отходов к местам обезвреживания

Заключение

Список использованных источников

Приложение

Введение

Актуальность исследований заключается в следующем. Городское хозяйство - это комплекс расположенных на территории города предприятий, учреждений и организаций, призванных удовлетворять социально - бытовые потребности проживающего в нем населения. Оно включает в свой состав жилищно-коммунальное хозяйство (ККХ), предприятия бытового обслуживания, строительную промышленность, предприятия торговли, общественного питания, здравоохранения, культуры и т.д. Совокупность однородных предприятий городского хозяйства образует отрасль (торговля, ЖКХ, здравоохранение и др.) Количество предприятий городского хозяйства и объем их работы зависят в основном от численности населения города, их спроса на ассортимент, объема и качества услуг.

Отличительной особенностью городского хозяйства как многоотраслевой территориальной системы является комплексность, взаимообусловленность функционирования.

Цель курсового проекта по выбору техники и организации технологических процессов в городском хозяйстве - закрепление и углубление знаний, полученных при изучении дисциплины «Техника и технология отраслей городского хозяйства», а так же получение практических знаний на выявление и определение экономических затрат по отраслям.

Задачами курсового проекта является расчет потребности в водоснабжении, численности городского транспорта и технико-технологического обеспечения, а так же расчет общих показателей, характеризующих санитарную очистку города.

Предметом исследования являются основные мероприятия по благоустройству города. Объектом исследования является город, городские коммуникационные службы. Курсовой проект включает в себя введение, 3 главы, заключение, список использованных источников, приложения.

. Расчёт водоснабжения города

1.1 Определение среднесуточного расхода воды в городе

Водоснабжение города осуществляется от подземных источников 15 скважин городского водопровода сосредоточены в 6 водозаборных узлах, равномерно размещённых на территории города.

Общая подача всех скважин к началу проектного периода составляет 232 тыс. м3/сут. Вода подаётся непосредственно в сеть от водопроводных узлов. Аккумулирующих ёмкостей на сети не имеется. К концу перспективного периода (15 лет) численность населения города достигнет 290 тыс. чел. Водоснабжение населения города распределяется по расчётной схеме, имеющей свои территориальные районы, обусловленные плотностью населения, уровнем благоустройства, наличием промышленных объектов и т.д. (табл. 1.1.)

Таблица 1.1 Районы водоснабжения в зависимости от численности их населения

Районы водоснабжения

Численность населения тыс.чел.

I

76

II

77

III

82

IV

87

V

78

VI

79

Всего

479


Считаем, что в благоустроенных домах, имеющих все виды коммунального обслуживания, расселится 400 тыс. человек, 79 тыс. человек будут проживать в домах, не имеющих ванн.

В году, в предшествующем перспективному периоду, было расходовано ПО тыс. м3 воды. Уровень использования производительности головных сооружений составил: 110*100/140=79%

Из общего количества реализованной воды на коммунально-бытовые (или хозяйственно-питьевые) нужды было расходовано 263,5 тыс. м3 (55%) промышленное водоснабжение составило 215,5 тыс. м3 (45%).

При расчёте расхода воды принимаются дифференцированные нормы недопотребления по СНиП 2.04.02-84 «Водоснабжение. Наружные сети и сооружения».

Расход воды на хозяйственно-бытовые нужды указан в таблице 1.2. Промышленное водопотребление по данным о развитии промышленности города равно 209 тыс. мЗ в сутки и распространяется по районам следующим образом:

Таблица 1.1.1

Районы водопотребления

Суточный расход, тыс. м3

I

33

II

35

III

37

IV

38

V

34

VI

32

VII

209


Городским водопроводом не охватывается ряд промышленных предприятий, имеющих свои водопроводы, обеспечивающие хозяйственно-бытовые и производственные нужды этих предприятий [1].

Расходы воды на поливку улиц зависит от вида покрытий и также определяется по СНиП. Расход воды на поливку улиц указан в таблице 1.3.

Среднесуточный суммарный расход воды в городе составил:

· На хозяйственно-бытовые нужды - 263,5 тыс. м3

· На промышленные нужды - 209 тыс. м3

· На поливку городских территорий- 24,28 тыс. м3

· Всего - 395,78 тыс. м3

· Среднесуточный расход воды на хозяйственно-бытовые нужды:

Таблица 1.2 Расход воды на хозяйственно-бытовые нужды

Показатели и его единица измерения

Районы водоснабжения

Всего по городу


I

II

III

IV

V

VI


Численность населения, тыс.чел.

76

77

82

87

78

79

479

Общий суточный расход воды, м3/сут

33

35

37

38

34

32

209

В том числе в благоустроенных домах при норме 300 л/чел в сутки: численность населения, тыс. чел-расход воды, м3/сут

30 9000

30 9000

35 105000

410 12000

30 9000

30 9000

195 58500

В жилых домах без ванн при норме 150 л/чел в сутки:- численность населения, тыс. чел-расход воды, м3/сут

26 3900

27 4050

27 4050

27 4050

28 4200

29 4340

164 24600

В жилых домах без канализации при норме 30 л/чел в сутки :-численность населения, тыс. чел-расход воды, м3/сут

20 600

20 600

20 600

20 600

20 600

20 600

120 3600


Таблица 1.3. Среднесуточный расход воды на поливку улиц и зелёных насаждений

Показатели и его единица измерения

Районы водоснабжения

Всего по городу


I

II

III

IV

V

VI


Общая площадь, га

580

595

628

665

587

617

3672

Расход воды, м3/сут

970

1004

1032

1050

998

998

6042

В том числе при механической мойке улиц (1,4 л/ м2): площадь, га расход воды, м3/сут

250 350

260 364

300 420

350 490

250 350

300 420

1710 2394

При поливке улиц из шлангов (норма 0,5 л/ м2): площадь, га расход воды, м3/сут

200 100

200 100

200 100

200 100

200 100

200 100

1200600

При поливке зелёных насаждений(норма 4 л/ м2:) площадь, га расход воды, м3/сут

130 520

135 540

128 512

115 460

137 548

117 468

762 3048


1.2 0пределение расчетного расхода воды

Исходные данные:

Водопроводная система должна обеспечивать необходимое количество воды в условиях неравномерности потребления, поэтому проектирование систем водоснабжения должно осуществляться исходя из максимального расхода. Максимальный суточный расход воды определяют по формуле 1:

Q = 0*K                                                                                             (1)

где: Qcp сут - средний расход воды в сутки, м3/сут;

Ксут - коэффициент суточной неравномерности.

