Автоматизация рабочего места заместителя директора по учебной работе
Введение
Основная цель АСУ - это улучшение качества
управления предприятием для производства высококачественной продукции и услуг с
целью получения максимальной прибыли в условиях рыночной экономики.
Задачей функционирования АСУ является
обеспечение администрации организации достоверной и своевременной необходимой
информацией для повышения эффективности управления. Это позволяет повысить
степень обоснованности принимаемых решений, обеспечить четкую согласованность
решений, принимаемых на различных уровнях управления и в разных структурных
подразделениях, что приводит к росту производительности труда, сокращению
непроизводственных потерь.
Актуальность темы дипломного проекта
заключается в том, что внедрение АСУ позволяет значительно увеличить качество
управления организацией и успешно обрабатывать все повышающиеся объемы входной
и выходной информации.
Оптимальное управление учреждением
заключается в выборе наилучших управляющих воздействий из множества возможных в
соответствии с установленной целью управления, с учетом ограничений и на основе
информации о состоянии управляемого объекта и внешней среды.
Целью данного дипломного проекта является построение
автоматизированной системы управления средней общеобразовательной школой №17 с
разработкой автоматизированного рабочего места заместителя директора по учебной
работе.
Объектом исследования является АСУ
общеобразовательной школы №17 г. Майкоп.
Предметом исследования является автоматизация
рабочего места заместителя директора по учебной работе.
Теоретико-методологическим
основанием являются основные понятия теоретических основ автоматизированного
управления, проектирования АСОИУ, системного анализа, моделирования систем,
экономико-математические методы и модели.
Практическая значимость заключается в разработке
и внедрении программного продукта автоматизирующего обработку информации на
рабочем месте заместителя директора по учебной работе школы №17.
1.
Диагностический анализ учреждения
1.1
Общая характеристика школы
Муниципальное общеобразовательное учреждение средняя
общеобразовательная школа №17 создано в целях реализации права граждан на
образование, гарантий общедоступности, бесплатности начального общего,
основного общего и полного общего образования в пределах государственных
образовательных стандартов, если образование данного уровня гражданин получает
впервые.
Тип образовательного учреждения - среднее общеобразовательное
учреждение. Вид образовательного учреждения - основная средняя
общеобразовательная школа.
Сокращенное наименование учреждения -
средняя общеобразовательная школа №17.
Учреждение является юридическим лицом
(некоммерческой организацией), может открывать счета в органах казначейства,
иметь самостоятельный баланс, лицевой счет, печать установленного образца,
штамп, бланки со своим наименованием.
Школа вправе от своего имени заключать
договоры, приобретать имущественные и личные неимущественные права и нести
обязанности, быть истцом и ответчиком в суде, арбитражном и третейском судах.
Учреждение обладает правом на образовательную деятельность и льготы,
предусмотренные законодательством Российской Федерации, при наличии
соответствующей лицензии.
Основными задачами школы являются:
- создание благоприятных условий для
разностороннего развития личности, в том числе путем удовлетворения
потребностей обучающихся в самообразовании и получении дополнительного
образования;
- формирование общей культуры личности
обучающихся на основе усвоения обязательного минимума содержания
общеобразовательных программ, их адаптация к жизни в обществе;
- воспитание гражданственности, трудолюбия,
уважения к правам и свободам человека, любви к окружающей природе, Родине,
семье.
Для реализации основных задач школа имеет право:
- самостоятельно на основе государственных
образовательных стандартов разрабатывать, принимать и реализовывать
образовательные программы;
- разрабатывать и утверждать учебный план,
годовой календарный учебный график по согласованию с управлением по образованию
и науке администрации г. Майкопа и расписание занятий;
- выбирать формы, средства и методы обучения
и воспитания в пределах, определенных Законом Российской Федерации «Об
образовании»;
- самостоятельно выбирать систему оценок,
формы, порядок и периодичность промежуточной аттестации обучающихся;
- реализовывать дополнительные
образовательные программы и оказывать дополнительные образовательные услуги, в
том числе за плату, за пределами основных общеобразовательных программ,
определяющих статус учреждения;
- создавать в соответствии с
законодательством Российской Федерации образовательные объединения (ассоциации,
союзы) и иные объединения, в том числе с участием учреждений, предприятий и
общественных организаций;
- устанавливать прямые связи с зарубежными
предприятиями, учреждениями и организациями.
Обучение и воспитание в школе ведутся на русском языке.
Образовательный процесс осуществляется в соответствии с уровнями
общеобразовательных программ двух ступеней общего образования, являющихся
преемственными, то есть каждая последующая программа базируется на предыдущей.
Первая ступень - начальное общее образование (нормативный
срок освоения 4 года) - обеспечивает воспитание и развитие обучающихся,
овладение ими чтением, письмом, счетом, основными навыками учебной
деятельности, элементами теоретического мышления, простейшими навыками
самоконтроля, культурой поведения и речи, основами личной гигиены и здорового
образа жизни. Начальное общее образование является базой для получения
основного общего образования.
Вторая ступень - основное общее образование (нормативный срок
освоения 5 лет) создает условия для воспитания, становления и формирования
личности обучающегося, для развития его склонностей, интересов и способности к
социальному самоопределению.
Основное общее образование является базой для получения
среднего (полного) общего образования, начального и среднего профессионального
образования.
Школа в порядке, установленном законодательством Российской
Федерации, несет ответственность за:
- невыполнение функций, отнесенных к ее
компетенции;
- нарушение прав и свобод обучающихся и
работников учреждения;
- качество образования и его соответствие
государственным образовательным стандартам;
- адекватность применяемых форм, методов и
средств организации образовательного процесса возрастным психофизиологическим
особенностям, склонностям, способностям, интересам обучающихся, требованиям
охраны их жизни и здоровья;
- уровень квалификации педагогических
работников;
- реализацию не в полном объеме
образовательных программ в соответствии с учебным планом и графиком учебного
процесса;
- жизнь и здоровье обучающихся и работников
во время образовательного процесса;
- создание необходимых
условий для учебы, труда и отдыха обучающихся.
Школа может быть реорганизовано в другую
образовательную организацию в соответствии с законодательством Российской
Федерации, и в порядке устанавливаемом учредителем.
Ликвидация может осуществляться:
- в соответствии с
законодательством Российской Федерации в порядке, установленном органами
местного самоуправления;
- деятельности, не
соответствующей его уставным целям;
- по решению суда в случае
осуществления деятельности без надлежащей лицензии.
Ликвидация допускается только с согласия
схода жителей населенного пункта и после предварительной экспертной оценки
последствий ликвидации.
1.2
Описание функциональной структуры
информационный база данные автоматизированный
Построение функционально-иерархической структуры.
В
организационно-управленческую подсистему входят следующие блоки:
управленческий, обеспечивающий и обучающий.
В управленческий блок входят совет учреждения, педагогический
совет и директор школы.
К компетенции совета относится:
- утверждение плана развития учреждения и
отчета о его выполнении;
- принятие решения об исключении
обучающегося;
- создание экзаменационной комиссии в случае
несогласия обучающегося, его родителей (законных представителей) с годовой
оценкой;
- утверждение локальных актов учреждения,
отнесенных уставом к его компетенции;
- рассмотрение жалоб и заявлений
обучающихся, их родителей и законных представителей на действия или бездействие
педагогического, административного, технического персонала Учреждения,
осуществление защиты прав участников образовательного процесса;
- согласование сдачи в аренду школой
закрепленных за ней объектов собственности и определение условий договора
аренды;
- утверждение отчета директора школы по
итогам учебного и финансового года;
- осуществление контроля за соблюдением
здоровых и безопасных условий обучения и воспитания в школе.
К компетенции педагогического совета относится:
- обсуждение и утверждение учебных планов,
расписания занятий, программ, календарно-тематического планирования;
- выбор форм и методов образовательного
процесса, способов их реализации;
- принятие решений о переводе, исключении
учащихся, формах проведения промежуточной и итоговой аттестации;
- отчет о работе отдельных педагогов по
представлению заместителей директора;
- организация работы по повышению
квалификации педагогических работников, развитию их инициативы, распространению
передового опыта;
- определение направлений опытно -
экспериментальной работы педагогического коллектива или отдельных педагогов,
заслушивание отчетов о ее ходе и результативности.
Непосредственное руководство школой осуществляет прошедший
соответствующую аттестацию руководитель - директор, назначаемый на эту
должность и освобождаемый от нее Главой г. Майкопа.
Права и обязанности директора, основание для расторжения
трудовых отношений регулируются трудовым законодательством и трудовым
договором. Директор несет ответственность перед обучающимися, их родителями
(законными представителями), государством, обществом и учредителем за
результаты своей деятельности в соответствии с должностными обязанностями,
предусмотренными квалификационными требованиями, трудовым договором и уставом.
