|
Савицкая
Г.В.
|
Капитал
(от
лат<#"606611.files/image001.gif">
Рисунок - Состав основных источников
формирования собственных финансовых ресурсов организации
Экономисты классики выделяли четыре основных
фактора производства: земля, труд, капитал и предпринимательская способность
(некоторые называют сегодня, как фактор, НТП).
Нас интересует капитал. Различают основной и
оборотный капитал. В отечественной науке и практике основной капитал называют
чаще основными фондами.
Основные средства - один из важнейших факторов
любого производства. Их состояние и эффективное использование прямо влияют на
производственные мощности организации, способствует улучшению всех
технико-экономических показателей, в том числе увеличению прибыли от
реализации. В условиях рыночной экономики организации не наделяются основными
средствами, их можно приобретать за счет собственных и заёмных средств. Поэтому
роль основных средств в экономике организации и повышении её
конкурентоспособности приобретает исключительно важное значение.
Оборотные средства - это часть производственных
фондов, которая участвует в производстве в виде предметов труда, целиком
потребляется в каждом производственном цикле, претерпевает изменения в своей
натуральной форме, полностью переносит стоимость на готовое изделие,
возмещается в натуре и стоимости после каждого производственного цикла.
Сложность управления капиталом организации
состоит в том, что в процессе текущей деятельности происходят непрерывные
изменения, связанные с увеличением или уменьшением как его общей величины, так
как и его отдельных составляющих. При этом могут меняться условия, на которых
организация может привлекать дополнительные средства.
Управление собственным
капиталом связано не только с обеспечением эффективного использования уже накопленной
его части, но и с формированием собственных финансовых ресурсов, обеспечивающих
предстоящее развитие организации. В процессе управления формированием
собственных финансовых ресурсов они классифицируются по источникам этого
формирования.
В составе внутренних источников формирования
собственных финансовых ресурсов основное место принадлежит прибыли, остающейся
в распоряжении организации, - она формирует преимущественную часть его
собственных финансовых ресурсов, обеспечивает прирост собственного капитала, а
соответственно и рост рыночной стоимости организации.
Определенную роль в составе внутренних
источников играют также амортизационные отчисления, особенно в организациях с
высокой стоимостью используемых собственных основных средств и нематериальных
активов; однако сумму собственного капитала организации они не увеличивают, а
лишь являются средством его реинвестирования. Прочие внутренние источники не
играют заметной роли в формировании собственных финансовых ресурсов
организации.
В составе внешних источников формирования
собственного капитала основное место принадлежит привлечению организацией
дополнительного паевого (путем дополнительных взносов средств в уставный фонд)
или акционерного (путем дополнительной эмиссии и реализации акций) капитала. Для
отдельных организаций одним из внешних источников формирования собственных
финансовых ресурсов может являться предоставляемая им безвозмездная финансовая
помощь (как правило, такая помощь оказывается лишь отдельным государственным
организациям различного уровня). В число прочих внешних источников входят
бесплатно передаваемые организации материальные и нематериальные активы,
включаемые в состав его баланса.
Система базовых элементов
оценки и управления стоимостью собственного капитала организации представлена в
рисунке.
Рисунок - Система базовых элементов оценки и
управления стоимостью собственного капитала организации
Приумножение собственного капитала организации
связано в первую очередь с управлением формированием его собственных финансовых
ресурсов. Основной задачей этого управления является обеспечение необходимого
уровня самофинансирования, развития хозяйственной деятельности организации в
предстоящем периоде. Стоимость собственного капитала измерить труднее всего.
Собственный капитал можно привлекать внутри самой фирмы (сохраняя полученную
прибыль для целей развития бизнеса) или извне (продавая обыкновенные акции).
С теоретической точки зрения стоимость того и
другого можно рассматривать как минимальную ставку доходности, которую компания
должна обеспечить за счет реализации той части инвестиционного проекта, которая
финансируется собственным капиталом, чтобы сохранить рыночную цену своих
обыкновенных акций. Если фирма инвестирует капитал в проекты, ожидаемая доходность
которых меньше, чем требуемая, тогда рыночная цена акций на достаточно
длительном отрезке времени снизится.
Капитал организации характеризуется
многообразием видов и систематизируется по многим категориям. Структура
источников образования активов (средств) представлена основными составляющими:
собственным капиталом и заемными (привлеченными) средствами.
1.2 Показатели
эффективности использования основного и оборотного капитала организации,
методика их расчета
Основные средства - один из важнейших факторов
любого производства. Их состояние и эффективное использование прямо влияют на
конечные результаты хозяйственной деятельности организации.
В соответствии с рисунком 1.3
основные средства классифицируются по: отраслям народного хозяйства;
функциональному назначению; натурально-вещественному назначению; степени
использования; принадлежности.
Рациональное использование
основных средств и производственных мощностей организации способствует
улучшению всех технико-экономических показателей, в том числе увеличению
выпуска продукции, снижению ее себестоимости, трудоемкости изготовления.
Наряду с основными средствами для успешной
работы предприятия огромное значение имеет наличие оптимального количества
оборотных средств (активов).
Оборотные активы постоянно совершают
кругооборот, в процессе которого проходят три стадии: снабжение, производство и
сбыт (реализация).
Оборотные активы представляют собой совокупность
денежных средств, авансируемых для создания оборотных производственных фондов и
фондов обращения, обеспечивающих их непрерывный кругооборот.
Оборотные активы обеспечивают непрерывность
производства и реализации продукции организации. Оборотные производственные
фонды вступают в производство в своей натуральной форме и в процессе
изготовления продукции целиком потребляются, перенося свою стоимость на
создаваемый продукт. Фонды обращения связаны с обслуживанием процесса обращения
товаров. Они не участвуют в образовании стоимости, а являются ее носителями.
После окончания производственного цикла,
изготовления готовой продукции и ее реализации стоимость оборотных средств
возмещается в составе выручки от реализации продукции (работ, услуг). Это
создает возможность систематического возобновления процесса производства,
который осуществляется путем непрерывного кругооборота средств организации. В
своем движении оборотные средства проходят последовательно три стадии:
денежную, производительную и товарную.
Первая стадия кругооборота средств является
подготовительной. Она протекает в сфере обращения. Здесь происходит превращение
денежных средств в форму производственных запасов.
Производительная стадия представляет собой
непосредственный процесс производства. На этой стадии продолжает авансироваться
стоимость создаваемой продукции, но не полностью, а в размере стоимости
использованных производственных запасов, дополнительно авансируются затраты на
заработную плату и связанные с ней расходы, а также перенесенная стоимость
основных фондов. Производительная стадия кругооборота заканчивается выпуском
готовой продукции, после чего наступает стадия ее реализации.
На третьей стадии кругооборота продолжает
авансироваться продукт труда (готовая продукция) в том же размере, что и на
второй стадии. Лишь после того, как товарная форма стоимости произведенной
продукции превратится в денежную, авансированные средства восстанавливаются за
счет части поступившей выручки от реализации продукции. Остальная ее сумма
составляет денежные накопления, которые используются в соответствии с планом их
распределения. Часть накоплений (прибыли), предназначенная на расширение
оборотных средств, присоединяется к ним и совершает вместе с ними последующие
циклы оборота.
Денежная форма, которую принимают оборотные
средства на третьей стадии их кругооборота, одновременно является и начальной
стадией оборота средств. Кругооборот оборотных средств происходит по схеме (1):
Д - Т … П. … Т` - Д` (1)
где: Д - денежные средства, авансируемые
хозяйствующим субъектом;
Т - средства производства;
П - производство;
Т` - готовая продукция;
Д` - денежные средства, полученные от продажи
продукции и включающие в себя реализованную прибыль.
Точки (…) означают, что обращение средств
прервано, но процесс их кругооборота продолжается в сфере производства.
Оборотные средства при движении находятся на
всех стадиях и во всех формах. Это обеспечивает непрерывный процесс
производства и бесперебойную работу организации.
По мнению Л.А. Бернстайн предлагает следующие
определения.
. Активы представляют собой экономические
ресурсы организации в различных их видах, используемые в процессе осуществления
хозяйственной деятельности.
. Активы являются имущественными ценностями
организации, формируемыми за счет инвестируемого в них капитала.
. Активы представляют собой имущественные
ценности организации, имеющие стоимость.
. К активам относятся только те экономические
ресурсы, которые полностью контролируются организацией
. Как экономический ресурс, используемый в
хозяйственной деятельности, активы организации характеризуются определенной
производительностью.
. Активы являются экономическим ресурсом,
генерирующим доход.
. Активы организации, используемые в
хозяйственной деятельности, находятся в процессе постоянного оборота.
. Использование активов в хозяйственной
деятельности организации тесно связано с фактором времени.
. Хозяйственное использование активов неразрывно
связано с фактором риска.
. Формируемые в составе активов имущественные
ценности связаны с фактором ликвидности.
. Активы организации представляют собой
контролируемые им экономические ресурсы, сформированные за счет инвестированного
в них капитала, характеризующиеся детерминированной стоимостью,
производительностью и способностью генерировать доход, постоянный оборот
которых в процессе использования связан с факторами времени, риска и
ликвидности [3, с. 369].
Можно сделать вывод, что
основные средства и материальные ресурсы играют немаловажную роль в процессе
производства, т.к. они являются его важным фактором. Их состояние и эффективное
использование прямо влияют на конечные результаты хозяйственной деятельности
организации. Рациональное использование основных средств способствует улучшению
всех технико-экономических показателей.
Основные средства разнообразны
по своему составу и назначению, из этого следует, что они имеют обширную
классификацию по функциональному назначению, натурально-вещественному составу,
по степени использования, по отраслям народного хозяйства и принадлежности.
В целом, основные средства
организаций представляют собой средства труда, которые участвуют в
производстве, не теряя своей первоначальной формы и переносят свою стоимость на
готовую продукцию в виде амортизационных отчислений. Основные средства делятся
на производственные и непроизводственные, на активную и пассивную части.
Для того чтобы оценить эффективность
использования основных средств организации, рассматривают показатели
использования основных средств. Эти показатели адекватно отображают степень
использования основных средств. Но, для того чтобы оценить использование
основных средств, кроме расчета показателей, необходимо тщательным образом проанализировать
эти показатели и выявить те факторы, которые повлияли на их значение. Методика
анализа основных средств и их использования излагается в следующем разделе.
Анализ основных средств осуществляется по
следующим основным направлениям:
·
анализ
наличия, структуры и движения основных средств в организации;
·
анализ
основных показателей использования основных средств;
·
анализ
использования оборудования;
·
анализ
обеспеченности организации основными средствами;
·
анализ
использования площадей
Анализ основных средств начинается с анализа
наличия, структуры и движения основных средств в организации. Как было отмечено
выше, все основные средства делятся на производственные и непроизводственные
основные средства.
Кроме того, производственную часть, принято
делить на активную и пассивную части. Такая детализация необходима для
выявления резервов повышения эффективности их использования на основе
оптимизации структуры. Для характеристики процесса обновления используются
коэффициенты обновления, выбытия и износа. Роль основных средств в процессе
обращения товаров различна. Часть из них непосредственно воздействует на
предмет труда и участвует в процессе обращении товаров, то есть является
активной, другая часть создает необходимые условия для труда и является
пассивной. Важным показателем структуры основных средств является доля активной
части в их общей стоимости.
Среди экономистов нет единого мнения о составе
активной части средств. В большинстве отраслей экономики к активной части
средств принято относить машины и оборудование (силовые и рабочие машины и
оборудование, измерительные и регулирующие приборы и устройства, лабораторное
оборудование, вычислительную технику, прочие машины и оборудование), а так же
транспортные средства.
Пассивную часть средств образуют здания и
сооружения. Повышение удельного веса активной части средств, как правило, при
прочих неизменных условиях способствует росту объема произведенной продукции,
технической оснащенности, снижению фондоёмкости и повышению рентабельности
реализуемой продукции.
В то же время, немаловажна роль и пассивной
части основных средств, поскольку отсутствие нормальных условий труда приводит
к болезням, травматизму, текучести кадров, снижению производительности труда.
Для характеристики возрастного состава и морального
износа средства группируются по продолжительности эксплуатации (до 5, 5-10,
10-20 и более 20 лет) и по каждому виду основных средств рассчитывается средний
срок службы. Средний возраст оборудования рассчитывается как средневзвешенная
величина. В условиях рынка машины и оборудование со сроком службы свыше 10 лет
физически и особенно морально устаревают, и их необходимо своевременно
заменять.
Для более глубокого анализа состояния рабочих
машин, силового оборудования, приборов и инструментов применяется группировка
показателей технической годности, выделяя следующие группы: годное
оборудование; оборудование, требующее капитального ремонта; оборудование
негодное, подлежащее списанию. Важное значение имеет анализ движения и
технического состояния основных средств, для этого рассчитывается и изучается
динамика следующих показателей представленных в таблице 1.3:
Таблица 1.3 - Показатели оценки технического
состояния и движения основных средств
|
Показатели
|
Методика
расчета
|
Экономическая
интерпретация
|
|
Коэффициент
годности
|
Отношение
остаточной стоимости основных средств к их первоначальной (восстановительной)
стоимости
|
Характеризует
долю основных средств по остаточной стоимости в их сумме по первоначальной
(восстановительной) стоимости. Рассчитывается на начало и конец отчетного
периода
|
|
Коэффициент
изношенности
|
Отношение
суммы амортизации основных средств к их первоначальной (восстановительной)
стоимости
|
Характеризует
степень изношенности основных средств, долю самортизированных основных
средств в их сумме по первоначальной (восстановительной) стоимости.
Рассчитывается на начало и конец отчетного периода
|
|
Коэффициент
обновления
|
Отношение
вновь поступивших основных средств в отчетном периоде к их остатку на конец
периода
|
Характеризует
долю вновь поступивших и введенных объектов основных средств в их стоимости
на конец отчетного периода
|
|
Коэффициент
выбытия
|
Отношение
суммы выбывших основных средств в отчетном периоде к их остатку на начало
периода
|
Характеризует
долю выбывших и ликвидированных объектов основных средств в их стоимости на
начало отчетного периода
|
|
Коэффициент
прироста
|
Отношение
разницы между остатком основных средств на конец и начало отчетного периода к
их стоимости на конец периода
|
Характеризует
процент прироста основных средств на конец отчетного периода по сравнению с
началом
|
Для характеристики эффективности использования
основных средств применяются различные показатели, которые условно можно
разделить на две группы: обобщающие; частные.
Обобщающие показатели применяются для
характеристики использования основных средств на всех уровнях народного
хозяйства. К ним относятся: фондоотдача, рентабельность. Наиболее важный из них
- фондоотдача основных средств. Показатели оценки эффективности использования
основных средств представлены в таблице 1.4.
Таблица 1.4 - Показатели оценки эффективности
использования основных средств
|
Показатели
|
Методика
расчета
|
Экономическая
интерпретация
|
|
Коэффициент
отдачи основных средств
|
Отношение
выручки от реализации продукции к средней стоимости основных средств
|
Характеризует
сумму выручки от реализации продукции на рубль средней стоимости
использованных основных средств
|
|
Коэффициент
емкости основных средств
|
Отношение
средней стоимости основных средств к выручке от реализации продукции
|
Характеризует
сумму средней стоимости использованных основных средств на рубль выручки от
реализации продукции
|
|
Коэффициент
Вооруженности труда
|
Отношение
средней стоимости основных средств к среднесписочной численности работников
|
Характеризует
сумму средней стоимости использованных основных средств на одного работника
|
|
Рентабельность
основных средств
|
Отношение
прибыли от реализации продукции к средней стоимости основных средств
|
Характеризует
сумму прибыли от реализации продукции на 100 р. использованных основных
средств
|
Показатель общей средствооруженности труда
рассчитывается отношением среднегодовой стоимости средств к среднесписочной
численности работников в дневную смену (имеется в виду, что рабочие, занятые в
других сменах, используют те же средства труда) рассчитываются по формуле 2:
(2)
где: Фв - средствооруженность труда р.;
ОФср - среднегодовая стоимость основных средств;
Чр - среднесписочная численность рабочих.
Средствооруженность характеризует оснащенность
рабочих основными средствами, комплектующей техникой и т.д.
Уровень технической вооруженности труда
определяется отношением стоимости оборудования к среднесписочному числу рабочих
в дневную смену рассчитываются по формуле 3:
(3)
где: Тв - уровень технической
вооруженности труда;
Поб - стоимость оборудования;
Чр - среднесписочная численность
рабочих.
Темпы ее роста сопоставляются с
темпами роста производительности труда. Желательно, чтобы темпы роста
производительности труда опережали темпы роста технической вооруженности труда.
В противном случае происходит снижение фондоотдачи.
Основными показателями,
характеризующими эффективность использования основных средств, являются:
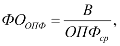
фондоотдача ОПФ (отношение выручки
от реализации к среднегодовой стоимости основных средств) и рассчитывается
формуле 4:
(4)
где: ФОопф - фондоотдача ОПФ;
В - выручка от реализации;
ОПФср - среднегодовая стоимость
основных производственных средств.
Среднегодовая стоимость основных
производственных средств определяется по формуле 5:
(5)
где: ОПФср - среднегодовая стоимость
основных средств;
ОПФн - основные производственные
средства на начало года;
ОПФк - основные производственные средства
на конец года.
- Фондоёмкость (обратный показатель фондоотдачи)
определяется отношением среднегодовой стоимости ОПФ к выручки от реализации за
отчетный период оформляются по формуле 6:
(6)
Изменение фондоемкости отражает
снижение стоимости ОС на один рубль продукции. Его применяют при определении
суммы относительного перерасхода или экономии основных средств, и
рассчитывается по формуле по формуле (7):
Э = (ФЕ1 - ФЕ0) × В1 (7)
где: Э - экономия основных средств;
ФЕ1, ФЕо - Фондоёмкость отчетного и
базисного периода соответственно;
В1 - выручка от реализации.
Другая методика расчета этого
показателя оформляются по формуле (8):
ЭОПФ = ОПФI - ОПФ0 × Iвп (8)
где: ОПФ0, ОПФI - среднегодовая стоимость ОПФ в
базисном и отчетных годах;
Iвп - индекс цен.
Индекс цена определяется по формуле (9):
(9)
где: В1, В0 - выручка от реализации
в отчетный и базисный периоды.
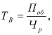
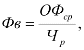
фондорентабельность (отношение
прибыли к среднегодовой стоимости основных средств) определяется по формуле
(10):
(10)
где: RОПФ - фондорентабельность ОПФ, процент;
П. - доходы от реализации товаров.
Уровень фондоренабельности зависит не только от
фондоотдачи, но и от рентабельности и определяется по формуле (11).
Rопф= ФОопф ×
Rвп (11)
где: ФО - фондоотдача ОПФ;
Rвп -
рентабельность.
Для определения величины влияния фондоотдачи и
рентабельности продукции на изменение фондорентабельности используется способ
абсолютных разниц.
оборотный капитал эффективность расчет
Таблица 1.5 - Расчет влияния факторов на
изменение фондорентабельности
|
Фактор
|
Алгоритм
расчета
|
|
Изменение
фондоотдачи
|
∆ФО ×
Rвп0
|
|
Изменение
рентабельности продукции
|
ФО1
×
∆Rвп
|
Факторами первого уровня, влияющими на
фондоотдачу ОПФ, является изменение доли активной части средств в общей сумме
ОПФ, удельного веса действующего оборудования в активной части средств и
фондоотдачи действующего оборудования и рассчитывается по формуле (12):
ФОопф = Уда ×
Удд ×
ФОд (12)
где: Уда - удельный вес активной части ОПФ;
Удд - удельный вес действующего оборудования в
активной части средств;
ФОд - фондоотдача действующего оборудования.
Способом абсолютных разниц, рассчитывается
изменение фондоотдачи ОПФ за счет влияния факторов в таблице 1.6.
Таблица 1.6 - Расчет влияния факторов на
изменение фондоотдачи
|
Фактор
|
Алгоритм
расчета
|
|
удельный
вес активной части ОПФ (∆ФОУда)
|
∆Уда ×
Удд0
×
ФОд0
|
|
удельный
вес действующего оборудования в активной части ОПФ (∆ФОУдд)
|
Уда
1 ×
∆Удд
×
ФОд0
|
|
фондоотдача
действующего оборудования (∆ФОфод)
|
Уда1
×
Удд1
×
∆ФОд
|
Влияние факторов на изменение выручки от
реализации рассчитывается в таблице 1.7.