Потребление воды в течении суток в населенных местах происходит также неравномерно. Эта неравномерность зависит от условий жизни населения, уровня благоустройства жилья и режимов технологических процессов промышленных предприятий. Размер отдельных сооружений и установок, мощность насосных станций и емкость резервуаров зависит от количества подаваемой воды и установленного режима работы.

Работа водопроводной сети определяется режимом потребления и неравномерностью потребления как по сезонам и дням недели, так и по отдельным часам суток. Расчет неравномерности осуществляется в соответствии с максимальным секундным расходом Q max тыс. м3/сут. который определяется по формуле (2):

Q max м3/сут = Ксут * Кч/86,4                                                        (2)

Где: Ксут- коэффициент суточной неравномерности;

Кч - коэффициент часовой неравномерности.

Коэффициент суточной (Ксут) и часовой (Кч) неравномерности принимаются по СНиП. Промышленное водопотребление города принимает равномерным в течении суток [2].

График поливочного водопотребления запроектирован так, чтобы поливка не совпадала по времени с наибольшим хозяйственно-бытовым потреблением, поэтому при расчете максимального секундного расчета воды поливочное водопотребление не учитывается.

Таблица 1.4 Максимальный суточный расход воды в отдельных районах водоснабжения, м3.

Потребление

Район


I

II

III

IV

V

VI

В благоустроенных домах при KCVT=l,05

9450

9450

11025

12600

9450

9450

В домах без ванных комнат приКсут=1,1

4290

4455

4450

4450

4620

4785

В домах без канализации при К-сут ~1,-^

720

720

720

720

720

720

Итого на коммунально-бытовые нужды

14460

14625

16195

17770

14790

14955

На поливку при KcYT=l

970

1004

1032

998

2,7

988

Суммарный расход воды

15430

15629

17227

18820

15788

15943


Максимальный суточный расход воды (см. таблицу 1.4.) на хозяйственно-бытовые нужды рассчитываем на основании данных и коэффициентов суточной неравномерности по СниП. Максимальный суточный расход воды равен 209 тыс. м3, максимальный секундный расход воды по каждому району водоснабжения (табл. 1.5.)

Таблица 1.5 Максимальный секундный расход воды по отдельным районам водоснабжения, л/с.

Расход

Районы


I

II

III

IV

V

VI

В благоустроенных домах при К„=1,2 '

131,25

131,25

153,125

75

131,25

131,25

В домах без ванных комнат при К, =1,35

67,031

69,64

69,53

69,53

72,19

74,76

В домах без канализации при К„=1,8

11,25

11,25

11,25

11,25

11,25

11,25

Итого (округлено)

203,531

212,11

233,905

155,78

214,69

217,26


Суммарный расход воды равен 1237,276 л/с.

2. Городской транспорт

2.1 Выбор вида городского пассажирского транспорта на вновь открываемый маршрут

В городе для улучшения транспортного обслуживания населения нового жилого района предусматривается открытие радиального маршрута, связывающего центр района с центром города.

Проектируемый маршрут имеет следующую характеристику:

Протяженность маршрута 8 км.

Ожидаемый максимальный пассажирский поток в "час пик" 1449 пассажиров в одну сторону. Среднее расстояние между остановками 433 м.

Среднее время на остановку для посадки и высадки пассажиров 1 минут.

Среднее время простоя транспортного средства на конечном пункте маршрута 16 минут.

Среднесуточная продолжительность работы транспортных средств на маршруте 10 часов.

В качестве основы для выбора экономически целесообразного вида транспорта и транспортных средств предлагаются:

I вариант - трамвай типа N, вместимостью 25 мест для сидения и 5 м2 свободной площади пола;

II вариант - троллейбус типа S, вместимостью 22 мест для сидения и 10 м2 свободной площади пола;

Технико-экономические показатели по видам транспорта составляют:

- коэффициент выпуска подвижного состава на линию троллейбус - 0,6; автобус - 0,9;

Средняя техническая скорость движения Троллейбус - 60 км/ч Автобус - 70 км/ч

- Средняя эксплуатационная скорость

Троллейбус - 15 км/ч; Автобус - 20 км/ч.

Экономически эффективным считается вариант, у которого приведенные затраты будут минимальными.

Для расчета экономической эффективности следует определить по каждому варианту капитальные вложения, эксплуатационные расходы и приведенные затраты [6].

Приведенные затраты определяются по формуле 1:

П = С + Ен * К                                                                                      (3)

где: С - годовые эксплуатационные расходы, тыс.руб.; Ен - нормативный коэффициент эффективности капитальных вложений, равный 0,16;

К - капитальные вложения, тыс.руб.

Основные показатели вариантов проекта пассажирского транспорта на маршруте сводятся в таблицу 2.1.

Таблица 2.1 Основные показатели вариантов проекта пассажирского транспорта на маршруте

Показатели

Единицы измерения

Троллейбус TnnaN

Автобус типа S

1

2

3

4

Протяженность транспортной линии в однопутном исчислении

км

11

11

Вагоны (машины) в движении

ед.

12

15

Коэффициент выпуска подвижного состава на линию

-

0,6

0,9

Вагоны (машины) инвентарные

ед.

14

17

Пробег вагонов (машин) за год

км

1051200

1095000

Время оборота вагона (машины) на маршруте

ч

0,72

0,63

Нормативная вместимость вагона (машины)

мест

85

62

Потребное количество вагонов (машин) в движении (Вдв) на маршруте при известном пассажиропотоке в «час пик» может быть определено по формуле 4:

                                                                                                                   (4)

где Пmax - ожидаемый максимальный пассажиропоток на маршруте в «час пик», пасс, в одну сторону;

tоб, - время оборота вагона (машины) на маршруте, ч;

е - нормативная вместимость вагона (машины), мест.

