Проектирование асинхронного двигателя
Содержание
Аннотация
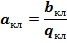
. Ход работы
.1 Выбор главных размеров
1.2 Расчет размеров зубцовой зоны
статора и воздушного зазора
1.3 Расчет ротора
.4 Расчет намагничивающего тока
.5 Параметры рабочего режима
.6 Расчет потерь
. Расчет рабочих характеристик
2.1 Расчет параметров
.2 Построение рабочих характеристик
. Расчет пусковых характеристик
.1 Расчет параметров схемы замещения
.2 Индуктивное сопротивление фазы
обмотки
.3 Учет влияния насыщения на
параметры
.4 Результаты расчетов
.5 Построение пусковых характеристик
Приложения
.1 Чертеж обмотки
.2 Чертеж полузакрытого паза ротора
.3 Эскиз асинхронного двигателя
Литература
Аннотация
Приведен расчет асинхронного двигателя с
короткозамкнутым ротором серии 4Авключающий в себя:
выбор главных размеров
электромагнитный расчет
расчет и построение рабочих и пусковых
характеристик
Приведены схемы замещения ,развертка обмотки
статора.
Номинальными параметры
Таблица 1
|
P2, Вт
|
n1, об/мин
|
U1нф, В
|
η
|
m
|
f1, Гц
|
cosφ
|
|
14000
|
3000
|
220
|
0,77
|
3
|
50
|
0,89
|
Конструктивное исполнение IM1001;
исполнение по способу защиты от окружающей среды IP44;
категория климатического исполнения УЗ.
1. Ход работы
.1 Выбор главных размеров
Число пар полюсов (согласно [1] стр. 241 - п.1.)
где:
p - число пар
полюсов;

- частота сети

- частота вращения
Высота оси вращения и наружный диаметр статора
(согласно [1] стр. 164 - рис. 6-7,а; таб. 6-6)
|
hmin, м
|
hmax, м
|
Da, м
|
|
0.14
|
0.148
|
0.272
|
где:
hmin -
минимальная высота оси вращения
hmax -
максимальная высота оси вращения
Da - наружный
диаметр статора
Внутренний диаметр статора
(согласно [1] стр. 165 - 6.2)
|
D,м
|
КD
|
Da,м
|
|
0.152
|
0.56
|
0.272
|
где:
D - внутренний
диаметр статора
КD
- Коэффициент отношения внутреннего и наружного сердечников диаметра статора
(согласно [1] стр. 165 - таб. 6-7)
Da - наружный
диаметр статора [1.1.2]
Полюсное деление τ
(согласно [1] стр. 166 - 6-3)
|
τ, м
|
D, м
|
p
|
|
0,2391424
|
0.152
|
1
|
где:
τ - полюсное деление
D - внутренний
диаметр статора [1.1.3]
p - число пар
полюсов
Расчетная мощность P’
(согласно [1] стр. 166 - 6-4)
|
P’, Вт
|
P2, Вт
|
μ
|
cosφ
|
Кξ
|
|
20040,858
|
14000
|
0.77
|
0.89
|
0.981
|
где:
P’ - расчетная
мощность
P2 - Номинальная
мощность
μ - Коэффициент
полезного действия

- Мощностной коэффициент
Кξ - отношение ЭДС обмотки, к
номинальному напряжению (согласно [1] стр.164 - рис.6-8)
Электромагнитные нагрузки A -линейная
нагрузка, Bδ - индукция
в воздушном зазоре (согласно [1] стр. 166 - рис.6-11)
где:
А - Линейная нагрузка
Bδ
- Индукция в воздушном зазоре
Обмоточный коэффициент Коб1
(согласно [1] стр. 241 - п.7)
Коб1= 0,95
где:
Коб1 - обмоточный коэффициент
Синхронная угловая скорость вала двигателя Ω
(согласно [1] стр. 168 - 6-5)
|
n1, об/мин
|
Ω, рад/с
|
|
3000
|
314
|
где:

- Синхронная угловая скорость вала
двигателя

- частота вращения
Расчетная длина воздушного
зазора lδ
(согласно [1] стр. 168 - 6-6)
|
lδ, м
|
P’, Вт
|
Кв
|
D, м
|
Ω, рад/с
|
A, А/м
|
Bδ, Тл
|
|
0,10382935
|
20040,85802
|
1.11
|
0.152
|
314
|
33500
|
0.75
|
где:
P’ - расчетная
мощность [1.1.5]
Кв - коэффициент формы поля (согласно [1]
стр.191 - таб.6-16)
Коб1 - обмоточный коэффициент [1.1.7]
А - Линейная нагрузка[1.1.6]
Bδ
- Индукция в воздушном зазоре [1.1.6]
D - внутренний
диаметр статора [1.1.3]

- Синхронная угловая скорость вала
двигателя [1.1.8]

- Расчетная длина воздушного
зазора[1.1.9]
Отношение длины воздушного зазора к
полюсному делению λ (согласно
[1] стр. 241 - п.9)
|
λ
|
lδ , м
|
τ, м
|
|
0,434
|
0,10382935
|
0,2391424
|
где:
τ - полюсное деление
[1.1.4]

- Расчетная длина воздушного
зазора[1.1.9]
λ по данному
соотношению попадает в свои пределы
|
2p
|
2
|
4
|
6
|
|
λ
|
0.4-0.7
|
0.7-1.2
|
1.2-1.6
|
Конструктивная длина и длина стали сердечников
(согласно [1] стр. 169 - 6-12)

=l1=l2=lст1=lст2
|
l1,
м =
|
0,103829353
|
|
l2,
м =
|
0,103829353
|
|
lст1,
м =
|
0,103829353
|
|
lст2,
м =
|
0,103829353
|
где:

- Расчетная длина воздушного
зазора[1.1.9]

- конструктивная длина

- конструктивная длина

-длина стали сердечника

-длина стали сердечника
Определение числа пазов статора Z1,
числа витков в фазе обмотки статора ω1, и
сечения провода в обмотке статора
Диапазон возможных значений деления статора (согласно
[1] стр. 170 - 6-15)
|
t1min, м
|
t1max, м
|
|
0.0102
|
0.012
|
где:
t1min
- минимальное возможное значение деления статора
t1max-
максимальное возможное значение деления статора
Предварительные числа пазов статора,
соответствующие выбранному диапазону t1
(согласно [1] стр. 170 - 6-16)
|
D, м
|
t1min, м
|
t1max, м
|
Z1min
|
Z1max
|
|
0.152
|
0.0102
|
0.012
|
42
|
49
|
где:
t1min
- минимальное возможное значение деления статора [1.2.1]
t1max-
максимальное возможное значение деления статора [1.2.1]
D - внутренний
диаметр статора [1.1.3]

- предварительное минимальное
значение числа пазов статора

- предварительное максимальное
значение числа пазов статора
Окончательно число пазов
статора Z1
где:- окончательное число пазов статора
Число пазов на полюс и фазу q
(согласно [1] стр. 241 - п.11)
где:- Число пазов статора [1.2.3]
p - число пар
полюсов
m - число фаз
q - число пазов на
полюс и фазу
Окончательное значение зубцового деления статора
t1 (согласно [1]
стр. 241 - п.12)
|
t1, м
|
D, м
|
p
|
m
|
q
|
|
0,011
|
0.152
|
1
|
3
|
7
|
где:
D - внутренний
диаметр статора [1.1.3]
p - число пар
полюсов
m - число фаз
q - число пазов на
полюс и фазу [1.2.4]

- значение зубцового деления
статора
Номинальный ток обмотки статора
(согласно [1] стр. 171 - 6-18)
|
P2, Вт
|
U1нф, В
|
m
|
cosФ
|
μ
|
I1н, А
|
|
14000
|
220
|
3
|
0,89
|
0,77
|
30,95304423
|
где:
m - Число фаз

- Мощностной коэффициент
P2 - Номинальная
мощность
μ - Коэффициент
полезного действия
U1нф - Напряжение
сети
I1н - Номинальный
ток обмотки статора
Предварительное число эффективных проводников в
пазу u’n
(согласно [1] стр. 171 - 6-17)
|
u’n
|
D, м
|
A, А/м
|
I1n, А
|
Z1
|
|
12,32476728
|
0.152
|
33500
|
30.95304423
|
42
|
где:
I1н - Номинальный
ток обмотки статора [1.2.6]
D - Внутренний
диаметр статора [1.1.3]
А - Линейная нагрузка[1.1.6]- Число пазов
статора [1.2.3]
u’n
- Предварительное число эффективных проводников
Число эффективных проводников в пазу un
(согласно [1] стр. 171 - 6-19)
|
a
|
u’n
|
un
|
un0
|
|
1
|
12.32476728
|
12.32476728
|
12
|
где:
u’n
- Предварительное число эффективных проводников [1.2.8]
a - Число
параллельных ветвей обмотки
un - Число
эффективных проводников в пазу
Окончательные значения витков в фазе обмотки ω1
(согласно [1] стр. 171 - 6-20)
|
ω1
|
un
|
Z1
|
a
|
m
|
|
84
|
12
|
42
|
1
|
3
|
где:
Z1 - Число пазов статора [1.2.3]
a - Число
параллельных ветвей обмотки [1.2.8]
un - Число
эффективных проводников в пазу [1.2.8]
m - Число фаз
ω1 - Значения витков
в фазе обмотки
Окончательное значение линейной нагрузки А
(согласно [1] стр. 171 - 6-21)
|
A, А/м
|
I1н, А
|
ω1
|
m
|
D, м
|
|
32617
|
30.95304423
|
84
|
3
|
0.152
|
где:
А - Окончательное значение линейной нагрузки
ω1 - Значения витков
в фазе обмотки [1.2.10]
I1н - Номинальный
ток обмотки статора [1.2.6]
m - Число фаз
Предварительное значение обмоточного
коэффициента Коб1 (согласно [1] стр. 171)
где:
Коб1 - Предварительное значение обмоточного коэффициента
|
Коб1
|
КЕ
|
U1нф, В
|
ω1
|
f1, Гц
|
Kв
|
Ф,
Вб
|
|
0,9
|
0,981
|
220
|
84
|
50
|
1,11
|
0.12
|
где:
Ф - Магнитный поток
U1нф - Напряжение
сети
ω1 - Значения витков
в фазе обмотки [1.2.10]

- частота сети
Коб1 - Значение обмоточного коэффициента
[1.2.11]
Кξ -
отношение ЭДС обмотки, к номинальному напряжению [1.1.5]
Кв - коэффициент формы поля [1.1.9]
Индукция в воздушном зазоре Bδ
(согласно [1] стр. 172 - 6-23)
|
Bδ , Тл
|
p
|
Ф,
Вб
|
lδ , м
|
D, м
|
|
0.77
|
1
|
0.12
|
0,10382935
|
0.152
|
где:
Ф - Магнитный поток [1.2.12]
D - внутренний
диаметр статора [1.1.3]
p - число пар
полюсов

