Электрооборудование строительной площадки и грузового лифта
Государственное
бюджетное образовательное учреждение среднего профессионального образования
Пермский
химико-технологический техникум
Специальность:
140613 «Техническая эксплуатация и обслуживание электрического и
электромеханического оборудования»
КУРСОВОЙ
ПРОЕКТ
ПО
ДИСЦИПЛИНЕ: «ЭЛЕКТРИЧЕСКОЕ И ЭЛЕКТРОМЕХАНИЧЕСКОЕ ОБОРУДОВАНИЕ»
НА
ТЕМУ «ЭЛЕКТРООБОРУДОВАНИЕ СТРОИТЕЛЬНОЙ ПЛОЩАДКИ И ГРУЗОВОГО ЛИФТА»
Введение
В настоящее время нельзя представить жизнь и
деятельность современного человека без применения электричества. Электричество
уже давно и прочно вошло во все отрасли народного хозяйства и в быт людей.
Основное достоинство электрической энергии - относительная простота
производства, передачи, дробления и преобразования.
В связи с развитием промышленности и
жилищно-коммунального строительства в городах растёт народно-хозяйственное
значение городских электрических сетей и к ним предъявляются всё более высокие
требования надёжного и бесперебойного снабжения электроэнергией потребителей.
Перерыв в электроснабжении промышленных потребителей города вызывает простой
предприятий, снижение выпуска продукции, а в ряде случаев и повреждение
оборудования. Перерыв в электроснабжении жилых кварталов приводит к прекращению
подачи воды, остановке лифтов, нарушению работы тепловых сетей, радио-,
телевизионных и телефонных станций, узлов связи.
При выполнении курсового проекта полагаю
достигнуть следующих целей:
Определить особенности устройства;
Подобрать альтернативный вариант выполнения
схемы;
Повторить требования к электрооборудованию;
Разобраться в схеме и конструкции механизма;
Познакомиться с процессом работы данного
устройства;
Произвести необходимые расчеты;
Сделать монтажную схему.
Характеристика объекта проектирования
Рис. 1
Грузовой лифт служит для транспортировки
габаритных и тяжёлых грузов.
При правильном обслуживании и своевременно
выполненном ремонте лифт является безопасным транспортным средством.
Безотказная система безопасности практически исключает возможность несчастного
случая.
Проектный срок эксплуатации лифта равен 25
годам. По истечении этого срока ходовая часть и системы безопасности лифта
должны пройти диагностику отдела технического контроля. Результат диагностики
определяет срок дальнейшей эксплуатации. Раз в год должно проводиться
техническое освидетельствование лифта.
Дистанционный диспетчерский контроль
обеспечивает исправность и доступ к лифтовому оборудованию, громкоговорящую
связь с лифтовой кабиной.
Проблемой современных многоквартирных домов
является сложность обеспечения пожарной безопасности лифта. При пожаре в здании
опасно использовать лифт.
В случае остановки кабины между этажами пассажир
должен нажать кнопку «Вызов» для связи с диспетчером. Выходить из кабины
самостоятельно, в таком случае, крайне опасно.
1. Требования к электрооборудованию
и схеме
Требование берем из ПУЭ
Электродвигатели и их коммутационные аппараты
Электродвигатели и их коммутационные аппараты
должны быть выбраны и установлены таким образом и в необходимых случаях
обеспечены такой системой охлаждения, чтобы температура их при работе не
превышала допустимой.
Электродвигатели и аппараты должны быть
установлены таким образом, чтобы они были доступны для осмотра и замены, а
также по возможности для ремонта.
Вращающиеся части электродвигателей и части,
соединяющие электродвигатели с механизмами (муфты, шкивы), должны иметь
ограждения от случайных прикосновений.
Для привода механизмов, не требующих
регулирования частоты вращения, независимо от их мощности рекомендуется применять
электродвигатели синхронные или асинхронные с короткозамкнутым ротором.
Электродвигатели, устанавливаемые на открытом
воздухе, должны иметь исполнение не менее IP44 или специальное, соответствующее
условиям их работы (например, для открытых химических установок, для особо
низких температур).
При наличии дистанционного или автоматического
управления электродвигателем какого-либо механизма вблизи последнего должен
быть установлен аппарат аварийного отключения, исключающий возможность
дистанционного или автоматического пуска электродвигателя до принудительного
возврата этого аппарата в исходное положение.