Нормативная вместимость вагона (машины) определяется количеством мест для сидения плюс 4 чел. на м свободной площади пола салона.

Нормативная вместимость троллейбуса е = 25 + 4* 15 = 85 (чел), нормативная вместимость автобуса е = 22 + 4* 10 = 62 (чел).

Для троллейбуса:

Вдв = 1449* 0,72/85 = 12 (12 ед), для автобуса:

Вдв = 1449*0,63/62 = 14,7 (15 ед).

Время оборота вагона (машины) на маршруте определяется по формуле

U = W + t0T + tKn,                                                                               (5)

где: ДВ - время в движении вагона (машины) за оборот на маршруте, ч;

tоб - время на остановки для посадки и высадки пассажиров за оборот, ч;

tKn- время простоя вагона (машины) на конечных пунктах маршрута за оборот, ч.

Время в движении вагона (машины) за оборот на маршруте определяется по формуле 6:

TW = 2*LM/Vt                                                                                   (6)

где: LM - протяженность маршрута, км; Vt - средняя техническая скорость движения вагона (машины), км/ч. Тогда для троллейбуса он составит: tde = 2*11/60 = 0,4, а для автобуса время в движении машины будет: tde= 2 * 11/70=0,31. Пробег вагонов (машин) на маршруте за год:

L =Вдв • tcp • VЭ • 365                                                                     (7)

где tср - среднесуточная продолжительность работы вагона на маршруте, ч.

Vэ - средняя эксплуатационная скорость вагона (машины), км/ч.

Тогда для троллейбуса пробег равен: L = 12*16*15*365=1051200 км, а для автобуса он составит: L=15* 10*20*365=1095000 км.

Расчеты капитальных вложений и ожидаемых эксплуатационных расходов по вариантам проекта пассажирского транспорта на маршруте сводятся в таблицы 2.2, 2.3, 2.4. [10].

Таблица 2.2 Капитальные вложения в варианты проекта пассажирского транспорта на маршруте

Элементы капитальных вложений

В расчете на какую единицу измерения

Троллейбус

Автобус



Количество единиц

На единицу, тыс. руб.

Всего, Тыс. руб.

Количество единиц

На единицу, тыс. руб.

Всего, гыс. руб.

Подвижной состав

Инвентарная единица

6

50

300

8

40

320

Депо (гараж)

Инвентарная единица

6

24

144

8

25

200

Тяговые подстанции

вагон (машина) в движении

6

43

258




Контактная и кабельная сеть

Км однопутной линии

10

3

30




Автозаправочные станции

машина в движении

-

-

-

8

21

168

Итого

-

-

738

-

-

688


Таблица 2.3 Ожидаемые эксплуатационные расходы по вариантам проекта пассажирского транспорта на маршруте

Вид эксплуатационных расходов

В расчете на какую единицу измерения

Троллейбус

Автобус



Количество единиц

На единицу в год, тыс.руб.

Всего за год, тыс. руб.

Количество единиц

На единицу в год, тыс.руб.

Всего за год, тыс. руб.

1

2

6

7

8

9

10

11

На движение


26

45

1170

21

76

1596

Депо (гараж)

единица

5

17

85

9

19

171

Тяговые подстанции

вагон (машина) в движении

5

33

165




На содержание контактной и кабельной сети

км однопутно й линии

17

7

119




На содержание автозаправочной станции

машина в движении




9

19

171

На содержание проезжей части улиц

км полосы движения

29

6

174

24

6

144

Итого

-

-

1713

-

-

2082


Таблица 2.4 Расчеты эффективности вариантов проекта пассажирского транспорта сводят в таблицу

Показатель

Троллейбус типа N

Автобус типа S

Капитальные вложения, тыс.руб.

738

688

Эксплуатационные расходы, тыс.руб. в год

1713

2082

Приведенные затраты, тыс.руб. в год

2451

2770


По наименьшей сумме приведенных затрат можно сделать вывод о целесообразности использования на вновь открываемом маршруте троллейбусов типа N [12].

2.2 Построение рациональных маршрутов грузовых перевозок (увязка поездок)

При выполнении заявок на грузовые перевозки перевозчик (автотранспортное предприятие), как правило, осуществляет перевозки грузов по маятниковым маршрутам, что не обеспечивает улучшения использования транспортных средств (коэффициент использования пробега на таком маршруте составляет 0,5). При этом расчеты клиентов с перевозчиком за перевозку грузов могут производиться по различным тарифам (общим, покилометровым или почасовым), предусмотренным в договорах.

При массовых перевозках однородных грузов, требующих использования однотипного подвижного состава и совпадающих во времени выполнения, у перевозчика появляется возможность повышения эффективности использования транспортных средств, что приводит к снижению себестоимости перевозок и росту прибыли (в дополнение к прибыли, заложенной в тарифах). Это достигается при выполнении объема перевозок в тоннах с наименьшим порожним пробегом. Получив с клиентов оплату за перевозку грузов по маятниковым маршрутам, перевозчик, сокращая порожние пробеги, добивается тем самым снижения себестоимости за счет снижения расходов, зависящих от пробега. При этом прибыль, заложенная в тарифах, возрастает на величину снижения себестоимости перевозок.

Сокращение порожних пробегов транспортных средств при перевозках грузов достигается на основе разработки и четкой реализации оптимального плана порожних ездок. При разработке такого плана используют метод решения транспортной задачи линейного программирования.

Разработка рациональных маршрутов грузовых перевозок осуществляется в следующей последовательности:

1. Отбор перевозчиком из всей совокупности заявок на грузовые перевозки заявок на перевозку однородных грузов, требующих использования однотипного транспортного средства и совпадающих во времени (рабочая смена).

2. Выбор перевозчиком из совокупности имеющихся однотипных транспортных средств, соответствующих характеру перевозимых грузов, средств экономически целесообразных.

3. Определение количества груженых ездок от отправителей грузов к получателям по маятниковым маршрутам.

