Разработка электрогидравлической системы дроссельного регулирования скорости
Введение
Целью курсовой работы является динамическое конструирование
конкурентоспособной электрогидравлической системы дроссельного регулирования
скорости.
Динамическое конструирование - это выбор динамических, электрических и
других конструктивных параметров системы с позиции обеспечения требуемых
динамических показателей: времени переходного процесса, величины
перерегулирования, показателя колебательности, запаса устойчивости по амплитуде
и по фазе, коэффициентов ошибок.
Работа состоит из двух этапов.
На первом этапе необходимо в рамках построения кривой D-разбиения
выделить область устойчивости и выбрать неизвестные параметры. Для нахождения
границ устойчивости необходимо использовать один из критериев устойчивости. При
выполнении курсового проекта будем ориентироваться на критерий устойчивости
Михайлова. Для этого необходимо построить годограф Михайлова. Для построения
годографа необходимо выделить вещественную и мнимую часть характеристического
комплекса. Чтобы найти характеристический комплекс, необходимо получить
характеристическое уравнение замкнутой системы. Характеристическое уравнение
замкнутой системы получается как сумма числителя и знаменателя передаточной
функции разомкнутой системы. А чтобы получить передаточную функцию разомкнутой
системы, необходимо сделать структурные преобразования исходной системы, то
есть следует привести исходную замкнутую систему к одному звену с отрицательной
обратной связью
На втором этапе производится оценка качества системы. При этом
используются простой и логарифмический критерий Найквиста (оцениваются запасы
по амплитуде и по фазе). Быстродействие системы (время переходного процесса,
величина перерегулирования, показатель колебательности) оценивается по
переходной характеристике (реакция системы на единичный ступенчатый сигнал).
Величина установившейся ошибки оценивается по коэффициентам ошибок.
Такой подход при проектировании систем управления позволяет обеспечить их
конкурентоспособность на рынке.
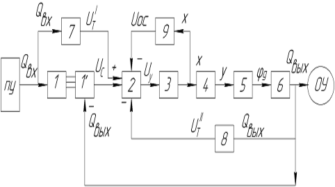
1. Структурная схема электрогидравлической системы дроссельного регулирования
скорости. Постановка задачи
Исходные данные: заданы структурная схема системы (рис.1), вид и
параметры (кроме двух) передаточной функции динамических звеньев (табл.1).
Рис. 1. Структурная схема электрогидравлической системы дроссельного
регулирования скорости
Состав системы: Передаточные функции звеньев:
1
- 1' - датчик рассогласования,
-
электронный усилитель,
-
электромеханический преобразователь,
-
гидроусилитель с распределительным золотником,
-
гидромотор с дроссельным
регулированием
скорости,
-
выходной редуктор,
-
тахогенератор I,
-
тахогенератор II,
-
обмотка обратной связи
электромеханического
преобразователя I,
ПУ - пульт управления
Исходные данные
Таблица 1
|
Номер варианта
|
Численные значения
параметров передаточных функций
|
|
Kс
|
Ky
|
Kx
|
T12, с2
|
Т2, с
|
KГУ
|
ТГУ, с
|
Кw
|
ТМ, с
|
Kр
|
КТ1
|
KT2
|
KОС
|
|
5-1
|
100
|
10
|
3
|
?
|
11,31100,063×10-42030?
|
|
|
|
|
|
|
|
|
Значения коэффициентов Т2 и Kx будем выбирать с позиции обеспечения
оптимальных динамических показателей рассматриваемой системы управления
(запасов устойчивости по амплитуде и фазе, времени переходного процесса,
величины перерегулирования, показателя колебательности, точностных показателей
- ошибки по положению и по скорости объекта управления).
электрогидравлический
система дроссельный скорость
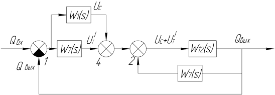
2. Структурные преобразования исходной электрогидравлической системы
к одному звену с отрицательной обратной связью
Для того, чтобы записать характеристическое уравнение передаточной
функции разомкнутой системы, следует привести исходную систему к одному звену с
отрицательной обратной связью (рис.2). Для этого воспользуемся правилами
преобразования структурных схем и линейных систем [1, стр. 26].
Рис. 2. Звено с отрицательной обратной связью
Выполним следующие структурные преобразования:
1.
Согласно формуле:
для реализации функции U0 нужно ввести два сумматора,
в результате схема (см. рис.1) примет вид
.
Далее объединяем звенья 4, 5, 6 в одно звено 10 с передаточной функцией
. В результате вышеуказанных преобразований приведем
исходную схему к виду
.
Исключаем неединичную обратную связь (звенья 2, 3, 9) в результате чего
получаем звено 11 с передаточной функцией:
;
Объединяем
полученное звено и звено с передаточной функцией W10(s) и звеном 8 в звено12 с
передаточной функцией
В
результате получим следующую схему
.
Для дальнейшего упрощения необходимо перенести узел 1 с входа сумматора 1 на
его выход, при этом добавится сумматор 4
.
Для применения правил структурных преобразований необходимо перенести сумматор
4 с входа звена 7 на его выход:
.
Объединяем звенья 1 и 7 в звено 13 с передаточной функцией:
. Преобразуем участок с положительной обратной связью
через звено 7 в звено с передаточной функцией:
Затем
объединим звенья 13 и 14 в звено 15 с передаточной функцией:
Передаточная
функция W15(s) соответствует передаточной функции W(s). Окончательно уравнение
передаточной функции системы имеет вид:
(2.1)
3. Нахождение характеристического уравнения замкнутой системы
Представим передаточную функцию разомкнутой системы в виде:
, (1)
где
и bm…b0 - коэффициенты, выраженные через параметры
(коэффициенты передач и постоянные времени) динамических звеньев исходной
системы n > m.
В результате преобразований передаточной функции разомкнутой системы
получаем:
(2)
Характеристическое уравнение замкнутой системы записывается как сумма
числителя и знаменателя передаточной функции разомкнутой системы
(3)
4. Выделение области устойчивости замкнутой системы в
плоскости параметров
(постоянная времени
тахогенератора II),
(коэффициент
электромеханического преобразователя) (Д-разбиение по двум параметрам)
Первое качество, по которому оценивают свойства системы автоматического
управления (САУ), это ее устойчивость.
Система
устойчива, если с течением времени выходная величина системы будет стремиться к
вынужденной составляющей (
), т.е. будет условно управляемый сигнал.
При
изменении какого-либо параметра системы может возникнуть неустойчивость, что
влияет на качество регулирования системы, на конкурентоспособность. Поэтому
значения коэффициента передачи и постоянной времени должны выбираться с точки
зрения обеспечения устойчивости системы регулирования скорости.
Весьма
часто возникает необходимость исследовать влияние на устойчивость системы тех
или иных ее параметров. Обычно рассматривают влияние таких параметров, которые
могут быть изменены, например коэффициентов передачи и постоянных времени
усилительно-преобразовательных элементов.
Устойчивость
- необходимое, но не достаточное условие работоспособности системы.