К обеспечивающей подсистеме относится:
- предоставление бухгалтерской отчетности
налоговым органам;
- контроль за правильностью оформления и
ведения кассовых документов;
- обеспечение квалифицированными кадрами.
Обучающая подсистема включает в себя:
- создание благоприятных условий для
разностороннего развития личности, в том числе путем удовлетворения
потребностей обучающихся в самообразовании и получении дополнительного
образования;
- формирование культуры личности обучающихся;
- воспитание гражданственности, трудолюбия,
уважения к правам и свободам человека, любви к окружающей природе, Родине,
семье;
- формирование здорового образа жизни.
Структурная функционально- иерархическая
схема школы представлена на рисунке 1.1.
Изучение функциональных областей.
Функционирование МОУ СОШ №17, как и любой другой
организации, предполагает достижение заранее определённого множества целей
путём решения множества задач, сгруппированных по определённому признаку в
подмножества.
Для того чтобы иметь более полное
представление о функционировании школы, необходимо определить функциональные
области и процессы, протекающие в этих областях.
Функционирование общеобразовательной школы
предполагает достижение заранее определенного множества целей путем решения
задач, сгруппированных по определенному признаку в подмножества.
Для того чтобы иметь более полное
представление о функционировании организации, необходимо определить
функциональные области и процессы, протекающие в этих областях. Каждая
функциональная область включает в себя ряд процессов или функций.
Рисунок 1.1 - Функционально - иерархическая схема школы
В таблице 1.1 представлен перечень
конкретных функциональных областей и протекающих в них процессов.
Таблица 1.1 Функциональные области и
процессы их составляющие
|
Функциональная
область
|
Код
|
Процессы,
протекающие в функциональных областях
|
Код
|
|
1 Управление и
организация учебной деятельности
|
001
|
1.1 Контроль за
процессом обучения; 1.2 Контроль за качеством процесса обучения.
|
011 012
|
|
2 Организация
воспитательной работы
|
|
2.1 Контроль за
выполнением плана воспитательных мероприятий. 2,2 Формирование плана
воспитательной работы.
|
021 022
|
|
3 Подбор и
управление кадрами
|
003
|
3.1
Планирование отпусков; 3.2 Планирование аттестации; 3.3 Переподготовка
кадров.
|
031 032 033
|
|
4 Управление и
учет хозяйственной деятельности
|
004
|
4.1 Организация
закупки расходных материалов и технических средств; 4.2 Управление работой
технического персонала. 4.3 Учет расходования материальных средств.
|
041 042 043
|
|
5 Управление
финансовой деятельностью
|
005
|
5.1 Исполнение
смет; 5.2 Учет основных средств; 5.3 Начисление заработной платы; 5.4
Движение денежной наличности.
|
051 052 053
054
|
|
6 Управление
финансами
|
006
|
6.1 Финансовое
планирование; 6.2 Управление капиталовложениями; 6.3 Управление фондами
школы.
|
061 062 063
|
.3
Анализ целей
Под целью понимается информационный образ
желаемого состояния или результата деятельности. Цели, как правило, задаются в
виде общих целевых установок для системы в целом и поэтому нуждаются в
детализации и конкретизации по мере продвижения вниз по уровням иерархической
структуры системы. Чем точнее сформулированы цели системы, тем легче выбрать
средства для их реализации.
В таблице 1.2 приведены цели
функционирования учреждения, средства их достижения и критерии оценки
эффективности.
Таблица 1.2 Основные цели функционирования
школы
|
Цель
|
Средства
достижения
|
Критерий
эффективности
|
|
1 Повышение
качества обучения
|
1.1
Совершенствование образовательного процесса; 1.2 Повышение квалификации
кадров.
|
Повышение
качества знаний выпускников
|
|
2 Развитие
социальной инфраструктуры школы
|
2.1
Использование новых технологий; 2.2 Оптимизация структуры управления; 2.3
Рациональная организация труда и отдыха; 2.4 Повышение благосостояния
коллектива.
|
Уменьшение
текучести кадров
|
|
3 Сохранение
здоровья школьников
|
3.1 Расширение
ассортимента спортивных секций в школе. 3.2 улучшение качества школьного
питания. 3.3 Проведение периодических медосмотров школьников.
|
Повышение
качества здоровья школьников и успеваемости.
|
|
4 Модернизация
учреждения
|
3.1 Обучение
работников навыкам работы с ЭВМ; 3.2 Оснащение классов школы современным
оборудованием.
|
Повышение
эффективности функционирования учреждения
|
Ввиду сложности целей, стоящих перед системой, возникает
необходимость в их декомпозиции. Такую возможность создают методики построения
дерева целей. Сущность метода дерева целей наиболее ярко проявляется
посредством одного из этапов его применения - логического разделения
совокупности целей. По существу, это означает расчленение целей системы более
высокого порядка на цели системы более низкого порядка, причем в результате
такого расчленения получают дерево целей, которое показывает связь между целями
разных порядков. При декомпозиции сложные цели и функции должны разлагаться на
такие составляющие, которые отличались бы друг от друга по каким-либо из следующих
факторов:
- по требующемуся алгоритму управления;
- по исполнителям (при сложившемся или
проектируемом разделении труда в структуре предприятия).
При построении дерева целей большое
значение отводится эвристическим методам, экспертным оценкам, необходимость
которых обусловлена большой неопределенностью в решении этих задач.
Для построения конечной, иерархичной и в
тоже время максимально простой модели дерева целей, необходимо выполнение
следующих принципов:
- принцип полноты
(достижение совокупности возникающих при декомпозиции целей должно быть
достаточным условием для реализации декомпозируемой цели);
- принцип суперпозиций
подцелей (необходимо стремиться, чтобы при декомпозиции подцели одного уровня
были относительно независимыми, т.к. это упрощает проектирование организации).
В случае независимости декомпозируемая цель будет аддитивной суммой подцели;
- принцип конечности
декомпозиции (результатом декомпозиции должно быть конечное дерево, т.е.
алгоритм декомпозиции должен заканчиваться за конечное число шагов). [4]
Результатом декомпозиции основной цели
функционирования предприятия является дерево целей, содержащее: условия
достижения основной цели, направления достижения целей, конечные продукты,
действия системы, необходимые для получения конечных продуктов. Компоненты
дерева целей приведены в таблице 1.3.
Таблица 1.3 Компоненты дерева целей
|
Компонент
|
Содержание
компонента
|
|
С0
|
Предоставление
качественных услуг получения начального и основного общего образования
|
|
С1
|
Повышение
качества подготовки учащихся
|
|
С1.1
|
Совершенствование
учебной базы
|
|
С1.1.1
|
Своевременное
освоение финансовых средств.
|
|
С1.1.2
|
Своевременное и
качественное освоение новых технологий обучения
|
|
С1.2
|
Повышение
квалификации кадров
|
|
С1.2.1
|
Привлечение
наиболее квалифицированных кадров извне
|
|
С1.2.2
|
Своевременное
проведение работ по повышению квалификации работников
|
|
С1.3
|
Стимулирование
труда
|
|
С1.3.1
|
Эффективное
материальное стимулирование
|
|
С1.3.2
|
Эффективное
моральное стимулирование
|
|
С2
|
Модернизация
учреждения
|
|
С2.1
|
Обучение
работников навыкам работы с ЭВМ
|
|
С2.1.1
|
Организация
обучения персонала работы с ЭВМ
|
|
С2.2
|
Оснащение
предприятия современным оборудованием
|
|
С2.2.1
|
Контроль за
физическим износом оборудования
|
|
С2.2.2
|
Контроль за
моральным состоянием оборудования
|
|
С2.2.3
|
Рациональное
внедрение нового оборудования
|
|
С3
|
Развитие
социальной инфраструктуры учреждения
|
|
С3.1
|
Рациональная
организация труда и отдыха
|
|
С3.1.1
|
Оптимальная
организация рабочего процесса
|
|
С3.1.2
|
Эффективная
организация отдыха сотрудников
|
|
С3.2
|
Обеспечение
качественного медицинского обслуживания
|
1.4
Построение организационно-управленческой структуры
Организационная структура управления - это
состав, взаимосвязь и соподчиненность совокупности организационных единиц,
выполняющих различные функции по управлению предприятием. Такая структура
формируется исходя из состава, содержания и трудоемкости выполнения общих и
специальных функций управления. Организационно-управленческая структура имеет
пирамидальное строение, т.е. содержит несколько иерархических уровней. Иерархическое
построение системы обеспечивает ее повышенную устойчивость внешним возмущениям,
способствует локализации конфликтов, возникающих между отдельными элементами, и
согласует отдельные цели подсистем с общими
Организационно-управленческая структура
имеет пирамидальное строение, т.е. содержит несколько иерархических уровней.
Иерархическое построение системы обеспечивает ее повышенную устойчивость к
внешним возмущениям, способствуя локализации конфликтов, возникающих между
отдельными элементами.