4. Нахождение оптимального плана порожних ездок.

5. Построение рациональных маршрутов грузовых перевозок (увязка ездок) с обоснованием выбора первого пункта погрузки на кольцевых маршрутах.

6. Сравнение 2-х вариантов грузовых перевозок:

1 вариант - перевозка грузов только по маятниковым маршрутам; 2 вариант - перевозка грузов по маршрутам, составленным с учетом реализации оптимального плана порожних поездок [15].

Исходные данные:

1. Схема транспортной сети с размещением на ней перевозчика, отправителей и получателей грузов.

2. Заявки на грузовые перевозки однородных грузов в течение рабочей смены (табл.2.5).

3. Перевозчик располагает достаточным количеством автомобилей-самосвалов марки «Г», грузоподъемностью 4 тонны и марки «3», грузоподъемностью 6 тонн, с соответствующей себестоимостью 1 км пробега 12 руб. и 16 руб.

4. Перевозка грузов автомобилями-самосвалами будет осуществляться при следующих технико-эксплуатационных показателях:

· средняя техническая скорость - 35 км/ч;

· время простоя автомобиля-самосвала под погрузкой-разгрузкой - 4 мин.на 1 т грузоподъемности; -коэффициент использования номинальной грузоподъемности автомобиля при перевозке грузов I класса - 1,0, II класса -0,8, III класса - 0,6, IV класса - 0,5. 5.Тарифы за перевозку грузов:

а)   общие (табл.2.6);

б)  покилометровые (табл.2.7);

в)   почасовые (табл.2.8).

Таблица 2.5 Заявки на грузовые перевозки однородных грузов в течение рабочей Смены

Отправители груза

Усл. обозн.

Получатели груза

Усл. обозн.

Кол-во груза

Класс груза

Угольный склад, Уголь, 160 т

А

Котельная-1

Б,

50

I



Котельная-2

Б2

36

I



Котельная-3

Б3

64

I

Железнодорожная станция, Щебень, 122 т, Уголь, 25 т

А2

Завод железобетонных изделий

Б4

122

I



Угольный склад

Б5

25

I

Мебельный комбинат, Опилки, 42 т

Аз

Тепличный комбинат

Б6

42

IV

Завод «Металлист», Металлическая стружка, 70 т

А4

База вторчермет

Б7

70

II

Строительный объект, Грунт, 45 т

А5

ЖЭО

Б8

45

I


Таблица 2.6 Общие тарифы на перевозку грузов (в руб. за 1т.)

Расстояние перевозки, км.

Тариф

Расстояние перевозки, км.

Тариф

1

28,3

11

87,8

2

34

12

96,2

3

39,6

13

104,7

4

45,3

14

113,2

5

50,9

15

130

6

56,6

16

130,2

7

62,3

17

138,7

8

67,8

18

147,2

9

73,6

19

155,7

10

79,3

20

164,2

Тарифы приведены для груза I класса. Для грузов II класса применяется поправочный коэффициент 1,25; для III класса - 1,67; для IV класса - 2,0.

Таблица 2.7 Покилометровые тарифы (в руб. за 1 км.)

Грузоподъемность автомобиля, i

До 0,5 включительно

Свыше 0,5 до 1,5

Свыше 1,5 до 3,0

Свыше 3,0 до 5,0

Свыше 5,0 за каждую дополнительную тонну грузоподъемности

10,70

11,9

13,06

17,02

+3,58


Таблица 2.8Почасовые тарифы (руб. за 1 час)

Г

Грузоподъемность автомобиля, т

До 0,5 включительно

Свыше 0,5 до 1,5

Свыше 1,5 до 3,0

Свыше 3,0 до 5,0

Свыше 5,0 за каждую дополнительную тонну грузоподъемности

35,7

38,7

43,1

45,6

+7,2

Дополнительная плата за каждый километр пробега сверх 9 км. за 1 час работы (в руб./км.)

1,44

1,65

1,96

4,68

+0,56


На схеме транспортной сети находят кратчайшее расстояние между грузоотправителем и грузополучателем (в нашем примере - 8 км.) [20].

Потребное количество автомобилей - самосвалов соответствующей марки на маршрут определяется по формуле 8:

А = Тр/Тсм,                                                                                      (8)

где: Тр - время выполнения перевозок на маршруте одним автомобилем соответствующей марки, ч.;

Тем - продолжительность рабочей смены, ч.

В расчетах для получения целого числа автомобилей можно отклониться от 8-часовой рабочей смены (формула 9):

Тр =ТДВ +Тп-р'                                                                               (9)

где: Тдв - общее время движения автомобиля на маршруте, необходимое для выполнения грузовых перевозок, ч;

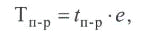
Тп-р - общее время простоя автомобиля соответствующей грузоподъемности под погрузками-разгрузками при выполнении грузовых перевозок, ч., определяемое по формуле:

Тдн. = Lобщ/ Vt ,                                                                           (10)

где: Vt - средняя техническая скорость движения автомобиля, км/ч.;

Lобщ - общий пробег автомобиля соответствующей грузоподъемности на маршруте при выполнении объема грузовых перевозок, км. (формула 11):

Lобщ=(Lr + Ln)*e- Ln                                                                          (11)

где: Lr и Ln - соответственно, груженый и порожний пробег автомобиля за одну ездку, км;

е - количество ездок (оборотов) автомобиля на маршруте.

Количество ездок (оборотов) автомобиля на маршруте (е) определяется по формуле 12:

e = Q/q*krp,                                                                                         (12)

где: Q - количество груза, доставляемое грузополучателю, т;

q - номинальная грузоподъемность автомобиля, т;

кгр - коэффициент использования номинальной грузоподъемности автомобиля, принимаемый в расчетах в соответствии с классом перевозимого груза. Общее время простоя автомобиля под погрузками и разгрузками (Тп.р) при выполнении грузовых перевозок на маршруте определяется по формуле 13:


где /п.р - время простоя автомобиля под погрузкой-разгрузкой за одну ездку (оборот), ч.