Произведем
исследование устойчивости системы в пространстве параметров D -
разбиения. Интересующие нас параметры,
, входят
в характеристическое уравнение линейно. Поэтому уравнение (3) может быть
представлено в виде:
tQ(s) + mP(s) - R(s) = 0, (4)
Где
t - постоянная времени тахогенератора II;
m - неизвестный
коэффициент электромеханического преобразователя.
Обозначим
заданные неизвестные:
;
.
Тогда
уравнение (3) будет представлено в виде:
Приведем
последнее выражение к виду (4):
Далее,
воспользуемся критерием устойчивости Михайлова. Этот критерий основан на
построении годографа Михайлова - кривой, которую описывает конец вектора D(jw) на
комплексной плоскости при изменении w от 0 до ¥. Вектор D(jw) получается из характеристического уравнения
замкнутой системы при подстановке s=jw, где
, w - круговая частота
гармонического выходного сигнала.
Формулировка
критерия устойчивости Михайлова: Для устойчивости системы n-го
порядка необходимо и достаточно, чтобы при изменении w от 0 до ¥ результирующий угол поворота вектора Михайлова
где
n -порядок дифференциального уравнения, которым описывается система управления.
Свойства
годографа Михайлова говорят о том, что:
ü если годограф Михайлова имеет плавную спиралевидную форму,
последовательно обходит в положительном направлении (против часовой стрелки) n квадрантов, нигде не обращаясь в
ноль и уходит в ¥
в n-м квадранте параллельно
соответствующей оси, то система устойчива (рис. 3, а)
ü если система находится на границе колебательной устойчивости,
то годограф Михайлова проходит через начало координат (рис.3, б).
Рис. 3. Годографы Михайлова систем шестого порядка
а) устойчивая система;
б) система на границе колебательной устойчивости
Ориентируясь на нахождение границы колебательной устойчивости с
использованием частотного критерия устойчивости Михайлова, в предыдущем
уравнении вместо оператора S
подставляем S=jw и представляем вещественную и мнимую части
характеристического уравнения в виде
где
;
w - круговая частота
гармонического входного сигнала.
Эти
два уравнения соответственно вещественная и мнимая части преобразованного
характеристического уравнения. Решаем их относительно t и m с использованием определителей
(5)
(6)
Где
Подставляя численные значения известных параметров имеем:
Равенства
(5) и (6) определяют τ и μ как
функции от ω. Следовательно, при каждом значении ω=ωi
можно вычислить значения τi и μi и
нанести соответствующую точку на плоскость параметров τ и μ.
Геометрическое
место этих точек при изменении ω от -
до +
является
кривой D - разбиения плоскости (τ, μ), где τ откладывается по оси абсцисс и μ по оси ординат.
Расчет
τ(ω) и μ(ω)
при изменении круговой частоты выходного гармонического сигнала ω от 10-4 до 104 производим на ЭВМ.
Студент Obodnikova, 5/5
Порядок системы 5
Коэффициенты полиномов
p1 p2 q1 q2 r1 r2
9.21E+0001 0.00E+0000 0.00E+0000 0.00E+0000 0.00E+0000
0.00E+0000
0.00E+0000 2.55E+0001 0.00E+0000 0.00E+0000 0.00E+0000
-1.00E+0000
-3.00E+0002 0.00E+0000 -1.00E+0000 0.00E+0000 1.15E+0000
0.00E+0000
0.00E+0000 -3.44E+0002 0.00E+0000 -1.15E+0000 0.00E+0000
4.95E-0002
1.49E+0001 0.00E+0000 4.95E-0002 0.00E+0000 -4.58E-0006
0.00E+0000
5 0.00E+0000 0.00E+0000 0.00E+0000
0.00E+0000 0.00E+0000 -1.98E-0007
Коэффициенты полиномов определителей степень D D1 D2
0.000000E+0000 0.000000E+0000 0.000000E+0000
1 0.000000E+0000 9.213750E+0001 0.000000E+0000
0.000000E+0000 0.000000E+0000 0.000000E+0000
7.998244E+0001 -2.753465E+0002 1.000000E+0000
0.000000E+0000 0.000000E+0000 0.000000E+0000
1.262992E+0000 -3.636064E+0002 1.212021E+0000
0.000000E+0000 0.000000E+0000 0.000000E+0000
5.179857E-0012 -7.336206E-0001 2.445402E-0003
0.000000E+0000 0.000000E+0000 0.000000E+0000
9 0.000000E+0000 2.940300E-0006 -9.801000E-0009
0.000000E+0000 0.000000E+0000 0.000000E+0000
Положительных корней в заданном диапазоне частот нет.
W T M D
-------------------------------------------------------
.0E-0004 1.151972E+0008 1.250274E-0002 7.998244E-0011
.0E-0001 2.580717E-0002 1.623047E-0002 1.004331E+0001
.0E+0000 -6.740548E+0000 2.725942E-0002 8.127006E+0001
.5E+0000 -1.275395E+0001 4.515321E-0002 2.795888E+0002
.0E+0000 -2.021082E+0001 6.923865E-0002 6.803813E+0002
.5E+0000 -2.915433E+0001 9.867538E-0002 1.373239E+0003
.0E+0000 -3.937832E+0001 1.325342E-0001 2.466700E+0003
.5E+0000 -5.062444E+0001 1.698716E-0001 4.092983E+0003
.0E+0000 -6.263411E+0001 2.097921E-0001 6.412726E+0003
.5E+0000 -7.517098E+0001 2.514920E-0001 9.619721E+0003
.0E+0000 -8.803172E+0001 2.942858E-0001 1.394565E+0004
.5E+0000 -1.010503E+0002 3.376155E-0001 1.966483E+0004
.0E+0000 -1.140977E+0002 3.810487E-0001 2.709892E+0004
.5E+0000 -1.270791E+0002 4.242677E-0001 3.662170E+0004
.0E+0000 -1.399292E+0002 4.670538E-0001 4.866378E+0004
.5E+0000 -1.526074E+0002 5.092714E-0001 6.371734E+0004
.0E+0000 -1.650930E+0002 5.508506E-0001 8.234087E+0004
.5E+0000 -1.773804E+0002 5.917725E-0001 1.051639E+0005
.0E+0000 -1.894754E+0002 6.320561E-0001 1.328917E+0005
.5E+0000 -2.013919E+0002 6.717474E-0001 1.663102E+0005
.0E+0001 -2.131494E+0002 7.109110E-0001 2.062904E+0005
.6E+0002 -2.888831E+0004 9.629438E+0001 1.502018E+0012
.1E+0002 6.125988E+0003 -2.041996E+0001 4.358713E+0013
.6E+0002 4.408445E+0005 -1.469482E+0003 3.202710E+0014
.0E+0003 1.829628E+0006 -6.098759E+0003 1.327506E+0015
.3E+0003 4.945082E+0006 -1.648361E+0004 4.011195E+0015
.5E+0003 1.077806E+0007 -3.592685E+0004 9.915207E+0015
.8E+0003 2.053763E+0007 -6.845875E+0004 2.132940E+0016
.0E+0003 3.565110E+0007 -1.188370E+0005 4.143765E+0016
.3E+0003 5.776399E+0007 -1.925466E+0005 7.446592E+0016
.5E+0003 8.874001E+0007 -2.958000E+0005 1.258302E+0017
.8E+0003 1.306611E+0008 -4.355369E+0005 2.022849E+0017
.0E+0003 1.858272E+0008 -6.194240E+0005 3.120703E+0017
.3E+0003 2.567567E+0008 -8.558556E+0005 4.650615E+0017