На корпусах аппаратов управления и разъединяющих
аппаратах должны быть нанесены четкие знаки, позволяющие легко распознавать
включенное и отключенное положения рукоятки управления аппаратом.
Коммутационные аппараты по своим электрическим и
механическим параметрам должны соответствовать характеристикам приводимого
механизма во всех режимах его работы в данной установке.
Защита от перегрузки должна предусматриваться на
электродвигателях, подверженных перегрузке по технологическим причинам, и на
электродвигателях с особо тяжелыми условиями пуска и самозапуска.
Для защиты электродвигателей от КЗ должны
применяться предохранители или автоматические выключатели.
1.1 Заземление и защитные меры
электробезопасности
Токоведущие части электроустановки не должны
быть доступны для случайного прикосновения, а доступные прикосновению открытые
и сторонние проводящие части не должны находиться под напряжением, представляющим
опасность поражения электрическим током как в нормальном режиме работы
электроустановки, так и при повреждении изоляции.
Требуемые значения напряжений прикосновения и
сопротивления заземляющих устройств при стекании с них токов замыкания на землю
и токов утечки должны быть обеспечены при наиболее неблагоприятных условиях в
любое время года.
Электротермические установки
Измерительные приборы и аппараты защиты, а также
аппараты управления ЭТУ должны устанавливаться так, чтобы была исключена
возможность их перегрева (от тепловых излучений и других причин).
1.2 Освещение
Для электрического освещения следует, как
правило, применять разрядные лампы низкого давления (например, люминесцентные),
лампы высокого давления (например, металлогалогенные типа ДРИ, ДРИЗ, натриевые
типа ДНаТ, ксеноновые типов ДКсТ, ДКсТЛ, ртутно-вольфрамовые, ртутные типа
ДРЛ). Допускается использование и ламп накаливания.
Сечение нулевых рабочих проводников трехфазных
питающих и групповых линий с лампами люминесцентными, ДРЛ, ДРИ, ДРИЗ, ДНаТ при
одновременном отключении всех фазных проводов линии должно выбираться:
. Для участков сети, по которым протекает ток от
ламп с компенсированными пускорегулирующими аппаратами, равным фазному
независимо от сечения.
. Для участков сети, по которым протекает ток от
ламп с некомпенсированными пускорегулирующими аппаратами, равным фазному при
сечении фазных проводников менее или равном 16 мм2 для медных и 25 мм2 для
алюминиевых проводов и не менее 50 % сечения фазных проводников при больших
сечениях, но не менее 16 мм2 для медных и 25 мм2 для алюминиевых проводов.
Установка предохранителей, автоматических и
неавтоматических однополюсных выключателей в нулевых рабочих проводах в сетях с
заземленной нейтралью запрещается.
Защитное заземление металлических корпусов
светильников общего освещения с лампами накаливания и с лампами
люминесцентными, ДРЛ, ДРИ, ДРИЗ, натриевыми со встроенными внутрь светильника
пускорегулирующими аппаратами следует осуществлять:
. В сетях с заземленной нейтралью - присоединением
к заземляющему винту корпуса светильника РЕ проводника.
Заземление корпуса светильника ответвлением от
нулевого рабочего провода внутри светильника запрещается.
. В сетях с изолированной нейтралью, а также в
сетях, переключаемых на питание от аккумуляторной батареи - присоединением к
заземляющему винту корпуса светильника защитного проводника.
При вводе в светильник проводов, не имеющих
механической защиты, защитный проводник должен быть гибким.
Защитное заземление корпусов светильников общего
освещения с лампами ДРЛ, ДРИ, ДРИЗ, ДНаТ и люминесцентными с вынесенными
пускорегулирующими аппаратами следует осуществлять при помощи перемычки между
заземляющим винтом заземленного пускорегулирующего аппарата и заземляющим
винтом светильника.
2. Расчетная часть
.1 Светотехнический расчет
Выбираем вид освещения - рабочее
Выбираем систему освещения - общее равномерное.
Для основного помещения выбираю лампы ДРЛ потому
что высота выше 3м и это допустимо, для остальных люминесцентные низкого
давления (ЛБ), потому что они экономичные, а так же для помещений КТП и склада
строй материалов я выбираю лампы накаливания так как люминесцентные лампы не
могут обеспечить нам требуемую освещённость для данных помещений.
