Издержки предприятия и пути их оптимизации
1.
Организационно-экономическая характеристика предприятия
1.1 Организационно-правовая
форма, структура управления и основные виды деятельности предприятия
Объектом работы является торговая
группа «Ижтрейдинг» и супермаркет «Миндаль» как его структурное подразделение.
Местонахождение торговой группы: г. Ижевск, ул. Удмуртская, 212.
Торговая сеть «Ижтрейдинг» - это
сеть продовольственных магазинов, оптовая база, производство мясных и овощных
полуфабрикатов, кондитерское производство, кафе и собственный транспортный
отдел.
Девиз Компании: «Отличный сервиз -
путь к успеху, благополучию и удовольствию от работы».
Основная ценность Компании - это
люди:
- покупатели, ради
которых работает Компания, и стремиться сделать пребывание в наших магазинах
комфортным и максимально выгодным;
- сотрудники, «лицо»
и «фундамент» Компании.
Торговая группа «Ижтрейдинг»
занимает одно из ведущих мест на рынке оптовой и розничной торговли продуктов
питания Уральского региона и Удмуртской Республики.
Компания начала свою деятельность в
1992 году по направлению «Оптовая торговля продуктами питания» и стала
дистрибьютором многих российских предприятий - производителей в Удмуртии
(табачных фабрик, производителей макаронной, кондитерской продукции).
С 1998 года началось освоение
сектора розничной торговли республики. В Ижевске был открыт один из первых
магазинов - супермаркетов, работающих по принципу «самообслуживания
покупателей».
В 2002 году Компания стала одной из
20 аккредитированных фирм, работающих на рынке оптовой торговли алкогольной
продукции в Удмуртии. В настоящее время торговая сеть Компании включает в себя
комплекс современных компьютеризированных торговых и складских предприятий,
работающих в единой системе, в том числе:
· три
складских комплекса в разных районах города общей площадью 15 300 м2.
Все складские комплексы являются собственностью Компании;
· сегодня
ТГ «Ижтрейдинг» - это 63 магазина, расположенные в городах Удмуртии, в г.
Чайковском и Нефтекамске и более 4 000 сотрудников.
Основные направления деятельности
компании:
· оптовая
торговля продуктами питания (в том числе табачными изделиями, алкогольной
продукцией).
· розничная
торговля.
· транспортные
услуги, международные и междугородние перевозки, транспортно-экспедиционная
деятельность.
Интеллектуальной собственностью
Компании является зарегистрированный в Роспатенте товарный знак «Ижтрейдинг»,
имеющий известность на рынке продуктов питания и транспортных услуг Уральского
региона. Супермаркеты «Ижтрейдинг» были первыми «ласточками», а уж вслед за
ними началось массовое открытие супермаркетов других фирм
Супермаркет осуществляет свою
деятельность на основании Устава предприятия, лицензии, свидетельства,
сертификата соответствия. (ПРИЖЕНИЕ)
Структура управления торговым
предприятием должна удовлетворять таким требованиям:
· соответствовать
функциональному содержанию процесса управления предприятием;
· обеспечить
планомерное развитие управляемой системы;
· обладать
возможностями для внедрения в практику достижений науки и передового опыта.
На структуру управления оказывают
влияние численность сотрудников, подчиненных одному руководителю, объем
товарооборота, специализация, количество подведомственных торговых единиц
(структурных подразделений).
Структура управления на предприятии
ТГ «Ижтрейдинг» механическая (дивизиональная). Связи в структуре имеются как
вертикальные, так и горизонтальные.
Механические структуры
характеризуются следующими принципами:
· централизованное
принятие решений (то есть, право принять окончательное решение принадлежит
одному человеку - директору).
· четкое
разделение труда - что приводит к повышению квалификации специалистов в каждой
области.
· иерархичность
уровней управления (то есть, каждый нижестоящий уровень контролируется
вышестоящим и подчиняется ему)
· принцип
единогласия.
· осуществление
приема на работу в строгом соответствии с квалификационными требованиями.
Структура магазина является
дивизиональной (товарной), так как магазин специализируется по 3 видам товарных
групп. Эти отделы действуют почти как самостоятельные организации и подчиняются
генеральному директору.
Высший уровень управления -
институционный уровень, средний - управленческий уровень, нижний - технический
уровень управления.
На генеральном директоре ТГ
«Ижтрейдинг» лежит решение огромного числа задач:
· принятие
ориентированных на выбранный сегмент рынка решений, направленных на
удовлетворение потребностей клиентов;
· определение
общих направлений политики предприятия в рамках поставленных целей и задач, в
том числе проведение финансовой политики, к которой могут быть отнесены такие
вопросы, как определение лимитов расходов на содержание персонала, предельные
расходы на административные и хозяйственные нужды.
Руководитель высшего звена вправе
также решать, какая система расчетов с клиентами наиболее предпочтительна,
какие кредитные, дисконтные и бонусные карточки будут приниматься в
предприятии.
Руководитель отдела снабжения,
товаровед как руководители среднего звена определяют принципиальные вопросы
закупочной политики, в частности ориентацию на определенных поставщиков. Они по
согласованию с генеральным директором ТГ «Ижтрейдинг» вправе определить круг
поставщиков, деловые отношения с которыми магазин будет поддерживать в первую
очередь. Управленцы среднего звена обеспечивают реализацию политики
предприятия, разработанной высшим руководством, и несут ответственность за
доведение приказов, указаний, инструкций, детальных заданий до подразделений, а
также за их своевременное выполнение.
Специалист по снабжению обеспечивает
выполнение четкого снабжения предприятия товарами, предметами
материально-технического оснащения, инвентаря. Устанавливает деловые,
договорные отношения с определенным высшим руководством кругом поставщиков,
проводит маркетинговый анализ рынка поставщиков, на основании прайс-листов,
рекламных объявлений, личных контактов. В непосредственном подчинении у
специалиста по снабжению находится: товаровед.
К аппарату управления торгового
предприятия относятся директор магазина, товаровед и менеджеры по
товародвижению.
К персоналу торгового зала относятся
администраторы, старший кассир и кассиры, заведующие секциями, менеджеры
торгового зала, фасовщики, приемосдатчики ручной клади и грузчики.
Директор магазина осуществляет
текущее руководство. К текущему управлению относятся организация завоза и
реализация товаров, повседневный контроль за работой, оперативное устранение
причин, мешающих нормальному ходу торгово-технологического процесса. Текущее
управление торговым процессом обеспечивает организационную устойчивость работы
всех подведомственных торговых и хозяйственных единиц экономичного и
своевременного выполнения поставленных планов и задач.
Менеджер по товародвижению
подчиняется директору магазина. Он осуществляет проверку и оприходование
принятого товара, проверяет верность штрих-кодов, заводит с помощью сканера штрих-код,
оформляет ценники, анализирует товародвижение, организует эффективное движение
товаров.
Товаровед находится также в
подчинении директора магазина. Осуществляет оценку правильности учета товаров,
ревизии, контроль за соответствием цен товаров данным учета, сроки реализации,
составляет заявки на товар.
Администратор зала подчиняется
директору магазина. В его непосредственном подчинении находятся заведующие
секциями, менеджеры торгового зала, уборщики, приемосдатчики ручной клади.
Основной задачей деятельности является контроль за соблюдением персоналом
надлежащего качества и культуры обслуживания покупателей при оказании услуг
торговли.
Старший продавец подчиняется
директору магазина. В его подчинении находятся фасовщики и грузчики. Основной
задачей деятельности является прием и размещение товара на складе.
Старший кассир сотрудник магазина,
осуществляющий контроль за денежными потоками по кассовым аппаратам. В его
непосредственном подчинении находятся продавцы-кассиры. Основными задачами
являются контроль кассовых операций по приему, выдаче и хранению денежных
средств, введение и предоставление кассовой отчетности, передача денежной
наличности на инкассацию.
Менеджер торгового зала - сотрудник
магазина, представляющий посредством своей деятельности саму фирму, ее
реализуемую продукцию и услуги клиентам и потребителям в магазине. Работа
менеджера зала заключается в выполнении поставленных руководителями планов по
объемам продаж, мерчендайзеру на выделенной территории, а также поддержании и
улучшении отношений с потребителями. В деятельности он подчиняется
администратору зала. Основными задачами являются: выкладка товара в торговый
зал, помощь старшему продавцу в приемке товара, замещение администратора с
исполнением его обязанностей.
Продавец-кассир - сотрудник
магазина, осуществляющий контроль за денежными потоками по кассовым аппаратам
магазина. При выполнении служебных обязанностей находится в непосредственном
подчинении старшего кассира. Его основными задачами являются осуществление
кассовых операций по приему, учету, выдаче и хранению денежных средств,
составление заявления о возврате товара и аннуляции кассового чека.
Фасовщик подчиняется старшему
продавцу магазина. Основной задачей деятельности является расфасовка товара с
целью удовлетворения покупательского спроса, улучшения обслуживания
покупателей.
Приемосдатчик ручной клади
подчиняется администратору зала. Основной задачей деятельности является прием,
хранение и выдача вещей покупателей.
Грузчик подчиняется старшему
продавцу магазина и осуществляет погрузочно-разгрузочные работы.
Уборщик производственных и служебных
помещений подчиняется администратору зала. Основной задачей деятельности
является уборка помещений магазина.
Уборщик территории подчиняется
директору магазина. Основной задачей деятельности является поддержание в
чистоте прилегающей территории.
Должностные инструкции каждому
исполнителю разрабатывает руководитель предприятия. Эти инструкции отражают
задачи, стоящие перед тем или иным отделом, четко определяют обязанности
работников с учетом их взаимозаменяемости (на время отпуска, болезни и т.д.),
обеспечивают правильное использование труда специалистов. (ПРИЛОЖЕНИЕ)
1.2 Месторасположение
предприятия и зона обслуживания, конкуренты и потребители продукции, товаров и
услуг
Магазин является смешанным,
обслуживает контингент покупателей с различным уровнем дохода.
На рынке продуктовой розницы Ижевска
можно выделить шесть крупных продовольственных сети - «Магнит», «Айкай»,
«Ижтрейдинг», «Столичный», «Карусель», «Пятерочка».
Но так как Столичный и Карусель
находятся на достаточно большом расстоянии от данного магазина, в расчет
основных конкурентов их не берем.
Для определения конкурентов магазина
«Миндаль», проведено исследование розничного торгового пространства.
Розничное торговое пространство
(зона обслуживания) - это территория притяжения, в пределах которой
расположенное предприятие притягивает к себе покупателей.
Оно определяется формой торгового
пространства и радиусом обслуживания.
Форма торгового пространства имеет
геометрическую форму и зависит от структуры транспортной сети, материальных и
общественных преград, структуры конкурентов.
Анализ конкурентов магазина
«Миндаль»:
. Определяем торговую площадь
своего предприятия и ближних конкурентов, для этого составим таблицу 1.
(Дислокация местности - рисунок 1).