.5E+0003 3.461858E+0008 -1.153953E+0006 6.729156E+0017
.8E+0003 4.570691E+0008 -1.523564E+0006 9.492207E+0017
.0E+0003 5.925791E+0008 -1.975264E+0006 1.309643E+0018
.3E+0003 7.561064E+0008 -2.520355E+0006 1.772077E+0018
.5E+0003 9.512597E+0008 -3.170866E+0006 2.356791E+0018
.8E+0003 1.181866E+0009 -3.939552E+0006 3.086577E+0018
.0E+0003 1.451969E+0009 -4.839896E+0006 3.986899E+0018
.3E+0003 1.765832E+0009 -5.886106E+0006 5.086040E+0018
.5E+0003 2.127935E+0009 -7.093117E+0006 6.415253E+0018
.8E+0003 2.542977E+0009 -8.476591E+0006 8.008905E+0018
.0E+0003 3.015875E+0009 -1.005292E+0007 9.904630E+0018
.3E+0003 3.551761E+0009 -1.183920E+0007 1.214347E+0019
.5E+0003 4.155988E+0009 -1.385329E+0007 1.477005E+0019
.8E+0003 4.834126E+0009 -1.611375E+0007 1.783267E+0019
.0E+0003 5.591961E+0009 -1.863987E+0007 2.138351E+0019
.3E+0003 6.435499E+0009 -2.145166E+0007 2.547876E+0019
.5E+0003 7.370962E+0009 -2.456987E+0007 3.017876E+0019
.8E+0003 8.404790E+0009 -2.801597E+0007 3.554816E+0019
.0E+0003 9.543641E+0009 -3.181214E+0007 4.165605E+0019
.3E+0003 1.079439E+0010 -3.598130E+0007 4.857613E+0019
.5E+0003 1.216413E+0010 -4.054709E+0007 5.638686E+0019
.8E+0003 1.366016E+0010 -4.553388E+0007 6.517159E+0019
.0E+0003 1.529003E+0010 -5.096676E+0007 7.501872E+0019
.3E+0003 1.706146E+0010 -5.687154E+0007 8.602184E+0019
.5E+0003 1.898243E+0010 -6.327477E+0007 9.827991E+0019
9.8E+0003 2.106111E+0010 -7.020369E+0007 1.118974E+0020
По полученным значениям строим кривую D - разбиения в плоскости параметров τ и μ (рис. 4). Подставляя в
характеристическое уравнение S = jw, мы подразумевали, что это
соответствует границе колебательной устойчивости, т.е. при выборе параметров,
значения которых лежат на это кривой, будут наблюдаться незатухающие колебания
выходных величин. Чтобы выделить область устойчивости в плоскости t - m, штрихуют кривую Д-разбиения. Для
этого на кривой указывают направление возрастания частоты w. При движении в этом направлении при
D(w) > 0 кривая штрихуется двойной штриховкой слева, а при D(w) < 0 кривая штрихуется двойной штриховкой справа (см.
рис.4).
Нахождение особых прямых. При некоторой частоте w получаем
или
Тогда
система уравнений вырождается в одно уравнение особой прямой. Также эти особые
прямые можно найти, приравняв коэффициент an к нулю (an =
0) и свободный член характеристического уравнения a0 (a0 =
0).
Приравнивая
an к нулю, получаем
Это
выражение не содержит параметры τ и μ, а значит и не дает выражение для особой прямой.
Приравнивая
свободный член характеристического уравнения a0 к нулю,
получаем:
Отсюда
следует, что
.
Таким
образом, имеем только одну особую прямую
, которая
не штрихуется т.к. кривая D-разбиения пересекает ее дважды и определитель не
меняет знак.
Рис. 4. Кривая D -
разбиения в плоскости параметров τ и μ
Из области подозрительной на устойчивость для дальнейшего рассмотрения
выбираем точку с координатами:
5. Определение качественных показателей системы
.1 Определение запасов устойчивости системы по
амплитуде и фазе с помощью простого критерия устойчивости Найквиста
Качество работы любой системы регулирования, определяется
быстродействием, запасами по амплитуде и фазе и величиной установившейся
ошибки, равной разности между требуемым значением регулируемой величины,
определяемым входным управляющим сигналом и ее действительным значением.
Знание мгновенного значения ошибки в течение всего времени работы
регулируемого объекта позволяет наиболее полно судить о свойствах системы
регулирования. Однако в действительности, вследствие случайности задающего и
возмущающего воздействия, такой подход сложно реализовать. Поэтому приходится
оценивать качество системы регулирования по некоторым ее свойствам,
проявляющимся при различных типовых воздействиях. Для определения качественных
показателей системы регулирования в этом случае используются так называемые
критерии качества.
В данной главе осуществлена оценка качества проектируемой системы
управления, а именно: по простому и логарифмическому критериям устойчивости
Найквиста произведена оценка запасов устойчивости системы по амплитуде и фазе;
в результате анализа переходной характеристики системы (ее реакция на единичный
ступенчатый сигнал), найдены показатели быстродействия системы управления:
время переходного процесса, величина перерегулирования, показатель
колебательности; по коэффициентам ошибок произведена оценка точности
проектируемой САУ.
Устойчивость выходных параметров необходимое, но не достаточное условие.
Мы выбираем точку из области, подозрительной на устойчивость (см. п.4) исходя
из обеспечения устойчивости, но, чтобы система была конкурентоспособной, необходимо
обеспечить запасы по устойчивости, время переходного процесса (быстродействие),
величину перерегулирования, показатели колебательности.
По определенным ранее данным рассчитываются амплитудно-фазовая и
логарифмические амплитудная и фазовая частотные характеристики разомкнутой
системы, а также вещественная частотная характеристика замкнутой системы.
Для расчета на ЭВМ представим частотную передаточную функцию разомкнутой
системы W(jw) в виде
(7)
где
A(w), B(w), C(w), D(w) - соответствующие полиномы с числовыми
коэффициентами при w.
Приведя к
требуемому виду, найдем необходимые для расчета коэффициенты:
Подставляя в выражения для A,B,C,D значения параметров из задания,
получаем:
Необходимо
определить запасы устойчивости по амплитуде и фазе, по критерию Найквиста,
найти переходную характеристику по вещественной - частотной характеристике
замкнутой системы. Для этого необходимо по исходным данным, вводимым в ЭВМ
выразить вещественную частотную характеристику разомкнутой системы, МЧХ
разомкнутой системы, амплитудную логарифмическую характеристику разомкнутой
системы, ФЧХ разомкнутой системы через исходные данные А(w), В(w), С(w), D(w).
