Разработка стенда виброакустической диагностики зубчатых передач
Содержание
Введение 2
. Объект
контроля 3
. Волноводный
акустический метод контроля 5
. Спектральное
представление сигнала 7
. Расчет
параметров для платы АЦП 10
. Выбор
платы аналого-цифрового преобразования 12
.1 Параметры
АЦП ЛА-н10USB 13
. Выбор
ПЭВМ 15
. Автоматическая
система 18
.1 Блок -
схема работы установки 20
Заключение 22
Список литературы 23
Введение
В настоящее время количество эксплуатируемых машин и
оборудования в любой стране существенно превышает возможности их обслуживания и
ремонта в соответствии с рекомендациями производителей. Выходом из сложившейся
ситуации становится, во-первых, увеличение доли оборудования, не требующего
обслуживания а, во-вторых, переход на ремонт оборудования и механизмов по его
фактическому состоянию. Но это возможно лишь при использовании методов и
средств глубокой диагностики и долгосрочного прогноза состояния оборудования в
процессе его эксплуатации, которые лишь в последние годы стали развиваться
быстрыми темпами, поэтому проблема поддержания работоспособности машин и
механизмов остается по-прежнему актуальной.
Узлы и агрегаты машин, станков, двигателей и другого
оборудования содержат в своей конструкции механизмы, содержащие зубчатые
передачи, которые имеют тенденцию к изнашиванию, старению и выходу из строя.
Износ и дефекты зубчатых передач при работе механизма, проявляют себя в виде
биения, вибрации или стука на разных частотах. Техническое состояние любой,
даже практически идеально изготовленной, зубчатой пары может быть оценено в
процессе работы при помощи вибродиагностики.
Иногда под термином «вибродиагностика» понимают обнаружение
любого изменения вибрации оборудования. В действительности, работа по контролю
и анализу вибрации называется диагностированием лишь в том случае, когда
определяется наличие, вид и степень развития дефекта, формируется прогноз
времени безаварийной эксплуатации узла.
Вибродиагностика не единственный метод, она может быть
дополнена контролем температуры, качества смазки и технологических параметров.
Но из всех перечисленных методов контроля именно вибродиагностика является
наиболее эффективной по соотношению затраты / результат.
1.
Объект контроля
Зубчатая передача - это механизм, состоящий из колёс с
зубьями, которые сцепляются между собой и предназначены для передачи вращательного
движения с одного вала на другой. Зубчатая передача относиться к передачам
зацеплением, с непосредственным контактом зубчатых колёс. Меньшее из колёс
передачи принято называть шестерней, а большее - колесом. Если диаметр ведущего
колеса меньше, то вращающий момент ведомого колеса увеличивается за счёт
пропорционального уменьшения скорости вращения, и наоборот. Зубчатые колеса
удерживаются на валу обычно с помощью шлицевого или шпоночного соединения,
реже, с помощью болтов или винтов. Наиболее часто в различных машинах применяют
зубчатые колёса среднего диаметра (примерно от 80 до 200 мм). Колёса большего
диаметра делают со спицами, а небольшого - сплошным, т. е. без диска и без
спиц. Основными элементами зубчатого колеса (Рисунок 1) являются зубья, каждый
зуб состоит из головки зуба и ножки: Зубья находятся на ободе колеса и вместе с
ободом составляют зубчатый венец: более тонкая часть колеса - диск соединяет
ступицу с ободом, внутри ступицы делают отверстие для вала с пазом для
шпонки.
Рисунок 1. Зубчатое колесо.
Зубчатые передачи (Рисунок 2) бывают
открытыми, полуоткрытыми и закрытыми. Открытыми называют передачи, которые не
имеют кожуха (резервуара) для масляной ванны; смазываются такие передачи периодически
консистентной смазкой. Обычно эти передачи тихоходные и применяются
преимущественно в простых машинах и механизмах. Полуоткрытые передачи
отличаются от открытых наличием резервуара для жидкой масляной ванны. Закрытыми
называют передачи, которые вместе с подшипниками смонтированы в специальных
корпусах.
По эксплуатационному назначению можно выделить четыре
основные группы зубчатых передач: отсчётные, скоростные, силовые и общего
назначения.
Рисунок 2. Зубчатая передача
2.
