Качественная оценка надежности процессов

  • Вид работы:
    Контрольная работа
  • Предмет:
    Эктеория
  • Язык:
    Русский
    ,
    Формат файла:
    MS Word
    23,47 Кб
  • Опубликовано:
    2013-03-29
Вы можете узнать стоимость помощи в написании студенческой работы.
Помощь в написании работы, которую точно примут!

Качественная оценка надежности процессов














Качественная оценка надежности процессов

Вариант 8

Уровни В

Уровни А

Среднее значение по строкам


0,5

1,0

1,5

2,0

2,5


С1

32 35 38 40 30

29 42 37 32 45

39 49 29 35 43

43 38 44 50 45

63 60 66 70 56

 43,6  

С2

30 33 36 40 26

37 40 35 30 33

37 35 39 45 29

38 40 33 39 45

50 46 42 44 48

38

С3

35 32 29 40 24

31 26 33 40 35

30 32 35 38 40

30 32 35 38 40

29 37 40 34 45

35,4

С4

25 30 35 38 22

22 36 31 26 40

31 33 35 34 32

39 41 43 45 37

56 53 50 55 51

37,6

Среднее значение по столбцам

32,5

34

36

40,25

50,5

38,65


1.  
Устойчивость процесса

  

С112 = 15,25 С122 = 28,75 С132 = 49,375 С142 = 39,375

С212 =33,5 С222 =8,5 С232 =33,5 С242 =55,25

С312 =75 С322 =39 С332 =3,25 С342 =1,625

С412 =12,375 С422 =15,625 С432 =28,75 С442 =9,5

С512 =32,125 С522 =6,5 С532 = 23 С542 =7,375


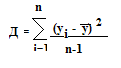
1.1 Расчет дисперсий


Д11 = 17 Д12 = 29 Д13 = 29,5 Д14 = 44,5 Д31 =58 Д32 = 37 Д33 = 17 Д34 = 2,5

Д21 = 44,5 Д22 = 14,5 Д23 = 16,5 Д24 =53 Д41 = 18,5 Д42 = 18,5 Д43 = 36,5 Д44 = 10

Д51 = 29 Д52 = 10 Д53 = 52 Д54 = 6,5


1.2    Расчет параметра устойчивости


τр11=0,897 τр12=0,991 τр13=1,674 τр14=0,885

τр21= 0,753 τр22=0,586 τр23=2,03 τр24=1,042

τр31=1,293 τр32=1,054 τр33=2,294 τр34=0,65

τр41=0,669 τр42=0,845 τр43=0,788 τр44=0,950

τр51=1,108 τр52=0,650 τр53=0,442 τр54=1,135



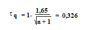
1.3    Табличный параметр


Во всех ячейках τq < τp, следовательно, на исследуемый процесс не оказывается систематического влияния, а это значит, что проявляют себя только случайные события и нет оснований для нарушения точности параметров.

Процесс можно считать устойчивым.

2.  
Стабильность процесса

устойчивость стабильность дисперсия кохрен



1 столбец: Gp= 0,589 2 столбец: Gp=0,702 3 столбец: Gp=1,0265 4 столбец: Gp=0,777 5 столбец: Gp=1,143

1 строка: Gp=0,532 2 строка: Gp=0,514 3 строка: Gp=0,523 4 строка: Gp=0,835


2.2   Табличный критерий Кохрена

- № строки в таблице Кохрена;=4 - для тех критериев, которые определены для столбцов (количество дисперсий);=5 - для тех критериев, которые определены для строк (количество дисперсий);- № столбца в таблице Кохрена;= m-1;=3 - для столбцов;=4 - для строк;т = 0,7814 для строк и Gт =0,6329 для столбцов.

Во 2,3,4,5 столбцах неравенство Gт < Gр не выполняется; в 4 строке тоже.

Это свидетельствует о нестабильности процесса.

.   
Проведем анализ дисперсий по строкам и столбцам

Уровни В

Уровни А


0,5

1,0

1,5

2,0

2,5

C1

17

44,5

58

18,5

29

C2

29

14,5

37

18,5

10

C3

29,5

16,5

17

36,5

52

C4

44,5

53

2,5

10

6,5

По строкам:

В первой строке дисперсия увеличивается до Д13, после конечно уменьшается, но не на много и в конце строки мы видим опять увеличение дисперсии. Это говорит о безуспешно проведенных мероприятиях во второй и третьей ячейках и их ненужности. Возможно, если бы не было этих мероприятий, результат 4 ячейки был бы лучше.

Во второй строке процесс начался успешно, но мероприятия 3 ячейки немного сбили результат, что говорит об их ненужности.

В третьей строке процесс шел до середины строки хорошо, но мероприятия 4 и 5 ячейки подкосили полностью результат.

В четвертой строке виден положительный результат мероприятий второй ячейки, хотя в первой ячейке и были проведены не совсем хорошие мероприятия - это никак не повлияло на результат.

По столбцам:

В первом столбце явно выражено увеличение дисперсий, это значит, что во всем столбце проведены негативно сказывающиеся на результате мероприятия.

Во втором столбце в первой ячейке были проведены положительные мероприятия, которые привели к неплохому результату во второй ячейке, но начиная со второй ячейки дисперсия начала увеличиваться и в результате достигла очень большого значения - мероприятия проведены не рационально.

В третьем столбце видно закономерное уменьшение дисперсий. Это свидетельствует о положительно проведенных мероприятиях.

В четвертом столбце, если бы не были проведены мероприятия в ячейке 3, результат был бы очень хорошим.

В пятом столбце в третьей ячейке происходит сбой равномерного уменьшения дисперсии, это свидетельствует о неправильно проведенных мероприятиях второй ячейки. В результате дисперсия уменьшилась.

т= 15,98.

1 строка

2 строка

3 строка

4 строка

Fp=2,6 Fp=1,3 Fp= 3,1 Fp=1,6

Fp=2 Fp=2,6 Fp=2 Fp=1,85

Fp=1,8 Fp=1,0 Fp=2,1 Fp=1,4

Fp=1,2 Fp= 21,2 Fp=4 Fp=1,53


1 столбец

2 столбец

3 столбец

4 столбец

5 столбец

Fp=1,7 Fp=1,01 Fp=1,5

Fp=3,06 Fp=1,14 Fp=3,2

Fp=1,6 Fp=2,2 Fp=6,8

Fp=1 Fp=1,97 Fp=3,65

Fp=2,9 Fp=5,2 Fp=8


Есть одно значение Fp> Fт; 21,2 > 15,98. Это значит, что мероприятие, проведенное во 2 столбце, 4 строке значимо.

Похожие работы на - Качественная оценка надежности процессов

 

Не нашли материал для своей работы?
Поможем написать уникальную работу
Без плагиата!
Без нейросетей!