Основными формами управления в школе являются совет
учреждения, общее собрание трудового коллектива, педагогический совет,
родительский комитет. [1]
Общее руководство осуществляет выборный
представительный орган - совет учреждения, который составляют представители обучающихся,
родители (законные представители), педагогические работники. Совет избирает из
своего состава председателя, который руководит работой. Совет собирается не
реже 2-х раз в год.
Непосредственное управление деятельностью
школы осуществляет директор, назначаемый на эту должность и освобождаемый от
нее главой г. Майкоп.
1.5
Анализ проблемных ситуаций
Определение путей совершенствования
процесса организации невозможно без выявления, анализа и решения существующих
проблемных ситуаций. К ним могут относиться противоречия в обследуемом объекте
(по вертикали и по горизонтали), трудности (помехи, нехватки), неопределенность
целей, связей и т.д. Проблемные ситуации проявляются резко каждая в
отдельности. Как правило, это взаимосвязанное множество проблем, затрагивающих
различные сферы деятельности учреждения. Выделение и решение глобальных проблем
всегда содействует устранению многих второстепенных проблем.
На основании проведенного анализа выделен
ряд проблемных ситуаций (таблица 1.4), устранение которых должно способствовать
повышению уровня функционирования школы.
Таблица 1.4 Проблемы и методы их
разрешения
|
Проблемы
|
Методы
разрешения
|
|
1 Трудности
подбора высококвалифицированных кадров
|
1.1 Привлечение
высококвалифицированных кадров 1.2 Подготовка кадров 1.3 Повышение
квалификации сотрудников отделов
|
|
2 Повышение
качества оказываемых услуг
|
2.1 Внедрение
новых инновационных методов обучения 2.2 Приобретение современного
оборудования
|
|
3 Устаревание
технологий
|
3.1 Внедрение
новых технологий 3.2 Обучение специалистов 3.3 Автоматизация учебных
процессов
|
|
4 Слабая
автоматизация в организационно - управленческих отделах
|
4.1
Автоматизация учета денежных средств 4.2 Автоматизация рабочих мест
заместителей директора 4.3 Автоматизация учета кадров 4.4 Обучение персонала
работе с программными средствами 4.5 Объединение в единую компьютерную сеть
отделов
|
|
|
|
1.6
Выбор проблемы для автоматизации
В результате проведения обследования школы
была выявлена слабая автоматизация в организационно - управленческих отделах.
В основу эффективного решения этой
проблемы было положено создание системы интегрированных автоматизированных
рабочих мест (АРМ). Автоматизированное рабочее место представляет собой
проблемно-ориентированный программно-технический комплекс, включающий технические
и программные средства, информационное и методическое обеспечение для решения
задач пользователя непосредственно на его рабочем месте.
Одной из первоочередных задач требующих
разрешения с точки зрения автоматизации является автоматизация рабочего места
заместителя директора по учебной работе. По поступающей информации заместитель
постоянно должен отслеживать состояние учебного процесса, уровень и качество
обучения, контингент обучаемых и тенденции дальнейшего развития. Учет является
функцией управления деятельностью организации. Он включает в себя ведение
статистики. Статистический учет обеспечивает получение обобщенной информации о
деятельности учреждения или отдела, следит за движением материальных ценностей.
Решение проблемы автоматизации рабочего
места заместителя директора по учебной работе должно облегчить ведение и
контроль учебного процесса в школе.
1.7
Анализ информационных потоков по выбранной проблеме
Изучение информационных потоков позволяет определить
информационные связи как всего общества в целом, так и его подразделений [6].
Информационные связи регулируются через документы различных
видов: поступающих в общество, исходящих из общества и циркулирующих в
обществе. Таким образом, движение информационных потоков есть движение
документов, значит, изучить информационный поток означает изучить все виды
документов[6].
Выделяют 2 метода изучения документов:
- метод инвентаризации;
- метод типических групп.
Множество документов, связанных с системой управления, с
точки зрения разработчика АСУ можно разделить на следующие категории и
группы[6]:
1.
Входные
документы, возникающие вне системы.
2.
Специальные
положения и инструкции, регламентирующие функции подразделений и определяющие
сроки и процедуры обработки информации и принятия решений.
3.
Систематически
обновляемые картотеки, книги, журналы, справочники, используемые в процессе
работы.
4.
Промежуточные
документы, получаемые в процессе управления (в процессе обработки данных).
5.
Выходные
документы.
Таким образом, анализ информационных потоков по выбранной
проблеме, заключается в изучении документооборота этой области.
Для более наглядного представления информационных потоков
строится таблица-схема документооборота (таблица 1.6). При построении этой
таблицы-схемы используется таблица «Перечень используемых документов» (таблица
1.5) [8].
Таким образом, анализ информационных
потоков по выбранной проблеме заключается в изучении документооборота в этой
области. На основании изученных документов можно составить перечень
используемых документов (таблица 1.5).
Таблица 1.5 Перечень используемых документов
|
Наименование
документа
|
Кем готовится
|
Кем
используется
|
Тип
|
Периодичность
|
Кол. экз.
|
Код
|
|
Учебный план
|
Внешняя среда
|
Заместитель по
УР
|
1
|
Периодическая
|
1
|
1.01
|
|
Личная карточка
|
Отдел кадров
|
Заместитель по
УР
|
3
|
Любая
|
1
|
3.01
|
|
Ведомость
успеваемости
|
Учителя
|
Зам. по УР
|
3
|
Периодическая
|
1
|
3.02
|
|
Нагрузка
преподавателей
|
Зам. по УР
|
Учителя
|
4
|
Любая
|
1
|
4.01
|
|
Карточка
поручений
|
Зам. по УР
|
секретарь,
учителя
|
4
|
Периодическая
|
1
|
4.02
|
|
Приказ о
формировании группы
|
Зам. по УР
|
секретарь,
учителя
|
5
|
Периодическая
|
1
|
5.01
|
|
Отчет
|
Зам. по УР
|
Внешняя среда
|
5
|
Периодическая
|
2
|
5.02
|
Для более наглядного представления
информационных потоков строится таблица-схема документооборота (таблица 1.6).
Каждый документ в таблице-схеме занимает свою горизонталь. Графически
указывается количество выписываемых экземпляров, и где они выписываются. Также
указываются вертикальные связи между документами, какой документ каким
порождается (если таковые связи существуют) и горизонтальное движение
экземпляров.
Таблица 1.6 Схема документооборота
|
Наименование
подразделений
|
|
Заместитель
директора по учебной работе
|
Учитель
|
Отдел кадров
|
Внешняя среда
|
|
|
|
|
|
|
|
|
|
|
|
|
|
|
|
|
|
|
|
|
|
|
|
|
|
|
|
|
1.8
Выводы
В первой главе дипломного проекта произведен диагностический
анализ средней общеобразовательной школы №17 г. Майкопа. В результате
обследования:
- дана общая характеристика школы (общие
положения, основные задачи, основные функции);
- произведен анализ функциональной структуры
(построена функционально- иерархическая структура);
- был произведен анализ целей;
- построена организационно-управленческая
структура;
- произведен анализ проблемных ситуаций и
выбрана проблема для ее разрешения путем автоматизации;
- произведен анализ информационных потоков
документов в выбранном отделе.
В результате проведения анализа проблемных ситуаций для
автоматизации выбрано рабочее место заместителя директора школы по учебной
работе.
2.
Концептуальный план создания АСУ
.1
Общее описание АСУ МОУ СОШ №17
информационный база данные автоматизированный
Современные АСУ представляют собой сложные
человеко-машинные системы, в которых сочетается машинная переработка информации
с координирующей деятельностью человека оператора. При этом за человеком
остаются, как правило, наиболее сложные, пока не поддающиеся формализации
задачи, такие, например, как постановка проблемы, принятие решения в условиях
неполной информации и неопределенности, контроль за переработкой информации.
Поэтому важной задачей при создании АСУ является правильное распределение функций
между человеком и ЭВМ. Чтобы человек эффективно взаимодействовал с ЭВМ,
необходимо обеспечить ему такие условия, чтобы он был заинтересован в
результатах своей деятельности. И здесь больное значение имеет правильное
определение критериев функционирования, а также материальное и моральное
стимулирование лиц, принимающих решение.
Функционирование АСУ связано и с решением
ряда проблем правового, а также психологического и социологического характера.
Социологический аспект АСУ имеет не меньшее значение, чем аспект структурный по
отношению к отдельным уровням управления. Оптимальная структура системы
органически связана с пределами личной компетенции, формами санкций, поощрений
и т.д. Эти вопросы должны решаться на правовой основе в виде должностных
инструкций и предписаний, утвержденных и обязательных для исполнения. Во многих
случаях требуются принципиально новые, отличные от существующих решения.