Виброакустический метод контроля
Достоинством вибродиагностических методов, при применении их
для анализа состояния зубчатой передачи, является то, что диагностика
производится без разбора узла или агрегата, в рабочих режимах. Однако, правильный
анализ и точный диагноз, требует особых навыков у вибродиагноста, так как он
несет ответственность за принятое решение о том, стоит ли продолжать
эксплуатацию механизма, либо подвергнуть ремонту или замене деталь, с
предполагаемым дефектом. В тех случаях, когда зубчатая передача работает в
ответственных механизмах, либо, когда простой оборудования влечет за собой
большие материальные затраты, правильность принятия решения особо важна.
Поэтому наличие только теоретических знаний о проведении виброиспытаний не
является достаточным, так как умение правильно интерпретировать результаты
анализа вибросигналов, требует большой практики. Для приобретения начального
уровня умений по диагностике и изучению вибрации зубчатых передач, а также для
выявления наиболее распространенных дефектов, трудно начинать сразу со сложного
оборудования, содержащего большое количество вращающихся объектов, создающих
сложную, по своему составу, спектральную картину. Более рационально сначала
изучить вибрацию отдельной зубчатой пары, имеющей наиболее распространенные
дефекты, научиться выделять эти дефекты на фоне всего вибросигнала, оценивать
их влияние на работу зубчатой передачи, и только после этого работать с более
сложными механизмами. Для этой цели целесообразно создать экспериментальный
стенд зубчатой передачи, имеющего возможность вносить в конструкцию зубчатой
пары искусственные дефекты, которые обычно встречаются в работе узлов и
агрегатов, содержащих зубчатые передачи. Дефекты должны быть именно
«вносимыми», то есть съемными, что позволит, путем сравнения сигналов с
дефектом и без него, определять расположение дефекта на спектральной картине.
Разработка экспериментального стенда позволит рассматривать
различные методы диагностирования вибросигналов и проводить их анализ в лабораторных
условиях, что позволит значительно упростить исследование существующих методов
и их дальнейшее развитие.
3. Спектральное представление сигнала
Для разработки стенда виброакустической диагностики
необходимо проанализировать исследуемый сигнал. Для наглядности исследования
смоделируем регистрируемый сигнал в программной среде Mathcad.
Сигнал (Рисунок 3) был построен по формулам (1), его значения
соответствуют реальным получаемым значениям в процессе проведения эксперимента.
Рисунок 3 Смоделированный сигнал в программной среде MathCAD
Рисунок 4 Спектр исследуемого сигнала
Рисунок 5 Восстановленный сигнал
PFF - исходный сигнал, PFF1 - восстановленный
Исходя из теоремы Котельникова (Найквиста-Шенона), для того
чтобы восстановить аналоговый сигнал без потерь частота дискретизации
аналого-цифрового преобразователя должна быть в 2 раза больше максимальной
частоты, которой ограничен спектр исходного аналогового сигнала. Следовательно,
частота дискретизации f = 1/180Гц.
Также необходимо рассчитать частоту дискретизации, исходя из
точности измерения по времени. Измеряемые скорости в среднем равны 3250 м/с.
Для получений достоверных результатов погрешность при измерении скорости должна
составлять ± 1 м/с или 0,03 %. Скорость определяется по формуле (2)

(2)
Экспериментальные исследования проводятся на линейно -
протяженных объектах в виде фрагментов насосно-компрессорных труб длиной 4 м.
Измерение длины выполняется с помощью ручной металлической рулетки. Погрешность
отклонения длины отметок шкалы от номинальных значений (ДL), согласно технических
требований по ГОСТ 7502-98, определяется по формуле (3):
(3)
Для получений достоверных результатов погрешность при
измерении длины должна составлять ± 1 мм или 0,04 %. Таким образом, точность
измерения времени Дt = ±0,6 мкс. Исходя из этого, рассчитана частота
дискретизации f
= 1,6 МГц.
4.
Расчет параметров для платы АЦП
Главным пунктом при выборе АЦП идет выбор ее разрядности.
Разрядность АЦП будет влиять на точность измерения амплитуды регистрируемых
сигналов. Необходимо рассчитать точность для 12 и 8 разрядных АЦП.
(4)
(5)
где U - максимальный размах напряжения аналогового сигнала; N1 и N2 - значение младших
разрядов для 12 и 8 разрядных АЦП соответственно.
Размах амплитуды регистрируемого сигнала 2В, точность
регистрации амплитуды, которая необходима для дальнейшей обработки сигнала,
должна быть не менее 1 мВ, что составляет 0,05 %, от амплитуды сигнала.