- Расчетная длина воздушного
зазора[1.1.9]
Bδ
- Индукция в воздушном зазоре
Плотность тока J1
(согласно [1] стр. 172- рис. 6-16; ф. 6-25)
|
J1, А/м2
|
A, А/м
|
AJ1, А2/м3
|
|
5492537,313
|
33500
|
184*10^-9
|
где:
А - Линейная нагрузка[1.1.6]
J1 - Плотность тока
Сечение эффективного проводника
qэф (согласно [1]
стр. 172 - 6-24)
|
qэф, м2
|
I1н , А
|
a
|
J1, А/м2
|
|
0.00000564
|
30,95304423
|
1
|
5492537.313
|
где:
I1н - Номинальный
ток обмотки статора [1.2.6]
J1 - Плотность тока
[1.2.14]
a - Число
параллельных ветвей обмотки [1.2.8]
qэф - Сечение
эффективного проводника
Сечение элементарного
проводника (согласно [1] стр. 470 - П.28)
|
qэл, м2
|
qэф, м2
|
nэл
|
dэл, м
|
dиз, м
|
|
0,00000282
|
0.00000564
|
2
|
0.0018
|
0.001895
|
где:
qэф - Сечение
эффективного проводника [1.2.15]
qэл - Сечение
элементарного проводника
nэл - Число
элементарных проводников
dэл - диаметр
элементарного проводника
dиз - диаметр
изолированного проводника
Плотность тока в обмотке J1
(согласно [1] стр. 174 - 6-27)
|
J1, А/м2
|
I1н, А
|
a
|
qэл, м2
|
nэл
|
|
5492537,313
|
30,95304423
|
1
|
0,00000282
|
2
|
где:
qэл - Сечение
элементарного проводника [1.2.16]
nэл - Число
элементарных проводников [1.2.16]
a - Число
параллельных ветвей обмотки [1.2.8]
I1н - Номинальный
ток обмотки статора [1.2.6]
J1 - Плотность тока
в обмотке
1.2 Расчет размеров зубцовой
зоны статора и воздушного зазора
Допустимая индукция Bz1
в сечении зубца статора и допустимое значение индукции в ярме статора Ba
(согласно [1] стр. 174-175 - таб. 6-10)
где:
Bz1 -
Допустимая индукция в сечении зубца статора
Ba -
Допустимое значение индукции в ярме статора
Минимальная ширина зубца bz1
(согласно [1] стр. 178 - 6-39)
|
bz1, м
|
Bδ, Тл
|
t1, м
|
lδ, м
|
Bz1, Тл
|
lст1, м
|
Кс
|
|
0,00463
|
0,77
|
0,011
|
0,10382935
|
1,9
|
0,1038
|
0,97
|
где:
Кс - коэффициент заполнения сталью
магнитопровода статора (согласно [1] стр.176 - таб.6-11)
Bz1 -
Допустимая индукция в сечении зубца статора [1.3.1]

- Расчетная длина воздушного
зазора[1.1.9]
Bδ
- Индукция в воздушном зазоре [1.1.6]

- значение зубцового деления
статора [1.2.5]

-длина стали сердечника [1.1.11]
bz1 -
минимальная ширина зубца
Высота ярма статора (согласно [1] стр. 175 -
6-28)
|
ha, м
|
Ф,
Вб
|
Ba, Тл
|
lст1 , м
|
Кс
|
|
0.0403
|
0.12
|
1.5
|
0,1038
|
0.97
|
где:
Ф - Магнитный поток
[1.2.12]
- Допустимое значение индукции в ярме статора [1.3.1]

-длина стали сердечника [1.1.11]
Кс - коэффициент заполнения сталью
магнитопровода статора [1.3.2]
ha - высота
ярма статора
Высота и ширина шлица паза
|
hш1, м
|
bш1, м
|
|
0.00075
|
0.0037
|
где:
hш1 - высота шлица
паза
bш1 - ширина шлица
паза
Размеры паза в штампе (согласно [1] стр. 178-179
- 6-40; 6-41; 6-42; 6-45; 6-46)
|
hп1, м
|
Da, м
|
D, м
|
ha, м
|
|
0.0195
|
0.272
|
0.152
|
0.0403
|
где:
D - внутренний
диаметр статора [1.1.3]
ha - высота
ярма статора [1.3.3]
Da - наружный
диаметр статора [1.1.2]
hп1 - высота паза в
штампе[1.3.3]
|
b1c, м
|
D, м
|
hп1, м
|
Z1
|
bz1, м
|
|
0.00967
|
0.152
|
0.0195
|
42
|
0,00463
|
где:
D - внутренний
диаметр статора [1.1.3]
hп1 - высота
паза[1.3.3]
Z1 - Число пазов статора [1.2.3]
bz1 -
минимальная ширина зубца [1.3.2]
b1c
- ширина паза статора
|
b2c, м
|
D, м
|
hш1, м
|
bш1, м
|
Z1
|
bz1, м
|
|
0.00712
|
0.152
|
0.00075
|
0.0037
|
42
|
0.00463
|
где:
D - внутренний
диаметр статора [1.1.3]
hш1 - высота шлица
паза [1.3.4]
bш1 - ширина шлица
паза [1.3.4]
bz1 -
минимальная ширина зубца [1.3.2]
Z1 - Число пазов статора [1.2.3]
b2c
- ширина паза статора
|
h1c, м
|
hп1, м
|
b2c, м
|
bш1, м
|
hш1, м
|
|
0.017
|
0.0195
|
0.00712
|
0.0037
|
0.00075
|
где:
hп1 - высота
паза[1.3.3]
b2c
- ширина паза статора
hш1 - высота шлица паза
[1.3.4]
bш1 - ширина шлица
паза [1.3.4]
h1c
- высота паза статора
Размеры паза в свету с учетом припусков на
сборку и шихтовку сердечников (согласно [1] стр. 179 - 6-47)
|
Δbп, м
|
Δhп, м
|
b’1, м
|
b1c, м
|
b’2, м
|
b2c, м
|
h’1, м
|
h1c, м
|
|
0.0015
|
0.0015
|
0.00817
|
0.00967
|
0.00562
|
0.00712
|
0.0155
|
0.017
|
где:
h1c
- высота паза статора [1.3.5]
b2c
- ширина паза статора [1.3.5]
b1c
- ширина паза статора [1.3.5]
Δbп
- припуски на сборку и шихтовку
(согласно [1] стр. 177)
Δhп
- припуски на сборку и шихтовку
(согласно [1] стр. 177)
b’2 - ширина паза с
учетом припусков на сборку и шихтовку
h’1 - высота паза с
учетом припусков на сборку и шихтовку
b’1 - ширина паза с
учетом припусков на сборку и шихтовку
Площадь корпусной изоляции в пазу Sиз
(согласно [1] стр. 179 - 6-48)
|
Sиз, м2
|
bиз, м
|
hп1, м
|
b1с, м
|
Sпр, м2
|
b2c, м
|
|
0,00000265
|
0,0000475
|
0.0195
|
0.00967
|
0
|
0.00712
|
где:

- однослойная толщина изоляции в
пазу
Sпр = 0 -
площадь прокладок в пазу (при однослойной обмотке)
b2c
- ширина паза статора [1.3.5]
b1c
- ширина паза статора [1.3.5]
hп1 - высота паза[1.3.3]
Sиз - площадь
корпусной изоляции
Площадь поперечного сечения паза, остающаяся для
размещения проводников (согласно [1] стр. 180 - 6-51)
|
S’п, м2
|
b’1, м
|
b’2, м
|
h1c, м
|
Sиз, м2
|
Sпр, м2
|
|
0,000115
|
0,00817
|
0,00562
|
0,017
|
0,00000265
|
0
|
где:
h1c
- высота паза статора [1.3.5]
b’1 - ширина паза с
учетом припусков на сборку и шихтовку [1.3.6]
b’1 - ширина паза с
учетом припусков на сборку и шихтовку [1.3.6]пр - площадь прокладок в пазу
[1.3.7]
Sиз - площадь
корпусной изоляции [1.3.7]
S’п - площадь поперечного сечения паза
Коэффициент заполнения паза (согласно [1] стр.
180)
|
Кз
|
dиз, м
|
un
|
nэл
|
S’п, м2
|
|
0,749
|
0,00189
|
12
|
2
|
0,000115
|
где:’п - площадь поперечного сечения паза
[1.3.8]
nэл - Число
элементарных проводников [1.2.16]
un - Число
эффективных проводников в пазу [1.2.8]
dиз - диаметр
изолированного проводника [1.2.16]
Кз - коэффициент заполнения паза (находится в
пределах (согласно [1] стр. 66 - таб.3-12))
1.3 Расчет
ротора
Воздушный зазор и число пазов ротора (согласно
[1] стр. 181 - 6-52; стр. 185 - таб. 6-15)
где:
δ - ширина
воздушного зазора
Z2 - число пазов
ротора
Внешний диаметр D2
(согласно [1] стр. 243 - п.27)
|
D2, м
|
D, м
|
δ, м
|
|
0.15155
|
0.152
|
0.000385
|
где:
δ - ширина воздушного
зазора [1.4.1]
D - внутренний
диаметр статора [1.1.3]
D2 - внешний диаметр
ротора
Конструктивная длина сердечника ротора (согласно
[1] стр. 243 - п.28)
|
l2, м
|
lδ, м
|
|
0,1038
|
0,1038
|
где:

- Расчетная длина воздушного зазора
[1.1.9]

- конструктивная длина сердечника
ротора
Зубцовое деление t2
(согласно [1] стр.243 - п.29)
|
t2, м
|
D2, м
|
Z2
|
|
0.00915
|
0.15155
|
52
|
где:
D2 - внешний диаметр
ротора [1.4.2]
Z2 - число пазов
ротора [1.4.1]
t2 - зубцовое
деление
Внутренний диаметр сердечника ротора Dj
(согласно [1] стр.191 - 6-101 )
|
Dj, м
|
Кв
|
Da, м
|
|
0.06256
|
0.23
|
0.272
|
где:
Da - наружный
диаметр статора [1.1.2]
Кв - коэффициент формы поля [1.1.9]
Dj -
внутренний диаметр сердечника ротора
Коэффициент приведения токов (согласно [1]
стр.185 - 6-68 )
|
vi
|
m
|
ω1
|
Kоб1
|
Z1
|
|
10.8
|
3
|
84
|
0.9
|
42
|
где:
vi -
коэффициент приведения токов
ω1 - Значения витков
в фазе обмотки [1.2.10]
Z1 - Число пазов статора [1.2.3]
Коб1 - Значение обмоточного коэффициента
[1.2.11]
m - число фаз
Предварительное значение тока в стержне ротора
(согласно [1] стр.183 - 6-60)
|
I2, А
|
Ki
|
I1н, А
|
vi
|
|
304.2065187
|
0.91
|
30,95304423
|
10.8
|
где:
vi -
коэффициент приведения токов [1.4.6]
I1н - Номинальный
ток обмотки статора [1.2.6]
Ki -
Коэффициент влияния тока намагничивания и сопротивления обмоток (согласно [1]
стр.183 - рис.6-22 )
I2 - Предварительное
значение тока в стержне ротора
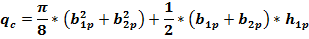
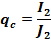
Площадь поперечного сечения стержня qc
(согласно [1] стр.186 - 6-69)
|
qc, м2
|
I2, А
|
J2, А/м2
|
|
0.000101
|
304.2065187
|
3000000
|
где:
I2 -Значение тока в
стержне ротора [1.4.7]
J2 - плотность тока
в стержнях ротора (J2=2,5-3,5,
А/м2)
qc - площадь
поперечного сечения стержня
Размеры шлица и высота перемычки над пазом
(согласно [1] стр.188 - рис.6-27 )
|
bш2, м
|
hш2, м
|
h’ш2, м
|
|
0,001
|
0,0005
|
0,001
|
где:
bш2 - ширина шлица
hш2 - высота шлица
h’ш2 - высота
перемычки над пазом
Допустимая ширина зубца (согласно [1] стр.188 -
6-77)
|
Bz2, Тл
|
Bδ, Тл
|
t2, м
|
lδ, м
|
lcт2, м
|
Кс
|
bz2, м
|
|
1.8
|
0.77
|
0.00915
|
0,1038
|
0,1038
|
0.97
|
0,00393
|
где:
t2 - зубцовое
деление [1.4.4]

- Расчетная длина воздушного зазора
[1.1.9]