Таблица 1.7 - Расчет влияния факторов на
изменение выручки от реализации
|
Показатель
|
Алгоритм
расчета
|
|
∆Вопф
|
∆ОПФ ×
ФОопф0
|
|
∆ВУда
|
ОПФ1
×
∆ФОуда
|
|
∆ВУдд
|
ОПФ1
×
∆ФОдуд
|
|
∆Вфод
|
ОПФ1
×
∆ФОдФО
|
Среднегодовая стоимость технологического
оборудования равна произведению количества и средней стоимости его единицы и
рассчитывается по формуле (13):
(13)
где: К - количество технологического
оборудования;
- средняя стоимость единицы
оборудования.
Влияние факторов на прирост фондоотдачи
действующего оборудования рассчитывается способом цепной подстановки в таблице
1.8.
Таблица 1.8 - Расчет влияния факторов на прирост
фондоотдачи
|
Показатель
|
Алгоритм
расчета
|
|
ФОд0
|
(Д0 ×
Ксм0
×
П0
×
ЧВ0)
/ Ц0
|
|
ФОдусл
1
|
(Д0 ×
Ксм0
×
П0
×
ЧВ0)
/ Ц1
|
|
ФОдусл
2
|
(Д1 ×
Ксм0
×
П0
×
ЧВ0)
/ Ц1
|
|
ФОд1
|
(Д1 ×
Ксм1
×
П1
×
ЧВ1)
/ Ц1
|
Влияние факторов на уровень фодорентабельности
определяется путем умножения абсолютного прироста фондоотдачи за счет i-го
фактора на базовый уровень рентабельности и рассчитывается по формуле (14):
∆Rопф
= ∆ФОхi × Rвп0 (14)
где: ∆Rопф - прирост фондорентабельности;
∆ФОхi - прирост фондоотдачи;
Rвп0 -
рентабельность продукции базового года, процент
Изменение объема производства продукции за счет
его количества, экстенсивности и интенсивности использования рассчитывается по
формуле (15):
ВПi = Кi ×
Дi ×
Ксм I ×
Пi ×
ЧВ (15)
где: Кi - количество i-го оборудования;
Дi - количество отработанных дней единицей
оборудования;
Ксм I - коэффициент сменности работы
оборудования (отношение количества отработанных смен к количеству отработанных
дней);
Пi - средняя продолжительность смены;
ЧВi - выработка продукции за 1 машино-час на i-м
оборудовании.
Влияние изменения выручки от реализации на
изменение фондоотдачи определяется по формуле (16):
∆ФО (В) = (В1 - В0) / ОФ0 (16)
где: ∆ФО - изменение фондоотдачи:
В1, В0 - выручка отчетного и базового года;
ОФ0 - основные средства базового года.
Влияние изменения стоимости основных средств на
изменение фондоотдачи определяется по формуле (17):
∆ФО (ОФ) = (В1 / ОФ1 - В1 / ОФо) (17)
Анализ влияния фондоотдачи основных средств на
приращение товарооборота включает:
влияние изменения экстенсивного фактора -
стоимости основных средств на прирост выручки от реализации определяется по
формуле (18):
∆Т (ОФ) = (ОФ1 - ОФ0) ×
ФО0 (18)
где: ∆В (ФО) - прирост выручки от
реализации.
степень влияния экстенсивного фактора определяется
по формуле (19):
Стэк = ∆В (ОФ) / ∆В ×
100% (19)
где: Стэк - степень влияния экстенсивного
фактора.
влияние интенсивного фактора - фондоотдачи на
прирост товарооборота определяется по формуле (20):
∆Т (ФО) = (ФО1 - ФО0) ×
ОФ1 (20)
степень влияния интенсивного фактора
определяется по формуле (21):
Стинт = 100% - Стэк (21)
где: Стинт - степень влияния интенсивного
фактора.
Влияние изменения рентабельности продаж на
прирост рентабельности основных средств определяется по формуле (22):
∆R
(Rпр)2009/2010 = (Rпр
1 - Rпр 0) × ФО0 (22)
где: R (ФО) - прирост рентабельности;
Rпр 1, Rпр 0 -
рентабельность продукции отчетного и базового года.
Расчет влияния изменения рентабельности продаж:
Влияние изменения фондоотдачи основных средств на
прирост рентабельности определяется по формуле (23):
R (ФО) = Rпр 1 ×
(ФО1 - ФО0) (23)
Анализ материальных ресурсов необходим для
выявления резервов эффективности их использования. При исследовании мы
использовали такие методики анализа как сравнение, факторный анализ,
группировка, табличное представление данных.
Оборотные средства являются наиболее мобильной
частью капитала организации. От их рационального использования во многом
зависят потребность в дополнительных источниках финансирования и плата за них,
результаты хозяйственной деятельности организации и его финансовое состояние.
Величина производственных запасов должна быть минимальной, но достаточной для
успешной и бесперебойной работы организации.
Основная цель анализа оборотных средств - своевременное
выявление и устранение недостатков в управлении текущими активами и нахождение
резервов повышения интенсивности и эффективности их использования.
Для анализа использования оборотных средств
используется ряд показателей.
. Коэффициент оборачиваемости оборотных средств
(Коб) характеризует размер выручки от продажи продукции в расчете на один рубль
оборотных активов, а также показывает число оборотов, которые совершают
оборотные средства за анализируемый период формула (24):
Коб = B / TA (24)
где: В - выручка (нетто) от реализации продукции
(работ, услуг) за анализируемый период (без учета налога на добавленную
стоимость и аналогичных платежей), р.;
ТА - средний остаток текущих оборотных активов
за анализируемый период, руб.
Информация о величине выручки (нетто) от
реализации продукции содержится в строке 010 формы 2 «Отчет о прибылях и
убытках». Средняя величина текущих активов определяется на основании данных
бухгалтерского баланса (строка 290) по формуле средней арифметической формула (25):
TA = (ТАн +
ТАк) / 2 (25)
где: ТАн, ТАк - величина текущих активов
соответственно на начало и конец анализируемого периода.
Более точный расчет средней величины активов за
период можно получить по ежемесячным данным о состоянии активов. Тогда средняя
величина текущих активов рассчитывается по формуле средней хронологической: 1/2
остатка на начало периода + остатки на начало каждого месяца + 1/2 остатка на
конец периода, полученная сумма делится на число месяцев в изучаемом периоде.
То есть формула (26):
1
ТА1 + ТА2 + ТА3 + ... ТАn-1 + --ТАn
2
ТА = ----------------------------------- (26)
n-1
где: ТАn - величина текущих активов в n-м
месяце.
Рост коэффициента оборачиваемости
свидетельствует о более эффективном использовании оборотных средств.
. Продолжительность одного оборота в днях (Тоб)
представляет собой отношение суммы среднего остатка оборотных средств к сумме
однодневной выручки за анализируемый период и показывает средний срок, за
который возвращаются в хозяйственный оборот денежные средства, вложенные в
производственно-коммерческие операции. Для расчета данного показателя
используется следующая формула (27):
Тоб = ТА х Д / B (27)
где: Д - число календарных дней в анализируемом
периоде (30, 60, 90, 180, 360).
Продолжительность одного оборота может быть
рассчитана также делением количества дней в анализируемом периоде на
коэффициент оборачиваемости формула (28):
Тоб = Д / Тоб. (28)
. Коэффициент закрепления средств в обороте (Кз)
характеризует сумму оборотных средств, авансируемых на один рубль выручки от
продажи продукции, и является показателем, обратным коэффициенту
оборачиваемости формула (29):
Кз = ТА / В или Кз = 1 / Коб (29)
Чем меньше коэффициент закрепления, тем
эффективнее используются оборотные средства.
. Экономический эффект в результате ускорения
оборачиваемости выражается в относительном высвобождении средств из оборота, а
также в увеличении суммы прибыли. Сумма высвобожденных средств из оборота за
счет ускорения оборачиваемости (-∆ОС) или дополнительно привлеченных
средств в оборот (+∆OC) при замедлении оборачиваемости определяется
умножением фактического однодневного оборота по реализации на изменение
продолжительности одного оборота в днях формула (30):
∆ОС = (Тоб1 - Тоб0) х В / Д (30)
где: Тоб1, Тоб0 - соответственно
продолжительность одного оборота оборотных средств за отчетный и предыдущий
периоды, дн.;
В1 - выручка (нетто) от продажи продукции за
отчетный период, руб.
Увеличение (уменьшение) суммы прибыли можно
рассчитать умножением относительного прироста (снижения) коэффициента
оборачиваемости на сумму прибыли от продажи продукции за базовый (предыдущий)
период формула (31):
∆П = По х ЉКоб (31)
где: По - сумма прибыли за базовый (предыдущий)
период, руб.;
∆Коб - коэффициент относительного прироста
(снижения) числа оборотов оборотных средств. Рассчитывается по формуле (32):
∆Коб = (Коб1 - Коб0) / Коб0 (32)
где: Коб1 и Коб0 - коэффициенты оборачиваемости
за отчетный и предыдущий периоды, количество раз.
Таким образом, одна из главных задач в условиях
перехода к рыночной экономике - интенсификация производства при неуклонном
соблюдении принципа ресурсосбережения. В общей системе мероприятий по
обеспечению режима экономии основное место занимает экономия предметов труда,
по; которой принято понимать уменьшение затрат сырья, материалов, топлива на
единицу продукции, разумеется, без какого бы то ни было ущерба для качества,
надежности и долговечности изделия.
В заключении отметим, повышение эффективности
использования материально-технической базы осуществляется за счет более
быстрого освоения новых мощностей, повышения сменности работы машин и
оборудования, эффективности использования материальных ресурсов,
совершенствования организации материально-технической базы, ремонтной службы,
повышения квалификации рабочих, технического перевооружения организаций,
модернизации и проведения инновационных и технических мероприятий.
В системе мероприятий по повышению эффективности
общественного производства важное место занимают вопросы рационального
использования основных средств.
Распределяя финансовые ресурсы, а капитал есть
часть финансовых ресурсов, организация стоит перед выбором, как наиболее
рационально, выгодно использовать имеющиеся средства. [12, 194].
Финансовое состояние организации во многом
зависит от того, какие средства оно имеет в своем распоряжении и куда они
вложены. По степени принадлежности используемый капитал подразделяется на
собственный (раздел I пассива) и заемный (разделы II и III пассива) По
продолжительности использования различают капитал долгосрочный постоянный
(перманентный) (I и II разделы пассива) и краткосрочный (III раздел пассива)
(рисунке).
Рисунок - Схема структуры пассива баланса
Необходимость в собственном капитале обусловлена
требованиями самофинансирования организаций. Он является основой
самостоятельности и независимости организаций. Однако нужно учитывать, что
финансирование деятельности организации только за счет собственных средств не
всегда выгодно для него, особенно в тех случаях, если производство носит
сезонный характер. Тогда в отдельные периоды будут накапливаться большие
средства на счетах в банке, а в другие периоды их будет недоставать.
В то же время если средства организации созданы
в основном за счет краткосрочных обязательств, то его финансовое положение
будет неустойчивым, так как с капиталами краткосрочного использования необходима
постоянная оперативная работа, направленная на контроль за своевременным
возвратом их и на привлечение в оборот на непродолжительное время других
капиталов. Следовательно, от того, насколько оптимально соотношение
собственного и заемного капитала, во многом зависит финансовое положение
организации.
В связи с этим важными показателями, которые
характеризуют рыночную устойчивость организации, являются:
коэффициент финансовой автономности
(независимости) или удельный вес собственного капитала в общей сумме капитала
(33):
(33)
где: СК - собственный капитал,
ВБ - внеоборотный капитал.
Этот коэффициент важен как для
инвесторов, так и для кредиторов организации, поскольку он характеризует долю
средств, вложенных собственниками в общую стоимость имущества организации.
коэффициент финансовой зависимости
(доля заемного капитала) (34):
(34)
где: СК - заемный капитал,
ВБ - внеоборотный капитал.
Этот коэффициент обратный к предыдущему
и показывает долю заемных средств в имуществе организации.
плечо финансового рычага или
коэффициент финансового риска (отношение заемного капитала к собственному)
(35):
(35)
где - ЗК - заемный капитал;
СК - собственный капитал.
Коэффициент показывает, какая часть
деятельности организации финансируется за счет собственных средств, а какая -
за счет заемных. Ситуация, при которой величина плеча финансового рычага больше
1 (большая часть имущества организации сформирована за счет заемных средств),
может свидетельствовать об опасности неплатежеспособности и нередко затрудняет
возможность получения кредита.
Сразу же следует предостеречь от
буквального понимания рекомендуемых значений для рассмотренных показателей. В
ряде случаев доля собственного капитала в их общем объеме может быть менее
половины, и тем не менее, такие организации будут сохранять достаточно высокую
финансовую устойчивость. Это в первую очередь касается организаций,
деятельность которых характеризуется высокой оборачиваемостью активов,
стабильным спросом на реализуемую продукцию, налаженными каналами снабжения и
сбыта, низким уровнем постоянных затрат (например, торговые и посреднические
организации). У капиталоемких организаций с длительным периодом оборота
средств, имеющих значительный удельный вес активов целевого назначения (к
примеру, организаций машиностроительного комплекса), доля заемных средств в
40-50 % может быть опасна для финансовой стабильности.
Рассмотрение названных факторов лишь
в их совокупности позволяет сделать обоснованные выводы относительно
рациональности структуры капитала. Как известно, капитал находится в постоянном
движении, переходя из одной стадии кругооборота в другую. На первой стадии
организация приобретает необходимые ему основные фонды, производственные
запасы, на второй - средства в форме запасов поступают в производство, а часть
используется на оплату труда работников, выплату налогов, платежей по
социальному страхованию и другие расходы.
Заканчивается эта стадия выпуском
готовой продукции. На третьей стадии готовая продукция реализуется, и на счет
организации поступают денежные средства. Чем быстрее капитал сделает
кругооборот, тем больше продукции получит и реализует организация при одной и
той же сумме капитала. Задержка движения средств на любой стадии ведет к
замедлению оборачиваемости капитала, требует дополнительного вложения средств и
может вызвать значительное ухудшение финансового состояния организации.
Достигнутый в результате ускорения
оборачиваемости эффект выражается в первую очередь в увеличении выпуска
продукции без дополнительного привлечения финансовых ресурсов. Кроме того, за
счет ускорения оборачиваемости капитала происходит увеличение суммы прибыли,
так как обычно к исходной денежной форме он возвращается с приращением.
Если производство и реализация
продукции являются убыточными, то ускорение оборачиваемости средств ведет к
ухудшению финансовых результатов. Из сказанного следует, что нужно стремиться
не только к ускорению движения капитала на всех стадиях кругооборота, но и к
максимальной его отдаче, которая выражается в увеличении суммы прибыли на один
рубль капитала. Это достигается рациональным и экономным использованием всех
ресурсов, недопущением их перерасходов, потерь на всех стадиях кругооборота. В
результате капитал вернется к своему исходному состоянию в большей сумме, т.е.
с прибылью. Таким образом, эффективность использования капитала характеризуется
его отдачей (рентабельностью) как отношение суммы прибыли к среднегодовой сумме
основного и оборотного капитала. Для характеристики интенсивности использования
капитала рассчитывается коэффициент его оборачиваемости (отношение выручки от
реализации продукции, работ и услуг к среднегодовой стоимости капитала).
Взаимосвязь между показателями отдачи
капитала и его оборачиваемостью выражается следующим образом (36) [3]:
(36)
Иными словами, доходность
инвестированного капитала (ЭР) равна произведению рентабельности продаж (R) и
коэффициента оборачиваемости капитала (Коб) [3].
ЭР = R × Коб
Эти показатели в зарубежных странах
применяются в качестве основных при оценке финансового состояния и деловой
активности организации. Расчет влияния факторов на изменение уровня
рентабельности капитала можно произвести методом абсолютных разниц.
Поскольку оборачиваемость капитала
тесно связана с его отдачей и является одним из важнейших показателей,
характеризующих интенсивность использования средств организации и его деловую
активность, в процессе анализа необходимо более детально изучить показатели
оборачиваемости капитала и установить, на каких стадиях кругооборота произошло
замедление или ускорение движения средств.
Скорость оборачиваемости капитала
характеризуется следующими показателями (37) [4]:
коэффициентом оборачиваемости (Коб) (39):
(37)
продолжительностью одного оборота (Поб) (38):
(38)
где: Д - количество календарных дней
в анализируемом периоде (год - 360 дней, квартал - 90, месяц - 30 дней).
Средние остатки всего капитала и
отдельных видов оборотных средств рассчитываются по средней хронологической: ½ суммы на
начало периода плюс остатки на начало каждого месяца плюс ½ остатка на
конец периода и результат делим на количество месяцев в отчетном периоде за
промежуткам времени. Необходимая информация для расчета показателей
оборачиваемости имеется в бухгалтерском балансе и отчете о реализации
продукции.
Продолжительность оборота капитала
неодинакова в различных отраслях. В одних отраслях капитал оборачивается
быстрее, в других - медленнее. Во многом это зависит от продолжительности
производственного процесса и процесса обращения товаров. Время производства
обусловлено технологическим процессом, техникой, организацией производства. Для
его сокращения необходимо совершенствовать технику, технологию и организацию
производства, автоматизировать труд, углублять кооперацию. Сокращение времени
обращения достигается за счет ускорения отгрузки и перевозки товаров,
документооборота, расчетов и т.д. Продолжительность оборота капитала во многом
зависит и от органического строения капитала (соотношения основного и
оборотного капитала). Чем выше доля основного капитала в общей его сумме, тем
медленнее он оборачивается, и наоборот, при увеличении удельного веса оборотных
активов ускоряется общая оборачиваемость капитала. Зависимость общей
продолжительности оборота капитала можно выразить следующим образом:(39):
(39)
где Поб - средняя продолжительность
оборота общей суммы капитала;
Поб.к. - продолжительность оборота
оборотного капитала;
Удоб.к. - удельный вес оборотного капитала
в общей сумме.
Таким образом, эффективное,
грамотное управление капиталом, т.е. собственными и заемными средствами -
главная задача финансовых служб организации, его финансовых менеджеров.
Организации анализируют динамику, состав и структуру капитала, принимают меры
по обеспечению его достаточности, сохранности и оптимальному соотношению его
составных частей.
1.3 Значение, задачи и
информационного обеспечения анализа функционирующего капитала
Эффективное, грамотное управление
функционирующим капиталом - главная задача финансовых служб организации, его
финансовых менеджеров. Организации анализируют динамику, состав и структуру
капитала, принимают меры по обеспечению его достаточности, сохранности и
оптимальному соотношению его составных частей. Согласно п. 1 ст. 44
<#"606611.files/image020.gif">
Рисунок - Функции
бухгалтерского баланса
В связи с тем, что Постановление <#"606611.files/image021.gif">
Рисунок - Систематизация хозяйственных средств и
источников их формирования
В хозяйственной практике
организация выступает как юридическое лицо, наделенное основными и оборотными
средствами. Важнейшие источники финансирования активов следующие:
нераспределенная прибыль и прочие собственные средства; вклады участников
(акционеров) в уставный капитал; резервный капитал; займы и кредиты;
кредиторская задолженность и др.
По своей экономической природе
активы динамичны и подвергаются постоянным изменениям, как по объему, так и по
структуре. Привлекаемые из различных источников денежные ресурсы направляют на
приобретение основных средств, нематериальных активов, пополнение
материально-производственных запасов и пр.
Поэтому одно из важнейших
условий финансовой устойчивости организации - обоснованность вложения
источников средств в соответствующие активы. В современных условиях наибольшее
распространение подучили две взаимосвязанные трактовки актива баланса:
1)
по предметно-вещественной трактовке в активе баланса
показывают состав и размещение имущества организации, наличие которого
подтверждено инвентаризацией;
2)
согласно затратно-результативному подходу, актив баланса
выражает величину затрат организации, сложившихся в результате предыдущих
хозяйственных операций и понесенных им расходов ради возможных будущих доходов.
Акцент делают на сам факт вложения средств. При этом степень детализации актива
баланса определяет и его аналитические возможности.
3)
Сущность логической связи состоит во взаимном дополнении
отчетных форм, их разделов их статей. Отдельные наиболее важные статьи баланса
детализируют в сопутствующих формах.
Кратко проиллюстрируем
взаимосвязи между отдельными формами.