Например, АСУ не может оперировать таким обязательным атрибутом существующих
систем управления, как подлинная подпись материально ответственного лица. Эта
проблема возникает при проектировании систем обработки информации по
материальному учету и является сложной как с технической, так и с правовой
точки зрения. [1]
Концептуальный план создания и развития АСУ должен разрабатываться
руководителями предприятия или организации совместно со специалистами по
проектированию АСУ.
Необходимость в построении единой АСУ заключается в повышении
эффективности работы организации, за счет уменьшения затрат времени на
обработку информации и повышения оперативности принятия управленческих решений.
Создание АСУ позволит решить проблемы, возникающие при накоплении информации.
Объединение всех основных отделов в единую систему, работающую с общей
информационной базой, позволит достаточно просто отслеживать потоки информации
и получать необходимые данные, как директору, так и руководителям отделов.
В данной главе дипломного проекта предлагается концептуальный
план разработки и построения АСУ с учетом уже имеющихся элементов.
Разрабатываемая автоматизированная система управления будет
базироваться на концепции технологии автоматизированных рабочих мест (АРМ),
реализуемой в виде системы интегрированных АРМ на базе ПЭВМ.
2.2
Структура автоматизированной системы управления
Функциональная структура АСУ. При изучении уже
существующей АСУ организации или построении новой в начале необходимо
определить её внутреннюю структуру. При этом система разделяется на части,
имеющие меньшую сложность, подсистемы и их элементы.
Структуру АСУ можно представить в виде совокупности
обеспечивающих и функциональных подсистемы. Применение такого подхода
обеспечивает наиболее полное представление о структуре АСУ. Взаимодействие этих
подсистем строится на основе общего информационного фонда, который формируется
в процессе работы функциональных подсистем на основе единой методологии решения
задач и образования взаимосвязанного комплекса показателей, с использованием
единых средств и методов описания данных. Программные средства обеспечивают
машинное ведение информационного фонда и взаимодействие с этим фондом
пользователей всех категорий [2].
Функциональные подсистемы АСУ представляют собой
комплекс программных и технических средств, предназначенных для решения задач
планирования, учёта, анализа показателей, и принятия на основе этих данных
управленческих решений. Эти подсистемы реализовываются в виде
автоматизированных рабочих мест:
- автоматизированная подсистема «Обучение» состоит
из АРМ - ов заместителя директора по УР и секретаря учебной части, и
предназначена для организации и проведения теоретических и практических учебных
занятий в школе;
- автоматизированная подсистема
«Воспитательная работа» содержит АРМ- ы замдиректора по воспитательной работе,
психолога и библиотекаря, отвечает за формирование у учащихся нравственных
навыков.
- автоматизированная подсистема «Методист»
состоит из АРМ-ов замдиректора по учебно-методической работе и председателя
методической секции, ее задачей является контроль за накоплением учителями
методических наработок по дисциплинам;
- автоматизированная подсистема «Хозчасть»
включает в себя АРМ-ы замдиректора по АХЧ, зав. складом, зав. гаражом, и
предназначена для учета, контроля и ремонта автотранспорта и других
механических средств, находящегося на балансе школы;
- АРМ «Отдел кадров» - учет кадрового
состава школы;
- АРМ «Зав. столовой» - ведение учета и
контроля за расходом продуктов питания в столовой школы;
- АРМ «Директор школы» - контроль
производственной работы для повышения эффективности деятельности организации.
Роль обеспечивающих подсистем состоит в обеспечении единого
общесистемного подхода на всех этапах сбора, хранения, обработки и выдачи
информации на основе использования экономико-математических моделей и средств
вычислительной техники.
В комплекс обеспечивающих подсистем входят:
- подсистема информационного обеспечения АСУ - это
совокупность единой системы классификации и кодирования технико-экономической
информации, унифицированных систем документации и массивов информации,
используемых в АСУ;
- подсистема организационного обеспечения
АСУ - совокупность средств и методов, предназначенных для проведения
технико-экономического анализа существующей системы управления, выбора и
постановки задачи управления предприятием, организации управления и
производства в условиях АСУ;
- подсистема технического обеспечения АСУ является
комплексом технических средств, связанных единым техническим процессом
преобразования информации, предназначенных для обеспечения АСУ;
- подсистема математического обеспечения АСУ
- совокупность математических методов, моделей и алгоритмов решения задач и
обработки информации с применением вычислительной техники в АСУ;
- подсистема программного обеспечения АСУ -
совокупность программ регулярного применения, необходимых для решения
функциональных задач АСУ, и программ, позволяющих наиболее эффективно
эксплуатировать вычислительную технику, обеспечивая пользователю наибольшие
удобства в работе и минимум затрат на программирование задач и обработку
информации в АСУ.
Описание существующих функциональных
подсистем и автоматизированных рабочих мест, а также разрабатываемых и
планируемых к разработке подсистем и АРМ - ов представлено в таблице 2.1.
Таблица 2.1 Существующие, разрабатываемые и планируемых к
разработке подсистемы и рабочие места
|
Наименование
П/С и АРМ
|
Назначение
|
Цель
функционирова-ния
|
Пользо-ватели
|
|
1
Автоматизированная п/с «Обучение»: 1.1 АРМ зам по УР; 1.2 АРМ секретаря УЧ.
|
Организация,
проведение и контроль учебного процесса
|
Обеспечение
своевременного и качественного процесса обучения
|
Зам. по учебной
работе, учебная часть
|
|
2
Автоматизированная п/с «Воспитательная работа» 2.1 АРМ зам по ВР; 2.2 АРМ
психолога; 2.3 АРМ библиотекаря.
|
Проведение
воспитательных мероприятий с учащимися
|
Повышение
нравственного уровня учащихся
|
Зам по ВР
|
|
3
Автоматизированная п/с «Методист»: 3.1 АРМ зам по УМР; 3.2 АРМ председателя
МС.
|
Осуществление
учёта методических наработок преподавателей
|
Качественное
обучение учащихся
|
Методические
секции
|
|
4
Автоматизированная п/с «Хозчасть»: 4.1 АРМ зам по АХЧ; 4.2 АРМ зав. складом;
4.3 АРМ зав. гаражом.
|
Учет, контроль
и ремонт автотранспорта и других механических средств
|
Обеспечение
своевременного учёта всех средств школы
|
Хоз. часть
|
|
5 АРМ «Отдел кадров»
|
Учёт кадрового
состава школы
|
Управление
кадрами
|
Отдел кадров
|
|
Наименование
П/С и АРМ
|
Назначение
|
Цель
функционирования
|
|
6 АРМ зав. столовой
|
Ведение учета и
контроля за продуктами питания в столовой
|
Своевременная
закупка и поставка необходимых продуктов в столовую
|
Столовая
|
|
7 АРМ «Директор школы»
|
Руководство
деятельностью школы
|
Общий контроль
над работой школы
|
Директор школы
|
Функциональную модель АСОИУ школы спроектируем в среде
моделирования BPWin (рисунок 2.1 и 2.2).
Рисунок 2.1 - Входные и выходные элементы системы «Школа»
Рисунок 2.2 - Взаимодействие элементов
подсистемы «Обучение»
Описание информационного обеспечения АСУ. Информационное
обеспечение АСУ школы №17 представляет собой совокупность данных, языковых
средств описания данных, методов организации, хранения, накопления и доступа к
информационным массивам, обеспечивающих выдачу всей информации, необходимой в
процессе решения функциональных задач АСУ и справочной информации [2].
Подсистема информационного обеспечения укрупнено включает:
- методы и средства описания, моделирования и
представления данных, разнообразные структуры на домашинном логическом уровнях,
а так же методические и инструктивные материалы, определяющие порядок
применения и развития средств описания данных;
- систему внедрения средств описания данных;
- подразделения подсистемы информационного
обеспечения.
Основными функциями подсистемы являются:
- организация контроля правильности использования
средств описания данных и обеспечения достоверности на различных уровнях
описания;
- обеспечение непротиворечивости описания
данных и их информационной сопоставимости;
- разработка необходимых методических и
инструктивных материалов определяющих порядок использования средств
моделирования и описания данных;
- организация автоматизированного ведения
средств информационного обеспечения;
- участие совместно с другими
обеспечивающими подсистемами в формировании информационного фонда [3].
Подсистема информационного обеспечения
постоянно взаимодействует с другими подсистемами. С одной стороны она обеспечивает
решение информационных задач и комплексов, а с другой, она сама использует
программные средства для ведения этих средств, использует соответствующие
методические материалы, определяющие систему показателей, состав объектов и их
атрибутов, систему документации и т.д.
Математическое обеспечение АСУ. Математическое
обеспечение строится на основе типизации алгоритмов по классам задач и
унификации методов решения родственных задач независимо от подсистем, в которых
они находятся. Такая группировка задач позволяет удешевить их математическое
обеспечение, а также создать единые модели для решения различного класса задач.