Выбор экономически целесообразной марки автомобиля-самосвала определяется по наименьшей себестоимости (См) перевозок на маршруте, которая определяется по формуле 14:

                                                                                                                          (14)

где: i - марка автомобиля самосвала;

скм - себестоимость 1 км. пробега автомобиля-самосвала марки i, руб.

После выбора экономически целесообразного автомобиля-самосвала на грузовых перевозках, приступают к разработке первого варианта грузовых перевозок. Результаты расчетов сводятся в табл.2.9.

Общий пробег (Z) в гр.5 определяется по формуле 15:


где LH - нулевой пробег автомобиля от парка к пункту погрузки (Аь А2, ..., А„) и обратно в парк после последней разгрузки у грузополучателя^, Б2, ...,Б„), км.

При определении порожнего пробега следует учитывать, что после разгрузки в последней ездке автомобиль направляется в парк. Все расстояния при перевозках, а также нулевые пробеги автомобилей определяются по схеме транспортной сети (рис.1) по кратчайшим расстояниям.

Полная себестоимость грузовых перевозок на маршрутах определяется по формуле:

                                                                                    (16)

где: Скм - себестоимость 1 км. пробега автомобиля-самосвала, выбранного для перевозок, руб.

Доходы перевозчика от перевозки грузов, а с другой стороны, расходы клиентов (поставщиков или получателей грузов), будут зависеть от объема транспортной работы (количества перевезенных тонн груза, выполненного общего пробега или автомобиле-часов работы) и вида применяемого тарифа за грузовые перевозки (соответственно, общего, покилометрового или почасового).

Применяя все виды тарифов за грузовые перевозки, следует выявить, какой тариф выгоден перевозчику, а какой - клиентам.

Общая сумма доходов перевозчика будет складываться из доходов, полученных от перевозок по каждому маршруту.

Доход перевозчика от грузовых перевозок на i - том маршруте по общему тарифу определяется по формуле:


где: Тобщ - общий тариф за перевозку 1 т. груза на соответствующее расстояние, руб;

кп - поправочный коэффициент, соответствующий классу груза;

Qe - количество тонн груза, перевозимых за одну ездку, т.

Доход перевозчика от грузовых перевозок на z-том маршруте по покилометровому тарифу определяется по формуле:


где: Ткм - тариф за 1 км. пробега автомобиля соответствующей грузоподъемности, руб.

Доход перевозчика от грузовых перевозок на /-том маршруте по почасовому тарифу определяется по формуле:

 (19)

где Тч - тариф за 1 час работы на перевозках автомобиля соответствующей грузоподъемности, руб.;

Тр. - время выполнения перевозок на маршруте i одним автомобилем, ч;

Tдопкм - дополнительный тариф за пробег на маршруте i сверх нормативного, руб;

Lнорм - нормативный пробег на маршруте i, определяемый

произведением 9 км/ч-Тpi , км. В завершение расчета 1-го варианта грузовых перевозок определяются коэффициенты использования пробега автомобиля-самосвала: общий (Кобщпр)и на маршрутах (Кмпр) [21].

Для нахождения оптимального плана порожних ездок составляется таблица (матрица) с исходными данными (табл.2.9).

Таблица 2.9 Исходные данные для нахождения оптимального плана порожних поездок (пример)

Отправители

Получатели

Кол-во ездок


Б1

Б2

Бз

Б4

Б5

Б6

Б7


А1

12

6

2

8

0

11

3

5

21

А2

11

9

9

7

7

5

4

4

18

Аз

4

2

6

4

8

7

11

7

11

А4

4

10

12

4

12

2

11

7

17

А5

8

2

2

8

4

11

7

7

5

Кол-во ездок

7

4

10

15

3

11

17

5

72


В правых верхних углах клеток таблицы проставляются кратчайшие расстояния между отправителями и получателями грузов по схеме транспортной сети (рис.1). Количество ездок из пунктов А и количество ездок из пунктов Б проставляется на основании данных табл.2.5. с учетом грузоподъемности выбранного автомобиля.

В приведенном примере количество ездок определено, исходя из грузоподъемности (q) автомобиля-самосвала марки Z, равной 6т.

Осуществив поиск оптимального плана, результат решения задачи оформим в виде таблицы:

Таблица 2.10 Оптимальный план порожних понздок (пример)

Отправители

Получатели

Кол-во ездок


Б1

Б2

Бз

Б4

Б5

Б6

Б7

Б8


А,

12

6

2 13

8

05

11

3 12

5

21

А2

11

У

У

7

7

5 7

4 8

4 7

18

Аз

4

2

6

4 14

8

7

11

7

11

А4

4 10

10

12

4 3

12

2 7

11

7

17

А5

8

2 6

2 1

8

4

11

7

7

5

Кол-во ездок

7

4

10

15

3

11

17

5

72


Оптимальный план порожних ездок будет реализован, если после разгрузки в пунктах Б автомобиль будет подаваться указанное количество раз под погрузку в пункты А.

Для построения маршрутов грузовых перевозок (2-ой вариант) составляется таблица (матрица) совмещенных планов. Для этого в оптимальный план порожних ездок (табл.2.10) вписываются груженые ездки (из пунктов А в пункты Б).

Маятниковый маршрут имеет место там, где в клетке есть груженые и порожние ездки (клетка A1Б3). Количество ездок на маятниковом маршруте равно наименьшему числу ездок. В данном примере A1 - Б3 - А1 - 13 ездок.

Когда все маятниковые маршруты будут найдены, строят кольцевые маршруты путем построения контуров.

При этом, при вершинах контура должны чередоваться груженые и порожние ездки. В данном примере маршрут A1 - B1 - А4 - Б7 - A1 - 10 ездок(сплошная линия); маршрут А2 - Б4 - А3 - Бб - А2 - 7 ездок (пунктирная линия).

3. Санитарная очистка городов

3.1 Определение объемов накопленных твердых бытовых отходов потребного количества спецтехники и очередности объезд домовладений мусоровозами

В жилом районе, насчитывающем 12 микрорайонов вводится система ежедневного вывоза твердых бытовых отходов (на рис.1) микрорайоны обозначены их центрами, принимаемыми условно за центр сбора бытовых отходов в микрорайоне.