Связь 1. Нераспределенную (чистую)
прибыль приводят в бухгалтерском балансе (раздел III), отчете о прибылях и
убытках (форма № 2) отчете об изменениях капитала (раздел V). Кроме того, в
форме № 2 показывают факторы, под влиянием которых сложился данный финансовый
результат.
Связь 2. Конечное сальдо
отложенных налоговых активов показывают в бухгалтерском балансе (разделы I и
IV) и в отчете о прибылях и убытках.
Связь 3. Долгосрочные и
краткосрочные финансовые вложения общей суммой отражают в бухгалтерском балансе
(разделы I и II), а их расшифровку по видам вложений приводят в приложении к
балансу форме № 5 (в разделе «Финансовые вложения»). В справочном разделе формы
№ 5 эмиссионные ценные бумаги (акции и облигации) показывают по рыночной
стоимости.
Связь 4. Дебиторскую
задолженность по отдельным видам начало и конец отчетного периода отражают в
бухгалтерском балансе (раздел II), а подробная расшифровка ее статей
представлена в форме № 5 (в разделе «Дебиторская и кредиторская
задолженность»).
Связь 5. Кредиторскую
задолженность по ее отдельным элементам на начало и конец отчетного периода
приводят в бухгалтерском балансе (раздел V), а подробная расшифровка ее статей
дана в форме № 5 (в разделе «Дебиторская и кредиторская задолженность»).
Связь 6. Капитал и резервы по
их видам находят отражение в бухгалтерском балансе (раздел ПI), а их движение
за отчетный период - в отчете об изменений капитала (раздел I). В данном отчете
(форма № 3) раскрывают факторы, повышающие и понижающие размер собственного
капитала организации.
Связь 7. Общую сумму резервного
капитала на начало и конец Отчетного периода приводят в бухгалтерском балансе
(раздел III), а подробная расшифровка финансовых резервов по их видам
представлена в отчете об изменениях капитала (раздел «Резервы»).
Связь 8. Общая сумма доходных вложений
в материальные ценности на начало и конец отчетного периода в бухгалтерском
балансе (раздел I) аналогична сумме по данной статье, показанной в приложении к
балансу по форме № 5 (раздел «Доходные вложения в активы»). В приложении к
балансу дают расшифровку этой статьи приводят амортизацию доходных вложений в
материализме ценности.
Схема информационных
взаимосвязей форм бухгалтерской отчетности представлена на рисунке
Рисунок - Схема информационных
взаимосвязей форм бухгалтерской отчетности
На «практике существуют и
другие взаимосвязи между показателями форм бухгалтерской отчетности, имеющие
более частный характер. Зная содержание и взаимосвязи между показателями
отчетности, можно переходить к ее углубленному финансовому анализу. Значение
этих контрольных соотношений поможет лучше разобраться в структуре отчетности и
проверить правильность ее составления.
Таким образом, бухгалтерскую
отчетность составляют организации, являющиеся юридическими лицами независимо от
форм собственности, включая организации с иностранными инвестициями.
2. Анализ формирования
функционирующего капитала организации
.1 Экономическая
характеристика деятельности СУ- 243 «Гомельский «ДСК»
Объект исследования Филиал СУ-243 создан 22
марта 2007г. Собственник организации - «Гомельский «ДСК»
СУ-243 «Гомельский «ДСК» является юридическим
лицом, обладает обособленным имуществом, переданным ему на праве полного
хозяйственного ведения, имеет самостоятельный баланс, основные и оборотные
средства.
В своей деятельности СУ-243 «Гомельский «ДСК»
руководствуется нормативными актами, действующими в Республике Беларусь,
законодательством, регулирующим деятельность организации.
Целью деятельности СУ-243 «Гомельский «ДСК»
является: строительство объектов жилищного, гражданского и коммунального
хозяйства.
Основными задачами деятельности СУ-243
«Гомельский «ДСК» являются:
·
обеспечение
сохранности имущества, переданного в пользование, эффективное использование
трудовых, материальных и финансовых ресурсов организации;
·
социальное
развитие коллектива организации, создание благоприятных условий труда,
осуществление мероприятий постоянного контроля за строгим соблюдением
действующих правил техники безопасности, производственной санитарии и т.д.
В организации организована
линейно-функциональная структура управления. Это оптимальный вариант для
Филиала СУ-243 ОАО «ГомельскийДСК».
Преимущество же линейно-функциональной структуры
в ее простоте и более эффективной работе. Это достигается благодаря более
тесному контакту между руководителями и подчиненными, большей
удовлетворенностью тех и других в результатах своего труда.
Наблюдается функциональный разрыв в работе
экономической службы и коммерческого отдела. Они подчиняются разным
руководителям, следовательно, замедляется процесс обмена информацией. Поиском и
заключением договоров с поставщиками, обеспечением материалами и сырьем
руководит коммерческий отдел, а планированием потребности в
материально-технических ресурсах - планово-экономический отдел.
Результат - невыполнение функций обоими
отделами. Экономическая служба не может планировать рост объемов производства,
повышение производительности труда, снижение материало- и энергоемкости без
данных о заключенных договорах по сбыту продукции. Реализация практически всех
важнейших функций руководства и управления замкнуто на первого руководителя
СУ-243 «Гомельский «ДСК», что определяет крайне высокую степень информационной
нагрузки. При росте масштаба бизнеса это чревато снижением управляемости.
Действующая система управления
является жестко централизованной системой руководства.
Такая структура успешно
работает в режиме реализации решений руководства, но она неэффективна на этапе
их подготовки. Вследствие этого в большинстве случаев персонал в основной своей
массе не принимает непосредственного участия в подготовке решений (в лучшем
случае - получает поручения руководителя и готовит необходимую информацию,
используемую для принятия решений).
В такой системе цели персонала
редко не совпадают с целями руководителя. Преобладающей формой доведения
информации о результатах деятельности производственных и других подразделений
до первого руководителя являются еженедельные отчеты руководителей
подразделений (как правило, в устной и в меньшей степени - в письменной форме).
Такой порядок приводит, во-первых, к возможности
искажения данных и, во-вторых, ставит первого руководителя в зависимость от
присутствия на рабочем месте сотрудников, владеющих информацией.
Связь с потребителями продукции организации
осуществляется:
·
путем
предоставления на продукцию нормативной документации, сертификатов
соответствия, образцов продукции, рекламных материалов и других сведений о
продукции по запросу потребителя;
·
проведением
совместных мероприятий (дней качества, выставок-продаж, проверок качества
продукции);
·
интервьюированием,
анкетированием;
·
стимулированием
сбыта продукции.
На практике руководители
различных уровней СУ-243 «Гомельский «ДСК» выполняют собственный оперативный
анализ, ведут регистрацию важнейших процессов и операций, приблизительные
расчеты, планируют соответствующие мероприятия.
Таким образом, каждое лицо
которое отвечает за принятие решений, одновременно становится и пользователем
(информантом), и источником информации (информатором).
Перечень информационных
характеристик внутренней среды можно объединить по таким признакам (таблица
2.1).
Таблица 2.1 - Информационная
характеристика внутренней среды организации
|
Внутренняя среда организации
|
Описание
|
|
Производство
|
Размеры, мощность и тип оборудования, источник снабжения,
тенденция производства, инновационные возможности
|
|
Маркетинг
|
номенклатура продукции, качество продукции, качество
маркетинговых исследований, эффективность применения рекламы, продаж и сервис
|
|
Финансы
|
Активы, валовые накопления, доход, источники денежных
поступлений, показатели баланса
|
|
Управление персоналом
|
Программы изучения, процедуры подбора кадров, анализ
трудовых операций, содержательность работы, система премий
|
|
Организационная структура. Власть и лидерство
|
Форма делегирования полномочий, тип организационной
структуры, отношения между менеджерами и рабочими, характер собственности,
эффективность менеджера
|
Внешней информацией для
планирования является информация о поставщиках, конкурентной среде, покупателях
и т.д.
Источниками такой информации
могут быть: законодательная база, официальная бухгалтерская и статистическая
отчетность, публикации, другие организации, информационная индустрия и
самостоятельные маркетинговые исследования.
Организация имеет статус
юридического лица с даты его государственной регистрации, имеет в хозяйственном
ведении обособленное имущество, несет самостоятельную ответственность по своим
обязательствам, может от своего имени приобретать и осуществлять имущественные
и личные неимущественные права, исполнять обязанности, быть истцом и ответчиком
в суде.
Организации имеет
самостоятельный баланс, расчетный, валютный и другие счета в учреждениях
банков, печать с изображением Государственного герба Республики Беларусь и
штампы со своим фирменным наименованием, свой фирменный знак, товарный знак.
Для определения тенденции изменения численности
работников по их категориям определим динамику, рассчитываем темпы изменения и
удельный вес каждой категории работников в общем числе работников за три года.
Результаты расчетов представим в таблице 2.2.
Таблица 2.2 Изменение численности работников по
категориям СУ-243 «Гомельский «ДСК» за 2009 - 2011 гг
|
ФЗП
по категориям работников
|
Годы
|
Отклонение
(+,-), от 2011г
|
Темп
роста, % от 2011г
|
|
2009 г.
|
2009 г.
|
2010 г.
|
|
|
|
сумма,
млн. р.
|
уд.
вес, %
|
сумма,
млн. р.
|
уд.
вес, %
|
сумма,
млн. р.
|
уд.
вес, %
|
2009г
|
2010г
|
2009г
|
2010г
|
|
1.Производственный персонал
|
411
|
95,2
|
489
|
95,3
|
519
|
95,0
|
108
|
30
|
126,2
|
106,2
|
|
в
том числе:
|
|
|
|
|
|
|
|
|
|
|
|
рабочие
|
339
|
82,4
|
421
|
86,1
|
447
|
86,1
|
108
|
26
|
131,9
|
106,2
|
|
служащие
|
64
|
15,6
|
59
|
12,1
|
63
|
12,1
|
-1,0
|
4,0
|
98,4
|
106,8
|
|
из
них:
|
|
|
|
|
|
|
|
|
|
|
|
руководители
|
25
|
6,1
|
24
|
4,9
|
28
|
5,4
|
3
|
4
|
112,0
|
116,7
|
|
специалисты
|
39
|
9,5
|
35
|
7,2
|
35
|
6,7
|
-4,00
|
0,00
|
89,7
|
100,0
|
|
2.Персонал неосновного вида
деятельности
|
8,3
|
1,9
|
9,1
|
1,8
|
9,22
|
1,7
|
0,92
|
0,12
|
111,1
|
101,3
|
|
3.Работники несписочного
состава
|
12,5
|
2,9
|
15
|
2,9
|
18
|
3,3
|
5,50
|
3,00
|
144,0
|
120,0
|
|
Всего
|
432
|
100
|
513
|
100
|
546
|
100
|
114
|
33
|
126,5
|
106,5
|
За 2011 год по сравнению с 2009 - 2010 гг.
наблюдается увеличение численности работников СУ-243 «Гомельский «ДСК» на 114
чел. и 33 чел. Наибольший удельный вес в общем количестве работников
исследуемой организации занимает, производственный персонал - 82,4% в 2009 г.,
86,1% в 2010 г., и 86,1% в 2011г. На основании финансовой и статистической
отчетности рассмотрим показатели финансово-хозяйственной деятельности за 2009 -
2011 гг. и отразим в таблице 2.3.
Таблица 2.3 -Основные
показатели деятельности СУ-243 «Гомельский «ДСК» за 2009 - 2011годы
|
Показатели
|
Годы
|
Отклонение
(+/-)
|
Темп
роста , %
|
|
|
2011г. от 2009г.
|
2011г. От 2010г.
|
2011г. К 2009г.
|
2011г. К 2010г.
|
|
|
|
|
|
|
|
2009 г.
|
2010 г.
|
2011 г.
|
|
|
|
|
|
Объем
производства, млн. р. в том числе:
|
|
|
|
|
|
|
|
|
-в действующих ценах
|
60151
|
90842
|
98859
|
38708
|
8017
|
164,35
|
108,83
|
|
-в сопоставимых ценах
|
60151
|
82434
|
82151
|
22000
|
-283
|
136,57
|
99,66
|
|
Выручка
от реализации продукции за вычетом налогов и сборов, млн. р.
|
55648
|
93013
|
95399
|
39751
|
2386
|
171,43
|
102,57
|
|
Полная
себестоимость реализованной продукции, млн. р.
|
49387
|
30054
|
41080
|
-8307
|
11026
|
83,18
|
136,69
|
|
Прибыль
от реализации, млн. р.
|
6261
|
84070
|
90817
|
84556
|
6747
|
в
14,5 раз
|
108,03
|
|
Среднесписочная
численность работников, чел. в том числе:
|
432
|
513
|
546
|
114
|
33
|
126,39
|
106,43
|
|
- ППП
|
228
|
227
|
367
|
139
|
140
|
160,96
|
161,67
|
|
Чистая
прибыль, млн. р.
|
5150
|
6097
|
2217
|
-2933
|
-3880
|
43,05
|
36,36
|
|
Прибыль
(убыток), млн. р.
|
6257
|
8470
|
3021
|
-3236
|
-5449
|
48,3
|
35,7
|
|
Фонд
заработной платы, млн. р.
|
9002
|
1219
|
16382
|
7381
|
15163
|
182,0
|
в
13,4 раз
|
|
Среднегодовая
стоимость основных средств, млн. р. (ф.5)
|
6865,5
|
11194
|
22882
|
16016,5
|
11688
|
в
3,3 раза
|
204,41
|
|
Производительность
труда, млн. р.
|
139,2
|
177,1
|
181,1
|
41,82
|
3,98
|
130,04
|
102,25
|
|
А
|
1
|
2
|
3
|
4
|
5
|
6
|
7
|
|
Фондоотдача,
р.
|
8,76
|
8,12
|
4,32
|
-4,44
|
-3,79
|
49,31
|
53,24
|
|
Фондоёмкость,
р.
|
0,11
|
0,12
|
0,23
|
0,12
|
0,11
|
187,84
|
|
Среднемесячная
заработная плата, р.
|
1736420
|
1968648
|
2500412
|
764
|
532
|
144,01
|
127,03
|
|
Рентабельность
продаж, %
|
11,25
|
90,39
|
95,20
|
83,95
|
4,81
|
в
8,6 раз
|
105,32
|
|
Рентабельность
реализованной продукции, %
|
12,68
|
279,73
|
221,07
|
208,40
|
-58,66
|
в
17,43 раза
|
79,03
|
Данные таблицы 2.3
свидетельствуют о том, что выручка от реализации продукции за 2011 году по
сравнению с 2009 годом увеличилась на 39751 млн. р. или на 71,43 %, по
сравнению с 2010 годом увеличилась на 2386 млн. р. или на 2,057 %
соответственно.
Себестоимость реализованной
продукции в 2011 г. по сравнению с 2009 г. снизилась на 8307млн р. (или на
16,82%), прибыль от реализации увеличилась на 84556 млн. р.
Таким образом, темп роста
выручки от реализации произведенной продукции выше темпа снижения себестоимости
произведенной продукции. Себестоимость реализованной продукции в 2011 г. по
сравнению с 2010 г. выросла на 11026 млн. р. (или на 36,69%), прибыль от
реализации увеличилась на 6747 млн. р.
Темп роста себестоимости
произведенной продукции выше темпа роста выручки от реализации произведенной
продукции на 34,12% (136,69-102,57). Убытков организация за 2009 - 2011 годы не
имеет. В 2011 г. величина чистой прибыли по сравнению в 2009 - 2010 гг.
снизилась на 2933 млн. р. и 3880 млн. р. соответственно.
Рост себестоимости на
производство и реализацию продукции связан с ростом объема производства в
натуральном выражении, а также с ростом цен на сырье, материалы, комплектующие,
увеличение тарифов на энергоносители и т.д. Среднесписочная численность в 2011
г. по сравнению с 2009 г. увеличилась на 51 чел, и по сравнению с 2010 г. на 49
чел.
Отсюда производительность труда
в 2011 г. по сравнению с 2009 г. увеличилась 30,04%, и по сравнению с 2010 г.
увеличилась на 2,25%.
Положительным моментом является
увеличение фондоотдачи в 2011 г. по сравнению с 2009 и 2010 гг. на 4,44р. и
13,79р. соответственно. По состоянию на 01.01.2012 г. дебиторская задолженность
организации составила 15859 млн. р.
Темп роста, которой в 2011 г.
по сравнению с 2009 -2010 гг. увеличился в 33,24 раза и в 28,47 раз
соответственно.
Данные финансово-хозяйственной
деятельности организации свидетельствует об устойчивом положении организации,
которое, однако, нельзя назвать стабильным и благополучным.
Более наглядно это отразим на
рисунке.
Рисунок Динамика прибыли от
реализации продукции СУ-243 «Гомельский «ДСК»
В настоящее время
первоочередными задачами для организации являются снижение затрат на
производство и реализацию продукции и увеличение оборачиваемости дебиторской
задолженности.
Таким образом, для дальнейшего
улучшения платежеспособности и укрепления финансового положения СУ-243
«Гомельский «ДСК» прежде всего, необходимо действовать в следующих
направлениях: ускорить оборачиваемость капитала в текущих активах, в результате
чего произойдёт относительное его сокращение; обосновано уменьшить запасы и
сократить затраты, в результате чего должна увеличиваться чистая прибыль;
увеличивать собственный оборотный капитал за счет использования полученной
прибыли, тем самым снижать потребность в заемных средствах финансирования.
2.2 Анализ наличия,
состава и динамики развития источников формирования функционирующего капитала
Анализ наличия, состава и динамики развития
источников формирования функционирующего капитала начнем с анализа основных
средств.
В ходе экономического анализа основных средств
нам необходимо оценить: размеры, динамику и структуру вложений капитала
организации в основные средства; выявить главные функциональные особенности
производственной деятельности (бизнеса) анализируемого хозяйствующего субъекта;
их использование по обобщающим и частным показателям; рассчитать влияние
использования основных средств на объём производства продукции и другие
показатели.
Таблица 2.4 - Состав и
структура основных средств СУ-243 «Гомельский ДСК» за 2009 -2011гг.
|
Вид
основных производственных фондов
|
Годы
|
2011 г к 2009 г
|
2011г к 2010 г
|
|
2009г
|
2010г
|
2011г
|
|
|
|
сумма,
млн. р.
|
уд.
вес, %
|
сумма,
|
уд.
вес, %
|
сумма,
млн. р.
|
уд.
вес, %
|
отклонение,
млн. р.
|
по
структуре, пункты
|
темп
роста, %
|
отклонение,
млн. р.
|
по
структуре, пункты
|
темп
роста, %
|
|
1.
Состав основных средств в том числе:
|
12 215
|
100
|
14 260,0
|
100
|
31 504
|
100
|
19 289
|
х
|
257,91
|
17 244
|
х
|
220,9
|
|
1 Здания и сооружения
|
2 489
|
20,38
|
3 115
|
21,84
|
8 209
|
26,06
|
5 720
|
5,68
|
329,81
|
5 094
|
4,2
|
263,5
|
|
2. Машины и оборудование
|
6 129
|
50,18
|
7 148
|
50,13
|
18 147
|
57,60
|
12 018
|
7,43
|
296,08
|
10 999
|
7,5
|
253,9
|
|
3. Транспортные средства
|
3 597
|
29,45
|
3 997
|
28,03
|
5 148
|
16,34
|
1 551
|
-13,11
|
143,12
|
1 151
|
-11,7
|
128,8
|
|
в
т.ч.: активная часть основных производственных средств
|
9 726
|
79,62
|
11 145,0
|
78,16
|
23 295
|
73,94
|
13 569
|
-5,68
|
239,51
|
12 150
|
-4,2
|
209,0
|
Основные средства занимают около 60% имущества
СУ-243 «Гомельский «ДСК» поэтому одной из центральных в настоящее время для
организации занимает проблема их рационального использования. От решения этой
проблемы в конечном итоге зависят перспективы развития деятельности
организации.
По таблице 2.3 в 2011 г. по сравнению с 2009 г.
основные средства увеличились на 19289 млн. р., или в 2,6 раз. По сравнению с
2010 г. основные средств увеличились на 17244 млн. р., или в 2,2 раза.
Наибольшую долю в структуре основных средств занимают машины и оборудования
(2009г. - 50,18%, 2010г. - 50,13%, 2011г. - 57,60 %). Вторым значимым элементом
анализируемого вида основных средств наибольшую долю занимают здания и
сооружения (2009г. - 20,38%, 2010г. - 21,84%, 2011г. - 26,06%).