Можно выделить следующие классы задач [5]:
- задача первичного учёта - являющееся, как
правило, массовыми, эффективность включения в АСУ которых, зависит от
автоматизации получения машиночитаемой информации;
- учетно-статистические задачи -
характеризуются большим числом логических операций при небольшом объёме простых
математических операций;
- бухгалтерские задач - характеризуются
большим числом операций сложения, вычитания, логических операций (сортировка,
группировка, сравнение) и формирование таблиц в заданной форме;
- информационно-справочные задачи;
- задачи сложных не экстремальных расчётов -
для решения задач данного типа целесообразно применять методы математического
моделирования; это позволяет сократить трудность не только самих расчётов, но и
работ, необходимых для сбора исходной информации;
- оптимизационные задачи - наиболее
эффективно используют методы моделирования; в машине могут быть «разыграны»
любые варианты и ситуации и получена оценка каждого варианта во всех возможных
ситуациях;
- задачи оперативного управления -
производственными процессами;
- логические задачи.
Математическое обеспечение принято делить на общее и специальное.
Общее математическое обеспечение (ОМО) является машинно-ориентированным и
реализуется в виде программ операционной системы, управляющих всеми
участвующими в решении задач узлами машины и сними устройствами, а также
тестовых и диагностических программ, проверяющих исправность и выявляющих
неисправные узлы и блоки оборудования.
Специальное математическое обеспечение (СМО) является
проблемно-ориентированным и реализуется в виде комплекса программ, организующих
работу технических средств по выполнению решаемых в АСУ школы задач.
Специальное математическое обеспечение:
- общесистемное, обеспечивающее функционирование
всей системы управления в заданном режиме, включая управление работой ЭВМ и
других технических средств;
- прикладное, состоящее из прикладных
программ в соответствии с индивидуальными особенностями решаемых задач.
Для реализации математического обеспечения
создают программное обеспечение.
Описание организационного обеспечения АСУ. Организационное
обеспечение АСУ состоит из организационной структуры АСУ и документов,
обеспечивающие качественное функционирование организационной структуры.
Организационная структура - это совокупность специалистов по
компьютерам различного профиля, обеспечивающих бесперебойное функционирование
АСУ. Для поддержки нормального функционирования АСУ необходимо, что бы в
организации был создан отдел АСУ, состоящий из следующих подразделов:
. Подраздел технического обслуживания должен поддерживать всю
технику в рабочем состоянии.
. Подраздел, занимающийся системным программированием должен:
- поддерживать надёжное функционирование общего
программного обеспечения;
- своевременно внедрять новые программные
продукты общего ПО;
- вести статистику всех сбоев и недочетов в
работе ПО;
- проводить обучение сотрудников работе с
внедряемыми программным продуктам.
3. Подраздел проектирования и программирования должен:
- проектировать новые программные продукты;
- обеспечить обновление частей АСУ;
- поддерживать все программные продукты АСУ
в работоспособном состоянии;
- разбираться со всеми возникающими ошибками
в работе АСУ в части специального ПО;
- консультировать операторов, пользователей
других специалистов в части специфики функционирования специального ПО.
4. Подраздел внедрения занимается:
- обеспечением бесперебойного функционирования АСУ;
- сбором для секторов проектирования и
системного программирования информации о всех нестандартных ситуациях
возникающих в системе;
- обучение пользователей работе на
компьютере;
- ведение ЦБД (центральной базы данных).
5. Диспетчерская служба обеспечивает связь между
подразделениями АСУ и отделами предприятия. Она включает в себя
администрирование сети и баз данных. Диспетчерская служба отвечает за:
- систему разделения доступа;
- целостность ЦБД;
- работу АСУ;
- решение всех конфликтов между пользователями
и подразделениями АСУ.
Описание технического обеспечения АСУ. Техническое обеспечение
АСУ - это комплекс технических средств (КТС), объединенных единым
технологическим процессом.
Основные требования к КТС:
- эффективное решение установочного набора задач
АСУ;
- возможность изменения и развития в случае
изменения набора задач и совершенствования техники управления;
- кодовая, программная и техническая совместимость;
- простота в эксплуатации и максимальное
приближение к требованиям пользователя.
Для обеспечения работы АСУ в школе установлены IBM - совместимые компьютеры
на базе процессора Pentium IV 1500 со следующими конфигурациями:
- ОЗУ от 64 Мб до 4 Гб;
- FDD 1.44 Мб;
- CD-ROM от 8 до 52х и DVD-ROM;
- HDD от 40 Гб до 500 Гб;
- SVGA от 32 Мб до 256 Мб;
- мониторы View Sonic, Samsung, LG.
- принтеры: Epson FX 1000, Samsung
ML 1615.
Все компьютеры объединены в единую локальную сеть.
Описание программного обеспечения АСУ. Программное обеспечение
(ПО) АСУ - совокупность программ для реализации целей и задач
автоматизированной системы управления, функционирующие на комплексе технических
средств АСУ.
ПО представляет собой реализацию на ЭВМ математического
обеспечения. Главная цель ПО - обеспечение максимально эффективного и удобного
для пользователя уровня общения с ЭВМ.
Операционные системы (ОС) - это часть ПО, предназначенная для
планирования и организации процесса обработки, ввода / вывода и управления
данными, распределения, распределения ресурсов, подготовки и отладки программ и
других вспомогательных операций обслуживания. ОС делят на: ОС ПЭВМ и ОС
сетей (ОС локальных сетей и ОС глобальных сетей).
Системы программирования можно разделить на:
- универсальную - представляющую собой набор
трансляторов с алгоритмических проблемно-ориентированных языков, как общего
назначения, так и специализированных; основой универсальной системы
программирования является алгоритмический машинно-ориентированный язык,
представляющий собой универсальный автокод, рассчитанный на распространённые
типы вычислительных машин;
- частную - основанную на языке конкретной
машины и содержащую ряд трансляторов и компиляторов, а также стандартные
программы.
Как универсальная, так и частная системы программирования
могут неограниченно расширятся.
Пакеты прикладных программ - это программы, расширяющие
возможности ОС, программы для инженерных расчётов, для решения экономических
задач и т.д. Пакеты прикладных программ можно разделить на:
- проблемно-ориентированные пакеты;
- методически-ориентированные пакеты;
- пакеты общего назначения.
Специальное ПО - это совокупность программ, реализующих
функциональную часть АСУ, т.е. подсистемы и автоматизированные рабочие места.
.3
Выводы
Основная цель автоматизации
организационного управления - обеспечение оптимального функционирования объекта
управления (предприятия, объединения, отрасли и т.п.) путем правильного выбора
целей и средств для их достижения с учетом имеющихся ограничений, наилучшего
распределения заданий между отдельными частями, из которых состоит объект, и
обеспечения их четкого взаимодействия.
В данной главе проекта рассмотрена концепция создания
автоматизированной системы управления муниципального образовательного
учреждения «Средняя общеобразовательная школа №17». Эта концепция включает в
себя описание технического, математического, программного и информационного
обеспечения, а также построение функциональной структуры АСУ и создание
организационного обеспечения.
Было построены функциональные подсистемы с применением
средств визуального моделирования BPWin.
Представленный концептуальный план позволяет создать
действующую систему управления, основанную на интеграции всех функциональных
подсистем, позволяющую в кратчайшие сроки обрабатывать поступающую информацию и
принимать оптимальные решения.
3.
Разработка АРМ «Учебная работа»
.1
Обоснование разработки
Одной из основных задач в общеобразовательной школе №17
является предоставление услуг населению в получении начального и общего
образования. Это значит, что процесс обучения является главным в деятельности
данной организации. Поэтому автоматизация рабочего места заместителя директора
школы по учебной работе является первоочередной. Создание базы данных об
учителях, их нагрузке, учащихся и их успеваемости, учебных классах и материалах
просто необходимо для эффективного формирования учебного процесса.
Для решения поставленной задачи необходимо внедрение
автоматизированной системы, предназначенной для ускорения формирования
необходимых документов и поиска информации. Данная подсистема будет являться
частью разрабатываемой в школе автоматизированной системы управления.
3.2
Расчёт экономической эффективности
Экономическая эффективность вложений на разработку и
внедрение автоматизированной системы предполагает сопоставление результатов
автоматизации и затрат на неё.
Основным показателем экономического эффекта после внедрения
разработанного АРМ является улучшение экономических показателей того отдела
организации, для которого этот АРМ разрабатывается. Существующие методики
предполагают сравнение показателей работы до, и после внедрения АРМ при
примерно равных условиях работы.
Расчёт экономической эффективности может выполняться
несколькими способами:
- расчет увеличения
прибыли, после внедрения подсистемы АСУ;
- расчёт сокращения
временных затрат на работу с информацией;
- расчет с использованием
комплексного коэффициента эффективности управления.
Автоматизация рабочего места заместителя директора по учебной
работе позволяет получить экономический эффект за счёт сокращения времени,
требуемого на работу с информацией. Следовательно, можно произвести расчет
коэффициента повышения оперативности управления, показывающего экономию времени
на принятие решения.