Использование
ЭВМ облегчает задачу представления передаточной функции в виде
и вычисления вещественной частотной характеристики
замкнутой системы
В
результате расчета на ЭВМ выдаются: таблица значений вещественной U(w) и мнимой V(w) частотных характеристик разомкнутой системы;
- амплитудная логарифмическая характеристика
разомкнутой системы; j (w) - фазовая характеристика
разомкнутой системы; lg w; Р (w) - вещественная частотная характеристика замкнутой системы.
Выразим
,
,
, j(w) и Р(w) через введенные коэффициенты A(w), B(w), C(w), D(w). Для этого
избавляемся от мнимого слагаемого в числителе, домножая числитель и знаменатель
на комплексно сопряженное знаменателю число
:
Далее
выделяем мнимую и вещественную части в полученном выражении
Из
этого выражения получаем, что
,
причем
, а
.
Численные значения Re(W(iw)) и Im(W(iw)) при изменении ω от 10-4 до 104 определяем с помощью
ЭВМ.
Студент Obodnikova, 5/5
Порядок системы 5
Коэффициент астатизма системы 0
Коэффициенты полиномовA B C D
---------------------------------------------------------------------
1.151719E+0000 0.000000E+0000 0.000000E+0000 0.000000E+0000
0.000000E+0000 1.949063E-0001 0.000000E+0000 1.124031E+0000
0.000000E+0000 0.000000E+0000 -4.895500E+0000 0.000000E+0000
0.000000E+0000 0.000000E+0000 0.000000E+0000 -4.343827E+0000
0.000000E+0000 0.000000E+0000 1.856543E-0001 0.000000E+0000
0.000000E+0000 0.000000E+0000 0.000000E+0000 1.980000E-0007
***** Re(w)=R/Z Im(w)=I/Z *****R Z I
----------------------------------------------------
0.000000E+0000 0.000000E+0000 0.000000E+0000
0.000000E+0000 0.000000E+0000 -1.294568E+0000
-5.419158E+0000 1.263446E+0000 0.000000E+0000
0.000000E+0000 0.000000E+0000 4.048703E+0000
-6.328174E-0001 1.420073E+0001 0.000000E+0000
0.000000E+0000 0.000000E+0000 3.618496E-0002
3.859144E-0008 1.705109E+0001 0.000000E+0000
0.000000E+0000 0.000000E+0000 0.000000E+0000
0.000000E+0000 3.446581E-0002 0.000000E+0000
0.000000E+0000 0.000000E+0000 0.000000E+0000
0.000000E+0000 3.920400E-0014 0.000000E+0000Lg(w) Re(w)
Im(w)(w) F(w)*57.3 P(w)
---------------------------------------------------------------------------
.0E-0004 -3.99999999999E+0000 -4.28918746472E+0000 -
.02463217507E+0004
.02113605467E+0001 8.99826433151E+0001 1.00000003133E+0000
---------------------------------------------------------------------------
.3E-0004 -3.87500000000E+0000 -4.28918709342E+0000 -
.68365648866E+0003
.77113601678E+0001 8.99746434006E+0001 1.00000005571E+0000
---------------------------------------------------------------------------
.8E-0004 -3.75000000000E+0000 -4.28918643314E+0000 -
.76192836164E+0003
.52113594939E+0001 8.99639753440E+0001 1.00000009907E+0000
---------------------------------------------------------------------------
.4E-0004 -3.62499999999E+0000 -4.28918525897E+0000 -
.32083518516E+0003
.27113582956E+0001 8.99497492640E+0001 1.00000017618E+0000
---------------------------------------------------------------------------
.2E-0004 -3.50000000000E+0000 -4.28918317099E+0000 -
.24016724745E+0003
.02113561647E+0001 8.99307784864E+0001 1.00000031329E+0000
---------------------------------------------------------------------------
.2E-0004 -3.37500000000E+0000 -4.28917945796E+0000 -
.42977993924E+0003
.77113523753E+0001 8.99054805597E+0001 1.00000055713E+0000
---------------------------------------------------------------------------
.6E-0004 -3.25000000000E+0000 -4.28917285519E+0000 -
.82207428336E+0003
.52113456369E+0001 8.98717452603E+0001 1.00000099073E+0000
---------------------------------------------------------------------------
.5E-0004 -3.12500000000E+0000 -4.28916111365E+0000 -
.36635812270E+0003
.27113336539E+0001 8.98267585820E+0001 1.00000176179E+0000
---------------------------------------------------------------------------
.0E-0003 -3.00000000000E+0000 -4.28914023406E+0000 -
.02461760141E+0003
.02113123449E+0001 8.97667680399E+0001 1.00000313296E+0000
---------------------------------------------------------------------------
.3E-0003 -2.87500000000E+0000 -4.28910310478E+0000 -
.68346214728E+0002
.77112744517E+0001 8.96867697402E+0001 1.00000557129E+0000
---------------------------------------------------------------------------
.8E-0003 -2.75000000000E+0000 -4.28903707996E+0000 -
.76166920697E+0002
.52112070678E+0001 8.95800911796E+0001 1.00000990736E+0000
---------------------------------------------------------------------------
.4E-0003 -2.62499999999E+0000 -4.28891967391E+0000 -
.32048960571E+0002
.27110872425E+0001 8.94378351348E+0001 1.00001761823E+0000
---------------------------------------------------------------------------
.2E-0003 -2.50000000000E+0000 -4.28871090746E+0000 -
.23970643082E+0002
.02108741660E+0001 8.92481386350E+0001 1.00003133067E+0000
---------------------------------------------------------------------------
.2E-0003 -2.37500000000E+0000 -4.28833970763E+0000 -
.42916548013E+0002
.77104952768E+0001 8.89951861066E+0001 1.00005571638E+0000
---------------------------------------------------------------------------
.6E-0003 -2.25000000000E+0000 -4.28767975368E+0000 -
.82125500689E+0002
.52098215705E+0001 8.86578965133E+0001 1.00009908468E+0000
---------------------------------------------------------------------------
.5E-0003 -2.12500000000E+0000 -4.28650662337E+0000 -
.36526587949E+0002
.27086237365E+0001 8.82081800494E+0001 1.00017621726E+0000
---------------------------------------------------------------------------
.0E-0002 -2.00000000000E+0000 -4.28442189870E+0000 -
.02316173409E+0002
.02064942977E+0001 8.76086309739E+0001 1.00031341738E+0000
---------------------------------------------------------------------------
.3E-0002 -1.87500000000E+0000 -4.28071918754E+0000 -
.66406353386E+0001
.77027095975E+0001 8.68094925075E+0001 1.00055751402E+0000
---------------------------------------------------------------------------
.8E-0002 -1.75000000000E+0000 -4.27414896345E+0000 -
.73583786565E+0001
.51959857735E+0001 8.57447075080E+0001 1.00099195484E+0000
---------------------------------------------------------------------------
.4E-0002 -1.62500000000E+0000 -4.26251006669E+0000 -
.28613066238E+0001
.26840492103E+0001 8.43268824589E+0001 1.00176568017E+0000
.2E-0002 -1.50000000000E+0000 -4.24195337712E+0000 -
.19409462389E+0001
.01628864411E+0001 8.24411100029E+0001 1.00314528521E+0000
---------------------------------------------------------------------------
.2E-0002 -1.37500000000E+0000 -4.20583588818E+0000 -
.36882522383E+0001
.76254529185E+0001 7.99379724712E+0001 1.00561038849E+0000