Для оценки материально-технической проведем
горизонтальный и вертикальный анализ состояния основных фондов, составив
таблицу 2.5 и 2.6
Таблица 2.5 - Динамика основных средств
действующей оценке по СУ-243 «Гомельский ДСК» за 2009 - 2011 гг.
|
Наименование
показателей
|
Остаток
на начало года
|
Поступило
за год
|
Выбыло
за год
|
Остаток
на конец года
|
Темп
роста, %
|
|
сумма,
млн. р.
|
уд.
вес, %
|
|
|
сумма,
млн. р.
|
уд.
вес, %
|
|
|
1 Здания и сооружения
|
2 489
|
20,4
|
6,7
|
0
|
8 209
|
26,1
|
в
3,9 раз
|
|
2. Машины и оборудование
|
6 129
|
50,2
|
9,8
|
0
|
18 147
|
57,6
|
в
2,9 раз
|
|
3. Транспортные средства
|
3 597
|
29,4
|
6,1
|
0
|
5 148
|
16,3
|
143,1
|
|
Всего
основных средств
|
12215
|
100
|
|
0
|
31504
|
100
|
в
2,6 раз
|
|
В
том числе основных средств основного вида деятельности
|
9726
|
79,6
|
0
|
0
|
23295
|
452,5
|
в
2,9 раза
|
|
Амортизация
основных средств
|
4087
|
33,5
|
х
|
х
|
15663
|
304,3
|
в
3,8 раз
|
|
Остаточная
стоимость основных средств
|
8128
|
66,5
|
х
|
х
|
15841
|
307,7
|
194,9
|
По данным таблицы 2.5 основные
фонды в 2010 г по СУ-243 «Гомельский ДСК» увеличились в 2,9 раз или на 19289
млн. р. (31504 - 142158), в том числе производственные основные фонды достигли
увеличения в 2,4 раз.
Таблица 2.6
Динамика основных средств действующей оценке по
СУ-243 «Гомельский ДСК» за 2010 - 2011 гг.
|
Наименование
показателей
|
Остаток
на начало года
|
Поступило
за год
|
Выбыло
за год
|
Остаток
на конец года
|
Темп
роста, %
|
|
сумма,
млн. р.
|
уд.
вес, %
|
|
|
сумма,
млн. р.
|
уд.
вес, %
|
|
|
1 Здания и сооружения
|
3 115
|
21,8
|
32,5
|
-
|
8 209
|
26,1
|
в
2,6 раз
|
|
2. Машины и оборудование
|
7 148
|
50,1
|
34,7
|
-
|
18 147
|
57,6
|
в
2,5 раз
|
|
3. Транспортные средства
|
3 997
|
28,0
|
5,4
|
-
|
5 148
|
16,3
|
128,8
|
|
Всего основных средств
|
14260
|
100
|
72,6
|
-
|
31504
|
100
|
в
2,2 раза
|
|
В
том числе основных средств основного вида деятельности
|
11145
|
78,2
|
72,6
|
-
|
23295
|
73,9
|
в
2,0 раз
|
|
Амортизация основных средств
|
15663
|
109,8
|
х
|
х
|
15663
|
49,7
|
100,0
|
|
Остаточная стоимость основных
средств
|
-1403
|
-9,8
|
х
|
х
|
15841
|
307,7
|
-1129
|
По данным таблицы 2.6 основные
фонды в 2011 г по СУ-243 «Гомельский ДСК» увеличились на в 2,9 раз, или на
12150 млн.р. (23295 - 11145), в том числе производственные основные фонды
достигли увеличения в 2,0 раз. Следует отметить более высокий рост активной
части основных средств 66,3% в 2010г, и 64,9% в 2011г. Наблюдается и увеличение
стоимости зданий и сооружений соответственно на 4,3% (26,1 -21,8).
Анализ динамики основных средств СУ-243
«Гомельский ДСК» представлен в таблице 2.7
Таблица 2.7 - Анализ динамики основных средств
ОАО «СУ-243 «Гомельский ДСК» за 2009 - 2011 гг.
|
Основные
фонды
|
Годы
|
2011г к 2009г
|
2010 г к 2009 г
|
|
2009
|
2010
|
2011
|
отклонение,
(+.-)
|
темп
роста, %
|
Отклонение,
(+.-)
|
Темп
роста, %
|
|
Первоначальная
стоимость основных средств, млн. р.:
|
|
на
начало года (ОСн)
|
8 341
|
12 215
|
20 632
|
12 291
|
247,4
|
8 417
|
168,9
|
|
на
конец года (ОСк)
|
12 215
|
20 632
|
31 504
|
19 289
|
257,9
|
10 872
|
152,7
|
|
Поступление
средств (ОСп)
|
3 874
|
8 417
|
10 872
|
6 998
|
280,6
|
2 455
|
129,2
|
|
Выбытие
средств (ОСв)
|
-
|
-
|
-
|
-
|
-
|
-
|
-
|
|
Амортизация
основных средств, млн. р.
|
|
на
начало года (И)
|
153
|
217
|
298
|
145
|
194,8
|
81
|
137,3
|
|
на
конец года
|
217
|
298
|
335
|
118
|
154,4
|
37
|
112,4
|
|
Остаточная
стоимость основных средств, млн. р.:
|
|
на
начало года (ОСн)
|
8 188
|
11 998
|
20 334
|
12 146
|
248,3
|
8 336
|
169,5
|
|
на
конец года (ОСк)
|
11 998
|
20 334
|
31 169
|
19 171
|
259,8
|
10 835
|
153,3
|
Данные таблицы 2.7 показывают, что основные
средства на конец 2011 г. по сравнению с 2009 - 2010 гг. увеличились на 19289
млн. р. и 10872 млн. р. или в 2,6 раз % и 52,7% соответственно. Увеличение
основных средств в 2011 г. сложилось вследствие превышения поступления над
выбытием. Сумма амортизации основных средств в 2011 г по сравнению с 2009 -
2010 гг. увеличилась 145 млн. р. и 81 млн. р. или на 594,8% и 37,3%. Остаточная
стоимость основных средств на конец года снизилась на 19171 млн. р. или на в
2,4 раза по отношению к 2009 г, и увеличилась на 8336 млн. р. или на 69,5% по
отношению к 2010г.
Важное значение имеет анализ технического
состояния основных средств. Динамика технического состояния основных средств
СУ-243 «Гомельский ДСК» представлена в таблице 2.8.
Таблица 2.8 - Динамика технического состояния
основных средств СУ-243 «Гомельский ДСК» за 2009 - 2011 гг.
|
Показатель
|
Алгоритм
расчета
|
Годы
|
2011г к 2009г
|
2011г к 2010г
|
|
|
|
|
сумма,
млн. р.
|
темп
роста, %
|
сумма,
млн. р.
|
темп
роста, %
|
|
|
|
2009
|
2010
|
2011
|
|
|
|
|
|
Коэффициент
обновления
|
Кобн
|
Кобн
= ОФп / ОФк
|
0,32
|
0,41
|
0,35
|
0,03
|
108,8
|
-0,06
|
84,6
|
|
Срок
обновления
|
Тобн
|
Тобн
= ОФн / ОФп
|
2,15
|
2,15
|
1,45
|
-0,70
|
67,4
|
-0,70
|
67,4
|
|
Коэффициент
выбытия
|
Кв
|
Кв
= ОФв / ОФн
|
-
|
-
|
-
|
-
|
-
|
-
|
-
|
|
Коэффициент
прироста
|
Кпр
|
Кпр
= ОФпр / ОФн
|
0,464
|
0,689
|
0,527
|
0,062
|
113,5
|
-0,16
|
76,5
|
|
Коэффициент
износа на начало года
|
Кизн
|
Кизн
= И / ОФперв
|
0,018
|
0,018
|
0,014
|
-0,004
|
78,7
|
-0,003
|
81,3
|
|
Коэффициент
износа на конец года
|
Кизн
|
Кизн
= И / ОФперв
|
0,018
|
0,014
|
0,011
|
-0,007
|
59,9
|
-0,004
|
73,6
|
|
Коэффициент
технической годности:
|
|
на
начало года
|
Кг
|
Кг
= ОФост / ОФперв
|
1,0
|
1,0
|
1,0
|
0,0039
|
100,4
|
0,003
|
100,3
|
|
на
конец года
|
Кг
|
Кг
= ОФост / ОФперв
|
1,0
|
1,0
|
1,0
|
0,0071
|
100,7
|
0,004
|
100,4
|
|
|
|
|
|
|
|
|
|
|
|
Показателями движения основных средств являются:
коэффициент обновления, характеризующий долю новых основных средств в общей их
стоимости на конец года; срок обновления основных средств; коэффициент выбытия;
коэффициент выбытия активной части; коэффициент прироста; коэффициент износа;
коэффициент технической годности.
Из данных таблицы 2.6 следует, что:
- коэффициент обновления основных средств в 2009
г. составил 0,32%, в 2010 г. - 0,41%, в 2011 - 0,35%,
- коэффициент технической годности за 2009 -
2011 гг. составил.0,0106.
Коэффициент износа составил в 2011г. - 0,58 %.
Данное обстоятельство не требует осуществления достаточно крупных капитальных
вложений в обновление основных средств.
Данное обстоятельство не требует осуществления
достаточно крупных капитальных вложений в обновление основных средств.
Важное значение, имеет анализ движения и
технического состояния основных производственных средств. Результаты этих
расчетов представим в таблице 2.9.
Таблица 2.9 - Показатели, характеризующие
движения и техническое состояние основных производственных средств СУ-243
«Гомельский ДСК» за 2009 - 2011 гг.
|
Показатели
|
Год
|
Отклонение
(+,-),
2011г
от
|
|
2009
|
2010
|
2011
|
2009г
|
2010г
|
|
Стоимость
основных средств на начало периода, млн. р.
|
8341
|
12215
|
20632
|
3874
|
8417
|
|
Стоимость
поступивших основных средств, млн. р.
|
3874
|
8417
|
10872
|
4543
|
2455
|
|
Стоимость
выбывших основных средств, млн. р.
|
-
|
-
|
-
|
|
|
|
Стоимость
прироста основных средств, млн. р.
|
3874
|
8417
|
10872
|
4543
|
2455
|
|
Стоимость
амортизации основных средств, млн. р.
|
4087
|
6372
|
15663
|
2285
|
9291
|
|
Стоимость
основных средств на конец периода в сопоставимых ценах, млн. р.
|
8341
|
11975
|
18554
|
3634
|
6578
|
|
Восстановительная
стоимость основных средств, млн. р.
|
12215
|
20632
|
31504
|
8417
|
10872
|
|
Коэффициент
обновления
|
0,46
|
0,70
|
0,59
|
0,238
|
-0,12
|
|
Срок
обновления
|
2,15
|
2,15
|
1,45
|
-
|
-0,70
|
|
Коэффициент
выбытия
|
-
|
-
|
-
|
-
|
-
|
|
Коэффициент
прироста
|
0,46
|
0,70
|
0,59
|
0,238
|
-0,117
|
|
Коэффициент
износа
|
0,02
|
0,01
|
0,01
|
-0,003
|
-0,004
|
|
Коэффициент
годности
|
0,98
|
0,99
|
0,99
|
0,003
|
0,004
|
Данные таблицы 2.9 свидетельствуют о том, что за
период с 2011 года по сравнению 2009 г изношенность основных средств снизилась
на 0,003%, по отношению к 2010г снизилась на 0,04%.
Это произошло за счет инфляционных процессов и
ввода в эксплуатацию более новых объектов основных средств.
Таким образом, коэффициент годности основных
средств за 2011г по сравнению с 2009 - 2010гг увеличился на 0,003% и 0,004
соответственно и на 01. 01.12г составил 0,99%. Коэффициент обновления в 2011г
снизился на 0,0238% в результате этого произошло снижение продолжительности
срока обновления.
Графически техническое состояние основных
средств рассматривается на рисунке
Рисунок Техническое состояние основных средств
СУ-243 «Гомельский ДСК»
От состояния, степени и эффективности
использования основных средств организации зависят все конечные результаты
хозяйствования, в частности, объем реализации продукции, ее себестоимость,
прибыль, финансовое состояние и другие.
Если основные средства организации используются
недостаточно полно и эффективно, то это приводит к увеличению доли постоянных
затрат в общей их сумме, росту себестоимости продукции и, как следствие,
уменьшение прибыли.
Поэтому в процессе анализа необходимо установить
какие изменения произошли с основными средствами организации, на сколько полно
и эффективно они используются, и как это влияет на себестоимость, прибыль,
рентабельность, зону безубыточности организации и прочие показатели.
Активная часть основных средств
увеличилась по сравнению с 2009г увеличилась на 54,2%, а по сравнению с 2010г
на 12,3, но доля их увеличилась на 16,4% и 1,43% соответственно.
Для проведения анализа эффективности
использования основных средств на исследуемой организации составим таблице
2.11.
Таблица 2.11 - Показатели эффективности
использования основных средств по Гомельскому СУ-243 «Гомельский ДСК» в 2009-
2011 гг.
|
Показатели
|
Годы
|
Изменение
(+.-) от 2011г.
|
Темп
изменения, % от 2011г
|
|
2009
|
2010
|
2011
|
2009г
|
2010г
|
2009г.
|
2010г.
|
|
1.
Выручка от реализации, млн. р.
|
58340
|
97182
|
103625
|
45285
|
6443
|
177,6
|
106,6
|
|
2.
Прибыль от реализации, млн. р.
|
68685
|
11194
|
22882
|
-45803
|
11688
|
33,3
|
204,4
|
|
3.
Среднегодовая стоимость основных фондов, млн. р.
|
10278
|
16924
|
33900
|
23621,5
|
16976
|
в3,2
раз
|
в
2,раза
|
|
5.
Фондоотдача основных фондов (стр.1:стр.3), р.
|
5,68
|
5,74
|
3,06
|
-2,62
|
-2,69
|
-
|
-
|
|
6.
Фондоемкость основных фондов (стр.3:стр.1), р.
|
0,18
|
0,17
|
0,33
|
0,15
|
0,15
|
-
|
-
|
|
7.
Фондорентабельность основных фондов, %
|
668,27
|
66,14
|
67,50
|
-600,77
|
1,35
|
-
|
-
|
По данным таблица 2.11 можно увидеть темп роста
выручки от реализации в 2011 году по отношению к 2009 - 2010гг. увеличился на
77,6% и 6,6% соответственно.
Среднегодовая стоимость основных средств в 2011г
по сравнению с 2009 - 2010гг. увеличилась в 2,3 раза и в 2,0 раз
соответственно.
Наличие темпа роста прибыли от реализации и
среднегодовой стоимости основных средств и их активной части отразилось на
росте двух показателях фондоотдачи.
В 2011 году фондоотдача всех производственных
средств составила 7 р., что на 3,06р. или на 2,69р. меньше чем в 2009 году. В
2011 году фондоотдача всех производственных средств составила 3,06 р., что на
2,65 меньше чем в 2010 году.
Фондоёмкость, как обратная величина фондоотдачи:
в 2011 году фондоёмкость всех производственных средств составила 0,33 р., что
на 0,15 р. больше чем в 2009 году, и на 0,1530 р.
В 2010 году фондоемкость всех производственных
средств составила 0,14 р., что на 0,03 р. меньше чем в 2011 г.
Эффективное использование основных средств,
постоянное их воспроизводство являются важнейшими условиями повышения
конкурентной способности организаций, ибо побеждает тот, кто производит и
реализует товары высокого качества и с наименьшими затратами труда и средств.
Каждая организация располагает разнообразными
ресурсами, которые она может выбрать на рынке ресурсов и комбинировать в
соответствии со своими возможностями.
Если субъект хозяйствования осуществляет выбор и
комбинацию ресурсов лучше, оригинальнее и быстрее конкурентов, если использует
их более эффективно, то ему гарантирован конечный рыночный успех. Одним из
структурных элементов ресурсного потенциала большинства организаций является их
основной капитал, и в частности основные средства.
Эффективная работа организации - это достижение
максимальных результатов при минимальных затратах. Минимизация затрат - это, в
первую очередь, оптимизация структуры источников формирования производственных
запасов организации, т.е. разумное сочетание собственных и кредитных ресурсов.
Для анализа эффективности
использования производственных запасов необходимо рассчитать следующие
показатели:
·
Коэффициент оборачиваемости - путем отношения стоимости
реализованной продукции к среднегодовым остаткам производственных запасов.
·
Чем меньше этот коэффициент, тем меньше при прочих равных
условиях производственно-коммерческий цикл.
Он определяется следующим
образом:
Коб = себестоимость
реализованной продукции / среднегодовые остатки производственных запасов.
Длительность оборота в днях
равна: Доб = среднегодовые остатки производственных запасов × 365 /
себестоимость реализованной продукции (таблица 2.12).
Таблица 2.12 - Анализ
длительности оборота в днях по СУ-243 «Гомельский ДСК» за 2009 - 2011гг
|
Показатель
|
Годы
|
Отклонение
(+/-) 2011г от
|
|
2009
|
2010
|
2011
|
2009г
|
2010г
|
|
Среднегодовые
остатки запасов (стр.210 ф.1)
|
8190
|
11242
|
11484
|
3294
|
242
|
|
Себестоимость
реализованной продукции (стр.040 ф.2)
|
49387
|
84070
|
90817
|
41430
|
6747
|
|
Продолжительность
оборота в днях
|
60,5
|
48,8
|
46,2
|
-14,37
|
-2,65
|
г. к 2009г.
Доб = 8190 × 365 / 49387 = 60,5
дней в 2009 году
Доб = 11484 × 365 / 90817 = 46,2
дней в 2011 году
За 2011 год наблюдается
улучшения работы организации, так длительность оборота увеличилась с 60,5 дня в
2009 году до 46,2 дней в 2011 году. Организация стало работать более
эффективно, в результате чего улучшается его финансовое состояние.
г. к 2010г.
Доб = 11242 × 365 / 84070= 48,8
день в 2010 году
Доб = 11484 × 365 / 90817 = 46,2
дней в 2011 году
За 2011 год наблюдается
улучшение работы организации, так длительность оборота увеличилась с 48,8 дня в
2010 году до 46,2 дней в 2011 году. Организация стало работать более
эффективно, в результате чего улучшается его финансовое состояние.
Также необходимо
проанализировать эффективность использования производственных запасов на
основании таблицы 2.13.
Таблица 2.13 - Анализ
эффективности использования производственных запасов СУ-243 «Гомельский ДСК» за
2009 - 2011 гг.
|
Показатель
|
Годы
|
Отклонение
(+/-) 2011г от
|
|
2009
|
2010
|
2011
|
2009г
|
2010г
|
|
1.
Прибыль от реализации продукции (стр.070 ф.2)
|
6261
|
8943
|
4582
|
-1679
|
-4361
|
|
2.Среднегодовые
остатки оборотных средств (ст.210 ф.1)
|
8190
|
11241,5
|
11483,5
|
3294
|
242
|
|
3.Прибыль
от реализации продукции на 1 рубль стоимости сырья (стр.1/стр.2)
|
0,765
|
0,796
|
0,399
|
-0,37
|
-0,40
|
По данным таблицы 2.13 следует, что прибыль от
реализации продукции в 2011 году снизилась на 1679 млн. р. и 4361 млн. р. по
сравнению с 2009 -2010 гг. Вследствие этого средние остатки производственных
запасов увеличились на 3294 млн. р. и 242 млн. р. соответственно.
Отсюда на 1 рубль стоимости сырья в 2011 году
организация получило прибыли 0,399 р. На использование производственных запасов
влияет и оборачиваемость
Таким образом, наблюдается улучшения работы деятельности
СУ-243 «Гомельский ДСК».
2.3 Анализ размещения
основного и оборотного капитала в организации
В процессе анализа капитала организации
необходимо подробно рассмотреть источники образования средств. Поступление и
приобретение имущества может осуществляться за счет собственных и заемных
средств. Характеристика соотношения между собственными и заемными источниками
раскрывает сущность финансовой устойчивости организации.
Основными элементами собственного капитала
СУ-243 «Гомельский «ДСК» являются: уставный капитал; собственные акции (доли),
выкупленные у акционеров (учредителей); фонды и резервы; читая прибыль (убыток)
отчетного года; нераспределенная прибыль; целевое финансирование; доходы
будущих периодов.