Таблица 1 - Торговые площади
основных конкурентов магазина «Миндаль».
|
Название торговой точки
|
Форма обслуживания покупателей
|
S
торговая, кв. м.
|
|
Магнит
|
Самообслуживание
|
235
|
|
Пятерочка
|
Самообслуживание
|
323
|
|
Айкай
|
Самообслуживание
|
150
|
|
Миндаль
|
Самообслуживание
|
222
|
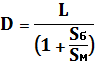
. Определяем расстояние (L) до каждого конкурента (по карте)
L (от м-на «Миндаль» до м-на «Магнит») = 139 м
L (от м-на «Миндаль» до м-на «Пятерочка») = 64,1 м
L (от м-на «Миндаль» до м-на «Айкай») = 244 м
Рисунок 1 - Дислокация местности
. Определение торгового
пространства магазина «Миндаль» производится по следующей формуле 1:

, (1)
где D - граница зоны
обслуживания более мелкого магазина по направлению к более крупному магазину,
м;- расстояние между магазинами, м;б / Sм - торговая площадь, м2.(Магнит)
= 139 / (1 + 1480 / 323) = 55,98 (м)(Пятерочка) = 64,1 / (1 + 1480 /150) =
43,78 (м)(Айкай) = 244 / (1 + 1480 /290) = 100,81 (м)
Месторасположение магазина «Миндаль»
достаточно удобное по сравнению с конкурентами, имеется удобная парковка,
несколько подъездов ко входу, недалеко располагаются остановочные комплексы.
Выведем оценку сильных и слабых сторон
магазина «Миндаль», используя элемент ранжирования по десятибалльной системе (1
балл наименьший, 10 - наивысший). (Таблица 2)
Таблица 2 - Рейтинг
покупательской привлекательности торговых сетей г. Ижевска
|
Торговая сеть
|
Ассортимент
|
Местоположение
|
Персонал
|
Наличие доп. сервисов
|
Интерьер магазинов
|
Суммарный средний балл
|
|
«Ижтрейдинг»
|
7,4
|
7,2
|
6
|
6,25
|
6,8
|
6,73
|
|
«Пятерочка»
|
7,2
|
6,8
|
5,6
|
6
|
6,4
|
6,4
|
|
«Магнит»
|
4,8
|
5,8
|
3,4
|
2,5
|
3,6
|
4,02
|
|
«Айкай»
|
3,8
|
4,6
|
2
|
2,5
|
2,4
|
3,06
|
По итогам опроса
выяснилось, что для покупателей ключевыми характеристиками привлекательности
той или иной торговой сети являются наличие в магазинах обученного,
коммуникабельного и (немаловажно) тактичного персонала, а также сервис и
интерьер (экстерьер) магазинов. Аутсайдером рейтинга по этим критериям
оказалась торговая сеть «Айкай» (являющаяся, в то же время крупнейшей по числу
магазинов), и не трудно предположить, что заложенный в них негатив уже не
позволил нашим респондентам объективно оценить сеть по другим критериям.
Например, «Айкай» имеет большое количество магазинов, расположенных в удобных и
оживленных местах, однако по критерию «Близость к транспортным потокам, наличие
парковки» сеть получила одну из самых низких оценок. Негатив наложился фоном.
Объективно говоря,
по удобству расположения магазинов представленные в рейтинге сети примерно
равны, однако разброс в оценках говорит о том, что даже удобно расположенный
магазин с хорошим ассортиментом покупатели будут обходить стороной, если в нем
неряшливый, хамоватый персонал и обшарпанные прилавки.
Ни один рынок не может существовать
без потребителя. Потребитель - не пассивный покупатель, а полноправный участник
коммерческой деятельности, ее регулятор.
Покупатели очень сильно отличаются
друг от друга по своим потребностям, вкусам, желаниям, мотивам совершения той
или иной покупки.
Для того чтобы обеспечить наиболее
полное удовлетворение потребностей покупателя, которое в свою очередь будет
способствовать увеличению товарооборота магазина, нужно выявить основные группы
покупателей и в своей дальнейшей деятельности ориентироваться именно на них.
Группы потенциальных потребителей
товаров предприятия и их характеристика представлены в таблице 3.
Таблица 3 - Основные группы
потребителей г. Ижевска и их характеристика
|
Характеристика
|
Наименование социальной группы
|
|
Малообеспеченные
|
Среднеобеспеченные
|
Состоятельные
|
|
Доля в общей структуре продаж, %
|
10
|
55
|
35
|
|
Месячный доход, на человека, руб.
|
До 7000
|
до 15000
|
свыше 15 000
|
|
Доля расходов на питание, %
|
До 80
|
Не более 60
|
Не более 30
|
|
Характер спроса
|
Ориентация на дешевые массовые продукты повседневного спроса
|
Ориентация на недорогие массовые продукты повседневного спроса
|
Ориентация на дорогие продукты
|
|
Возраст, лет
|
От 18 и свыше
|
От 25 и свыше
|
От 30 и свыше
|
|
Сумма покупки за одно посещение магазина, руб.
|
до 100
|
От 100 до 1000
|
От 1000 и свыше
|
|
Основные источники получения информации
|
Недалеко от дома
|
Недалеко от дома
|
Случайное посещение
|
На основании таблицы 3, можно сказать, что основной группой потребителей товаров и услуг
магазина является среднеобеспеченное население, со средним уровнем дохода от
7000 до 15000 руб., в возрасте от 28 лет и свыше. Данная группа потребителей
покупает продукты питания регулярно, ориентируясь главным образом на недорогие
массовые продукты.
Анализ поставщиков.
Магазин «Миндаль» заключает договоры
со своими поставщиками, исходя из нижеследующего. По договору поставки
поставщик-продавец, осуществляющий предпринимательскую деятельность, обязуется
передать в обусловленный срок (или сроки) производимые или закупаемые им товары
покупателю для использования в предпринимательской деятельности или в иных
целях, не связанных с личным, семейным, домашним и иным подобным использованием
(отдельные статьи договора поставки регулируется договором купли-продажи).
Руководство ООО «Ижтрейдинг»
старается развивать связи со всеми возможными поставщиками общественного
питания: сельскохозяйственными предприятиями различных форм собственности и
правовых форм; предприятиями пищевой промышленности; предприятиями оптовой
торговли; ярмарками; аукционами; различными торгово-закупочными фирмами.
Произведем анализ поставщиков ООО
«Ижтрейдинг», магазина «Миндаль» по специализации.
Таблица 4 - Анализ
поставщиков магазина «Миндаль», по признаку специализации
|
Наименование
|
Доля в структуре товарооборота, %
|
|
Производители
|
60,6
|
|
ОАО Глазов-молоко
|
8,46
|
|
Глазовская птицефабрика
|
7,46
|
|
Глазовский ликероводочный завод
|
7,49
|
|
ОАО Глазовский пищекомбинат
|
6,67
|
|
ГУП Глазовский комбинат хлебопродуктов
|
6,98
|
|
Глазовский хлебокомбинат
|
3,21
|
|
ЗАО Коммунар
|
14,87
|
|
ООО Анкур
|
5,46
|
|
Посредники
|
39,4
|
|
ОАО Ювина
|
12,9
|
|
ЗАО Лик
|
8,74
|
|
ООО Кретьянака
|
6,41
|
|
ООО Анель
|
3,12
|
|
ЧП Ахметгалиева
|
8,23
|
|
Всего
|
100
|
Магазин «Миндаль»
приветствует предприятия-производители, и поддерживает производителей УР.
От хороших связей с поставщиками
зависит и конкурентоспособность предприятия.
1.3 Характеристика
товаров и оказываемых услуг
Предприятие работает на
потребительском рынке, т.е. представляет товары, предназначенные для личного
пользования. Это рынок местного значения - ориентация на жителей г. Ижевска.
Предметом деятельности ООО
«Ижтрейдинг» по уставным документам являются:
- оптовая и розничная
торговля продуктами питания;
- оптовая и розничная
торговля товарами народного потребления;
- разработка,
производство и реализация товаров народного потребления, технологий и услуг,
связанных с их производством;
- производство,
заготовка, закупка, переработка и реализация на внутреннем и внешнем рынках
сельскохозяйственной продукции;
- организация
биржевой деятельности, оказание брокерской, дилерской, а также других видов
деятельности, связанных с покупкой, продажей ценных бумаг;
- организация и
эксплуатация точек общественного питания, ресторанов, торговых домов, сети
магазинов, включая склады для хранения и сбыта товаров и продукции;
- организация и
выполнение торгово-посреднических функций, в том числе дилерская деятельность;
- организация
предприятий общественного питания, деятельность в области общепита,
производство и реализация кондитерских, мучных изделий;
- производство
разнообразных продовольственных товаров;
- участие средствами
Общества в благотворительной деятельности;
- удовлетворение
социально-бытовых нужд членов Общества и их семей в товарах народного
потребления, а также другими услугами;
- выполнение иных
функций в соответствии с целями и задачами Общества, не противоречащих
действующему законодательству.
.4
Торгово-технологический процесс на предприятии
Торгово-технологический
процесс - это совокупность торговых, технологических процессов, последовательно
взаимосвязанных, целью которых является доведение товаров в широком
ассортименте и надлежащем качестве до потребителей с наименьшими затратами
труда и времени.
Торгово-технологический
процесс можно разделить на три части:
- операции
с товарами до предложения их покупателю;
- операции
непосредственного обслуживания покупателей;
- дополнительные
операции по обслуживанию покупателей.
Существенное
влияние на качество торгового обслуживания оказывают операции с товарами до
предложения их покупателю. К ним относят:
- разгрузку
транспортных средств;
- доставка
товаров в зону приемки;
- приемка
товаров по количеству и качеству;
- доставка
товаров в зону хранения, подготовки товара к продаже или непосредственно в
торговый зал;
- хранение
товаров;
- подготовка
товара к продаже;
- перемещение
товара в торговый зал;
- выкладка
на оборудовании.
В магазине
постоянно изучается покупательский спрос.
Работниками по
приемке товара - старшими менеджерами, товароведами обеспечивается
квалифицированная приемка качественного товара. Созданы все условия для
рационального хранения и подготовки товаров к продаже.
При заказе товара
учитывается подготовленность товара к продаже, чтобы снизить затраты магазина
на подготовку и увеличить скорость обращения товара.
Операции
непосредственного обслуживания покупателей - это наиболее ответственна часть.
Это встреча
покупателей; предложение товаров; отбор товаров покупателем; расчет за
отобранные товары; оказание покупателям дополнительных услуг.
В магазине созданы
все условия для беспрепятственного ознакомления покупателя с предлагаемым ассортиментом,
для удобной отборки товаров. Возникают межличностные психологические контакты
между персоналом магазина и покупателем.
Работники магазина
посещали семинар - тренинг, посвященный методам общения с покупателем,
способствующим увеличению продаж, созданию максимально комфортной
психологической обстановке в магазине.
Выполнение
операций, связанных с дополнительным обслуживанием покупателей направлено на
оказание им разнообразных услуг, связанных с приобретением товаров.
Торгово-технологический
процесс в магазине основывается на следующих принципах:
- выбор
оптимального варианта продажи товара - самообслуживание, но часть товара в
магазине отпускается через прилавок - продукция производственного цеха - по
желанию покупателя.
- создание
условий выбора товара, удобство покупателей, экономия времени, высокий уровень
торгового обслуживания.
- соответствие
технологии современному научно-технологическому уровню; внедрение прогрессивных
методов.
- достижение
оптимального экономического эффекта путем ускорения оборачиваемости товаров;
экономия труда; снижение издержек обращения.
.5
Персонал и организация оплаты труда
Персонал - личный состав
организации, работающий по найму и обладающий определенными признаками.
Существенным признаком является наличие его трудовых взаимоотношений с
работодателем. Как правило, эти взаимоотношения оформлены трудовым договором.
Рассмотрим структуру численности
персонала ООО «Ижтрейдинг» магазина «Миндаль» в таблице 5.