-длина стали сердечника [1.1.11]
Кс - коэффициент заполнения сталью магнитопровода
статора [1.3.2]
Bδ
- Индукция в воздушном зазоре [1.1.6]
Bz2 -
допустимое значение индукции в зубцах ротора
bz2 -
допустимая ширина зубца
Размеры паза (согласно [1] стр.188 - 6-74; 6-75;
6-76)
|
b1p, м
|
D2, м
|
hш2, м
|
h’ш2, м
|
Z2
|
bz2, м
|
|
0,00475
|
0,15155
|
0,0005
|
0,001
|
52
|
0,00393
|
где:
bz2 -
допустимая ширина зубца [1.4.10]
D2 - внешний диаметр
ротора [1.4.2]
Z2 - число пазов
ротора [1.4.1]
hш2 - высота шлица
[1.4.9]
h’ш2 - высота
перемычки над пазом [1.4.9]
b1p - ширина паза
|
b2p, м
|
b1p, м
|
Z2
|
qc, м2
|
|
0,000506
|
0,00475
|
52
|
0,000101
|
где:
Z2 - число пазов
ротора [1.4.1]
b1p
- ширина паза
qc - площадь
поперечного сечения стержня [1.4.8]
b2p - ширина паза
|
b2p, м
|
b1p, м
|
Z2
|
h1p, м
|
|
0.000506
|
0.00475
|
52
|
0.0351
|
где:
b1p
- ширина паза
b2p
- ширина паза
Z2 - число пазов
ротора [1.4.1]
h1p
- высота паза
Округляем
|
b2p, м
|
b1p, м
|
h1p, м
|
|
0,005
|
0,001
|
0,035
|
Полная высота паза hп2
(согласно [1] стр.244 - п.33 )
|
hп2, м
|
h’ш2, м
|
hш2, м
|
b1p, м
|
b2p, м
|
h1p, м
|
|
0.0395
|
0.001
|
0.0005
|
0.005
|
0.001
|
0.035
|
где:
hш2 - высота шлица
[1.4.9]
h’ш2 - высота
перемычки над пазом [1.4.9]
b1p
- ширина паза [1.4.11]
b2p
- ширина паза [1.4.11]
h1p
- высота паза [1.4.11]
hп2 - полная высота
паза
Уточняем площадь сечения qc
(согласно [1] стр.188 - 6-78 )
|
qc, м2
|
b1p, м
|
b2p, м
|
h1p, м
|
|
0.000115
|
0.005
|
0.001
|
0.035
|
где:
b1p
- ширина паза [1.4.11]
b2p
- ширина паза [1.4.11]
h1p
- высота паза [1.4.11]- уточненная площадь поперечного сечения стержня
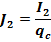
Плотность тока в стержне J2
(согласно [1] стр.186 - 6.69 )
|
J2, А/м2
|
I2, А
|
qc, м2
|
|
2640566.978
|
304.206
|
0.000115
|
где:
qc - площадь
поперечного сечения стержня [1.4.13]
I2 -Значение тока в
стержне ротора [1.4.7]
J2 - плотность тока
в стержне ротора
Определение тока в замыкающих кольцах Iкл
коротко замкнутых роторов (согласно [1] стр.186 - 6-71; 6-72)
Где 
|
Δ
|
p
|
Z2
|
Iкл, А
|
I2, А
|
|
0.121
|
1
|
52
|
2520.439
|
304.206
|
где:
I2 -Значение тока в
стержне ротора [1.4.7]
Z2 - число пазов
ротора [1.4.1]
p - число пар
полюсов
Iкл - ток в
замыкающих кольцах КЗ роторов
Плотность тока в замыкающих кольцах (согласно
[1] стр.244 - п.35 )
|
Jкл, А/м2
|
J2, А/м2
|
|
2244481,931
|
2640566.978
|
где:
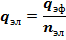
J2 - плотность тока
в стержне ротора [1.4.14]
Jкл - плотность тока
в замыкающих кольцах
Площадь поперечного сечения колец qкл
(согласно [1] стр.186 - 6-73 )
|
qкл, м2
|
Iкл, А
|
Jкл, А/м2
|
|
0,00112
|
2640566.978
|
2244481,931
|
где:
Iкл - ток в
замыкающих кольцах КЗ роторов [1.4.15]
Jкл - плотность тока
в замыкающих кольцах [1.4.16]
qкл - площадь
поперечного сечения колец
Размеры замыкающих колец (согласно [1] стр.186)
|
bкл, м
|
hп2, м
|
|
0,04354
|
0,0395
|
где: (согласно [1] стр.187 )
hп2 - полная высота
паза [1.4.12]
|
 , м , м , м2
|
|
|
|
0,0258
|
0,435
|
0,00112
|
где:
qкл - площадь
поперечного сечения колец [1.4.17]
Средний диаметр замыкающих колец (согласно [1]
стр.202 - 6-167)
|
Dкл.ср, м
|
D2, м
|
bкл, м
|
|
0,108
|
0,151
|
0,435
|
где:
D2 - внешний диаметр
ротора [1.4.2]

- размер замыкающих колец [1.4.18]
Dкл.ср -
средний диаметр замыкающих колец
1.4 Расчет
намагничивающего тока
Индукция в зубцах статора Bz1
(согласно [1] стр.192 - 6-104 )
где:

- Расчетная длина воздушного зазора
[1.1.9]

-длина стали сердечника [1.1.11]
Кс - коэффициент заполнения сталью
магнитопровода статора [1.3.2]
Bδ
- Индукция в воздушном зазоре [1.1.6]
bz1 -
минимальная ширина зубца [1.3.2]

- значение зубцового деления
статора [1.2.5]

- индукция в зубцах статора
Индукция в зубцах ротора Bz2 (согласно
[1] стр.192 - 6-104 )
где:

- Расчетная длина воздушного зазора
[1.1.9]

-длина стали сердечника [1.1.11]
Кс - коэффициент заполнения сталью
магнитопровода статора [1.3.2]
Bδ
- Индукция в воздушном зазоре [1.1.6]

- индукция в зубцах ротора
bz2 -
допустимая ширина зубца [1.4.10]
t2 - зубцовое
деление [1.4.4]
Индукция в ярме статора Ba (согласно
[1] стр.193 - 6-105)
|
Bа , Тл
|
Ф,
Вб
|
 , мhа, м
|
|
|
|
1.667
|
0.012
|
0,10383
|
0,0362
|
0.97
|
где:

-длина стали сердечника [1.1.11]
Кс - коэффициент заполнения сталью
магнитопровода статора [1.3.2]
Ф - Магнитный поток [1.2.12]
hа - Высота ярма
статора [1.3.3]
Bа - индукция в ярме
статора
Расчетная высота ярма ротора(согласно [1]
стр.194 - 6-108 )
|
h’j, м
|
D2, м
|
hп2, м
|
|
0,0362
|
0,151
|
0,0395
|
где:
hп2 - полная высота
паза [1.4.12]
D2 - внешний диаметр
ротора [1.4.2]
h’j
- расчетная высота ярма ротора
Индукция в ярме ротора Bj
(согласно [1] стр.193 - 6-107 )
статор зазор обмотка замещение
|
Bj, Тл
|
Ф,
Вб
|
 , мh’j, м
|
|
|
|
1.667
|
0.012
|
0,10383
|
0,0362
|
0.97
|
где:

-длина стали сердечника [1.1.11]
Кс - коэффициент заполнения сталью
магнитопровода статора [1.3.2]
h’j
- расчетная высота ярма ротора [1.5.4]
Bj - индукция в
ярме ротора
Коэффициент воздушного зазора (согласно [1]
стр.106 - 4-14; 4-15)
где γ
|
t1, м
|
bш1, м
|
|
δ, м
|
γ
|
|
0,0114
|
0,0037
|
1,272
|
0,000385
|
6,321
|
где:

- значение зубцового деления
статора [1.2.5]
δ - ширина воздушного
зазора [1.4.1]
bш1 - ширина шлица
паза [1.3.4]

- коэффициент воздушного зазора
Магнитное напряжение воздушного
зазора Fδ (согласно
[1] стр.194 - 6-110)
|
|
δ,
м
|
 , Тл , А
|
|
|
1.272
|
0.000385
|
0.75
|
583.904
|
где:

- Магнитное напряжение воздушного
зазора

- коэффициент воздушного зазора
[1.5.6]
δ - ширина воздушного зазора [1.4.1]
Bδ
- Индукция в воздушном зазоре [1.1.6]
Значение напряженности поля в зубцах Нz
(согласно [1] стр.461 - таб. П-17)
|
 , Тл , Тл , Тл , Тл , м , м , м , мhп1, м
|
|
|
|
|
|
|
|
|
|
1,9
|
1,8
|
2070
|
1520
|
0,019
|
0,039
|
0,001
|
0,0395
|
0,0195
|
где:

- расчетная высота зубца статора

- расчетная высота зубца ротора

- напряженность поля в зубцах
статора

напряженность поля в зубцах ротора

- индукция в зубцах статора [1.5.1]

- индукция в зубцах ротора [1.5.2]
hп2 - полная
высота паза [1.4.12]
hп1 - высота
паза[1.3.3]
Магнитное напряжение зубцовой зоны статора Fz1
и ротора Fz2 (согласно
[1] стр.194 - 6-113)
|
Fz1, А
|
Fz2, А
|
 , м , м , Тл , Тл
|
|
|
|
|
80.811
|
59.963
|
0.019
|
0.039
|
2070
|
1520
|
где:

- расчетная высота зубца статора
[1.5.8]

- расчетная высота зубца
ротора[1.5.8]

- напряженность поля в зубцах
статора [1.5.8]

напряженность поля в зубцах ротора
[1.5.8]
Fz1 -
магнитное напряжение зубцовой зоны статора
Fz2 -
магнитное напряжение зубцовой зоны ротора
Коэффициент насыщения зубцовой зоны
Кz (согласно
[1] стр.194 - 6-120)
|
Кz
|
Fz1 , А
|
Fz2, А
|
 , А
|
|
1.241
|
80.811
|
59.963
|
583.904
|
где:
Fz1 -
магнитное напряжение зубцовой зоны статора [1.5.9]
Fz2 -
магнитное напряжение зубцовой зоны ротора [1.5.9]

- Магнитное напряжение воздушного
зазора [1.5.7]
Кz -
коэффициент насыщения зубцовой зоны
Значение напряженности поля в ярме Hz (согласно
[1] стр.460- П-16 )
|
Ba, Тл
|
Ha, А/м
|
Bj, Тл
|
Hj, А/м
|
|
1.5
|
520
|
1.667
|
982
|
где:
Bа - индукция в ярме
статора [1.5.3]
Bj - индукция
в ярме ротора [1.5.5]
Ha -
напряженность поля в ярме статора
Hj -
напряженность поля в ярме ротора
Длина средней магнитной линии ярма статора La
(согласно [1] стр.195 - 6-122)
|
La, м
|
Da, м
|
ha, м
|
p
|
|
0.364
|
0.152
|
0.0403
|
1
|
где:
p - число пар
полюсов
La - длина
средней магнитной линии ярма статора
hа - Высота ярма
статора [1.3.3]
Da - наружный
диаметр статора [1.1.2]
Высота спинки ротора (согласно [1] стр.195 -
6-125)
|
D2, м
|
Dj, м
|
hj, м
|
hп2, м
|
|
0.151
|
0.06256
|
0.036275
|
0.0395
|
где:
D2 - внешний диаметр
ротора [1.4.2]
hп2 - полная высота
паза [1.4.12]
Dj -
внутренний диаметр сердечника ротора [1.4.5]
hj - высота спинки
ротора
Длина средней магнитной линии потока в ярме
ротора Lj (согласно
[1] стр.195 - 6-126)
|
Lj, м
|
hj, м
|
|
0.00999
|
0.036275
|
где:j
- длина средней магнитной линии в ярме ротора
hj - высота
спинки ротора [1.5.13]
Магнитное напряжения ярма статора Fa
и ярма ротора Fj (согласно
[1] стр.195 - 6-121; 6-123)
|
La, м
|
Lj, м
|
Ha, А/м
|
Hj, А/м
|
Fa, А
|
Fj, А
|
|
0.3637
|
0.00999
|
520
|
982
|
189.143
|
9.81
|
где:
Fa - магнитное
напряжение ярма статора
Fj - магнитное
напряжение ярма ротора
La - длина
средней магнитной линии ярма статора [1.5.12]
Lj
- длина средней магнитной линии в ярме ротора [1.5.14]
Ha -
напряженность поля в ярме статора [1.5.11]
Hj -
напряженность поля в ярме ротора [1.5.11]
Суммарное магнитное напряжение магнитной цепи
машины (на пару полюсов) (согласно [1] стр.195 - 6-127)
|
Fц, А
|
Fδ, А
|
Fz1, А
|
Fz2, А
|
Fa, А
|
Fj, А
|
|
923.63
|
583.9
|
80.812
|
0.039
|
189.143
|
9.81
|
где:
Fa - магнитное
напряжение ярма статора [1.5.15]
Fj - магнитное
напряжение ярма ротора [1.5.15]
Fz1 -
магнитное напряжение зубцовой зоны статора [1.5.9]
Fz2 -
магнитное напряжение зубцовой зоны ротора [1.5.9]