По соотношению составляющих собственных средств
можно в самом общем виде сделать выводы относительно эффективности
производственно-коммерческой деятельности организации. В целом же необходимость
в собственном капитале обусловлена требованиями самофинансирования, так как
собственный капитал является основой самостоятельности и независимости
организации. Его особенность состоит в том, что он инвестируется на
долгосрочной основе и подвергается наибольшему риску. Чем больше доля
собственного капитала, тем выше порог, который защищает кредиторов от убытков.
Однако финансирование за счет собственного капитала не всегда выгодно для
организации. Это касается сезонных отраслей и тех периодов деятельности, когда
цены на финансовые ресурсы невысокие и есть возможность более выгодно вложить
деньги. Оценка структуры источников формирования капитала проводится как
внутренними, так и внешними пользователями бухгалтерской информации. Внешние
источники оценивают изменение доли собственных средств в общей сумме источников
с точки зрения финансового риска при заключении сделок. Внутренний анализ
связан с оценкой альтернатив вариантов финансирования деятельности организации.
В соответствии с таблицей 2.14 видно, что общий
прирост источников средств организации в 2011г по сравнению с 2009г. составил
45039 млн. р. или в 4,0 раз. При этом в 2009г в структуре преобладают
собственные источники: 78,1%, таким образом, их доля по сравнению с 2011г
снизилась на 9,9 процентных пункта. Общий прирост источников средств
организации в 2011г по сравнению с 2010г составил 33101 млн. р. или в 2,2 раз.
При этом в структуре преобладают собственные источники: 75,9% в 2010г и 68,2% в
2011г, таким образом, их доля снизилась на 7.7 процентных пункта.
Также стоит отметить, что на предприятии в
2011г. долгосрочные обязательства по сравнению с 2009 -2010гг. снизились на 400
млн. р.
Таблица 2.14 - Динамика источников средств
СУ-243 «Гомельский «ДСК» за 2009-2011годы
|
Показатель
|
Годы
|
Отклонение
(+ /-) 2011г от
|
Темп
роста, % 2011г. от
|
|
2009
|
2010
|
|
|
|
сумма,
млн. р.
|
уд.
вес, %
|
сумма,
млн. р.
|
уд.
вес, %
|
сумма,
млн. р.
|
уд.
вес, %
|
2009г.
|
2010г.
|
|
|
|
|
|
|
|
|
сумма,
млн. р.
|
уд.
вес, %
|
сумма,
млн. р.
|
уд.
вес, %
|
2009г
|
2010г
|
|
Пассивы
- всего
|
14851
|
100
|
26789
|
100
|
59890
|
100
|
45039
|
х
|
33101
|
х
|
в
4,0 раз
|
в
2,2 раз
|
|
1.Собственный капитал
|
11593
|
78,1
|
20326
|
75,9
|
40830
|
68,2
|
29237
|
-9,9
|
20504
|
-7,7
|
в
3,5 раз
|
в
2,0 раз
|
|
2.Обязательства - всего
|
3258
|
21,9
|
6463
|
24,1
|
19060
|
31,8
|
15802
|
9,9
|
12597
|
7,7
|
в
5,8 раз
|
в
2,9 раз
|
|
2.1. Долгосрочные
обязательства
|
400
|
2,7
|
-
|
-
|
-
|
-
|
-400
|
-2,7
|
-
|
-
|
-
|
-
|
|
-в % ко всем обязательствам
|
12,3
|
-
|
-
|
-
|
-
|
-
|
-12
|
-
|
-
|
-
|
-
|
-
|
|
2.2.Краткосрочные обязательства
|
2858
|
19,2
|
6463
|
24,1
|
19060
|
31,8
|
16202
|
12,6
|
12597
|
7,7
|
в
6,6 раз
|
в
2,9 раз
|
|
-в % ко всем обязательствам
|
87,7
|
-
|
100,0
|
-
|
100,0
|
-
|
12
|
-
|
-
|
-
|
114,0
|
100,0
|
|
2.2.1.Заёмные
средства
|
1100
|
7,4
|
3000
|
11,2
|
6645
|
11,1
|
5545
|
3,7
|
3645
|
-0,1
|
в
6,0 раз
|
в
2,2 раз
|
|
-в % к краткосрочным
обязательствам
|
33,8
|
-
|
46,4
|
-
|
34,9
|
-
|
1
|
-
|
-12
|
-
|
103,3
|
75,1
|
|
2.2.2.Кредиторская
задолженность
|
1758
|
11,8
|
3463
|
12,9
|
12415
|
20,7
|
10657
|
8,9
|
8952
|
7,8
|
в
7,0 раз
|
в
3,8 раз
|
|
-в % к краткосрочным
обязательствам
|
54,0
|
-
|
53,6
|
-
|
65,1
|
-
|
11
|
-
|
12
|
-
|
120,7
|
121,6
|
Довольно интересным является дальнейшее
исследование структуры краткосрочных обязательств:
в 2011г по сравнению с 2009г краткосрочные
кредиты и займы увеличились на 16202 млн. р. или их доля в обязательствах
составляет 19,2%. Кредиторская задолженность в 2011г. по сравнению с 2009г.
увеличилась на 10657 млн. р. или в 7,7 раз их доля в обязательствах также
увеличилась на 8,9% .
в 2011г по сравнению с 2010г краткосрочные
кредиты и займы увеличились на 12597 млн. р. или их доля в обязательствах
составляет 7,7%. Кредиторская задолженность в 2011г. по сравнению с 2010г.
увеличилась на 8952 млн. р. или в 3,8 их доля в обязательствах также
увеличилась на 7,8% .
Таким образом, здесь прослеживается стремление
руководства организации не привлекать долгосрочные кредиты для обеспечения ими
оборотных активов.
Для более углубленного изучения собственного
капитала организации составляется аналитическая таблица 2.15. и рисунка.
Рисунок - Динамика состава,
структуры собственного капитала СУ-243 «Гомельский «ДСК»
Расчеты таблицы 2.15 говорят о том, что в 2011г
по сравнению с 2009г в составе собственного капитала преобладает только
добавочный фонд. Удельный вес которого на начало года составил, снизился на
15,9% (84,1 - 100,0). Резервный фонд в 2009г не создается.
В 2011г по сравнению с 2010г в составе
собственного капитала преобладает только добавочный фонд. Удельный вес которого
на начало года составил снизился на 14,1% (84,1 - 70,0).
Таблица 2.15 Состав, структура и динамика
собственного капитала СУ-243 «Гомельский «ДСК» за 2009-2011годы
|
Показатель
|
Годы
|
Отклонение
(+ /-) 2011г от
|
Темп
роста, % 2011г от
|
|
2009
|
2010
|
2011
|
|
|
|
сумма,
млн. р.
|
уд.
вес, %
|
сумма,
млн. р.
|
уд.
вес, %
|
сумма,
млн. р.
|
уд.
вес, %
|
2009г
|
2010г
|
|
|
|
|
|
|
|
|
сумма,
млн. р.
|
уд.
вес, %
|
сумма,
млн р.
|
уд.
вес, %
|
2009г
|
2010г
|
|
Собственный
капитал-всего
|
11593
|
100
|
20326
|
100
|
40830
|
100
|
29237
|
х
|
20504
|
х
|
в
3,5 раза
|
в
2,0 раз
|
|
в
т.ч.:
|
|
|
|
|
|
|
|
|
|
|
|
|
|
1.Уставный фонд (капитал)
|
-
|
-
|
-
|
-
|
-
|
-
|
-
|
-
|
-
|
-
|
-
|
-
|
|
2. Резервный фонд
|
-
|
-
|
183
|
0,90
|
249
|
0,61
|
249
|
0,6
|
66
|
-0,3
|
-
|
136,1
|
|
3.Добавочный фонд
|
11593
|
100,0
|
14229
|
70,00
|
34345
|
84,1
|
22752
|
-15,9
|
20116
|
14,1
|
в
2,9 раз
|
в
2,4 раза
|
|
4.Нераспределенная прибыль
(убытки)
|
-
|
-
|
5914
|
29,10
|
6236
|
15,3
|
6236
|
15,3
|
322
|
-13,8
|
-
|
105,4
|
|
5.Доходы будущих периодов
|
-
|
-
|
-
|
-
|
-
|
-
|
-
|
-
|
-
|
-
|
-
|
-
|
Резервный фонд увеличился на 66 млн. р. или на
36,1%, его удельный вес снизился на 0,3%. Нераспределенная прибыль увеличилась
на 322 млн. р. или на 5,4%, его удельный вес снизился на 13,8%.
В общем, собственный капитал СУ-243 «Гомельский
«ДСК» в 2011г пол сравнению с 2009-2010гг снизился за год на 29237 млн. р. и
20504 или в 3,5 раза и 2,0 раз соответственно.
Для изучения процесса формирования и изменения
пассивов организации необходим сравнительный анализ источников и средств
организации по различным направлениям.
Сравнение активов и пассивов организации
позволяет сделать вывод об эффективности финансовой политики за изучаемый
период.
Каждая статья актива баланса имеет свои
источники финансирования. Сопоставление стоимости имущества и стоимости
источников его покрытия позволяет сделать вывод о степени эффективности
проводившейся в анализируемом периоде финансовой политики.
Целесообразно определить источники, покрывавшие
внеоборотных и оборотных активов. Однако в практике финансово-хозяйственной
деятельности организаций в силу ряда причин возможны случаи, когда фактическое
финансирование внеоборотных и оборотных активов осуществляется за счет
краткосрочных кредитов и займов.
Такое положение сохраняется недолго и не является
типичным. При проведении экономического исследования источники покрытия
определяют с точки зрения соблюдения принципа целевого назначения и
использования средств.
Так, источниками покрытия внеоборотных и
оборотных активов могут быть как долгосрочные финансовые обязательства, так и
собственные источники. Привлечение краткосрочных финансовых обязательств
рассматривается как нецелевое использование средств.
При более детальном изучении источников покрытия
внеоборотных и оборотных активов становится очевидным, что они покрываются за
счет собственных источников, а незавершенные капитальные вложения и
оборудование к установке - за счет долгосрочных кредитов и займов (таблица 2.16
и 2.17).
Данные таблицы 2.16 и 2.17
свидетельствуют о том, долгосрочные финансовые обязательства на 2,2 % в 2009г,
покрывали внеобротные и оборотные активы.
В 2010-2011гг долгосрочных
финансовых обязательства в СУ-243 «Гомельский «ДСК» не имелось.
Доля собственных источников,
используемых для покрытия внеооборотных и оборотных активов, составляла -33,9%
в 2009г, -30,7% в 2010г, -31,9% в 2011г.
Таблица 2.16 - Анализ источников покрытия
внеоборотных и оборотных активов СУ-243 «Гомельский «ДСК» за 2009-2011годы.
|
Внеоборотные
и оборотные активы, млн. р.
|
Источники
покрытия основных средств и нематериальных активов, млн. руб.
|
|
Статья
|
Годы
|
Отклонение
(+/-) , 2011г от
|
Статья
|
Годы
|
Отклонение
(+/-) , 2011г от
|
|
2009
|
2010
|
2011
|
|
|
2009
|
2010
|
2011
|
|
|
|
|
|
2009г
|
2010г
|
|
|
|
|
2009г
|
2010г
|
|
1. Внеоборотные активы
|
8128
|
14260
|
31584
|
23456
|
17324
|
1.
Долгосрочные финансовые обязательства, которые покрывают внеобротные и
оборотные активы
|
400
|
-
|
-
|
-400
|
-
|
|
2. Оборотные активы
|
9224
|
15070
|
28386
|
19162
|
13316
|
2.
Собственные источники, всего из них:
|
11593
|
20326
|
40830
|
29237
|
20504
|
|
2.1.
собственные источники, которые покрывают внеоборотные и оборотные активы (п.
3 графа 2 или 3 - п. 1 графа 6 или 7)
|
17752
|
29330
|
59970
|
42218
|
30640
|
|
2.2.
собственные источники, которые покрывают оборотные активы (п. 2 - п. 2.1)
|
-6159
|
-9004
|
-19140
|
-12981
|
-10136
|
|
3.
Краткосрочные финансовые обязательства, всего из них
|
-
|
-
|
-
|
-
|
-
|
|
3.1.
краткосрочные финансовые обязательства, которые покрывают внеобротные и
оборотные активы
|
-
|
-
|
-
|
-
|
-
|
|
4.
ИТОГО источников покрытия активов
|
18152
|
29330
|
59970
|
30640
|
|
3. ВСЕГО
|
17352
|
29 330
|
59 970
|
42618
|
30640
|
5.
Краткосрочные финансовые обязательства, которые покрывают оборотные активы
|
-
|
-
|
-
|
-
|
-
|
Таким образом, наблюдается
увеличение в 2009 - 2011г. собственные источники не порывают активы СУ-243
«Гомельский «ДСК» за 2009-2011гг.
Между статьями актива и пассива баланса
существует тесная взаимосвязь. Каждая статья актива баланса имеет свои
источники финансирования.
Таблица 2.17 - Удельный вес источников покрытия
СУ-243 «Гомельский «ДСК» за 2009-2011гг
|
Источники
покрытия внеоборотных оборотных активов, %
|
Отклонение
(+; -) 2011г от
|
|
Показатель
|
Годы
|
2009г
|
2010г
|
|
2009
|
2010
|
2011
|
|
|
|
1.
Внеоборотные и оборотные активы (табл. 2.6 п. 1 / п. 4 графа 7 или 8)
|
2,2
|
-
|
-
|
-2,2
|
-
|
|
2.
Собственные источники, которые покрывают внеоборотные и оборотные активы
(табл. 2.6 п. 2.1 / п. 4 графа 7 или 8)
|
97,8
|
100,0
|
100,0
|
2,2
|
-
|
|
3.
Собственные источники, которые покрывают оборотные активы (табл. 2.6 п. 2.2 /
п. 2 графа 7 и 8)
|
-33,9
|
-30,7
|
-31,9
|
-
|
-
|
|
4.
Итого источников покрытия внеоборотных и оборотных активов (п. 1 + п. 2)
|
100,0
|
100,0
|
100,0
|
х
|
х
|
В зависимости от источников формирования общую
сумму оборотных активов можно условно подразделить на 2 части: переменная,
которая сформирована за счет краткосрочных обязательств организации,
постоянная, как правило запасы и затраты, сформированная за счет собственного
капитала.
Недостаток собственного оборотного капитала
приводит к увеличению переменной и уменьшению постоянной части, что
свидетельствует об усилении финансовой зависимости и неустойчивости его
положения.
Существуют следующие методы расчета величины
собственного оборотного капитала:
СОК = Собственный капитал - Внеоборотные активы (40)
СОК = Оборотные активы - Краткосрочные
обязательств (41)
В Республике Беларусь
используют свою систему:
СОК = Собственный капитал + Резервы предстоящих
расходов и платежей - Внеоборотные активы (42)
Для расчета влияния факторов на величины
собственного оборотного капитала используется метод сравнения в таблице 2.18.
Таблица 2.18 - Динамика собственного оборотного
капитала СУ-243 «Гомельский «ДСК» за 2009-2011 годы
|
Показатель
|
Годы
|
Отклонение
(+/-) 2011г
|
Уровень
влияния на СОК, 2011г
|
Темп
роста, %
|
|
2009
|
2010
|
2011
|
|
|
|
|
|
|
|
2009г
|
2010г
|
2009г
|
2010г
|
2009г
|
2010г
|
|
1.Собственный
капитал, в т. ч.
|
11593
|
20326
|
40830
|
29237
|
20504
|
29237
|
20504
|
в
3,5 раз
|
в
2,0 раз
|
|
1.1.Уставный фонд
|
-
|
-
|
-
|
-
|
-
|
-
|
-
|
-
|
-
|
|
1.2.Добавочный
фонд в т. ч:
|
11593
|
14229
|
34345
|
22752
|
20116
|
22752
|
20116
|
в
2,9 раз
|
в
2,4 раза
|
|
фонд
пополнения собственных ОС (переоценка)
|
1021
|
2110
|
19496
|
18475
|
17386
|
18475
|
17386
|
в
19,0раз
|
в
9,2 раза
|
|
1.3.Резервный фонд
|
-
|
183
|
249
|
249
|
66
|
249
|
66
|
-
|
136,1
|
|
1.4 Нераспределенная прибыль
|
-
|
5914
|
6236
|
6236
|
322
|
6236
|
322
|
-
|
105,4
|
|
2. Долгосрочные обязательства
|
400
|
-
|
-
|
-400
|
-
|
-400
|
-
|
-
|
-
|
|
3.
Внеоборотные активы в т.ч.
|
8128
|
14260
|
31504
|
23376
|
17244
|
23376
|
17244
|
в
3,8 раз
|
в
2,2 раза
|
|
3.1.Основные средства
|
8128
|
14260
|
31504
|
23376
|
17244
|
23376
|
17244
|
в
3,8 раз
|
в
2,2 раза
|
|
3.4 Долгосрочные финансовые
вложения
|
-
|
-
|
-
|
-
|
-
|
-
|
-
|
-
|
-
|
|
4. Фонды потребления
|
-
|
-
|
-
|
-
|
-
|
-
|
-
|
-
|
-
|
|
5.
Резервы предстоящих расходов и платежей
|
-
|
-
|
-
|
-
|
-
|
-
|
-
|
-
|
-
|
|
6.
Собственный оборотный капитал (стр. 1 + стр. 2 - стр. 3 + стр.4 + стр.5)
|
3865
|
6066
|
9326
|
5461
|
3260
|
5461
|
3260
|
в
2,4 раза
|
153,7
|
Из данных таблицы 2.18 видно, что собственный
оборотный капитал организации в 2011г по сравнению с 2009 - 2010гг увеличился
на 5461 млн. р. и 3260 или в 2,4 раз и 53,7% соответственно.
Наибольшее влияние на темп роста оказали
приросты внеобротных активов на 23376 млн. р. или на или в 3,8 раз по сравнению
с 2009г, добавочный фонд на 20116 млн. р. или на или в 2,4 раз по сравнению с
2010г.
Для изучения состава, структуры и динамики
кредиторской задолженности составляется аналитическая таблица 2.15 и рисунок.
Рисунок - Динамика кредиторской
задолженности СУ-243 «Гомельский «ДСК»
Значительный удельный вес в составе источников
формирования капитала организации в настоящее время занимает кредиторская
задолженность. Кредиторскую задолженность, также как и дебиторскую, изучают в
динамике, по отдельным ее видам и срокам образования. Расчеты таблицы 2.19
говорят о том, что в структуре кредиторской задолженности организации произошли
значительные изменения.
Наибольший удельный вес в структуре кредиторской
задолженности организации занимают: с поставщиками и подрядчиками 50,09% в
2009г - 55,5% в 2010г - 59,0% в 2011г. В общем кредиторская задолженность в
2011г. по сравнению с 2009-2010гг увеличилась на 10657 млн. р. и 6511 или 7,0
раз и 3,5 раз соответственно.
Таблица 2.19 - Динамика кредиторской
задолженности СУ-243 «Гомельский «ДСК» за 2009 -2010 годы
|
Показатель
|
Годы
|
Отклонение
(+ /-) 2011г от
|
Темп
роста, % 2011г от
|
|
2009
|
2010
|
2011
|
|
|
|
сумма,
млн. р.
|
уд.
вес %
|
сумма,
млн. р.
|
уд.
вес %
|
сумма,
млн. р.
|
уд.
вес %
|
2009г
|
2010г
|
|
|
|
|
|
|
|
|
сумма,
млн. р.
|
уд.
вес, %
|
сумма,
млн. р.
|
уд.