---------------------------------------------------------------------------
.6E-0002 -1.25000000000E+0000 -4.14295957744E+0000 -
.74191397836E+0001
.50595070961E+0001 7.66270134538E+0001 1.01003164116E+0000
---------------------------------------------------------------------------
.5E-0002 -1.12500000000E+0000 -4.03523402127E+0000 -
.26203189187E+0001
.24441459646E+0001 7.22741113938E+0001 1.01801485181E+0000
---------------------------------------------------------------------------
.0E-0001 -9.99999999998E-0001 -3.85563244898E+0000 -
.91212379034E+0000
.97447416603E+0001 6.66102558875E+0001 1.03260576964E+0000
---------------------------------------------------------------------------
.3E-0001 -8.74999999999E-0001 -3.56942895843E+0000 -
.02609364622E+0000
.69067998418E+0001 5.93648909723E+0001 1.05987144050E+0000
---------------------------------------------------------------------------
.8E-0001 -7.50000000000E-0001 -3.14481986643E+0000 -
.79269626992E+0000
.38514916584E+0001 5.03389361057E+0001 1.11297565297E+0000
---------------------------------------------------------------------------
.4E-0001 -6.25000000000E-0001 -2.57793178753E+0000 -
.12603852305E+0000
.04788875950E+0001 3.95155532008E+0001 1.22510019657E+0000
---------------------------------------------------------------------------
.2E-0001 -4.99999999999E-0001 -1.92092386134E+0000 -
.85376025079E-0001
.68471126212E+0000 2.71584564077E+0001 1.50626174232E+0000
---------------------------------------------------------------------------
.2E-0001 -3.74999999999E-0001 -1.27807911485E+0000 -
.14192789138E-0001
.38598869800E+0000 1.38122819757E+0001 2.57959017507E+0000
---------------------------------------------------------------------------
.6E-0001 -2.49999999999E-0001 -7.53222530885E-0001 -
.53551714610E-0003
.46148473949E+0000 1.92884012032E-0001 -3.05180606321E+0000
---------------------------------------------------------------------------
.5E-0001 -1.24999999999E-0001 -3.94272957626E-0001
9.04622499307E-0002
.86124903862E+0000 -1.29232753238E+0001 -6.14890273159E-0001
---------------------------------------------------------------------------
.0E+0000 0.00000000000E+0000 -1.85930157153E-0001
8.57248365040E-0002
.37759145944E+0001 -2.47543291260E+0001 -2.14923615688E-0001
---------------------------------------------------------------------------
.3E+0000 1.25000000000E-0001 -8.11664680479E-0002
5.59844854719E-0002
.01223285156E+0001 -3.45984778179E+0001 -8.43109631425E-0002
---------------------------------------------------------------------------
.8E+0000 2.50000000000E-0001 -3.40738976018E-0002
3.06524882058E-0002
.67765549533E+0001 -4.19772772704E+0001 -3.42343764238E-0002
---------------------------------------------------------------------------
.4E+0000 3.75000000000E-0001 -1.43311135965E-0002
1.52248078236E-0002
.35934409500E+0001 -4.67353900493E+0001 -1.42974852657E-0002
---------------------------------------------------------------------------
.2E+0000 5.00000000000E-0001 -6.23913621393E-0003
7.19018893956E-0003
.04274892451E+0001 -4.90544855737E+0001 -6.22563150032E-0003
---------------------------------------------------------------------------
.2E+0000 6.25000000000E-0001 -2.85504272610E-0003
3.33578002520E-0003
.71492231458E+0001 -4.94439326980E+0001 -2.85199417648E-0003
---------------------------------------------------------------------------
.6E+0000 7.50000000000E-0001 -1.36787270008E-0003
1.55836234711E-0003
.36657508426E+0001 -4.87281275839E+0001 -1.36730785850E-0003
---------------------------------------------------------------------------
.5E+0000 8.74999999999E-0001 -6.73879826285E-0004
7.46887577425E-0004
.99483876785E+0001 -4.79451529994E+0001 -6.73775276513E-0004
---------------------------------------------------------------------------
.0E+0001 1.00000000000E+0000 -3.32854491459E-0004
3.70849160980E-0004
.60498617951E+0001 -4.80940798967E+0001 -3.32827653957E-0004
---------------------------------------------------------------------------
.3E+0001 1.12500000000E+0000 -1.60358077853E-0004
1.89929032135E-0004
.20909761664E+0001 -4.98290922907E+0001 -1.60347706295E-0004
---------------------------------------------------------------------------
.8E+0001 1.25000000000E+0000 -7.34164424770E-0005
9.83771816729E-0005
.82194312317E+0001 -5.32708594163E+0001 -7.34121526451E-0005
---------------------------------------------------------------------------
.4E+0001 1.37500000000E+0000 -3.13354463962E-0005
5.01769088948E-0005
.45597757296E+0001 -5.80195229158E+0001 -3.13339103783E-0005
---------------------------------------------------------------------------
.2E+0001 1.50000000000E+0000 -1.23847139258E-0005
2.46891535702E-0005
.11751220898E+0001 -6.33651479425E+0001 -1.23842577319E-0005
---------------------------------------------------------------------------
.2E+0001 1.62500000000E+0000 -4.56336190480E-0006
1.16410198913E-0005
.80593651492E+0001 -6.85995230394E+0001 -4.56324721396E-0006
---------------------------------------------------------------------------
.6E+0001 1.75000000000E+0000 -1.59162274888E-0006
5.28564754553E-0006
.05161085474E+0002 -7.32472112207E+0001 -1.59159734394E-0006
---------------------------------------------------------------------------
.5E+0001 1.87500000000E+0000 -5.34290618181E-0007
2.33383951249E-0006
.12416731091E+0002 -7.71110445410E+0001 -5.34285456832E-0007
---------------------------------------------------------------------------
.0E+0002 2.00000000000E+0000 -1.74994412795E-0007
1.01157713638E-0006
.19771959194E+0002 -8.01913488701E+0001 -1.74993420129E-0007
---------------------------------------------------------------------------
.3E+0002 2.12500000000E+0000 -5.64560102822E-0008
4.33456767457E-0007
.27188028360E+0002 -8.25853106704E+0001 -5.64558255847E-0008
---------------------------------------------------------------------------
.8E+0002 2.25000000000E+0000 -1.80479317575E-0008
1.84472482025E-0007
.34639996248E+0002 -8.44184476677E+0001 -1.80478980531E-0008
---------------------------------------------------------------------------
.4E+0002 2.37500000000E+0000 -5.73667470832E-0009 7.81985598408E-0008
.42112714958E+0002 -8.58105972955E+0001 -5.73666862622E-0009
---------------------------------------------------------------------------
.2E+0002 2.50000000000E+0000 -1.81604828153E-0009
3.30736361253E-0008
.49597286733E+0002 -8.68634863223E+0001 -1.81604719097E-0009
---------------------------------------------------------------------------
.2E+0002 2.62500000000E+0000 -5.72755058099E-0010
1.39703134657E-0008
