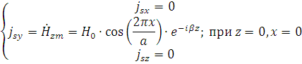
|
μr1=
μr2=1; σ1=σ2=0
|
|
εr1
|
εr2
|
2h, мкм
|
f, ТГц
|
P(1), мВт
|
P(2), мВт
|
|
2.25
|
1
|
1
|
320
|
-
|
0.01
|
Задание:
1. С помощью
уравнений Максвелла записать выражение для всех остальных, не заданных в
условии задачи, составляющих векторов
в средах 1 и 2.
. На основе
граничных условий и связи поперечных волновых чисел с коэффициентом
распространения b составить уравнения для определения поперечных волновых чисел
.
Решить полученные уравнения относительно
.
. Определить
обеспечивается ли одноволновый (одномодовый) режим работы световода на частоте
f. Если условия одноволновости не выполняется, определить максимальную толщину
световода для его выполнения.
. Определить
параметры
,
а также, используя заданную величину Р(1), определить постоянные А и
В для низшего типа волны.
. Рассчитать и
построить зависимости амплитуд всех составляющих полей от координаты Х для
низшего типа волны в средах 1 и 2.
. Определить
процентное соотношение мощностей Р(2) и Р(1), проходящих
через поперечное сечение сред 1 и 2 для низшего типа волны.
. Заменить
плоский световод волоконным диаметром 2h с параметрами er1,
mr1,
окруженным защитной оболочкой с параметрами er2, mr2.
В этом случае:
7.1. определить, обеспечивается ли
при заданных параметрах световода и частоте f одноволновый (одномодовый) режим
работы световода на волне основного (низшего) типа НЕ11, для которой lкр = ¥;
.2. если условие одноволновости
не выполняется, определить минимальную необходимую диэлектрическую
проницаемость защитной оболочки световода er2 для его выполнения;
.3. изобразить структуру поля
основного типа волны НЕ11 в поперечном сечении волновода
2.
Выполнение задачи №1
Используя уравнения Максвелла, найти
комплексные амплитуды всех остальных, не заданных в условии задачи,
составляющих векторов Е и Н.

Определить диапазон частот, в
котором рассматриваемое поле представляет собой волну, бегущую вдоль оси z.
Записать выражения для мгновенных
значений всех составляющих векторов полей. Рассчитать и построить графики
зависимостей мгновенных значений составляющих полей от координаты z (при x=a/3,
y=b/3) в два момента времени: t1=0 и t2=T/4 в интервале 0≤z≤2Λ, где Λ - длина волны в волноводе
на частоте f2. Задание этого пункта выполняется для двух частот: f1,
f2
Мгновенные значения напряженности
поля равно:
Для частоты f1=3
ГГц
Гц
с
с
м
м
Для частоты f1=8
ГГц
Гц
с
с
м
м
м - длинна волны в волноводе
Проверить
выполнение граничных условий на стенках волновода.
Определить максимальные значения
плотностей продольного и поперечного поверхностных токов на всех стенках
волновода на частоте f2
Согласно граничным условиям на
поверхности идеального металла плотность поверхностного тока определяется
соотношением:

где n0 -
нормаль к данной стенке волновода.
Найдем токи на
нижней стенке волновода
Максимальные значения
плотностей
Найдем токи на
верхней стенке волновода
Максимальные значения
плотностей
Найдем токи на
правой стенке волновода
Найдем токи на
левой стенке волновода
Максимальные значения
плотностей
Вычислить средний за период поток
энергии через поперечное сечение волновода на частоте f2.
По определению среднее значение
потока энергии

сопряженное

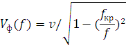
Определить фазовую скорость Vф и
скорость распространения энергии волны Vэ на частоте f2. Рассчитать
и построить графики зависимостей этих скоростей от частоты.
Фазовая скорость определяется по
формуле:

- скорость света в
середе
Скорость распространения
энергии волны:
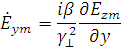
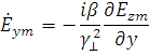
С помощью уравнений
Максвелла записать выражение для всех остальных, не заданных в условии задачи,
составляющих векторов
в
средах 1 и 2.
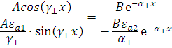
Среда 1:
Отсюда, при условии 
Среда 2:
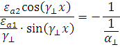
На основе граничных
условий и связи поперечных волновых чисел с коэффициентом распространения b
составить уравнения для определения поперечных волновых чисел
. Решить полученные
уравнения относительно 
.
Запишем уравнение Гельмгольца
Подставив наши функции находим
Сложим полученные выражения
Используем граничные условия

; 

Разделим уравнения:
Помножим уравнения на 
Построим графики функций

и
Точка пересечения этих
графиков (
Точка пересечения: 
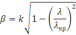
Определить обеспечивается ли
одноволновый (одномодовый) режим работы световода на частоте f. Если условия
одноволновости не выполняется, определить максимальную толщину световода для
его выполнения.
Условие одноволнового режима работы
световода на частоте f:

(одна точка пересечения)

условие одноволнового
режима работы выполняется.
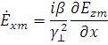
Определить параметры
, а также, используя
заданную величину Р(1), определить постоянные А и В для низшего типа
волны.
Задано P2. Мы можем записать
выражение
Пользуясь граничными
условиями 
найдем 

; 
Рассчитать и построить зависимости
амплитуд всех составляющих полей от координаты Х для низшего типа волны в
средах 1 и 2.
Для построения графиков необходимо
перейти от комплексных значений к реальным
Для удобства примем z=0
Построим график
зависимости составляющей 
Построим график
зависимости составляющей 
Построим график
зависимости составляющей 
Из графиков видно, что вне пластины
поле убывает по экспоненте.
Определить процентное соотношение
мощностей Р(2) и Р(1), проходящих через поперечное
сечение сред 1 и 2 для низшего типа волны
Заменить плоский
световод волоконным диаметром 2h с параметрами 
, 
, окруженным защитной
оболочкой с параметрами 
, 
Определить,
обеспечивается ли при заданных параметрах световода и частоте f одноволновый
(одномодовый) режим работы световода на волне основного (низшего) типа НЕ11,
для которой lкр
= ¥
Для того, чтобы волна
распространялась в направляющей системе необходимо, чтобы 
Длина волны в среде: 
Т.е. если

условие одноволновости
не выполняется

условие одноволновости
определяется
Рассчитаем критическую
длину волны:

- корень
функции Бесселя для волны типа Е01
В нашем случае 
- условие
одноволновости не выполняется
Если условие
одноволновости не выполняется, определить минимальную необходимую диэлектрическую
проницаемость защитной оболочки световода 
для его выполнения

.
Список литературы
монохроматический
электромагнитный максвелл волна
1) Техническая электродинамика Ю.В. Пименов, В.И. Вольман,
А.Д. Муравцов, изд. Радио и связь 2000 г.