- Магнитное напряжение воздушного
зазора [1.5.7]
Fц -
Суммарное магнитное напряжение магнитной цепи
Коэффициент насыщения магнитной зоны
Кμ (согласно
[1] стр.195 - 6-128 )
|
Кμ
|
 , А , А
|
|
|
1,58
|
583,9
|
923,6
|
где:

- Магнитное напряжение воздушного
зазора [1.5.7]
Fц -
Суммарное магнитное напряжение магнитной цепи [1.5.16]
Кμ - Коэффициент насыщения
магнитной зоны
Намагничивающий ток Iμ (согласно
[1] стр.195 - 6-129)
|
Iμ, А
|
 , АpmКоб1ω1
|
|
|
|
|
|
4,525
|
923,6
|
1
|
3
|
0,9
|
84
|
где:
p - число пар
полюсовц - Суммарное магнитное напряжение магнитной цепи [1.5.16]
ω1 - Значения витков
в фазе обмотки [1.2.10]
Коб1 - Значение обмоточного коэффициента
[1.2.11]
m - число фаз
Iμ -
ток намагничивания
Относительное значение намагничивающего тока I’μ
(согласно [1] стр.195 - 6-130)
|
I’μ
|
Iμ, А
|
I1н, А
|
|
0,146
|
4,525
|
30,953
|
где:
Iμ -
ток намагничивания [1.5.18]
I1н - Номинальный
ток обмотки статора [1.2.6]
I’μ
- относительное значение намагничивающего тока
.5 Параметры рабочего режима
Средняя ширина катушки bкт
(согласно [1] стр.197 - 6-140)
|
bкт, м
|
D, м
|
hп1, м
|
p
|
β1
|
|
0.269
|
0.272
|
0.019
|
1
|
1
|
где:
p - число пар
полюсов
D - внутренний
диаметр статора [1.1.3]
hп1 - высота паза в
штампе[1.3.3]

- относительное укорочение шага
обмотки
bкт - средняя
ширина катушки
Длина вылета лобовой части катушки lвыл
(согласно [1] стр.198 - 6-145)
|
lвыл, м
|
Kвыл
|
bкт, м
|
B, м
|
|
0.08
|
0.26
|
0.269
|
0.01
|
где:
bкт - средняя ширина
катушки [1.6.1]
B - длина вылета
прямолинейной части катушки из паза (согласно [1] стр.198 - таб.6-20)
Kвыл - коэффициент
вылета лобовой части (согласно [1] стр.197 - таб.6-19)
lвыл - длина вылета
лобовой части катушки
Длина пазовой части lп1(согласно
[1] стр.245 - п. 44)
|
lп1, м
|
lст1, м
|
|
0,1038
|
0,1038
|
где:
lп1 - длина пазовой
части катушки

-длина стали сердечника [1.1.11]
Длина лобовой части (согласно [1] стр.198 -
6-144)
|
lл1, м
|
bкт, м
|
B, м
|
Кл
|
|
0,3437
|
0,269
|
0,01
|
1,2
|
где:
bкт - средняя ширина
катушки [1.6.1]
B - длина вылета
прямолинейной части катушки из паза [1.6.2]
Кл - коэффициент лобовой части (согласно [1]
стр.197 - таб.6-19)
lл1 - длина лобовой
части катушки
Средняя длина витка lср1
(согласно [1] стр.198)
|
lср1, м
|
lл1, м
|
lп1, м
|
|
0,895
|
0,3437
|
0,1038
|
где:л1 - длина лобовой части катушки [1.6.4]
lп1 - длина пазовой
части катушки [1.6.3]
lср1 - средняя длина
витка
Общая длина проводников фазы обмотки L1
(согласно [1] стр.196 - 6-133)
|
L1, м
|
lср1, м
|
ω1
|
|
75.193
|
0.895
|
84
|
где:
lср1 - средняя длина
витка [1.6.5]
ω1 - Значения витков
в фазе обмотки [1.2.10]
L1 - общая длина
проводников фазы обмотки
Активное сопротивление фазы обмотки статора
(согласно [1] стр.196 - 6-131)
Удельное сопротивление для меди
|
р115,
Ом* м
|
qэф, м2
|
L1, м
|
a
|
r1, Ом
|
|
24*10^-9
|
56*10^-6
|
75.193
|
1
|
0.325
|
где:
L1 - общая длина
проводников фазы обмотки [1.6.6]
р115 - удельное сопротивление меди
a - Число
параллельных ветвей обмотки [1.2.8]
qэф - Сечение
эффективного проводника [1.2.15]
r1 - активное
сопротивление фазы обмотки статора
Относительное значение R1
(согласно [1] стр.245 - п. 44)
|
R1
|
r1, Ом
|
I1н, А
|
U1нф, В
|
|
0,0458
|
0,325
|
30,953
|
220
|
где:
r1 - активное
сопротивление фазы обмотки статора [1.6.7]
I1н - Номинальный
ток обмотки статора [1.2.6]
U1нф - Напряжение
сети
Определяем сопротивление стержня (согласно [1]
стр.202- 6-165)
Удельное сопротивления алюминия
|
rc, Ом
|
p115, Ом*м
|
lст2, м
|
Кr
|
qc, м2
|
|
0.00005
|
0.1038
|
1
|
1.01*10^-4
|
где:
р115 - удельное сопротивление алюминия

-длина стали сердечника [1.1.11]
qc - площадь
поперечного сечения стержня [1.4.13]
rc - активное
сопротивление стержня
Сопротивление участка замыкающего кольца rкл
(согласно [1] стр.202 - 6-166)
|
rкл, Ом
|
р115,
Ом*м
|
Z2
|
qкл, м2
|
Dкл.ср, м
|
|
2,83*10^-7
|
4.87*10^-8
|
52
|
0,00112
|
0,1081
|
где:
Dкл.ср - средний
диаметр замыкающих колец [1.4.19]
р115 - удельное сопротивление алюминия [1.6.9]
qкл - площадь
поперечного сечения колец [1.4.17]
Z2 - число пазов
ротора [1.4.1]
rкл - сопротивление
участка замыкающего кольца
Активное сопротивление фазы обмотки ротора
(согласно [1] стр.202 -6-164)
|
r2, Ом
|
rкл, Ом
|
rс, Ом
|
Δ
|
|
8,89*10^-5
|
2,83*10^-5
|
0.00005
|
0.121
|
где:
rкл - сопротивление
участка замыкающего кольца [1.6.10]
rc - активное
сопротивление стержня [1.6.9]
r2 - активное
сопротивление фазы обмотки ротора
Δ - [1.4.15]
Приведение r2
к числу первичной обмотки статора (согласно [1] стр.202 - 6-169)
|
r’2, Ом
|
r2, Ом
|
m
|
Kоб1
|
Z2
|
ω1
|
|
0.117
|
8.89*10^-5
|
3
|
0.9
|
52
|
84
|
где:
ω1 - Значения витков
в фазе обмотки [1.2.10]
Коб1 - Значение обмоточного коэффициента
[1.2.11]
m - число фаз
r2 - активное
сопротивление фазы обмотки ротора [1.6.11]
Z2 - число пазов
ротора [1.4.1]
r’2 - активное
сопротивление фазы обмотки приведенное к числу первичной обмотки статора
Относительное значение R2
(согласно [1] стр.245 - п. 45)
|
R2
|
r’2, м
|
I1н, А
|
U1нф, В
|
|
0,016
|
0,117
|
30,953
|
220
|
где:
r’2 - активное
сопротивление фазы обмотки приведенное к числу первичной обмотки статора
[1.6.12]
I1н - Номинальный
ток обмотки статора [1.2.6]
U1нф - Напряжение
сети
R2 - относительное
значение активного сопротивления фазы обмотки статора
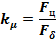
Коэффициент магнитной проводимости лобового
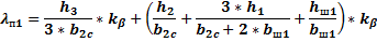
рассеивания (согласно [1] стр.199 - 6-154)
|
λл1
|
q
|
lδ, м
|
lл1, м
|
β1
|
τ, м
|
|
4,37
|
7
|
0,1038
|
0,3437
|
1
|
0,239
|
где:

- относительное укорочение шага
обмоткил1 - длина лобовой части катушки [1.6.4]
q - число
пазов на полюс и фазу [1.2.4]
τ - полюсное деление
[1.1.4]

- Расчетная длина воздушного
зазора[1.1.9]
λл1 - Коэффициент магнитной
проводимости лобового рассеивания
Коэффициент ξ
(согласно [1] стр.203 - 6-172)
|
ξ
|
К’ск
|
Кβ
|
Коб1
|
t1, м
|
t2, м
|
βск
|
|
1,077
|
0,8
|
1
|
0,9
|
0,0114
|
0,00915
|
0
|
где:
βск - коэффициент
присутствия скоса пазов

- значение зубцового деления
статора [1.2.5]
Коб1 - Значение обмоточного
коэффициента [1.2.11]
t2 - зубцовое
деление [1.4.4]
Кβ=1
Коэффициент магнитной проводимости
дифференциального рассеивания (согласно [1] стр.202 - 6-170)
|
ξ
|
δ, м
|
Кδ
|
t1
|
λд1
|
|
1,077
|
0,000385
|
1,272
|
0,0114
|
2,087
|
где:

- значение зубцового деления
статора [1.2.5]
ξ - коэффициент
[1.6.15]

- коэффициент воздушного зазора
[1.5.6]
δ - ширина воздушного зазора
[1.4.1]
λд1 - Коэффициент магнитной
проводимости дифференциального рассеивания
Коэффициент магнитной проводимости
пазового рассеивания для обмоток статора (согласно [1] стр.200- таб.6-22)
|
h1, м
|
h2, м
|
h3, м
|
b2c, м
|
bш1, м
|
hш1, м
|
Кβ
|
λп1
|
|
0,00171
|
0
|
0,017
|
0,00712
|
0,0037
|
0,00075
|
1
|
1,354
|
где:
h1
h2
h3
Кβ=1
[1.6.15]
b2c
- ширина паза статора [1.3.5]
hш1 - высота шлица
паза [1.3.4]
bш1 - ширина шлица
паза [1.3.4]
λп1 - Коэффициент
магнитной проводимости пазового рассеивания для обмоток статора
Индуктивное сопротивление фазы обмотки статора
(согласно [1] стр.114 - 4-42)
|
x1, Ом
|
f1, Гц
|
λл1
|
λп1
|
λд1
|
p
|
q
|
ω1
|
lδ, м
|
|
0.646
|
50
|
4.37
|
1.354
|
2.087
|
1
|
7
|
84
|
0.1038
|
где:
λп1 - Коэффициент
магнитной проводимости пазового рассеивания для обмоток статора [1.6.17]
λд1 - Коэффициент
магнитной проводимости дифференциального рассеивания [1.6.16]
λл1 - Коэффициент
магнитной проводимости лобового рассеивания [1.6.14]
p - число пар
полюсов
q - число пазов на
полюс и фазу [1.2.4]