Выбираем светильник: для основного помещения (
,
для остальных помещений выбераю (
Р - ртутные типа ДРЛ
С - подвесные
П - для промышленных предприятий
- номер модификации
- мощность лампы, Вт
Л - прямые трубчатые люминесцентные
П - для промышленных предприятий
- номер модификации
- мощность лампы, Вт
Тогда
,
для Г - 0,9; Д-1,2 где h - расчетная высота, м, L - расстояние между рядами
светильников, м (
)
2.2 Растворный пункт
Находим расстояние между рядами светильников
Находим расчетную высоту
Где H - это высота помещения,м;
-
высота свеса,м;
- высота рабочей
поверхности, м.
Находим расстояние от стенок до светильников
Для всего остального находим аналогично, данные
заносим в таблицу 1.
Для расчета определяем нормируемые показатели,
это освещенность (Eн) и коэффициент запаса (
)
по таблице 56.23 [18]
Данные светотехнического расчета заносим в таблицу
1.
2.3 Расчет осветительной сети
Помещение растворного пункта
Находим необходимую мощность лампы.
= 8 - удельная освещенность, Вт/м2 [табл
.56.34]- количество светильников, шт.- площадь помещения, м2
Выбираем лампу ДРЛ на 400 Вт (ДРЛ 400) [по
таблице 56; 18], её световой поток равен Ф=200 лм
Делаем проверку точечным методом.
Определяем расстояние от лампы до контрольной
точки
Где
-
расстояние от лампы до контрольной точки,
-
расстояние от лампы до контрольной точки с другой стороны, h- высота расчетная,
м.
Определяем плотность светового потока
Где
-
нормируемая освещенность, лк
- коэффициент
запаса,
- условная
освещенность, лк.
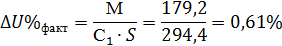
Определяем погрешность
Для остальных помещений расчёт ведём аналогично,
данные заносим в таблицу 1.
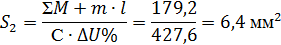
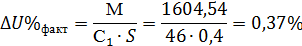
Проверка по потере напряжения
Рисунок 1 - Расчетная схема
В данном цехе осветительная сеть питается от
Трансформатора марки ТМ-240-0,4. Он загружен на 0,6 потому что потери U=5,9%
Т - трансформатор
М - масленый
- мощность [кВТ]
,4 - напряжение [кВ]
Определяем момент нагрузки от щита до РУ
Р - мощность светильников, кВт
- длина от ОЩ до
самой дальней лампы, м.
Находим расчетное сечение
Выбираем кабели АВВГ
А - алюминиевая жила
В - оболочка из поливинилхлорида
В - изоляция и поливинилхлорида
Г - отсутствие защитных покровов поверх оболочки
Выбираем аппараты защиты
Автомат для ОЩ
Выбираем автомат ВА51-16-3 на 16 А [12]
В- выключатель; А - автоматический; 51 - серия
выключателя; 16 - ток номинальный, А. 3 -число полюсов
2.4 Особенности эксплуатации
электрооборудования
Основные элементы схемы:- Предохранитель (защита
от токов короткого замыкания)
НА - Звонок сигнальный
НL - Лампа сигнальная
Режим работы:
ручной, от кнопок.
Работа схемы:
Привод осуществляется от асинхронного двигателя
с короткозамкнутым ротором M, параллельно обмотке статора включен
электромагнитный тормоз YB колодки которого разжимаются при подаче напряжения
на двигатель.
Для передвижения кабины лифта вверх или вниз
надо перевести рычажный переключатель SA в положение 1 либо 2. Через контакты
дверей шахты SY1-SY3, контакты конечных выключателей SY4, SY5( размыкаются при
срабатывании механизма ловителей при обрыве несущих канатов), контакт дверей
кабины SY6 и гибкий кабель от сети подаётся напряжение на катушку контактора
КМ1 либо КМ2 на статор двигателя и на электромагнитный тормоз будет подано
питание, и кабина лифта начнёт движение вверх либо вниз. Для остановки
двигателя рукоятку переключателя SA следует переместить в среднее положение,
тогда контактор потеряет питание и отключит свои контакты, двигатель
соответственно тоже потеряет питание, электромагнитный тормоз зажмёт колодки.
Вызов лифта на этажи производится с помощью
кнопок SB1-SB3.