Точность для 12 разрядной АЦП составляет 0,48 мВ (0,024 %), а для 8 разрядной -
7,8 мВ (0,39 %). Следовательно, 8 разрядное АЦП для регистрации нашего сигнала
не подходит, для точного восстановления сигнала необходимо использовать 12
разрядные АЦП.
Далее необходимо рассчитать объем памяти для записи полезного
сигнала при известном периоде дискретизации Tdis = 0,6 мкс и длительности
полезного сигнала Tp = 138 мкс.
(6)
Необходимый минимальный объем памяти FIFO для 12 разрядной АЦП, с
частотой дискретизации 1,6 МГц и длительностью полезного сигнала Tp = 138 мкс, будет равен: FIFO = 2,7 КСлов. Что
составляет 5,4 Кб.
Полное измерение включает в себя прием десяти равнозначных по
длительности отражений. В соответствие с приведенными выше расчетами для одного
полезного сигнала, необходимый объем памяти FIFO для регистрации десяти
отражений будет составлять 54 Кб.
5.
Выбор платы аналого-цифрового преобразования
В результате анализа рынка АЦП были выбраны наиболее
подходящие варианты для решения поставленной перед нами задачи. Основные
характеристики, на которые было обращено внимание это частота дискретизации,
объем буфера памяти, а также шина интерфейса ПК и габариты, т. к. наша задача -
это переносное устройство. Их основные характеристики представлены в таблице 1.
Таблица 1 Сравнительные параметры АЦП
|
ЛА-н1-12 USB
|
ЛА-н10-12USB
|
|
Тип АЦП
|
последовательно-параллельный
|
последовательно-параллельный
|
|
Разрядность,
бит
|
12
|
12
|
|
Запуск АЦП
|
внутренний или
внешний
|
внутренний или
внешний От внутреннего кварцевого генератора, от внешней тактовой частоты
|
|
Максимальная
частота дискретизации, МГц
|
100
|
80
|
|
Время
преобразования, нс
|
20
|
20
|
4096 КСлов
|
1024 КСлов
|
|
Диапазон
входного сигнала
|
±2В; ±1В;
±0.4В; ±0,2В
|
±2В; ±1В;
±0.4В; ±0,2В
|
|
Шина интерфейса
ПК
|
USB
|
USB
|
|
Габариты, мм
|
110х240
|
245х138х34
|
|
Цена, руб.
|
42000
|
46020
|
Для реализации автоматической системы регистрации сигналов
при контроле труб подходят обе АЦП. Каждая из них обладает своими
преимуществами.
Так как нам нужно разработать портативное устройство, то
важную роль играет геометрический размер АЦП, и способ подключения к
компьютеру. Наиболее выгодные для нас характеристики имеет АЦП ЛА-н10-12USB. У
него имеется отдельный корпус и USB интерфейс подключения к ПК. Что будет удобно для
использования в портативном устройстве. Поэтому выбор остановим на 12 разрядной
АЦП ЛА-н10-12USB.
.1
Параметры АЦП ЛА-н10USB
Плата ЛА-н10USB (Рисунок 5) предназначена для преобразования
аналоговых входных сигналов в цифровую форму, которая удобна для дальнейшей
обработки сигнала при помощи персонального компьютера.
В таблице 2 представлены основные характеристики аналого-цифрового
канала и преобразователя.
Рисунок 5 Внешний вид АЦП ЛА-н10-12USB
Таблица 2 Характеристика аналого-цифрового канала
|
Характеристика
аналого-цифрового канала
|
|
Число
аналоговых входов
|
2 синхронных (2
канала АЦП)
|
|
Конфигурация
аналоговых входов
|
однополюсные
|
|
Входное
сопротивление, Ом
|
50
|
|
Разъем
|
BNC
|
|
Диапазон
входного напряжения
|
±2В; ±1В;
±0.4В; ±0,2В
|
|
Защита по
напряжению аналоговых входов, В
|
±7,5
|
|
Объем буфера
памяти
|
1024 КСлов
|
|
Характеристика
аналого-цифрового преобразователя
|
|
Тип АЦП
|
Параллельно-последовательный
|
|
Разрешение, бит
|
12
|
|
Максимальная
частота дискретизации, МГц
|
80
|
|
Запуск АЦП
|
От внутреннего
кварцевого генератора или от внешней тактовой частоты
|
|
Разъем для
внешней тактовой частоты
|
BNC
|
Стандартно установленный объем буфера памяти превышает
необходимый объем в 27 кСлов. Объем памяти ОЗУ можно уменьшить программно до 1
кСлова с шагом 2n, где n = 1. После проведенных расчетов программно
устанавливаемый объем памяти ОЗУ будет равен 32 кСлов.