.57088583328E+0002 -8.76587583976E+0001 -5.72754863257E-0010
---------------------------------------------------------------------------
.6E+0002 2.75000000000E+0000 -1.79790103130E-0010
5.89677009349E-0009
.64583680696E+0002 -8.82601170727E+0001 -1.79790068390E-0010
---------------------------------------------------------------------------
.5E+0002 2.87500000000E+0000 -5.60221389021E-0011
2.48796255201E-0009
.72080921780E+0002 -8.87166076196E+0001 -5.60221327153E-0011
---------------------------------------------------------------------------
.0E+0003 3.00000000000E+0000 -1.72326380807E-0011
1.04947697263E-0009
.79579370921E+0002 -8.90658357230E+0001 -1.72326369796E-0011
---------------------------------------------------------------------------
.3E+0003 3.12500000000E+0000 -5.17509500148E-0012
4.42634500794E-0010
.87078501157E+0002 -8.93367327305E+0001 -5.17509480559E-0012
---------------------------------------------------------------------------
.8E+0003 3.25000000000E+0000 -1.48175974570E-0012
1.86674710623E-0010
.94578016640E+0002 -8.95518113551E+0001 -1.48175971085E-0012
---------------------------------------------------------------------------
.4E+0003 3.37500000000E+0000 -3.81467774315E-0013
7.87240227846E-0011
.02077752460E+0002 -8.97289768900E+0001 -3.81467768118E-0013
---------------------------------------------------------------------------
.2E+0003 3.50000000000E+0000 -7.16328746231E-0014
3.31984689403E-0011
.09577618676E+0002 -8.98829925783E+0001 -7.16328735210E-0014
---------------------------------------------------------------------------
.2E+0003 3.62500000000E+0000 4.90348907623E-0015
1.39997888937E-0011
.17077569729E+0002 8.99865599432E+0001 4.90348927222E-0015
---------------------------------------------------------------------------
.6E+0003 3.75000000000E+0000 1.70464744127E-0014 5.90362471216E-0012
.24577588951E+0002 8.98411785834E+0001 1.70464744476E-0014
---------------------------------------------------------------------------
.5E+0003 3.87500000000E+0000 1.41042315307E-0014
2.48948139913E-0012
.32077682888E+0002 8.96819981302E+0001 1.41042315369E-0014
---------------------------------------------------------------------------
.0E+0004 4.00000000000E+0000 9.35983638185E-0015
1.04975647302E-0012
.39577883530E+0002 8.94957449279E+0001 9.35983638295E-0015
----------------------------------------------------------------------------
По
полученным результатам строим годограф Найквиста (амплитудно-фазовая частотная
характеристика разомкнутой системы) при изменении ω от 0 до +
(рис.
5), откладывая по оси абсцисс вещественную, а по оси ординат мнимую части
передаточной функции разомкнутой системы. Как зеркальное отображение
относительно оси абсцисс достраиваем годограф Найквиста при изменении ω от 0 до -
. Затем,
по часовой стрелке, дугой бесконечно большого радиуса соединяем первую и вторую
ветви годографа.
При
этом она не охватывает точку (-1, i), что является необходимым и
достаточным условием устойчивости замкнутой системы. Таким образом, при
выбранных значениях
и
проектируемая
система устойчива.
Величину
запасов устойчивости по амплитуде и фазе определяем следующим образом. Запас по
амплитуде DА определяется как длина отрезка от точки (-1, i0)
до ближайшей точки пересечения годографом Найквиста вещественной оси (см. рис.
5). Запас по фазе
определяется путем дополнительного построения
окружности единичного радиуса с центром в начале координат. Через точку
пересечения окружности и годографа проводим прямую с началом в центре координат
и угол образованный этой прямой и вещественной осью является запасом
устойчивости по фазе (см. рис. 5).
Рис.
5. Годограф Найквиста
Получили, что:
§ Запас устойчивости по амплитуде DA = 0,29
§ Запас устойчивости по фазе Dj =7°50'.
5.2 Определение запасов
устойчивости системы по амплитуде и фазе с помощью логарифмического критерия
устойчивости Найквиста. Построение АФЧХ, АЧХ, ФЧХ разомкнутой системы и ВЧХ
замкнутой системы
Логарифмический критерий устойчивости Найквиста
позволяет выяснить устойчивость замкнутой системы по логарифмическим частотным
характеристикам разомкнутой системы. Эту возможность используют весьма широко
вследствие простоты построения таких характеристик и определения по ним запаса
устойчивости.
Если разомкнутая система устойчива, то для ее
устойчивости в замкнутом состоянии необходимо и достаточно, чтобы число
переходов логарифмической фазово-частотной характеристики (ЛФЧХ) через линию
-180° при положительных значениях логарифмической амплитудно-частотной
характеристики (ЛАЧХ) было четным (в частном случае равно нулю). Пересечение
ЛФЧХ линии -180° снизу вверх cчитается
положительным, а сверху вниз - отрицательным.
Амплитудно-частотная логарифмическая характеристика
разомкнутой системы L(ω) рассчитывается по формуле:
Ищем
выражение для
, используя только что найденные
и
Отсюда
получаем, что
Также,
используя найденные
и
, находим
По
определенным с помощью ЭВМ данным строятся амплитудно-фазовая и логарифмические
амплитудная и фазовая частотные характеристики разомкнутой системы, а также
вещественная частотная характеристика замкнутой системы. Данные характеристики
представлены на рис 6.
Рис.
6. Амплитудно-частотная и фазо-частотная характеристики разомкнутой системы
По
логарифмическому критерию устойчивости Найквиста получаем:
.
Запас устойчивости по амплитуде DL = 2,54 дБ.
.
Запас устойчивости по фазе Dj = 6,92°.
5.3 Определение времени переходного процесса,
величины перерегулирования и показателя колебательности
Основой
метода является зависимость между переходной характеристикой h(t)
устойчивой системы и ее вещественной характеристикой P(ω)
относительно одного из внешних воздействий.
(8)
Найдем
вещественную частотную характеристику замкнутой системы
, исходя из того, что ее частотная передаточная
функция
:
Домнажаем
числитель и знаменатель на комплексно сопряженное знаменателю число
:
Отсюда получаем, что вещественная частотная характеристика замкнутой
системы
Наиболее часто используется метод трапецеидальных характеристик:
ВЧХ замкнутой системы разбиваем на трапеции таким образом, что бы
суммарная площадь трапеций (с учетом знаков) максимально приближалась к площади
ограниченной кривой ВЧХ (см. рис.7). Если нижнее основание трапеции больше
верхнего, то трапецию берем со знаком "+" и наоборот. Трапеции всегда
слева ограничены осью координат.
Рис. 7. Вещественная частотная характеристика замкнутой системы
Рис.8 .Трапецеидальная вещественная частотная характеристика
Определяем
параметры wdi, wпi,
и
каждой трапеции и заносим их в расчетную табл.2.