В целях обеспечения безопасности обслуживания
лифта цепь сигнализации подключена к сети через понижающий трансформатор TV.
|
Характер
неисправностей
|
Причины
возникновения
|
Методы
устранения
|
|
Установка
не запускается.
|
Падение
или отсутствие напряжения.
|
Проверить
наличие и величину напряжения.
|
|
Кабина
не останавливается на определенном этаже.
|
Неправильное
соединение кнопок
|
проверить
контакты кнопок
|
|
Неточная
остановка кабины.
|
Тормоз
привода значительно изношен. Этажный выключатель неправильно установлен.
|
Проверить
колодки электромагнитного тормоза, а так же место установки этажных конечных
выключателей
|
|
Не
функционируют индикаторы.
|
Разомкнулись
соединения или деталь дефектная (лампа или весь блок).
|
Проверить
соединения ведущие до места неполадки
|
|
Привод
перегревается.
|
Температура
в машинном помещении выше установленного предела 40°
|
Измерить
температуру в машинной отделении установить вентиляцию.
|
2.5 Выбор элементов схемы
Выбираем аппараты защиты и двигатель
Рассчитываем и выбираем двигатель
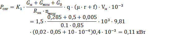
Определяем статическую мощность на валу
двигателя при передвижении с грузом:
Gм = 0,285 т - масса лифта Gном = 0,5 т -
грузоподъёмность лифта G0 = 0,005 т - масса кабины Vм = 0,4 м/с - скорость
передвижения ПВр = 25% - продолжительность включения при работе ПВк = 40% - продолжительность
включения каталожная Rхк = 0,1м - диаметр ходового колеса r = 0,15 м - диаметр
цапфы
Определяем статическую мощность на валу
двигателя при передвижении без груза:
Определяем статическую эквивалентную мощность на
валу двигателя:
Определяем расчётную мощность электродвигателя
Для механизма перемещения выбираю двигатель АД с
КЗР марки MTKF 011-6
МТ - серия АД, краново-металлургическая К -
исполнение ротора, короткозамкнутый (если буква отсутствует - фазный ротор) F -
класс нагревостойкости F, до 155 Cо 011 - высота оси вращения, 11 мм 6 - число
полюсов
ном = 1,4 кВт Iном = 5,2 А cosɸ = 0,66 ɳ
= 61,5 % nном = 875 об/мин Mмах = 41 Н·м
Проверка двигателя
Проверка по допустимому нагреву
Должно выполняться условие:
- двигатель
подходит по допустимому нагреву
Проверка по допустимой перегрузке
Должно выполняться условие:
- условие
выполняется
Проверка по надёжности пуска и разгона
Должно выполняться условие:
- условие
выполняется
После проверки делаем вывод что двигатель выбран
верно.
Находим ток двигателя
Выбираю контактор для пуска двигателя (KM1-КМ2)
ПМЛ-116М IP20 Iн= 10 А
ПМЛ - название серии пускателя
- номинальный ток 10А
- пускатель нереверсивный, без теплового реле.
- защита IP20
М - возможность крепления к дин-рейке
Выбираем общий автомат для защиты главной цепи

Выбираю автомат ВА47-6-3
В - выключатель
А - автоматический
серия
- номинальный ток
- количество полюсов
Выбираю гибкий кабель для питания кабины лифта
Выбираю кабель КГ (4х1,5)
К - кабель
Г - гибкий
- количество жил
,5 - сечение жилы
Выбор электромагнитного тормоза
Для лифта нужно выбирать тормоз с нормально
сжатыми тормозными колодками т.е. при подачи питания на тормоз колодки
разжимаются, при отсутствии питания колодки сжаты.
Выбираю тормоз ТКГ-500
Т - тормоз
К - крановый
- диаметр тормозного шкива.
Выбираем промежуточное реле
РЭК77/3 10А 24В
РЭК77/3 - номер серии
Выбираем понижающий трансформатор для питания
цепи управления
Выбираю трансформатор ОСМ 220/24
О - однофазный
С - сухой
М - многоцелевого назначения
- напряжение первичной обмотки
- напряжение вторичной обмотки
Предназначены для питания цепей управления,
местного освещения, сигнализации и автоматики напряжение первичной обмотки 220
В.
Выбираем конечные выключатели дверей и этажные
конечные выключатели
Выбираю конечный выключатель марки ВК200Г
В - выключатель
К - конечный
- серия
Г - герметичный
Выбираем кнопки управления
КЕ 012В
КЕ - обозначение серии
- кнопка цилиндрическая с защитой IP 40
- тип исполнения
Выбираем предохранитель
Номинальный ток цепи управления:
А
Ток плавкой вставки должен быть рассчитан на ток
не ниже
Предохранитель выбираем по току на U=220В Iн=10А
ПРС-10
П - предохранитель;
Р - разборный;
С - серия;
- номинальный ток предохранителя.