Таблица 5 - Структура численности
персонала ООО «Ижтрейдинг» магазина «Миндаль»
|
Наименование
|
2009 год
|
2010 год
|
2011 год
|
Абс. Изменение 2011 года от
|
|
чел.
|
Уд.вес
|
чел.
|
Уд.вес
|
чел.
|
Уд.вес
|
2009 года
|
2010 года
|
|
Директор
|
1
|
4,55
|
1
|
4,35
|
1
|
4,17
|
0
|
0
|
|
Администратор
|
1
|
4,55
|
1
|
4,35
|
1
|
4,17
|
0
|
0
|
|
Товаровед
|
1
|
4,55
|
1
|
4,35
|
1
|
4,17
|
0
|
0
|
|
Бухгалтер
|
1
|
4,55
|
1
|
4,35
|
1
|
4,17
|
0
|
0
|
|
Экономист
|
1
|
4,55
|
1
|
4,35
|
1
|
4,17
|
0
|
0
|
|
Зав. Секцией
|
2
|
9,09
|
2
|
8,70
|
2
|
8,33
|
0
|
0
|
|
Продавцы
|
2
|
9,09
|
2
|
8,70
|
2
|
8,33
|
0
|
0
|
|
Кассиры-операционисты
|
4
|
18,18
|
5
|
21,74
|
6
|
25,00
|
2
|
1
|
|
Повара
|
1
|
4,55
|
1
|
4,35
|
1
|
4,17
|
0
|
|
Кухонные работники
|
2
|
9,09
|
2
|
8,70
|
2
|
8,33
|
0
|
0
|
|
Водители
|
1
|
4,55
|
1
|
4,35
|
1
|
4,17
|
0
|
0
|
|
Охранники
|
2
|
9,09
|
2
|
8,70
|
2
|
8,33
|
0
|
0
|
|
Грузчики
|
2
|
9,09
|
2
|
8,70
|
2
|
8,33
|
0
|
0
|
|
Уборщики
|
1
|
4,55
|
1
|
4,35
|
1
|
4,17
|
0
|
0
|
|
Итого
|
22
|
100
|
23
|
100
|
24
|
100
|
2
|
1
|
Анализируя кадровый состав
работников магазина, можно сказать, что основное место в нем занимают
работники.
Возрастные особенности имеют
значение, в первую очередь, с позиции физического состояния сотрудников
(болезни, стрессы, беременность и т.п.), а также для анализа стажа, места и
опыта работы при отборе работников на вакантную должность, при сокращении
штатов, при составлении плана развития кадров (обучение, переподготовка).
Качественная характеристика персонала по возрасту отображена в таблице 6.
Таблица 6 - Качественная
характеристика персонала по возрасту
|
Показатели
|
2009 год
|
2010 год
|
2011 год
|
Абс. Изменение 2011 года от
|
|
человек
|
Уд.вес
|
человек
|
Уд.вес
|
человек
|
Уд.вес
|
2009 года
|
2010 года
|
|
До 25 лет
|
6
|
27,27
|
8
|
34,78
|
8
|
33,33
|
2
|
0
|
|
25-30 лет
|
5
|
22,73
|
5
|
21,74
|
6
|
25,00
|
1
|
1
|
|
30-35 лет
|
5
|
22,73
|
5
|
21,74
|
5
|
20,83
|
0
|
0
|
|
35-40 лет
|
3
|
13,64
|
3
|
13,04
|
3
|
12,50
|
0
|
0
|
|
40-45 лет
|
1
|
4,55
|
1
|
4,35
|
1
|
4,17
|
0
|
0
|
|
Старше 45 лет
|
2
|
9,09
|
1
|
4,35
|
1
|
4,17
|
-1
|
0
|
|
Всего
|
22
|
100
|
23
|
100
|
24
|
100
|
2
|
1
|
Наибольший удельный вес в магазине
«Миндаль» имеют сотрудники в возрасте до 25 лет (2011 год - 33,33%), наименьший
удельный вес имеют сотрудники в возрасте от 40 - старше 45 лет в 2010 году -
4,35%, в 2011 году - 4,17%. Изменения в 2011 году по сравнению с прошлым годом
произошли незначительные. Данная тенденция для предприятия благоприятная в том
случае если будут созданы хорошие условия труда, достойная заработная плата,
социальные программы, программы стимулирования т.к. в возрасте до 25 лет - это
люди все еще находятся в поисках чего-то лучшего. В случае если
вышеперечисленные факторы отсутствуют или недостаточно работают, то предприятие
ожидает большая текучесть кадров.
Уровень образования персонала в
магазине «Миндаль» достаточно высокий. Наибольший удельный вес имеют сотрудники
с профессиональным средним образованием, наименьший удельный вес имеют
сотрудники с начальным средним образованием. Данная тенденция объясняется тем,
что прием на работу в большинстве случаев осуществляется при наличии
профессионального образования, также в компании внедрена программа
«Наставничество», которая направлена на повышение уровня образования лучших
сотрудников.
Так же рассмотрим основные
показатели движения персонала в магазине «Миндаль», в таблице 7.
Таблица 7 - Динамика основных
показателей движения персонала магазина «Миндаль» за 2009-2011 года
|
№
|
Показатели
|
2009 год
|
2010 год
|
2011 год
|
Абс. Изменение 2011 года от
|
|
|
|
|
|
2009 года
|
2010 года
|
|
1
|
Среднесписочная численность
|
22
|
23
|
24
|
2
|
1
|
|
2
|
Численность принятых
|
5
|
4
|
5
|
0
|
1
|
|
3
|
Численность уволенных
|
4
|
3
|
2
|
-2
|
-1
|
|
в том числе:
|
|
|
|
|
|
|
за нарушение дисциплины
|
2
|
2
|
1
|
-1
|
-1
|
|
по собственному желанию
|
2
|
1
|
1
|
-1
|
0
|
|
Показатели движения персонала
|
|
|
|
|
|
|
4
|
Коэффициент по приему, %
|
22,73
|
17,39
|
20,83
|
-1,89
|
3,44
|
|
5
|
Коэффициент по увольнению, %
|
18,18
|
13,04
|
8,33
|
-9,85
|
-4,71
|
|
6
|
Постоянство кадров, %
|
59,09
|
69,57
|
70,83
|
11,74
|
1,27
|
Из таблицы 7 видим, что постоянство
кадров в магазине, с каждым годом увеличивается, так данный показатель вырос с
59,09% в 2009 году, до 70,83% в 2011 году. Это произошло вследствие превышения
коэффициента по приему, над коэффициентом по увольнению, что хорошо
характеризует деятельность предприятия.
Система организации оплаты труда
является одним из основных мотивов эффективного труда.
Заработная плата тесно связана с
производительностью труда, которая является важнейшим показателем эффективности
процесса труда, и представляет собой способность конкретного труда воздавать в
единицу времени определенное количество продукции.
Заработная плата, будучи основным
источником доходов трудящихся, является формой вознаграждения за труд и формой
материального стимулирования их труда. Она направлена на вознаграждение
работников за выполненную работу и на мотивацию достижения желаемого уровня
производительности. Поэтому правильная организация заработной платы
непосредственно влияет на темпы роста производительности труда, стимулирует
повышение квалификации трудящихся.
Заработная плата, являясь
традиционным фактором мотивации труда, оказывает доминирующее влияние на
производительность. Организация не может удержать рабочую силу, если она не
выплачивает вознаграждения по конкурентоспособным ставкам и не имеет шкалы
оплаты, стимулирующей людей к работе.
Рассмотрим динамику фонда оплаты
труда и среднемесячной заработной платы персонала в таблице 8.
Таблица 8 - Динамика фонда оплаты
труда и среднемесячной заработной платы персонала ООО «Ижтрейдинг» магазина «Миндаль»
|
Наименование показателя
|
2009
|
2010
|
в % к 2009
|
|
тыс. руб.
|
%
|
тыс. руб.
|
%
|
|
|
Затраты на оплату труда, отчисления на соц. нужды
|
3149,9
|
25,42
|
3365,16
|
23,28
|
106,83
|
|
затраты на оплату труда и отчислений
|
3088,8
|
24,93
|
3300,96
|
22,84
|
106,87
|
|
затраты на оплату учебных отпусков
|
32,1
|
0,26
|
32,4
|
0,22
|
100,93
|
|
затраты связанные с подготовкой и переподготовкой кадров
|
9,6
|
0,08
|
10,7
|
0,07
|
111,46
|
|
затраты по обучению учеников и повышению квалификации рабочих
|
19,4
|
0,16
|
21,1
|
0,15
|
108,76
|
|
Среднемесячная заработная плата
|
11,93
|
|
12,19
|
|
102,19
|
Таким образом, видим, что фонд
оплаты труда вырос не только за счет увеличения численности персонала, но и за
счет увеличения среднемесячной заработной платы.
В магазине «Миндаль» приняты
следующие принципы оценки труда:
- ориентация на
достижение конечного результата;
- сочетание личного и
коллективного интереса;
- оплата в
зависимости от количества и сложности труда;
- отказ от
уравниловки в оплате;
- поощрение за
совмещение профессий;
- нижняя граница
зарплаты значительно выше установленной минимальной оплаты труда, а верхний
предел - отсутствует;
- оценка труда
производится непосредственно руководителем фирмы;
- дополнительная
оплата за счет социальных благ и гарантий;
- лишение премий за
ненадлежащее исполнение должностных обязанностей, серьезных упущений в работе и
нарушение трудовой дисциплины.
В целях упорядочения вопросов оплаты
и премирования труда, и приведения общего размера денежных выплат, введено в
действие Положение об оплате труда и премировании.
Система и форма оплаты труда и
материального стимулирования работников включает следующие элементы:
- фиксированную
заработную плату по окладам;
- сдельная заработная
плата;
- премиальная часть;
- разовое
премирование.
Гарантированной суммой оплаты труда
является основная заработная плата по окладам за фактически отработанное время
с начислением районного коэффициента, которая выплачивается ежемесячно.
Должностные оклады работникам
предприятия устанавливаются в соответствии со штатным расписанием, утверждаемым
приказом ректора.
Основная заработная плата состоит из
фиксированной и сдельной заработной платы. Сдельная заработная плата
выплачивается ежемесячно. Премиальная часть устанавливается для всех категорий
работников. В случае ненадлежащего исполнения должностных обязанностей директор
вправе не премировать работника, либо лишить его определенного процента премии.
Размеры и сроки премиальной части устанавливаются приказом директора с учетом
качества выполнения должностных обязанностей, соблюдения трудовой дисциплины.
Разовое премирование направлено на
усиление личной заинтересованности работника в увеличении прибыли и снижении
расходов предприятия, повышении эффективности работы и хозяйственной
деятельности, осуществляется по решению директора и оформляется приказом.
Разовое премирование производится в
случаях:
- выполнения разовых
производственных заданий;
- реализации
мероприятий по инициативе работника, позволяющих снизить расходы (увеличить
прибыль) или получить иной положительный результат.
Размер разового премирования определяется
следующим образом:
- при выполнении
разовых производственных заданий размер премии устанавливается в процентах от
должностного оклада, при этом учитывается важность, срочность, сложность и
объем выполненных работ.
- при реализации
мероприятий размер премии устанавливается в процентах от достигнутого
экономического эффекта в виде снижения расходов предприятия (увеличения чистой
прибыли), определяемых на основании расчетов.
При невозможности определения
экономического эффекта расчетным путем размер премии устанавливается в
процентах от должностного оклада.
В целях социальной защиты работникам
предприятия предусмотрены социальные выплаты в виде материальной помощи и
пособия по уходу за ребенком до 1,5 лет.
Материальная помощь работникам
предприятия выплачивается в исключительных случаях по решению директора.
.6 Анализ объема и
структуры товарооборота, товарных запасов и прибыли предприятия
Изучение существующих тенденций и
возможностей предприятия по реализации товаров, определение факторов, которые
положительно и отрицательно влияют на объем товарооборота предприятия,
достигаются в процессе анализа объема и структуры товарооборота предприятия.