Таблица
2 Характеристики трапеций
Вычисляем
коэффициенты наклона:
В таблице h-функций для
каждой трапеции отыскиваем столбец, соответствующий значениюcI . Затем для ряда значений условного
времени t определяем соответствующие им
значения h(t). По значениям t и h(t) вычисляем значения действительного
времени t и составляющей hi переходной характеристики:
; (9)
(10)
В случае если ci не
совпадает с указанным в таблице h-функций,
то значения h(t) получаем в результате линейной интерполяции по двум
соседним столбцам, соответствующим значениям c1 и c2, таким что: c1 <ci <c2.
По полученным таким образом результатам (см. табл. 3) строим график
составляющих переходной характеристики (рис. 9). После чего, в результате
сложения составляющих переходной характеристики, получаем ее график (рис. 10).
Таблица.3 Построение переходной характеристики методом трапеций
|
t1
|
h1
|
t2
|
h2
|
t3
|
h3
|
t4
|
h4
|
|
tрез
|
hрез
|
|
0
|
0
|
0
|
0
|
0
|
0
|
0
|
0
|
|
0
|
0
|
|
0,98
|
2,72
|
1,05
|
-0,54
|
0,83
|
-1,29
|
0,48
|
-0,3
|
|
3,33
|
0,55
|
|
1,95
|
5,29
|
2,10
|
-1,05
|
1,66
|
-2,50
|
0,96
|
-0,6
|
|
6,66
|
1,10
|
|
2,93
|
7,44
|
3,15
|
-1,51
|
2,48
|
-3,53
|
1,43
|
-0,9
|
|
10,00
|
1,47
|
|
3,90
|
8,99
|
4,20
|
-1,89
|
3,31
|
-4,33
|
1,91
|
-1,2
|
|
13,33
|
1,62
|
|
4,88
|
10,05
|
5,25
|
-2,19
|
4,14
|
-4,85
|
2,39
|
-1,3
|
|
16,66
|
1,69
|
|
5,86
|
10,60
|
6,30
|
-2,40
|
4,97
|
-5,18
|
2,87
|
-1,4
|
|
19,99
|
1,57
|
|
6,83
|
10,60
|
7,35
|
-2,52
|
5,79
|
-5,22
|
3,35
|
-1,5
|
|
23,32
|
1,36
|
|
7,81
|
10,24
|
8,40
|
-2,58
|
6,62
|
-5,11
|
3,83
|
-1,5
|
|
26,66
|
1,03
|
|
8,79
|
9,72
|
9,45
|
-2,56
|
7,45
|
-4,89
|
4,30
|
-1,5
|
|
29,99
|
0,77
|
|
9,76
|
9,10
|
10,50
|
-2,52
|
8,28
|
-4,61
|
4,78
|
-1,5
|
|
33,32
|
0,51
|
|
10,74
|
8,62
|
11,55
|
-2,46
|
9,11
|
-4,36
|
5,26
|
-1,4
|
|
36,65
|
0,40
|
|
11,71
|
8,31
|
12,60
|
-2,36
|
9,93
|
-4,16
|
5,74
|
-1,3
|
|
39,98
|
0,45
|
|
12,69
|
8,15
|
13,65
|
-2,29
|
10,76
|
-4,05
|
6,22
|
-1,3
|
|
43,32
|
0,52
|
|
13,67
|
8,24
|
-2,23
|
11,59
|
-4,04
|
6,70
|
-1,3
|
|
46,65
|
0,71
|
|
14,64
|
8,49
|
15,75
|
-2,19
|
12,42
|
-4,12
|
7,17
|
-1,2
|
|
49,98
|
0,94
|
|
15,62
|
8,84
|
16,80
|
-2,17
|
13,25
|
-4,25
|
7,65
|
-1,2
|
|
53,31
|
1,19
|
|
16,60
|
9,17
|
17,85
|
-2,17
|
14,07
|
-4,40
|
8,13
|
-1,2
|
|
56,64
|
1,36
|
|
17,57
|
9,45
|
18,90
|
-2,18
|
14,90
|
-4,55
|
8,61
|
-1,3
|
|
59,98
|
1,46
|
|
18,55
|
9,60
|
19,95
|
-2,20
|
15,73
|
-4,66
|
9,09
|
-1,3
|
|
63,31
|
1,45
|
|
19,52
|
9,59
|
21,00
|
-2,21
|
16,56
|
-4,71
|
9,56
|
-1,3
|
|
66,64
|
1,36
|
|
20,50
|
9,48
|
22,04
|
-2,23
|
17,38
|
-4,71
|
10,04
|
-1,3
|
|
69,97
|
1,22
|
|
21,48
|
9,26
|
23,09
|
-2,24
|
18,21
|
-4,65
|
10,52
|
-1,3
|
|
73,30
|
1,04
|
|
22,45
|
9,03
|
24,14
|
-2,25
|
19,04
|
-4,56
|
11,00
|
-1,3
|
|
76,64
|
0,89
|
|
23,43
|
8,80
|
25,19
|
-2,25
|
19,87
|
-4,45
|
11,48
|
-1,3
|
|
79,97
|
0,76
|
|
24,40
|
8,65
|
26,24
|
-2,21
|
20,70
|
-4,36
|
11,96
|
-1,3
|
|
83,30
|
0,74
|
|
25,38
|
8,59
|
27,29
|
-2,25
|
21,52
|
-4,29
|
12,43
|
-1,3
|
|
86,63
|
0,72
|
|
26,36
|
8,63
|
28,34
|
-2,25
|
22,35
|
-4,26
|
12,91
|
-1,3
|
|
89,96
|
0,79
|
|
27,33
|
8,77
|
29,39
|
-2,26
|
23,18
|
-4,28
|
13,39
|
-1,3
|
|
93,30
|
0,91
|
|
28,31
|
8,94
|
30,44
|
-2,26
|
24,01
|
-4,32
|
13,87
|
-1,3
|
|
96,63
|
1,04
|
|
29,29
|
9,12
|
31,49
|
-2,27
|
24,83
|
-4,39
|
14,35
|
-1,3
|
|
99,96
|
1,15
|
|
30,26
|
9,27
|
32,54
|
-2,27
|
25,66
|
-4,46
|
14,83
|
-1,3
|
|
103,29
|
1,22
|
|
31,24
|
9,35
|
33,59
|
-2,28
|
26,49
|
-4,53
|
15,30
|
-1,3
|
|
106,62
|
1,23
|
|
32,21
|
9,36
|
34,64
|
-2,28
|
27,32
|
-4,57
|
15,78
|
-1,3
|
|
109,96
|
1,20
|
|
33,19
|
9,29
|
35,69
|
-2,28
|
28,15
|
-4,58
|
16,26
|
-1,3
|
|
113,29
|
1,11
|
|
34,17
|
9,18
|
36,74
|
-2,27
|
28,97
|
-4,57
|
16,74
|
-1,3
|
|
116,62
|
1,03
|
|
35,14
|
9,02
|
37,79
|
-2,27
|
29,80
|
-4,53
|
17,22
|
-1,3
|
|
119,95
|
0,91
|
|
36,12
|
8,66
|
38,84
|
-2,26
|
30,63
|
-4,48
|
17,69
|
-1,3
|
|
123,28
|
0,61
|
|
37,09
|
8,79
|
39,89
|
-2,25
|
31,46
|
-4,48
|
18,17
|
-1,3
|
|
126,62
|
0,75
|
|
38,07
|
8,75
|
40,94
|
-2,25
|
32,28
|
-4,38
|
18,65
|
-1,3
|
|
129,95
|
0,82
|
|
39,05
|
8,78
|
41,99
|
-2,24
|
33,11
|
-4,36
|
19,13
|
-1,3
|
|
133,28
|
0,88
|
|
40,02
|
8,88
|
43,04
|
-2,24
|
33,94
|
-4,34
|
19,61
|
-1,3
|
|
136,61
|
0,99
|
|
41,00
|
8,97
|
44,09
|
-2,24
|
34,77
|
-4,34
|
20,09
|
-1,3
|
|
139,94
|
1,08
|
|
41,98
|
9,08
|
45,14
|
-2,24
|
35,60
|
-4,40
|
20,56
|
-1,3
|
|
143,28
|
1,13
|
|
42,95
|
9,20
|
46,19
|
-2,24
|
36,42
|
-4,44
|
21,04
|
-1,3
|
|
146,61
|
1,20
|
|
43,93
|
9,26
|
47,24
|
-2,25
|
37,25
|
-4,48
|
21,52
|
-1,3
|
|
149,94
|
1,20
|
|
44,90
|
9,26
|
48,29
|
-2,25
|
38,08
|
-4,52
|
22,00
|
-1,3
|
|
153,27
|
1,17
|
|
45,88
|
9,23
|
49,34
|
-2,25
|
38,91
|
-4,52
|
22,48
|
-1,3
|
|
156,60
|
1,13
|
|
46,86
|
9,14
|
50,39
|
-2,25
|
39,74
|
-4,52
|
22,96
|
-1,3
|
|
159,94
|
1,04
|
|
47,83
|
9,02
|
51,44
|
40,56
|
-4,51
|
23,43
|
-1,3
|
|
163,27
|
0,93
|
|
48,81
|
8,91
|
52,49
|
-2,25
|
41,39