Расчет коэффициента повышения оперативности управления Ку
производится по формуле:
Т1
Ку = ¾, (1)
Т2
где Т1 - время, необходимое на принятие решения
при ручной технологии;
Т2 - время, затрачиваемое на
принятие решения при машинной технологии.
В свою очередь, T1 и Т2
определяются по формулам:
Т1 = tв1 + tр1 + tп1 + tа1,
(2)
Т2 = tв2 + tр2 + tп2 + tа2,
(3)
где tв1 и tв2 - время ввода информации при ручной и машинной
технологии;
tр1 и tр2 - время поиска информации при ручной и машинной
технологии;
tп1 и tп2 - время подготовки
печатных форм при ручной и машинной технологии;
tа1 и tа2 - время анализа при ручной и машинной технологии
соответственно.
Расчет экономического эффекта представлен в таблице 3.1.
Таблица 2.1 Расчет экономического эффекта
|
Наименование
|
Временные
|
составляющие
|
|
показателя
|
До
автоматизации (мин.)
|
После
автоматизации (мин.)
|
|
Ввод информации
|
7
|
3
|
|
Поиск информации
|
4
|
0,5
|
|
Анализ
информации
|
5
|
0,5
|
|
Подготовка
печатных форм
|
6
|
0,3
|
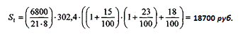
Ку = (7 + 4 + 5 + 6) / (3 + 0,5 + 0,5 + 0,3) = 5,1
После автоматизации произойдет снижение времени, необходимого
на работу с информацией в 5 раз.
Ввод в базу данных, проведение измерений и
составление отчетов занимает у заместителя директора около 15% всего рабочего
времени. Таким образом, количество часов в год, затрачиваемое при ручном методе
обработки информации составляет (при условии, что рабочий день равен 8 часам,
число рабочих дней в месяце - 21):
а при автоматизированном методе обработки
информации, учитывая Кр, получим:
Данный программный продукт будет использоваться
классным руководителем, оклад которого составляет 6800 руб. Поэтому затраты на
заработную плату в год составляют:
где Z1 - часовая тарифная ставка
классного руководителя, руб.;
- затраты времени в год при ручном методе
обработки информации (см. выше), час;
- дополнительная заработная
плата, 15%;
- единый социальный налог, 23%;
- накладные
расходы, 18%.


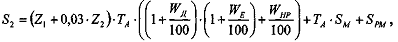
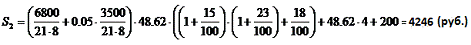
Для обслуживания программы и ЭВМ в штате
сектора АСУ есть информационный работник, оклад которого составляет 3500 руб.
Предположим, что для обслуживания программы и данной ЭВМ у него тратиться 5%
рабочего времени. Таким образом, расходы на содержание персонала и
функционирование ЭВМ в год составляют:
где
-
часовая тарифная ставка информационного работника, руб.;
- затраты времени в год при
автоматизированном методе обработки информации (см. выше), час;
- стоимость 1 часа машинного
времени, 4 руб./ч.;
- затраты на приобретение
расходных материалов (бумаги,
чернил для принтера и т.д.) при
использовании программного продукта, 200 руб.
Таким образом, годовой экономический эффект
от использования нового программного продукта, составляет:
Расчет экономической эффективности показывает, что
целесообразно внедрять спроектированную информационную систему.
3.3
Проектирование
функциональной структуры АРМ «Учебная работа»
Общее описание. Разработка АРМ «Учебная работа»
предназначена для автоматизации работы замдиректора по учебной работе.
Разрабатываемая программа должна обладать дружественным, интуитивно понятным
интерфейсом, и в то же время выполнять все функции по хранению, обработке,
поиске данных и формированию выходных документов.
Функции, которые должна выполнять АРМ «Учебная работа»:
- обработка сведений об учителях;
- распределение учебной нагрузки;
- формирование расписания занятий;
- просмотр сведение об успеваемости
обучающихся;
- поиск данных по учителям, обучающимся и
предметам;
- формирование выходной документации.
Для выполнения указанных функций, необходимо решение
следующих задач:
- ввод и обновление информации;
- автоматизация поиска информации;
- защита данных от несанкционированного
доступа;
- автоматизированная подготовка выходных
документов.
При разработке программного продукта были использованы
следующие входные документы:
- личная карточка учителя;
- учебные планы;
- нагрузка учителя;
- сведения об обучающихся.
При работе программы могут быть получены следующие выходные
документы:
- ведомость успеваемости;
- учебная нагрузка;
- список групп;
- сведения об учителе.
Функциональная структура АРМ «Учебная
работа» приведена на рисунке 3.1.
3.3.2 Постановка задачи. Подзадача «Ввод и
обновление информации» включает ввод информации:
- об учителях;
- предметах;
- учебной нагрузке;
- учебных планах;
- сведениях по ученикам в классах;
- результаты успеваемости.
В состав подзадачи «Автоматизация поиска» входит поиск данных
по учителям и учащимся по различным критериям.
Подзадача «Автоматизация передачи данных в архив» ставит
целью автоматизировать передачу данных о выпускниках в архив для сокращения
записей в рабочей базе данных. Архив включает все данные об уволенных учителях
и бывших учениках.
Подзадача «Автоматизация создания отчётов» включает в себя
формирование необходимых отчетных документов для их дальнейшего использования
как внутри школы, так и вне ее пределов различными контролирующими
организациями.
3.4
Проектирование базы данных
Проектирование баз данных это разработка структуры данных,
которая может использоваться во многих прикладных программах. Результаты
проектирования баз данных, как правило, представляются в виде
последовательностей операторов языка СУБД обеспечивающих создание БД, поддержание
ее целостности, эксплуатационное обслуживание ее, и, возможно, выполнение
некоторых типовых операций с данными, облегчающие работу прикладных
программистов. [3], [4]
Концептуальное
проектирование. Комплекс задач этого этапа состоит из выявления общих
информационных объектов и связей между ними, анализа общих информационных
требований к системе и выявления информационных потоков, отражающих процессы
производства, обработки и взаимодействия данных. Ориентация на выявление общих
информационных объектов и связей между ними требует начинать сбор информации с
изучения документальных форм, которые дают возможность построить первое
приближение концептуальной схемы и вооружают разработчика начальным набором
знаний в предметной области. [13]
На данном этапе проектирования
составляется список всех используемых и сопоставляемых данных с их разделением
по типам и идентификаторам данных. Каждый элемент помещается в словарь данных.
Также составляется список всех правил и линий поведения в управлении
деятельностью организации.
Результаты концептуального проектирования
могут быть выражены в виде инфологической модели, которая представляет
структуру данных независимо от любой физической реализации. Для построения
концептуальной схемы часто используется метод моделирования «Сущность - связь»
или ER-диаграммы (Entity-Relation).
Основным понятием при проектировании баз
данных является понятие «сущность».
Сущность - это имеющее смысл в
данной предметной области, существующее в действительности или воображаемое
явление или объект, информацию о котором нужно сохранять или выяснять. [10]
Основное правило для сущностей: каждый
экземпляр сущности должен уникальным и четко определимым образом отличаться от
любого другого экземпляра этой сущности и от любых экземпляров других сущностей.
Другим важным понятием является атрибут
или свойство сущности - это именованный элемент информации, описывающий
сущность. Атрибут может иметь только одно значение в каждый момент времени.
Предметную область можно представить в виде связей между типами
сущностей, имеющих определенные свойства. Такое представление называют
инфологической моделью.
Логическое
проектирование. Основной задачей данного этапа является разработка логической
схемы, ориентированной на СУБД. На этом этапе определяются отношения
реляционной модели (таблицы СУБД), атрибуты (столбцы таблиц) и типы атрибутов
(типы данных столбцов).
Одним из основных методов логического
проектирования является отображение ER-диаграммы на логическую схему.
Правила отображения концептуальной схемы,
построенной по методу «Сущность - Связь», на логическую схему:
1. Каждая сущность становится
отношением, идентификатор сущности становиться первичным ключом, а его
характеристики - атрибутами отношения.
2. Связь типа «один ко многим»
(отец-сын) не образует нового отношения, но идентификатор сущности отца
становится внешним ключом отношения для сущности сына, а характеристики
сущности отца становятся дополнительными характеристиками сущности сына.
3. Связь типа «многие ко многим»
становится новым отношением, идентификатор связываемых сущностей становится
составным первичным ключом отношения для связи, а характеристики (если есть)
становятся атрибутами отношений для связи. [5]
На рисунке 3.3 представлена даталогическая
модель базы данных.
Физическое проектирование. Физическое проектирование
является последним этапом создания проекта базы данных, при выполнении
которого проектировщик принимает решения о способах реализации разрабатываемой
базы данных.