Проведение экономического анализа
позволяет:
- Изучить состояние
выполнения планов товарооборота, ритмичность и сезонность реализации товаров в
ретроспективном периоде;
- Определить состав
товарооборота по формам, видам, методам продажи, ассортиментной структуре;
- Выявить основные
тенденции и закономерности в реализации товаров.
Перед анализом товарооборота магазина
«Миндаль», рассмотрим основные результаты деятельности, в таблице 9.
Отчетом называют описание
фактических экономических результатов хозяйственной деятельности за
предшествующий период времени.
В конце периода составляется сводный
отчет.
Экономические результаты (прибыль
или убытки предприятия) как итог хозяйственной деятельности в определенный
период времени отражаются в отчете о прибылях и убытках.
Таблица 9 - Основные результаты
деятельности магазина «Миндаль»
|
Показатель
|
2009
|
2010
|
% к 2009
|
2011
|
в% к 2009
|
|
тыс. руб.
|
тыс. руб.
|
%
|
тыс. руб.
|
%
|
|
Выручка от реализации
|
72364,3
|
89487,7
|
123,66
|
97954,1
|
135,36
|
|
Себестоимость
|
53694,31
|
66220,9
|
123,33
|
72486,03
|
135,00
|
|
Валовая прибыль
|
18669,99
|
23266,8
|
124,62
|
25468,07
|
136,41
|
|
Коммерческие расходы
|
12389,8
|
14452,6
|
116,65
|
15858,95
|
128,00
|
|
Прибыль (убыток) от продаж
|
6280,189
|
8814,197
|
140,35
|
9609,118
|
153,01
|
|
Прочие доходы
|
126,79
|
154,2
|
121,62
|
149,7
|
118,07
|
|
Прочие расходы
|
98,46
|
112,15
|
113,90
|
109,4
|
111,11
|
|
Прибыль (убыток) до налогообложения
|
6308,519
|
8856,247
|
140,39
|
9649,418
|
|
Чистая прибыль
|
5046,816
|
7084,998
|
140,39
|
7719,534
|
152,96
|
Из таблицы видим, что величина
выручки за анализируемый период увеличилась на 35,36%, темпы прироста
себестоимости меньше темпов прироста выручки от реализации, и составляют 35%,
что хорошо характеризует деятельность предприятия. В результате валовая прибыль
увеличилась на 36,41%. Величина коммерческих расходов выросла за анализируемый
период на 28%, что является достаточно большим темпом прироста и является
проблемой предприятия. В результате роста коммерческих расходов прибыль от
реализации увеличилась на 53,01% относительно 2009 года, относительно 2010 года
всего на 9,02%. Прибыль до налогообложения увеличилась на 52,96% относительно
2009 года, относительно 2010 года увеличилась на 8,96%. Чистая прибыль
увеличивалась пропорционально прибыли до налогообложения и составила в 2011
году 7719,534 тыс. руб., что на 52,96% больше, чем в 2009 году.
Рентабельность товарооборота
рассчитывается как отношение прибыли, полученной от продажи продукции в
торговой сети к величине товарооборота.
Динамика показателя рентабельности
товарооборота магазина «Карусель» №1 Ижевск
|
Показатель
|
2009
|
2010
|
2011
|
|
Выручка от реализации, тыс. руб.
|
72364,3
|
89487,7
|
97954,1
|
|
Прибыль от продаж, тыс. руб.
|
6280,189
|
8814,197
|
9609,118
|
|
Рентабельность товарооборота, %
|
8,68
|
9,85
|
9,81
|
Из таблицы видим, что наибольший
показатель рентабельности товарооборота за анализируемый период зафиксирован в
2010 году это 9,85%. В 2011 году произошло уменьшение данного показателя, в
следствие увеличения коммерческих расходов.
Для улучшения деятельности
предприятия необходимо провести мероприятия по оптимизации издержек обращения.
2. Анализ издержек
обращения торгового предприятия
.1 Структура издержек
обращения и группировка статей затрат на оказываемые услуги
Издержки обращения - это выраженные
в денежной форме материальные, трудовые и финансовые затраты, возникающие в
сфере товарного обращения при доведении товаров от производителя до
потребителя.
Не являются издержками обращения и
расходами: внутренние затраты торговых организаций и предприятий, которые
должны возмещаться за счет прибыли, остающейся в распоряжении предприятия, или
средств фондов специального назначения. Таковыми являются расходы на содержание
объектов социальной сферы, уплаченные финансовые санкции по результатам
проверок органов государственного контроля и регулирования, налоги, начисляемые
на доходы и прибыль предприятия. В издержки обращения не включаются убытки от
стихийных бедствий и другие затраты, не связанные с нормальным обращением
товаров.
Расходами признаются обоснованные и
документально подтвержденные затраты, осуществленные налогоплательщиком. Под
обоснованными расходами понимаются экономически оправданные затраты, оценка
которых выражена в денежной форме. Под документально подтвержденными расходами
понимаются затраты, подтвержденные документами, оформленными в соответствии с
законодательством РФ. Расходами признаются любые затраты при условии, что они
произведены для осуществления деятельности, направленной на получение дохода.
Все расходы включаются в стоимость активов и относятся на счет прибылей и
убытков.
К материальным
расходам относятся следующие расходы:
На приобретение материалов, используемых: для упаковки и иной
подготовки, реализуемых товаров (включая предпродажную подготовку), и на другие
хозяйственные нужды;
На приобретение инструментов, приспособлений, инвентаря, приборов,
лабораторного оборудования, спецодежды и другого имущества, не являющихся
амортизируемым имуществом;
На приобретение комплектующих изделий, подтверждающихся монтажу, и
(или) полуфабрикатов, подвергающихся дополнительной обработке;
На приобретение работ и услуг, выполняемых сторонними
организациями;
Связанные с содержанием и эксплуатацией основных средств.
В расходы на оплату
труда включаются любые начисления работникам в денежной и (или) натуральной
формах, стимулирующие начисления и надбавки, компенсационные начисления,
связанные с режимом работы или условиями труда, премии и единовременные
поощрительные начисления, расходы, связанные с содержанием этих работников,
предусмотренные нормами законодательства РФ, трудовыми договорами (контрактами)
и (или) коллективными договорами.
Отчисления на
социальные нужды осуществляются по определенным нормативам от фонда оплаты труда.
Величина этих нормативом устанавливается в законодательном порядке.
По элементу «Суммы
начисленной амортизации» отражаются суммы амортизационных отчислений,
начисленные по амортизируемому имуществу. К амортизируемому имуществу относится
имущество, результаты интеллектуальной деятельности и другие объекты
интеллектуальной собственности, которые находятся у предприятия на праве
собственности и используются им для извлечения дохода, стоимость которых
погашается путем начисления амортизации. Амортизируемым имуществом признается
имущество со сроком полезного использования более 12 месяцев и первоначальной
стоимостью более 10 000 рублей. Объектами амортизируемого имущества на
предприятии признаются основные средства и нематериальные активы. Сумма
начисленных амортизационных отчислений по указанному имуществу определяется
исходя из их стоимости, срока полезного использования и способа начислений
амортизационных отчислений.
К прочим расходам,
связанным с реализацией продукции, относятся следующие:
- расходы
на командировки;
- расходы
на содержание служебного автотранспорта;
- расходы
на оплату консультационных, информационных и юридических услуг;
- представительские
расходы;
- расходы
на почтовые, телеграфные, телефонные услуги и другие.
К операционным
расходам относятся:
- расходы,
связанные с предоставлением за плату во временное пользование активов
организации;
- расходы,
связанные с участием в уставных капиталах др. организаций;
- расходы,
связанные с продажей, выбытием и прочим списанием основных фондов и иных активов,
отличных от денежных средств, товаров;
- проценты,
уплачиваемые организацией за предоставление ей в пользование денежных средств
(кредитов, займов);
- расходы,
связанные с оплатой услуг, оказываемых кредитными организациями;
- отчисления
в оценочные резервы;
- прочие
операционные расходы.
К внереализационным
расходам относятся:
- штрафы,
пени, неустойки за нарушение условий договора;
- возмещение
причиненных организацией убытков;
- убытки
прошлых лет, признанные в отчетном году;
- суммы
дебиторской задолженности, по которой истек срок исковой давности, других
долгов, нереальных для взыскания;
- курсовые
разницы;
- сумма
уценки активов;
- перечисление
средств, связанных с благотворительной деятельностью;
- расходы
на осуществление спортивных мероприятий культурно-просветительского характера и
иных аналогичных мероприятий;
- прочие
внереализационные расходы.
Расходы организации
в соответствии с главой 25 Налогового Кодекса РФ в зависимости от характера,
условий осуществления и направлений деятельности организации подразделяются на
расходы, связанные с реализацией, и внереализационные расходы.
Издержки обращения являются сложной
экономической категорией, которая в стоимостной форме выражает затраты
трудовых, материальных и финансовых ресурсов на осуществление хозяйственной
деятельности торговых предприятий.
Все расходы
предприятий в зависимости от экономического содержания затрачиваемых ресурсов
делят на пять элементов и по конкретным видам затрат выделяют отдельные статьи
расходов на продажу.
Целью расходования
средств, использования различных ресурсов является достижение высоких конечных
результатов - определенного объема продаж и необходимой прибыли. Поэтому очень
важно постоянно учитывать зависимость издержек обращения от объема продаж. По
этому признаку все расходы на продажу делят на две группы: постоянные и
переменные.
Постоянные расходы
на продажу представляют собой статьи затрат, которые в каждый данный момент не
зависят непосредственно от величины и структуры объема продаж. К ним относятся:
расходы на аренду торговых единиц; амортизация основных фондов; износ
малоценных и быстроизнашивающихся предметов; оплата труда работников по окладам
или тарифным ставкам, на ремонт основных средств, на содержание зданий,
сооружений, помещений и инвентаря и др. Эти издержки обращения являются
постоянными только в коротком периоде деятельности. Средние постоянные расходы
(сумма постоянных расходов в расчете на 1 ед. объема продаж, например, на 100
руб.) по мере роста объема продаж имеют тенденцию к снижению.
К остаточным
расходам относится та часть постоянных затрат, которые имеют место на
предприятии в период прекращения его деятельности по реализации товаров. К
стартовым же издержкам обращения также относится часть постоянных расходов,
которые возникли в связи с возобновлением торговой деятельности предприятия.
Перед торговыми
предприятиями стоит задача обеспечить снижение величины постоянных расходов.
Поэтому очень важно последовательно добиваться увеличения объема продаж, с тем,
чтобы полностью загрузить мощности и тем самым минимизировать постоянные
затраты.
Переменными
называются издержки обращения, величина которых находится в непосредственной
зависимости от объема и структуры продаж.
К таким издержкам
обращения относятся:
на перевозку товаров; затраты по упаковке и подработке товаров;
расходы на рекламу;
на представительские расходы; затраты по оплате процентов за
пользование займами;
расходы на оплату труда работников по сдельным расценкам и др.
Сущность этих
расходов можно выразить и так: к переменным относятся расходы, связанные с
использованием производственных факторов, величина которых определяется
изменениями объема реализации товаров (услуг).
Характер
зависимости переменных расходов от объема продаж имеет различную степень
эластичности.
В тех случаях,
когда переменные расходы на продажу изменяются в одинаковых пропорциях с
объемом оборота торговли, их называют пропорциональными расходами на продажу.
Большая часть переменных расходов на продажу, при нормальных условиях
хозяйствования, изменяется в одинаковом направлении с изменениями объема
оборота торговли, их называют депрессивные.
Расходы, которые
изменяются в относительно большей пропорции по сравнению с оборотом торгового
предприятия, получили название прогрессивных переменных издержек обращения.