|
-4,48
|
23,91
|
-1,3
|
|
166,60
|
0,85
|
|
49,79
|
8,86
|
53,54
|
-2,25
|
42,22
|
-4,45
|
24,39
|
-1,3
|
|
169,93
|
0,83
|
|
50,76
|
8,84
|
54,59
|
-2,25
|
43,05
|
-4,39
|
24,87
|
-1,3
|
|
173,26
|
0,88
|
Рис. 9 . Переходная характеристика и ее составляющие
Рис. 10 . Переходная характеристика
Определяем:
1. установившееся значение yуст= 1
2. максимальное значение ymax=1,69
3. время переходного процесса tп =180 с
4. величина перерегулирования
1. показатель колебательности m= 8.
5.4 Определение коэффициентов ошибок замкнутой
системы
Для оценки точности проектируемой системы управления необходимо
определить величину установившейся ошибки еуст - отклонение регулируемой
величины в установившемся режиме от требуемого значения, определяемого входным
управляющим сигналом:
, (11)
где е(t)=g(t)-y(t) - изменение ошибки во времени.
Если функция задающего воздействия g(t) имеет произвольную
форму, но достаточно плавную вдали от начальной точки процесса в том смысле,
что через некоторое время существенное значение имеет только конечное число n производных:
,
то ошибку системы можно определить следующим образом. Представим
однозвенную замкнутую систему (см.п.2) в таком виде, что выходной величиной
будет значение ошибки.
а) б)
Рис.11
Для полученной системы (см. рис. 11, б) можно записать передаточную
функцию по ошибке
, (12)
где Е(s) - изображение ошибки системы по
Лапласу, G(s) - изображение по Лапласу задающего воздействия. Изображение
ошибки, согласно (12):
. (13)
В выражении разложим передаточную функцию по ошибке в ряд по возрастающим
степеням оператора s:
. (14)
сходящийся при малых значениях s, то есть при достаточно больших значениях времени t, что соответствует установившемуся
процессу изменения регулируемой величины при заданной форме управляющего
воздействия.
Получаем формулу для установившейся ошибки:
. (15)
Величины с0, с1, с2, …называются коэффициентами ошибок. Они определяются
согласно общему правилу разложения функции в ряд Тейлора по формулам:
,
, …,
. (16)
Найдем коэффициенты ошибки по положению с0, и скорости с1 для
проектируемой системы. Согласно (2) выражение для передаточной функции
разомкнутой системы имеет вид
По
формуле (12) определяем передаточную функцию замкнутой системы по ошибке
(17)
Найдем первую и вторую производные от передаточной функции по ошибке. Для
удобства введем следующие обозначения:
- числитель передаточной функции по ошибке:
(18)
знаменатель передаточной функции по ошибке
(19)
первая производная от числителя передаточной функции по ошибке:
(20)
первая производная от знаменателя передаточной функции по ошибке:
(21)
С учетом введенных обозначений получаем:
; (22)
Согласно формулам (16) имеем

Таким образом, коэффициенты ошибок:
по положению с0=0;
по скорости с1=0,976.
Определим также величины обратные коэффициентам ошибок, называемые
добротностью:
- добротность по положению d0=1/с0=∞;
- добротность по скорости d1=1/с1=1/0,976=1,025.
Выводы
Курсовая
работа была посвящена разработке электрогидравлической системы дроссельного
регулирования скорости. С помощью критерия устойчивости Михайлова была выделена
область устойчивости проектируемой системы, выбраны неизвестные величины
постоянной времени тахогенератора II
и коэффициента электромеханического преобразователя
.
Для
оценки качества системы с помощью критерия устойчивости Найквиста были
определены качественные показатели системы, к которым относятся запас
устойчивости по амплитуде и фазе, время переходного процесса, величина перерегулирования
и ошибки системы по положению и скорости. По простому критерию устойчивости
Найквиста получаем запас по амплитуде 0,29, по фазе 7º50'. По логарифмическому критерию устойчивости
Найквиста запас по амплитуде составляет 2,54 дБ, по фазе 6,92º. Система считается конкурентоспособной, если запас
устойчивости по амплитуде > 6дБ, запас устойчивости по фазе> 45°.
Быстродействие
спроектированной системы оценивается следующими показателями:
время
переходного процесса tп =180 с
величина
перерегулирования
показатель
колебательности
Ошибка
по положению для данной электрогидравлической системы дроссельного
регулирования скорости равна нулю, а ошибка по скорости равна 0,976.
Таким
образом можно сделать вывод, что при выбранных значениях времени тахогенератора
II
и коэффициента электромеханического преобразователя
.получили большую величину времени переходного
процесса, небольшой запас по амплитуде и фазе, большое значение показателя
колебательности, следовательно для обеспечения конкурентоспособности системы
нужно выбрать из области устойчивости (см. рис. 4) другие значения данных
параметров и заново произвести расчет.
Список литературы
1. Выбор параметров объектов и устройств
управления механическим оборудованием с использованием ЭВМ: Метод. указания по
курсовому проектированию /СПбГТУ, Сост. В.С. Нагорный, Н.Б. Культин. СПб.,
1994. -36 с.
2. Теория систем автоматического
регулирования; издательство “Наука”, Бесекерский В.А., Попов Е.П.