На этом этапе создаются эффективные
физические структуры БД по заданной логической структуре. Здесь происходит
выбор конкретного продукта СУБД, выбирается тип и размер данных в каждом
столбце таблицы с учетом ограничений на домен, проектируется метод доступа
(индексы и связи между записями), обеспечивается поддержка целостности и
безопасности данных.
Конечным этапом этого проектирования является программный
продукт для обслуживания БД разработанный на языке выбранной СУБД.
3.5
Выбор СУБД
Без баз данных сегодня невозможно представить работу
большинства финансовых, промышленных, торговых и прочих организаций. Потоки
информации, циркулирующие в мире, который нас окружает, огромны. Во времени они
имеют тенденцию к увеличению. Базы данных позволяют информацию структурировать,
хранить и извлекать оптимальным для пользователя способом.
Имеется три основные архитектуры баз данных: локальные базы
данных, архитектура «файл-сервер», архитектура «клиент-сервер». [7]
При работе с локальными базами данных сами БД расположены на
том компьютере, что и приложения, осуществляющие доступ к ним. Работа с БД
происходит в однопользовательском режиме.
При работе в архитектуре «файл-сервер» БД и приложение
расположены на файловом сервере сети. Возможна многопользовательская работа с
одной и той же БД, когда каждый пользователь со своего компьютера запускает
приложение, расположенное на сетевом сервере. Тогда на компьютере пользователя
запускается копия приложения. По каждому запросу к БД из приложения данные из
таблиц БД передаются на компьютер пользователя, независимо от того, сколько
реально нужно данных для выполнения запроса. После этого выполняется запрос.
Каждый пользователь имеет на своем компьютере локальную копию данных, время от
времени обновляемых из реальной БД, расположенной на сетевом сервере. При этом
изменения, которые каждый пользователь вносит в БД, могут быть до определенного
момента неизвестны другим пользователям, что делает актуальной задачу
систематического обновления данных на компьютере пользователя из реальной БД.
Другой актуальной задачей является блокирование записей, которые изменяются
одним из пользователей - это необходимо для того, чтобы в это время другой
пользователь не внес изменений в те же данные.
Архитектура «клиент-сервер» разделяет функции приложения
пользователя (называемого клиентом) и сервера.
Приложение-клиент формирует запрос к серверу, на котором
расположена БД, на структурном языке запросов SQL, являющемся промышленным
стандартом в мире реляционных БД. Удаленный сервер принимает запрос и
переадресует его SQL-серверу БД. SQL-сервер - специальная программа,
управляющая удаленной базой данных. SQL-сервер обеспечивает интерпретацию
запроса, его выполнение в базе данных, формирование результата выполнения
запроса и выдачу его приложению-клиенту. При этом ресурсы клиентского
компьютера не участвуют в физическом выполнении запроса. Клиентский компьютер
лишь отсылает запрос к серверной БД и получает результат, после чего
интерпретирует его необходимым образом и представляет пользователю.
Для реализации автоматизированного рабочего места заместителя
директора школы по учебной работе выбрана файл - серверная архитектура
построения баз данных.
.6
Выбор программного и технического обеспечения
Программное обеспечение - это совокупность программ
регулярного использования, необходимых для функционирования АСУ, позволяющих
наиболее эффективно использовать вычислительную технику, обеспечивая
пользователям наибольшие удобства в работе и минимум затрат труда на
программирование задач и обработку информации [6].
Для реализации клиент - серверной архитектуры необходимо
выбрать программное обеспечения для сервера и клиентской части.
Самыми распространенными серверами являются: Oracle, Sybase, DB2, MS SQL Server, InterBase. В дипломном проекте для
реализации серверной части выбран промышленный SQL - сервер InterBase.
Для реализации клиентской части выбрана среда визуального
программирования Borland Delphi 7.0.
Borland Delphi - это комбинация
нескольких важнейших технологий [7]:
- высокопроизводительный компилятор в
машинный код (в настоящее время является самым быстрым в мире, его скорость
компиляции составляет свыше 120 тысяч строк в минуту, он предлагает легкость
разработки и быстрое время проверки готового программного блока);
- объектно-ориентированная модель компонент;
- визуальное построение приложений
программных прототипов;
- масштабируемые средства для построения баз
данных;
- объектно-ориентированная модель
программных компонент.
Техническое обеспечение - это комплекс технических средств,
объединенных единым технологическим процессом.
В связи с тем, что в качестве операционной системы
используется Windows XP, к техническому обеспечению предъявляются определенные
требования: процессор не ниже Celeron 1800 МГц, ОЗУ не менее 64 Мб (рекомендуется 128
Мб), видеоадаптер SVGA, сетевая плата, высокоскоростной струйный или лазерный принтер,
сетевой кабель, клавиатура, мышь.
3.7 Выводы
В данной главе дипломного проекта представлено описание
автоматизированного рабочего места заместителя директора общеобразовательной
школы №17 по учебной работе.
Спроектирована информационная модель данных. Для реализации
выбрана файл - серверная архитектура баз данных, так как данная архитектура
наилучшим образом способствует защите данных и уменьшает трафик передачи данных
в сети.
Для реализации базы данных выбрана СУБД MS Access. Интерфейсная оболочка
для работы с базой данных реализована в среде визуального программирования Borland Delphi 7.0.
Внедрение данного автоматизированного рабочего места должно
повысить эффективность работы по распределению учебной нагрузки и формированию
занятий в классах.
4.
Безопасность и экологичность работы
4.1
Анализ условий труда пользователя
Данное программное средство разработано для внедрения и
использования на персональном компьютере типа IBM PC, установленном на
рабочем месте заместителя директора общеобразовательной школы №17 по учебной
работе.
К главным вредоносным физическим факторам
в помещении относятся: нехватка естественного света, электрические токи,
статическое электричество, излучение монитора компьютера и электромагнитное
излучение системного блока.
Воздушную среду, соответствующую
санитарно-гигиеническим нормам создают в помещениях системы воздухообмена либо
вентиляции путем замены загрязненного воздуха чистым атмосферным либо
вентиляционно - обработанным. К основным вредным выделениям в жилых и общественных
зданиях относится углекислый газ, излишки тепла и влаги, а в производственных
помещениях еще и вредные газы.
Тепло и чистый воздух имеют одно из
главных значений для жизни и деятельности человека. Тепло необходимо для
поддержания в помещениях благоприятной температуры и для предохранения
помещений от сырости, приводящей к преждевременному разрушению строительных
конструкций зданий[17].
Для создания оптимального рабочего климата
используются также процессы кондиционирования воздуха, заключающиеся в
нагревании и охлаждении, увлажнении и осушке, а также в очистке от загрязнений
в зависимости от времени года и состояния воздуха в помещении[18].
В процессе проведения анализа труда
заместителя по учебной работе были выявлены следующие данные.
Помещение представляет собой одну комнату
площадью 23 кв. м., в которой располагается рабочее место, занимающее 2-ю часть
всей площади, что подходит под санитарные нормы СН 245-71. В помещении
поддерживается сравнительно постоянная температура около 22° - 24° С, влажность
около 46 -51%. Для поддержания оптимального для работы климата используются
кондиционеры и система вентиляции. Отопление помещения осуществляется с помощью
батареи, расположенной в нише под окном, а так же стен с подогревом.
На рабочем месте можно отметить несколько видов
электромагнитного излучения: низкочастотное - 50-60 Гц (излучение технического
оборудования); излучение высоких частот от 8 до 25 МГц (тактовые частоты
процессоров).
В помещении характерно наличие различных
видов шумов. Электромагнитный шум создают электронные устройства. Средние
частоты шумов находятся в пределах от 1 600 Гц до 30 000 Гц. Таким образом,
общий шум в помещении составляет порядка 50 дБ.
.2
Потенциально опасные и другие вредные факторы
Имеющийся в настоящее время комплекс
разработанных организационных мероприятий и технических средств защиты,
накопленный опыт работы ряда предприятий, работающих с АСУ, показывает, что
имеется вероятность добиться значительно больших успехов в деле устранения
воздействия на сотрудников опасных и вредных производственных факторов.
Опасным называется производственный
фактор, воздействие которого на работающего человека в определенных условиях
приводит к травме или другому внезапному резкому ухудшению здоровья. Если же
производственный фактор приводит к заболеванию или снижению трудоспособности,
то его считают вредным. В зависимости от длительности и уровня воздействия
вредный производственный фактор может стать опасным. Опасные вредные
производственные факторы разделяют на четыре группы: химические, физические,
психофизические и биологические.
Медицинские обследования работников,
использующих ЭВМ в своей деятельности, показали, что кроме понижения
производительности труда высокие уровни шума приводят к ухудшению слуха, к
частым головным болям. Долгое пребывание человека в зоне комбинированного
воздействия различных неблагоприятных факторов может привести к
профессиональному заболеванию. Анализ травматизма среди работников показывает,
что в основном несчастные случаи происходят от воздействия физически опасных
производственных факторов при выполнении сотрудниками несвойственных им работ.