2.2 Анализ объема,
структуры и динамики издержек обращения
Анализ объема, структуры и динамики
издержек обращения магазина «Миндаль»
|
Наименование показателя
|
2009
|
2010
|
в% к 2009
|
|
тыс. руб.
|
%
|
тыс. руб.
|
%
|
|
|
1. Материальные затраты
|
9060,9
|
73,13
|
10887,54
|
75,33
|
120,16
|
|
арендная плата
|
4015,2
|
32,41
|
4067,3
|
28,14
|
101,30
|
|
расходы на водоснабжение, отопление и освещение торговых,
складских и административно-хозяйственных помещений
|
512,7
|
4,14
|
516,2
|
3,57
|
100,68
|
|
расходы по хранению, расходы на тару
|
551,7
|
4,45
|
998,6
|
6,91
|
181,00
|
|
износ спецодежды
|
15,2
|
0,12
|
15,3
|
0,11
|
100,66
|
|
суммы потерь товаров в пути при хранении
|
1515,4
|
12,23
|
2811,045
|
19,45
|
185,50
|
|
расходы на текущий ремонт, содержание зданий, сооружений,
помещений и инвентаря
|
215,4
|
1,74
|
221,3
|
1,53
|
102,74
|
|
транспортные расходы
|
1247,9
|
10,07
|
1261,2
|
8,73
|
101,07
|
|
расходы на торговую рекламу
|
987,4
|
7,97
|
996,6
|
6,90
|
100,93
|
|
2. Затраты на оплату труда, отчисления на соц. нужды
|
3149,9
|
25,42
|
3365,16
|
23,28
|
106,83
|
|
затраты на оплату труда и отчислений
|
3088,8
|
24,93
|
3300,96
|
22,84
|
106,87
|
|
затраты на оплату учебных отпусков
|
32,1
|
0,26
|
32,4
|
0,22
|
100,93
|
Из таблицы видим, что основная доля
издержек обращения приходится на материальные затраты, причем их доля растет с
каждым годом, за анализируемый период они выросли на 32,95%. При выяснении
причин выяснилось, что данный рост обоснован увеличением расходов по хранению,
расходы на тару на 153,29%, и увеличением суммы потерь товаров в пути при
хранении на 122,73% в 2011 году, по отношению к 2009 году.
Увеличение расходов на хранение и
тару, произошло в следствие увеличения запасов товаров, суммы потерь товаров
произошли по той же причине, а так же при перевозке товаров.
То есть для устранения выявленной
причины - увеличение издержек обращения, необходимо проанализировать запасы
товаров на предприятии, выявить проблемные группы товаров и сократить их
величину. В данном случае мы уменьшим долю потерь, а так же уменьшиться сумма
на хранение товаров, так как магазин платит арендную плату за складское место,
из расчета занимаемой площади.
.3 Факторный анализ
издержек обращения
Проанализировав динамику издержек
необходимо также уделить внимание факторам, оказывающим влияние на издержки
обращения. В процессе хозяйственной деятельности торговых предприятий на
величину затрат влияет множество факторов основными из которых являются: объем
и структура товарооборота, изменение цен на товары и тарифов на услуги,
организация транспортирования товаров, оборачиваемость оборотного капитала,
состояние материально-технической базы, дислокация торговых предприятий,
состояние дорог, размещение товарооборота по торговым предприятиям и другие.
Изучение этих факторов позволяет наметить пути экономии издержек обращения.
Факторы, влияющие на издержки обращения, можно подразделить на вызывающие их
повышение и снижение.
Факторы, вызывающие повышение
издержек обращения, связаны, прежде всего, с повышением культуры торговли, с
улучшением качества обслуживания населения.
Факторы, вызывающие снижение
издержек обращения, весьма многочисленны и делятся на факторы общеэкономического
характера, экономико-организационные факторы и факторы, связанные с техническим
прогрессом.
К общеэкономическим факторам
относятся: совершенствование системы учета и контроля;
экономико-организационным факторам: укрупнение или разукрупнение торговых
предприятий; совершенствование технологии, компьютеризация относятся к
факторам, связанным с техническим процессом.
Основным показателем, отражающим
объем деятельности торговой организации, является оборот розничной торговли.
Влияние объема оборота розничной торговли на уровень издержек обращения
определяется путем условного подразделения расходов на малозависящие и
зависящие от объема оборота розничной торговли: условно-постоянные и
условно-переменные расходы.
Степень реагирования издержек
обращения в целом на изменения суммы оборота розничной торговли определяется
коэффициентом эластичности издержек обращения от оборота розничной торговли.
Степень
реагирования издержек на изменения объема деятельности может быть определена с
помощью коэффициента эластичности издержек обращения от оборота розничной
торговли (КЭ). Однако при его использовании следует принимать
во внимание систему дополнительных показателей, так как этот показатель не
учитывает фактор неоднородности издержек обращения. В условиях высоких темпов
инфляции, он может быть интерпретирован как степень реагирования затрат в целом
на изменение суммы оборота розничной торговли.
, где (2)
- изменение издержек
обращения, %;
- изменение оборота
розничной торговли, %.
Расчет коэффициента
эластичности издержек обращения от оборота розничной торговли
|
Показатель
|
Период
|
Показатель
|
Расчет
|
|
Кэ
|
2010 относительно 2009
|
0,70
|
16,65/23,66
|
|
2011 относительно 2010
|
1,03
|
9,73/9,46
|
Для определения влияния изменения
оборота розничной торговли на уровень издержек обращения используем формулу 3:
, где (3)
- изменение уровня
издержек обращения под влиянием изменения оборота розничной торговли,
процентных пунктов;
- сумма
условно-постоянных расходов базисно периода, руб.;
О1, О0
- оборот розничной торговли отчетного и базисного периода соответственно, руб.
Условно-переменные
издержки обращения - это затраты торговых предприятий, абсолютная сумма которых
уменьшается с изменением объемов товарооборота. К условно-переменным относятся
транспортные расходы, расходы по оплате труда, по хранению и подготовке товаров
к продаже, потери товаров, проценты за пользование кредитом и др.
Условно-постоянные
издержки обращения - это затраты торговых предприятий, абсолютная сумма которых
остается постоянной при изменении объемов товарооборота. К условно-постоянным
относятся расходы по аренде, содержанию и текущему ремонту зданий, помещений и
инвентаря, износ спецодежды, расходы на рекламу и др.
Показатели издержек
обращения по принадлежности
|
Показатель
|
2009
|
2010
|
в% к 2009
|
2011
|
в% к 2009
|
в% к 2010
|
|
Условно постоянные затраты
|
5873,7
|
5966,3
|
101,58
|
6140,1
|
104,54
|
102,91
|
|
Условно переменные затраты
|
6516,1
|
8486,3049
|
130,24
|
9718,848
|
149,15
|
114,52
|
Влияние изменения
оборота розничной торговли на уровень издержек обращения
|
Наименование
|
Период
|
Показатель
|
Расчет
|
|
2010
относительно 2009-1,553((5873,7/89487,7)*100) - ((5873,7/72364,3)*100)
|
|
|
|
|
2011 относительно 2010
|
-0,576
|
((5966,3/97954,1)*100) - ((5966,3/89487,7)*100)
|
Таким образом, можно сделать вывод,
что под влиянием оборота розничной торговли уровень издержек обращения
уменьшился на 1,553% в 2010 году и уменьшился на 0,576% в 2011 году.
Теперь определим влияние изменения
оборота розничной торговли на сумму издержек обращения.
Для определения
влияния изменения оборота розничной торговли на сумму издержек обращения нужно
пересчитать сумму переменных расходов базисного периода с учетом оборота
розничной торговли отчетного периода.
, где (4)
- уровень
условно-переменных издержек базисного периода, %;
- сумма
условно-переменных издержек базисного периода, руб.
Влияние изменения
оборота розничной торговли на сумму издержек обращения
|
Наименование
|
Период
|
Показатель
|
Расчет
|
|
2010
относительно 200938575,277(52,59 * 89487,7)/100-8486,3049
|
|
|
|
|
2011 относительно 2010
|
47799,8
|
(58,72*97954,1)/100-9718,848
|
Таким образом, из расчета видно, что
под влиянием оборота розничной торговли сумма издержек обращения увеличилась в
2010 г. на 38575,277 тыс. руб., а в 2011 г. увеличилась на 9718,848 тыс. руб.
по сравнению с предыдущими периодами.
Издержки обращения включают в себя
затраты живого и овеществленного труда, что следует учитывать при проведении
факторного анализа издержек обращения.
Динамика показателей влияющих на
издержки обращения за 2009-2011 года
|
Показатели
|
Годы
|
Абсолютное отклонение, ±
|
|
2009
|
2010
|
2011
|
2010/2009
|
2011/2010
|
|
Среднегодовая стоимость основных фондов (по первоначальной
стоимости), тыс. руб.
|
10895
|
11604
|
12348
|
709
|
744
|
|
Среднесписочная численность работников, чел.
|
22
|
23
|
24
|
1
|
1
|
|
Фондовооруженность труда, руб./чел.
|
495,227
|
504,522
|
514,5
|
9,295
|
9,978
|
|
Материальные затраты, тыс. руб.
|
9060,9
|
10887,54
|
12046,7
|
1826,645
|
1159,155
|
|
Фонд заработной платы, тыс. руб.
|
3149,9
|
3365,16
|
3595,948
|
215,26
|
230,788
|
|
Фондоотдача, тыс. руб.
|
6,64
|
7,71
|
7,93
|
1,07
|
0,22
|
|
Производительность труда
|
3289,29
|
3890,77
|
4081,42
|
601,48
|
190,65
|
|
Коэффициент, характеризующий отношение потребленных
овеществленных ресурсов ко всем потребленных ресурсам
|
0,74
|
0,76
|
0,77
|
0,02
|
0,01
|
|
Коэффициент, характеризующий отношение потребленных ресурсов
живого труда ко всем потребленным ресурсам
|
0,26
|
0,24
|
0,23
|
-0,02
|
-0,01
|
Показатель фондовооруженности в
течение исследуемого периода увеличивался в 2010 году по сравнению с 2009 г. на
9,294 руб./чел., а в 2011 году по сравнению с 2010 году на 9,978 руб./чел. При
этом фондоотдача увеличилась на 1,07 тыс. руб. в 2010 году и на 0,22 тыс. руб.
в 2011 году. Производительность труда в 2010 году повысилась на 601,48, и в
2011 году на 190,65.
Выявленные факторы учитываются при
минимизации издержек.
2.4 Анализ запасов и
эффективности использования торговых площадей предприятия
Из анализа издержек обращения было
выявлено, что существует проблема большого числа потерь товаров, и это
относиться в большей степени к скоропортящимся товарам, т.е. к
продовольственным товарам.
Для этого рассмотрим величину
запасов и коэффициент оборота в таблице, по группе - продовольственные товары.