В микрорайонах 1,4,7,8,10,12, с общим количеством жителей 225 тыс. предусматривается сбор отходов в несменяемые контейнеры емкостью 1100 л и вывоз мусоровозами марки К или марки Р.

В микрорайонах 2,3,5,6,9,11, имеющих высокую плотность населения, с общим количеством жителей 254тыс. предусматривается сбор отходов в сменяемые контейнеры емкостью 800 л и вывоз контейнеровозами марки З или марки К [22].

По результатам обследования установлено, что по 1-ой группе микрорайонов общий объем недельного накопления отходов составил 4500 м. со средней плотностью 0,4 т/м3, а по 2-ой группе микрорайонов - 15000м, со средней плотностью 0,3 т/м3. При этом установлено, что днями наиболее равномерного накопления являются среда, четверг и пятница. В среднем в эти дни суточное накопление составляло 13,8 % по объему от недельного накопления.

Вывоз бытовых отходов из первой и второй группы микрорайонов будет осуществляться на полигон через пункт 6 на расстояние 4 км.

Себестоимость 1 км пробега мусоровоза - 14 руб., контейнеровоза - 13 руб.

Для решения задачи сбора и транспортировки твердых бытовых отходов с территории жилого района необходимо:

1. Определить среднесуточный объем накопления отходов, подлежащий сбору и транспортировке.

2.Определить потребное количество несменяемых и сменных контейнеров.

3.Выбрать приемлемую марку мусоровоза и контейнеровоза и определить их количество.

4.Определить очередность объезда (составить маршрут) микрорайонов мусоровозами и контейнеровозами.

5.Определить себестоимость вывоза отходов мусоровозами и контейнеровозами.

Среднесуточный объем накопления твердых бытовых отходов на одного жителя в л/сут. определяется по формуле:

Vc = (Vср + Vчт + Vпт) * Кн / N                                                     (20)

где Vcp , VЧТ , VПТ - соответственно, накопление за среду, четверг и пятницу, л;

Кн - поправочный коэффициент недельного накопления;

N - численность жителей в группе микрорайонов в дни наблюдений, чел. Поправочный коэффициент недельного накопления твердых бытовых отходов определяется отношением среднего накопления в день за неделю к среднему накоплению в день за среду, четверг и пятницу.

Накопление за среду, четверг и пятницу составит: для первой группы микрорайонов: 4500*13,8 = 621 м3 (683100 л.) ;для второй группы микрорайонов: 1500*13,8 = 2070 м3 (1656000 л.).

Среднее накопление в день за неделю составит: 643. W - для первой группы микрорайонов, и 1143 м3 - для второй группы микрорайонов.

Теперь мы можем рассчитать поправочный коэффициент недельного накопления: Кп = 1,036 - для первой группы иК„- 1,035 для второй группы.

Определим среднесуточный объем накопления твердых бытовых отходов на одного жителя в л/сут.:

Для первой группы 6883100*1,036/225=3,1453

Для второй группы 1656*1,035/225=6,748

Потребное количество несменяемых и сменяемых контейнеров, располагаемых на территории жилого района определяется по формуле:

N = Vc * H / Eк * Kз                                                                        (21)

где Vc - среднесуточный объем накопления и транспортировки отходов, л;

Ек - емкость контейнера, л;

К3 - коэффициент заполнения контейнера, принимается равным 0,9.

Выбор марки мусоровоза и контейнеровоза осуществляется по следующим показателям: коэффициент использования массы (Км); удельная грузоподъемность (Qд); удельная вместимость кузова на 1 т грузоподъемности (Vуд); удельная мощность двигателя (Муд); коэффициент компактности (Кк); удельная себестоимость перевозки (Суд).

Коэффициент использования массы определяется по формуле:

Км = Qном * Ма                                                                                        (22)

где Qном - номинальная грузоподъемность автомобиля, т; та - собственная масса автомобиля.

Удельная вместимость кузова на 1 т грузоподъемности определяется по формуле:

Vуд = Vк / Qном                                                                             (23)

Удельная мощность двигателя определяется по формуле:

Mуд = Мдв / Мn                                                                              (24)

где Мдв - мощность двигателя автомобиля, кВт;

тп - полная масса автомобиля с полезной нагрузкой, т.

Для мусоровоза она равна: Муд = 10000 / 8 = 1250; для контейнеровоза : Муд= 12000/11,5 =1049,5

Коэффициент компактности определяется по формуле:

Кк = Lа * Ва / Vк                                                                                       (25)

где: La - длина автомобиля, м;

Вa - ширина автомобиля, м.

Удельная себестоимость перевозки определяется по формуле:

Cуд = Скм / Vоб                                                                                        (26)

где: Скм - себестоимость 1 км пробега автомобиля, руб.;

Vоб - объем бытовых отходов, перевозимый мусоровозом в уплотненном состоянии, или контейнеровозом - в естественном состоянии, куб.м.

Рассчитаем ее для мусоровоза Суд = 14 / 4 = 3,5; для контейнеровоза Суд = 13/6 = 2,16.

Таблица 3.1 Техническая характеристика мусоровозов (контейнеровозов)

Показатели

Мусоровозы (контейнеровозы)


Марка W

Марка О

Емкость кузова полезная (с учетом уплотнения, куб.м *^

4

6

Номинальная грузоподъемность автомобиля, т

3,5

5,5

Собственная масса автомобиля, т

4,5

6

Мощность двигателя автомобиля, кВт

10000

12000

Полная масса автомобиля с полезной нагрузкой, т

8

11,25

Длина автомобиля, м

5

7

Ширина автомобиля, м

2,5

2,5


Емкость кузова контейнеровоза определяется суммарной емкостью контейнеров, устанавливаемых на автомобиль.