На втором месте случаи, связанные с воздействием электрического тока.
4.3
Обеспечение электробезопасности
Электрический ток представляет собой
достаточно скрытый тип опасности. Смертельно опасным для жизни человека считают
ток, величина которого немногим превышает 0,05А, а ток менее 0,05А - безопасен.
С целью предупреждения поражений электрическим током к работе должны
допускаться только лица, хорошо изучившие основные правила по технике
безопасности.
В соответствии с правилами
электробезопасности в служебном помещении должен осуществляться ежедневный
контроль состояния электропроводки, предохранительных щитов, шнуров, с помощью
которых включаются в электросеть компьютеры, осветительные приборы, другие
электроприборы.
Электрические установки, к которым
относится практически все оборудование ЭВМ, представляют для человека большую
потенциальную опасность, т.к. в процессе эксплуатации или проведении
профилактических работ человек может коснуться частей, находящихся под
напряжением. Специфическая опасность электроустановок: токоведущие проводники,
корпуса стоек ЭВМ и прочего оборудования, оказавшегося под напряжением в
результате повреждения изоляции, не подают каких-либо сигналов, которые
предупреждают человека об опасности. Реакция человека на электрический ток
появляется только при протекании последнего через тело человека. Исключительно
важное значение для предотвращения электротравматизма имеет правильная организация
обслуживания действующих электроустановок, проведения ремонтных, монтажных и
профилактических работ.
Разрядные токи статического электричества
чаще всего возникают при прикосновении к любому из элементов ЭВМ. Такие разряды
угрозы для человека не представляют, однако не считая неприятных ощущений они
могут привести к выходу из строя ЭВМ. Иным способом защиты является
нейтрализация заряда статического электричества ионизированным газом. В
индустрии обширно используются радиоактивные нейтрализаторы.
4.4
Обеспечение санитарно - гигиенических требований
Помещения с ПЭВМ, их размеры должны в
первую очередь соответствовать количеству работающих и размещаемому в них
комплекту технических средств. В них предусматриваются соответствующие
параметры температуры, освещения, чистоты воздуха, обеспечивают изоляцию, от
производственных шумов и т.п. Для обеспечения нормальных условий труда
санитарные нормы СН 245-71 устанавливают на одного работающего, объем
производственного помещения не менее 16 м3, площадь помещения выгороженного
стенами или глухими перегородками не менее 4,5 м2.
Рабочие кабинеты и комнаты должны иметь
естественное освещение. В тех случаях, когда одного натурального освещения не
хватает, устанавливается совмещенное освещение.
Искусственное освещение по характеру
выполняемых задач делится на аварийное, рабочее, эвакуационное.
Понижение гула, создаваемого на
автоматизированном рабочем месте внутренними источниками, а также шума извне,
является чрезвычайно важной задачей. Понижение гула в источнике излучения можно
обеспечить применением упругих прокладок между основанием машины, прибора и
опорной поверхностью. В качестве подкладок используются резина, войлок, пробка,
различной конструкции амортизаторы. Под настольные шумящие аппараты можно
подкладывать мягкие коврики из синтетических материалов, а под ножки столов, на
которых они установлены, - прокладки из мягкой резины, войлока, шириной 6-8 мм.
Понижение уровня шума, проникающего в производственное помещение извне, может
быть достигнуто увеличением шумоизоляции отгораживающих конструкций,
уплотнением по периметру притворов окон, дверей.
Таким образом, для понижения шума
создаваемого на рабочих местах внутренними источниками, а также шума,
проникающего снаружи, следует [16]:
- снизить эффект суммарного
воздействия, отраженных звуковых
волн (звукопоглощающие поверхности конструкций);
- использовать
архитектурно-планировочные и технологические решения изоляции источников шума;
- применять рациональное
расположение оборудования;
- ослабить шум самих.
4.5
Организация и оборудование рабочих мест с ПЭВМ
Требования к организации и оборудованию
рабочего места пользователя ЭВМ приведены в ГОСТ 12.2.032-78. Высота рабочей
поверхности стола для пользователей должна регулироваться в пределах 675-800
мм; при отсутствии таковой возможности высота рабочей поверхности стола должна
составлять 725 мм.
Модульными размерами рабочей поверхности
стола для ПЭВМ, на основании которых должны рассчитываться конструктивные
размеры, следует считать: ширину 800, 1200, 1400 мм, глубину 800 и 1000 мм при
нерегулируемой высоте, равной 725 мм.
Рабочее пространство нужно снабдить
подставкой для ног, имеющей ширину не менее 320 мм, глубину не менее 420 мм,
регулировку по высоте в пределах до 150 мм и по углу наклона опорной
поверхности подставки до 20 градусов. Поверхность подставки должна быть
рифленой и иметь по переднему краю бортик высотой 15 мм.
Клавиатуру следует располагать на
поверхности стола на расстоянии 100-300 мм от края, обращенного к пользователю,
либо на особой регулируемой по высоте рабочей поверхности, отделенной от
основной столешницы. [14]
4.6
Выводы
В результате проведённых в четвертой главе исследований были
выяснены основные неблагоприятные факторы, влияющие на работу пользователя ЭВМ,
а также средства и методы индивидуальной защиты от них.
Исследования показывают, что при выполнении всех нормативов
даже длительная работа при правильной организации труда и отдыха не приведёт к
ухудшению самочувствия, других физиологических показателей и формированию
симптомов заболевания.
Заключение
Результатом данного дипломного проекта является разработка
АСОИУ общеобразовательной школы №17 с созданием АРМ заместителя директора школы
по учебной работе.
В процессе диагностического анализа изучен состав и принципы
функционирования общеобразовательной школы №17. Дана общая характеристика
учреждения, построена организационно-управленческая структура, проведен анализ
проблемных ситуаций. Для автоматизации было выбрано рабочее место заместителя
директора по учебной работе. Произведен анализ информационных потоков на
выбранном рабочем месте.
Построен концептуальный план создания АСУ школы. Данная
концепция включила в себя построение функциональной структуры АСУ, описание
технического, математического, программного и информационного обеспечения, а
также создание организационного обеспечения.
Выявлены существующие, разрабатываемые и планируемые к
разработке автоматизированные рабочие места.
Разработанная программа, которая позволит повысить
эффективность работы заместителя директора по учебной работе за счет сокращения
времени на обработку информации.
Приведено экономическое обоснование
внедрения программного продукта, который показал, что время, требуемое на
работу с информацией, сократилось в 5 раз.
Для соблюдения норм техники безопасности
при работе с ПЭВМ, произведен анализ условий труда на рабочем месте в
соответствии с нормативами СанПиН 2.2.2/2.4.1340-03.
В результате выполнения дипломного проекта
решены все задачи, которые ставились в начале проектирования.
Список
литературы
1
Устав
муниципального образовательного учреждения средней общеобразовательной школы
№17.
2
Белоногов
Г.Г. Автоматизированные информационные системы / Г.Г. Белоногов, В.И.
Богатырёв. - М.: Наука, 1999.
3
Борисов
В.И. Основы автоматизации / В.И. Борисов, М.А. Петров. - М.: Наука, 2001.
4
Васильев
И.К. Автоматизированные системы управления / И.К. Васильев, Н.И. Николаев. -
М.: Бином, 2002.
5
Давыдов
И.И. Теория автоматизированного управления / И.И. Давыдов. - Ростов-на-Дону:
Наука и жизнь, 1999.
6
Мельников
В.В. Защита информации в компьютерных системах / В.В. Мельников. - М.: Финансы
и статистика, 2004.
7
Гофман
В.Е. Delphi 7 - Наиболее полное руководство / В.Е. Гофман, А.А. Хомоненко. -
СПб.: БХВ - Санкт Петербург, 2000.
8
Кириллов
В.В. Структурированный язык запросов (SQL) / В.В. Кириллов. - СПб.: ИТМО, 1999.
9
Мартин
Дж. Организация баз данных в вычислительных системах / Дж. Мартин. - М.: Мир,
2001.
10
Тейсекъери
С. Delphi 7.0 / С. Тейсекьери -
Киев: Bhv, 2001.
11
Мартин
Дж. Организация баз данных в вычислительных системах / Дж. Мартин. - М.: Мир,
2001.
12
Овчаров
Л.А. Автоматизированные банки данных / Л.А. Овчаров, С.Н. Селетков. - М.:
Финансы и статистика, 2002.
13
Михайлов
Ф.С. Отопление и основы вентиляции / Ф.С. Михайлов - М.: Наука, 1972.
14
Андреева-Галанина
В.К. Шум вреден / В.К. Андреева-Галанина - М.: Наука, 1989.
15
Андреева-Галанина
В.К. Шум вреден / В.К. Андреева-Галанина - М.: Наука, 1989.
16
СанПиН
2.2.2/2.4.1340-03 / Госкомсанэпиднадзор России - М., 2003.