Величина запасов и коэффициент
оборота по группе - продовольственные товары
|
Наименование
|
Запасы, %
|
Выручка
|
Занимаемая площадь, кв. м.
|
Коб. (3/2)
|
3/4
|
|
1
|
2
|
3
|
4
|
5
|
6
|
|
Продовольственные товары
|
|
41366,02
|
687,9
|
|
60,13
|
|
в том числе:
|
|
|
|
|
|
|
Хлебобулочные и кондитерские изделия
|
0,06152
|
4809,546
|
29,9
|
781,7858
|
160,85
|
|
Алкогольные и безалкогольные напитки, табачные изделия
|
0,0759
|
3114,94
|
39,7
|
410,4006
|
78,46
|
|
Молоко и молочные продукты
|
0,1897
|
5563,793
|
72,9
|
293,2943
|
76,32
|
|
Деобетическое и детское питание
|
2164,786
|
21,7
|
254,3814
|
99,76
|
|
Мясо, рыба и морепродукты
|
0,11415
|
5397,271
|
72,6
|
472,8227
|
74,34
|
|
Консервация
|
0,0767
|
4133,663
|
66,1
|
538,9391
|
62,54
|
|
Гастрономия
|
0,698
|
4309,98
|
99,4
|
61,74757
|
43,36
|
|
Бакалея
|
0,0887
|
5211,158
|
104,7
|
587,5037
|
49,77
|
|
Овощи, фрукты
|
0,06915
|
4221,822
|
86,7
|
610,531
|
48,69
|
|
Заморозка
|
0,21942
|
2439,057
|
94,2
|
111,1593
|
25,89
|
Из таблицы видно, что по таким
группам товаров как молоко и молочные продукты, а так же заморозка существует
проблема, так как при занимаемой площади в 72,9 и 94,2 кв. м. отдача составляет
76,32 и 25,89.
Так же по данным группам товаров
зафиксировано и наибольшее количество запасов, которые в свою очередь занимают
достаточную площадь на складе, и такое количество запасов ведет к большему
риску возможных потерь.
Структура потерь товаров магазина
«Миндаль»
|
Наименование
|
Запасы
|
Запасы, тыс. руб.
|
Потеря, % от запасов
|
Потери от запасов, тыс. руб.
|
|
1
|
2
|
3
|
4
|
5
|
|
Продовольственные товары
|
|
7002,845
|
2,874
|
1895,002
|
|
в том числе:
|
|
|
|
|
|
Хлебобулочные и кондитерские изделия
|
0,06152
|
295,8833
|
0,061
|
18,04888
|
|
Алкогольные и безалкогольные напитки, табачные изделия
|
0,0759
|
236,424
|
0,032
|
7,565567
|
|
Молоко и молочные продукты
|
0,1897
|
1055,452
|
0,734
|
774,7014
|
|
Диабетическое и детское питание
|
0,0851
|
184,2233
|
0,093
|
17,13276
|
|
Мясо, рыба и морепродукты
|
0,11415
|
616,0985
|
0,464
|
285,8697
|
|
Консервация
|
0,0767
|
317,052
|
0,145
|
45,97253
|
|
Гастрономия
|
0,698
|
3008,366
|
0,054
|
162,4518
|
|
Бакалея
|
0,0887
|
462,2297
|
0,092
|
42,52513
|
|
Овощи, фрукты
|
0,06915
|
291,939
|
0,415
|
121,1547
|
|
Заморозка
|
0,21942
|
535,1779
|
0,784
|
419,5795
|
|
Непродовольственные
|
|
|
|
97,8507
|
|
Посуда и товары для кухни
|
0,1987
|
221,8837
|
0,441
|
97,8507
|
|
Собственное производство
|
0,0421
|
364,5499
|
0,389
|
141,8099
|
|
Медиатовары
|
|
|
|
1240,488
|
|
Аудио, видео, двд
|
0,1987
|
615,046
|
0,346
|
212,8059
|
|
Бытовая техника
|
0,2945
|
1156,784
|
0,415
|
480,0654
|
Из таблицы видим, что наибольший
процент потерь товаров приходится на продовольственные товары, это 56,15% от
всего объема потерь. Потери возникают так как продукция является
скоропортящейся и по причине большого числа запасов и неправильных условий
хранения это и происходит.
Потери по группе медиатовары
происходят в основном при транспортировке товаров, до места назначения (до
полок магазина).
3. Экономическое
обоснование мероприятий по снижению издержек обращения на предприятии
3.1 Теоретические основы
снижения издержек обращения на торговых предприятиях
Под расходами торгового предприятия
(издержки обращения), согласно Положению по бухгалтерскому учёту 10/99 «Расходы
организации» признаётся уменьшение экономических выгод в результате выбытия
активов (денежных средств, иного имущества) и (или) возникновения обязательств,
приводящее к уменьшению капитала этой организации за исключением уменьшения
вкладов по решению участников (собственников имущества).
При этом не признается расходами
организации выбытие активов в следующих случаях:
- в связи с
приобретением (созданием) необоротных активов (основных средств, нематериальных
активов и т.п.);
- по вкладам в
уставные капиталы других организаций, приобретению акций акционерного общества
и иных ценных бумаг с целью перепродажи (продажи);
- по перечислению
средств (взносов, выплат и т.п.), связанных с благотворительной деятельностью,
расходам на осуществление спортивных мероприятий, отдыха, развлечений,
мероприятий культурно-просветительного характера и иных аналогичных
мероприятий;
- в порядке предварительной
оплаты материально-производственных запасов иных ценностей, работ, услуг;
- в виде авансов,
затрат в счет оплаты материально-производственных запасов и иных ценностей,
работ, услуг;
- по повышению
кредитов, займов, полученных предприятием.
В соответствии с действующим
законодательством выделяют две основные группы расходов торгового предприятия:
расходы по обычным видам деятельности (для предприятий торговли - по реализации
потребительских товаров) и прочие расходы.
В учебнике «Экономика торгового предприятия»
авторским коллективом под руководством А.И. Гребнева дано следующее определение
издержек обращения: «под себестоимостью операций, связанных с реализацией
закупленных товаров, понимаются издержки обращения по продаже товаров». [15, c. 11]
Следует различать категории
«себестоимость» и «издержки обращения». Себестоимость продукции (работ, услуг)
представляет собой стоимостную оценку используемых в процессе производства и
реализации продукции (работ, услуг) материальный, трудовых ресурсов, а также затраты
на производство и реализацию. Издержки обращения представляют собой денежное
выражение затрат, необходимых для доведения товаров от производителей до
потребителей. [30, c. 24]
Следовательно, основным отличием
издержек обращения от себестоимости является то, что в издержках торгового
предприятия не учитывается стоимость закупаемых товаров.
Таким образом, понятие «расходы» -
более емкое, чем понятия «себестоимость» и «издержки обращения», и включает в
себя следующие составные элементы.
Коллектив авторов под руководством
Ю.Л. Александров в своём учебном пособии «Экономика торгового предприятия», под
издержками обращения как экономической категорией понимают «денежное выражение
затрат, необходимых для доведения товаров от производителей до потребителей».
[11, c. 23]
В учебнике Л.И. Кравченко «Анализ
хозяйственной деятельности в торговле» дано следующее определение, что «расходы
на продажу организаций, занятых торговой и иной посреднической деятельностью,
возникающие в процессе движения товаров от продавца к потребителю, представляют
собой издержки обращения». [30, c. 37]
Расходы по оплате транспортирования
грузов, по погрузке и разгрузке, по содержанию помещений для хранения
материальных ценностей, по оплате труда работников торговых предприятий
составляют издержки обращения торговых организаций по доведению материальных
ценностей от изготовителей до потребителей. Издержки обращения торговли
составляют часть общехозяйственных издержек обращения.
На современном этапе, после
пережитого финансового кризиса, важное значение приобретает режим экономии,
эффективное использование материальных, трудовых и финансовых ресурсов.
Издержки обращения являются одним из качественных показателей работы
предприятия, в котором находят отражения итоги хозяйственной деятельности,
проявляются достижения и недостатки в организации торговли, расходовании
средств. Резервы экономии издержек обращения имеются по всем статьям, выявление
и использование которых в значительной степени зависит от уровня аналитической
работы. Тщательный анализ издержек обращения, выявление неиспользуемых
внутрихозяйственных резервов является важной предпосылкой научного обоснования
текущих затрат торгового предприятия. Поиск резервов снижения издержек
обращения должен быть направлен на расходы, которые непосредственно не связаны
с обслуживанием покупателей.
Исходя из того, что издержки
обращения занимают значительное место в торговой надбавке, их сокращение
является весомым фактором: [11, c. 32]
- уменьшения торговой
надбавки, что способствует снижению цен на товары, повышению их
конкурентоспособности, следовательно, росту оборота розничной торговли;
- увеличения прибыли,
так как при неизменном размере торговой надбавки предприятие увеличивает часть
доходов, формирующих прибыль.
Несоответствие ассортимента товаров
спросу населения и выпуск товаров низкого качества вызывает потери товаров,
повышенные издержки обращения по их хранению, транспортировке, по содержанию
торговых помещений, нерациональное использование рабочего времени. Кроме того,
наличие неходовых товаров и товаров низкого каче6ства вызывает замедление
оборачиваемости, снижает эффективность использования основных и оборотных
средств. Затоваривание ведет к росту процентов за пользование заемными
средствами, вызывает увеличение других расходов. Улучшение торгово-оперативной,
коммерческой работы будет способствовать снижению издержек обращения.
Также направлением снижения издержек
обращения и повышения эффективности осуществления торговой деятельности
является развитие маркетинговой службы. Необходимость проведения маркетинговой
работы, направленной на своего покупателя, для снижения уровня издержек
обращения подтверждается практикой. В этой связи необходимо принимать меры по
совершенствованию службы изучения спроса, расширить торговлю по предварительным
заказам населению.
Для обеспечения
конкурентоспособности необходимо систематически следить за конъюнктурой рынка,
стремиться наиболее полно удовлетворять покупательский спрос с целью расширения
своей доли на рынке. При этом необходимо уделять внимание оценке деятельности
конкурентов. Исходя из того, что цена товара представляет собой совокупную
величину затрат и прибыли, то конкурентоспособность торгового предприятия
зависит от совокупности его расходов.
Снижению издержек обращения также
поспособствует улучшение товародвижения и сокращение времени обращения товаров.
В этих целях необходимо совершенствовать торговое обслуживание населения,
наиболее полно использовать трудовые, материальные и финансовые ресурсы. На
сокращение издержек обращения также может оказать улучшение транспортных
связей, увеличение грузоподъемности и мощности подвижного состава, повышение
уровня механизации погрузочно-разгрузочных работ на всех видах транспорта. [21,
c. 45]
Для достижения режима экономии
издержек обращения необходимо организовать работу во всех звеньях
товародвижения. В этой связи необходимо разработать оптимальные схемы
товародвижения для различных групп товаров, с учетом устранения нерациональных
перевозок, лучшего использования транспорта и оптимального размещения товарных
запасов.
На издержки обращения оказывает
влияние ускорение научно-технического прогресса, использование достижений
науки, повышение производительности труда, техническое перевооружение торговли.
Оснащение современным торгово-технологическим оборудованием, инвентарем и
средствами механизации и автоматизации способствует повышению эффективности
труда работников и снижению издержек обращения при повышении качества торгового
обслуживания населения.
Типичный подход при определении
важнейших направлений снижения издержек - это экономия всех ресурсов, которые
потребляются в процессе обращения. Так как затраты на оплату труда в
организации занимают большую долю, то необходимо рациональное и эффективное
использование трудовых ресурсов. Это можно обеспечить за счет:
- качественного
подбора кадров, их подготовки и обучения;
- создания для
эффективной работы условий, как технические, так и
организационно-психологические (своевременное обеспечение рабочих всем
необходимым для работы, рациональный режим деятельности, поощрение стремления
работников к творчеству и повышению квалификации, к профессиональному росту,
предоставление самостоятельной деятельности).
- важным условием
эффективности деятельности работников является создание такой структуры
предприятия, которая учитывала бы требования рынка, возможности предприятия и в
то же время не была бы консервативна.
Для повышения производительности
труда необходимо совершенствовать систему материального и морального поощрения,
внедрение и дальнейшее совершенствование сдельно-премиальной системы оплаты
труда. Рост производительности труда в торговле уменьшает затраты труда,
снижает расходы на оплату труда, хранению и транспортировке товаров.