Ежедневную потребность в мусоровозах и контейнеровозах для вывоза твердых бытовых отходов рассчитывают по формуле:

ПМ = Vc / Pсут * Кисп                                                                              (27)

где Рсут - суточная производительность мусоровоза (контейнеровоза), куб.м/сут.;

Кисп ~ коэффициент использования мусоровоза (контейнеровоза), принимается равным 0,75 - 0,8.

Суточная производительность мусоровоза (контейнеровоза) рассчитывается по формуле:

Рсут = Ек • Пр ,                                                                                (28)

где Пр - количество рейсов, выполняемых мусоровозом (контейнеровозом) за рабочую смену (8 ч ± 0,5 ч).

Количество рейсов, выполняемых мусоровозом (контейнеровозом) за рабочую смену определяется по формуле:

Np = Тсм / Тр                                                                                   (29)

где Tсм - продолжительность рабочей смены, ч; Тр - время одного рейса, ч, определяемое по формуле:

Тр = Траб + Тпр + Тразгр                                                             (30)

где tpаб, - время рабочего пробега мусоровоза (контейнеровоза) по маршруту при сборе бытовых отходов в микрорайонах, ч;

tпр - время пробега мусоровоза (контейнеровоза) от последнего пункта погрузки до полигона и обратно до первого пункта погрузки на маршруте, ч;

tpaзr - время простоя под разгрузкой мусоровоза (контейнеровоза) на полигоне, включая время на санитарную обработку мусоровоза и контейнеров, ч. Принимается равным 1ч для мусоровозов и 1,5 ч для контейнеровозов [23].

Время рабочего пробега мусоровоза (контейнеровоза) включает время на выгрузку отходов из несменяемых контейнеров в мусоровоз (время замены сменяемых контейнеров при вывозе отходов контейнеровозом), время передвижения мусоровоза (контейнеровоза) по маршруту сбора отходов, определяемое по формуле:

Траб = Lм / Vраб                                                                                      (31)

где LM - соответственно, протяженность маршрута сбора бытовых отходов мусоровозом по первой группе микрорайонов и контейнеровозом -по второй группе микрорайонов, км;

Vраб ~ соответственно, рабочая скорость движения мусоровоза и контейнеровоза, км/ч. Принимается равной для мусоровоза 30 км/ч, для контейнеровоза - 40 км/ч.

Время пробега мусоровоза (контейнеровоза) от последнего пункта погрузки до полигона и обратно до первого пункта погрузки на маршруте определяется по формуле:

Tпр = Lп / Vt                                                                                   (32)

где Ln - расстояние от последнего пункта погрузки на маршруте до полигона и обратно до первого пункта погрузки на маршруте, км;

Vt - средняя техническая скорость движения мусоровоза (контейнеровоза), км/ч. Принимается равной 40-60 км/ч.

Для определения потребного количества мусоровозов и контейнеровозов с использованием формул 27 - 32 предлагается интуитивно составить маршрут движения мусоровоза по 1-ой группе микрорайонов и маршрут движения контейнеровоза по 2-ой группе микрорайонов, руководствуясь при этом кратчайшими расстояниями между центрами сбора бытовых отходов по схеме улично-дорожной сети жилого района.

Для первой группы: протяженность маршрута (LM) сбора бытовых отходов мусоровозом составляет 13 км (расстояние от п.1 до п.12).Величина Ln составит 10 км (расстояние от п. 12 до п.6) плюс двойное расстояние от п.6 до полигона плюс 6 км (расстояние от п.6 до п.1).

При определении количества рейсов (яр), выполняемых мусоровозом (контейнеровозом), целесообразно предусмотреть их 2-х сменную работу.

Для второй группы: протяженность маршрута (ZM) контейнеровоза составляет 17 км. Величина Ln составит 6 км (расстояние от п.11 до п.6) плюс двойное расстояние от п.6 до полигона.

3.2 Сравнение технологических схем сбора и транспортировки твердых бытовых отходов к местам обезвреживания

Необходимо сравнить три технологические схемы сбора и транспортировки твердых бытовых отходов к местам обезвреживания:

1. Технологическую схему сбора и транспортировки твердых бытовых отходов, изложенную в п.3.1 (сбор мусоровозами и контейнеровозами малой вместимости с доставкой через пункт 6 на полигон).

2. Технологическую схему сбора и транспортировки твердых бытовых отходов, изложенную в п.3.1, с доставкой и перегрузкой в пункте 6 в мусоровозы марки G, вместимостью 4 куб.м с последующей транспортировкой на полигон.

3. Технологическую схему сбора и транспортировки твердых бытовых отходов, изложенную в п.3.1, с доставкой на мусороперегрузочную станцию и погрузкой в уплотненном состоянии в грузовой автомобиль с универсальной платформой марки F, грузоподъемностью 3,5 т с последующей доставкой на полигон [30].

Сравнение технологических схем и выбор экономически целесообразной произвести по критерию себестоимости транспортировки.

Следует учитывать, что 2-ая технологическая схема приводит к сокращению ежедневной потребности в мусоровозах и контейнеровозах малой емкости по сравнению с 1-ой технологической схемой, за счет сокращения времени пробега от пункта 6 до полигона и обратно. Поэтому необходимо определить количество мусоровозов и контейнеровозов, необходимых при этой схеме. При определении ежедневной потребности в мусоровозах большой емкости необходимо учитывать объем бытовых отходов, доставляемых в пункт 6 мусоровозами и контейнеровозами малой емкости, вместимость мусоровоза большой емкости, а также объем бытовых отходов, перевозимый им за рабочий день (смену или две смены). При этом учесть, что время простоя мусоровоза большой емкости под погрузкой-разгрузкой за один рейс суммарно составляет 1 час, а средняя техническая скорость (Vt) - 60 км/ч. Себестоимость 1 км пробега - 15 руб.

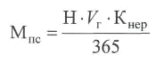
При 3-ей технологической схеме, прежде всего, необходимо определить мощность перегрузочной станции (Мпс) по формуле


где: Н - количество жителей в обслуживаемом районе, чел.;

VT - годовой объем накопления твердых бытовых отходов в обслуживаемом районе на одного жителя, т;

Кнер - коэффициент неравномерности накопления твердых бытовых отходов принять равным 1, 05.

