Расчет параметров течения воздушного потока в сопле Лаваля
Введение
сопло газодинамический
воздушный поток
Сопло Лаваля - техническое приспособление,
которое служит для ускорения газового потока проходящего по нему до скоростей,
превышающих скорость звука. Широко используется на некоторых типах паровых
турбин и является важной частью современных ракетных двигателей и сверхзвуковых
реактивных авиационных двигателей.
Сопло представляет собой канал, суженный в
середине. В простейшем случае такое сопло может состоять из пары усечённых
конусов, сопряжённых узкими концами. Эффективные сопла современных ракетных
двигателей профилируются на основании специальных газодинамических расчётов.
Сопло было предложено в 1890 г. шведским
изобретателем Густафом де Лавалем для паровых турбин.
В ракетном двигателе сопло Лаваля впервые было
использовано генералом М. М. Поморцевым в 1915 г.. В ноябре 1915 года в
Аэродинамический институт обратился генерал М. М. Поморцев с проектом боевой
пневматической ракеты. Ракета Поморцева приводилась в движение сжатым воздухом,
что существенно ограничивало ее дальность, но зато делало ее бесшумной. Ракета
предназначалась для стрельбы из окопов по вражеским позициям. Боеголовка
оснащалась тротилом. В ракете Поморцева было применено два интересных
конструктивных решения: в двигателе имелось сопло Лаваля, а с корпусом был
связан кольцевой стабилизатор.
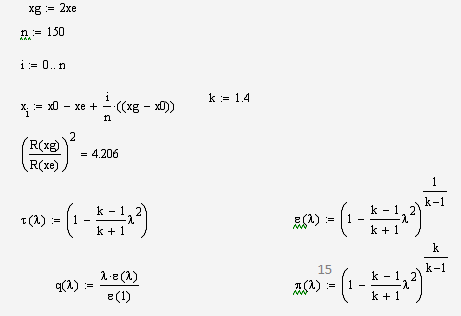
В данной курсовой работе требуется
рассчитать параметры течения воздушного потока в сопле Лаваля. Для этого
профиль сопла Лаваля разбивается на 150 контрольных точек -
. Разбиение
осуществляем таким образом, чтобы минимальное сечение располагалось в точке
.
Определяются значения газодинамических функций давления, плотности и
температуры в каждом сечении.
Теоретические основы
Сопло Лаваля представляет собой
насадок на камеру сгорания. Оно состоит из сужающейся и расширяющейся частей и
предназначается для преобразования дозвукового потока на входе в сопло в
сверхзвуковой поток на выходе.
Основное уравнение, связывающее
градиент площади сечения, градиент скорости и число Маха, следующее:
.
В этом уравнении
S - площадь
сечения сопла;
v - скорость
газа;
M - число
Маха (отношение скорости газа в какой-либо точке потока к скорости звука в этой
же точке).
Анализируя это соотношение,
получаем, что в сопле Лаваля могут осуществляться следующие режимы течения:
) M<1 -
поток на входе дозвуковой:[1]
а)
<0, тогда
>0 (из
уравнения). Дозвуковой поток в сужающемся канале ускоряется.
б)
>0, тогда
<0.
Дозвуковой поток в расширяющемся канале тормозится.
) M>1 -
поток на входе сверхзвуковой:
а)
<0, тогда
<0.
Сверхзвуковой поток в сужающемся канале тормозится.
б)
>0, тогда
>0.
Сверхзвуковой поток в расширяющемся канале ускоряется.
)
= 0 - самое узкое место сопла,
минимальное сечение.
Тогда возможно либо М = 1 (поток
переходит через скорость звука), либо
= 0 (экстремум скорости).
Какой из режимов реализуется на
практике, зависит от перепада давлений между входом в сопло и окружающей
средой.
Если давление, достигаемое в
критическом сечении, превышает наружное давление, то поток на выходе из сопла
будет сверхзвуковым. В противном случае он остается дозвуковым.[2]
- условие сверхзвукового истечения.
[1]Здесь p* - давление торможения (давление в камере); pкр - давление
в критическом сечении сопла; pнар - давление
в окружающей среде; k - показатель адиабаты.
Если известны параметры в камере
сгорания, то параметры в любом сечении сопла можно узнать по следующим
соотношениям:
давление:
или
;
температуру:
или
;
плотность:
или
;
скорость:
или
.
В этих формулах - λ -
приведенная скорость, отношение скорости газа в данном сечении сопла к скорости
звука в критическом сечении, R - удельная газовая постоянная.
Индексом «*» обозначены параметры торможения (в данном случае - параметры в
камере сгорания).
Задание на курсовую работу
Рисунок 1-Профиль сопла Лаваля
Таблица 1-Исходные данные
|
Параметры
|
Значение
|
|
Радиус
критического сечения, 1,1, мм
|
|
|
Радиус
входного сечения, 3,1, мм
|
|
|
Длина
прямого участка сопла Лаваля, 1,2R, мм
|
|
|
Радиус
округления сужающейся части сопла, 0.5R, мм
|
|
|
Радиус
округления расширяющейся части сопла, 0.8Rkp, мм
|
|
|
Угол
сужения, 21○
|
|
|
Угол
расширения, 11.5○
|
|
|
Давление
торможения,  , МПа
|
|
|
Температура
торможения, 611, К
|
|
|
Газовая
постоянная,  , Дж/(кг∙К)
|
|
|
Показатель
адиабаты, 
|
|
Рис.Сопла Лаваля
Расчетная часть
Для проведения расчета воспользуемся
программой «Mathcad» введя
начальные параметры своего номера варианта, получим значения и параметры по
которым строим графики изменения ГДФ
,
вдоль сопла.
Рис.
Рисунок 2- График газодинамической функции
температуры
Рисунок 3-Газодинамическая функция плотности
Рисунок 4-Газодинамическая функция приведенной
скорости
Рисунок 5-Газодинамическая функция давления

Рисунок 7- Газодинамическая функция давления
Рисунок 8- Газодинамическая функция плотности
Рисунок 9- Газодинамическая функция температуры
Рисунок 10 - Газодинамическая функция скорости
Рисунок 11 - Газодинамическая функция числа маха
Заключение
В ходе работы были рассчитаны параметры течения
воздушного потока в сопле Лаваля. Проведя газодинамический расчет установлены :
· Параметры сопла Лаваля
· Построены графики газодинамических
функций давления, плотности, скорости, давления, температуры, маха, приведенной
скорости.
Список литературы
.Курс
лекций по МЖГ:. Ижевск 2012г.
.
Лойцянский Л.Г.- Механика жидкости и газа: Гос.изд-во технико-теоретической
литературы.,М.:1950 г.
.
B. C. Швыдкий.- Механика жидкости и газа: ИКЦ «Академкнига»,
М.:
2003 г.
Приложение А
Расчет в программе «Mathcad»
Рисунок 7-Профиль сопла
Рис.
Рис.
Рис.
Рис.