Совершенствование системы материального поощрения наряду с улучшением системы
оплаты труда должно быть направлено на повышение экономической эффективности
торговли, на устранение излишних расходов, непланируемых потерь от уплаченных
штрафов за невыполнение договоров.
Основные направления снижения
расходов необходимо изыскивать в совершенствовании торгово-технологического
процесса и повышении эффективности использования всех видов ресурсов, развитии
маркетинговой службы.
Режим экономии торгового предприятия
предполагает снижение потерь товаров в процессе их доставки, хранения и
реализации, рациональное использование транспортных средств, ликвидацию потерь
рабочего времени и потерь по таре, ускорение оборачиваемости оборотного
капитала и т.д.
Важным резервом снижения потерь
товаров является увеличение объема их расфасовки в промышленности, применение
упаковочных материалов более высокого качества. Это позволит продуктам пройти
без потерь весь цикл товародвижения и увеличить их срок хранения. [27, c. 64]
Для устранения потерь необходимо:
- улучшить условия
складирования и хранения товаров;
- не допускать
образования сверхнормативных запасов товаров;
- усилить контроль за
сохранностью товаров.
Важным резервом экономии издержек
обращения является ускорение оборачиваемости средств, вложенных в товарные
запасы, что позволит увеличить долю собственных средств в оплате товаров. Также
резервом экономии является бережное отношение с тарой. Правильная организация
тарного хозяйства даст возможность ликвидировать потери и получить доходы от
операций с тарой. Не менее важным резервом экономии издержек является
сокращение и полное устранение не планируемых потерь: штрафов, пеней, неустоек,
убытков от списания дебиторской задолженности. Для этого необходимо обеспечить
четкую организацию учета и контроля за выполнением договорных обязательств.
На каждом предприятии успех борьбы
за строгое соблюдение режима экономии завит от творческой инициативы и
многообразия форм хозяйствования. Важное место в этом деле отводится работникам
экономического отдела. Их усилия должны быть направлены на работу предприятия
по методу полного хозяйственного ведения, что будет служить стимулом для
соблюдения режима экономии каждым работником на своем рабочем месте.
Таким образом, снижение издержек
обращения на торговом предприятии должно происходить при одновременном
повышении культуры торговли за счет факторов: [11, c. 51]
- повышения качества
товаров и расширения их ассортимента в соответствии со спросом населения на
основе укрепления межотраслевых хозяйственных связей;
- экономии времени и
снижения затрат труда работников за счет роста производительности труда;
- внедрение
достижений научно-технического прогресса, обеспечивающих повышение
эффективности использования материально-технической базы, и заключается в более
полном использовании экономических ресурсов имеющихся на предприятиях и
приобретение нового оборудования и инвентаря;
- совершенствование
организации торговли и труда обеспечивает производительность труда, т.е.
экономию затрат живого труда;
- внедрение
прогрессивных форм торгового обслуживания;
- совершенствование
системы управления и планирования, сокращение расходов на управление;
- совершенствование
методов хозяйствования, повышения роли материальных и моральных стимулов в деле
достижения наибольших результатов при наименьших затратах, более широкого
внедрения автоматизированных систем управления;
- повышение
эффективности использования оборотных средств и ускорения их оборачиваемости;
- улучшение
транспортировки, заключение договоров на поставку с продавцами, улучшение
условий хранения товаров, рационализация товародвижения;
- повышение
ответственности трудового коллектива за качество работы, за обеспечение
ритмичности завоза и бесперебойной продажи товаров.
Выявление резервов снижения издержек
обращения является важнейшим условием повышения эффективности и культуры
торговли, удовлетворения спроса населения на товары народного потребления при
наименьших затратах.
3.2 Пути снижения
издержек обращения на предприятии
На основе проведенного анализа
издержек обращения, запасов и потерь товаров, можно предложить следующее:
- снизить величину
потерь для продовольственных товаров, путем снижения запасов;
- снизить величину
потерь медиатоваров, путем покупки грузозахватных приспособлений для перевозки
грузов, так же реализация бракованных товаров со скидкой, с помощью открытия
вкладки интернет-магазина акционных товаров.
- Причем при
отслеживании товароведом и зав. секциями по продовольственным товарам,
приближение к окончанию срока годности, данные товары так же можно включить в
акционный товар.
На примере уже существующих
интернет-магазинов, разработаем свой, при этом необходимо учесть недостатки в
организации, уже существующих систем Интернет-торговли.
Электронная торговля является частью
электронной коммерции, а значит и электронного бизнеса.
Электронная - осуществление
торгово-закупочной деятельности через Интернет. В зависимости от области
применения и способа устройства различают следующие формы электронной торговли:
для
взаимодействия бизнес-структур с конечными потребителями (B2C,
business-to-customer) используются Интернет-магазины;
межфирменная
торговля в Интернете (B2B, business-to-business) осуществляется через системы
электронной торговли;
подобные
системы электронной торговли применяются и для взаимодействия государства с
бизнесом (B2G, business-to-government). Через такие системы государственные
учреждения и ведомства осуществляют свои закупки на открытом рынке.
Интернет-магазин (англ. online shop
или e-shop) - веб-сайт, рекламирующий товар или услугу, принимающий заказы на
покупку, предлагающий пользователю выбор варианта расчета, способа получения
заказа и выписывающий счет на оплату.
Кроме того, использование
интернет-технологий открывает широкие перспективы для обслуживания покупателей
через Интернет.
Основные цели сайтов-магазинов:
распространение
основной информации: сайт используется для распространения информации о
продуктах и услугах, предоставляемых организацией. Другая предоставляемая
информация в основном включает данные о том, как связаться с фирмой способами,
отличными от Web;
поддержка:
часть сайта может быть предназначена для оказания клиентам информационной
помощи относительно эффективного пользования продуктами или услугами,
предоставляемыми организацией;
связи с
инвесторами: открытые акционерные общества или компании, ищущие внешних
инвесторов, могут создать сайт или раздел сайта для опубликования информации о
текущей экономической ситуации в компании, а также о будущих возможностях для
вложения инвестиций;
связь с
общественностью: многие фирмы используют web-сайты для предоставления
информации различным организациям, занимающимся сбором данных, а также
добровольного обнародования основной информации о фирме;
поиск
служащих: web-сайты часто используются для размещения объявлений о приеме на
работу и преимуществах работы в компании.
Итак, основная цель любого
интернет-магазина состоит в обслуживании пользователей способом, который
принесет ему выгоду либо непосредственно, либо косвенно. Цель распространения
информации посредством такого сайта состоит в том, чтобы попытаться подтолкнуть
людей приобрести продукцию или услуги компании. Конечный результат
использования интернет-магазинов состоит в поощрении интереса к осуществлению
деловой операции.
Как правило, основной аудиторией
интернет-магазина являются ее потенциальные и настоящие клиенты. Дополнительная
аудитория часто включает потенциальных и действительных инвесторов,
заинтересованные сторонние организации, или даже фирмы-конкуренты.
В данном случае
Интернет-составляющая бизнеса содержит прямой коммерческий смысл: разгрузка
персонала компании, ведущего работу с клиентами (сокращение затрат на
телефонную диспетчерскую службу, отправку факсов, телефонные переговоры) за
счет размещения прайс-листов и другой актуальной информации на сайте компании.
Так же мы сможем реализовывать
«бракованные» медиатовары, которые раньше просто списывали на статью потери.
Организация работы интернет-вкладки
|
Этап
|
Характеристика
|
|
1
|
В поисковую систему вводим название Миндаль. Из списка
полученных страниц выбираем нужный сайт.
|
|
2
|
В левой части главной страницы сайта, предлагается выбрать
город, в нашем случае Ижевск, но данное мероприятие предлагается внедрять
повсеместно, по всем городам, где расположена торговая сеть ООО «Ижтрейдинг».
Далее выбираем вкладку акционные товары. Выбираем нужную нам позицию.
Попадаем в каталог, где по определенным параметрам можно выбрать нужный нам
товар. Далее так же под весь аукционный товар будет расписаны причины
снижения цены.
|
|
Если товар подходит, то клиент кликает кнопку «В корзину», после
чего система предлагает перейти в корзину, после чего на экран выводится
бланк оформления заказа. В бланке заказы выводится информация о выбранных
товарах, выбирается способ доставки (доставка или самовывоз). Способы оплаты
(наличными, безналичным расчетом или через банк).
|
|
3
|
После того как выбран способ оплаты и доставки, предлагается
произвести регистрацию в системе. После регистрации заказу присваивается
номер, и он отправляется на обработку.
|
|
4
|
Система формирует счет на оплату товаров и услуг, который
покупатель может распечатать и по нему оплатить товары в сбербанке, либо
непосредственно в магазине, либо при доставке товара на дом. Причем доставка
товаров, при покупке от 1500 тыс. руб. будет осуществляться бесплатно. Если
же сумма покупки менее 1500 руб., то доставка будет оплачиваемая.
|
Что касается продовольственных
товаров, то для уменьшения их потерь предлагается снизить величину запасов, что
так же уменьшит расходы на складское помещение.
Одной из самых злободневных проблем
при транспортировке грузов является его надежная фиксация, позволяющая свести к
минимуму возможные повреждения объекта перевозки.
Транспортируемые грузовыми
автомобилями грузы, сегодня отличаются большим разнообразием. Это требует
правильного подбора и использования специального грузозахватного оборудования.
Только при соблюдении этих условий можно гарантировать сохранность грузов как в
процессе погрузки на автотранспорт, так и во время перевозки.
Оптимизировать использование стяжных
приспособлений поможет детальная проработка многочисленных реальных условий
транспортных перевозок.
Фиксация должна выдержать 0,8 веса
груза при движении транспорта вперед-назад и половинный вес при движении
вправо-влево.
Обязательно нужно учитывать
сцепление с горизонтальной поверхностью транспортного средства при условии
открытой транспортировки. Так, коэффициент сцепления заснеженной деревянной
платформы - 0,1, влажной - 0,2, сухой - 0,3.
Удобство обеспечивается комфортной и
несложной системой натяжения и относительно широким диапазоном регулировки
натяжения. Тем не менее, данные ремни выпускаются в различной модификации с
различными типоразмерами. Все они включат в себя устройство натяжения - это или
трещотка, или храповой механизм.
Стяжной ремень (стяжка), как элемент
малой механизации, позволяет сократить время погрузо-разгрузочных работ почти
на 35%, при этом надежность крепления груза не страдает.
Область применения такого
фиксирующего приспособления не ограничивается транспортными перевозками, но и
широко применяется в складском хозяйстве.
Натяжное устройство, которым
оборудован стяжной ремень для крепления груза, обеспечивает его постоянное
напряжение, исключая снижение момента фиксации, не повреждая ленту крепёжного
приспособления.
Рэтчеты широко используют для
крепления грузов, при этом одним из достоинств которых является широкий рабочий
диапазон длин и простота регулирования.
Их изготавливают из полиэфирной
ленты, устойчивой к воздействию агрессивных сред (погодных условий, многих
химических воздействий).
Такая лента обладает повышенной
износоустойчивостью, но при этом эластичностью и мягкостью, что позволяет
обеспечить деликатную фиксацию, не нарушая окрашенных поверхностей и структуры
транспортируемой продукции.
От характеристики транспортируемого
груза во многом зависит и специфика используемых стяжных ремней.
Возможны варианты разной длины,
различными концевыми конструкциями и крепежными фитингами. В качестве
концевиков используются крюки различного вида и кольца. Сам стяжной ремень
имеет две функциональные части. Одна, более короткая - натяжное устройство,
вторая, более длинная, служащая непосредственно для фиксации, имеет концевое
устройство.