- Расчетная длина воздушного
зазора[1.1.9]
ω1 - Значения витков
в фазе обмотки [1.2.10]
f1 - частота сети
x1 - Индуктивное
сопротивление фазы обмотки статора
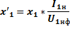
Относительное значение x1
(согласно [1] стр.246 - п. 46)
|
x1, Ом
|
x’1
|
I1н, А
|
U1нф, В
|
|
0.646
|
0.091
|
30.953
|
220
|
где:
x1 - Индуктивное
сопротивление фазы обмотки статора [1.6.18]
I1н - Номинальный
ток обмотки статора [1.2.6]
U1нф - Напряжение
сети
x’1 - относительное
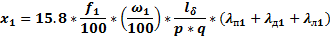
значение х1
Коэффициент магнитной проводимости пазового
рассеивания обмотки короткозамкнутого ротора λп2
(согласно [1] стр.204 - 6-23)
Для рабочего режима Кд=1
|
h1, м
|
hп2, м
|
hш2, м
|
h’ш2, м
|
b2p, м
|
bш2, м
|
λп2
|
b1p, м
|
qc, м2
|
I2, А
|
Кд
|
|
0,00171
|
0,0395
|
0,0005
|
0,001
|
0,000506
|
0,001
|
1,451
|
0,005
|
1,01*10^-4
|
304.206
|
1
|
где:
Кд - коэффициент демпфирования
h1
hш2 - высота шлица
[1.4.9]
h’ш2 - высота
перемычки над пазом [1.4.9]
bш2 - ширина шлица
[1.4.9]
hп2 - полная высота
паза [1.4.12]
qc - площадь
поперечного сечения стержня [1.4.13]
I2 -Значение тока в
стержне ротора [1.4.7]
b2p
- ширина паза [1.4.11]
b1p
- ширина паза [1.4.11]
λп2 - Коэффициент
магнитной проводимости пазового рассеивания обмотки короткозамкнутого ротора
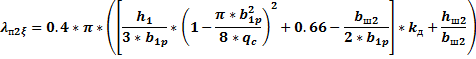
Коэффициент магнитной проводимости лобового
рассеивания обмотки короткозамкнутого ротора λл2
(согласно [1] стр.204 - 6-176)
|
λл2
|
Z2
|
aкл, м
|
bкл, м
|
Dкл.ср, м
|
lδ, м
|
Δ
|
|
2,2999
|
52
|
0,0258
|
0,0434
|
0,1081
|
0,1038
|
0,121
|
где:

- Расчетная длина воздушного
зазора[1.1.9]
Dкл.ср - средний
диаметр замыкающих колец [1.4.19]
Z2 - число пазов
ротора [1.4.1]

- [1.4.18]

- [1.4.18]
Δ - [1.4.15]
λл2 - Коэффициент магнитной
проводимости лобового рассеивания обмотки короткозамкнутого ротора
Коэффициент ξ(согласно
[1] стр.203 - 6-175)
|
ξ
|
p
|
Z2
|
Δz
|
|
0.851
|
1
|
52
|
0.15
|
где:
p - число пар
полюсов
Z2 - число пазов
ротора [1.4.1]
Коэффициент магнитной проводимости
дифференциального рассеивания обмотки короткозамкнутого ротора λд2
(согласно [1] стр.203 -6-174)
|
λд2
|
t2, м
|
Кδ
|
δ
|
|
1,557
|
0,00915
|
1,272
|
0,000385
|
где:

- коэффициент воздушного зазора
[1.5.6]
δ - ширина воздушного зазора
[1.4.1]
t2 - зубцовое
деление [1.4.4]
λд2 - Коэффициент магнитной
проводимости дифференциального рассеивания обмотки короткозамкнутого ротора
Суммарное значение коэффициентов
магнитной проводимости обмоток короткозамкнутого ротора (согласно [1] стр.246 -
п. 47)
|
Σ
λ2
|
λл2
|
λд2
|
λп2
|
|
5,309
|
2,2999
|
1,557
|
1,451
|
где:
λп2 - Коэффициент
магнитной проводимости пазового рассеивания обмотки короткозамкнутого ротора
[1.6.20]
λл2 - Коэффициент
магнитной проводимости лобового рассеивания обмотки короткозамкнутого ротора
[1.6.21]
λд2 - Коэффициент
магнитной проводимости дифференциального рассеивания обмотки короткозамкнутого
ротора [1.6.23]

- Суммарное значение коэффициентов
магнитной проводимости обмоток короткозамкнутого ротора
Индуктивное сопротивление фазы
обмотки ротора (согласно [1] стр.203 - 6-173)
|
Σ
λ2
|
x2, Ом
|
lδ, м
|
f1, Гц
|
|
5.309
|
0.000218
|
0.1038
|
50
|
где:
f1 - частота сети

- Суммарное значение коэффициентов
магнитной проводимости обмоток короткозамкнутого ротора [1.6.24]

- Расчетная длина воздушного
зазора[1.1.9]
x2 - Индуктивное
сопротивление фазы обмотки ротора
Относительно значение х2 (согласно [1] стр.246 -
п. 47)
|
x’2, Ом
|
x2, Ом
|
I1н, А
|
U1нф, В
|
|
0,000218
|
0,287
|
30,953
|
220
|
где:
x2 - Индуктивное
сопротивление фазы обмотки ротора
I1н - Номинальный
ток обмотки статора [1.2.6]
U1нф - Напряжение
сети
x’2 - Относительно
значение х2
.6
Расчет потерь
Масса стали ярма статора (согласно [1] стр.206 -
6-184)
|
ma, кг
|
ha, м
|
lcт1, м
|
Кс
|
γс, кг/м3
|
|
23,042
|
0,152
|
0,403
|
0,1038
|
0,97
|
7800*103
|
где:
Da - наружный
диаметр статора [1.1.2]
hа - Высота ярма
статора [1.3.3]

-длина стали сердечника [1.1.11]
Кс - коэффициент заполнения сталью
магнитопровода статора [1.3.2]
γс - удельная масса
стали, в расчетах принимаем 7800*103 кг/м3
ma - масса стали
ярма статора
Масса стали зубцов статора mz1
(согласно [1] стр.206 - 6-185)
|
mz1, кг
|
hz1, м
|
bz1, м
|
Z1
|
lcт1, м
|
Кс
|
γс, кг/м3
|
|
2.984
|
0.019
|
0.00463
|
42
|
0.1038
|
0.97
|
7800*103
|
где:

-длина стали сердечника [1.1.11]
Кс - коэффициент заполнения сталью
магнитопровода статора [1.3.2]
γс - удельная масса
стали, в расчетах принимаем 7800*103 кг/м3

- расчетная высота зубца статора
[1.5.8]

- расчетная ширина зубца
ротора[1.5.8]- Число пазов статора [1.2.3]- Масса стали зубцов статора
Основные потери в стали Pст.осн
(согласно [1] стр.206 - 6-183)
|
Pст.осн, Вт
|
р1.0/50
|
f1, Гц
|
Кда
|
Ba, Тл
|
ma, кг
|
Кдz
|
Bz1, Тл
|
mz1, кг
|
|
|
260.983
|
2.55
|
50
|
1.6
|
1.5
|
23.042
|
1.8
|
1.9
|
2.984
|
1,5
|
где:
р1.0/50 - удельные потери (согласно [1] стр.206
-таб.6-24)

- показатель степени
Кда и Кдz -
коэффициенты учитывающие влияние на потери в стали неравномерности
распределения потоков
ma - масса
стали ярма статора [1.7.1]- Масса стали зубцов статора [1.7.2]

- индукция в зубцах статора [1.5.1]
Ba -
Допустимое значение индукции в ярме статора [1.3.1]
f1 - частота сети
Pст.осн - основные
потери в стали
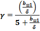
Амплитуда пульсации индукции в воздушном зазоре
над коронками зубцов (согласно [1] стр.206 - 6-186)
|
B02, Тл
|
β02
|
Kδ
|
Bδ, Тл
|
|
0.362
|
0.38
|
1.272
|
0.75
|
где:

- коэффициент воздушного зазора
[1.5.6]
Bδ
- Индукция в воздушном зазоре [1.1.6]
β02
B02 - Амплитуда
пульсации индукции в воздушном зазоре над коронками зубцов
Удельные поверхностные потери в роторе (согласно
[1] стр.207 - 6-188)
|
рпов2,
Вт/м2
|
B02, Тл
|
К02
|
t1, м
|
Z1
|
n1, об/мин
|
|
609.61
|
0.362
|
1.6
|
0.0114
|
42
|
3000
|
где:
B02 - Амплитуда
пульсации индукции в воздушном зазоре над коронками зубцов [1.7.4]
К02 - коэффициент влияния обработки поверхности
головки зубцов ротора на удельные потери

- значение зубцового деления
статора [1.2.5]
Z1 - Число пазов статора [1.2.3]
n1 - частота
вращения
рпов2 - Удельные поверхностные потери в роторе
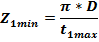
Полные поверхностные потери в роторе Рпов2
(согласно [1] стр.207 - 6-190)
|
Рпов2,
Вт
|
рпов2
Вт/м2
|
t2, м
|
Z2
|
lст2, м
|
bш2, м
|
|
26,829
|
609,61
|
0,00915
|
52
|
0,1038
|
0,001
|
где:
рпов2 - Удельные поверхностные потери в роторе
[1.7.5]
Z2 - число пазов
ротора [1.4.1]

-длина стали сердечника [1.1.11]
t2 - зубцовое
деление [1.4.4]
bш2 - ширина шлица
[1.4.9]
Рпов2 - полные поверхностные потери
Пульсационные потери в зубцах ротора (согласно
[1] стр.207 - 6-192)
|
Bпул2, Тл
|
δ, м
|
Bz2, Тл
|
t2, м
|
γ
|
|
0.239
|
0.000385
|
1.8
|
0.00915
|
6.32
|
где:
t2 - зубцовое
деление [1.4.4]

- индукция в зубцах ротора [1.5.2]
δ - ширина воздушного зазора
[1.4.1]
γ - [1.5.6]пул2 -
Пульсационные потери в зубцах ротора
Масса стали зубцов ротора (согласно
[1] стр.208 - 6-197)
|
mz2, кг
|
Z2
|
hz2, м
|
bz2, м
|
lст2, м
|
Кс
|
γс
|
|
6,335
|
52
|
0,039
|
0,0039
|
0,1038
|
0,97
|
7800*103
|
где:
Z2 - число пазов
ротора [1.4.1]

-длина стали сердечника [1.1.11]
Кс - коэффициент заполнения сталью
магнитопровода статора [1.3.2]
γс - удельная масса
стали, в расчетах принимаем 7800*103 кг/м3
bz2 -
допустимая ширина зубца [1.4.10]