2.6 Пусконаладочные работы
|
Наименование
работ
|
Схема
|
Требования
|
|
Электродвигатели
переменного тока
|
|
Измерение
сопротивления обмотки статора переменному току
Измеряется
мегометром
|
R
Не менее 7 Мом [табл 1.8.10; 9]
|
|
|
Проверка
работы электродвигателя на холостом ходу или с ненагруженным механизмом
|
|
Продолжительность
проверки не менее 1 часа. При этом смотрят тряску, нагрев и другие видимые
характеристики. Iн =1,5А (50% от Iн под нагрузкой)
|
|
Проверка
работы электродвигателя под нагрузкой
|
Производится
при нагрузке, обеспечиваемой технологическими оборудованием к моменту сдачи в
эксплуатацию Iн=3А
|
|
|
Воздушные
выключатели
|
|
|
Измерение
сопротивления изоляции
|
Производится
мегометром на u=2,5 кВ
|
|
|
Проверка
минимального напряжения срабатывания выключателя
|
Электромагниты
должны срабатывать при U не более 0,65Uном при питании от источника
переменного тока.
|
|
|
Испытание
выключателя многократным включением и отключением
|
|
Устанавливается
согласно таблицы 1.8.20 ПУЭ, а именно включение и выключение производится не
менее 3-6 раз.
|
|
Электрический
аппараты, вторичные цепи и электропрододки напряжением до 1 кВ
|
|
|
Измирение
сопротивления изоляции
|
Сопротивление
изоляции должно быть не менее значений, приведенных в таб. 1.8.34
|
|
|
Заземляющие
устройства
|
|
Проверку
следует производить путем осмотра элементов заземляющего устройства в
пределах допустимости осмотра.
|
|
Проверка
цепи между заземлительным и заземляющим элементами
|
|
Следует
проверить сечения, целостность и прочность проводников и их соединений и
присоединений. Надежность сварки проверяется ударом молотка.
|
|
Проверка
состояния пробивных предохранителей в электроустановках до 1 кВ
|
|
Должны
быть исправны и соответствовать номинальному напряжению электроустановки.
|
2.7 Составление монтажной схемы
Монтажная схема грузового лифта представлена на
листе 2 графической части.
На монтажной схеме аппараты и другие приборы
изображаются нераздельными, отражая действительное расположение отдельных
аппаратов и узлов электрооборудования в шкафах и панелях управления и способ
осуществления электрических соединений между ними. Все внешние присоединения
выполняются только через клемники Х1;Х2;Х3.
Аппараты располагаются в 5 зонах
Машинное отделение
Диспетчерская
Этаж
Шахта
Кабина
Составление схемы соединений производится по
принципиальной электрической схеме. При этом применяют те же условные
обозначения аппаратуры и маркировку, что и на принципиальной схеме.
Монтажная схема выполнена методом адресов.
Выбираем кабели на главную цепь и цепь
управления грузового лифта.
Исходя их того, что Iн привода = 4А Iн тормоза
=6А, Iн цепи управления = 8А, находим кабели по току [табл. 1.3.4; 9]
На двигатель привода кабины и тормоз - кабель
АВВГ (4х2,5) [табл. 1.3.4; 9]
А - алюминиевая жила
В - оболочка из поливинилхлорида
В - изоляция и поливинилхлорида
Г - отсутствие защитных покровов поверх брони
или оболочки
- количество жил
,5 - сечение жилы, мм2
На цепь управления - кабель АВВГ (1х1,5) [табл.
1.3.4; 9]
А - алюминиевая жила
В - оболочка из поливинилхлорида
В - изоляция и поливинилхлорида
Г - отсутствие защитных покровов поверх брони
или оболочки
- количество жил
,5 - сечение жилы, мм2
На главную цепь - кабель ВВГ (4х16) [табл.
1.3.4; 9]
медные жилы
В - оболочка из поливинилхлорида
В - изоляция и поливинилхлорида
Г - отсутствие защитных покровов поверх брони
или оболочки
- количество жил
- сечение жилы, мм2
2.8 Техника безопасности при
обслуживании и ремонте
лифт электродвигатель ремонт
пусконаладочный
Персонал для работы в электроустановках
готовится специально.