Концевики изготавливаются из
легированных сталей и других высокопрочных сплавов. Для сокращения потерь
медиатоваров, предлагается покупка и установка грузозахватных приспособлений
(система стяжных ремней и ретчеров), на двух фурах Scania.
Для продления срока эксплуатации
стяжных ремней используются защитные уголки из металла.
Материал, из которого изготовлены
ленты ремней, не подвержен гниению и не разрушается от воздействия таких
агрессивных сред, как нефтепродукты, спирты, морская вода и химические
реагенты.
Для производства
погрузочно-разгрузочных работ применяются стропы, которые в зависимости от
своей конструкции материала, делятся на стальные, цепные и текстильные.
Так как магазин располагается во
вписанном помещении и ставка арендной платы достаточно не высокая для города
Ижевска, то даже при их оптимизации существенной экономии не принесет. Так же
может привести к потерям товаров, в случаях кражи. На дынный момент магазин
размещается таким образом, что подход осуществляется с одной стороны, при
оптимизации торговой площади, мы сможем сдвинуть площадь либо вправо либо
влево, это скажется на том, что охране предприятия придется следить уже не за
одной стороной, а за двумя, что как говорилось ранее может привести к потерям
товаров.
Снижение транспортных расходов можно
достичь несколькими путями:
- снижение цены на
бензин, с помощью подписания договора с одной из автозаправочных компаний (на
данный момент такой договор уже подписан с компанией «Газпром»);
- так как в
большинстве случаев машины загружены не полностью, то можно перевозить доп.
товары для других компаний;
- внедрения системы
GPS мониторинга транспорта «Омика».
Практика показывает, что 10-20%
рабочего времени водители используют служебный транспорт в личных целях. При
этом все транспортные расходы, включая расходы на ГСМ, техобслуживание и
вызванный дополнительным износом ремонт, несет не водитель, а
организация-владелец автомобиля. Внедрение системы «Омика» позволяет полностью исключить
«левое» использование вашего транспорта.
Косвенные факторы внедрения системы
GPS мониторинга транспорта «Омика»: Грузы будут доставляться быстрее; Если
установить соответствующие датчики, резко повысится сохранность грузов.
В среднем внедрение системы GPS
мониторинга «Омика» позволяет снизить транспортные расходы на 20-30% и более,
хотя и не всегда обходится без конфликтов с водителями. В большинстве случаев
система окупается за 2-3 месяца.
С помощью системы возможно:
Сможете
увидеть подробные маршруты движения автомобилей по всей России и за рубежом и
исключите нецелевое использование машин недобросовестными водителями;
Подключив
штатные или дополнительные топливные датчики к GPS трекерам HI-2000 Контроль
или Тотал, сможете контролировать расход топлива, видеть на карте места
заправок и сливов.
Сможете
эффективнее решать задачи транспортной логистики и автоматизировать
диспетчерскую, сократить срок доставки груза (товара).
Транспортные
расходы по оценкам компании «Омика» снизятся на 20-30% и затраты окупятся уже
через 1-3 месяца после внедрения системы.
Для внедрения системы мониторинга
потребуется покупка GPS трекера HI-2000 «Контроль». Рассмотрим его основные
характеристики
Высокоточный
GPS приемник с сотовым модулем и буфером памяти;
Возможность
слежения за автомобилем в реальном времени;
Обновление
данных при перемещении автомобиля от 10 сек., при простое 90 сек;
Автоматическая
выгрузка трекинга из буфера памяти при въезде ТС в зону действия домашней сети
оператора GSM;
Время
стоянки и отчет о пройденных маршрутах, с точностью позиционирования на карте
до 3 метров;
Одометр
GPS;
Возможность
подключения к аналоговым датчикам, в том числе для контроля расхода топлива -
до 2;
Возможность
подключения датчиков - до 4 (контроль цепей ТС, открытия дверей, контроль
исполнительных механизмов);
Буфер
памяти до 24 часов (от 10 сек. при движении, при простое 90 сек).
Заключение
Из анализа деятельности магазина
«Миндаль» было выявлено, что величина выручки за анализируемый период увеличилась
на 35,36%, темпы прироста себестоимости меньше темпов прироста выручки от
реализации, и составляют 35%, что хорошо характеризует деятельность
предприятия. В результате валовая прибыль увеличилась на 36,41%. Величина
коммерческих расходов выросла за анализируемый период на 28%, что является
достаточно большим темпом прироста и является проблемой предприятия. В
результате роста коммерческих расходов прибыль от реализации увеличилась на
53,01% относительно 2009 года, относительно 2010 года всего на 9,02%. Прибыль
до налогообложения увеличилась на 52,96% относительно 2009 года, относительно
2010 года увеличилась на 8,96%. Чистая прибыль увеличивалась пропорционально
прибыли до налогообложения и составила в 2011 году 7719,534 тыс. руб., что на
52,96% больше, чем в 2009 году.
Из анализа структуры товарооборота
выяснилось, что показатели товарооборота, по всем товарным группам растут,
наибольшую выручку от продаж приносит группа продовольственных товаров, в 2011
году - это 42,23% от всего объема товарооборота.
Наибольший показатель рентабельности
товарооборота за анализируемый период зафиксирован в 2010 году это 9,85%. В
2011 году произошло уменьшение данного показателя, вследствие увеличения
коммерческих расходов.
Для улучшения деятельности
предприятия необходимо провести мероприятия по оптимизации издержек обращения.
При рассмотрении структуры издержек
обращения, выявилось, что основная доля приходится на материальные затраты,
причем их доля растет с каждым годом, за анализируемый период они выросли на
32,95%.
При выяснении причин выяснилось, что
данный рост обоснован увеличением расходов по хранению, расходы на тару на
153,29%, и увеличением суммы потерь товаров в пути при хранении на 122,73% в
2010 году, по отношению к 2009 году.
Список литературы
магазин издержка товарооборот
прибыль
1. «Гражданский кодекс Российской Федерации (часть первая)» от
30.11.1994 №51-ФЗ (ред. от 30.11.2011)
2. «Гражданский кодекс Российской Федерации (часть вторая)»
от 26.01.1996 №14-ФЗ (ред. от 30.11.2011) (с изм. и доп., вступающими в силу с
01.01.2012)
. «Налоговый кодекс Российской Федерации (часть первая)» от
31.07.1998 №146-ФЗ (ред. от 03.12.2011)
. «Налоговый кодекс Российской Федерации (часть вторая)» от
05.08.2000 №117-ФЗ (ред. от 06.12.2011)
. «Трудовой кодекс Российской Федерации» от 30.12.2001
№197-ФЗ (ред. от 22.11.2011, с изм. от 15.12.2011)
. Федеральный закон от 08.08.2001 №129-ФЗ (ред. от
03.12.2011) «О государственной регистрации юридических лиц и индивидуальных
предпринимателей» (с изм. и доп., вступающими в силу с 01.01.2012)
. Федеральный закон от 26.12.1995 №208-ФЗ (ред. от
30.11.2011) «Об акционерных обществах» (с изм. и доп., вступающими в силу с
01.01.2012)
. Федеральный закон от 21.11.1996 №129-ФЗ (ред. от
28.11.2011) «О бухгалтерском учете»
. Закон РФ от 07.02.1992 №2300-1 (ред. от 18.07.2011) «О
защите прав потребителей» (с изм. и доп., вступающими в силу с 29.09.2011)
10. Абатуров А.И. Резервы снижения издержек обращения в розничной
торговле. - СПб. (2 изд.): Экономика, 2009.
11. Александров Ю.Л. Экономика торгового предприятия: учебное
пособие/ Ю.Л. Александров, Н.Н. Терещенко, И.В. Петрученя; Краснояр. гос. ун-т.
- Красноярск, 2009. - 220 с.
. Асомов А.Л. Экономика торгового предприятия: учебное
пособие/ Абрюмов Г.А., Самборова Е.В; М, 2009. - 150 с.
. Берг Т.И. Планирование основных показателей деятельности
предприятия розничной торговли: учебное пособие / Т.И. Берг, Краснояр. гос.
торг. - экон. ин-т. - Красноярск. - 2007. - 138 с.
. Брагин, Л.А. Управленческий учет / Л.А. Брагин, Т.П.
Данько; - М.: Экономика, 2009. - 418 с.
. Гребнев А.И. Экономика торгового предприятия: учебник для
вузов/под ред. А.И. Гребнева. - М.: Экономика, 2010. - 238 с.
. Грузинов, В.П. Экономика предприятия: учебник для ВУЗов /
В.П. Грузинов - М.: ЮНИТИ, 2010. - 89 с.
. Донцова Л.В. «Совершенствование анализа издержек
обращения» - СПб.: Выш. шк. (2 изд), 2008. - 214 с.
. Донцова Л.В. Анализ финансовой отчетности: учеб. пособие
2-е издание / Л.В. Донцова, Н.А. Никифорова - М: Финансы и статистика, 2010. -
336 с.
. Котляров С.А. Управление затратами / С.А. Котляров. -
СПб: Питер, 2008. - 160 с.
. Игнатова, Е.А. Анализ финансового результата деятельности
предприятия / Е.А. Игнатова, Г.М. Пушкарева - М.: Финансы и статистика, 2009. -
96 с.
. Котляров С.А. Управление затратами / С.А. Котляров. -
СПб: Питер, 2008. - 160 с.
. Павлова Л.Н. Финансы предприятий / Л.Н. Павлова - М.:
Финансы, ЮНИТИ, 2010. - 437 с.
. Смирнова A.M. Оборот розничной торговли и товарные
ресурсы торгового предприятия: сущность, методика анализа и оценка эффективности
использования: конспект лекций / A.M. Смирнова; Краснояр. гос. торг.-экон.
ин-т. - Красноярск, 2007. - 36 с.
. Сотникова Л.В. О формировании финансовых результатов. //
Бух. учет, №1, - 2010.
. Романовский М.В. Финансы: учебник для ВУЗов / М.В.
Романовский, О.В. Врублевская, Б.М. Сабанти - М.: Юрайт, 2009. - 361 с.
. Рыбин В.И. Анализ финансово-хозяйственной деятельности
предприятий и объединений / В.И. Рыбин - М.: Финансы и статистика, 2010. - 391
с.
. Терещенко Н.Н. Планирование на предприятии торговли: учеб.
пособие / Н.Н. Терещенко; Краснояр. гос. торг. - экон. ин-т. - Красноярск,
2005. - 296 с.
28. Хамидуллина, Г.Р. Издержки обращения: учет, анализ, контроль /
Г.Р. Хамидуллина - М.: Изд-во «Экзамен», 2004. - 336 с.
29. Черник Д. Г Предприятие в рыночной экономике. М. ЮНИТИ,
2009. - С. 370 - 385.
. Шеремет А.Д. Управленческий учет, учебное пособие / А.Д.
Шеремет - М.: ФКБ-ПРЕСС, 2009. - с. 316.
. Шуляк П.Н. Финансы предприятия. М.: 2010. - 700 с.
. Экономика предприятия: Учебник для вузов. 2-е изд. под ред.
Кантор Е.Л. / 2008. - 400 с.
. Экономика и финансы предприятия. Учебник для вузов. / под
ред. Бородина Е.И. - М.: Банки и биржи, ЮНИТИ, 2011.-208 с.
. Экономика и управление предприятием и анализ его
деятельности / Под ред. СЮ. Наумова. Изд-во саратовского университета, 2009. -
68 с.
. http://mnogoknig.org.ua - Экономика предприятия: Учеб.
пособие.
. http://www.consultant.ru/ - Официальный источник.
Справочно-правовая система «Консультант плюс»