- расчетная высота зубца
ротора[1.5.8]- Масса стали зубцов ротора [1.7.2]
Пульсационные потери в зубцах ротора
(согласно [1] стр.207 - 6-196)
|
Рпул2,
Вт
|
Z1
|
n1, об/мин
|
Bпул2, Тл
|
mz2, кг
|
|
633.79
|
42
|
3000
|
0.239
|
6.335
|
где:- Масса стали зубцов ротора [1.7.2]
n1 - частота
вращенияпул2 - Пульсационные потери в зубцах ротора [1.7.7]- Число пазов
статора [1.2.3]
Рпул2 - Пульсационные потери в зубцах ротора
Сумма добавочных потерь в стали (согласно [1]
стр.208 - 6-198)
|
Рст.доб,
Вт
|
Рпул2,
Вт
|
Рпов2,
Вт
|
|
660.619
|
633.79
|
26.829
|
где:
Рпул2 - Пульсационные потери в зубцах ротора
[1.7.9]
Рпов2 - полные поверхностные потери [1.7.6]
Рст.доб - Сумма добавочных потерь в стали
Полные потери в стали (согласно [1] стр.208 -
6-199)
|
Рст,
Вт
|
Рст.доб,
Вт
|
Рст.осн,
Вт
|
|
921,602
|
660,619
|
260,983
|
где:
Рст.доб - Сумма добавочных потерь в стали
[1.7.10]
Pст.осн - основные
потери в стали [1.7.3]
Рст - Полные потери в стали
Механические потери (согласно [1] стр.208 -
6-205)
|
Рмех,
Вт
|
Кт
|
n1, об/мин
|
Da, м
|
|
492.627
|
1
|
3000
|
0.272
|
где:
n1 - частота
вращения
Da - наружный
диаметр статора [1.1.2]
Кт
Рмех - механические потери
Добавочные потери при номинальной нагрузке
(согласно [1] стр.247 - п.54)
|
Рдоб.н,
Вт
|
Р2, Вт
|
µ
|
|
90.91
|
14000
|
0.77
|
где:
Р2 - номинальная мощность
µ - коэффициент полезного действия
Рдоб.н - Добавочные потери при номинальной
нагрузке
Холостой ход двигателя (согласно [1] стр.209 -
6-214)
|
Рэ1хх,
Вт
|
r1, Ом
|
I µ, А
|
|
19.99
|
0.325
|
4.525
|
где:
r1 - активное
сопротивление фазы обмотки статора [1.6.7]
Iμ -
ток намагничивания [1.5.18]
Рэ1хх - потери холостого хода
Активная составляющая холостого хода (согласно
[1] стр.209 - 6-213)
|
Рст,
Вт
|
Рэ1хх,
Вт
|
Рмех,
Вт
|
m
|
U1нф, В
|
Ixxa, А
|
|
921,602
|
19,99
|
492,627
|
3
|
220
|
2.173
|
где:
Рэ1хх - потери холостого хода [1.7.14]
Рмех - механические потери [1.7.12]
Рст - Полные потери в стали [1.7.11]
m - число фаз
U1нф - Напряжение
сети
Ixxa - Активная
составляющая холостого хода
Реактивная составляющая холостого хода (согласно
[1] стр.209)
|
I ххр, А
|
I µ, А
|
|
4.525
|
4.525
|
где:
Iμ -
ток намагничивания [1.5.18]
Ixxр -
Реактивная составляющая холостого хода
Холостой ход двигателя (согласно [1] стр.209 -
6-212)
|
Ixx, А
|
I ххр, А
|
Ixxa, А
|
|
5,02
|
4,525
|
2,173
|
где:
Ixxa - Активная
составляющая холостого хода [1.7.15]
Ixxр -
Реактивная составляющая холостого хода[1.7.16]
Ixx - Холостой
ход двигателя
Коэффициент мощности при холостом ходе (согласно
[1] стр.209 - 6-215)
|
cosФхх
|
Ixxa, А
|
Ixx, А
|
|
0,433
|
2,173
|
5,02
|
где:
Ixxa - Активная
составляющая холостого хода [1.7.15]
Ixx - Холостой
ход двигателя [1.7.17]Фхх - Коэффициент мощности при холостом ходе
2. Расчет рабочих характеристик
.1 Расчет параметров
Сопротивления r12
и x12 (согласно [1]
стр.205 - 6-179; 6-180)
|
r12, Ом
|
x12, Ом
|
Pст.осн, Вт
|
m
|
x1, Ом
|
U1нф, В
|
Iμ, А
|
|
4.249
|
47.973
|
260.983
|
3
|
0.646
|
220
|
4.525
|
где:
Iμ -
ток намагничивания [1.5.18]
U1нф - Напряжение
сети
m - число фаз
Pст.осн - основные
потери в стали [1.7.3]
x1 - Индуктивное
сопротивление фазы обмотки статора [1.6.18]
r12 - активное
сопротивление схемы замещения
х12 - индуктивное сопротивление схемы замещения
Коэффициент отношения фазы -U1нф
к вектору ЭДС (согласно [1] стр.210 - 6-218)
|
с1
|
x1, Ом
|
x12, Ом
|
|
1,013
|
0,646
|
47,973
|
где:
x1 - Индуктивное
сопротивление фазы обмотки статора [1.6.18]
х12 - индуктивное сопротивление схемы замещения
[2.1.1]
с1 - Коэффициент отношения фазы -U1нф
к вектору ЭДС
Активная составляющая тока синхронного холостого
хода (согласно [1] стр.211 - 6-222)
|
Iоа, А
|
Pст.осн, Вт
|
r1, Ом
|
Iμ, А
|
U1нф, В
|
|
0.426
|
260.983
|
0.325
|
4.525
|
220
|
где:
U1нф - Напряжение
сети
Pст.осн - основные
потери в стали [1.7.3]
r1 - активное
сопротивление фазы обмотки статора [1.6.7]
Iоа - активная
составляющая тока синхронного холостого хода
Вводим дополнительные расчетные величины
(согласно [1] стр.211 - 6-223)
|
a’
|
b’
|
b, Ом
|
r1, Ом
|
x1, Ом
|
x’2, Ом
|
|
1.027
|
0
|
0.949
|
0.325
|
0.646
|
0.287
|
где:
r1 - активное
сопротивление фазы обмотки статора [1.6.7]
с1 - Коэффициент отношения фазы -U1нф
к вектору ЭДС [2.1.2]
x1 - Индуктивное
сопротивление фазы обмотки статора [1.6.18]
x’2 - Относительно
значение х2 [1.6.26]
Постоянные потери при неизменном скольжении
(согласно [1] стр.247 - п.56)
|
ΣP, Вт
|
Pст.осн, Вт
|
Pмех. , Вт
|
|
1414,23
|
260,983
|
492,63
|
где:
Рмех - механические потери [1.7.12]
Рст - Полные потери в стали [1.7.11]
ΣP -
Постоянные потери при неизменном скольжении
Принимаем sн=R2=0.016
результаты сводим в таблицу
|
Скольжение
|
|
0,001
|
0,005
|
0,009
|
0,012
|
0,015
|
0,016
|
|
a'*r2'/s,Ом
|
120,402
|
24,0804
|
13,37800065
|
10,0335
|
8,0268
|
7,525125
|
|
b'*r2'/s,Ом
|
0
|
0
|
0
|
0
|
0
|
0
|
|
R,
Ом
|
120,7318
|
24,41022
|
13,70781561
|
10,36332
|
8,356615
|
7,85494
|
|
X,
Ом
|
0,949625
|
0,949625
|
0,949624996
|
0,949625
|
0,949625
|
0,949625
|
|
Z,
Ом
|
120,7356
|
24,42868
|
13,74066943
|
10,40673
|
8,410399
|
7,912135
|
|
I"2,
А
|
1,822164
|
9,005808
|
16,01086476
|
21,14016
|
26,15809
|
27,80539
|
|
cosФ2
|
0,999969
|
0,999244
|
0,997609009
|
0,995828
|
0,993605
|
0,992771
|
|
sinФ2
|
0,007865
|
0,038873
|
0,069110534
|
0,091251
|
0,112911
|
0,120021
|
|
I1a,
А
|
2,247825
|
9,424717
|
16,3982997
|
21,47768
|
26,41653
|
28,03011
|
|
I1p,
А
|
4,539281
|
4,875035
|
5,631468554
|
6,45401
|
7,478481
|
7,862189
|
|
I1,
А
|
5,065352
|
10,6109
|
17,33832954
|
22,42643
|
27,45471
|
29,11187
|
|
I'2,
А
|
1,8467
|
9,127075
|
16,226458
|
21,42482
|
26,51032
|
28,1798
|
|
P1,
кВт
|
1483,564
|
6220,313
|
10822,8778
|
14175,27
|
17434,91
|
18499,87
|
|
Pэ1,
кВт
|
25,04966
|
109,9227
|
293,4926112
|
491,0244
|
735,8957
|
827,4142
|
|
Pэ2,
кВт
|
1,199306
|
29,29546
|
92,59436447
|
161,4253
|
247,1537
|
279,2627
|
|
Pдоб,
кВт
|
2,434556
|
10,6833
|
28,52430583
|
47,72226
|
71,5211
|
80,41571
|
|
∑P,
кВт
|
1442,913
|
1564,131
|
1828,840421
|
2114,401
|
2468,8
|
2601,322
|
|
P2,
кВт
|
1482,121
|
4656,183
|
8994,03738
|
12060,87
|
14966,11
|
15898,55
|
|
η
|
0,027401
|
0,748545
|
0,831020875
|
0,850839
|
0,858399
|
0,859387
|
|
cosФ
|
0,443765
|
0,888211
|
0,945783137
|
0,957695
|
0,962186
|
0,962841
|
.2 Построение рабочих характеристик
рис 2.1 - Зависимость P1(P2)
Рис2.2 - Зависимость S(P2)
Рис2.3 - Зависимость μ(P2)
Рис2.4 - Зависимость cosФ(P2)
Рис2.5 - Зависимость I1(P2)
3. Расчет пусковых характеристик
.1 Расчет параметров схемы замещения
Данные необходимые для расчета пусковых
характеристик
|
P2,
Вт
|
U1нф,
В
|
2p
|
I1н,
А
|
x12,
Ом
|
x'2,
Ом
|
x1,
Ом
|
r1,
Ом
|
r'2,
Ом
|
s(н)
|
|
14000
|
220
|
2
|
30,95304
|
47,97335
|
0,287159
|
0,645982
|
0,325433
|
0,117224
|
0,016493
|
Расчет параметров проводится для ряда скольжений
s= (1-0.1)
Ниже приводится расчет для s=1, остальные
расчеты сведены в таблицу 3.1
Высота стержня в пазу hc
|
hc, м
|
hп2, м
|
h’ш2, м
|
hш2, м
|
|
0,038
|
0,0395
|
0,001
|
0,0005
|
где:
hш2 - высота шлица
[1.4.9]
h’ш2 - высота
перемычки над пазом [1.4.9]
hп2 - полная высота
паза [1.4.12]
hc - высота
стержня в пазу
Определяем функцию ξ
при
полной высоте стержня (согласно [1] стр.215 - 6-235)
где:
hc - высота
стержня в пазу [3.1.2]
s - скольжение
[3.1.1]
По функции ξ определяем
функции ф и ф’ (согласно [1] стр.216 - 6-46)
где:
ξ - [3.1.3]
Глубина проникновения тока в стержень обмотки
(согласно [1] стр.216 - 6-236)
|
hr, м
|
ф
|
hc, м
|
|
0.036
|
0,04
|
0.038
|
где:
hc - высота
стержня в пазу [3.1.2]
ф - [3.1.4]
hr - глубина
проникновения тока в стержень обмотки
Принимаем что при действии эффекта вытеснения,
ток ротора распределен равномерно по его верхней части ограниченной высотой hr
имеющее сечение стержня qr
ограниченное шириной br
(согласно [1] стр.217 - 6-243)
|
br, м
|
b1p, м
|
b2p, м
|
hr, м
|
h1p, м
|
|
0.00111
|
0.005
|
0.001
|
0.0365
|
0.035
|
|
qr, м2
|
b1p, м
|
br, м
|
hr, м
|
|
0.000114
|
0.005
|
0.00111
|
0.0365
|
где:
hr - глубина
проникновения тока в стержень обмотки [3.1.5]
b1p
- ширина паза [1.4.11]
br - ширина
стержня
qr - сечение
стержня
Коэффициент Кr
через отношение площадей всего сечения стержня и сечения ограниченного высотой hr
(согласно [1] стр.217 - 6-241)
|
Кr
|
qr, м2
|
qc, м2
|
|
0.891
|
0.000114
|
0.000101
|
где:
qr - сечение
стержня [3.1.6]
- площадь поперечного сечения стержня [1.4.13]
Коэффициент общего увеличения сопротивления фазы
ротора (согласно [1] стр.217 - 6-246)
|
КR
|
Кr
|
rc, Ом
|
r’2, Ом
|
|
0.939
|
0.94
|
4.99*10^-5
|
0.117
|
где:
КR
- коэффициент общего увеличения сопротивления фазы обмотки
Кr
- [3.1.7]
r’2 - активное
сопротивление фазы обмотки приведенное к числу первичной обмотки статора
[1.6.12]
rc - активное
сопротивление стержня [1.6.9]
Приведенное активное сопротивление фазы обмотки
ротора с учетом вытеснения тока (согласно [1] стр.218 - 6-249)
|
r’2ξ, Ом
|
r’2, Ом
|
КR
|
|
0.11
|
0.117
|
0.939
|
где:
r’2 - активное
сопротивление фазы обмотки приведенное к числу первичной обмотки статора
[1.6.12]
КR
- коэффициент общего увеличения сопротивления фазы обмотки [3.1.8]
r’2ξ
- Приведенное активное сопротивление фазы обмотки ротора с учетом вытеснения
тока
.2 Индуктивное сопротивление фазы обмотки
Коэффициент магнитной проводимости пазового
рассеивания с учетом действия эффекта вытеснения тока (согласно [1] стр.204 -
таб.6-23)
|
λп2ξ
|
h1, м
|
b1p, м
|
qc, м2
|
bш2, м
|
hш2, м
|
Кд
|
|
3,406
|
0,038
|
0,005
|
0,000101
|
0,001
|
0,0005
|
0,84
|
где:
b1p
- ширина паза [1.4.11]
h1 - [1.6.17]
hш2 - высота шлица
[1.4.9]
bш2 - ширина шлица
[1.4.9]
Кд - коэффициент демпфирования [1.6.20]
λп2ξ
- Коэффициент магнитной проводимости пазового рассеивания с учетом действия
эффекта вытеснения тока
Изменение индуктивного сопротивления фазы
обмотки ротора от эффекта вытеснения тока Кх (согласно [1] стр.218 - 6-251)
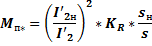
|
Кх
|
λп2ξ
|
λл2
|
λд2
|
λп2
|
|
1,368
|
1,406
|
2,2999
|
1,557
|
1,451
|
где:
λп2ξ
- Коэффициент магнитной проводимости пазового рассеивания с учетом действия
эффекта вытеснения тока
λп2 - Коэффициент
магнитной проводимости пазового рассеивания обмотки короткозамкнутого ротора
[1.6.20]
λл2 - Коэффициент
магнитной проводимости лобового рассеивания обмотки короткозамкнутого ротора
[1.6.21]
λд2 - Коэффициент
магнитной проводимости дифференциального рассеивания обмотки короткозамкнутого
ротора [1.6.23]
Кх - Изменение индуктивного сопротивления фазы обмотки
ротора от эффекта вытеснения тока
Приведенное индуктивное сопротивление фазы
обмотки ротора от действия эффекта вытеснения тока (согласно [1] стр.218 -
6-250)
|
x’2ξ, Ом
|
x’2, Ом
|
Кх
|
|
0.393
|
0.287
|
1.368
|
где:
x’2 - Относительно
значение х2 [1.6.26]
Кх - Изменение индуктивного сопротивления фазы
обмотки ротора от эффекта вытеснения тока [3.2.2]
x’2ξ
- Приведенное индуктивное сопротивление фазы обмотки ротора от действия эффекта
вытеснения тока
Ток ротора приближенно без учета влияния
насыщения I’2 (согласно [1]
стр.222 - 6-269)
|
U1нф, В
|
I’2, А
|
r1, Ом
|
x’2ξ, Ом
|
r’2ξ, Ом
|
x1, Ом
|
sн
|
|
220
|
31.163
|
0.325
|
0.393
|
0.11
|
0.646
|
0.016
|
где:
x’2ξ
- Приведенное индуктивное сопротивление фазы обмотки ротора от действия эффекта
вытеснения тока [3.2.3]
r’2ξ
- Приведенное активное сопротивление фазы обмотки ротора с учетом вытеснения
тока [3.1.9]
s - скольжение
[3.1.1]
r1 - активное
сопротивление фазы обмотки статора [1.6.7]
x1 - Индуктивное
сопротивление фазы обмотки статора [1.6.18]
U1нф - Напряжение
сети
I’2 - Ток ротора
приближенно без учета влияния насыщения
3.3 Учет влияния насыщения на параметры
Средняя МДС обмотки, отнесенная к одному пазу
обмотки статора (согласно [1] стр.219 - 6-252)
|
I’2, А
|
Fп.ср, А
|
un
|
a
|
Kβ
|
Kоб1
|
Z1
|
Z2
|
Kнас
|
|
31,163
|
3399,604
|
12
|
1
|
1
|
0,9
|
42
|
52
|
1,2
|
где:
I’2 - Ток ротора
приближенно без учета влияния насыщения [3.2.4]- Число пазов статора [1.2.3]
Z2 - число пазов
ротора [1.4.1]
Кβ -
[1.6.17]
un - Число
эффективных проводников в пазу [1.2.8]
Коб1 - Значение обмоточного коэффициента
[1.2.11]
Kнас - коэффициент
насыщения (1,1-1,4)
Fп.ср - Средняя МДС
обмотки, отнесенная к одному пазу обмотки статора
Коэффициент для определения фиктивной индукции
потока рассеивания в воздушном зазоре (согласно [1] стр.219 - 6-254)
|
CN
|
δ, м
|
t1, м
|
t2, м
|
|
0.982
|
0.000385
|
0.011
|
0.009
|
где:

- значение зубцового деления
статора [1.2.5]
t2 - зубцовое
деление [1.4.4]
δ - ширина воздушного
зазора [1.4.1]
CN -
Коэффициент для определения фиктивной индукции потока рассеивания в воздушном
зазоре
Фиктивная индукция потока рассеивания в
воздушном зазоре (согласно [1] стр.219 - 6-253)
|
CN
|
Bфб , Тл
|
δ, м
|
Fп.ср, А
|
|
0.982
|
5.62
|
0.000385
|
3399.604
|
где:
CN -
Коэффициент для определения фиктивной индукции потока рассеивания в воздушном
зазоре [3.3.2]
δ - ширина воздушного
зазора [1.4.1]
Fп.ср - Средняя МДС
обмотки, отнесенная к одному пазу обмотки статора [3.3.1]
Коэффициент магнитной проводимости пазового
рассеивания обмотки статора с учетом насыщения (согласно [1] стр.219 - 6-255)
|
с1
|
t1, м
|
bш1, м
|
Хδ
|
|
0,004
|
0,011
|
0,0037
|
0,46
|
где:

- значение зубцового деления
статора [1.2.5]
bш1 - ширина шлица
паза [1.3.4]
с1 - Коэффициент магнитной проводимости пазового
рассеивания обмотки статора с учетом насыщения
Вызванное насыщение от полей рассеивания
уменьшение коэффициента проводимости рассеивания полузакрытого паза статора
(согласно [1] стр.220 - 6-258)
|
с1
|
h1, м
|
bш1, м
|
hш1, м
|
Δλп1нас
|
|
0,004
|
0,038
|
0,0037
|
0,00075
|
0,115
|
где:
с1 - Коэффициент магнитной проводимости пазового
рассеивания обмотки статора с учетом насыщения
hш1 - высота шлица
паза [1.3.4]
bш1 - ширина шлица
паза [1.3.4]
h1 - [1.6.20]
Δλп1нас - уменьшение
коэффициента проводимости рассеивания полузакрытого паза статора
Коэффициент магнитной проводимости пазового
рассеивания обмотки статора с учетом насыщения (согласно [1] стр.220 - 6-261)
|
λп1нас
|
Δλп1нас
|
λп1
|
|
1.239
|
0.115
|
1.355
|
где:
Δλп1нас - уменьшение
коэффициента проводимости рассеивания полузакрытого паза статора [3.3.5]
λп1 - Коэффициент
магнитной проводимости пазового рассеивания для обмоток статора [1.6.17]
λп1нас - Коэффициент
магнитной проводимости пазового рассеивания обмотки статора с учетом насыщения
Коэффициент магнитной проводимости
дифференциального рассеивания обмотки статора с учетом насыщения (согласно [1]
стр.220 - 6-263)
|
λд1нас
|
λд
|
Хδ
|
|
0,57
|
2,09
|
0,46
|
где:
λд1 - Коэффициент
магнитной проводимости дифференциального рассеивания [1.6.16]
Хδ
- [3.3.4]
λд1нас - Коэффициент
магнитной проводимости дифференциального рассеивания обмотки статора с учетом
насыщения
Индуктивное сопротивление обмотки статора с
учетом влияния насыщения (согласно [1] стр.220 - 6-264)
|
λп1
|
λд1
|
λл1
|
λп1нас
|
λд1нас
|
х1,
Ом
|
х1нас,
Ом
|
|
1,355
|
2,087
|
4,37
|
1,239
|
0,57
|
0,646
|
0,511
|
где:
λд1нас - Коэффициент
магнитной проводимости дифференциального рассеивания обмотки статора с учетом
насыщения [3.3.7]
λп1нас - Коэффициент
магнитной проводимости пазового рассеивания обмотки статора с учетом насыщения
[3.3.6]
x1 - Индуктивное
сопротивление фазы обмотки статора [1.6.18]
λп1 - Коэффициент
магнитной проводимости пазового рассеивания для обмоток статора [1.6.17]
λд1 - Коэффициент
магнитной проводимости дифференциального рассеивания [1.6.16]
λл1 - Коэффициент
магнитной проводимости лобового рассеивания [1.6.14]
х1нас - Индуктивное сопротивление обмотки
статора с учетом влияния насыщения
Коэффициент магнитной проводимости пазового
рассеивания обмотки ротора с учетом насыщения (согласно [1] стр.220 - 6-259)
|
с2
|
t2, м
|
bш2, м
|
Хδ
|
|
0,0044
|
0,009
|
0,001
|
0,46
|
где:
t2 - зубцовое
деление [1.4.4]
bш2 - ширина шлица
[1.4.9]
Хδ
- [3.3.4]
с2 - Коэффициент магнитной проводимости пазового
рассеивания обмотки ротора с учетом насыщения
Уменьшение коэффициента проводимости рассеивания
паза ротора (согласно [1] стр.220 - 6-260)
|
Δλп2нас
|
с2
|
bш2, м
|
hш2
|
|
0,407
|
0,0044
|
0,001
|
0,0005
|
где:
с2 - Коэффициент магнитной проводимости пазового
рассеивания обмотки ротора с учетом насыщения [3.3.9]
hш2 - высота шлица
[1.4.9]
bш2 - ширина шлица
[1.4.9]
Δλп2нас - Уменьшение
коэффициента проводимости рассеивания паза ротора
Коэффициент магнитной проводимости пазового
рассеивания обмотки статора с учетом насыщения (согласно [1] стр.220 - 6-262)
|
λп2ξнас
|
λп2ξ
|
Δλп2нас
|
|
2,999
|
3,407
|
0,407
|
где:
Δλп2нас - Уменьшение
коэффициента проводимости рассеивания паза ротора [3.3.10]
λп2ξ
- Коэффициент магнитной проводимости пазового рассеивания с учетом действия
эффекта вытеснения тока [3.2.1]
λп2ξнас
- Коэффициент магнитной проводимости пазового рассеивания обмотки статора с
учетом насыщения
Коэффициент магнитной проводимости дифференциального
рассеивания обмотки ротора с учетом насыщения (согласно [1] стр.220 - 6-263)
|
λд2нас
|
λд2
|
Хδ
|
|
0,716
|
1,557
|
0,46
|
где:
λд2 - Коэффициент
магнитной проводимости дифференциального рассеивания обмотки короткозамкнутого
ротора [1.6.23]
Хδ
- [3.3.4]
λд2нас - Коэффициент
магнитной проводимости дифференциального рассеивания обмотки ротора с учетом
насыщения
Приведенное индуктивное сопротивление обмотки
ротора с учетом влияния насыщения и вытеснения тока (согласно [1] стр.220 -
6-265)
|
λп2
|
λд2
|
λл2
|
λп2ξнас
|
λд2нас
|
х’2, м
|
х’2ξнас, м
|
|
1,45
|
1,557
|
2,2999
|
2,2999
|
0,716
|
0,287
|
0,325
|
где:
λп2ξнас
- Коэффициент магнитной проводимости пазового рассеивания обмотки статора с
учетом насыщения [3.3.11]
λд2нас - Коэффициент
магнитной проводимости дифференциального рассеивания обмотки ротора с учетом
насыщения [3.3.12]
λп2 - Коэффициент
магнитной проводимости пазового рассеивания обмотки короткозамкнутого ротора
[1.6.20]
λл2 - Коэффициент
магнитной проводимости лобового рассеивания обмотки короткозамкнутого ротора
[1.6.21]
λд2 - Коэффициент
магнитной проводимости дифференциального рассеивания обмотки короткозамкнутого
ротора [1.6.23]
x’2 - Относительно
значение х2 [1.6.26]
х’2ξнас
- Приведенное индуктивное сопротивление обмотки ротора с учетом влияния
насыщения и вытеснения тока
Сопротивление взаимной индукции обмоток статора
и ротора в пусковом режиме (согласно [1] стр.222 - 6-266)
|
х12
|
х12п
|
Fц
|
Fδ
|
|
47.97
|
75.88
|
923.63
|
583.904
|
где:

- Магнитное напряжение воздушного
зазора [1.5.7]
Fц -
Суммарное магнитное напряжение магнитной цепи [1.5.16]
х12 - индуктивное сопротивление
схемы замещения [2.1.1]
х12п - Сопротивление взаимной
индукции обмоток статора и ротора в пусковом режиме
Коэффициент с1пнас (согласно [1] стр.222 -
6-267)
|
с1пнас
|
х12п,
м
|
х1нас,
м
|
|
1,0067
|
75,88
|
0,511
|
где:
х12п - Сопротивление взаимной индукции обмоток
статора и ротора в пусковом режиме [3.3.14]
х1нас - Индуктивное сопротивление обмотки
статора с учетом влияния насыщения [3.3.8]
Активная составляющая сопротивления правой ветви
Г-образной схемы замещения (согласно [1] стр.222 - 6-268)
|
r1, Ом
|
c1пнас
|
r’2ξ, Ом
|
an
|
s
|
|
0.325
|
1.0067
|
0.11
|
0.436
|
1
|
где:
r’2ξ
- Приведенное активное сопротивление фазы обмотки ротора с учетом вытеснения
тока [3.1.9]
r1 - активное
сопротивление фазы обмотки статора [1.6.7]
s - скольжение
[3.1.1]
c1пнас - [3.3.15]
an - Активная
составляющая сопротивления правой ветви Г-образной схемы замещения
Реактивная составляющая сопротивления правой
ветви Г-образной схемы замещения (согласно [1] стр.222 - 6-268)
|
с1пнас
|
х1нас,
Ом
|
х’2ξнас, Ом
|
bп
|
|
1,0067
|
0,511
|
0,325
|
0,839
|
где:
х’2ξнас
- Приведенное индуктивное сопротивление обмотки ротора с учетом влияния
насыщения и вытеснения тока [3.3.13]
c1пнас - [3.3.15]
х1нас - Индуктивное сопротивление обмотки
статора с учетом влияния насыщения [3.3.8]
bп - Реактивная
составляющая сопротивления правой ветви Г-образной схемы замещения
Ток в обмотке ротора (согласно [1] стр.222 -
6-269)
|
I’2н, А
|
U1нф, В
|
an
|
bn
|
|
232.73
|
220
|
0.436
|
0.839
|
где:
an - Активная
составляющая сопротивления правой ветви Г-образной схемы замещения [3.3.16]
bп - Реактивная
составляющая сопротивления правой ветви Г-образной схемы замещения [3.3.17]
U1нф - Напряжение
сети
I’2н - Ток в обмотке
ротора
|
I1п, А
|
an
|
bn
|
с1пнас
|
х12п,
Ом
|
I’2, А
|
|
232,7303
|
0.436
|
0.839
|
1.0067
|
75.88
|
31.163
|
где:
an - Активная
составляющая сопротивления правой ветви Г-образной схемы замещения [3.3.16]
bп - Реактивная
составляющая сопротивления правой ветви Г-образной схемы замещения [3.3.17]
I’2 - Ток ротора
приближенно без учета влияния насыщения [3.2.4]
c1пнас - [3.3.15]
х12п - Сопротивление взаимной индукции обмоток
статора и ротора в пусковом режиме [3.3.14]
I1п - Ток в обмотке
ротора с учетом коэффициента с1пнас
Ток в обмотке ротора в относительных единицах
(согласно [1] стр.251 - п.58)
|
I1н, А
|
I1п, А
|
I1п*
|
|
30,953
|
233,7321
|
7,55
|
где:
I1п - Ток в обмотке
ротора с учетом коэффициента с1пнас
I1н - Номинальный
ток обмотки статора [1.2.6]
I1п* - Ток в обмотке
ротора в относительных единицах
Относительное значение момента (согласно [1]
стр.251 - п.58)
|
Mп*
|
I’2, А
|
I’2п, А
|
КR
|
sн
|
s
|
|
6.437
|
31.163
|
232.73
|
0.939
|
0.016
|
1
|
где:
I’2н - Ток в обмотке
ротора [3.3.18]
I’2 - Ток ротора
приближенно без учета влияния насыщения [3.2.4]
s - скольжение
[3.1.1]
КR
- коэффициент общего увеличения сопротивления фазы обмотки [3.1.8]
Mп* - Относительное
значение момента
3.4 Результаты расчетов
|
|
|
|
|
|
|
|
|
|
|
sн
|
|
s
|
1
|
0,9
|
0,8
|
0,7
|
0,6
|
0,5
|
0,4
|
0,3
|
0,2
|
0,1
|
0,0165
|
|
ξ
|
2,41718
|
2,293
|
2,162
|
2,0223
|
1,872
|
1,709
|
1,529
|
1,324
|
1,081
|
0,764
|
0,31
|
|
φ
|
0,04
|
0,12
|
0,2
|
0,32
|
0,52
|
0,7
|
0,9
|
1,04
|
1,21
|
1,32
|
0,0276
|
|
φ'
|
0,92
|
0,92
|
0,94
|
0,94
|
0,95
|
0,95
|
0,97
|
0,98
|
0,98
|
0,99
|
0,99
|
|
hr,
м
|
0,037
|
0,034
|
0,032
|
0,029
|
0,025
|
0,022
|
0,020
|
0,019
|
0,017
|
0,016
|
0,037
|
|
br,
м
|
0,001
|
0,001
|
0,002
|
0,002
|
0,002
|
0,003
|
0,003
|
0,003
|
0,003
|
0,003
|
0,00106
|
|
qr,
м
|
0,000114
|
0,000111
|
0,000107
|
0,000102
|
0,000093
|
0,000087
|
0,000080
|
0,000076
|
0,000071
|
0,000068
|
0,00011
|
|
kr
|
0,891
|
0,918
|
0,947
|
0,996
|
1,086
|
1,171
|
1,270
|
1,341
|
1,429
|
1,487
|
0,887
|
|
KR
|
0,939
|
0,954
|
0,970
|
0,998
|
1,048
|
1,096
|
1,152
|
1,192
|
1,241
|
1,274
|
0,937
|
|
r'2ξ
|
0,110
|
0,112
|
0,114
|
0,117
|
0,123
|
0,129
|
0,135
|
0,140
|
0,145
|
0,149
|
0,1098
|
|
I'2
|
195,297
|
194,339
|
193,100
|
191,344
|
188,615
|
184,710
|
178,505
|
168,471
|
148,731
|
105,054
|
31,163
|
|
Fп.ср
|
3399,604
|
3382,931
|
3361,370
|
3330,796
|
3283,294
|
3215,317
|
3107,308
|
2932,646
|
2589,015
|
1828,707
|
542,464
|
|
Bфδ
|
5,618
|
5,591
|
5,555
|
5,505
|
5,426
|
5,314
|
5,135
|
4,847
|
4,279
|
3,022
|
0,896
|
|
хδ
|
0,46
|
0,47
|
0,48
|
0,48
|
0,49
|
0,52
|
0,53
|
0,56
|
0,65
|
0,84
|
0,95
|
|
c1
|
0,004
|
0,004
|
0,004
|
0,004
|
0,004
|
0,004
|
0,004
|
0,003
|
0,003
|
0,001
|
0,00038
|
|
Δλп1нас
|
0,115
|
0,114
|
0,113
|
0,113
|
0,111
|
0,107
|
0,106
|
0,102
|
0,088
|
0,049
|
0,0174
|
|
λп1нас
|
1,240
|
1,241
|
1,242
|
1,242
|
1,243
|
1,247
|
1,249
|
1,253
|
1,267
|
1,306
|
1,337
|
|
λд1нас
|
0,570
|
0,583
|
0,596
|
0,596
|
0,609
|
0,649
|
0,662
|
0,702
|
0,823
|
1,097
|
1,270
|
|
x1нас
|
0,511
|
0,512
|
0,513
|
0,513
|
0,515
|
0,518
|
0,519
|
0,523
|
0,534
|
0,560
|
0,577
|
|
с2
|
0,004
|
0,004
|
0,004
|
0,004
|
0,004
|
0,004
|
0,004
|
0,004
|
0,003
|
0,001
|
0,00041
|
|
Δλп2нас
|
0,407
|
0,406
|
0,405
|
0,405
|
0,403
|
0,398
|
0,397
|
0,391
|
0,370
|
0,283
|
0,145
|
|
λп2ξнас
|
2,999
|
3,001
|
3,002
|
3,002
|
3,004
|
3,008
|
3,010
|
3,016
|
3,036
|
3,124
|
3,262
|
|
λд2нас
|
0,716
|
0,732
|
0,748
|
0,748
|
0,763
|
0,810
|
0,825
|
0,872
|
1,012
|
1,308
|
1,4796
|
|
x'2ξнаc
|
0,325
|
0,326
|
0,327
|
0,327
|
0,328
|
0,331
|
0,332
|
0,335
|
0,343
|
0,364
|
0,381
|
|
с1пнас
|
1,007
|
1,007
|
1,007
|
1,007
|
1,007
|
1,007
|
1,007
|
1,007
|
1,007
|
1,008
|
|
ап
|
0,436
|
0,450
|
0,469
|
0,494
|
0,532
|
0,584
|
0,665
|
0,794
|
1,058
|
1,829
|
|
|
bп
|
0,839
|
0,841
|
0,843
|
0,843
|
0,845
|
0,851
|
0,854
|
0,860
|
0,880
|
0,927
|
|
|
I'2п,
|
232,730
|
230,651
|
228,133
|
225,227
|
220,377
|
213,066
|
203,288
|
187,914
|
159,858
|
107,278
|
|
|
I1п
|
233,732
|
231,647
|
229,121
|
226,203
|
221,335
|
214,001
|
204,185
|
188,753
|
160,597
|
107,824
|
|
|
I1п*
|
7,551
|
7,484
|
7,402
|
7,308
|
7,151
|
6,914
|
6,597
|
6,098
|
5,188
|
3,483
|
|
|
Мп*
|
6,437
|
7,136
|
7,992
|
9,155
|
10,741
|
12,601
|
15,066
|
17,760
|
20,076
|
18,554
|
|
.5
Построение пусковых характеристик
Рис 3.1 - График зависимости М(s)
и I(s)
Литература
1.0 Копылов
И.П., Горяинов Ф.А., Клоков Б.К. и др. Проектирование электрических машин / Под
ред. И.П. Копылова. - М.: Энергия, 1986.
.0 Токарев
Б.Ф. Электрические машины - М.: Енергоатомиздат, 1991, - 700с.
3.0 Дмитриев,
В. Н. Проектирование и исследование асинхронных двигателей малой мощности:
учебное пособие. /В. Н. Дмитриев. - Ульяновск, 1996. - 88 с.