К работе могут быть допущены лица, достигшие
18-летнего возраста, прошедшие медицинскую комиссию и имеющие удостоверение на
право производства работ. В удостоверении указывается группа по технике
безопасности, соответствующая тем работам, которые могут быть доверены данному
лицу.
Для персонала, непосредственно работающего в
электроустановках, производится повторная проверка знаний раз в год.
Для безопасности работ в электроустановках
осуществляются организационные и технические мероприятия.
Организационными мероприятиями являются:
оформление работы нарядом или распоряжением;
допуск к работе
надзор во время работы
оформление перерывов в работе, переводов на
другое рабочее место, окончания работы.
К техническим мероприятиям относятся:
производство необходимых отключений и принятие
мер, препятствующих ошибочному или самопроизвольному включению;
вывешивание плакатов и при необходимости
установка ограждений, присоединение к заземленным частям переносных заземлений,
проверка отсутствия напряжения на токоведущих частях, к которым должно быть
присоединено переносное заземление;
наложение заземлений.
Если работа выполняется без применения
переносного заземления, то должны быть приняты дополнительные меры по
предотвращению ошибочного включения, например, запирание приводов аппаратов,
снятие рукояток рубильников и автоматов, снятие предохранителей, установка
накладок между ножами и контактными стойками рубильников.
При невозможности осуществить эти меры должны
быть отсоединены провода, по которым может быть ошибочно подано напряжение.
Ремонт производится только при отсутствии
напряжения и создании видимого разрыва.
На начало ремонта персонал должен убедиться в
отсутствии напряжения.
Для вывода нагревателя в ремонт, необходимо
нажать кнопку «Стоп», подождать пока насос прогонит остатки жидкости, выключить
автоматы QF1,QF2, и вынуть предохранитель Fu, чтобы обеспечить безопасную
работу.
Заключение
При выполнении данного курсового проекта я
провёл исследовательскую работу в части оборудования грузового лифта, поработал
с литературой по оборудованию, а так же попрактиковался в графическом
изображении, составлении монтажной схемы и расчёта освещения для разного типа
помещений. Кроме этого ознакомился с особенностями оборудования грузового
лифта. Закрепил теоретические знания по дисциплине электрическое и
электромеханическое оборудование.
Мой курсовой отличает:
Низкие затраты на электроэнергию, ввиду того,
что освещение выполнено в большинстве своем люминесцентными лампами, а они
самые экономичные.
Надежность электрооборудования, все оборудование
выбрано в согласии с условиями эксплуатации, ввиду чего оно прослужит
максимально долго.
Безопасность, все участки цепи имеют защиту от
токов КЗ, и некоторые от перегрузки. А так же заземление оборудования
обеспечивает высокую степень безопасности персонала от поражения электрическим
током.
Список литературы
1. Акимова
Н.А. Монтаж, техническая эксплуатация и ремонт электрического и
электромеханического оборудования.- М. Мастерство. 2001.
2. Камнев
В.Н. «Чтение схем и чертежей электроустановок». М.В.Ш. 1991.
. Каталог
информэлектро ОКП 4 2441 0000.
. Копылов
И.П.Справочник по электрическим машинам И.П. Том 1. -М. Энергоатомиздат. 1988.
. Москаленко
В.В. Справочник электромонтера. ПОИ - М., 2002.
. Межотраслевые
правила по охране труда (правила безопасности) при эксплуатации
электроустановок потребителей. - М., НЦ ЭНАС, 2001.
. Дьяков
В.И. Типовые расчеты по электрооборудованию
. Правила
устройства электроустановок. - М., НЦ ЭНАС, 2006.
. Правила
технической эксплуатации электроустановок потребителей. Санкт - Петербург.
ДЕАН, 2003.
. Справочник
по низковольтным аппаратам. Часть 1. -М., 1991.
. Справочник
по низковольтным аппаратам. Часть 2. -М., 1991.
. Справочник
по низковольтным аппаратам. Часть 3. -М., 1991.
. Справочник
по электроснабжению и электрооборудованию. Том 2. Под редакцией А.А. Федорова.
- М., 1987.
. Шеховцов
В.П. Электромеханическое и электромеханическое оборудование. - М.
«ФОРУМ-ИНФРА». 2006.
. Шеховцов
В.П. Расчет и проектирование ОУ и электроустановок промышленных механизмов. -
М. «ФОРУМ-ИНФРА». 2010.