Вычисления в Паскаль

  • Вид работы:
    Контрольная работа
  • Предмет:
    Информационное обеспечение, программирование
  • Язык:
    Русский
    ,
    Формат файла:
    MS Word
    37,39 Кб
  • Опубликовано:
    2013-02-15
Вы можете узнать стоимость помощи в написании студенческой работы.
Помощь в написании работы, которую точно примут!

Вычисления в Паскаль

Задание №1

а) перевести числа из десятичной системы счисления в двоичную;

= 1011000102

: 2 = 177 (0)

: 2 = 88 (1)

: 2 = 44 (0)

: 2 = 22 (0)

: 2 = 11 (0)

: 2 = 5 (1)

: 2 = 2  (1)

: 2 = 1  (0)

: 2 = 0  (1)

,71610 = 0,10110112

,716 * 2 =1,432

,432 * 2 = 0,864

,854 * 2 = 1,728

,728 * 2 = 1,456

,456 * 2 = 0,912

,912 * 2 = 1,824

,824 * 2 = 1,628


Int (17.95) (функция) - возвращает целую часть параметра

Div 7  Div B - деление целых чисел

в) записать на языке программирования PASKAL выражение


(X*SIN(Y+1)*SIN(Y+1)/(COS(Y+1)*COS(Y+1))+EXP(7*LN(LN(V)))-SQRT(SIN(X)))/(SQRT(2*B*Z+EXP(5*LN(Y)))+ABS(A-B-EXP(F)))

Задание №2

Составить на языке PASKAL программу вычисления значений функции:

=

KR2;PRINTER;F, X.Y, A.B, N: REAL;

BEGIN(‘Введите значения Х,Y,A,B,N’);(X,Y,A.B,N);

F: COS(EXP((A-B)*LN(X)))/(ABS(EXP (4*LN(Y)) - EXP(5*LN(B))) + 5.4) + SQR(N);( ‘X=’, X:8:2, ‘Y =’, Y:8:2, ‘A= ‘, A:8:2, ‘B=’, B:8:2, ‘N=’, N:8:2);(‘F = ‘, F:8:2);(LST, ‘ X= ‘, X:8:2, ‘Y=’, Y:8:2, ‘A=’, A:8:2,(LST,’F=’, F:8:2)

END.

Задание № 3

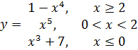
Составить программу вычисления функции на языке PASKA

KR3;PRINTER;X,Y: REAL;(‘ВВОД X’);(X);X˂ = 0 THEN Y: = EXP (3 * LN(X)) + 7 ELSEX ˂ 2 THEN Y: = EXP (5 * LN(X)) ELSE Y: = 1 - EXP(4 * LN(X));

WRITELN (‘X = ‘, X:9:3, ‘Y = ‘, Y:9:3);(LST, ‘X = ‘, X:9:3, ‘Y = ‘, Y:9:3).

БЛОК СХЕМА











Задание № 4

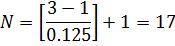
Составить на алгоритмическом языке PASKAL программу вычисления значений функций Z =  при этом x с шагом 0,125 используя, оператор FOR.

KR4;PRINTER;X,Y,Z: REAL; I: INTEGER;

BEGIN(‘ВВЕДИТЕ ЗНАЧЕНИЯ Y’);

READLN (Y);: = 1;I : = 1 TO 17 DO BEGIN

 Z: = SQR (Y) * LN (X) + 1;

 WRITELN (‘X = ‘, X:8:1, ‘Y = ‘, Y:8:1, ‘Z = ‘, Z:8:1);

 WRITELN (LST,’X = ‘, X:8:1, ‘Y = ‘ Y:8:1, ‘Z = ‘, Z:8:1);: = X + 0.125;.

БЛОК СХЕМА “FOR”












Задание №5

Написать программу на алгоритмическом языке PASKAL с использованием любого оператора цикла


PROGRAM KR5;PRINTER;X;H;Y: REAL;

BEGIN(‘ ВВЕДИТЕ ЗНАЧЕНИЕ H’);(H);(‘H = ‘, H:8:2);(LST, ‘H = ‘, H:8:2);: = -1.3;X ˂ = 1.8 DO BEGIN

IF X ˂ = 0 THEN Y: = H + X ELSEX ˂ 1 THEN Y: = LN (X) ELSE Y: = 4 * SIN (X + 1);

WRITELN (‘X = ‘, X:8:2, ‘Z = ‘, Z:8:2, ‘Y = ‘, Y:8:2);(LST, ‘X = ‘, X:8:2, ‘Z = ‘, Z:8:2, ‘Y = ‘, Y:8:2);

X: = X+0.2;.

БЛОК СХЕМА “WHILE”





















Задание №6

счисление паскаль функция массив

Вычислить сумму и произведение всех элементов массива T(10) (= T(10))

WRITELN (‘ИСХОДНЫЙ МАССИВ А’);(LST, И ИСХОДНЫЙ МАССИВ А’);

S: = 0;: = 1; I: = 1 TO 10 DO S: = S + T[I] AND P: = P * T[I];(‘S = ‘, S);(‘P = ‘ P);.


Не нашли материал для своей работы?
Поможем написать уникальную работу
Без плагиата!
Без нейросетей!