При расчете затрат на транспортировку твердых бытовых отходов при 3-ей технологической схеме необходимо учесть, что:

1. Затраты будут складываться из затрат на сбор и транспортировку твердых бытовых отходов мусоровозами и контейнеровозами до мусороперегрузочной станции, затрат на уплотнение и затрат на транспортировку грузовыми автомобилями от мусороперегрузочной станции до полигона.

2. Мусороперегрузочная станция располагается на расстоянии 12 км. от пункта 6 по дороге в сторону к полигону и обеспечивает пятикратное уплотнение твердых бытовых отходов с формированием их в брикеты. Себестоимость уплотнения 1 куб.м отходов составляет 25 руб.

3. Сокращается потребность в мусоровозах и контейнеровозах малой емкости, а следовательно, и затраты на транспортировку до мусороперегрузочной станции.

4. Потребное количество грузовых автомобилей для транспортировки брикетированных бытовых отходов (1-ый класс груза) определяется с учетом грузоподъемности автомобиля, уплотнения бытовых отходов и средней их плотности, а также возможного количества рейсов, выполняемых одним автомобилем за рабочий день (смену или две смены). При этом время простоя грузового автомобиля под погрузкой-разгрузкой за один рейс принять равным 1 часа, а среднюю техническую скорость - 25 км/ч. Себестоимость 1 км пробега- 15 руб.

домовладение вода мусоровоз городской

Заключение

Под городским хозяйством понимают систему предприятий, организаций, хозяйств, учреждений, признанных удовлетворять материальные и культурно-бытовые нужды населения. Кроме того, городское хозяйство оказывает необходимые услуги предприятиям и организациям транспорта, строительства, органам управления и др.

По результатам выполненной работы можно сделать следующие выводы:

· Определен среднесуточный расход воды в городе

· Определен расчетный расход воды

-    Выбран вид городского пассажирского транспорта на вновь
открываемый маршрут

-   Построены рациональные маршруты грузовых перевозок (увязка
ездок)

- Сравнены технологические схемы сбора и транспортировки твёрдых
бытовых отходов к местам обезвреживания

Определены объемы накопления твердых бытовых отходов, потребленного количества спецтехники и очередности объезда домовладений мусоровозами.

Список использованных источников

1.  Градостроительный кодекс РФ [Текст]: федер. закон от 29 декабря 2004 г. № 190 - ФЗ Собрание законодательства Российской федерации. - 2005. - №1

2.  О техническом регулировании [Текст]: федер. закон от 27 декабря 2002 г. № 184 - ФЗ Собрание законодательства Российской федерации. - 2003. - №1

3.  Абрамов, Н. Н. Водоснабжение [Текст]: учеб. для вузов / Н.Н. Абрамов. - 2-е изд, перераб. и доп. - М.: Стройиздат, 2001. - 480 с.

4.  Баловнев, В.И. Проектирование дорожно-строительных машин с использованием [Текст] / В.И. Баловнев / САПР/МАДИ. - М.: 2002.-83 с.

5.  Бессонова, Н.Е. Экономика и управление в бытовом и жилищно-коммунальном обслуживании, городском хозяйстве [Текст]: учеб. пособие / Н.Е. Бессонова. - Л.: ЛИЭИ,2004. - 280 с.

6.  Боголюбов, В.С Управление городским хозяйством [Текст] / В.С. Боголюбов, В.М. Стеняев. - Л.: Стройиздат, Ленингр. отделение, 2004. - 168с.

7.  Водозаборно-очистительные сооружения и устройства [Текст]: учеб. пособие для студентов вузов / под ред. М.Г. Журбы. - М.: ООО «Издательство Астрель»: ООО «Издательство ACT», 2003 - 569 с.

8.  Выбор техники и организации технологических процессов в городском хозяйстве: Методические указания к курсовому проекту по дисц. «Техника, и технология отраслей городского хозяйства» для студ. всех форм обуч. ин-та региональной экономики и управления. Спец. 060800. Экономика и управление на предприятии городского хозяйства [Текст] /сост. Н.М. Сутырин, Е.В. Зарукина; - Спб.: СПбГИЭУ, 2000. - 40 с.

9.  Гидравлика, водоснабжение и канализация [Текст]: учеб. пособие для вузов / В.И. Камицун, B.C. Кедров, Ю.М. Ласнов. - 4-е изд, перераб. и доп. - М.: Стройиздат, 2000. - 397 с.

10.Дубровин, Е.Н. Городские улицы и дороги [Текст]: учеб.пособие для вузов Е.Н. Дубровин. - М.: Высш. Школа, 2005. - 408 с.

11.Журба, М.Г. Водоснабжение. Проектирование систем и сооружений [Текст] / М.Г. Журба, Л.И. Соколов, Ж.М. Говорова. -том 1. - М.: Издательство АСВ, 2003. - 288 с.

12.Жмаков, Г.Н. Эксплуатация оборудования и систем водоснабжения и водоотведения [Текст] / Г.Н. Жмаков. - М.: Инфа-М, 2005. - 267 с.

13.Занадворов, B.C. Экономика города [Текст]: учеб.пособие / B.C. Занадворов, А.В. Занадворова. - М.: ИЧП «Изд-во Магистр», 2003. - 272 с.

14.Кашкина, Л.В. Основы градостроительства [Текст]: учеб.пособие / Л.В. Кашкина. - М.: Владос, 2005. - 347с.

15.Когут, А.Е. Экономика крупного города: проблемы структурной перестройки [Текст] / А.Е. Когут. - Спб.: ИСЭП РАН, 2005. - 198с.

 Коробко, <#"607857.files/image010.gif">

Рис.1. Схема улично-дорожной сети жилого района с размещением на ней центров микрорайонов (1,2, ..., 12), принимаемых условно за центр сбора бытовых отходов в микрорайоне

Похожие работы на - Расчет потребности в водоснабжении, численности городского транспорта и технико-технологического обеспечения

 

Не нашли материал для своей работы?
Поможем написать уникальную работу
Без плагиата!
Без нейросетей!