6.
Выбор ПЭВМ
Заключительным шагом в разработке портативного устройства для
контроля насосно-компрессорных труб является выбор ПЭВМ. С его помощью легко
можно обрабатывать всю информацию, полученную в процессе контроля.
Характеристики, которыми должен обладать компьютер для
оптимальной работы: малые габариты и портативность.
Этому условию, из существующих на рынке вариантов,
удовлетворяют ноутбуки. Поэтому именно из этого класса персональных компьютеров
мы будем выбирать оптимальный вариант для решения нашей задачи.
Наиболее важные параметры при выборе ПК является скорость
работы и производительность.
Для обработки высокочастотных сигналов и для многократных
однотипных измерений необходим производительный, высокочастотный процессор. Для
максимальной производительности минимальный объем оперативной памяти должен
быть не менее 2 Гб. Жесткий диск должен обладать объемом памяти 500 Гб, это
связано с особенностью поставленной задачи.
Так как контроль насосно-компрессорных труб будет
производиться в различных местах и различных условиях, то немаловажную роль для
нас будет играть надежность компьютера. А точнее его устойчивость к внешним
воздействиям и агрессивным средам, например: влаго- и пылезащищенность,
устойчивость к ударам и т. д.
Выбор остановим на ноутбуке DELL Inspirion N5110 (Рисунок 6).
Рисунок 6 Внешний вид ноутбука DELL Inspirion N5110
Подробные
характеристики ноутбука DELL Inspirion N5110
В таблице 4 представлены подробные характеристики выбранного
ноутбука.
Таблица 3 Характеристики DELL Inspirion N5110
|
Характеристики
|
DELL Inspirion
N5110
|
|
Процессор
|
Core
i3 2200 МГц
|
|
Кол-во ядер
|
2
|
|
Объем КЭШа L2, Кб
|
512
|
|
Объем КЭШа L3, Мб
|
3
|
|
Чипсет
|
|
Объем и тип
оперативной памяти, Мб
|
4096
DDR3
|
|
Дисплей, дюйм
|
15.6
|
|
Разрешение
|
1366х768
|
|
Тип
графического контроллера
|
дискретный
|
|
Видеопамять
|
NVIDIS
GeForce GT 525M
|
|
Оптический
привод
|
DVD-RW
|
|
Жесткий диск,
Гб
|
500 SATA
|
|
Интерфейсы
|
USB 2.0x2, USB
3.0x2, VGA (D-Sub), HDMI, вход микрофонный, выход аудио / наушники, eSATA,
LAN (RJ-45)
|
|
Поддержка карт
памяти
|
Да
|
|
Питание
|
Li-ion аккумулятор 11.1В 48 Вт•ч (4200 мАч)
|
|
Вес, кг
|
2,47
|
|
Особенности
|
Пылезащищенность
|
|
Габариты, см
|
50.5 x 35 x
10.5
|
Для портативного устройства вес, габариты и время работы от
батареи являются важными характеристиками. Из таблицы видно, что у выбранного
нами ноутбука, вес меньше 3 кг, что положительно влияет на удобство работы.
Максимальный объем передаваемых данным по порту USB 3.0 110Мбайт/сек. Объем
передаваемых данных с АЦП на ПК составляет 64 Кб, время преобразования одного
отражения составляет 20 нс, для многократных отражений это время увеличивается
пропорционально. Для поставленной задачи необходимое время преобразования
составляет 200 нс.
7.
Автоматическая система
Для экспериментального стенда необходимо собрать все
выбранные блоки воедино. Сбор всех элементов необходимо производит в
соответствии со схемой представленной на рисунке 7.
Рисунок 7 Структурно-функциональная схема экспериментального
стенда
АЦП - аналогово-цифровой преобразователь;
ПК - персональный компьютер;
USB - последовательный порт стандарта USB 2.0;
Д - датчик;
ДВ - электродвигатель;
БП - блок питания;
- информационный четырехжильный кабель;
- кабель питания двухжильный;
- объект контроля;
- рабочий выключатель;
- основание стенда;
- общий выключатель.