вес,%
|
2009г
|
2010г
|
|
Расчёты
в том числе:
|
|
|
|
|
|
|
|
|
|
|
|
|
|
с
поставщиками и подрядчиками
|
895
|
50,9
|
1922
|
55,5
|
7326
|
59,0
|
6431
|
х
|
5404
|
х
|
в
8,2 раз
|
в
3,8 раз
|
|
с
покупателями и заказчиками
|
-
|
-
|
-
|
-
|
1336
|
10,8
|
1336
|
-
|
-
|
-
|
-
|
-
|
|
по
оплате труда
|
643
|
36,6
|
940
|
27,1
|
1550
|
12,5
|
907
|
-14,7
|
164,9
|
-14,7
|
в
2,4 раза
|
164,9
|
|
с
бюджетом
|
81
|
4,61
|
248
|
7,16
|
1638
|
13,19
|
1557
|
6,0
|
660,5
|
6,0
|
в
20,2 раза
|
в
6,6 раз
|
|
по
страхованию и социальному обеспечению
|
132
|
7,5
|
324
|
9,4
|
531
|
4,3
|
399
|
-5,1
|
163,9
|
-5,1
|
в
4,0 раза
|
163,9
|
|
перед
прочими кредиторами
|
7
|
0,4
|
29
|
0,8
|
34
|
0,3
|
27
|
-0,6
|
117,2
|
-0,6
|
в
4,8 раза
|
117,2
|
|
Кредиторская
задолженность - всего
|
1758
|
100
|
3463
|
100
|
12415
|
100
|
10657
|
-14,3
|
6510
|
-
|
в
7,0 раза
|
в
3,5раз
|
|
в
т. ч. - просроченная
|
-
|
-
|
-
|
-
|
-
|
-
|
-
|
-
|
-
|
-
|
-
|
-
|
В процессе анализа структуры капитала
организации важное значение имеет сопоставление дебиторской и кредиторской
задолженности. (Таблица 2.20)
Таблица 2.20 - Соотношение дебиторской и
кредиторской задолженности на конец отчетного периода СУ-243 «Гомельский «ДСК»
в 2009 -2011гг.
|
Показатель
|
Годы
|
Изменение
(+.-) 2011г
|
Темп
роста (гр. 3 /гр.2) х 100, % 2011г от
|
|
2009
|
2010
|
2011
|
|
|
|
|
|
|
2009г
|
2010г
|
2009г
|
2010г
|
|
1.
Кредиторская задолженность (строка 620 баланса), млн. р.
|
3463
|
12415
|
10657
|
8952
|
в
7,0 раз
|
в
3,5 раз
|
|
2.
Дебиторская задолженность (строка 240 баланса), млн. р.
|
477
|
557
|
15859
|
15382
|
15302
|
в
33,2 раза
|
в
28,4 раза
|
|
3.
Превышение кредиторской задолженности над дебиторской в абсолютной сумме,
млн. р. (стр.1 - стр.2);
|
1281
|
2906
|
-3444
|
-4725
|
-6350
|
-
|
-
|
|
в
процентах (стр.1 / стр.2) х 100, %
|
368,6
|
621,7
|
78,3
|
-290,3
|
-543,4
|
21,2
|
12,6
|
|
4.
Денежные средства: остаток, млн. р.
|
467
|
2254
|
221
|
-246
|
-2033
|
47,3
|
9,8
|
|
5.
Покрытие в абсолютной сумме остатков кредиторской задолженности денежными
средствами (стр.4 - стр.1), млн. р.
|
-1291
|
-1209
|
-12194
|
-10903
|
-10985
|
в
9,4 раз
|
в
10,0 раз
|
|
6.
Коэффициент покрытия кредиторской задолженности денежными средствами ((стр.4
/ стр.1) х 100), %
|
26,6
|
65,1
|
1,8
|
-24,8
|
-63,3
|
6,7
|
2,7
|
По результатам анализа степени покрытия
кредиторской задолженности денежными средствами и соотношения кредиторской и
дебиторской задолженности по можно сделать следующие выводы:
в 2011г по сравнению с 2009г на протяжении
рассматриваемого периода произошло уменьшение как кредиторской задолженности на
10657 млн. р., и увеличение дебиторской задолженности на 15382 млн. р.
в 2011г по сравнению с 2010г на протяжении
рассматриваемого периода произошло уменьшение как кредиторской задолженности на
8952 млн. р., и увеличение дебиторской задолженности на 15302 млн. р.
Таким образом, кредиторская задолженность
превышала дебиторскую задолженность за предыдущий период сумма превышения
составила 1281 млн. р. в 2009г., 2906 млн. р. в 2010г. В 2011г наоборот
дебиторская задолженность превышала задолженность на 3444 млн. р. Организация
не в состоянии имеющимися денежными средствами покрыть в абсолютной сумме
остатки кредиторской задолженности на 1291млн р. в 2009г, 1209 млн. р. в 2010г,
12194 млн. р. в 2011г. Коэффициент покрытия кредиторской задолженности
денежными средствами в 2011 г по сравнению с 2009г на 24,8 пункта, и по
сравнению с 2010г на 63,3 пункта, что свидетельствует о снижении степени
финансовой независимости организации.
Показатели эффективности использования капитала
СУ-243 «Гомельского «ДСК» рассмотрим в таблице 2.21.
Таблица 2.21
Показатели эффективности использования капитала
СУ-243 «Гомельский «ДСК» в 2009 - 2010 гг.
|
Показатель
|
Годы
|
|
2009
|
2010
|
2011
|
|
Выручка
(нетто) от реализации продукции (ВРП), млн. р.
|
55648
|
93013
|
95399
|
|
Общая
сумма брутто-прибыли до выплаты процентов и налогов (EBIT)
|
6264
|
871
|
2 276
|
|
Прибыль
от реализации продукции (ПРП), млн. р.
|
6261
|
84070
|
90817
|
|
Чистая
прибыль (ЧП)
|
5150
|
6097
|
2217
|
|
Средняя
сумма совокупного капитала (KL), млн. р.
|
14494
|
29330
|
59890
|
|
Средняя
сумма операционного капитала (ОК), млн. р.
|
13074
|
27160
|
59052
|
|
Средняя
сумма собственного капитала (СК), млн. р.
|
11593
|
20326
|
40830
|
|
Рентабельность
оборота (CК), %
|
11,25
|
90,39
|
95,20
|
|
Коэффициент
оборачиваемости операционного капитала (К^)
|
4,26
|
3,42
|
1,62
|
|
Рентабельность
операционного капитала (ROK), %
|
47,89
|
309,54
|
153,8
|
|
Рентабельность
совокупного капитала (ВЕР), %
|
43,22
|
2,97
|
3,80
|
|
Рентабельность
собственного капитала (ROE), %
|
44,4
|
30,0
|
5,4
|
Данные таблица 2.21 показывают, что доходность
капитала за отчетный период выше прошлогоднего уровня по всем показателям, что
свидетельствует о увеличении эффективности функционирования СУ-243 «Гомельский
«ДСК».
2.4 Оценка
эффективности использования функционирующего капитала организации
Для оценки продолжительности финансового цикла
рассчитывались показатели:
продолжительность производственного цикла -
период времени, в течение которого оборотные средства вложены в
производственные запасы, незавершенное производство и готов) и продукцию,
находящуюся на складе;
- продолжительность операционного цикла -
включает в себя продолжительность производственного цикла и продолжительность
расчетов за продукцию, реализованную в кредит.
Уровень управления собственными средствами,
используемыми в основой деятельности, повысился, продолжительность периода, в
течение которого собственные средства организации изъяты из оборота,
уменьшилась на 1,64 дня. Используя данные балансовой отчетности, определим
влияние основных финансовых результатов на прирост собственного капитала.
Анализ влияния изменения выручки на прирост
собственного капитала СУ-243 «Гомельский «ДСК» за 2010 - 2011гг.
Для оценки влияния выручки на прирост
собственного капитала воспользуемся соотношением:
СОБК = В: Ко (43)
где: В - выручка от продаж;
Ко - коэффициент оборачиваемости собственного
капитала.
Методику анализа влияния выручки и уровня
использования собственного капитала в производственной деятельности рассмотрим
на основе данных таблиц 2.12 и 2.13 (используем результаты расчета по
упрощенному варианту).
) Исходные данные для анализа:
Собственный капитал равен:
|
2011г к 2009г
|
2011г к 2010г
|
|
СОБК0
= 11593 млн. р.; СОБ1 = 40830 млн. р.; ∆СОБК =
29237 млн. р.
|
СОБК0
= 20326 млн. р.; СОБ1 = 40380 млн. р.; ∆СОБК =
20504 млн. р.
|
Выручка от продаж:
|
2011г к 2009г2011г к 2010г
|
|
|
В0
= 55648 млн. р.; В1 = 95399 млн. р.; ∆В = 39751
млн. р.
|
В0
= 93013 млн. р.; В1 = 95399 млн. р.; ∆В = 2386
млн. р.
|
Коэффициент оборачиваемости:
|
2011г к 2009г2011г к 2010г
|
|
|
Ко
(СОБК)0 = 4,80; Ко (СОБК)0 = 2,34; ∆Ко (СОБК)
= -2, 46.
|
Ко
(СОБК)0 = 4,58; Ко (СОБК)0 = 2,34; ∆Ко (СОБК)
= -2,24.
|
2).Определим влияние изменения выручки от продаж
на прирост собственного капитала, используя формулу:
2011г к 2009 г - ∆СОБК (В) = (В, - В (|) :
Ко (СОБК)0 = 39751: 4,80 = 8281 млн. р.
г к 2010 г - ∆СОБК (В) = (В, - В (|) : Ко
(СОБК)0 = 2386: 4,58 = 521 млн. р.
За счет увеличения выручки от продаж на 39751
млн. р. и 2386 млн. р. или на 71,4% и 2,6% , размер собственного капитала
увеличился на 8281 млн. р. и 521 млн. р. соответственно.
) Определим влияние изменения коэффициента
оборачиваемости собственного капитала на прирост собственного капитала,
используя формулу:
г к 2009г - ∆СОБК (Ко) = В, : Ко (СОБК)1 -
В, : Ко (СОБК)0 = 95399: 2,34 - 95399: 4,80 = 40423 - 19250 = 20956 млн. р.
г к 2010г - ∆СОБК (Ко) = В, : Ко (СОБК)1 -
В, : Ко (СОБК)0 = 95399: 2,34 - 95399: 4,58 = 40423 - 20829 = 19983 млн. р.
Увеличение оборачиваемости собственного капитала
на 2,46 пункта и 2,34 пункта привело к снижению потребности в собственном
капитале на 20956 млн. р. и 19983 млн. р.
Совместное влияние факторов соответствует
приросту собственного капитала, расчеты верны:
г к 2009г - (8281+20956) = 29237 млн. р.
г к 2009г - (521+19983) = 2386 млн. р.
Результаты факторного анализа позволяют сделать
следующие выводы:
если организация увеличивает объем продаж, то
это приводит к увеличению потребности в собственном капитале.
если организация повышает уровень интенсивности
использования собственного капитала, то это приводит к уменьшению потребности в
собственном капитале для производственной деятельности.
Анализ влияния изменения прибыли на прирост
собственного капитала СУ-243 «Гомельский «ДСК».
Для оценки влияния прибыли на прирост
собственного капитала воспользуемся соотношением:
СОБК = ПРБ: Ро(СОБК) (44)
где: ПРБ -
балансовая прибыль;
Ро (СОБК) - общая рентабельность собственного
капитала.
Методику анализа влияния изменения прибыли и
общего уровня использования собственного капитала в производственно-финансовой
деятельности рассмотрим на основе данных организации (используем результаты
расчета по упрощенному варианту).
1). Исходные данные для анализа:
Собственный капитал равен:
|
2011г к 2009г
|
2011г к 2010г
|
|
СОБК0
= 11593 млн. р.; СОБ1 = 40830 млн. р.; ∆СОБК =
29237 млн. р.
|
СОБК0
= 20326 млн. р.; СОБ1 = 40380 млн. р.; ∆СОБК =
20504 млн. р.
|
Прибыль за отчетный период:
|
2011г к 2009г2011г к 2010г
|
|
|
ПРБ0
= 6264млн р.; ПРБ, = 3021 млн. р.; ∆ПРБ =
-3243 млн. р.
|
ПРБ0
= 8470 млн. р.; ПРБ, = 3021 млн. р.; ∆ПРБ = -
5449млн р.
|
Рентабельность собственного капитала:
|
2011г к 2009г2011г к 2010г
|
|
|
Ро
(СОБК)0 = 0,54; Ро (СОБК)0 = 0,07; ∆Ро (СОБК) = -0,47.
|
Ро
(СОБК)0 = 0,42; Ро (СОБК)0 = 0,07; ∆Ро (СОБК) = -0,34.
|
) Определим влияние изменения прибыли за
отчетный период на прирост собственного капитала:
2011г к 2009г - ∆СОБК (ПРБ) = (ПРБ, -
ПРБ0): Ро (СОБК)0 = -3242: 0,54 = -6002.
г к 2009г - ∆СОБК (ПРБ) = (ПРБ, - ПРБ0):
Ро (СОБК)0 = -5449: 0,42 = -13076.
За счет снижения прибыли за отчетный период на
3242 млн. р. и 5449 млн. р. или на 51,77% и 64,33% размер собственного капитала
снизился на -6002 млн. р. и -13076 соответственно.
) Определим влияние изменения рентабельности
собственного капитала на прирост собственного капитала:
г к 2009г - ∆СОБЩРо (СОБК)) = ПРБ,: Ро
(СОБК), - ПРБ, : Ро (СОБК)0 = 3021: 0,07 - 3021: 0,54 = 40830 - 5591 = 35239.
г к 2010г - ∆СОБЩРо (СОБК) = ПРБ,: Ро
(СОБК), - ПРБ, : Ро (СОБК)0 = 3021: 0,07 - 3021: 0,42 = 40830 - 7250 = 33580.
Снижение рентабельности собственного капитала на
-0,370% и -0,226% привело к увеличению потребности в собственном капитале на
35239 млн. р. и 33580 млн. р.
Результаты факторного анализа позволяют сделать
следующие выводы:
Если в результате производственно-финансовой деятельности
организации увеличивается балансовая прибыль, то это приводит к увеличению
размера собственного капитала.
Если в результате производственно-финансовой
деятельности увеличивается рентабельность собственного капитала, то это
приводит к уменьшению потребности в собственном капитале.
Анализ влияния рентабельности продаж и
оборачиваемости собственного капитала на финансовую рентабельность собственного
капитала
Между финансовой рентабельностью,
оборачиваемостью собственного капитала, рентабельностью продаж существует
тесная связь:
Рф (СОБК) = ПРЧ: СОБК = (ПРЧ: ПРП) х (ПРП: В) х
(В: СОБК) = Дч х Рпр х Ко (СОБК) (45)
Первый сомножитель характеризует соотношение
между чистой прибылью и прибылью от продаж. Рост этого показателя в динамике
свидетельствует о повышении уровня деятельности организации в целом. Второй
сомножитель - рентабельность продаж, отражает уровень эффективности основной
деятельности, третий сомножитель характеризует эффективность использования
собственного капитала в основной деятельности.
Методику оценки влияния этих факторов проведем,
используя данные таблица 2.21 (размер собственного капитала берем по
упрощенному варианту).
Таблица 2.22 - Динамика факторов, влияющих на
темп экономического роста СУ-243 «Гомельский «ДСК» за 2009 - 2011годы
|
Показатель
|
Годы
|
Отклонение
(+
/ -)
|
Темп
прироста, %
|
|
2009
|
2010
|
2011
|
|
|
|
1.
Выручка от продаж, млн. р.
|
55648
|
93013
|
95399
|
2009г
|
2010г
|
2009г
|
2010г
|
|
2.
Прибыль от продаж, млн. р.
|
6261
|
84070
|
90817
|
84556
|
6747
|
1450,5
|
108,0
|
|
3. Собственный капитал, млн р.
|
11 593
|
20 326
|
40 830
|
29237
|
20504
|
352,2
|
200,9
|
|
4. Чистая прибыль, млн р.
|
5150
|
6097
|
2217
|
-2933
|
-3880
|
43,0
|
36,4
|
|
5.
Доля чистой прибыли в прибыли от продаж (стр. 4: стр. 2)
|
0,82
|
0,07
|
0,02
|
-0,80
|
-0,05
|
3,0
|
33,7
|
|
6. Рентабельность продаж
|
0,11
|
0,90
|
0,95
|
0,84
|
0,05
|
846,1
|
105,3
|
|
7.
Рентабельность собственного капитала по чистой прибыли
|
0,21
|
0,22
|
0,43
|
0,22
|
0,21
|
205,4
|
195,9
|
|
8. Коэффициент оборачиваемости
собственного капитала
|
4,80
|
4,58
|
2,34
|
-2,46
|
-2,24
|
48,7
|
51,1
|
Анализ проводим по схеме:
). определяем изменение рентабельности
собственного капитала по чистой прибыли:
г к 2009г - ДР. (СОБК) = 0,22;
г к 2010г - ДР. (СОБК) = 0,21;
2) определяем влияние изменения доли чистой
прибыли в прибыли от продаж на прирост рентабельности собственного капитала,
используя формулу:
г к 2009г - ∆(Рф/ Дч) = (Дч, - Дч0) х Рпр0
х Ко (СОБК) = (-0,80) х 0,11 х 4,80 = -0,43.
г к 2010г - ∆(Рф/ Дч) = (Дч, - Дч0) х Рпр0
х Ко (СОБК) = (-0,05) х 4,58 х 4,58 = -0,20.
За счет уменьшения доли чистой прибыли в прибыли
от продаж на каждый рубль собственного капитала было получено меньше чистой
прибыли на 0,43 коп. и 0,20 коп.;
3) определяем влияние изменения рентабельности
продаж на прирост рентабельности собственного капитала, используя формулу:
2011г к 2009г - ∆(Рф/ Рпр) = Дч, х (Рпр, -
Рпр0) х Ко (СОБК). = 0,02 х 0,84 х 4,80 = 0,10.
г к 2010г - ∆(Рф/ Рпр) = Дч, х (Рпр, -
Рпр0) х Ко (СОБК). = 0,02 х 0,05 х 4,58 = 0,01.
За счет увеличения рентабельности продаж на
0,84% на каждый рубль собственного капитала было получено больше чистой прибыли
на 0,10 р. по сравнению с 2009г. В 2011г по сравнению с 2010г и рентабельность
продаж увеличилась 0,05 %, потому на каждый рубль собственного капитала было
получено больше чистой прибыли на 0,01 р.
)определяем влияние изменения уровня
использования собственного капитала на прирост рентабельности собственного
капитала, используя формулу:
г к 2009г - ∆(Рф/ Ко (СОБК)) = Дч, х Рпр,
х (Ко (СОБК) - Ко (СОБК) п) = 0,02 х 0,95 х -2,46 = -0,06.
г к 2010г - ∆(Рф/ Ко (СОБК)) = Дч, х Рпр,
х (Ко (СОБК) - Ко (СОБК) п) = 0,02 х 0,95 х 2,24 = -0,05.
В 2011г по сравнению с 2009-2010гг за счет
снижения интенсивности оборота собственного капитала на 2,46 пункта и 2,24
пункта на каждый рубль собственного капитала было получено меньше чистой
прибыли на 0,06 коп. 0,05 коп. соответственно.
Результаты факторного анализа позволяют сделать
следующие выводы:
Если в результате производственно-финансовой
деятельности организации увеличивается чистая прибыль, то это приводит к
увеличению размера собственного капитала; если доля чистой прибыли снижается,
то это приводит к снижению рентабельности собственного капитала; увеличение
уровня управления основным производством приводит к увеличению рентабельности
собственного капитала; увеличение уровня использования собственного капитала в
производственно-финансовой деятельности приводит к увеличению рентабельности
собственного капитала.
3. Основные направления
и пути повышения эффективности использования функционирующего капитала
.1 Повышение
устойчивости СУ-243 «Гомельский «ДСК» путем улучшения качества
строительно-монтажных работ
Действующие руководители
коммерческих организаций в подавляющем большинстве благодаря курсам, семинарам,
тренингам, круглым столам и прочим формам повышения квалификации и
переподготовки управленческих кадров, проводимых многочисленными обучающими и
консалтинговыми компаниями, имеют хорошую теоретическую подготовку, владеют
терминологией современного менеджмента. Их кабинеты украшают сертификаты и
свидетельства различных бизнес-школ и бизнес-центров, они с легкостью оперируют
мало что говорящими непосвященным терминами, такими как «бережливое
производство», «система “канбан”», «just in time», «Total Quality Management» и др.
Нашему потребителю совершенно
безразлично, какие системы управления производством или качеством продукции
применяются на предприятии, сколько у нас сертификатов и кто их выдал. Он готов
платить за нашу продукцию столько, сколько, по его представлению, она стоит, а
еще точнее, сколько стоит удовлетворение собственных потребностей в результате
ее использования по назначению.
Редко кто-либо из руководителей
может дать ответ на вопрос о результатах своей деятельности, опираясь на
конкретные цифры, количественные и качественные показатели, характеризующие
достижение «измеряемых и согласованных с политикой в области качества целей,
необходимых для выполнения требований к продукции».