Экспериментальный стенд включает в себя два зубчатых колеса,
находящихся в зацеплении, электродвигателя, блока его питания и акселерометр,
для снятия сигнала и введения его в ПК.
Для стенда была выбрана прямозубая зубчатая передача с
эвольвентным зацеплением, ввиду своей простоты и пригодности для создания
искусственного дефекта. Зубчатые колеса имеют одинаковые геометрические
размеры, одинаковое количество зубьев и равное значение модуля. Это позволяет
исключить пики вальной и зубцовой частот спектра, что значительно облегчает
исследование спектральной картины. Ведущее зубчатое колесо закреплено на одном
валу с двигателем, то есть имеет прямой привод, исключающий излишние потери
энергии на трение и возникновение дополнительных вибраций. Оба зубчатых колеса
вращаются на двух подшипниках качения.
На ведомой шестерне была сделана имитация питтинга -
коррозионного дефекта. Сам дефект представляет собой отверстие между двумя
соседними зубьями шестерни с нарезанной в нем резьбой. В отверстие
вворачивается резьбовая заглушка (рис. 12), выступающая из нее на некоторую
длину, что вызывает стук при вращении зубчатой пары, проявляющий себя на
спектре виброакустического сигнала. Сигнал снимается с кронштейнов крепления
зубчатых колес с помощью датчика, после чего вводится в персональный компьютер
для дальнейшей обработки. Резьбовая заглушка была изготовлена из стали
12Х18Н9Т, обладающей повышенной прочностью, уменьшающей ее износ и пластическую
деформацию.

Рисунок 12. Искусственный дефект: 1 - зубчатое колесо,
2 - искусственный дефект
Высота дефекта регулируется с помощью плоской отвертки,
посредством вращения заглушки в отверстии зубчатого колеса. При повороте
заглушки против часовой стрелки, величина дефекта увеличивается, а при повороте
по часовой стрелке, величина дефекта уменьшается.
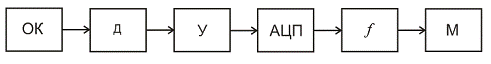
.1
Блок - схема работы установки
Рисунок 8 Схема прохождения вибросигнала от дефекта до монитора
ОК - объект контроля;
Д - датчик;
У - усилитель;
АЦП - аналогово-цифровой преобразователь;
f - частотный анализ;
М - представление результата на мониторе.

Рисунок 9 Временная диаграмма
Заключение
Для реализации экспериментального стенда виброакустической
диагностики был смоделирован принимаемый сигнал в программной среде MathCAD. Рассчитаны основные
параметры устанавливаемые при выборе АЦП.
Плата АЦП, соответствующая требованиям, выбиралась из
существующих на рынке АЦП. При их выборе основными критериями были соблюдение
установленных критериев и доступная цена.
Для обработки полученных сигналов необходим ПЭВМ. Критерии,
которых придерживались при выборе компьютера: необходимый объем оперативной
памяти и жесткого диска, а также для портативного устройства вес, габариты и
время работы от батареи являются важными характеристиками.
Все выбранные элементы соединены в единую систему и позволяют
производить контроль с высокой точностью.
Список
литературы
акустический спектральный цифровой преобразователь
1. Аппаратура общего назначения для определения
основных параметров вибрационных процессов. Общие технические требования
[Текст] / ГОСТ 30296-95. - Введ. 1997-01-01. - Москва: Издательство стандартов,
1996. - 20 с.;
. ГОСТ 7502-98. Рулетки измерительные
металлические. Технические условия. - М.: Изд-во стандартов, 1998.
. Выбор платы АЦП [Электронный ресурс]. Режим
доступа:
http://www.nix.ru/autocatalog/dell/dell_notebook/DELL_Inspiron_N5110_51106925_i3_2350M_500_DVDRW_GT525M_WiFi_BT_Win7HB_15.6_2.47_137112.html
. Характеристики ноутбука [Электронный ресурс].
Режим доступа:
http://market.yandex.ru/model.xml?
modelid=858251&hid=723088&text=Genius % 20ErgoMedia % 20700 % 20Black %
20PS % 2F2 % 2BUSB&srnum=1
5. Характеристики платы АЦП [Электронный ресурс].
Режим доступа:
http://market.yandex.ru/model.xml?
modelid=7779009&hid=91013&show-uid=839058413371188302