Руководитель любого звена, так
или иначе, периодически анализирует результаты своей деятельности. Ежедневно он
получает массу информации, начиная с данных о прибытии сотрудников на работу и
заканчивая, например, сведениями о выполнении плана производства (продаж,
оказания услуг) и поступивших и выполненных платежах. Из всего объема гигабайт
информации он извлекает ту, которая характеризует результат дня (недели,
месяца). Вспомните: при всем многообразии параметров и характеристик автомобиля
на приборную панель конструкторами выведены 5-7 из них, необходимых и
достаточных, по значениям которых водитель делает заключение о текущем
техническом состоянии автомобиля, правильности курса и возможности продолжать
движение. Такие характеристики применительно к производству являются критериями
и показателями функционирования процессов.
Так какие же показатели своей
деятельности «мониторят» и анализирует наши руководители? Правильно: финансовые.
Как правило, анализ со стороны высшего руководства сводится к анализу
хозяйственной деятельности за соответствующий период календарного года,
представленный соответствующим финансовым подразделением.
Необходимость и важность АХД
как инструмента получения данных о финансовом здоровье коммерческой организации
очевидна и не вызывает никаких сомнений. Однако АХД не дает полных ответов на
вопросы: «Почему финансовый результат такой, как он есть, мог ли он быть
лучше?», «Достигнуты ли цели бизнеса в календарном периоде и насколько их
достижение обеспечивает выполнение миссии компании в долгосрочном периоде?»
Да, финансовый результат -
важнейший показатель, характеризующий бизнес в конкретном периоде. Но
почему-то, разрабатывая Политику организации в области качества, мы не
формулируем миссию компании как получение максимальной прибыли, проще говоря,
как «зарабатывание» денег. Ведь «миссия - это основная, общая цель организации,
четко выраженная причина ее существования». И почему же декларируем важность
для нас качества продукции, лидерства в тех или иных областях, удовлетворения
потребителя? Потому что понимаем, что деньги - это только инструмент достижения
того уровня качества жизни, которого мы хотим достигнуть, а важнее денег -
источник денег. В этом смысле целью бизнеса является удовлетворение всех его
участников:
·
инвесторов и акционеров, заинтересованных в возврате
инвестиций и получении прибыли, сохранении бизнеса в долгосрочном периоде и его
развитии;
·
сотрудников, получающих материальное вознаграждение,
моральное удовлетворение и возможность гордиться своим трудом и принадлежностью
к компании;
·
контрагентов (поставщиков и смежников), имеющих свою прибыль
от сделки и рассчитывающих на стабильность своего бизнеса в силу
долговременности сотрудничества и надежности экономических связей;
·
государства, обеспечивающего за счет налоговых поступлений от
нашего бизнеса финансирование бюджетных отраслей;
·
общества, повышающего уровень качества жизни за счет развития
здравоохранения и системы социальной защиты, образования и науки, культуры и
искусства, охраны общественного порядка и инфраструктуры мест проживания;
·
и, конечно же (этот пункт является одним из самых важных),
потребителей как единственных контрагентов нашего бизнеса, в отличие от
остальных его участников, приносящих нам деньги. Потребитель должен получить от
нас продукт в нужном количестве, нужного качества, в нужное время, по
приемлемой для него цене и с необходимым сопровождением (комплектность, сервис,
информация по использованию и т.п.).
Только когда все контрагенты
нашего бизнеса будут удовлетворены своим участием в нем, можно говорить о его
легитимности, дальнейшем присутствии на рынке и перспективах развития. Конечно,
мы по умолчанию не рассматриваем ситуацию, когда собственник бизнеса ставит
цель в краткосрочном периоде получить максимальную прибыль и исчезнуть с рынка,
подобно известным «финансовым пирамидам». В этом случае говорить об
удовлетворенности всех участников такого бизнеса не приходится и миссия
организации понятна, но не декларируется.
Вот здесь и возникает
необходимость не только в АХД, но и в анализе всего бизнеса.
Принципиально неверно судить о
состоянии бизнеса только по финансовому результату. Конкурентоспособность
компании на рынке не определяется суммой ее активов. Удовлетворение участников
бизнеса и прежде всего ожиданий потребителя и его восхищение тем, что он
получает даже больше ожидаемого, лежит в основе стабильности и развития.
Предложите новый продукт, новые технологии, информацию об их применении и
высокую скорость обслуживания, наконец, качество, вызывающее не только
удовлетворение, но и восхищение потребителя, и финансовый результат будет вас
радовать. Деньги вторичны, это производная от коммерческой деятельности,
которая является следствием ее легитимности и развития в долгосрочном периоде.
Стандарт EN ISO 9001:2008
требует: «Высшее руководство должно через запланированные промежутки времени
проводить анализ системы менеджмента качества организации для обеспечения ее
продолжающейся пригодности, адекватности и результативности. Этот анализ должен
включать оценку возможностей для улучшений и потребности (надобности,
необходимости) в изменениях в системе менеджмента качества, в том числе в
политике и целях в области качества».
Некоторые процедурные вопросы
реализации этого требования на практике вызывают затруднения у специалистов
служб качества, непосредственно готовящих материалы для анализа системы
менеджмента качества (далее - СМК) со стороны высшего руководства.
С этой точки зрения рассмотрим
опыт частной проектно-строительной компании, имеющей СМК инженерной подготовки
и производства строительно-монтажных работ (далее - СМР), соответствующих
требованиям международного стандарта EN ISO 9001:2008 и корпоративного
стандарта СТО Газпром 9001-2006. Модель СМК компании представлена на рисунке.
Рисунок - Модель СМК компании
Любой деятельности коммерческой
организации предшествует целеполагание. Цели бизнеса на период (календарный
год) устанавливают учредители Компании. При постановке целей учитываются:
·
миссия и стратегические цели организации;
·
политика организации в области качества;
·
результаты АХД компании в прошлом периоде (календарном году);
·
состояние внутренней среды организации;
·
влияние факторов внешней среды.
Политика компании в области
качества определяется генеральным директором и содержит видение развития
бизнеса (миссию, цель и деловое кредо), основные направления их достижения и
обязательства руководства по ее реализации.
Ежегодно генеральный директор
анализирует, оценивает степень реализации и при необходимости корректирует
политику в области качества с учетом предложений персонала, результатов анализа
СМК со стороны высшего руководства компании, а также целей организации в
области качества на предстоящий период. Проект политики в области качества на
предстоящий календарный год рассматривается на совещании высшего руководства
компании. Результат обсуждения (одобрение или корректировка) оформляется в
протоколе совещания.
Политика в области качества
доводится до персонала:
·
при устройстве на работу;
·
размещением на внутреннем портале организации;
·
средствами наглядной информации;
·
в ходе совещаний и личных бесед.
Руководство подразделений
обеспечивает реализацию Политики в области качества по направлениям своей
функциональной ответственности.
При определении Политики в
области качества на календарный год высшее руководство Компании определяет для
соответствующих функций (направлений деятельности) и уровней (подразделений)
согласуемые с
Политикой измеримые цели в
области качества. Установленные на календарный год цели организации в области
качества документально оформляются в Комплексном плане развития и
совершенствования системы менеджмента качества организации на календарный год
(далее - КП СМК). Результаты выполнения КП СМК рассматриваются на совещании
высшего руководства и документируются в соответствующем протоколе.
Цели в области качества связаны
с показателями финансово-хозяйственной деятельности и конкретизированы в Бюджете
доходов и расходов (далее - БДР) и Бюджете движения денежных средств (далее -
БДДС), являющихся разделами Бизнес-плана развития Компании на календарный год.
Результаты выполнения бюджетов рассматриваются на совещании высшего руководства
не реже двух раз в год при АХД и документируются в соответствующих протоколах.
Цели в области качества могут
ставиться на период реализации инвестиционных проектов по направлениям
деятельности Компании. При планировании инвестиционного проекта формируется
Устав инвестиционного проекта (бизнес-план проекта).
Доведение до подразделений
целей бизнеса на календарный год осуществляет финансовый директор в виде
целевых (плановых) показателей хозяйственной деятельности на период.
Действие по анализу СМК
начинается со сбора и обработки записей о качестве продукции, процессов СМК и
удовлетворенности потребителей (записей о качестве) и заканчивается оценкой
результативности корректирующих и предупреждающих действий (далее - КПД),
выполненных по результатам проведенного анализа. Анализ функционирования СМК
проводится с целью обеспечить постоянную пригодность, адекватность и
результативность СМК. При этом решаются следующие задачи:
1) дается оценка
реализации Политики в области качества и достижения целей компании на
календарный год;
2) делается вывод о
соответствии СМК установленным требованиям;
3) дается оценка
пригодности, адекватности и результативности СМК;
4) определяются действия
по совершенствованию СМК и ее процессов, улучшению продукции (оказанию услуг) и
повышению удовлетворенности потребителей.
Входными данными для анализа
являются:
результаты аудитов СМК;
·
информация от заказчиков;
·
информация о выполнении КПД по выявленным и потенциальным
несоответствиям продукции (оказанных услуг), процессов и СМК;
·
данные о выполнении решений руководства, вытекающих из
предыдущего анализа СМК;
·
значения критериев и показателей, влияющих на
результативность и эффективность СМК;
·
предложения и рекомендации сотрудников по повышению
результативности и эффективности СМК;
·
результаты анализа фактических и потенциальных отказов (т.е.
нарушений нормального функционирования объекта, потенциально приводящих к
нарушению производственного процесса или к аварийной ситуации) поставленной
продукции и их влияния на качество, безопасность и окружающую среду.
Выходными данными анализа
являются КПД, направленные:
·
на развитие и совершенствование СМК, повышение
результативности функционирования ее процессов;
·
повышение качества продукции и удовлетворенности инвесторов
(заказчиков);
·
обеспечение функционирования процессов СМК и запланированных
мероприятий в области качества необходимыми ресурсами.
Частью анализа со стороны
высшего руководства является мониторинг целей в области качества, регулярная
отчетность, оценка и анализ затрат на обеспечение качества, включая стоимость
несоответствий, а также затраты на реализацию корректирующих действий.
Подразделения Компании
накапливают и обобщают информацию об удовлетворенности потребителей, качестве
продукции и процессов СМК в виде записей о качестве. Показатели реализации
Политики в области качества на календарный год приведены в таблице 3.1.
Основа любой системы измерений и самый важный ее
элемент - набор показателей, которые используются для измерений деятельности
организации и функционирования ее внутренних процессов.
Ежеквартально руководитель процесса анализирует
записи о качестве, определяя динамику показателей функционирования СМК, а при
необходимости предпринимает КПД.
Таблица 3.1 - Показатели реализации Политики в области
качества
|
Направление
Политики в области качества
|
Показатель
|
Значение
|
|
Планирование
показателей качества во всех сферах деятельности и периодический анализ их
выполнения
|
Наличие
сертификата соответствия СМК требованиям EN ISO 9001:2008
|
Да
|
Да
|
|
Комплексный
показатель функционирования СМК
|
0,70
|
|
Мониторинг
рынков, организация связи с потребителями и поставщиками, индивидуальный
подход к каждому заказчику и партнеру, удовлетворение требований
заинтересованных сторон
|
Рост
объема действующих договоров, %
|
5
|
|
Рост
объема реализации продукции, %
|
5
|
|
Индекс
удовлетворенности потребителей
|
7,5
|
|
Совершенствование
структуры управления, улучшение организации труда
|
Рост
производительности труда, %
|
5
|
|
Рост
объема реализации продукции на одного работника, %
|
5
|
|
Применение
инновационных решений, использование современного программного обеспечения и
технологий выполнения работ
|
Техническая
вооруженность труда, тыс. долл. США
|
4,6
|
|
Оснащение
компьютерной техникой рабочих мест, %
|
100
|
|
Показатель
по энергосбережению, %
|
10
|
|
Обеспечение
квалифицированным персоналом на всех уровнях, постоянное повышение
профессионального уровня сотрудников, мотивация и стимулирование их к
качественному труду
|
Коэффициент
текучести кадров
|
0,25
|
|
Доля
увольнений по инициативе работников, %
|
10
|
Дважды в год - до 25 июля по результатам
полугодия и до 25 февраля по результатам календарного года - руководители
процессов представляют представителю руководства по качеству отчеты о
функционировании процессов СМК (Приложение О)
Анализ СМК и оценка реализации Политики в
области качества планируются в КП СМК и проводятся высшим руководством на
совещании:
·
в III квартале текущего года по результатам деятельности за 6
месяцев текущего года;
·
в I квартале года - за прошедший календарный год.
Как правило, анализ СМК
проводится одновременно с АХД Компании за соответствующий календарный период.
Участники совещания проводят
анализ СМК на пригодность, адекватность и результативность. При необходимости
разрабатываются предложения по КПД. Генеральный директор дает оценку реализации
Политики в области качества и делает вывод о достижении целей в области
качества. Решения, принятые по результатам анализа СМК, включая КПД по
поддержанию и повышению пригодности, адекватности и результативности СМК,
отражаются в протоколах совещаний, а основные результаты анализа СМК
организации по итогам года, Политика в области качества на предстоящий год
включаются в приказ «О реализации Политики организации в области качества».
Если в компании работает
Представитель потребителя, то по его требованию ему может предоставляться
доступ к результатам анализа.
На наш взгляд оценка
деятельности СУ-243 «Гомельский ДСК» является отправной точкой для его развития,
поиска путей совершенствования бизнес-процессов, выявления сильных и слабых
сторон организации. Анализ СМК является важнейшей составляющей при оценке
менеджмента организации, поскольку «управление качеством является составной
частью единого комплекса государственного управления экономикой». Результаты
анализа дают бесценную информацию для принятия управленческих решений,
способствуя реализации одного из основных принципов современного менеджмента -
принятию решений, основанному на фактах.
3.2 Резервы и пути
повышения функционирующего капитала за счет эффективности использования
основных средств
В условиях развития рыночных отношений процесс
формирования основных средств осуществляется под воздействием противоречивых
факторов. С одной стороны, экономически не целесообразно увеличивать суммы
средств, направляемых на увеличение основных средств, так как это снижает
эффективность их использования, особенно в период осуществления капитальных
вложений и начальный период эксплуатации. С другой стороны, развитие
конкуренции требует постоянного совершенствования процесса производства, что во
многом связано с дополнительными капитальными вложениями.
При анализе влияния основных средств на
результаты деятельности организации в первую очередь необходимо проанализировать
их долю в активах (для этого при кратком анализе используют такой важный
показатель, как коэффициент иммобилизации имущества, показывающий долю основных
средств во всем имуществе организации, то есть, какую часть средств оно вложило
в иммобилизованные активы), проследив при этом, за счет каких источников
происходило их формирование в пассиве.
Прогрессивной тенденцией
является опережающий рост производственных средств по сравнению с
непроизводственными и более сильная динамика активной части основных средств.
Необходимо отметить, что все рассчитанные выше
показатели показывали влияние эффективности основных средств на деятельность
организации лишь косвенным образом; однако существуют показатели, которые прямо
(в количественной оценке) раскрывают данную экономическую зависимость.
Так, например, прирост фондоотдачи показывает
условную величину роста выручки. Данная зависимость раскрывается факторной
моделью, рассчитывается по формуле:
(46)
(47)
(48)
 (49)
где: КФО - прирост фондоотдачи;
РКФО - прирост реализации вследствие прироста
фондоотдачи;
РКСР - прирост реализации товаров вследствие
прироста средней стоимости основных средств;
РК - общий прирост реализации товаров;
Р1, Р2 - объемы реализации в базисном и отчетном
периодах;
ФСР1, ФСР2 - средняя стоимость основных средств
в базисном и отчетном периодах.
Необходимо отметить, что существуют различные
варианты данной методики факторного анализа эффективности основных средств.
Так, некоторые авторы индексируют стоимость основных средств, вводят в формулу
дополнительный компонент (удельный вес стоимости основных производственных
средств в общей их сумме).
Также возможен обратный расчет: анализ влияния
выручки от реализации и средней стоимости основных средств на фондоотдачу.
Используемая в анализе модель зависит от
направления исследования, и не совсем правильным будет использование обеих
(обратных) моделей в одном исследовании.
Кроме того, наибольший интерес для анализа
хозяйственной деятельности организации представляет анализ влияния
эффективности средств труда на результаты деятельности, а не наоборот,
поскольку конечными и важнейшими показателями деятельности являются именно
выработка продукции и финансовые результаты (прибыль).
Таким образом, с помощью вышеприведенной формулы
можно выделить влияние фондоотдачи на выручку от реализации.
Рассчитаем необходимые показатели этой модели
для строительного участка №5 СУ-243 «Гомельский ДСК».
Таблица 3.2 - Расчет влияния фондоотдачи и
средней стоимости основных средств на выработку реализованных товаров (работ,
услуг) для строительного участка № 5 СУ-243 «Гомельский ДСК»
|
Показатели
|
Годы
|
2012г (прогноз)
|
|
2010
|
2001г
|
|
|
1.
Среднегодовая стоимость основных производственных средств, млн. р.
|
65694
|
13559
|
15593
|
|
2.
Выручка от реализации товаров (работ, услуг) млн. р.
|
97182
|
10362
|
11398
|
|
3. Фондоотдача на основные
средства, %
|
1,48
|
0,76
|
0,73
|
|
4.
Прирост (уменьшение) товаров (работ, услуг) в сопоставимых ценах, млн р.,
всего
|
х
|
2326
|
398
|
|
в
том числе за счет факторов:
|
|
|
|
|
а)
за счет роста (снижения) фондоотдачи
|
х
|
970
|
-796,4
|
|
б)
за счет изменения среднегодовой стоимости основных производственных средств
|
х
|
2229
|
1194,6
|
На основании данных таблица 3.2 можно сделать
следующие выводы о влиянии эффективности основных средств на объем реализации
товаров (работ, услуг). В 2012 г. по сравнению с 2012г. произошло реализации
продукции в сопоставимых ценах на 23266 млн. р.
Однако как показывают расчеты влияния фактора
основных средств на эту сумму, в первом периоде увеличение прироста реализации
товаров (работ, услуг) произошло как за счёт увеличения фондоотдачи, так и за
счёт увеличения среднегодовой стоимости основных производственных средств.
В прогнозном периоде планируется увеличение
прироста реализации (работ, услуг) обусловлено отрицательным влиянием
фондоотдачи на 796 млн. р. а за счет прироста реализации товаров (работ, услуг)
за счет изменения среднегодовой стоимости основных производственных средств
увеличился на 1194 млн. р.
Однако необходимо отметить, что выручка является
количественным показателем, в то время как финансовые результаты деятельности
(прибыль) выступают в роли качественного показателя, характеризующего итоги
деятельности хозяйствующего субъекта. При положительных изменениях в объемных
показателях могло произойти увеличение затрат организации в расчете на единицу
продукции, вследствие чего прибыль могла уменьшиться. Следовательно, возникает
необходимость в анализе влияния эффективности основных средств на прибыль
организации. В данном расчете возможно применение той же модели, что и при
анализе влияния эффективности основных средств на выручку, только вместо выручки
подставляем прибыль от реализации, и тогда вместо фондоотдачи выступает
фондорентабельность. В остальном формула остается неизменной. Соответствующий
расчет представлен в форме таблицы 3.3
Таблица 3.3 - Расчет влияния фондорентабельности
и средней стоимости основных средств на прибыль от реализации продукции
строительного участка СУ-243 «Гомельский ДСК»
|
Показатели
|
2010г
|
2011г
|
2012 г (прогноз)
|
|
1.
Среднегодовая стоимость основных производственных фондов, млн. р.
|
65694
|
135598
|
155938
|
|
2.
Прибыль от реализации товаров (работ, услуг), млн. р.
|
8943
|
4582
|
7287
|
|
3.
Фондорентабельность на основные производственные фонды, %
|
0,096
|
-0,062
|
0,083
|
|
4.
Прирост (уменьшение) прибыли от реализации продукции в сопоставимых ценах,
млн. р., всего
|
х
|
26051
|
3,6
|
|
в
т. ч. за счет факторов:
|
|
|
|
|
а)
за счет роста (падения) фондорентабельности
|
х
|
9101
|
1,44
|
|
б)
за счет изменения среднегодовой стоимости основных фондов
|
х
|
16950
|
2,16
|
Расчеты таблицы таблица 3.5 показывают в
прогнозном периоде (2012г.) планируется рост прибыли на 3,60 млн. р., как за
счет роста фондорентабельности 1,44 млн. р., так за счет изменения
среднегодовой стоимости основных средств 2,16 млн. р.
Вместе с тем, рациональное использование
основных средств влияет не только на уровень фондоотдачи, но и на такие показатели,
как производительность труда, себестоимость продукции, качество изделий,
расходов на реализацию продукции, посредством которых можно воздействовать на
конечные результаты производства.
В связи с этим не следует только по одному
показателю фондоотдачи судить о влиянии использования основных средств на
эффективность производства. Всесторонняя оценка результативности использования
основных средств возможна только при комплексном учете всех частных показателей
эффективности производства. Может существовать несколько вариантов
положительного влияния действующих и вновь введенных основных средств на
эффективность деятельности СУ-243 №Гомельский ДСК».
Первый вариант - рост фондоотдачи сопровождается
одновременным улучшением других частных показателей эффективности торговой
деятельности - производительности труда, себестоимости продукции, качества
выпускаемой строительной продукции, а также расходов на реализацию продукции.
Этот вариант возможен в том случае, если организации СУ-243 №Гомельский ДСК» не
будут подвергаться подвергшихся коренной реконструкции или значительному
расширению. Второй вариант - временное снижение фондоотдачи, а затем ее быстрое
увеличение. Данный вариант возможен при реконструкции предприятий СУ-243
№Гомельский ДСК».
Временное снижение фондоотдачи при этом варианте
вызывается тем обстоятельством, что существует известный период между моментом,
когда производятся затраты на освоение и внедрение новой техники, и моментом,
когда данная техника начинает приносить ожидаемый экономический эффект.
Рассматриваемый вариант положительно влияет на эффективность производства
посредством того, что создает предпосылки для будущего эффекта от внедрения
новой техники.
Третий вариант - фондоотдача падает, но рост
производительности труда, снижение себестоимости продукции, улучшение качества
выпускаемой продукции (колбасного цеха, цеха хлебопечения и т.д.) перекрывают
потери от ее снижения, что в конечном итоге ведет к повышению эффективности
производства. Данный вариант имеет место в следующих случаях.
Вводятся новые основные средства, позволяющие
снизить расход сырья, топлива и других затрат, а также значительно улучшить
качество выпускаемой продукции. Однако не всегда происходит одновременно и
увеличение выпуска изделий, и рост фондоотдачи. Но если при этом снижение
фондоотдачи перекрывается снижением себестоимости продукции или возрастающим
текущим эффектом на организациях-потребителях за счет улучшения качества
продукции, то оно допустимо и не противоречит росту эффективности производства.
Четвертый вариант. Возможно такое положение,
когда фондоотдача на предприятии падает, другие же частные показатели -
производительность труда, себестоимость продукции, качество изделий -
улучшаются, но не в такой мере, чтобы перекрыть снижение фондоотдачи. Но и
такое положение не есть безусловное доказательство неэффективного использования
основных средств организации и понижения эффективности производства.
Назначение основных средств заключается как в
решении производственных задач - увеличении выпуска продукции, снижении текущих
затрат, улучшении качества продукции, так и социально-экономических -
облегчении труда, улучшении условий работы и др. В связи с этим эффект от
использования средств труда состоит не только в увеличении фондоотдачи, росте
производительности труда, улучшении качества продукции, снижении себестоимости,
но и в улучшении условий труда.
Пятый вариант - снижение фондоотдачи происходит
благодаря созданию наиболее благоприятных условий, способствующих рациональной
организации производственного процесса и торговли. Например, строительство
новых производственных и складских помещений, а также капитальный ремонт
торговых площадей.
Значение этого варианта определяется тем, что он
создает необходимые предпосылки, позволяющие увеличить фондоотдачу,
производительность труда, снизить себестоимость продукции, т. е. в конечном
итоге способствует повышению эффективности производства.
Таким образом, целью деятельности СУ-243
«Гомельский ДСК” является не повышение фондоотдачи любой ценой, а рост конечных
результатов.
В определенных случаях целесообразно идти на
некоторое снижение фондоотдачи, с тем, чтобы улучшить другие показатели -
производительность труда, качество продукции, снизить себестоимость, добиться
роста социального эффекта, укрепить свои рыночные позиции.
Определим резервы фондоотдачи для СУ-243
«Гомельский ДСК» двумя способами:
Резервы фондоотдачи определяются по формуле:
(50)
де: П1 - фактическая сумма прибыли отчетного
периода;
- резерв увеличения прибыли;
ОПФ1 - фактическая средняя величина
активной части основных средств в отчетном периоде;
ОПФд - дополнительная сумма величина
активной части основных
средств, которая понадобится для
освоения резервов;
- резерв сокращения активной части
основных средств за счет реализации, сдачи в аренду, консервации и списания.
П1 = 72; = -70; ОПФ1
= 27091; ОПФд = 813; = 3,60;
Таким образом, резерв роста
фондоотдачи СУ-243 №Гомельский ДСК» составляет -0,0026 продукции на единицу
основных средств. Резерв роста фондоотдачи зависит от рационального соотношения
резерва увеличения прибыли и основных производственных средств, нужных для
освоения этого резерва. На фондоотдачу положительно влияет уменьшение
сокращения основных производственных средств за счет реализации, сдачи в
аренду, консервации и списания. В СУ-243 №Гомельский ДСК» эти показатели
приближены к идеальной модели, так как резерв фондоотдачи отрицательно и его
снижение происходит за счет повышения выпуска продукции на -70 млн. р. и за
счет увеличения основных средств на 10,80 млн. р.
. Второй способ. Далее следует
отметить, трудно переоценить народнохозяйственное значение эффективного
использования основных средств.
Более полное использование основных
средств приводит также к уменьшению потребностей в вводе нового оборудования
при изменении прибыли от реализации, а следовательно, к лучшему использованию
прибыли организации увеличению доли отчислений от прибыли в фонд потребления,
направлению большей части фонда накопления на механизацию и автоматизацию
оборудования и т.п. Для начала необходимо рассмотреть показатели эффективности
основных средств СУ-243 «Гомельский ДСК». Обобщающим показателем эффективности
использования основных средств является фондоотдача, определяется по формуле:
(51)
где: S - средняя первоначальная
(восстановительная) стоимость основных средств;- выручка от реализации.
Другим показателем эффективности
использования основных средств является фондоёмкость определяется по формуле:
(52)
Изменение фондоемкости показывает
прирост или снижение стоимости основных средств на 1 руб. прибыли от реализации
и применяется при определении суммы относительной экономии или перерасхода
средств в основных средствах.
Сумма относительной экономии
(перерасхода) основных средств определяется по формуле:
Эотн (S) = (Fе1
- Fе0)
N1 (53)
Соотношение темпов прироста
стоимости основных средств и темпов прироста объема прибыли от реализации
позволяет определить предельный показатель фондоемкости, т.е. прирост основных
средств на 1% прироста прибыли от реализации.
Если предельный показатель
фондоемкости меньше единицы, имеют место повышение эффективности использования
основных средств и рост коэффициента использования производственной мощности.
Рассмотрим влияние показателей
фондоотдачи и фондоемкости на изменение прибыли от реализации по данным
анализируемого организации (таблица 3.5).
Таблица 3.5 - Показатели
использования участка № 5 СУ-243 №Гомельский ДСК» основных средств
|
Показатели
|
2011г
|
2012г (прогноз)
|
Изменение
(+/-)
|
Темп
изменения, %
|
|
Прибыль
от реализации, млн. р.
|
8943
|
4582
|
-4361
|
51
|
|
Среднегодовая
стоимость ОПФ, млн. р.
|
6569
|
13559
|
6990
|
206
|
|
Фондоотдача,
руб.
|
0,13
|
0,03
|
-0,10
|
25
|
|
Фондоемкость,
руб.
|
7,34
|
29,59
|
22,24
|
-
|
Снижение фондоемкости продукции свидетельствует
о наличии относительной экономии средств, вложенных в основные средства. Сумма
относительной экономии составит: (29,594 - 7346) ×
4582 = 1019 млн.
ЗАКЛЮЧЕНИЕ
На современном этапе развития экономики и ее
управления необходима такая организация анализа основных средств, которая
обеспечивала бы своевременное и наиболее полное представление информации о
состоянии основных средств. Тем самым способствовала бы эффективному
использованию учетной информации для реагирования на изменяющиеся условия
производственно-хозяйственной деятельности организаций и оперативному
устранению выявленных недостатков в использовании основных средств организации.
Дипломная работа написана на материалах СУ-243
«Гомельский ДСК», на основании которых на тему «Функционирующий каптал
организации» была рассмотрена экономическая сущность, классификация и значение
основных средств и производственных сресдвтв организации и проведён анализ
состояния и эффективности использования основных средств.
Дипломная работа рассматривает широкий круг
вопросов, связанных с анализом функционирующего капитала организации. Также
рассматривается роль основных и производственных средств, а также истопники их
формирования в повышении эффективности использования их субъектами
хозяйствования и технического перевооружения на материалах СУ-243 «Гомельский
ДСК».
Проведенный анализ показал,
выручка от реализации продукции за 2011 году по сравнению с 2009 годом
увеличилась на 39751 млн. р. или на 71,43 %, по сравнению с 2010 годом
увеличилась на 2386 млн. р. или на 2,057 % соответственно.
Себестоимость реализованной
продукции в 2011 г. по сравнению с 2009 г. снизилась на 8307млн р. (или на
16,82%), прибыль от реализации увеличилась на 84556 млн. р.
Таким образом, темп роста
выручки от реализации произведенной продукции выше темпа снижения себестоимости
произведенной продукции. Себестоимость реализованной продукции в 2011 г. по
сравнению с 2010 г. выросла на 11026 млн. р. (или на 36,69%), прибыль от
реализации увеличилась на 6747 млн. р.
Темп роста себестоимости
произведенной продукции выше темпа роста выручки от реализации произведенной
продукции на 34,12% (136,69-102,57). Убытков организация за 2009 - 2011 годы не
имеет. В 2011 г. величина чистой прибыли по сравнению в 2009 - 2010 гг.
снизилась на 2933 млн. р. и 3880 млн. р. соответственно.
Рост себестоимости на
производство и реализацию продукции связан с ростом объема производства в
натуральном выражении, а также с ростом цен на сырье, материалы, комплектующие,
увеличение тарифов на энергоносители и т.д. Среднесписочная численность в 2011
г. по сравнению с 2009 г. увеличилась на 51 чел, и по сравнению с 2010 г. на 49
чел.
Отсюда производительность труда
в 2011 г. по сравнению с 2009 г. увеличилась 30,04%, и по сравнению с 2010 г.
увеличилась на 2,25%.
Положительным моментом является
увеличение фондоотдачи в 2011 г. по сравнению с 2009 и 2010 гг. на 4,44р. и
13,79р. соответственно. По состоянию на 01.01.2012 г. дебиторская задолженность
организации составила 15859 млн. р.
Темп роста которой в 2011 г. по
сравнению с 2009 -2010 гг. увеличился в 33,24 раза и в 28,47 раз
соответственно.
В настоящее время
первоочередными задачами для организации являются снижение затрат на
производство и реализацию продукции и увеличение оборачиваемости дебиторской
задолженности.
Приведенные данные свидетельствуют о замедлении
оборачиваемости функционирующего капитала в 2011г по сравнению с 2009 - 2010
гг. на этой стадии кругооборота и, следовательно, снижения увеличении деловой
активности организации.
Таким образом, для дальнейшего
улучшения платежеспособности и укрепления финансового положения прежде всего
необходимо действовать в следующих направлениях: ускорить оборачиваемость
капитала в текущих активах, в результате чего произойдёт относительное его
сокращение; обосновано уменьшить запасы и сократить затраты, в результате чего
должна увеличиваться чистая прибыль; увеличивать собственный оборотный капитал
за счет использования полученной прибыли на развитие реализации, тем самым
снижать потребность в заемных средствах финансирования.
В заключении отметим, в условиях развития
рыночных отношений процесс формирования функционирующего капитала
осуществляется под воздействием противоречивых факторов. С одной стороны,
экономически целесообразно увеличивать суммы средств, направляемых на
увеличение капитала, так как это увеличивает эффективность его использования. С
другой стороны, развитие конкуренции требует постоянного совершенствования
процесса производства, что во многом связано с дополнительными капитальными
вложениями.
Целью СУ-243 «Гомельский ДСК» является не
повышение показателей фондоотдачи и материалоемкости, рентабельности любой
ценой, а рост конечных финансовых результатов посредством функционирования
капала. В определенных случаях целесообразно идти на снижение некоторых
показателей эффективности использования основных средств, и снижение
материалоемкости с тем, что бы улучшить другие показатели - производительность
труда, качество производства и обслуживания, снизить расходы, добиться
социального эффекта, укрепить свои рыночные позиции. Умелое управление
ресурсами организации является важным фактором его финансового успеха.
Практическое внедрение рекомендаций по
совершенствованию использования функционирующего копила на СУ-243 «Гомельский
ДСК», а также в других организациях, позволит повысить качество учетной
информации, что обеспечит повышение обоснованности принимаемых управленческих
решений будет способствовать изысканию резервов повышения эффективности
деятельности организации.
Список ИСПОЛЬЗОВАННЫХ
ИСТОНИКОВ
·
Бердникова,
Т.Б. Анализ и диагностика финансово-хозяйственной деятельности организации. -
М.: ИНФРА-М, 2004. - 320 с.
·
Васильева,
Л.С. Финансовый анализ : электрон. учеб. курс / Л.С. Васильева, М.В.
Петровская. - электрон. дан. и прогр. - М. : КноРус, 2008. 1 электрон. опт.
диск.
·
Готовчиков,
И.Ф. Практические предложения по оптимизации управления финансовой
деятельностью организации : И.Ф. Готовчиков // Финансовый менеджмент. - 2008.-
№2. - С. 22-30.
·
Ефимова,
О.В. Финансовый анализ, : Бухгалтерский учет, 2002 // Бизнес-Инфо.
Справочно-аналитическая система [Электронный ресурс]. - 2011. - Режим доступа:
http: // www.glavbuh.info - Дата доступа: 01.12.2011г.
Инструкции
<file:///C:/Gbinfo_u/admin/Temp/71377.htm> по анализу и контролю за
финансовым состоянием и платежеспособностью субъектов предпринимательской
деятельности 4.05.2004 № 81/128/65(в редакции постановления Министерства
финансов Республики Беларусь, Министерства экономики Республики Беларусь и
Министерства статистики и анализа Республики Беларусь 08.05.2009 № 79/99/50) //
Бизнес-Инфо. Справочно-аналитическая система [Электронный ресурс]. - 2009. -
Режим доступа: http: // www.glavbuh.info - Дата доступа: 01.12.2010г.
Информационно-поисковый
портал для финансистов и экономистов <http://финка.by/>
·
Ионова
А.Ф., Селезнева, Н.Н. Финансовый анализ: учебник. - М.: ТК Велби, Издательство
Проспект, 2007. - 624 с.
·
Когденко,
В.Г. Практикум по экономическому анализу. : - М.: Перспектива, 2004. - 240 с.
·
Коньковская
А.Р., Тарушкин А.Б. Экономический анализ: - СПб.: Издательский дом Герда, 2008.
- 368 с.
·
Лиференко
Г.Н. Финансовый анализ организации: учебное пособие. - М.: Издательство
«Экзамен», 2006. - 156 с.
·
Любушин
Н.П., Лещаева В.Б., Дьякова В.Г. Анализ финансово-экономической деятельности
организации: учебное пособие. : - М.: ЮНИТИ-Дана, 2005. - 471 с.
·
Максютов,
А. А. Экономический анализ : учеб. пособие для вузов / А. А. Максютов.: - М.:
ЮНИТИ-ДАНА, 2008. - 543 с.
·
Маркарьян
Э.А. Финансовый анализ: учебное пособие. - 5-е изд., перераб. и доп. - М.:
КНОРУС, 2006. - 224 с.
·
Мельник
М.В. Экономический анализ финансово-хозяйственной деятельности: / Под ред. М.В.
Мельник. - М.: Экономистъ, 2004. - 320 с.
·
Модеров,
С. Стандарт - костинг // Экономический анализ: теория и практика.- 2010.- №2.-
С.34-37.
Национальный
Интернет-портал Республики Беларусь [Электронный ресурс]/ Наццентр правовой
информ. Респ. Беларусь. - Минск, 2007. - Режим доступа: http: // www.pravo.by
<file:///E:\www.pravo.by>. - дата доступа: 25.05.2011.
·
Пласков,
Н.С. Стратегический и текущий экономический анализ: учебник/ Н.С. Пласков. -
М.: Эксмо, 2007.- 656 с.
·
Полисюк
Г.Б. Анализ финансового результата деятельности ОАО «Партнер-проект»: / Г.Б.
Полисюк // Экономический анализ. - 2008. - №21. - С. 17-23.
·
Проблемы
учета, анализа, контроля и статистики в условиях реформирования экономики :
тез. докл. междунар. науч. - практ. конф. Минск, 17-18 окт. 2009 г. / Бел. гос.
экон. ун-т. - Мн.: БГЭУ, 2009. - 202 с.
·
Протасов
В.Ф. Анализ деятельности организации (фирмы): производство, экономика, финансы,
инвестиции, маркетинг. : - М.: Финансы и статистика, 2003. - 536 с.
·
Пястолов
С.М. Экономический анализ деятельности организации. : - М.: Академический
проспект, 2003. - 573 с.
·
Райзберг
Б.А., Лозовский Л.Ш., Стародубцева Е.Б. Современный экономический словарь. //
КонсультантПлюс: Беларусь. Технология 3000 [Электронный ресурс] / ООО
"ЮрСпектр". - Мн., 2011.
·
Регионы
Республики Беларусь в 2009 году. Статистический сборник. - Минск: Министерство
статистики и анализа Республики Беларусь, 2010.- 831с.
Республика
Беларусь в цифрах, 2011: Статистический сборник Республики Беларусь - Минск:
[Электронный ресурс] - Режим доступа: <http://www.giac.ru/>
·
Рябков
А.В. ABC-костинг как альтернатива директ-костингу // Управление корпоративными
финансами, 2004, №6.
·
Савицкая,
Г.В. Анализ хозяйственной деятельности организации: учебник 4-е изд., испр. -
М.: Новое знание, 2009. - 686 с.
·
Савицкая,
Г.В. Анализ хозяйственной деятельности: учебник / Г.В. Савицкая.- 3-е изд.,
переаб. и доп. - М.: ИНФРА-М, 2004.-425 с.
·
Самсонов
Н.Ф., Баранников Н.П., Володин А.А. Финансовый менеджмент: Учеб. М., Финансы
ЮНИТИ , 2006г. - 495 с.
·
Сафронова
Н.А. Экономика организации: Учебник - М.: Юристь, 2007. 608 с.
·
Сергеев
И.В. Экономика организации: Учебное пособие. -2-е изд., перераб. и доп. - М.:
Финансы и статистика, 2005. - 304 с.
Словарь-бизнес
терминов [Электронный ресурс] - Режим доступа:
<http://dic.academic.ru/contents.nsf/business/>
·
Табурчак
П.П. Анализ и диагностика финансово-хозяйственной деятельности организации: /
Под ред. П.П. Табурчака, В.М. Тумина и М.С. Сапрыкина. - СПб.: Химиздат, 2001.
- 288с.
·
Теория
анализа хозяйственной деятельности : учеб. для вузов / В. В. Осмоловский [и
др.]; под ред. В. В. Осмоловского. - Мн.: Новое знание, 2004. - 384 с.
·
Тито,
В.И. Анализ и диагностика финансово-хозяйственной деятельности организации. : -
М.: Дашков и Ко, 2005. - 352 с.
·
Титов,
В. И. Анализ и диагностика финансово-хозяйственной деятельности организации :
учеб. для вузов / В. И. Титов. - М.: Дашков и К, 2008. - 352 с.
·
Толпегина, О.А. Анализ прибыли: теория и практика
исследования / О.А. Толпегина // Экономический анализ. - 2009.- №2. - С. 35-44.
·
Чуев
И.Н., Чечевицына Л.Н. Анализ и диагностика финансово хозяйственной
деятельности. : - Ростов-на-Дону: Феникс. - 2004. - 368 с.
·
Шадрина,
Г. В. Комплексный экономический анализ организации : учеб. пособие для вузов: /
Г. В. Шадрина, С. Р. Богомолец, И. В. Косорукова. - М.: Акад. Проект, 2005. -
288 с.
·
Шеремет
А.Д. Анализ и диагностика финансово- хозяйственной деятельности организации:
учебник / А.Д. Шеремет.- М.: ИНФРА-М, 2009.-367 с.
Похожие работы на - Анализ функционирующего капитала организации и пути повышения эффективности его использования
|